Omega Nucleic Acids (ΩNA), Ultimate Nucleic Acids for Future Technology
Abstract
1. Introduction
- 1.
- Possess high sequence recognition ability to minimize off-target activity;
- 2.
- Form a stable double helix, preferably an A-type double helix, unlike DNA which favors B-type double helices;
- 3.
- Be recognized as a substrate for RNase H, which degrades RNA in DNA/RNA heteroduplexes.
| Acronym | Origin | Reference |
|---|---|---|
| ANA | Arabinonucleic Acids | [13] |
| BNA | Bicyclo Nucleic Acids | [8] |
| Bridged Nucleic Acids | [14] | |
| CNA | Clickable Nucleic Acids | [15] |
| Constrained Nucleic Acids | [16] | |
| Circulating Nucleic Acids | [17] | |
| DNA | Deoxyribonucleic Acids | [1] |
| ENA | Ethylene-bridged Nucleic Acids | [18] |
| FNA | Flexible Nucleic Acids | [19] |
| GNA | Glycol (Glycerol) Nucleic Acids | [20] |
| HNA | Hexitol Nucleic Acids | [21] |
| INA | Intercalating Nucleic Acids | [22] |
| JNA | (undefined) | - |
| KNA | (undefined) | - |
| LNA | Locked Nucleic Acids | [9] |
| MNA | Morpholino Nucleic Acids | [23] |
| NNA | Nanodiscoidal Nucleic Acids | [24] |
| ONA | Oxepane Nucleic Acids | [25] |
| PNA | Peptide Nucleic Acids | [7] |
| QNA | (undefined) | - |
| RNA | Ribonucleic Acids | [26] |
| SNA | Serinol Nucleic Acids | [27] |
| TNA | Threose Nucleic Acids | [28] |
| Threoninol Nucleic Acids | [29] | |
| UNA | Unlocked Nucleic Acids | [30] |
| VNA | Viral Nucleic Acids | [31] |
| Virtual Nucleic Acids | [32] | |
| WNA | W-shape Nucleic Acids | [33] |
| XNA | Xeno (Xenobiotic) Nucleic Acids | [34] |
| YNA | (undefined) | - |
| ZNA | Zip Nucleic Acids | [35] |
| Phosphonomethylglycerol | [36] |
2. DNA–Artificial Molecular Machine Hybrid
2.1. Light-Driven Molecular Machines
2.2. DNA Hybrid with Photoswitches
2.3. DNA Hybrid with Light-Driven Rotary Molecular Motors
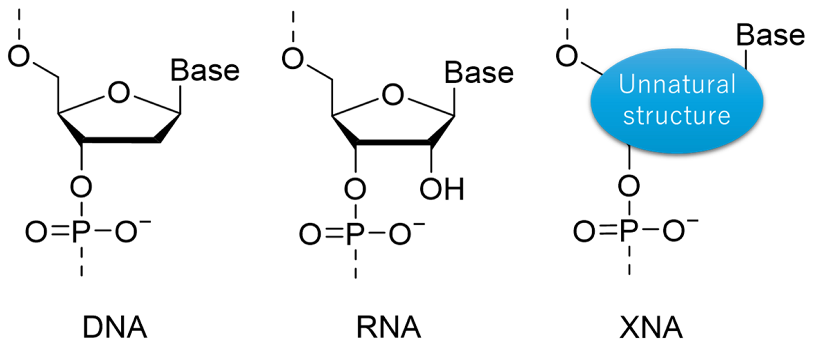
3. Xeno-Nucleic Acids (XNAs)
3.1. Design and Hybridization Properties of Cyclic XNAs
3.1.1. -O-alkyl RNA
3.1.2. LNA (BNA) Family
3.1.3. Other Cyclic XNAs
3.2. Applications of Cyclic XNAs
3.3. Design and Hybridization Properties of Acyclic XNAs
3.3.1. PNA
3.3.2. GNA
3.3.3. aTNA/SNA
3.4. Applications of Acyclic XNAs
4. Unnatural Base Pairs (UBPs)
4.1. Hydrogen-Bonded Artificial Base Pairs
4.2. Hydrophobic Artificial Base Pairs

4.3. Metal-Mediated Artificial Base Pairs
4.4. Xeno-Nucleic Acids (XNAs) with Unnatural Backbones and Base Pairs
5. Potential Applications of NA
5.1. DNA Nanostructures
5.2. Molecular Computing
- 1.
- Increasing stability;
- 2.
- Reducing leakage;
- 3.
- Tunable kinetics;
- 4.
- Photochemical and biological interfaces;
- 5.
- Sequence orthogonality.
5.3. Molecular Robotics
5.3.1. Amoeba-Type and Swarm Molecular Robots with Light-Gated Control
5.3.2. Slime-Type Molecular Robots and Prospects for NA-Enabled Dynamic Functionalities

6. Discussion
6.1. Selection Matrix: A Design Paradigm for NA
6.2. Future Perspectives
7. Conclusions
Author Contributions
Funding
Institutional Review Board Statement
Informed Consent Statement
Data Availability Statement
Conflicts of Interest
References
- Watson, J.; Crick, F. Molecular Structure of Nucleic Acids: A Structure for Deoxyribose Nucleic Acid. Nature 1953, 171, 737–738. [Google Scholar] [CrossRef]
- Beaucage, S.L.; Caruthers, M.H. Deoxynucleoside phosphoramidites—A new class of key intermediates for deoxypolynucleotide synthesis. Tetrahedron Lett. 1981, 22, 1859–1862. [Google Scholar] [CrossRef]
- Hood, L.; Rowen, L. The Human Genome Project: Big science transforms biology and medicine. Genome Med. 2013, 5, 79. [Google Scholar] [CrossRef]
- Sanger, F.; Nicklen, S.; Coulson, A.R. DNA sequencing with chain-terminating inhibitors. Proc. Natl. Acad. Sci. USA 1977, 74, 5463–5467. [Google Scholar] [CrossRef] [PubMed]
- Mullis, K.; Faloona, F.; Scharf, S.; Saiki, R.; Horn, G.; Erlich, H. Specific enzymatic amplification of DNA in vitro: The polymerase chain reaction. Cold Spring Harb. Symp. Quant. Biol. 1986, 51, 263–273. [Google Scholar] [CrossRef] [PubMed]
- Zamecnik, P.C.; Stephenson, M.L. Inhibition of Rous sarcoma virus replication and cell transformation by a specific oligodeoxynucleotide. Proc. Natl. Acad. Sci. USA 1978, 75, 280–284. [Google Scholar] [CrossRef] [PubMed]
- Nielsen, P.E.; Egholm, M.; Berg, R.H.; Buchardt, O. Sequence-Selective Recognition of DNA by Strand Displacement with a Thymine-Substituted Polyamide. Science 1991, 254, 1497–1500. [Google Scholar] [CrossRef]
- Obika, S.; Nanbu, D.; Hari, Y.; Andoh, J.; Morio, K.; Doi, T.; Imanishi, T. Stability and structural features of the duplexes containing nucleoside analogues with a fixed N-type conformation, 2′-O,4′-C-methyleneribonucleosides. Tetrahedron Lett. 1998, 39, 5401–5404. [Google Scholar] [CrossRef]
- Singh, S.K.; Koshkin, A.A.; Wengel, J.; Nielsen, P. LNA (locked nucleic acids): Synthesis and high-affinity nucleic acid recognition. Chem. Commun. 1998, 455–456. [Google Scholar] [CrossRef]
- Seeman, N.C. Nucleic acid junctions and lattices. J. Theor. Biol. 1982, 99, 237–247. [Google Scholar] [CrossRef]
- Adleman, L.M. Molecular Computation of Solutions to Combinatorial Problems. Science 1994, 266, 1021–1024. [Google Scholar] [CrossRef]
- Murata, S.; Konagaya, A.; Kobayashi, S.; Saito, H.; Hagiya, M. Molecular Robotics: A New Paradigm for Artifacts. New Gener. Comput. 2013, 31, 27–45. [Google Scholar] [CrossRef]
- Noronha, A.M.; Wilds, C.J.; Lok, C.-N.; Viazovkina, K.; Arion, D.; Parniak, M.A.; Damha, M.J. Synthesis and Biophysical Properties of Arabinonucleic Acids (ANA): Circular Dichroic Spectra, Melting Temperatures, and Ribonuclease H Susceptibility of ANA·RNA Hybrid Duplexes. Biochemistry 2000, 39, 7050–7062. [Google Scholar] [CrossRef] [PubMed]
- Soler-Bistué, A.; Zorreguieta, A.; Tolmasky, M.E. Bridged Nucleic Acids Reloaded. Molecules 2019, 24, 2297. [Google Scholar] [CrossRef] [PubMed]
- Xi, W.; Pattanayak, S.; Wang, C.; Fairbanks, B.; Gong, T.; Wagner, J.; Kloxin, C.J.; Bowman, C.N. Clickable Nucleic Acids: Sequence-Controlled Periodic Copolymer/Oligomer Synthesis by Orthogonal Thiol-X Reactions. Angew. Chem. Int. Ed. 2015, 54, 14462–14467. [Google Scholar] [CrossRef] [PubMed]
- Le Clezio, I.; Gornitzka, H.; Escudier, J.-M.; Vigroux, A. Constrained Nucleic Acids (CNA). Part 2. Synthesis of Conformationally Restricted Dinucleotide Units Featuring Noncanonical α/β/γ/ or δ/ϵ/ζ Torsion Angle Combinations. J. Org. Chem. 2005, 70, 1620–1629. [Google Scholar] [CrossRef]
- Liu, K.J.; Brock, M.V.; Shih, I.-M.; Wang, T.-H. Decoding Circulating Nucleic Acids in Human Serum Using Microfluidic Single Molecule Spectroscopy. J. Am. Chem. Soc. 2010, 132, 5793–5798. [Google Scholar] [CrossRef]
- Morita, K.; Hasegawa, C.; Kaneko, M.; Tsutsumi, S.; Sone, J.; Ishikawa, T.; Imanishi, T.; Koizumi, M. 2′-O,4′-C-ethylene-bridged nucleic acids (ENA): Highly nuclease-resistant and thermodynamically stable oligonucleotides for antisense drug. Bioorg. Med. Chem. Lett. 2002, 12, 73–76. [Google Scholar] [CrossRef]
- Christensen, U.B.; Pedersen, E.B. Oligonucleotides containing flexible nucleoside analogs. Nucleic Acids Res. 2002, 30, 4918–4925. [Google Scholar] [CrossRef]
- Zhang, L.; Peritz, A.; Meggers, E. A Simple Glycol Nucleic Acid. J. Am. Chem. Soc. 2005, 127, 4174–4175. [Google Scholar] [CrossRef]
- Verheggen, I.; Van Aerschot, A.; Toppet, S.; Snoeck, R.; Janssen, G.; Balzarini, J.; Clercq, E.D.; Herdewijn, P. Synthesis and antiherpes virus activity of 1,5-anhydrohexitol nucleosides. J. Med. Chem. 1993, 36, 2033–2240. [Google Scholar] [CrossRef] [PubMed]
- Schneider, K.; Benner, S.A. Intercalating nucleic acids containing insertions of 1- O -(1-pyrenylmethyl)glycerol: Stabilisation of dsDNA and discrimination of DNA over RNA. J. Am. Chem. Soc. 1990, 112, 453–455. [Google Scholar] [CrossRef]
- Rihon, J.; Mattelaer, C.-A.; Montalvão, R.W.; Froeyen, M.; Pinheiro, V.B.; Lescrinier, E. Structural insights into the morpholino nucleic acid/RNA duplex using the new XNA builder Ducque in a molecular modeling pipeline. Nucleic Acids Res. 2024, 52, 2836–2847. [Google Scholar] [CrossRef] [PubMed]
- Sharma, R.; Narum, S.; Liu, S.; Dong, Y.; Baek, K.I.; Jo, H.; Salaita, K. Nanodiscoidal Nucleic Acids for Gene Regulation. ACS Chem. Biol. 2023, 18, 2349–2367. [Google Scholar] [CrossRef] [PubMed]
- Sabatino, D.; Damha, M.J. Oxepane Nucleic Acids: Synthesis, Characterization, and Properties of Oligonucleotides Bearing a Seven-Membered Carbohydrate Ring. J. Am. Chem. Soc. 2007, 129, 8259–8270. [Google Scholar] [CrossRef]
- Gilbert, W. Origin of life: The RNA world. Nature 1986, 319, 618. [Google Scholar] [CrossRef]
- Kashida, H.; Murayama, K.; Toda, T.; Asanuma, H. Control of the Chirality and Helicity of Oligomers of Serinol Nucleic Acid (SNA) by Sequence Design. Angew. Chem. Int. Ed. 2011, 50, 1285–1288. [Google Scholar] [CrossRef]
- Schöning, K.-U.; Scholz, P.; Guntha, S.; Wu, X.; Krishnamurthy, R.; Eschenmoser, A. Chemical Etiology of Nucleic Acid Structure: The α-Threofuranosyl-(3′→2′) Oligonucleotide System. Science 2000, 290, 1347–1351. [Google Scholar] [CrossRef]
- Asanuma, H.; Toda, T.; Murayama, K.; Liang, X.; Kashida, H. Unexpectedly Stable Artificial Duplex from Flexible Acyclic Threoninol. J. Am. Chem. Soc. 2010, 132, 14702–14703. [Google Scholar] [CrossRef]
- Langkjær, N.; Pasternak, A.; Wengel, J. UNA (unlocked nucleic acid): A flexible RNA mimic that allows engineering of nucleic acid duplex stability. Bioorg. Med. Chem. 2009, 17, 5420–5425. [Google Scholar] [CrossRef]
- Chen, W.; Zhou, J.; Cheng, S.S.; Lu, Y.; Zhong, F.; Gao, Y.; Wang, Y.; Xue, L.; Tong, M.C.F.; Liu, Y.-H. Tele-Operated Oropharyngeal Swab (TOOS) Robot Enabled by TSS Soft Hand for Safe and EffectiveCOVID-19 OP Sampling. arXiv 2021, arXiv:2109.09403. [Google Scholar] [CrossRef]
- Nishikawa, A.; Yamamura, M.; Hagiya, M. DNA computation simulator based on abstract bases. Soft Comput. 2001, 5, 25–38. [Google Scholar] [CrossRef]
- Sasaki, S.; Yamauchi, H.; Nagatsugi, F.; Takahashi, R.; Taniguchi, Y.; Maeda, M. W-shape nucleic acid (WNA) for selective formation of non-natural anti-parallel triplex including a TA interrupting site. Tetrahedron Lett. 2001, 42, 6915–6918. [Google Scholar] [CrossRef]
- Chaput, J.C.; Herdewijn, P. What Is XNA? Angew. Chem. Int. Ed. 2019, 58, 11570–11572. [Google Scholar] [CrossRef] [PubMed]
- Noir, R.; Kotera, M.; Pons, B.; Remy, J.-S.; Behr, J.-P. Oligonucleotide-Oligospermine Conjugates (Zip Nucleic Acids): A Convenient Means of Finely Tuning Hybridization Temperatures. J. Am. Chem. Soc. 2008, 130, 13500–13505. [Google Scholar] [CrossRef] [PubMed]
