Effects of Different Drying Methods on Physicochemical Properties and Nutritional Quality of Abalone Bioactive Peptides
Abstract
1. Introduction
2. Results
2.1. Effects of Different Drying Methods on Physicochemical Properties of Abalone Bioactive Peptides
2.1.1. Solubility
2.1.2. Fat Absorption Capacity
2.1.3. Emulsifying Properties
2.1.4. Foaming Properties
2.1.5. Ultrastructural Characteristics
2.2. Effects of Different Drying Methods on the Nutrient Composition of Abalone Bioactive Peptides
2.2.1. Protein Content
2.2.2. Amino Acid Content
2.2.3. Ash Content
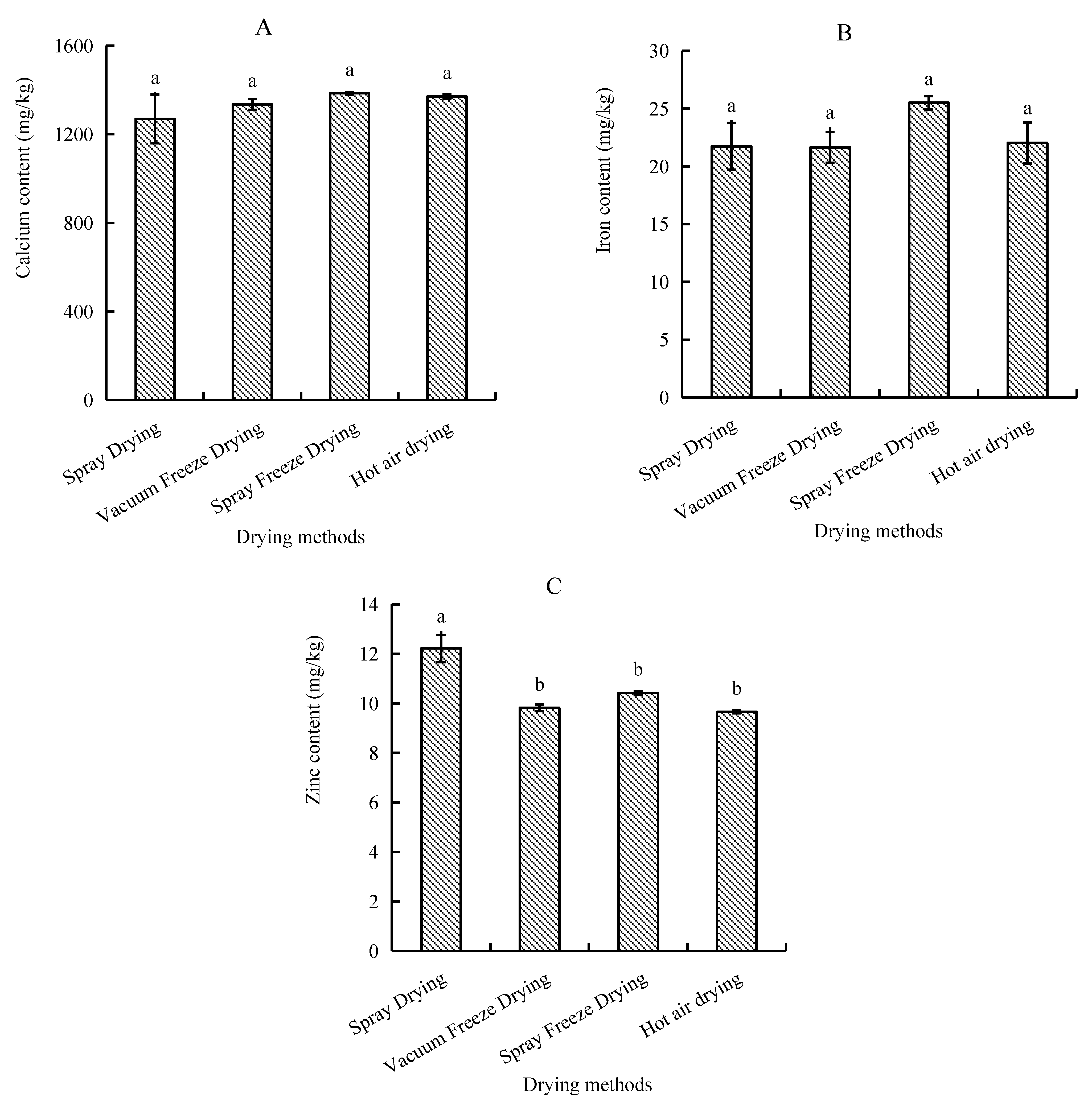
2.2.4. Mineral Content
2.2.5. Vitamin A Content
3. Discussion
3.1. Impact of Drying Methods on Physicochemical Properties
3.2. Effects on Nutritional Composition
3.2.1. Protein and Amino Acid Content
3.2.2. Mineral Content
3.2.3. Vitamin A Retention
3.3. Industrial Implications and Future Perspectives
4. Materials and Methods
4.1. Materials and Reagents
4.1.1. Materials
4.1.2. Reagents
4.2. Experimental Methodology
4.2.1. Drying Methods
Spray Drying
Vacuum Freeze-Drying
Spray Freeze-Drying
Hot Air Drying
4.2.2. Physicochemical Analysis
Solubility Determination
Fat Absorption Capacity
Emulsifying Properties
Foaming Properties
Ultrastructure Analysis
4.2.3. Measurement of Nutritional Indicators
Protein Content
Amino Acid Content
Ash Content
Mineral Content
- (1)
- Calcium content
- (2)
- Iron content
- (3)
- Zinc content
Vitamin A Content
4.2.4. Statistical Analysis
5. Conclusions
Author Contributions
Funding
Institutional Review Board Statement
Informed Consent Statement
Data Availability Statement
Conflicts of Interest
References
- Kim, E.A.; Kang, N.; Heo, J.H.; Park, A.; Heo, S.Y.; Ko, C.I.; Ahn, Y.-S.; Ahn, G.; Heo, S.-J. Potential skin health benefits of abalone by-products suggested by their effects on MAPKS and PI3K/AKT/NF-kB signaling pathways in HDF and HaCaT cells. Foods 2024, 18, 2902. [Google Scholar] [CrossRef] [PubMed]
- Tian, H.-H.; Li, Y.-L.; Wang, X.-S.; Huang, X.-H.; Zhang, Y.-Y.; Zhang, Z.-C.; Zhou, D.-Y.; Qin, L. Metabolomic insights into the effects of seasonal shifts on the dynamic variation of non-volatile compounds of abalone (Haliotis discus hannai). Food Chem. 2024, 449, 139197. [Google Scholar] [CrossRef] [PubMed]
- Correia-da-Silva, M.; Sousa, E.; Pinto, M.M.M.; Kijjoa, A. Anticancer and Cancer Preventive Compounds from Edible Marine Organisms. Semin. Cancer Biol. 2017, 55, 64. [Google Scholar] [CrossRef] [PubMed]
- Crisalejandra, P.R.; Paloma, X.G.P.; Yolanda, N.S.H. Antimicrobial and anticarcinogenic activity of bioactive peptides derived from abalone viscera (Haliotis fulgens and Haliotis corrugata). Sci. Rep. 2023, 13, 15185. [Google Scholar]
