Abstract
Phosphorylated nitrones belong to an important class of compounds with several applications, such as their therapeutic potency to reduce oxidative stress or as spin-trapping agents. This review covers available synthetic methods for the preparation of both non-cyclic and cyclic phosphorylated nitrones, including the possibilities of the modification of structures with selected functional groups, as well as examples of their application. As reported, the incorporation of diethoxyphosphoryl function into the structure of PBN and DMPO resulted in obtaining their phosphorylated analogs, i.e., N-benzylidene-1-diethoxyphosphoryl-1-methylethylamine N-oxide (PPN) and 5-(diethoxyphosphoryl)-5-methyl-1-pyrroline-N-oxide (DEPMPO), respectively, both forming spin adducts of improved stability in comparison to the reference non-phosphorus nitrones. Moreover, antioxidant and neuroprotective activity observed in the group of phosphorylated nitrones makes them promising candidates for therapeutics.
1. Introduction
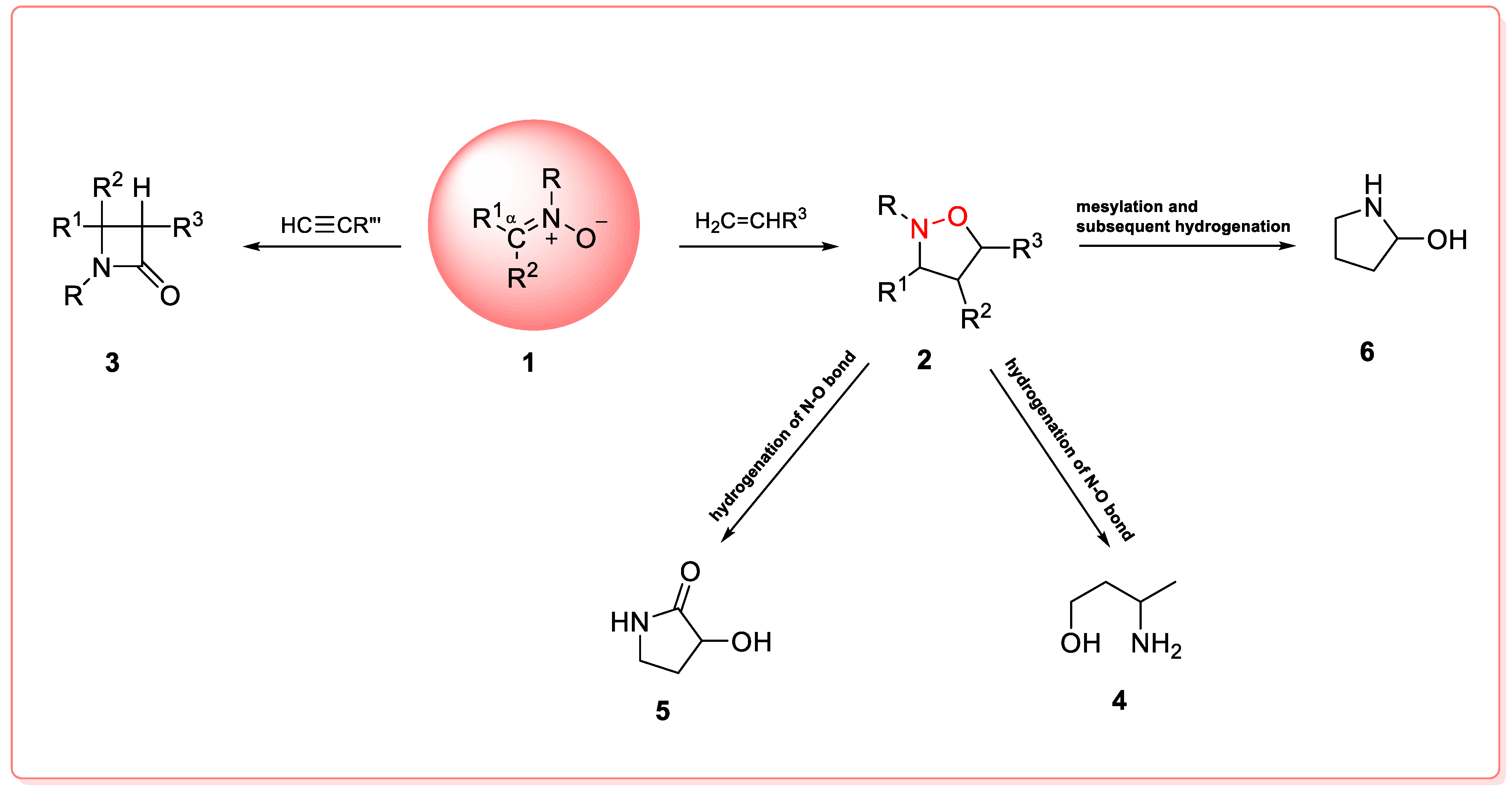
Nitrones 1 (Figure 1) [1] represent a class of compounds with a variety of applications, including their reactivity as substrates in organic chemistry [1,2,3] and their therapeutic usefulness in the treatment of oxidative stress [4,5,6,7,8] or electron spin traps [9,10]. The term “nitrone” appeared in 1916 for the first time. This shortcut was created by combining the words nitrogen and ketone [11], due to the structural analogy, i.e., mesomeric effect in both nitrones and ketones (Figure 1) [1]. Moreover, reactions with nucleophiles occur via attacking the C(sp2) atom of nitrone function analogously to the reactivity of the carbonyl group [12].