- Luo, M.; Groaz, E.; Froeyen, M.; Pezo, V.; Jaziri, F.; Leonczak, P.; Schepers, G.; Rozenski, J.; Marlière, P.; Herdewijin, P. Invading Escherichia coli Genetics with a Xenobiotic Nucleic Acid Carrying an Acyclic Phosphonate Backbone (ZNA). J. Am. Chem. Soc. 2019, 141, 10844–11851. [Google Scholar] [CrossRef]
- Chen, L.; Liu, Y.; Guo, W.; Liu, Z. Genetic Light Responsive Nucleic Acid for Biomedical Application. Exploration 2022, 2, 20210099. [Google Scholar] [CrossRef]
- Brieke, C.; Rohrbach, F.; Gottschalk, A.; Mayer, G.; Heckel, A. Light-Controlled Tools. Angew. Chem. Int. Ed. 2012, 51, 8446–8476. [Google Scholar] [CrossRef]
- Cheng, H.; Yoon, J.; Tian, H. Recent Advances in the Use of Photochromic Dyes for Photocontrol in Biomedicine. Coord. Chem. Rev. 2018, 372, 66–84. [Google Scholar] [CrossRef]
- Kamiya, Y.; Asanuma, H. Light-Driven DNA Nanomachine with a Photoresponsive Molecular Engine. Acc. Chem. Res. 2014, 47, 1663–1672. [Google Scholar] [CrossRef]
- Murayama, K.; Yamano, Y.; Asanuma, H. 8-Pyrenylvinyl Adenine Controls Reversible Duplex Formation between Serinol Nucleic Acid and RNA by [2 + 2] Photocycloaddition. J. Am. Chem. Soc. 2019, 141, 9485–9489. [Google Scholar] [CrossRef] [PubMed]
- Ramos-Soriano, J.; Galan, M.C. Photoresponsive Control of G-Quadruplex DNA Systems. JACS Au 2021, 1, 1516–1526. [Google Scholar] [CrossRef]
- Szymański, W.; Beierle, J.M.; Kistemaker, H.A.V.; Velema, W.A.; Feringa, B.L. Reversible Photocontrol of Biological Systems by the Incorporation of Molecular Photoswitches. Chem. Rev. 2013, 113, 6114–6178. [Google Scholar] [CrossRef] [PubMed]
- Wang, C.; O’Hagan, M.P.; Li, Z.; Zhang, J.; Ma, X.; Tian, H.; Willner, I. Photoresponsive DNA Materials and Their Applications. Chem. Soc. Rev. 2022, 51, 720–760. [Google Scholar] [CrossRef]
- Volarić, J.; Szymanski, W.; Simeth, N.A.; Feringa, B.L. Molecular Photoswitches in Aqueous Environments. Chem. Soc. Rev. 2021, 50, 12377–12449. [Google Scholar] [CrossRef]
- Beharry, A.A.; Woolley, G.A. Azobenzene photoswitches for biomolecules. Chem. Soc. Rev. 2011, 40, 4422–4437. [Google Scholar] [CrossRef] [PubMed]
- Bandara, H.M.D.; Burdette, S.C. Photoisomerization in different classes of azobenzene. Chem. Soc. Rev. 2012, 41, 1809–1825. [Google Scholar] [CrossRef]
- Crespi, S.; Simeth, N.A.; König, B. Heteroaryl azo dyes as molecular photoswitches. Nat. Rev. Chem. 2019, 3, 133–146. [Google Scholar] [CrossRef]
- Waldeck, G.H. Photoisomerization Dynamics of Stilbenes. Chem. Rev. 1991, 91, 415–436. [Google Scholar] [CrossRef]
- Villarón, D.; Wezenberg, S.J. Stiff-Stilbene Photoswitches: From Fundamental Studies to Emergent Applications. Angew. Chem. Int. Ed. 2020, 59, 13192–13202. [Google Scholar] [CrossRef]
- Irie, M. Diarylethenes for Memories and Switches. Chem. Rev. 2000, 100, 1685–1716. [Google Scholar] [CrossRef] [PubMed]
- Irie, M.; Fukaminato, T.; Matsuda, K.; Kobatake, S. Photochromism of Diarylethene Molecules and Crystals: Memories, Switches, and Actuators. Chem. Rev. 2014, 114, 12174–12277. [Google Scholar] [CrossRef] [PubMed]
- Klajn, R. Spiropyran-based Dynamic Materials. Chem. Soc. Rev. 2014, 43, 148–184. [Google Scholar] [CrossRef]
- Wimberger, L.; Rizzuto, F.J.; Beves, J.E. Modulating the Lifetime of DNA Motifs Using Visible Light and Small Molecules. J. Am. Chem. Soc. 2023, 145, 2088–2092. [Google Scholar] [CrossRef]
- Pooler, D.R.S.; Lubbe, A.S.; Crespi, S.; Feringa, B.L. Designing Light-driven Rotary Molecular Motors. Chem. Sci. 2021, 12, 14964–14986. [Google Scholar] [CrossRef] [PubMed]
- Toyoda, R.; Hoang, N.V.; Gholamjani Moghaddam, K.; Crespi, S.; Pooler, D.R.S.; Faraji, S.; Pshenichnikov, M.S.; Feringa, B.L. Synergistic interplay between photoisomerization and photoluminescence in a light-driven rotary molecular motor. Nat. Commun. 2022, 13, 5765. [Google Scholar] [CrossRef]
- Hou, J.; Toyoda, R.; Meskers, S.C.J.; Feringa, B.L. Programming and Dynamic Control of the Circular Polarization of Luminescence from an Achiral Fluorescent Dye in a Liquid Crystal Host by Molecular Motors. Angew. Chem. Int. Ed. 2022, 61, e202206310. [Google Scholar] [CrossRef]
- Dudek, M.; López-Pacios, L.; Sabouri, N.; Nogueira, J.J.; Martinez-Fernandez, L.; Deiana, M. A Rationally Designed Azobenzene Photoswitch for DNA G-Quadruplex Regulation in Live Cells. Angew. Chem. Int. Ed. 2025, 64, e202413000. [Google Scholar] [CrossRef]
- Han, D.; Huang, J.; Zhu, Z.; Yuan, Q.; You, M.; Chen, Y.; Tan, W. Molecular Engineering of Photoresponsive Three-Dimensional DNA Nanostructures. Chem. Commun. 2011, 47, 4670–4672. [Google Scholar] [CrossRef]
- Heinrich, B.; Bouazoune, K.; Wojcik, M.; Bakowsky, U.; Vázquez, O. Ortho-Fluoroazobenzene Derivatives as DNA Intercalators for Photocontrol of DNA and Nucleosome Binding by Visible Light. Org. Biomol. Chem. 2019, 17, 1827–1833. [Google Scholar] [CrossRef]
- Liang, L.; Jia, S.; Barman, I. DNA-POINT: DNA Patterning of Optical Imprint for Nanomaterials Topography. ACS Appl. Mater. Interfaces 2022, 14, 38388–38397. [Google Scholar] [CrossRef] [PubMed]
- Simeth, N.A.; Kobayashi, S.; Kobauri, P.; Crespi, S.; Szymanski, W.; Nakatani, K.; Dohno, C.; Feringa, B.L. Rational Design of a Photoswitchable DNA Glue Enabling High Regulatory Function and Supramolecular Chirality Transfer. Chem. Sci. 2021, 12, 9207–9220. [Google Scholar] [CrossRef] [PubMed]
- Wakano, M.; Tsunoda, M.; Murayama, K.; Morimoto, J.; Ueki, R.; Aoyama-Ishiwatari, S.; Hirabayashi, Y.; Asanuma, H.; Sando, S. Reversible Optical Control of Receptor Tyrosine Kinase Activity and ERK Dynamics Using Azobenzene-Carrying DNA Aptamer Agonist. J. Am. Chem. Soc. 2025, 147, 11477–11484. [Google Scholar] [CrossRef]
- Xu, S.; Wu, H.; Liu, Y.; Wang, Z.-G. Self-Assembled G-Fold DNA/Amino Acid Amphiphiles-Based Oxidase-Mimetic Materials Exhibiting Drug-Degrading and Photoswitchable Capabilities. Chem. Mater. 2024, 36, 4357–4367. [Google Scholar] [CrossRef]
- Asanuma, H.; Ito, T.; Yoshida, T.; Liang, X.; Komiyama, M. Photoregulation of the Formation and Dissociation of a DNA Duplex by Using the cis–trans Isomerization of Azobenzene. Angew. Chem. Int. Ed. 1999, 38, 2393–2395. [Google Scholar] [CrossRef]
- Asanuma, H.; Liang, X.; Nishioka, H.; Matsunaga, D.; Liu, M.; Komiyama, M. Synthesis of azobenzene-tethered DNA for reversible photo-regulation of DNA functions: Hybridization and transcription. Nat. Protoc. 2007, 2, 203–212. [Google Scholar] [CrossRef]
- Yue, L.; Wang, S.; Zhou, Z.; Willner, I. Nucleic Acid Based Constitutional Dynamic Networks: From Basic Principles to Applications. J. Am. Chem. Soc. 2020, 142, 21577–21594. [Google Scholar] [CrossRef]
- Wang, F.; Liu, X.; Willner, I. DNA Switches: From Principles to Applications. Angew. Chem. Int. Ed. 2015, 54, 1098–1129. [Google Scholar] [CrossRef]
- Dohno, C.; Uno, S.; Nakatani, K. Photoswitchable Molecular Glue for DNA. J. Am. Chem. Soc. 2007, 129, 11898–11899. [Google Scholar] [CrossRef]
- Dohno, C.; Yamamoto, T.; Nakatani, K. Photoswitchable Unsymmetrical Ligand for DNA Hetero-Mismatches. Eur. J. Org. Chem. 2009, 2009, 4051–4058. [Google Scholar] [CrossRef]
- Nishioka, H.; Liang, X.; Kato, T.; Asanuma, H. A Photon-Fueled DNA Nanodevice That Contains Two Different Photoswitches. Angew. Chem. Int. Ed. 2012, 51, 1165–1168. [Google Scholar] [CrossRef]
- Tanaka, F.; Mochizuki, T.; Liang, X.; Asanuma, H.; Tanaka, S.; Suzuki, K.; Kitamura, S.; Nishikawa, A.; Ui-Tei, K.; Hagiya, M. Robust and Photocontrollable DNA Capsules Using Azobenzenes. Nano Lett. 2010, 10, 3560–3565. [Google Scholar] [CrossRef]
- Lohmann, F.; Ackermann, D.; Famulok, M. Reversible Light Switch for Macrocycle Mobility in a DNA Rotaxane. J. Am. Chem. Soc. 2012, 134, 11884–11887. [Google Scholar] [CrossRef]
- Kamiya, Y.; Yamada, Y.; Muro, T.; Matsuura, K.; Asanuma, H. DNA Microcapsule for Photo-Triggered Drug Release Systems. ChemMedChem 2017, 12, 2016–2021. [Google Scholar] [CrossRef] [PubMed]
- Hidaka, T.; Wee, W.A.; Yum, J.H.; Sugiyama, H.; Park, S. Photo-Controllable Phase Transition of Arylazopyrazole-Conjugated Oligonucleotides. Bioconjugate Chem. 2021, 32, 2129–2133. [Google Scholar] [CrossRef] [PubMed]
- Udono, H.; Nomura, S.M.; Takinoue, M. Remote-controlled mechanical and directional motions of photoswitchable DNA condensates. Nat. Commun. 2025, 16, 4479. [Google Scholar] [CrossRef]
- Zhao, Q.-H.; Qi, J.-Y.; Deng, N.-N. DNA photofluids show life-like motion. Nat. Mater. 2025, 24, 935–944. [Google Scholar] [CrossRef]
- Martin, N.; Tian, L.; Spencer, D.; Coutable-Pennarun, A.; Anderson, J.L.R.; Mann, S. Photoswitchable Phase Separation and Oligonucleotide Trafficking in DNA Coacervate Microdroplets. Angew. Chem. Int. Ed. 2019, 58, 14594–14598. [Google Scholar] [CrossRef]
- Song, X.; Eshra, A.; Dwyer, C.; Reif, J. Renewable DNA seesaw logic circuits enabled by photoregulation of toehold-mediated strand displacement. RSC Adv. 2017, 7, 28130–28144. [Google Scholar] [CrossRef]
- Tamba, M.; Murayama, K.; Asanuma, H.; Nakakuki, T. Renewable DNA Proportional-Integral Controller with Photoresponsive Molecules. Micromachines 2022, 13, 193. [Google Scholar] [CrossRef] [PubMed]
- Cao, M.; Zhu, Y.; Xiong, X.; Li, L.; Pei, H. Light-Triggered Phase Separation for Enhanced DNA Computing. ChemPlusChem 2025, 90, e202500074. [Google Scholar] [CrossRef]
- Liang, X.; Nishioka, H.; Takenaka, N.; Asanuma, H. Construction of Photon-Fueled DNA Nanomachines by Tethering Azobenzenes as Engines. In International Workshop on DNA-Based Computers; Lecture Notes in Computer Science; Springer: Berlin/Heidelberg, Germany, 2009; pp. 21–32. [Google Scholar] [CrossRef]
- Asanuma, H.; Shirasuka, K.; Yoshida, T.; Takarada, T.; Liang, X.; Komiyama, M. Spiropyran as a Regulator of DNA Hybridization with Reversed Switching Mode to That of Azobenzene. Chem. Lett. 2002, 30, 108–109. [Google Scholar] [CrossRef]
- Brieke, C.; Heckel, A. Spiropyran Photoswitches in the Context of DNA: Synthesis and Photochromic Properties. Chem. Eur. J. 2013, 19, 15726–15734. [Google Scholar] [CrossRef]
- Hammarson, M.; Andersson, J.; Li, S.; Lincoln, P.; Andréasson, J. Molecular AND-logic for dually controlled activation of a DNA-binding spiropyran. Chem. Commun. 2010, 46, 7130–7132. [Google Scholar] [CrossRef] [PubMed]
- Irie, M.; Mohri, M. Thermally irreversible photochromic systems. Reversible photocyclization of diarylethene derivatives. J. Org. Chem. 1988, 53, 803–808. [Google Scholar] [CrossRef]