- Gong, F.; Chen, M.-F.; Chen, J.; Li, C.; Zhou, C.; Hong, P.; Sun, S.; Qian, Z.-J. Boiled Abalone Byproduct Peptide Exhibits Anti-Tumor Activity in HT1080 Cells and HUVECs by Suppressing the Metastasis and Angiogenesis in Vitro. J. Agric. Food Chem. 2019, 67, 8855–8867. [Google Scholar] [CrossRef]
- Xu, C.; Yu, L.; Wu, J.; Huang, J.; Cai, X.; Wang, S. Cryoprotective effect of glycopeptide complex from abalone viscera on frozen surimi and its underlying mechanism. Food Front. 2024, 4, 1603–1612. [Google Scholar]
- Chen, J.; Liang, P.; Xiao, Z.; Chen, M.-F.; Gong, F.; Li, C.; Zhou, C.; Hong, P.; Jung, W.-K.; Qian, Z.-J. Antiphotoaging Effect of Boiled Abalone Residual Peptide ATPGDEG on UVB-Induced Keratinocyte HaCaT Cells. Food Nutr. Res. 2019, 63. [Google Scholar] [CrossRef]
- Ko, S.-C.; Lee, D.-S.; Park, W.S.; Yoo, J.S.; Yim, M.-J.; Qian, Z.-J.; Lee, C.-M.; Oh, J.; Jung, W.-K.; Choi, I.-W. Anti-Allergic Effects of a Nonameric Peptide Isolated from the Intestinal Gastrointestinal Digests of Abalone (Haliotis discus hannai) in Activated HMC-1 Human Mast Cells. Int. J. Mol. Med. 2016, 1, 243–250. [Google Scholar] [CrossRef]
- Wu, W.; Jia, J.; Wen, C.; Yu, C.; Zhao, Q.; Hu, J. Optimization of Ultrasound-Assisted Extraction of Abalone Viscera Protein and Its Effect on the Iron-Chelating Activity. Ultrason. Sonochemistry 2021, 77, 105670. [Google Scholar] [CrossRef]
- Hu, Y.; Yang, J.; He, C.; Wei, H.; Wu, G.; Xiong, H.; Ma, Y. Fractionation and Purification of Antioxidant Peptides from Abalone Viscera by a Combination of Sephadex G-15 and Toyopearl HW-40F Chromatography. Int. J. Food Sci. Technol. 2021, 56, 1218–1225. [Google Scholar] [CrossRef]
- Seong-Cheol, P.; Jin-Young, K.; Jong-Kook, L. Antibacterial Action of New Antibacterial Peptides, Nodi and Nod2, Isolated from Nordotis discus discus. J. Agric. Food Chem. 2012, 60, 6875–6881. [Google Scholar]
- Peng, J.; Ai, W.; Yin, X.; Huang, D.; Li, S. A Comparison Analysis of Four Different Drying Treatments on the Volatile Organic Compounds of Gardenia Flowers. Molecules 2024, 18, 4300. [Google Scholar] [CrossRef]
- Zhang, Q.; Wu, S.; Dai, Q.; Hu, P.; Chen, G. Effects of Different Drying Methods on the Structural Characteristics and Multiple Bioactivities of Rosa roxburghii Tratt Fruit Polysaccharides. Foods 2024, 15, 2417. [Google Scholar] [CrossRef]
- Mohit, S.; Nandan, S. Characterization of Spray Dried Watermelon Juice Powder Dried at Different Conditions and Effect of Incorporation of Freeze-Dried Extract of Papaya Peel on Phytochemical Content of Reconstituted Juice. J. Food Meas. Charact. 2023, 17, 1922–1932. [Google Scholar]