Figure 1.
Mesomeric effect of nitrones and ketones.
1,3-Dipolar cycloaddition (1,3-DC) is an important transformation in organic chemistry leading to five-membered heterocycles [1,2,3]. When nitrone is used as a dipole in cycloaddition with alkenes, isoxazolidines 2 [1,2,3] are formed, while the Cu-catalyzed Kinugasa reaction of nitrone with alkynes produces β-lactams 3 [13,14] (Figure 2), and up to even two (for β-lactams) or three stereogenic centers (for isoxazolidines) can be generated. The stereoselectivity of the 1,3-DC reaction is dependent on the chirality of nitrones and dipolarophiles, as well as the catalyst used in the respective reactions [15]. Furthermore, isoxazolidine derivatives 2 are useful intermediates in organic chemistry and could be easily transformed into 1,3-aminoalcohols 4 [16], α-hydroxy-γ-lactams 5 [17], and hydroxylated pyrrolidine 6 [18] (Figure 2). In addition to the chemical applications of isoxazolidines in various chemical transformations, several examples of biologically active agents have been reported in this class of compounds, including isoxazolidine derivatives exhibiting antibacterial [19,20], antiviral [21,22], and anticancer activities [23,24], among others. The above-mentioned strategies depicted in Figure 2 have also been applied to the preparation of phosphorylated compounds such as phosphorylated isoxazolidines [21,22,25,26,27,28,29,30,31,32,33,34,35] and β-lactams [36,37,38], phosphoproline [18,39] and pyrrolidinone analogs [39], and phosphonate analogs of homoserine [40] and 4-hydroxyglutamic acid [41], as well as other α-amino-β-hydroxyphosphonates [42].
Figure 2.
Examples of the application of nitrones in organic synthesis.
Nitrones have found applications not only in organic chemistry. They are able to react and stabilize with free radicals, and for this reason, they have found applications as agents for the detection of highly unstable free radicals. Free radicals are chemical species that contain unpaired electrons [43,44]. They can be divided into reactive oxygen species (ROS) containing an oxygen atom and reactive nitrogen species (RNS) containing a nitrogen atom [45]. They are identified as products of cellular metabolism and play a crucial role in the living system [46]. For example, free radicals are signaling molecules [43,47] and Ca2+ channel stimulators [48,49] and are involved in immunological defense [50]. Unfortunately, when an overproduction of ROS and RNS occurs and the antioxidant system is impaired, oxidative and nitrosative stress appear [51]. Oxidative and nitrosative stress have been associated with cardiovascular diseases [52,53] (such as atherosclerosis [54], ischemia/reperfusion injury [55], and hypertension [56]), neurodegenerative diseases [57], such as Parkinson’s disease [58] and Alzheimer’s diseases [59], and cancer [46,51]. Free radicals are very reactive [43,44], with their detection being difficult. To detect ROS and RNS in the biological system, EPR spin trapping was used. This method is based on the reaction of a “spin trap” with free radicals and the analysis of the resulting more stable product, which is called a “spin adduct” [9,10]. Due to their high persistence and specificity towards free radicals, nitrones are among the most useful “spin traps” and can be classified as non-cyclic nitrones, such as PBN (7) (Figure 3) [10] and its analog PPN (8a) (Figure 3) [60], or cyclic nitrones, such as DMPO (9) (Figure 3) [10] and its analog DEPMPO (10a) (Figure 3) [10,61,62].