- Singer, M.; Jäschke, A. Reversibly Photoswitchable Nucleosides: Synthesis and Photochromic Properties of Diarylethene-Functionalized 7-Deazaadenosine Derivatives. J. Am. Chem. Soc. 2010, 132, 8372–8377. [Google Scholar] [CrossRef]
- Cahová, H.; Jäschke, A. Nucleoside-Based Diarylethene Photoswitches and Their Facile Incorporation into Photoswitchable DNA. Angew. Chem. Int. Ed. 2013, 52, 3186–3190. [Google Scholar] [CrossRef]
- Singer, M.; Nierth, A.; Jäschke, A. Photochromism of Diarylethene-Functionalized 7-Deazaguanosines. Eur. J. Org. Chem. 2013, 2013, 2766–2769. [Google Scholar] [CrossRef]
- Barrois, S.; Wagenknecht, H.-A. Diarylethene-Modified Nucleotides for Switching Optical Properties in DNA. Beilstein J. Org. Chem. 2012, 8, 905–914. [Google Scholar] [CrossRef]
- Büllmann, S.M.; Kolmar, T.; Zorn, N.F.; Zaumseil, J.; Jäschke, A. A DNA-Based Two-Component Excitonic Switch Utilizing High-Performance Diarylethenes. Angew. Chem. Int. Ed. 2022, 61, e202117735. [Google Scholar] [CrossRef]
- Fujimoto, K.; Kajino, M.; Sakaguchi, I.; Inouye, M. Photoswitchable, DNA-Binding Helical Peptides Assembled with Two Independently Designed Sequences for Photoregulation and DNA Recognition. Chem. Eur. J. 2012, 18, 9834–9840. [Google Scholar] [CrossRef]
- Koumura, N.; Zijlstra, R.; van Delden, R.; Harada, N.; Feringa, B.L. Light-driven monodirectional molecular rotor. Nature 1999, 401, 152–155. [Google Scholar] [CrossRef]
- Lubbe, A.S.; Liu, Q.; Smith, S.J.; de Vries, J.W.; Kistemaker, J.C.M.; de Vries, A.H.; Faustino, I.; Meng, Z.; Szymanski, W.; Herrmann, A.; et al. Photoswitching of DNA Hybridization Using a Molecular Motor. J. Am. Chem. Soc. 2018, 140, 5069–5076. [Google Scholar] [CrossRef]
- Helmi, S.; Benson, E.; Thiele, J.C.; Moulin, E.; Giuseppone, N.; Turberfield, A.J. Integration of a Synthetic Molecular Motor Into a Rotary DNA Nanostructure: A Framework for Single-Molecule Actuation. arXiv 2025, arXiv:2504.21434. [Google Scholar] [CrossRef]
- Kosuri, P.; Altheimer, B.D.; Dai, M.; Yin, P.; Zhuang, X. Rotation tracking of genome-processing enzymes using DNA origami rotors. Nature 2019, 572, 136–140. [Google Scholar] [CrossRef]
- Leumann, C.J. DNA Analogues: From Supramolecular Principles to Biological Properties. Bioorg. Med. Chem. 2002, 10, 841–854. [Google Scholar] [CrossRef]
- Murayama, K.; Asanuma, H. Design and Hybridization Properties of Acyclic Xeno Nucleic Acid Oligomers. ChemBioChem 2021, 22, 2507–2515. [Google Scholar] [CrossRef] [PubMed]
- Inoue, H.; Hayase, Y.; Imura, A.; Iwai, S.; Miura, K.; Ohtsuka, E. Synthesis and hybridization studies on two complementary nona(2’-O-methyl)ribonucleotides. Nucleic Acids Res. 1987, 15, 6131–6148. [Google Scholar] [CrossRef]
- Lesnik, E.A.; Guinosso, C.J.; Kawasaki, A.M.; Sasmor, H.; Zounes, M.; Cummins, L.L.; Ecker, D.J.; Cook, P.D.; Freier, S.M. Oligodeoxynucleotides containing 2’-O-modified adenosine: Synthesis and effects on stability of DNA:RNA duplexes. Biochemistry 1993, 32, 7832–7838. [Google Scholar] [CrossRef] [PubMed]
- Hill, A.C.; Hall, J. The MOE Modification of RNA: Origins and Widescale Impact on the Oligonucleotide Therapeutics Field. Helv. Chim. Acta 2023, 106, e202200169. [Google Scholar] [CrossRef]
- Egli, M.; Manoharan, M. Chemistry, structure and function of approved oligonucleotide therapeutics. Nucleic Acids Res. 2023, 51, 2529–2573. [Google Scholar] [CrossRef]
- Kaur, H.; Babu, B.R.; Maiti, S. Perspectives on Chemistry and Therapeutic Applications of Locked Nucleic Acid (LNA). Chem. Rev. 2007, 107, 4672–4697. [Google Scholar] [CrossRef]
- Koshkin, A.A.; Nielsen, P.; Meldgaard, M.; Rajwanshi, V.K.; Singh, S.K.; Wengel, J. LNA (Locked Nucleic Acid): An RNA Mimic Forming Exceedingly Stable LNA:LNA Duplexes. J. Am. Chem. Soc. 1998, 120, 13252–13253. [Google Scholar] [CrossRef]
- Vester, B.; Wengel, J. LNA (Locked Nucleic Acid): High-Affinity Targeting of Complementary RNA and DNA. Biochemistry 2004, 43, 13233–13241. [Google Scholar] [CrossRef] [PubMed]
- Rajwanshi, V.K.; Håkansson, A.E.; Sørensen, M.D.; Pitsch, S.; Singh, S.K.; Kumar, R.; Nielsen, P.; Wengel, J. The Eight Stereoisomers of LNA (Locked Nucleic Acid): A Remarkable Family of Strong RNA Binding Molecules. Angew. Chem. Int. Ed. 2000, 39, 1656–1659. [Google Scholar] [CrossRef]
- Fluiter, K.; Frieden, M.; Vreijling, J.; Rosenbohm, C.; De Wissel, M.B.; Christensen, S.M.; Koch, T.; Ørum, H.; Baas, F. On the in vitro and in vivo Properties of Four Locked Nucleic Acid Nucleotides Incorporated into an Anti-H-Ras Antisense Oligonucleotide. ChemBioChem 2005, 6, 1104–1109. [Google Scholar] [CrossRef]
- Steffens, R.; Leumann, C.J. Tricyclo-DNA: A Phosphodiester-Backbone Based DNA Analog Exhibiting Strong Complementary Base-Pairing Properties. J. Am. Chem. Soc. 1997, 119, 11548–11549. [Google Scholar] [CrossRef]
- Renneberg, D. Antisense properties of tricyclo-DNA. Nucleic Acids Res. 2002, 30, 2751–2757. [Google Scholar] [CrossRef]
- Renneberg, D.; Leumann, C.J. Watson-Crick Base-Pairing Properties of Tricyclo-DNA. J. Am. Chem. Soc. 2002, 124, 5993–6002. [Google Scholar] [CrossRef] [PubMed]
- Hendrix, C.; Rosemeyer, H.; Verheggen, I.; Van Aerschot, A.; Seela, F.; Herdewijn, P. 1′,5′-Anhydrohexitol Oligonucleotides: Synthesis, Base Pairing and Recognition by Regular Oligodeoxyribonucleotides and Oligoribonucleotides. Chem. Eur. J. 1997, 3, 110–120. [Google Scholar] [CrossRef]
- Herdewijn, P. Nucleic Acids with a Six-Membered ‘Carbohydrate’ Mimic in the Backbone. Chem. Biodivers. 2010, 7, 1–59. [Google Scholar] [CrossRef]
- Martín-Pintado, N.; Yahyaee-Anzahaee, M.; Campos-Olivas, R.; Noronha, A.M.; Wilds, C.J.; Damha, M.J.; González, C. The solution structure of double helical arabino nucleic acids (ANA and 2′F-ANA): Effect of arabinoses in duplex-hairpin interconversion. Nucleic Acids Res. 2012, 40, 9329–9339. [Google Scholar] [CrossRef] [PubMed]
- Kim, S.C.; Zhou, L.; Zhang, W.; O’Flaherty, D.K.; Rondo-Brovetto, V.; Szostak, J.W. A Model for the Emergence of RNA from a Prebiotically Plausible Mixture of Ribonucleotides, Arabinonucleotides, and 2′-Deoxynucleotides. J. Am. Chem. Soc. 2020, 142, 2317–2326. [Google Scholar] [CrossRef]
- Garbesi, A.; Capobianco, M.L.; Colonna, F.P.; Tondelli, L.; Arcamone, F.; Manzini, G.; Hilbers, C.W.; Aelen, J.M.; Blommers, M.J. L-DNAs as potential antimessenger oligonucleotides: A reassessment. Nucleic Acids Res. 1993, 21, 4159–4165. [Google Scholar] [CrossRef]
- Roberts, T.C.; Langer, R.; Wood, M.J.A. Advances in oligonucleotide drug delivery. Nat. Rev. Drug Discov. 2020, 19, 673–694. [Google Scholar] [CrossRef]
- Jackson, A.L.; Burchard, J.; Leake, D.; Reynolds, A.; Schelter, J.; Guo, J.; Johnson, J.M.; Lim, L.; Karpilow, J.; Nichols, K.; et al. Position-specific chemical modification of siRNAs reduces “off-target” transcript silencing. RNA 2006, 12, 1197–1205. [Google Scholar] [CrossRef]
- Khvorova, A.; Watts, J.K. The chemical evolution of oligonucleotide therapies of clinical utility. Nat. Biotechnol. 2017, 35, 238–248. [Google Scholar] [CrossRef]
- Kobayashi, Y.; Chhoeu, C.; Li, J.; Price, K.S.; Kiedrowski, L.A.; Hutchins, J.L.; Hardin, A.I.; Wei, Z.; Hong, F.; Bahcall, M.; et al. Silent mutations reveal therapeutic vulnerability in RAS Q61 cancers. Nature 2022, 603, 335–342. [Google Scholar] [CrossRef] [PubMed]
- Monia, B.P.; Lesnik, E.A.; Gonzalez, C.; Lima, W.F.; McGee, D.; Guinosso, C.J.; Kawasaki, A.M.; Cook, P.D.; Freier, S.M. Evaluation of 2′-modified oligonucleotides containing 2′-deoxy gaps as antisense inhibitors of gene expression. J. Biol. Chem. 1993, 268, 14514–14522. [Google Scholar] [CrossRef] [PubMed]
- Yamada, K.; Abe, Y.; Murase, H.; Ida, Y.; Hagihara, S.; Nagatsugi, F. Synthesis and Properties of 2′-OMe-RNAs Modified with Cross-Linkable 7-Deazaguanosine Derivatives. J. Org. Chem. 2018, 83, 8851–8862. [Google Scholar] [CrossRef]
- Obad, S.; dos Santos, C.O.; Petri, A.; Heidenblad, M.; Broom, O.; Ruse, C.; Fu, C.; Lindow, M.; Stenvang, J.; Straarup, E.M.; et al. Silencing of microRNA families by seed-targeting tiny LNAs. Nat. Genet. 2011, 43, 371–378. [Google Scholar] [CrossRef]
- Klußmann, S.; Nolte, A.; Bald, R.; Erdmann, V.A.; Fürste, J.P. Mirror-image RNA that binds D-adenosine. Nat. Biotechnol. 1996, 14, 1112–1115. [Google Scholar] [CrossRef]
- Bratu, D.P.; Cha, B.-J.; Mhlanga, M.M.; Kramer, F.R.; Tyagi, S. Visualizing the distribution and transport of mRNAs in living cells. Proc. Natl. Acad. Sci. USA 2003, 100, 13308–13313. [Google Scholar] [CrossRef]
- Vargas, D.Y.; Raj, A.; Marras, S.A.E.; Kramer, F.R.; Tyagi, S. Mechanism of mRNA transport in the nucleus. Proc. Natl. Acad. Sci. USA 2005, 102, 17008–17013. [Google Scholar] [CrossRef]
- Kubota, T.; Ikeda, S.; Yanagisawa, H.; Yuki, M.; Okamoto, A. Sets of RNA Repeated Tags and Hybridization-Sensitive Fluorescent Probes for Distinct Images of RNA in a Living Cell. PLoS ONE 2010, 5, e13003. [Google Scholar] [CrossRef]
- Oomoto, I.; Suzuki-Hirano, A.; Umeshima, H.; Han, Y.-W.; Yanagisawa, H.; Carlton, P.; Harada, Y.; Kengaku, M.; Okamoto, A.; Shimogori, T.; et al. ECHO-liveFISH:in vivoRNA labeling reveals dynamic regulation of nuclear RNA foci in living tissues. Nucleic Acids Res. 2015, 43, e126. [Google Scholar] [CrossRef] [PubMed]
- Valoczi, A. Sensitive and specific detection of microRNAs by northern blot analysis using LNA-modified oligonucleotide probes. Nucleic Acids Res. 2004, 32, e175. [Google Scholar] [CrossRef]
- Yu, H.; Zhang, S.; Chaput, J.C. Darwinian evolution of an alternative genetic system provides support for TNA as an RNA progenitor. Nat. Chem. 2012, 4, 183–187. [Google Scholar] [CrossRef] [PubMed]
- Yu, H.; Zhang, S.; Dunn, M.R.; Chaput, J.C. An Efficient and Faithful in Vitro Replication System for Threose Nucleic Acid. J. Am. Chem. Soc. 2013, 135, 3583–3591. [Google Scholar] [CrossRef] [PubMed]
- Nikoomanzar, A.; Vallejo, D.; Chaput, J.C. Elucidating the Determinants of Polymerase Specificity by Microfluidic-Based Deep Mutational Scanning. ACS Synth. Biol. 2019, 8, 1421–1429. [Google Scholar] [CrossRef]
- Mei, H.; Liao, J.-Y.; Jimenez, R.M.; Wang, Y.; Bala, S.; McCloskey, C.; Switzer, C.; Chaput, J.C. Synthesis and Evolution of a Threose Nucleic Acid Aptamer Bearing 7-Deaza-7-Substituted Guanosine Residues. J. Am. Chem. Soc. 2018, 140, 5706–5713. [Google Scholar] [CrossRef]
- Dunn, M.R.; McCloskey, C.M.; Buckley, P.; Rhea, K.; Chaput, J.C. Generating Biologically Stable TNA Aptamers that Function with High Affinity and Thermal Stability. J. Am. Chem. Soc. 2020, 142, 7721–7724. [Google Scholar] [CrossRef]