- Pang, Y.; Duan, X.; Ren, G.; Liu, W. Comparative Study on Different Drying Methods of Fish Oil Microcapsules. J. Food Qual. 2017, 2017, 1612708. [Google Scholar]
- Shi, C.; Long, H.; Hu, J.; Guo, X. Comparative Study of Flavonoid Profiles, Antioxidant, and Antiproliferative Activities in Hot-Air and Vacuum Drying of Different Parts of Pitaya (Hylocereus undatus Britt) Flowers. Antioxidants 2024, 8, 956. [Google Scholar] [CrossRef]
- Stamenković, Z.; Pavkov, I.; Radojčin, M.; Tepić Horecki, A.; Kešelj, K.; Bursać Kovačević, D.; Putnik, P. Convective Drying of Fresh and Frozen Raspberries and Change of Their Physical and Nutritive Properties. Foods 2019, 7, 251. [Google Scholar] [CrossRef]
- Anitua, E.; de la Fuente, M.; Alkhraisat, M.H. Long term stability of preservative-free and lyophilized PRGF eye drops stored at different temperature conditions: In vitro comparative study. Cryobiology 2025, 119, 105214. [Google Scholar]
- Bodzen, A.; Jossier, A.; Dupont, S.; Mousset, P.-Y.; Beney, L.; Lafay, S.; Gervais, P. Design of a new lyoprotectant increasing freeze-dried Lactobacillus strain survival to long-term storage. BMC Biotechnol. 2021, 21, 66. [Google Scholar]
- Tironi, V.A.; Añón, M.C. Antioxidant Activity of Amaranth Protein Hydrolysate Against Thermal Oxidation of Vegetable Oils. JAOCS J. Am. Oil Chem. Soc. 2014, 9, 1583–1594. [Google Scholar]
- Park, S.Y.; Je, J.Y.; Hwang, J.Y.; Ahn, C.-B. Abalone Protein Hydrolysates: Preparation, Angiotensin I Converting Enzyme Inhibition and Cellular Antioxidant Activity. Prevent. Nutr. Food Sci. 2015, 20, 176–182. [Google Scholar] [CrossRef] [PubMed]
- Wang, S.; Zhang, L.; Wang, H.; Zhong, B.; Hu, Y.; Yin, H.; Tu, Z. Review of the Antioxidant and Angiotensin Converting Enzyme Inhibitory Peptides Derived from Fish: Preparation, Structure-Relationship, Bioavailability and Ameliorating Strategies. Food Biosci. 2024, 62, 104955. [Google Scholar]
- Ashraf, Z.U.; Gani, A.; Shah, A.; Gani, A. Identification of Antidiabetic Peptides from Broad Bean Protein: Sequencing Using LC-MS-QTOF and In-Vitro Confirmative Studies. Food Biosci. 2024, 61, 104903. [Google Scholar] [CrossRef]
- Singh, K.; Gupta, J.K.; Shrivastava, A.; Jain, D.; Yadav, A.P.; Dwivedi, S.; Dubey, A.; Kumar, S. Exploring the Pharmacological Effects of Bioactive Peptides on Human Nervous Disorders: A Comprehensive Review. CNS Neurol. Disord. Drug Targets 2024, 24, 32–46. [Google Scholar] [CrossRef]