Figure 3.
Structures of nitrones 7, 8a, 9, and 10a.
Free radical scavengers, due to their ability to react with free radicals, can be used as potential therapeutics for many diseases to which nitrosative and oxidative stress may contribute. In 1985 and 1986, the first experiments on the pharmacological properties of PBN (7) (Figure 3) were carried out in animal models. PBN (7) has been found to protect against death after endotoxin shock, as well as shock trauma [4,5]. In addition, PBN (7) (Figure 3) demonstrated neuroprotective activity in stroke [63,64]. These studies initiated intensive work on the pharmacological properties of other nitrones. One of the most promising compounds was 2,4-disulfophenyl-N-tert-butylnitrone (11, NXY-059, currently known as OKN-007) (Figure 4), which exhibited a neuroprotective effect in experimental ischemia studies [6,7]. Unfortunately, nitrone 11 (Figure 4) appeared ineffective as a stroke neuroprotectant in a large clinical trial [65,66]. On the other hand, nitrone 11 (Figure 4) has been demonstrated to have an impact on reducing the growth of glioblastoma [67,68,69,70,71,72]. Recently, the antioxidant and neuroprotective properties of phosphorylated PPN-type nitrones 8 (Figure 4) [73] and N-substituted C-(dialkoxyphosphoryl)nitrones 12 (Figure 4) have been demonstrated [74]. The antioxidant and neuroprotective activity of nitrones 13 (Figure 4) has also been shown to be higher than that of PBN (7) (Figure 3) [8].
Figure 4.
Structures of compounds 8 and 11–13.
Numerous reviews on nitrones have been published over the years [1,75,76], however there was no comprehensive report on phosphorylated nitrones. This review covers literature reports on the synthesis of phosphorylated nitrones and their applications from the early 1990s to the present. Phosphorylated nitrones are useful synthons in organic chemistry since they react with alkenes to form functionalized isoxazolidines [77,78] as well as with alkynes to give β-lactams [36,37,38]. Among the various isoxazolidine cycloadducts, nucleos(t)ide analogs with an isoxazolidine moiety that mimics a natural sugar are of particular interest due to their observed antiviral and anticancer properties [21,22,30,31,32,33,34]. Phosphorylated nitrones are also excellent spin traps for detecting free radicals using EPR spin trapping [60,61,62]. Moreover, due to the capacity of nitrones to react with free radicals, they may be useful as potential agents in the treatment of diseases to which oxidative and nitrosative stress may contribute [73,74].
2. Synthesis of Nitrones
Phosphorylated nitrones comprise three groups of compounds: N-substituted C-phosphorylated nitrones, “non-cyclic” phosphorylated nitrones, and cyclic phosphorylated nitrones.
2.1. N-Substituted C-Phosphorylated Nitrones
N-substituted C-phosphorylated nitrones are a class of compounds having the phosphoryl group located directly at the C atom of nitrone function [30,35,74,77], i.e., N-substituted C-(dialkoxyphosphoryl)nitrones 12aa-ae and 12ba-bb (Figure 5) [74,77], or via an additional alkyl linker, i.e., (diethoxyphosphorylalkyl)nitrones 14a-b (Figure 5) [30,35].
Figure 5.
Structures of compounds of 12aa-ae, 12ba,bb, and 14a,b.
2.1.1. N-Substituted C-(Dialkoxyphosphoryl)Nitrones 12
The Swern oxidation of diethyl (hydroxymethyl)phosphonate 15a or dibenzyl (hydroxymethyl)phosphonate 15b led to the in situ formation of the respective formylphosphonates 16a-b, which were subsequently reacted with corresponding hydroxylamines to give nitrones 12aa-bb (Scheme 1) [18,74,77]. Most of the nitrones 12 exist as an equilibrium mixture of E/Z isomers in CDCl3, and only 12ad existed as a Z isomer; however, for all of them, the Z isomer is preferred in DMSO-d6 [18,74,77].