- Rangel, A.E.; Chen, Z.; Ayele, T.M.; Heemstra, J.M. In vitro selection of an XNA aptamer capable of small-molecule recognition. Nucleic Acids Res. 2018, 46, 8057–8068. [Google Scholar] [CrossRef]
- Eremeeva, E.; Fikatas, A.; Margamuljana, L.; Abramov, M.; Schols, D.; Groaz, E.; Herdewijn, P. Highly stable hexitol based XNA aptamers targeting the vascular endothelial growth factor. Nucleic Acids Res. 2019, 47, 4927–4939. [Google Scholar] [CrossRef] [PubMed]
- Pinheiro, V.B.; Taylor, A.I.; Cozens, C.; Abramov, M.; Renders, M.; Zhang, S.; Chaput, J.C.; Wengel, J.; Peak-Chew, S.-Y.; McLaughlin, S.H.; et al. Synthetic Genetic Polymers Capable of Heredity and Evolution. Science 2012, 336, 341–344. [Google Scholar] [CrossRef] [PubMed]
- Taylor, A.I.; Pinheiro, V.B.; Smola, M.J.; Morgunov, A.S.; Peak-Chew, S.; Cozens, C.; Weeks, K.M.; Herdewijn, P.; Holliger, P. Catalysts from synthetic genetic polymers. Nature 2014, 518, 427–430. [Google Scholar] [CrossRef]
- Wittung, P.; Nielsen, P.E.; Buchardt, O.; Egholm, M.; Norde’n, B. DNA-like double helix formed by peptide nucleic acid. Nature 1994, 368, 561–563. [Google Scholar] [CrossRef]
- Hyrup, B.; Nielsen, P.E. Peptide Nucleic Acids (PNA): Synthesis, properties and potential applications. Bioorg. Med. Chem. 1996, 4, 5–23. [Google Scholar] [CrossRef] [PubMed]
- Egholm, M.; Buchardt, O.; Nielsen, P.E.; Berg, R.H. Peptide nucleic acids (PNA). Oligonucleotide analogs with an achiral peptide backbone. J. Am. Chem. Soc. 1992, 114, 1895–1897. [Google Scholar] [CrossRef]
- Betts, L.; Josey, J.A.; Veal, J.M.; Jordan, S.R. A Nucleic Acid Triple Helix Formed by a Peptide Nucleic Acid-DNA Complex. Science 1995, 270, 1838–1841. [Google Scholar] [CrossRef]
- Nielsen, P.E.; Haaima, G.; Lohse, A.; Buchardt, O. Peptide Nucleic Acids (PNAs) Containing Thymine Monomers Derived from Chiral Amino Acids: Hybridization and Solubility Properties of D-Lysine PNA. Angew. Chem. Int. Ed. 1996, 35, 1939–1942. [Google Scholar] [CrossRef]
- Sforza, S.; Haaima, G.; Marchelli, R.; Nielsen, P.E. Chiral Peptide Nucleic Acids (PNAs): Helix Handedness and DNA Recognition. Eur. J. Org. Chem. 1999, 1, 197–204. [Google Scholar] [CrossRef]
- Dragulescu-Andrasi, A.; Rapireddy, S.; Frezza, B.M.; Gayathri, C.; Gil, R.R.; Ly, D.H. A Simple γ-Backbone Modification Preorganizes Peptide Nucleic Acid into a Helical Structure. J. Am. Chem. Soc. 2006, 128, 10258–10267. [Google Scholar] [CrossRef]
- Sacui, I.; Hsieh, W.-C.; Manna, A.; Sahu, B.; Ly, D.H. Gamma Peptide Nucleic Acids: As Orthogonal Nucleic Acid Recognition Codes for Organizing Molecular Self-Assembly. J. Am. Chem. Soc. 2015, 137, 8603–8610. [Google Scholar] [CrossRef] [PubMed]
- Lowe, G.; Vilaivan, T. Solid-phase synthesis of novel peptide nucleic acids. J. Chem. Soc. Perkin Trans. 1 1997, 555–560. [Google Scholar] [CrossRef]
- Wittung, P.; Nielsen, P.; Nordén, B. Observation of a PNA-PNA-PNA Triplex. J. Am. Chem. Soc. 1997, 119, 3189–3190. [Google Scholar] [CrossRef]
- Myers, M.C.; Witschi, M.A.; Larionova, N.V.; Franck, J.M.; Haynes, R.D.; Hara, T.; Grajkowski, A.; Appella, D.H. A Cyclopentane Conformational Restraint for a Peptide Nucleic Acid: Design, Asymmetric Synthesis, and Improved Binding Affinity to DNA and RNA. Org. Lett. 2003, 5, 2695–2698. [Google Scholar] [CrossRef]
- Suparpprom, C.; Vilaivan, T. Perspectives on conformationally constrained peptide nucleic acid (PNA): Insights into the structural design, properties and applications. RSC Chem. Biol. 2022, 3, 648–697. [Google Scholar] [CrossRef] [PubMed]
- Meggers, E.; Zhang, L. Synthesis and Properties of the Simplified Nucleic Acid Glycol Nucleic Acid. Acc. Chem. Res. 2010, 43, 1092–1102. [Google Scholar] [CrossRef]
- Merle, Y.; Bonneil, E.; Merle, L.; Sági, J.; Szemzö, A. Acyclic oligonucleotide analogues. Int. J. Biol. Macromol. 1995, 17, 239–246. [Google Scholar] [CrossRef]
- Vandendriessche, F.; Augustyns, K.; Van Aerschot, A.; Busson, R.; Hoogmartens, J.; Herdewijn, P. Acyclic oligonucleotides: Possibilities and limitations. Tetrahedron 1993, 49, 7223–7238. [Google Scholar] [CrossRef]
- Peng, L.; Roth, H. Synthesis and Properties of 2′-Deoxy-1’,2′-seco-D-ribosyl (5’→3′)oligonucleotides (= 1’,2′-seco-DNA) containing adenine and thymine. Helv. Chim. Acta 1997, 80, 1494–1512. [Google Scholar] [CrossRef]
- Karri, P.; Punna, V.; Kim, K.; Krishnamurthy, R. Base-Pairing Properties of a Structural Isomer of Glycerol Nucleic Acid. Angew. Chem. Int. Ed. 2013, 52, 5840–5844. [Google Scholar] [CrossRef]
- Kumar, V.; Gore, K.R.; Pradeepkumar, P.I.; Kesavan, V. Design, synthesis, biophysical and primer extension studies of novel acyclic butyl nucleic acid (BuNA). Org. Biomol. Chem. 2013, 11, 5853. [Google Scholar] [CrossRef]
- Li, P.; Sun, J.; Su, M.; Yang, X.; Tang, X. Design, synthesis and properties of artificial nucleic acids from (R)-4-amino-butane-1,3-diol. Org. Biomol. Chem. 2014, 12, 2263. [Google Scholar] [CrossRef]
- Murayama, K.; Kashida, H.; Asanuma, H. Acyclic L-threoninol nucleic acid (L-aTNA) with suitable structural rigidity cross-pairs with DNA and RNA. Chem. Commun. 2015, 51, 6500–6503. [Google Scholar] [CrossRef]
- Murayama, K.; Kashida, H.; Asanuma, H. Methyl group configuration on acyclic threoninol nucleic acids (aTNAs) impacts supramolecular properties. Org. Biomol. Chem. 2022, 20, 4115–4122. [Google Scholar] [CrossRef] [PubMed]
- Stoltze, I.C.; Gothelf, K.V. Applications of (l)-Acyclic Threoninol Nucleic Acids. Acc. Chem. Res. 2025, 58, 2671–2681. [Google Scholar] [CrossRef]
- Kamiya, Y.; Satoh, T.; Kodama, A.; Suzuki, T.; Murayama, K.; Kashida, H.; Uchiyama, S.; Kato, K.; Asanuma, H. Intrastrand backbone-nucleobase interactions stabilize unwound right-handed helical structures of heteroduplexes of L-aTNA/RNA and SNA/RNA. Commun. Chem. 2020, 3, 156. [Google Scholar] [CrossRef] [PubMed]
- Kumar, V.; Kesavan, V.; Gothelf, K.V. Highly stable triple helix formation by homopyrimidine (l)-acyclic threoninol nucleic acids with single stranded DNA and RNA. Org. Biomol. Chem. 2015, 13, 2366–2374. [Google Scholar] [CrossRef] [PubMed]
- Kumar, V.; Nguyen, T.J.D.; Palmfeldt, J.; Gothelf, K.V. Formation of i-motifs from acyclic (l)-threoninol nucleic acids. Org. Biomol. Chem. 2019, 17, 7655–7659. [Google Scholar] [CrossRef]
- Kumar, V.; Gothelf, K.V. Synthesis and biophysical properties of (l)-aTNA based G-quadruplexes. Org. Biomol. Chem. 2016, 14, 1540–1544. [Google Scholar] [CrossRef]
- Lohse, J.; Dahl, O.; Nielsen, P.E. Double duplex invasion by peptide nucleic acid: A general principle for sequence-specific targeting of double-stranded DNA. Proc. Natl. Acad. Sci. USA 1999, 96, 11804–11808. [Google Scholar] [CrossRef] [PubMed]
- Aiba, Y.; Shibata, M.; Shoji, O. Sequence-Specific Recognition of Double-Stranded DNA by Peptide Nucleic Acid Forming Double-Duplex Invasion Complex. Appl. Sci. 2022, 12, 3677. [Google Scholar] [CrossRef]
- Järver, P.; O’donovan, L.; Gait, M.J. A Chemical View of Oligonucleotides for Exon Skipping and Related Drug Applications. Nucleic Acid Ther. 2014, 24, 37–47. [Google Scholar] [CrossRef]
- Good, L.; Awasthi, S.K.; Dryselius, R.; Larsson, O.; Nielsen, P.E. Bactericidal antisense effects of peptide–PNA conjugates. Nat. Biotechnol. 2001, 19, 360–364. [Google Scholar] [CrossRef]
- Sazani, P.; Gemignani, F.; Kang, S.-H.; Maier, M.A.; Manoharan, M.; Persmark, M.; Bortner, D.; Kole, R. Systemically delivered antisense oligomers upregulate gene expression in mouse tissues. Nat. Biotechnol. 2002, 20, 1228–1233. [Google Scholar] [CrossRef] [PubMed]
- Thomas, S.M.; Sahu, B.; Rapireddy, S.; Bahal, R.; Wheeler, S.E.; Procopio, E.M.; Kim, J.; Joyce, S.C.; Contrucci, S.; Wang, Y.; et al. Antitumor Effects of EGFR Antisense Guanidine-Based Peptide Nucleic Acids in Cancer Models. ACS Chem. Biol. 2012, 8, 345–352. [Google Scholar] [CrossRef]
- Endoh, T.; Hnedzko, D.; Rozners, E.; Sugimoto, N. Nucleobase-Modified PNA Suppresses Translation by Forming a Triple Helix with a Hairpin Structure in mRNA In Vitro and in Cells. Angew. Chem. Int. Ed. 2015, 55, 899–903. [Google Scholar] [CrossRef]
- Le, B.T.; Murayama, K.; Shabanpoor, F.; Asanuma, H.; Veedu, R.N. Antisense oligonucleotide modified with serinol nucleic acid (SNA) induces exon skipping in mdx myotubes. RSC Adv. 2017, 7, 34049–34052. [Google Scholar] [CrossRef]
- Tsuboi, T.; Hattori, K.; Ishimoto, T.; Imai, K.; Doke, T.; Hagita, J.; Ariyoshi, J.; Furuhashi, K.; Kato, N.; Ito, Y.; et al. In vivo efficacy and safety of systemically administered serinol nucleic acid-modified antisense oligonucleotides in mouse kidney. Mol. Ther. Nucleic Acids 2025, 36, 102387. [Google Scholar] [CrossRef]
- Noda, Y.; Kato, N.; Sato, F.; Suzuki, Y.; Tsubota, S.; Kitai, H.; Komatsu, S.; Tanaka, A.; Sato, Y.; Maeda, K.; et al. Ameliorative Effect of an Anti–MicroRNA-21 Oligonucleotide on Animal and Human Models of Cystic Kidney Disease. Kidney360 2025, 6, 900–913. [Google Scholar] [CrossRef]
- Kamiya, Y.; Donoshita, Y.; Kamimoto, H.; Murayama, K.; Ariyoshi, J.; Asanuma, H. Introduction of 2,6-Diaminopurines into Serinol Nucleic Acid Improves Anti-miRNA Performance. ChemBioChem 2017, 18, 1917–1922. [Google Scholar] [CrossRef]
- Katsuda, Y.; Kamura, T.; Kida, T.; Ohno, R.; Shiroto, S.; Hasegawa, Y.; Utsumi, K.; Sakamoto, Y.; Nakamura, S.; Nakamura, T.; et al. Staple oligomers induce a stable RNA G-quadruplex structure for protein translation inhibition in therapeutics. Nat. Biomed. Eng. 2025. [Google Scholar] [CrossRef] [PubMed]
- Socher, E.; Bethge, L.; Knoll, A.; Jungnick, N.; Herrmann, A.; Seitz, O. Low-Noise Stemless PNA Beacons for Sensitive DNA and RNA Detection. Angew. Chem. Int. Ed. 2008, 47, 9555–9559. [Google Scholar] [CrossRef] [PubMed]
- Köhler, O.; Jarikote, D.V.; Seitz, O. Forced Intercalation Probes (FIT Probes): Thiazole Orange as a Fluorescent Base in Peptide Nucleic Acids for Homogeneous Single-Nucleotide-Polymorphism Detection. ChemBioChem 2005, 6, 69–77. [Google Scholar] [CrossRef] [PubMed]
- Fang, G.; Chamiolo, J.; Kankowski, S.; Hövelmann, F.; Friedrich, D.; Löwer, A.; Meier, J.C.; Seitz, O. A bright FIT-PNA hybridization probe for the hybridization state specific analysis of a C → U RNA edit via FRET in a binary system. Chem. Sci. 2018, 9, 4794–4800. [Google Scholar] [CrossRef]
- Sato, T.; Sato, Y.; Nishizawa, S. Triplex-Forming Peptide Nucleic Acid Probe Having Thiazole Orange as a Base Surrogate for Fluorescence Sensing of Double-stranded RNA. J. Am. Chem. Soc. 2016, 138, 9397–9400. [Google Scholar] [CrossRef]