- Liu, X.; Shi, D.; Cheng, S.; Chen, X.; Ma, C.; Jiang, Y.; Zhou, M. Modification and Synergistic Studies of a Novel Frog Antimicrobial Peptide Against Pseudomonas aeruginosa Biofilms. Antibiotics 2024, 7, 574. [Google Scholar] [CrossRef]
- Gong, K.-J.; Shi, A.-M.; Liu, H.-Z.; Liu, L.; Hu, H.; Adhikari, B.; Wang, Q. Emulsifying Properties and Structure Changes of Spray and Freeze-Dried Peanut Protein Isolate. J. Food Eng. 2016, 170, 33–40. [Google Scholar] [CrossRef]
- He, B.L.; Cui, R.; Hu, T.G.; Wu, H. Improved Viability of Probiotics by Co-Encapsulation of Wheat Germ Oil under Storage and Gastrointestinal Conditions: Effects of Drying Methods and Wall Composition. Food Hydrocoll. 2025, 158, 110592. [Google Scholar] [CrossRef]
- Li, B.; Liu, C.; Luo, H.; Han, C.; Zhang, X.; Li, Q.; Zeng, Z. Analysis of Moisture Migration and Microstructural Characteristic of Green Sichuan Pepper (Zanthoxylum armatum) During the Hot-Air Drying Process Based on LF-NMR. Agriculture 2024, 8, 1361. [Google Scholar] [CrossRef]
- Wang, H.; Wu, B.; Zhang, M.; Chen, L.; Liu, Y.; Li, Z.; Cao, C. Comparative Analysis of Drying Characteristics, Physicochemical Properties and Volatile Flavor Components of Dendrocalamus brandisii Shoots under Four Drying Techniques. LWT 2024, 205, 116509. [Google Scholar] [CrossRef]
- Ghribi, A.M.; Gafsi, I.M.; Blecker, C.; Danthine, S.; Attia, H.; Besbes, S. Effect of drying methods on physico-chemical and functional properties of chickpea protein concentrates. J. Food Eng. 2015, 165, 179–188. [Google Scholar] [CrossRef]
- Shen, Y.; Tang, X.; Li, Y. Drying Methods Affect Physicochemical and Functional Properties of Quinoa Protein Isolate. Food Chem. 2021, 339, 127823. [Google Scholar] [CrossRef]
- Meram, A.; Tontul, I. Physical, Chemical, and Technological Properties of Protein Isolate Obtained from Hazelnut Press Cake as Affected by Drying Technique. Food Biosci. 2024, 60, 104508. [Google Scholar]
- Zhao, Q.; Xiong, H.; Selomulya, C.; Chen, X.D.; Huang, S.; Ruan, X.; Zhou, Q.; Sun, W. Effects of spray drying and freeze drying on the properties of protein isolate from rice dreg protein. Food Bioprocess Technol. 2013, 6, 1759–1769. [Google Scholar] [CrossRef]
- Xu, D.; Sun, N.; Xuan, S.; Wang, C.; Huang, T.; Li, C.; Yang, W. Effect of Different Drying Methods on the Physicochemical Properties and Phycobiliprotein Structure of Porphyra haitanensis. Int. J. Food Eng. 2020, 2, 111–120. [Google Scholar]
- Dursun, T.C.; Tugba, D.; Hatice, K.; Bayram, E.; Rauf, M.; Bilge, S. Phenolic Components, Mineral Composition, Physicochemical, and Bioactive Properties of Opuntia ficus-indica with Different Drying Methods. Erwerbs-Obstbau 2022, 65, 347–353. [Google Scholar]