Scheme 1.
Synthesis of nitrones 12aa-bb. Reagents and conditions: (a) (COCl)2, DMSO, −78 °C; (b) R’NHOH, r.t., 20–87%.
Romeo and co-workers reported an alternative methodology for the preparation of nitrone 12aa based on the conversion of the (hydroxymethyl)phosphonate 15a into mesylate 17 and its subsequent reaction with the N-methylhydroxylamine. The oxidation of derivative 18 with MnO2 resulted in the formation of nitrone 12aa (Scheme 2). In this strategy, the formation of unstable formylphosphonate is avoided; however, the total yield of the transformations is noticeably lower (27%) compared to the original strategy via the Swern oxidation of 15 [34].
Scheme 2.
Synthesis of nitrone 12aa. Reagents and conditions: (a) MeSO2Cl, CH2Cl2, Et3N, −10 °C, then r.t., 2 h, 90%; (b) MeNHOH, Et3N, reflux, 5 h, 50%; (c) MnO2, CH2Cl2, r.t., 18 h, 60%.
2.1.2. N-Substituted C-(Diethoxyphosphorylalkyl)Nitrones 14
For the synthesis of N-methyl C-(diethoxyphosphorylmethyl)nitrone 14a, diethylphosphonoacetaldehyde diethyl acetal 19 was hydrolyzed to diethyl (2-oxoethyl)phosphonate 20 [30,79] and then reacted with N-methylhydroxylamine hydrochloride. After purification by column chromatography, nitrone 14a was isolated as a 15:85 mixture of E/Z isomers and in a high total yield (75%) (Scheme 3) [30].
Scheme 3.
Synthesis of nitrone 14a. Reagents and conditions: (a) Amberlist-15, acetone, r.t., 18 h, 95%; (b) MeNHOH×HCl, Et3N, toluene, r.t., 3 h, 95%.
An analogous strategy was applied to the synthesis of nitrone 14b (Scheme 4). Diethyl (3-oxopropyl)phosphonate diethyl acetal (22) obtained from 3-chloropropionaldehyde diethyl acetal (21) via the Arbuzov reaction with triethyl phosphite was hydrolyzed to diethyl 2-formylethylphosphonate which was then reacted with N-methylhydroxylamine hydrochloride to form N-methyl C-(diethoxyphosphorylethyl)nitrone (14b) as a 1:6 mixture of E/Z isomers [35].
Scheme 4.
Synthesis of nitrone 14b. Reagents and conditions: (a) (EtO)3P, reflux, 12 h; (b) 10% HCl, 90 °C, 2 h; (c) MeNHOH×HCl, Et3N, CH2Cl2, r.t., 5 h, 85%.
2.2. “Non-Cyclic” Phosphorylated Nitrones
“Non-cyclic” phosphorylated nitrones were designed as the analogs of PBN (7) (Figure 3). In contrast to N-substituted C-phosphorylated nitrones 12 and 14 (Figure 5), they contain phosphoryl groups located in the substituent at the nitrogen atom of the nitrone function. These types of nitrones include PPN-type nitrones 8 [60,73,80,81,82,83], nitrones 23 [84] having a diphenylphosphinyl group, and poly(phosphorylated)nitrone 24 (Figure 6) [85].
Figure 6.
Structures of nitrones 8, 23, and 24.
2.2.1. PPN-Type Nitrones 8
Nitrone PPN 8a and its analog 8b were synthesized from acetone, which was treated with diethyl phosphite under a flow of ammonia to afford aminophosphonate 25. Then, the oxidation of 25 with KMnO4 gave nitrophosphonate 26. The reduction of 26 with zinc followed by a reaction with benzaldehyde or 4-formylpyridine N-oxide resulted in nitrone PPN 8a or 4-PyOPN 8b but with a low yield (not exceeding 30%) (Scheme 5) [60].
Scheme 5.
Synthesis of nitrones 8a and 8b. Reagents and conditions: (a) NH3, HP(O)(OEt)2; (b) KMnO4; (c) AcOH, EtOH, Zn, benzaldehyde, 30%; (d) Zn, NH4Cl, EtOH, 4-formylpyridine N-oxide, 27%.