- Kuhn, H.; Demidov, V.V.; Coull, J.M.; Fiandaca, M.J.; Gildea, B.D.; Frank-Kamenetskii, M.D. Hybridization of DNA and PNA Molecular Beacons to Single-Stranded and Double-Stranded DNA Targets. J. Am. Chem. Soc. 2002, 124, 1097–1103. [Google Scholar] [CrossRef]
- Vilaivan, T. Fluorogenic PNA probes. Beilstein J. Org. Chem. 2018, 14, 253–281. [Google Scholar] [CrossRef]
- Murayama, K.; Kamiya, Y.; Kashida, H.; Asanuma, H. Ultrasensitive Molecular Beacon Designed with Totally Serinol Nucleic Acid (SNA) for Monitoring mRNA in Cells. ChemBioChem 2015, 16, 1298–1301. [Google Scholar] [CrossRef]
- Makino, K.; Susaki, E.A.; Endo, M.; Asanuma, H.; Kashida, H. Color-Changing Fluorescent Barcode Based on Strand Displacement Reaction Enables Simple Multiplexed Labeling. J. Am. Chem. Soc. 2022, 144, 1572–1579. [Google Scholar] [CrossRef]
- Murayama, K.; Asanuma, H. A Quencher-Free Linear Probe from Serinol Nucleic Acid with a Fluorescent Uracil Analogue. ChemBioChem 2019, 21, 120–128. [Google Scholar] [CrossRef]
- Yamano, Y.; Murayama, K.; Asanuma, H. Dual Crosslinking Photo-Switches for Orthogonal Photo-Control of Hybridization Between Serinol Nucleic Acid and RNA. Chem. Eur. J. 2020, 27, 4599–4604. [Google Scholar] [CrossRef]
- Murayama, K.; Ikeda, A.; Sato, F.; Asanuma, H. Reversible photocycloaddition of 8-pyrenylvinylguanine for photoreactive serinol nucleic acid (SNA). Org. Biomol. Chem. 2025, 23, 9862–9870. [Google Scholar] [CrossRef]
- Kabza, A.M.; Young, B.E.; Sczepanski, J.T. Heterochiral DNA Strand-Displacement Circuits. J. Am. Chem. Soc. 2017, 139, 17715–17718. [Google Scholar] [CrossRef]
- Kundu, N.; Young, B.E.; Sczepanski, J.T. Kinetics of heterochiral strand displacement from PNA–DNA heteroduplexes. Nucleic Acids Res. 2021, 49, 6114–6127. [Google Scholar] [CrossRef] [PubMed]
- Chen, Y.; Nagao, R.; Murayama, K.; Asanuma, H. Orthogonal Amplification Circuits Composed of Acyclic Nucleic Acids Enable RNA Detection. J. Am. Chem. Soc. 2022, 144, 5887–5892. [Google Scholar] [CrossRef] [PubMed]
- Murayama, K.; Okita, H.; Asanuma, H. Highly Functional Acyclic Xeno Nucleic Acids. Bull. Chem. Soc. Jpn. 2023, 96, 1179–1187. [Google Scholar] [CrossRef]
- Liu, K.; Asanuma, H.; Murayama, K. Membrane-Penetrating Molecular Device Based on a Triplex Containing Acyclic L-Threoninol Nucleic Acid Functionalized with Cholesterol. Angew. Chem. Int. Ed. 2025, accepted. [Google Scholar] [CrossRef]
- Zhang, R.S.; McCullum, E.O.; Chaput, J.C. Synthesis of Two Mirror Image 4-Helix Junctions Derived from Glycerol Nucleic Acid. J. Am. Chem. Soc. 2008, 130, 5846–5847. [Google Scholar] [CrossRef]
- Märcher, A.; Kumar, V.; Andersen, V.L.; El-Chami, K.; Nguyen, T.J.D.; Skaanning, M.K.; Rudnik-Jansen, I.; Nielsen, J.S.; Howard, K.A.; Kjems, J.; et al. Functionalized Acyclic (l)-Threoninol Nucleic Acid Four-Way Junction with High Stability In Vitro and In Vivo. Angew. Chem. Int. Ed. 2022, 61, e202115275. [Google Scholar] [CrossRef] [PubMed]
- Skaanning, M.K.; Bønnelykke, J.; Nijenhuis, M.A.D.; Samanta, A.; Smidt, J.M.; Gothelf, K.V. Self-Assembly of Ultrasmall 3D Architectures of (l)-Acyclic Threoninol Nucleic Acids with High Thermal and Serum Stability. J. Am. Chem. Soc. 2024, 146, 20141–20146. [Google Scholar] [CrossRef]
- Rosenbaum, D.M.; Liu, D.R. Efficient and Sequence-Specific DNA-Templated Polymerization of Peptide Nucleic Acid Aldehydes. J. Am. Chem. Soc. 2003, 125, 13924–13925. [Google Scholar] [CrossRef]
- Kleiner, R.E.; Brudno, Y.; Birnbaum, M.E.; Liu, D.R. DNA-Templated Polymerization of Side-Chain-Functionalized Peptide Nucleic Acid Aldehydes. J. Am. Chem. Soc. 2008, 130, 4646–4659. [Google Scholar] [CrossRef]
- Brudno, Y.; Birnbaum, M.E.; Kleiner, R.E.; Liu, D.R. An in vitro translation, selection and amplification system for peptide nucleic acids. Nat. Chem. Biol. 2009, 6, 148–155. [Google Scholar] [CrossRef] [PubMed]
- Niu, J.; Hili, R.; Liu, D.R. Enzyme-free translation of DNA into sequence-defined synthetic polymers structurally unrelated to nucleic acids. Nat. Chem. 2013, 5, 282–292. [Google Scholar] [CrossRef] [PubMed]
- Murayama, K.; Okita, H.; Kuriki, T.; Asanuma, H. Nonenzymatic polymerase-like template-directed synthesis of acyclic l-threoninol nucleic acid. Nat. Commun. 2021, 12, 804. [Google Scholar] [CrossRef]
- Okita, H.; Kondo, S.; Murayama, K.; Asanuma, H. Rapid Chemical Ligation of DNA and Acyclic Threoninol Nucleic Acid (aTNA) for Effective Nonenzymatic Primer Extension. J. Am. Chem. Soc. 2023, 145, 17872–17880. [Google Scholar] [CrossRef]
- Okita, H.; Murayama, K.; Asanuma, H. Chirality-Promoted Chemical Ligation and Reverse Transcription of Acyclic Threoninol Nucleic Acid. J. Am. Chem. Soc. 2025, 147, 17967–17974. [Google Scholar] [CrossRef]
- Joshi, S.; Romanens, P.; Winssinger, N. Sequencing of d/l-DNA and XNA by Templated-Synthesis. J. Am. Chem. Soc. 2025, 147, 6288–6296. [Google Scholar] [CrossRef] [PubMed]
- Kimoto, M.; Hirao, I. Genetic Alphabet Expansion Technology by Creating Unnatural Base Pairs. Chem. Soc. Rev. 2020, 49, 7602–7626. [Google Scholar] [CrossRef]
- Kimoto, M.; Hirao, I. Genetic Code Engineering by Natural and Unnatural Base Pair Systems for the Site-Specific Incorporation of Non-Standard Amino Acids into Proteins. Front. Mol. Biosci. 2022, 9, 851646. [Google Scholar] [CrossRef]
- Manandhar, M.; Chun, E.; Romesberg, F.E. Genetic Code Expansion: Inception, Development, Commercialization. J. Am. Chem. Soc. 2021, 143, 4859–4878. [Google Scholar] [CrossRef]
- Malyshev, D.A.; Romesberg, F.E. The Expanded Genetic Alphabet. Angew. Chem. Int. Ed. 2015, 54, 11930–11944. [Google Scholar] [CrossRef]
- Doerrenhaus, R.; Wagner, P.K.; Kath-Schorr, S. Two are Not Enough: Synthetic Strategies and Applications of Unnatural Base Pairs. Biol. Chem. 2023, 404, 883–896. [Google Scholar] [CrossRef] [PubMed]
- Switzer, C.; Moroney, S.E.; Benner, S.A. Enzymatic Incorporation of a New Base Pair into DNA and RNA. J. Am. Chem. Soc. 1989, 111, 8322–8323. [Google Scholar] [CrossRef]
- Piccirilli, J.A.; Benner, S.A.; Krauch, T.; Moroney, S.E.; Benner, S.A. Enzymatic Incorporation of a New Base Pair into DNA and RNA Extends the Genetic Alphabet. Nature 1990, 343, 33–37. [Google Scholar] [CrossRef] [PubMed]
- Yang, Z.; Sismour, A.M.; Sheng, P.; Puskar, N.L.; Benner, S.A. Enzymatic Incorporation of a Third Nucleobase Pair. Nucleic Acids Res. 2007, 35, 4238–4249. [Google Scholar] [CrossRef]
- Hoshika, S.; Leal, N.A.; Kim, M.J.; Kim, M.S.; Karalkar, N.B.; Kim, H.Y.; Bates, A.M.; Watkins, N.E., Jr.; SantaLucia, H.A.; Meyer, A.J.; et al. Hachimoji DNA and RNA: A Genetic System with Eight Building Blocks. Science 2019, 363, 884–887. [Google Scholar] [CrossRef]
- Hirao, I.; Ohtsuki, T.; Fujiwara, T.; Mitsui, T.; Yokogawa, T.; Okuni, T.; Nakayama, H.; Takio, K.; Yabuki, T.; Kigawa, T.; et al. An Unnatural Base Pair for Incorporating Amino Acid Analogs into Proteins. Nat. Biotechnol. 2002, 20, 177–182. [Google Scholar] [CrossRef]
- Minakawa, N.; Ogata, S.; Takahashi, M.; Matsuda, A. Selective Recognition of Unnatural Imidazopyridopyrimidine: Naphthyridine Base Pairs Consisting of Four Hydrogen Bonds by the Klenow Fragment. J. Am. Chem. Soc. 2009, 131, 1644–1645. [Google Scholar] [CrossRef] [PubMed]
- Tarashima, N.; Komatsu, Y.; Furukawa, K.; Minakawa, N. Faithful PCR Amplification of an Unnatural Base-pair Analogue with Four Hydrogen Bonds. Chem. Eur. J. 2015, 21, 10688–10695. [Google Scholar] [CrossRef]
- Liu, H.; Gao, J.; Lynch, S.R.; Saito, Y.D.; Maynard, L.; Kool, E.T. A Four-Base Paired Genetic Helix with Expanded Size. Science 2003, 302, 868–871. [Google Scholar] [CrossRef] [PubMed]
- Winnacker, M.; Kool, E.T. Artificial Genetic Sets Composed of Size-expanded Base Pairs. Angew. Chem. Int. Ed. 2013, 52, 12498–12508. [Google Scholar] [CrossRef]
- Lu, H.; He, K.; Kool, E.T. yDNA: A New Geometry for Size-expanded Base Pairs. Angew. Chem. Int. Ed. 2004, 43, 5834–5836. [Google Scholar] [CrossRef] [PubMed]
- Doi, Y.; Chiba, J.; Morikawa, T.; Inouye, M. Artificial DNA Made Exclusively of Nonnatural C-Nucleosides with Four Types of Nonnatural Bases. J. Am. Chem. Soc. 2008, 130, 8762–8768. [Google Scholar] [CrossRef]
- Okamura, H.; Trinh, G.H.; Dong, Z.; Masaki, Y.; Seio, K.; Nagatsugi, F. Selective and Stable Base Pairing by Alkynylated Nucleosides Featuring a Spatially-Separated Recognition Interface. Nucleic Acids Res. 2022, 50, 3042–3055. [Google Scholar] [CrossRef]
- Sherrill, C.B.; Marshall, D.J.; Moser, M.J.; Larsen, C.A.; Daudé-Snow, L.; Prudent, J.R. Nucleic Acid Analysis Using an Expanded Genetic Alphabet to Quench Fluorescence. J. Am. Chem. Soc. 2004, 126, 4550–4556. [Google Scholar] [CrossRef]
- Glushakova, L.G.; Bradley, A.; Bradley, K.M.; Alto, B.W.; Hoshika, S.; Hutter, D.; Sharma, N.; Yang, Z.; Kim, M.; Benner, S.A. High-Throughput Multiplexed xMAP Luminex Array Panel for Detection of Twenty-Two Medically Important Mosquito-Borne Arboviruses Based on Innovations in Synthetic Biology. J. Virol. Methods 2015, 214, 60–74. [Google Scholar] [CrossRef]
- Sefah, K.; Yang, Z.; Bradley, K.M.; Hoshika, S.; Jiménez, E.; Zhang, L.; Zhu, G.; Shanker, S.; Yu, F.; Turek, D.; et al. In Vitro Selection with Artificial Expanded Genetic Information Systems. Proc. Natl. Acad. Sci. USA 2014, 111, 1449–1454. [Google Scholar] [CrossRef]
- Jerome, C.A.; Hoshika, S.; Bradley, K.M.; Benner, S.A.; Biondi, E. In Vitro Evolution of Ribonucleases from Expanded Genetic Alphabets. Proc. Natl. Acad. Sci. USA 2022, 119, e2208261119. [Google Scholar] [CrossRef]
- Bain, J.D.; Switzer, C.; Chamberlin, R.; Benner, S.A. Ribosome-Mediated Incorporation of a Non-Standard Amino Acid into a Peptide through Expansion of the Genetic Code. Nature 1992, 356, 537–539. [Google Scholar] [CrossRef]
- Vecchioni, S.; Ohayon, Y.P.; Hernandez, C.; Hoshika, S.; Mao, C.; Benner, S.A.; Sha, R. Six-Letter DNA Nanotechnology: Incorporation of Z-P Base Pairs into Self-Assembling 3D Crystals. Nano Lett. 2024, 24, 14302–14306. [Google Scholar] [CrossRef] [PubMed]
- Zheng, J.; Birktoft, J.J.; Chen, Y.; Wang, T.; Sha, R.; Constantinou, P.E.; Ginell, S.L.; Mao, C.; Seeman, N.C. From Molecular to Macroscopic Via the Rational Design of a Self-Assembled 3D DNA Crystal. Nature 2009, 461, 74–77. [Google Scholar] [CrossRef]
- Wang, B.; Rocca, J.R.; Hoshika, S.; Chen, C.; Yang, Z.; Esmaeeli, R.; Wang, J.; Pan, X.; Lu, J.; Wang, K.K.; et al. A Folding Motif Formed with an Expanded Genetic Alphabet. Nat. Chem. 2024, 16, 1715–1722. [Google Scholar] [CrossRef]