- Olalusi, A.P.; Erinle, O. Influence of Drying Temperature and Pretreatment on the Drying Characteristics and Quality of Dried Cashew (Anacardium occidentale L.) Apple Slices. Croat. J. Food Sci. Technol. 2019, 1, 97–103. [Google Scholar]
- Kabeer, S.; Govindarajan, N.; Preetha, R.; Ambrose, K.; Essa, M.M.; Qoronfleh, M.W. Effect of different drying techniques on the nutrient and physiochemical properties of Musa paradisiaca (ripe Nendran banana) powder. J. Food Sci. Technol. 2022, 60, 1107–1116. [Google Scholar]
- Redan, B.W.; Zuklic, J.; Cai, J.; Warren, J.; Carter, C.; Wan, J.; Jackson, L.S. Effect of Pilot-Scale High-Temperature Short-Time Processing on the Retention of Key Micronutrients in a Fortified Almond-Based Beverage: Implications for Fortification of Plant-Based Milk Alternatives. Front. Nutr. 2024, 11, 1468828. [Google Scholar]
- Mokni Ghribi, A.; Maklouf Gafsi, I.; Sila, A.; Blecker, C.; Danthine, S.; Attia, H.; Besbes, S. Effects of Enzymatic Hydrolysis on Conformational and Functional Properties of Chickpea Protein Isolate. Food Chem. 2015, 187, 322–330. [Google Scholar] [CrossRef]
- Miah, M.K.; Alim, M.A.; Haque, M.A.; Begum, R. Quantitative Analysis of β-ODAP Neurotoxin Among Different Varieties of Grass Pea (Lathyrus sativus L.) Flour: A Comparative Study. Heliyon 2024, 18, e37746. [Google Scholar]
- Taheri, A.; Farvin, K.H.S.; Jacobsen, C.; Baron, C.P. Antioxidant Activities and Functional Properties of Protein and Peptide Fractions Isolated from Salted Herring Brine. Food Chem. 2014, 142, 318–326. [Google Scholar] [PubMed]
- Hammershøj, M.; Qvist, K.B. Research Note: Importance of Hen Age and Egg Storage Time for Egg Albumen Foaming. LWT-Food Sci. Technol. 2001, 2, 118–120. [Google Scholar]
- GB 5009.124-2016; National Food Safety Standard—Determination of Amino Acid in Foods. Standardization Administration of China: Beijing, China, 2016.
- GB 5009.4-2016; National Standard for Food Safety—Determination of Ash in Food. Standardization Administration of China: Beijing, China, 2016.
- GB 5009.92-2016; National Standard for Food Safety—Determination of Calcium in Food. Standardization Administration of China: Beijing, China, 2016.
- GB 5009.90-2016; National Standard for Food Safety—Determination of Iron in Foods. Standardization Administration of China: Beijing, China, 2016.
- GB 5009.14-2017; National Standard for Food Safety—Determination of Zinc in Food. Standardization Administration of China: Beijing, China, 2017.
- GB 5009.82-2016; National Standard for Food Safety—Determination of Vitamin A, D and E in Food. Standardization Administration of China: Beijing, China, 2016.