Later on, the procedure for the preparation of 8a and 8b, as well as several PPN analogs 8c-z, was improved by isolating the hydroxyloaminophosphonate 27, formed as a product of the nitrophosphonate 26 reduction, and its recrystallization from pentane [73,80,81,82,86,87]. Then, the condensation of diethyl [1-(hydroxyamino)-1-methylethyl]phosphonate (27) with corresponding aldehydes 28a-z gave nitrones 8a-z (Scheme 6) [73,80,81,82,86,87,88].
Scheme 6.
Synthesis nitrones 8a-z from diethyl [1-(hydroxyamino)-1-methylethyl]phosphonate (27). Reagents and conditions: (a) EtOH, 55 °C, 3 h, ~90%; (b) EtOH, 60 °C, 22 h, 93%; (c) THF or DCE, MgSO4, 100 °C, 4 h, 35–70%.
The group of PPN-type nitrones was extended to include mito-PPNs 29a-d functionalized as triphenylphosphonium salts (mitochondria-targeted “non-cyclic” phosphorylated nitrones) and nitrones having a diphenylphosphinyl group 30a-d in the aromatic ring (non-mitochondria-targeted nitrones). Williamson’s reaction of respective phenol derivatives 8j or 8k with (iodoalkyl)triphenylphosphonium iodide 31a-c in the presence of a respective base was applied to synthesize nitrones 29a-d and 30a-d. K2CO3 was used as a base for the synthesis of mito-PPNs 29a-d, while the preparation of 30a-d via Williamson’s reaction required a stronger base, such as sodium hydride (Scheme 7) [83]. As observed, the yield of the target nitrones 29a-d and 30a-d depends on the methylene chain length. Thus, the overall yields of the obtained nitrones decrease with chain length (29a vs. 29b and 29c as well as 30a vs. 30b and 30c). Moreover, the mutual arrangement of respective groups in the aromatic ring present in the structures of the nitrone also affects the yield. Isomeric para-substituted derivatives 29a and 30a were obtained in slightly higher yields compared to the analogous meta-derivatives, 29d and 30d, respectively.
Scheme 7.
Synthesis of nitrones 29a-d and 30a-d. Reagents and conditions: (a) K2CO3, MeCN, rt, 30 min, then (iodoalkyl)triphenylphosphonium iodide 31a-c, MeCN, 60 °C, 12 h, 25–40%; (b) NaH, MeCN, rt, 30 min, then (iodoalkyl)triphenylphosphonium iodide 31a-c, 40 °C, 12 h, 32–64%.
In continuation of the above-mentioned studies on nitrones 29 and 30, a new class of mitochondrial-targeted nitrones 31, 32, and 33 (mito-PPNs) was designed (Scheme 8), obtained, and tested for their potential applications [89]. In these newly synthesized compounds, triethylammonium (31a-e) or pyridinium (32a-e) cations were installed instead of the triphenylphosphonium cation present in respective series 29. Furthermore, in order to achieve expanded structural diversity, two additional mito-PPN nitrones (33a,b) containing a berberinium cation were obtained. While the synthetic methodology for the preparation of the previously obtained nitrones 29 and 30 was based on the respective functionalization of phenol-derived nitrones 8j or 8k (Scheme 7), newly designed compounds 31–33 were synthesized via a standard approach including the condensation of diethyl [1-(hydroxyamino)-1-methylethyl]phosphonate (27) with corresponding aldehydes 34, 35, or 36 as a key step (Scheme 8). The analogous synthetic strategy has already been successfully applied for the preparation of previously described nitrones 8a-z as well (Scheme 6).
Scheme 8.
Synthesis of nitrones 31a-e, 32a-e, and 33a,b. Reagents and conditions: (a) EtOH, 100 °C, 1h, microwave, 49–78% for 31a-e, 53–93% for 32a-e, 76% for 33a and 73% for 33b.