- Kawabe, H.; Thomas, C.A.; Hoshika, S.; Kim, M.; Kim, M.; Miessner, L.; Kaplan, N.; Craig, J.M.; Gundlach, J.H.; Laszlo, A.H.; et al. Enzymatic Synthesis and Nanopore Sequencing of 12-Letter Supernumerary DNA. Nat. Commun. 2023, 14, 6820. [Google Scholar] [CrossRef]
- Leconte, A.M.; Hwang, G.T.; Matsuda, S.; Capek, P.; Hari, Y.; Romesberg, F.E. Discovery, Characterization, and Optimization of an Unnatural Base Pair for Expansion of the Genetic Alphabet. J. Am. Chem. Soc. 2008, 130, 2336–2343. [Google Scholar] [CrossRef] [PubMed]
- Seo, Y.J.; Hwang, G.T.; Ordoukhanian, P.; Romesberg, F.E. Optimization of an Unnatural Base Pair Toward Natural-Like Replication. J. Am. Chem. Soc. 2009, 131, 3246–3252. [Google Scholar] [CrossRef] [PubMed]
- Seo, Y.J.; Matsuda, S.; Romesberg, F.E. Transcription of an Expanded Genetic Alphabet. J. Am. Chem. Soc. 2009, 131, 5046–5047. [Google Scholar] [CrossRef]
- Hirao, I.; Kimoto, M.; Mitsui, T.; Fujiwara, T.; Kawai, R.; Sato, A.; Harada, Y.; Yokoyama, S. An Unnatural Hydrophobic Base Pair System: Site-Specific Incorporation of Nucleotide Analogs into DNA and RNA. Nat. Methods 2006, 3, 729–735. [Google Scholar] [CrossRef]
- Kimoto, M.; Kawai, R.; Mitsui, T.; Yokoyama, S.; Hirao, I. An Unnatural Base Pair System for Efficient PCR Amplification and Functionalization of DNA Molecules. Nucleic Acids Res. 2009, 37, e14. [Google Scholar] [CrossRef] [PubMed]
- Kimoto, M.; Mitsui, T.; Harada, Y.; Sato, A.; Yokoyama, S.; Hirao, I. Fluorescent Probing for RNA Molecules by an Unnatural Base-Pair System. Nucleic Acids Res. 2007, 35, 5360–5369. [Google Scholar] [CrossRef]
- Betz, K.; Kimoto, M.; Diederichs, K.; Hirao, I.; Marx, A. Structural Basis for Expansion of the Genetic Alphabet with an Artificial Nucleobase Pair. Angew. Chem. Int. Ed. 2017, 56, 12000–12003. [Google Scholar] [CrossRef]
- Kimoto, M.; Mitsui, T.; Yamashige, R.; Sato, A.; Yokoyama, S.; Hirao, I. A New Unnatural Base Pair System between Fluorophore and Quencher Base Analogues for Nucleic Acid-Based Imaging Technology. J. Am. Chem. Soc. 2010, 132, 15418–15426. [Google Scholar] [CrossRef]
- Oh, J.; Kimoto, M.; Xu, H.; Chong, J.; Hirao, I.; Wang, D. Structural Basis of Transcription Recognition of a Hydrophobic Unnatural Base Pair by T7 RNA Polymerase. Nat. Commun. 2023, 14, 195. [Google Scholar] [CrossRef]
- Lee, K.H.; Kimoto, M.; Kawai, G.; Okamoto, I.; Fin, A.; Hirao, I. Dye-Conjugated Spinach RNA by Genetic Alphabet Expansion. Chem. Eur. J. 2022, 28, e202104396. [Google Scholar] [CrossRef]
- Lavergne, T.; Lamichhane, R.; Malyshev, D.A.; Li, Z.; Li, L.; Sperling, E.; Williamson, J.R.; Millar, D.P.; Romesberg, F.E. FRET Characterization of Complex Conformational Changes in a Large 16S Ribosomal RNA Fragment Site-Specifically Labeled using Unnatural Base Pairs. ACS Chem. Biol. 2016, 11, 1347–1353. [Google Scholar] [CrossRef] [PubMed]
- Kimoto, M.; Yamashige, R.; Matsunaga, K.; Yokoyama, S.; Hirao, I. Generation of High-Affinity DNA Aptamers using an Expanded Genetic Alphabet. Nat. Biotechnol. 2013, 31, 453–457. [Google Scholar] [CrossRef]
- Matsunaga, K.; Kimoto, M.; Hirao, I. High-Affinity DNA Aptamer Generation Targeting Von Willebrand Factor A1-Domain by Genetic Alphabet Expansion for Systematic Evolution of Ligands by Exponential Enrichment using Two Types of Libraries Composed of Five Different Bases. J. Am. Chem. Soc. 2017, 139, 324–334. [Google Scholar] [CrossRef]
- Kimoto, M.; Tan, H.P.; Matsunaga, K.; Binte Mohd Mislan, N.A.; Kawai, G.; Hirao, I. Strict Interactions of Fifth Letters, Hydrophobic Unnatural Bases, in XenoAptamers with Target Proteins. J. Am. Chem. Soc. 2023, 145, 20432–20441. [Google Scholar] [CrossRef]
- Futami, K.; Kimoto, M.; Lim, Y.W.S.; Hirao, I. Genetic Alphabet Expansion Provides Versatile Specificities and Activities of Unnatural-Base DNA Aptamers Targeting Cancer Cells. Mol. Ther. Nucleic Acids 2019, 14, 158–170. [Google Scholar] [CrossRef] [PubMed]
- Malyshev, D.A.; Dhami, K.; Lavergne, T.; Chen, T.; Dai, N.; Foster, J.M.; Corrêa, I.R.; Romesberg, F.E. A Semi-Synthetic Organism with an Expanded Genetic Alphabet. Nature 2014, 509, 385–388. [Google Scholar] [CrossRef]
- Zhang, Y.; Lamb, B.M.; Feldman, A.W.; Zhou, A.X.; Lavergne, T.; Li, L.; Romesberg, F.E. A Semisynthetic Organism Engineered for the Stable Expansion of the Genetic Alphabet. Proc. Natl. Acad. Sci. USA 2017, 114, 1317–1322. [Google Scholar] [CrossRef] [PubMed]
- Feldman, A.W.; Dien, V.T.; Karadeema, R.J.; Fischer, E.C.; You, Y.; Anderson, B.A.; Krishnamurthy, R.; Chen, J.S.; Li, L.; Romesberg, F.E. Optimization of Replication, Transcription, and Translation in a Semi-Synthetic Organism. J. Am. Chem. Soc. 2019, 141, 10644–10653. [Google Scholar] [CrossRef]
- Takezawa, Y.; Shionoya, M. Metal-Mediated DNA Base Pairing: Alternatives to Hydrogen-Bonded Watson–Crick Base Pairs. Acc. Chem. Res. 2012, 45, 2066–2076. [Google Scholar] [CrossRef] [PubMed]
- Takezawa, Y.; Müller, J.; Shionoya, M. Artificial DNA Base Pairing Mediated by Diverse Metal Ions. Chem. Lett. 2017, 46, 622–633. [Google Scholar] [CrossRef]
- Naskar, S.; Guha, R.; Müller, J. Metal-Modified Nucleic Acids: Metal-Mediated Base Pairs, Triples, and Tetrads. Angew. Chem. Int. Ed. 2020, 59, 1397–1406. [Google Scholar] [CrossRef]
- Tanaka, Y.; Kondo, J.; Sychrovský, V.; Šebera, J.; Dairaku, T.; Saneyoshi, H.; Urata, H.; Torigoe, H.; Ono, A. Structures, Physicochemical Properties, and Applications of T–HgII–T, C–AgI–C, and Other Metallo-Base-Pairs. Chem. Commun. 2015, 51, 17343–17360. [Google Scholar] [CrossRef]
- Katz, S. Reversible Reaction of Double-Stranded Polynucleotides and Hg2+: Separation of the Strands. Nature 1962, 195, 997–998. [Google Scholar] [CrossRef]
- Katz, S. The Reversible Reaction of Hg(II) and Double-Stranded Polynucleotides: A Step-Function Theory and its Significance. Biochim. Biophys. Acta, Spec. Sect. Nucleic Acids Relat. Subj. 1963, 68, 240–253. [Google Scholar] [CrossRef]
- Miyake, Y.; Togashi, H.; Tashiro, M.; Yamaguchi, H.; Oda, S.; Kudo, M.; Tanaka, Y.; Kondo, Y.; Sawa, R.; Fujimoto, T.; et al. MercuryII-Mediated Formation of Thymine–Hg2+–Thymine Base Pairs in DNA Duplexes. J. Am. Chem. Soc. 2006, 128, 2172–2173. [Google Scholar] [CrossRef] [PubMed]
- Kondo, J.; Yamada, T.; Hirose, C.; Okamoto, I.; Tanaka, Y.; Ono, A. Crystal Structure of Metallo DNA Duplex Containing Consecutive Watson–Crick-like T–Hg2+–T Base Pairs. Angew. Chem. Int. Ed. 2014, 53, 2385–2388. [Google Scholar] [CrossRef]
- Torigoe, H.; Ono, A.; Kozasa, T. HgII Ion Specifically Binds with T:T Mismatched Base Pair in Duplex DNA. Chem. Eur. J. 2010, 16, 13218–13225. [Google Scholar] [CrossRef]
- Ono, A.; Cao, S.; Togashi, H.; Tashiro, M.; Fujimoto, T.; Machinami, T.; Oda, S.; Miyake, Y.; Okamoto, I.; Tanaka, Y. Specific Interactions between Silver(I) Ions and Cytosine–Cytosine Pairs in DNA Duplexes. Chem. Commun. 2008, 4825–4827. [Google Scholar] [CrossRef]
- Kondo, J.; Tada, Y.; Dairaku, T.; Saneyoshi, H.; Okamoto, I.; Tanaka, Y.; Ono, A. High-Resolution Crystal Structure of a Silver(I)–RNA Hybrid Duplex Containing Watson–Crick-like C–Silver(I)–C Metallo-Base Pairs. Angew. Chem. Int. Ed. 2015, 54, 13323–13326. [Google Scholar] [CrossRef] [PubMed]
- Tanaka, K.; Tengeiji, A.; Kato, T.; Toyama, N.; Shiro, M.; Shionoya, M. Efficient Incorporation of a Copper Hydroxypyridone Base Pair in DNA. J. Am. Chem. Soc. 2002, 124, 12494–12498. [Google Scholar] [CrossRef] [PubMed]
- Clever, G.H.; Polborn, K.; Carell, T. A Highly DNA-Duplex-Stabilizing Metal-Salen Base Pair. Angew. Chem. Int. Ed. 2005, 44, 7204–7208. [Google Scholar] [CrossRef]
- Takezawa, Y.; Nishiyama, K.; Mashima, T.; Katahira, M.; Shionoya, M. Bifacial Base-Pairing Behaviors of 5-Hydroxyuracil DNA Bases through Hydrogen Bonding and Metal Coordination. Chem. Eur. J. 2015, 21, 14713–14716. [Google Scholar] [CrossRef]
- Takezawa, Y.; Suzuki, A.; Nakaya, M.; Nishiyama, K.; Shionoya, M. Metal-Dependent DNA Base Pairing of 5-Carboxyuracil with itself and all Four Canonical Nucleobases. J. Am. Chem. Soc. 2020, 142, 21640–21644. [Google Scholar] [CrossRef]
- Mori, K.; Takezawa, Y.; Shionoya, M. Metal-Dependent Base Pairing of Bifacial Iminodiacetic Acid-Modified Uracil Bases for Switching DNA Hybridization Partner. Chem. Sci. 2023, 14, 1082–1088. [Google Scholar] [CrossRef]
- Tanaka, K.; Tengeiji, A.; Kato, T.; Toyama, N.; Shionoya, M. A Discrete Self-Assembled Metal Array in Artificial DNA. Science 2003, 299, 1212–1213. [Google Scholar] [CrossRef]
- Tanaka, K.; Clever, G.H.; Takezawa, Y.; Yamada, Y.; Kaul, C.; Shionoya, M.; Carell, T. Programmable Self-Assembly of Metal Ions Inside Artificial DNA Duplexes. Nat. Nanotechnol. 2006, 1, 190–194. [Google Scholar] [CrossRef]
- Clever, G.H.; Carell, T. Controlled Stacking of 10 Transition-Metal Ions Inside a DNA Duplex. Angew. Chem. Int. Ed. 2007, 46, 250–253. [Google Scholar] [CrossRef]
- Liu, S.; Clever, G.H.; Takezawa, Y.; Kaneko, M.; Tanaka, K.; Guo, X.; Shionoya, M. Direct Conductance Measurement of Individual Metallo-DNA Duplexes within Single-Molecule Break Junctions. Angew. Chem. Int. Ed. 2011, 50, 8886–8890. [Google Scholar] [CrossRef]
- Urata, H.; Yamaguchi, E.; Funai, T.; Matsumura, Y.; Wada, S. Incorporation of Thymine Nucleotides by DNA Polymerases through T–HgII–T Base Pairing. Angew. Chem. Int. Ed. 2010, 49, 6516–6519. [Google Scholar] [CrossRef]
- Kaul, C.; Müller, M.; Wagner, M.; Schneider, S.; Carell, T. Reversible Bond Formation Enables the Replication and Amplification of a Crosslinking Salen Complex as an Orthogonal Base Pair. Nat. Chem. 2011, 3, 794–800. [Google Scholar] [CrossRef]
- Takezawa, Y. Rational Design of Metal-Responsive Functional DNA Supramolecules. J. Incl. Phenom. Macrocycl. Chem. 2024, 104, 349–369. [Google Scholar] [CrossRef]
- Shimron, S.; Elbaz, J.; Henning, A.; Willner, I. Ion-Induced DNAzyme Switches. Chem. Commun. 2010, 46, 3250–3252. [Google Scholar] [CrossRef][Green Version]
- Liu, J.; Lu, Y. Rational Design of “Turn-on” Allosteric DNAzyme Catalytic Beacons for Aqueous Mercury Ions with Ultrahigh Sensitivity and Selectivity. Angew. Chem. Int. Ed. 2007, 46, 7587–7590. [Google Scholar] [CrossRef]
- Takezawa, Y.; Nakama, T.; Shionoya, M. Enzymatic Synthesis of Cu(II)-Responsive Deoxyribozymes through Polymerase Incorporation of Artificial Ligand-Type Nucleotides. J. Am. Chem. Soc. 2019, 141, 19342–19350. [Google Scholar] [CrossRef]
- Takezawa, Y.; Hu, L.; Nakama, T.; Shionoya, M. Sharp Switching of DNAzyme Activity through the Formation of a CuII-Mediated Carboxyimidazole Base Pair. Angew. Chem. Int. Ed. 2020, 59, 21488–21492. [Google Scholar] [CrossRef]