| Amino Acid Type | Spray Drying | Vacuum Freeze-Drying | Spray Freeze-Drying | Hot Air Drying |
|---|---|---|---|---|
| Aspartic acid | 8.10 ± 0.03 b | 8.59 ± 0.24 a | 8.48 ± 0.15 ab | 8.38 ± 0.12 ab |
| Threonine | 3.65 ± 0.00 b | 3.87 ± 0.09 a | 3.84 ± 0.06 a | 3.78 ± 0.06 ab |
| Serine | 4.38 ± 0.01 b | 4.66 ± 0.10 a | 4.60 ± 0.05 a | 4.50 ± 0.09 ab |
| Glutamic acid | 13.00 ± 0.02 b | 13.74 ± 0.30 a | 13.66 ± 0.17 a | 13.52 ± 0.29 ab |
| Glycine | 13.24 ± 0.06 a | 14.02 ± 0.41 a | 13.90 ± 0.26 a | 13.88 ± 0.28 a |
| Alanine | 7.11 ± 0.00 b | 7.55 ± 0.18 a | 7.47 ± 0.10 ab | 7.38 ± 0.21 ab |
| Cystine | 0.28 ± 0.01 b | 0.37 ± 0.01 a | 0.32 ± 0.01 ab | 0.27 ± 0.03 b |
| Valerenine | 3.06 ± 0.01 b | 3.24 ± 0.07 a | 3.19 ± 0.04 ab | 3.14 ± 0.07 ab |
| Methionine | 1.91 ± 0.00 a | 2.11 ± 0.06 a | 2.00 ± 0.04 a | 1.95 ± 0.12 a |
| Isoleucine | 2.40 ± 0.03 c | 2.57 ± 0.03 a | 2.50 ± 0.00 ab | 2.45 ± 0.04 bc |
| Leucine | 4.45 ± 0.05 b | 4.80 ± 0.17 a | 4.65 ± 0.12 ab | 4.65 ± 0.05 ab |
| Tyrosine | 1.66 ± 0.02 c | 1.90 ± 0.05 a | 1.74 ± 0.04 bc | 1.79 ± 0.03 b |
| Phenylalanine | 2.16 ± 0.00 c | 2.35 ± 0.04 a | 2.27 ± 0.03 bc | 2.24 ± 0.02 b |
| Lysine | 4.68 ± 0.01 b | 5.01 ± 0.11 a | 4.89 ± 0.06 ab | 4.74 ± 0.12 b |
| Histidine | 1.14 ± 0.02 b | 1.23 ± 0.02 a | 1.18 ± 0.00 ab | 1.11 ± 0.04 b |
| Arginine | 7.82 ± 0.01 b | 8.37 ± 0.20 a | 8.13 ± 0.10 ab | 8.16 ± 0.22 ab |
| Proline | 6.68 ± 0.14 b | 6.93 ± 0.02 a | 6.96 ± 0.05 a | 6.88 ± 0.08 ab |
| Total Amino Acid | 85.69 ± 0.08 b | 91.30 ± 2.08 a | 89.77 ± 1.16 ab | 88.84 ± 1.62 ab |
Disclaimer/Publisher’s Note: The statements, opinions and data contained in all publications are solely those of the individual author(s) and contributor(s) and not of MDPI and/or the editor(s). MDPI and/or the editor(s) disclaim responsibility for any injury to people or property resulting from any ideas, methods, instructions or products referred to in the content. |
© 2025 by the authors. Licensee MDPI, Basel, Switzerland. This article is an open access article distributed under the terms and conditions of the Creative Commons Attribution (CC BY) license (https://creativecommons.org/licenses/by/4.0/).
Share and Cite
Li, Q.; Li, L.; Lai, P.; Wei, Y.; Lai, C.; Liu, Y.; Yang, M.; Zhou, S.; Chen, J.; Sun, J. Effects of Different Drying Methods on Physicochemical Properties and Nutritional Quality of Abalone Bioactive Peptides. Molecules 2025, 30, 1516. https://doi.org/10.3390/molecules30071516
Li Q, Li L, Lai P, Wei Y, Lai C, Liu Y, Yang M, Zhou S, Chen J, Sun J. Effects of Different Drying Methods on Physicochemical Properties and Nutritional Quality of Abalone Bioactive Peptides. Molecules. 2025; 30(7):1516. https://doi.org/10.3390/molecules30071516
Chicago/Turabian StyleLi, Qiting, Longxiang Li, Pufu Lai, Yingying Wei, Chunmei Lai, Yusha Liu, Mengjie Yang, Shaoxiong Zhou, Junchen Chen, and Junzheng Sun. 2025. "Effects of Different Drying Methods on Physicochemical Properties and Nutritional Quality of Abalone Bioactive Peptides" Molecules 30, no. 7: 1516. https://doi.org/10.3390/molecules30071516
APA StyleLi, Q., Li, L., Lai, P., Wei, Y., Lai, C., Liu, Y., Yang, M., Zhou, S., Chen, J., & Sun, J. (2025). Effects of Different Drying Methods on Physicochemical Properties and Nutritional Quality of Abalone Bioactive Peptides. Molecules, 30(7), 1516. https://doi.org/10.3390/molecules30071516