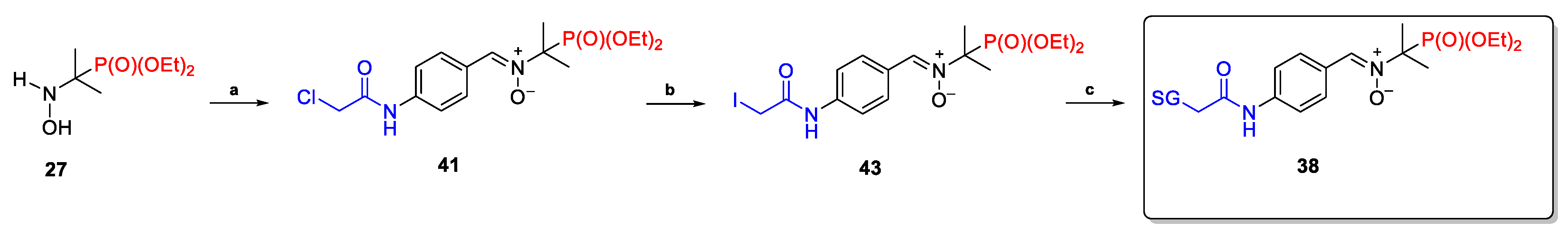
The condensation of diethyl [1-(hydroxyamino)-1-methylethyl]phosphonate (27) with the respective aldehydes was a key step in the synthesis of nitrones 37 and 38, derivatives of PPN 8a functionalized with carbohydrate and glutathione, respectively (Scheme 9 and Scheme 10) [90,91]. The synthesis of glycosylated nitrone 37 was performed from N-(4-formylbenzyl)octa-O-acetyllactobionamide 39 prepared from 4-cyanobenzaldehyde (28h) in a multi-step reaction sequence (Scheme 9). The condensation of peracetylated aldehyde 39 with hydroxylamine phosphonate 27 was followed by hydrolysis of all acetyl groups in 40 to give the final nitrone 37 (Scheme 9) [91].
Scheme 9.
Synthesis nitrone 37. Reagents and conditions: (a) p-TsOH, toluene, ethylene glycol, reflux, 9 h, then cooled at 20 °C, sodium bicarbonate, 90%; (b) lactobiono-1,5-lactone, LiAlH4, Et2O, 0 °C, 4 h, then r.t., 12 h, then EtOH and then a mixture of ethanol/water (1:1), 62%; (c) MeOH, TEA, reflux, 3 h, 85%; (d) acetic anhydride in pyridine (1:1), 0 °C, then r.t., 18 h, 53%; (e) p-TsOH, CH3CHO, 15 °C, 7 h, 86%; (f) hydroxylamine phosphonate 27, THF, argon atmosphere, 40 °C, 76 h, 60%; (g) EtONa, EtOH, argon atmosphere, 20 °C, 20 min, 98%.
Scheme 10.
Synthesis nitrone 38. Reagents and conditions: (a) 2-Chloro-N-(4-formylphenyl)acetamide, CHCl3, nitrogen atmosphere, reflux, 4 h, 91%; (b) NaI, EtOH, darkness, reflux, 80 h, 61%; (c) GSH, EtOH, K-phosphate buffer (0.1 M, pH 7.4), 25 °C, overnight, 100%.
Glutathione-derived nitrone 38 was easily prepared in three steps from hydroxylamine phosphonate 27 which was condensed with 2-chloro-N-(4-formylphenyl)acetamide to give nitrone 41. Nucleophilic substitution with an iodide anion led to the formation of derivative 42, which was subsequently subjected to coupling with GSH to produce the designed nitrone 38 (Scheme 10) [90].
2.2.2. Nitrones with Diphenylphosphinyl Group 23
Nitrones 23 with a diphenylphosphinyl group located at the nitrone atom of the nitrone function were efficiently synthesized by functionalization of the corresponding primary amines 43a-d (Scheme 11). The reactions of amines 43a-d with acetone led to the formation of the respective imines 44a-d, which were then immediately reacted with diphenylphosphine oxide under microwave irradiation and in the presence of silica gel to produce secondary amines 45a-d. Oxidation of the amines 45a-d with Oxone was a key step to produce the nitrones 23a-d (Scheme 11) [84].
Scheme 11.
Synthesis nitrones 23a-d. Reagents and conditions: (a) acetone, silica gel, m.w., 1 min; (b) diphenylphosphine oxide, silica gel, microwave irradiation, 1 min, 63–69%; (c) Oxone, acetone/NaHCO3, 0 °C, then r.t., 1 h, 34–47%.