- Nakama, T.; Takezawa, Y.; Sasaki, D.; Shionoya, M. Allosteric Regulation of DNAzyme Activities through Intrastrand Transformation Induced by Cu(II)-Mediated Artificial Base Pairing. J. Am. Chem. Soc. 2020, 142, 10153–10162. [Google Scholar] [CrossRef]
- Nakama, T.; Takezawa, Y.; Shionoya, M. Site-Specific Polymerase Incorporation of Consecutive Ligand-Containing Nucleotides for Multiple Metal-Mediated Base Pairing. Chem. Commun. 2021, 57, 1392–1395. [Google Scholar] [CrossRef]
- Rajasree, S.C.; Takezawa, Y.; Shionoya, M. CuII-Mediated Stabilisation of DNA Duplexes Bearing Consecutive Ethenoadenine Lesions and its Application to a Metal-Responsive DNAzyme. Chem. Commun. 2023, 59, 1006–1009. [Google Scholar] [CrossRef]
- Takezawa, Y.; Hu, L.; Nakama, T.; Shionoya, M. Metal-Dependent Activity Control of a Compact-Sized 8–17 DNAzyme Based on Metal-Mediated Unnatural Base Pairing. Chem. Commun. 2024, 60, 288–291. [Google Scholar] [CrossRef]
- Takezawa, Y.; Zhang, H.; Mori, K.; Hu, L.; Shionoya, M. Ligase-Mediated Synthesis of CuII-Responsive Allosteric DNAzyme with Bifacial 5-Carboxyuracil Nucleobases. Chem. Sci. 2024, 15, 2365–2370. [Google Scholar] [CrossRef]
- Heddinga, M.H.; Müller, J. Incorporation of a Metal-Mediated Base Pair into an ATP Aptamer—Using Silver(I) Ions to Modulate Aptamer Function. Beilstein J. Org. Chem. 2020, 16, 2870–2879. [Google Scholar] [CrossRef]
- Heddinga, M.H.; Müller, J. Modulating Aptamer Function by Copper(II)-Mediated Base Pair Formation. Org. Biomol. Chem. 2022, 20, 4787–4793. [Google Scholar] [CrossRef]
- Lu, B.; Ohayon, Y.P.; Woloszyn, K.; Yang, C.; Yoder, J.B.; Rothschild, L.J.; Wind, S.J.; Hendrickson, W.A.; Mao, C.; Seeman, N.C.; et al. Heterobimetallic Base Pair Programming in Designer 3D DNA Crystals. J. Am. Chem. Soc. 2023, 145, 17945–17953. [Google Scholar] [CrossRef]
- Vecchioni, S.; Lu, B.; Livernois, W.; Ohayon, Y.P.; Yoder, J.B.; Yang, C.; Woloszyn, K.; Bernfeld, W.; Anantram, M.P.; Canary, J.W.; et al. Metal-Mediated DNA Nanotechnology in 3D: Structural Library by Templated Diffraction. Adv. Mater. 2023, 35, 2210938. [Google Scholar] [CrossRef]
- Ding, W.; Deng, W.; Zhu, H.; Liang, H. Metallo-Toeholds: Controlling DNA Strand Displacement Driven by Hg(II) Ions. Chem. Commun. 2013, 49, 9953–9955. [Google Scholar] [CrossRef]
- Takezawa, Y.; Mori, K.; Huang, W.; Nishiyama, K.; Xing, T.; Nakama, T.; Shionoya, M. Metal-Mediated DNA Strand Displacement and Molecular Device Operations Based on Base-Pair Switching of 5-Hydroxyuracil Nucleobases. Nat. Commun. 2023, 14, 4759. [Google Scholar] [CrossRef]
- Wang, Z.; Elbaz, J.; Willner, I. DNA Machines: Bipedal Walker and Stepper. Nano Lett. 2011, 11, 304–309. [Google Scholar] [CrossRef]
- Wang, Z.; Elbaz, J.; Remacle, F.; Levine, R.D.; Willner, I. All-DNA Finite-State Automata with Finite Memory. Proc. Natl. Acad. Sci. USA 2010, 107, 21996–22001. [Google Scholar] [CrossRef] [PubMed]
- Kuzuya, A.; Sakai, Y.; Yamazaki, T.; Xu, Y.; Komiyama, M. Nanomechanical DNA Origami ’Single-Molecule Beacons’ Directly Imaged by Atomic Force Microscopy. Nat. Commun. 2011, 2, 449. [Google Scholar] [CrossRef] [PubMed]
- Depmeier, H.; Kath-Schorr, S. Expanding the Horizon of the Xeno Nucleic Acid Space: Threose Nucleic Acids with Increased Information Storage. J. Am. Chem. Soc. 2024, 146, 7743–7751. [Google Scholar] [CrossRef]
- Guo, X.; Seela, F. Anomeric 2′-Deoxycytidines and Silver Ions: Hybrid Base Pairs with Greatly Enhanced Stability and Efficient DNA Mismatch Detection with α-dC. Chem. Eur. J. 2017, 23, 11776–11779. [Google Scholar] [CrossRef]
- Müller, S.L.; Zhou, X.; Leonard, P.; Korzhenko, O.; Daniliuc, C.; Seela, F. Functionalized Silver-Ion-Mediated α-dC/β-dC Hybrid Base Pairs with Exceptional Stability: α-d-5-Iodo-2′-Deoxycytidine and its Octadiynyl Derivative in Metal DNA. Chem. Eur. J. 2019, 25, 3077–3090. [Google Scholar] [CrossRef] [PubMed]
- Nakagawa, O.; Fujii, A.; Kishimoto, Y.; Nakatsuji, Y.; Nozaki, N.; Obika, S. 2′-O, 4’-C-Methylene-Bridged Nucleic Acids Stabilize Metal-Mediated Base Pairing in a DNA Duplex. ChemBioChem 2018, 19, 2372–2379. [Google Scholar] [CrossRef]
- Nakagawa, O.; Aoyama, H.; Fujii, A.; Kishimoto, Y.; Obika, S. Crystallographic Structure of Novel Types of AgI-Mediated Base Pairs in Non-canonical DNA Duplex Containing 2′-O, 4’-C-Methylene Bridged Nucleic Acids. Chem. Eur. J. 2021, 27, 3842–3848. [Google Scholar] [CrossRef]
- Zhang, L.; Meggers, E. An Extremely Stable and Orthogonal DNA Base Pair with a Simplified Three-Carbon Backbone. J. Am. Chem. Soc. 2005, 127, 74–75. [Google Scholar] [CrossRef]
- Schlegel, M.K.; Zhang, L.; Pagano, N.; Meggers, E. Metal-Mediated Base Pairing within the Simplified Nucleic Acid GNA. Org. Biomol. Chem. 2009, 7, 476–482. [Google Scholar] [CrossRef]
- Seubert, K.; Guerra, C.F.; Bickelhaupt, F.M.; Müller, J. Chimeric GNA/DNA Metal-Mediated Base Pairs. Chem. Commun. 2011, 47, 11041–11043. [Google Scholar] [CrossRef] [PubMed]
- Lefringhausen, N.; Seiffert, V.; Erbacher, C.; Karst, U.; Müller, J. Chiral-at-Metal Silver-Mediated Base Pairs: Metal-Centred Chirality Versus DNA Helical Chirality. Chem. Eur. J. 2023, 29, e202202630. [Google Scholar] [CrossRef] [PubMed]
- Schoenrath, I.; Aukam, H.; Jasper-Peter, B.; Müller, J. Silver(I)-Mediated Base Pairing Involving an S-Glycosidic GNA Nucleoside Analogue. Nucleosides Nucleotides Nucleic Acids 2021, 41, 23–35. [Google Scholar] [CrossRef]
- Popescu, D.; Parolin, T.J.; Achim, C. Metal Incorporation in Modified PNA Duplexes. J. Am. Chem. Soc. 2003, 125, 6354–6355. [Google Scholar] [CrossRef]
- Watson, R.M.; Skorik, Y.A.; Patra, G.K.; Achim, C. Influence of Metal Coordination on the Mismatch Tolerance of Ligand-Modified PNA Duplexes. J. Am. Chem. Soc. 2005, 127, 14628–14639. [Google Scholar] [CrossRef]
- Ma, Z.; Olechnowicz, F.; Skorik, Y.A.; Achim, C. Metal Binding to Ligand-Containing Peptide Nucleic Acids. Inorg. Chem. 2011, 50, 6083–6092. [Google Scholar] [CrossRef]
- De Leon, A.R.; Olatunde, A.O.; Morrow, J.R.; Achim, C. Binding of EuIII to 1,2-Hydroxypyridinone-Modified Peptide Nucleic Acids. Inorg. Chem. 2012, 51, 12597–12599. [Google Scholar] [CrossRef]
- Chen, J.; Seeman, N.C. Synthesis from DNA of a molecule with the connectivity of a cube. Nature 1991, 350, 631–633. [Google Scholar] [CrossRef]
- Zhang, Y.; Seeman, N.C. Construction of a DNA-Truncated Octahedron. J. Am. Chem. Soc. 1993, 116, 1661–1669. [Google Scholar] [CrossRef]
- Ouyang, Y.; Zhang, P.; Willner, I. DNA Tetrahedra as Functional Nanostructures: From Basic Principles to Applications. Angew. Chem. Int. Ed. 2024, 63, e202411118. [Google Scholar] [CrossRef]
- Fu, T.J.; Seeman, N.C. DNA double-crossover molecules. Biochemistry 1993, 32, 3211–3220. [Google Scholar] [CrossRef] [PubMed]
- Winfree, E.; Liu, F.; Wenzler, L.A.; Seeman, N.C. Design and self-assembly of two-dimensional DNA crystals. Nature 1998, 394, 539–544. [Google Scholar] [CrossRef]
- Mao, C.; LaBean, T.H.; Reif, J.H.; Seeman, N.C. Logical computation using algorithmic self-assembly of DNA triple-crossover molecules. Nature 2000, 407, 93–496. [Google Scholar] [CrossRef]
- Yan, H.; Zhang, X.; Shen, Z.; Seeman, N.C. A robust DNA mechanical device controlled by hybridization topology. Nature 2002, 415, 62–65. [Google Scholar] [CrossRef]
- Rothemund, P.W.K. Folding DNA to create nanoscale shapes and patterns. Nature 2006, 440, 297–302. [Google Scholar] [CrossRef] [PubMed]
- Andersen, E.S.; Dong, M.; Nielsen, M.M.; Jahn, K.; Subramani, R.; Mamdouh, W.; Golas, M.M.; Sander, B.; Stark, H.; Oliveira, C.L.P.; et al. Self-assembly of a nanoscale DNA box with a controllable lid. Nature 2009, 459, 73–76. [Google Scholar] [CrossRef] [PubMed]
- Douglas, S.M.; Dietz, H.; Liedl, T.; Högberg, B.; Graf, F.; Shih, W.M. Self-assembly of DNA into nanoscale three-dimensional shapes. Nature 2009, 459, 414–418. [Google Scholar] [CrossRef]
- Dietz, H.; Douglas, S.M.; Shih, W.M. Folding DNA into Twisted and Curved Nanoscale Shapes. Science 2009, 325, 725–730. [Google Scholar] [CrossRef]
- Karfusehr, C.; Eder, M.; Yang, H.Y.; Beinsteiner, B.; Jasnin, M.; Simmel, F.C. Self-assembled cell-scale containers made from DNA origami membranes. Nat. Mater. 2025. [Google Scholar] [CrossRef]
- Lukeman, P.S.; Mittal, A.C.; Seeman, N.C. Two dimensional PNA/DNA arrays: Estimating the helicity of unusual nucleic acid polymers. Chem. Commun. 2004, 1694–1695. [Google Scholar] [CrossRef] [PubMed]
- Gnapareddy, B.; Kim, J.A.; Dugasani, S.R.; Tandon, A.; Kim, B.; Bashar, S.; Choi, J.A.; Joe, G.H.; Kim, T.; Ha, T.H.; et al. Fabrication and characterization of PNA-DNA hybrid nanostructures. RSC Adv. 2014, 4, 35554–35558. [Google Scholar] [CrossRef]
- Pedersen, R.O.; Kong, J.; Achim, C.; LaBean, T.H. Comparative Incorporation of PNA into DNA Nanostructures. Molecules 2015, 20, 17645–17658. [Google Scholar] [CrossRef]
- Duan, T.; He, L.; Tokura, Y.; Liu, X.; Wu, Y.; Shi, Z. Construction of tunable peptide nucleic acid junctions. Chem. Commun. 2018, 54, 2846–2849. [Google Scholar] [CrossRef] [PubMed]
- Wang, Q.; Chen, X.; Li, X.; Song, D.; Yang, J.; Yu, H.; Li, Z. 2′-Fluoroarabinonucleic Acid Nanostructures as Stable Carriers for Cellular Delivery in the Strongly Acidic Environment. ACS Appl. Mater. Interfaces 2020, 12, 53592–53597. [Google Scholar] [CrossRef]
- Flory, J.D.; Shinde, S.; Lin, S.; Liu, Y.; Yan, H.; Ghirlanda, G.; Fromme, P. PNA-Peptide Assembly in a 3D DNA Nanocage at Room Temperature. J. Am. Chem. Soc. 2013, 135, 6985–6993. [Google Scholar] [CrossRef]
- Flory, J.D.; Simmons, C.R.; Lin, S.; Johnson, T.; Andreoni, A.; Zook, J.; Ghirlanda, G.; Liu, Y.; Yan, H.; Fromme, P. Low Temperature Assembly of Functional 3D DNA-PNA-Protein Complexes. J. Am. Chem. Soc. 2014, 136, 8283–8295. [Google Scholar] [CrossRef]
- Qin, B.; Wang, Q.; Wang, Y.; Han, F.; Wang, H.; Jiang, S.; Yu, H. Enzymatic Synthesis of TNA Protects DNA Nanostructures. Angew. Chem. Int. Ed. 2024, 63, e202317334. [Google Scholar] [CrossRef]
- Centola, M.; Poppleton, E.; Ray, S.; Centola, M.; Welty, R.; Valero, J.; Walter, N.G.; Šulc, P.; Famulok, M. A rhythmically pulsing leaf-spring DNA-origami nanoengine that drives a passive follower. Nat. Nanotechnol. 2023, 19, 226–236. [Google Scholar] [CrossRef] [PubMed]
- Bujold, K.E.; Hsu, J.C.C.; Sleiman, H.F. Optimized DNA “Nanosuitcases” for Encapsulation and Conditional Release of siRNA. J. Am. Chem. Soc. 2016, 138, 14030–14038. [Google Scholar] [CrossRef]