2.2.3. Poly(Phosphoryl)Nitrones 24
A synthetic strategy based on the condensation of hydroxylamine 27 with corresponding aromatic polyaldehydes 46a-d was applied for the preparation of compounds 24a-d functionalized with two and three nitrone groups (Scheme 12), which was analagous to the methodology previously applied to obtain PPN-type nitrones 8 (Scheme 6) [85].
Scheme 12.
Synthesis nitrones 24a-d. Reagents and conditions: (a) EtOH, 55 °C, 3 h, 64–89%; (b) benzene, 55 °C, 3 h, 65%.
2.3. Cyclic Phosphorylated Nitrones
Cyclic nitrones with pyrrolidine units are of particular interest as spin traps for biological applications. For example, DMPO (9) was recognized to form characteristic adducts with a superoxide radical anion (O•–2) and a hydroxyl radical (•OH); however, its application as a probe for the generation of an oxyradical in biological systems is limited due to the suspected toxicity of the nitrone to biological tissue [92].
Several functionalized nitrones based on a pyrrolidine skeleton, including various phosphorus-containing analogs of DMPO (9) (Figure 3), were synthesized with the intention to study their properties and to understand the stability of the spin traps and the spin adducts in vivo. It was proven that DEPMPO (10a) (Figure 3), with the diethoxyphosphoryl function at C5, can trap and form a stable adduct for both •OH and O•–2, giving the EPR spectra characteristics of each [61]. Later on, the structure of nitrone 10a was further modified by introducing various alkyl/aryl groups in the phosphoryl function [61,93,94,95,96,97,98,99]. Moreover, the methyl group at C5 in the pyrrolidine ring in 10a was replaced with other substituents [100,101,102]. Furthermore, additional substituents at C3 [103,104] and C4 [103,105,106,107] were also incorporated. Due to the large number of compounds, examples of nitrones are presented in this report according to the modification made to the structure of the model compound, namely DEPMPO (10a).
2.3.1. Depmpo and Its Alkoxy-, Alkyl-, and Aryl-Phosphorylated Derivatives