- Ke, G.; Wang, C.; Ge, Y.; Zheng, N.; Zhu, Z.; Yang, C.J. L-DNA Molecular Beacon: A Safe, Stable, and Accurate Intracellular Nano-thermometer for Temperature Sensing in Living Cells. J. Am. Chem. Soc. 2012, 134, 18908–18911. [Google Scholar] [CrossRef]
- Yamazaki, T.; Aiba, Y.; Yasuda, K.; Sakai, Y.; Yamanaka, Y.; Kuzuya, A.; Ohya, Y.; Komiyama, M. Clear-Cut Observation of PNA Invasion Using Nanomechanical DNA Origami Devices. Chem. Commun. 2012, 48, 11361–11363. [Google Scholar] [CrossRef] [PubMed]
- Ackermann, D.; Famulok, M. Pseudo-complementary PNA actuators as reversible switches in dynamic DNA nanotechnology. Nucleic Acids Res. 2013, 41, 4729–4739. [Google Scholar] [CrossRef] [PubMed]
- Miro-Julia, J.; Rossello, F. PNA-enhanced DNA computing. In Proceedings of the 1999 Congress on Evolutionary Computation-CEC99 (Cat. No. 99TH8406), Washington, DC, USA, 6–9 July 1999. [Google Scholar] [CrossRef]
- Totsingan, F.; Marchelli, R.; Corradini, R. Molecular Computing by PNA:PNA duplex formation. Artif. DNA PNA XNA 2011, 2, 16–22. [Google Scholar] [CrossRef][Green Version]
- Adamala, K.P.; Agashe, D.; Belkaid, Y.; Bittencourt, D.M.C.; Cai, Y.; Chang, M.W.; Chen, I.A.; Church, G.M.; Cooper, V.S.; Davis, M.M.; et al. Confronting risks of mirror life. Science 2024, 386, 1351–1353. [Google Scholar] [CrossRef] [PubMed]
- Zhong, W.; Sczepanski, J.T. Direct Comparison of d-DNA and l-DNA Strand-Displacement Reactions in Living Mammalian Cells. ACS Synth. Biol. 2021, 10, 209–212. [Google Scholar] [CrossRef]
- Olson, X.; Kotani, S.; Yurke, B.; Graugnard, E.; Hughes, W.L. Kinetics of DNA Strand Displacement Systems with Locked Nucleic Acids. J. Phys. Chem. B 2017, 121, 2594–2602. [Google Scholar] [CrossRef]
- Komiya, K.; Komori, M.; Noda, C.; Kobayashi, S.; Yoshimura, T.; Yamamura, M. Leak-free million-fold DNA amplification with locked nucleic acid and targeted hybridization in one pot. Org. Biomol. Chem. 2019, 17, 5708–5713. [Google Scholar] [CrossRef]
- Makino, K.; Sugiyama, I.; Asanuma, H.; Kashida, H. Kinetics of Strand Displacement Reaction with Acyclic Artificial Nucleic Acids. Angew. Chem. Int. Ed. 2024, 63, e202319864. [Google Scholar] [CrossRef]
- Engelen, W.; Wijnands, S.P.W.; Merkx, M. Accelerating DNA-Based Computing on a Supramolecular Polymer. J. Am. Chem. Soc. 2018, 140, 9758–9767. [Google Scholar] [CrossRef]
- Shimada, N.; Saito, K.; Miyata, T.; Sato, H.; Kobayashi, S.; Maruyama, A. DNA Computing Boosted by a Cationic Copolymer. Adv. Funct. Mater. 2018, 28, 1707406. [Google Scholar] [CrossRef]
- Yoshimura, Y.; Fujimoto, K. Ultrafast Reversible Photo-Cross-Linking Reaction: Toward in Situ DNA Manipulation. Org. Lett. 2008, 10, 3227–3230. [Google Scholar] [CrossRef] [PubMed]
- Fujimoto, K.; Matsuda, S.; Takahashi, N.; Saito, I. Template-Directed Photoreversible Ligation of Deoxyoligonucleotides via 5-Vinyldeoxyuridine. J. Am. Chem. Soc. 2000, 122, 5646–5647. [Google Scholar] [CrossRef]
- Nakamura, S.; Hashimoto, H.; Kobayashi, S.; Fujimoto, K. Photochemical Acceleration of DNA Strand Displacement by Using Ultrafast DNA Photo-crosslinking. ChemBioChem 2017, 18, 1984–1989. [Google Scholar] [CrossRef]
- Tagawa, M.; Shohda, K.; Fujimoto, K.; Suyama, A. Stabilization of DNA nanostructures by photo-cross-linking. Soft Matter 2011, 7, 10931–10934. [Google Scholar] [CrossRef]
- Kandatsu, D.; Cervantes-Salguero, K.; Kawamata, I.; Hamada, S.; Nomura, S.-i.M.; Fujimoto, K.; Murata, S. Reversible Gel–Sol Transition of a Photo-Responsive DNA Gel. ChemBioChem 2016, 17, 1118–1121. [Google Scholar] [CrossRef] [PubMed]
- Liu, N.; Dai, M.; Saka, S.K.; Yin, P. Super-resolution labelling with Action-PAINT. Nat. Chem. 2019, 11, 1001–1008. [Google Scholar] [CrossRef]
- Mochizuki, Y.; Suzuki, T.; Fujimoto, K.; Nemoto, N. A versatile puromycin-linker using cnvK for high-throughput in vitro selection by cDNA display. J. Biotechnol. 2015, 212, 174–180. [Google Scholar] [CrossRef]
- Sakamoto, T.; Shigeno, A.; Ohtaki, Y.; Fujimoto, K. Photo-regulation of constitutive gene expression in living cells by using ultrafast photo-cross-linking oligonucleotides. Biomater. Sci. 2014, 2, 1154–1157. [Google Scholar] [CrossRef]
- Chen, Z.; Gabizon, R.; Brown, A.I.; Lee, A.; Song, A.; Díaz-Celis, C.; Kaplan, C.D.; Koslover, E.F.; Yao, T.; Bustamante, C. High-resolution and high-accuracy topographic and transcriptional maps of the nucleosome barrier. eLife 2019, 8, e48281. [Google Scholar] [CrossRef]
- Seifert, M.; Bera, S.C.; van Nies, P.; Kirchdoerfer, R.N.; Shannon, A.; Le, T.T.N.; Meng, X.; Xia, H.; Wood, J.M.; Harris, L.D.; et al. Inhibition of SARS-CoV-2 polymerase by nucleotide analogs from a single-molecule perspective. eLife 2021, 10, e70968. [Google Scholar] [CrossRef]
- Hamada, S. Molecular Robotics. In Encyclopedia of Robotics; Ang, M.H., Khatib, O., Siciliano, B., Eds.; Springer: Berlin/Heidelberg, Germany, 2021. [Google Scholar] [CrossRef]
- Murata, S. (Ed.) Molecular Robotics: An Introduction; Springer: Berlin/Heidelberg, Germany, 2022. [Google Scholar] [CrossRef]
- Sato, Y.; Hiratsuka, Y.; Kawamata, I.; Murata, S.; Nomura, S.-I.M. Micrometer-sized molecular robot changes its shape in response to signal molecules. Sci. Robot. 2017, 2, eaal3735. [Google Scholar] [CrossRef]
- Keya, J.J.; Suzuki, R.; Kabir, A.M.R.; Inoue, D.; Asanuma, H.; Sada, H.; Hess, H.; Kuzuya, A.; Kakugo, A. DNA-assisted swarm control in a biomolecular motor system. Nat. Commun. 2018, 9, 2418. [Google Scholar] [CrossRef] [PubMed]
- Akter, M.; Keya, J.J.; Kayano, K.; Kabir, A.M.R.; Inoue, D.; Hess, H.; Sada, K.; Kuzuya, A.; Asanuma, H.; Kakugo, A. Cooperative cargo transportation by a swarm of molecular machines. Sci. Robot. 2022, 7, eabm0677. [Google Scholar] [CrossRef]
- Akter, M.; Kabir, A.M.R.; Keya, J.J.; Sada, K.; Asanuma, H.; Kakugo, A. Localized Control of the Swarming of Kinesin-Driven Microtubules Using Light. ACS Omega 2024, 9, 37748–37753. [Google Scholar] [CrossRef]
- Hamada, S.; Yancey, K.G.; Pardo, Y.; Gan, M.; Vanatta, M.; An, D.; Hu, Y.; Derrien, T.L.; Ruiz, R.; Liu, P.; et al. Dynamic DNA material with emergent locomotion behavior powered by artificial metabolism. Sci. Robot. 2019, 4, eaaw3512. [Google Scholar] [CrossRef] [PubMed]
- Hamada, S.; Kumagai, S.; Nomura, S.-i.M.; Murata, S. Quasi-Phototaxis in Slime-Type Molecular Robots. In Proceedings of the 2025 International Conference on Manipulation, Automation and Robotics at Small Scales (MARSS), West Lafayette, IN, USA, 28 July 2025–1 August 2025; pp. 1–6. [Google Scholar] [CrossRef]
- Naeem, S.; Zhang, J.; Zhang, Y.; Wang, Y. Nucleic acid therapeutics: Past, present, and future. Mol. Ther. Nucleic Acids 2025, 36, 102440. [Google Scholar] [CrossRef]
- Qin, S.; Tang, X.; Chen, Y.; Chen, K.; Fan, N.; Xiao, W.; Zheng, Q.; Li, G.; Teng, Y.; Wu, M.; et al. mRNA-based therapeutics: Powerful and versatile tools to combat diseases. Sig. Transduct. Target. Ther. 2022, 7, 166. [Google Scholar] [CrossRef] [PubMed]
- Komiya, K.; Shineha, R.; Kawahara, N. Practice of responsible research and innovation in the formulation and revision of ethical principles of molecular robotics in Japan. Sn Appl. Sci. 2022, 4, 305. [Google Scholar] [CrossRef]
- Murata, S.; Toyota, T.; Nomura, S.M.; Nakakuki, T.; Kuzuya, A. Molecular Cybernetics: Challenges toward Cellular Chemical Artificial Intelligence. Adv. Funct. Mater. 2022, 32, 2201866. [Google Scholar] [CrossRef]
- Kuzuya, A.; Nomura, S.-I.M.; Toyota, T.; Nakakuki, T.; Murata, S. From Molecular Robotics to Molecular Cybernetics: The First Step Toward Chemical Artificial Intelligence. IEEE Trans. Mol. Biol. Multi-Scale Commun. 2023, 9, 354–363. [Google Scholar] [CrossRef]
- Wang, S.; Mao, X.; Wang, F.; Zuo, X.; Fan, C. Data Storage Using DNA. Adv. Mater. 2024, 36, e2307499. [Google Scholar] [CrossRef] [PubMed]
- Sachenbacher, K.; Khoshouei, A.; Honemann, M.N.; Engelen, W.; Feigl, E.; Dietz, H. Triple-Stranded DNA As a Structural Element in DNA Origami. ACS Nano 2023, 17, 9014–9024. [Google Scholar] [CrossRef] [PubMed]
- Orgel, L.E. Prebiotic Chemistry and the Origin of the RNA World. Crit. Rev. Biochem. Mol. Biol. 2004, 39, 99–123. [Google Scholar] [CrossRef] [PubMed]









| Class | Thermal Stability | Nuclease Resistance | Orthogonality | Dynamic Functionality | Cost/Scalability |
|---|---|---|---|---|---|
| Natural DNA/RNA | Baseline | Low | Low | Limited | Excellent |
| AMMs | High | Moderate-High | High | Very High | Low (High cost) |
| XNAs | Very High | High | Variable | Moderate | Moderate |
| UBPs | Variable | Moderate | Excellent | Moderate | Low (High cost) |
| Class | Biotechnology, i.e., PCR, Cloning | Analytical Chemistry, i.e., Aptamers | Nucleic Acid Therapeutics | Molecular Computing | Structural DNA Nanotechnology | DNA Data Storage | Synthetic Biology | Molecular Robotics, Molecular Cybernetics |
|---|---|---|---|---|---|---|---|---|
| Natural DNA/RNA | IV | IV | III | IV | IV | III | IV | III |
| AMMs | II | I | I | III | III | I | II | III |
| XNAs | I | II | IV | II | II | II | I | I |
| UBPs | III | III | I | I | I | I | II | I |
Disclaimer/Publisher’s Note: The statements, opinions and data contained in all publications are solely those of the individual author(s) and contributor(s) and not of MDPI and/or the editor(s). MDPI and/or the editor(s) disclaim responsibility for any injury to people or property resulting from any ideas, methods, instructions or products referred to in the content. |
© 2026 by the authors. Licensee MDPI, Basel, Switzerland. This article is an open access article distributed under the terms and conditions of the Creative Commons Attribution (CC BY) license.
Share and Cite
Hamada, S.; Murayama, K.; Takezawa, Y.; Toyoda, R.; Kuzuya, A. Omega Nucleic Acids (ΩNA), Ultimate Nucleic Acids for Future Technology. Molecules 2026, 31, 523. https://doi.org/10.3390/molecules31030523
Hamada S, Murayama K, Takezawa Y, Toyoda R, Kuzuya A. Omega Nucleic Acids (ΩNA), Ultimate Nucleic Acids for Future Technology. Molecules. 2026; 31(3):523. https://doi.org/10.3390/molecules31030523
Chicago/Turabian StyleHamada, Shogo, Keiji Murayama, Yusuke Takezawa, Ryojun Toyoda, and Akinori Kuzuya. 2026. "Omega Nucleic Acids (ΩNA), Ultimate Nucleic Acids for Future Technology" Molecules 31, no. 3: 523. https://doi.org/10.3390/molecules31030523
APA StyleHamada, S., Murayama, K., Takezawa, Y., Toyoda, R., & Kuzuya, A. (2026). Omega Nucleic Acids (ΩNA), Ultimate Nucleic Acids for Future Technology. Molecules, 31(3), 523. https://doi.org/10.3390/molecules31030523