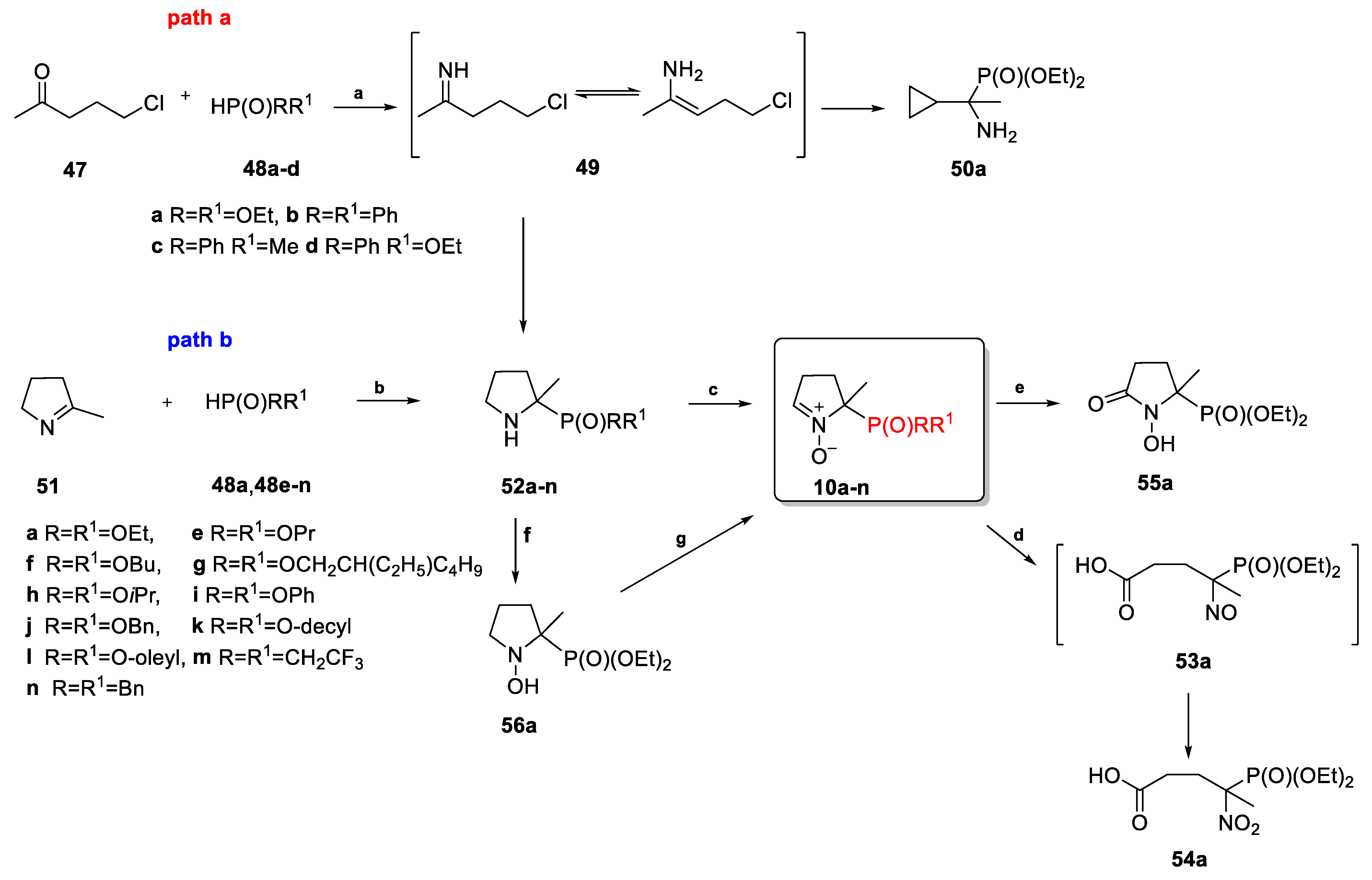
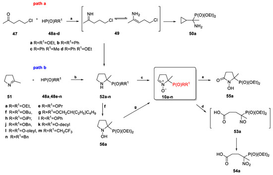
Several synthetic strategies for the preparation of DEPMPO (10a) and its analogs 10b-n rely on the application of respective pyrrolidine derivatives 52a-n in the key oxidation step (Scheme 13) [61,93,94,95,96,98,99,108].
Scheme 13.
Synthesis of nitrones 10a-n. Reagents and conditions: (a) NH3, EtOH, 50–60 °C, 3h; (b) r.t., 7–12 days (4 h for 49m) 84–98%; (c) 2.2 eq. H2O2/Na2WO4, 0 °C, 48 h or m-CPBA, CHCl3, −10 °C, 1 h or Oxone, NaHCO3, acetone, r.t., 1 h or 2 eq. PSPO, CHCl3, 0 °C or 2 equiv DMD, acetone, 0 °C, 20 min; (d) m-CPBA, CHCl3, 53: 14%, 54: 8%, or Oxone, acetone, 53: 22%, 54: 9%; (e) 2 equiv DMD, acetone, 0 °C, 20 min, 5%; (f) 1 eq. DMD, acetone, 0 °C, 20 min, 75%; (g) Cu(OAc)2, MeCN, 30 min, 90%.
Pyrrolidines 52, required as key compounds in the above-mentioned strategy, were prepared using two different synthetic routes. The Kabachnik–Fields reaction of 5-chloropentan-2-one (47) and corresponding diethyl phosphite 48a or phosphine oxides 48b-d was applied for the preparation of 52a-d (Scheme 13, path a) [61,94,95,96,97,107], while the reaction of 2-methyl-1-pyrroline (51) and corresponding phosphite derivative 48a and 48e-n was used for the preparation of 52a and 52e-n (Scheme 13, path b) [93,94,99,108].
Although 5-chloropentan-2-one (47) is widely used as a starting material in the synthesis of phosphorylated nitrone 10a, the formation of diethyl (1-amino-1-cyclopropylethyl)phosphonate (50a) as a by-product was noted and explained as resulting from the imine–enamine tautomerization of intermediate 49 (Scheme 13, path a) [108].
Various oxidizing agents were used to oxidize compounds 52 to 10, including m-CPBA [61,94,96,108], Na2WO4/H2O2 [93,94,108], Oxone [94,95,97,108], Davi’s reagents (PSPO), and dimethyldioxirane (DMD) [94,108]. Unfortunately, the formation of the over-oxidation product was observed when stronger oxidants (Oxone, m-CPBA, and excess of DMD) were used, namely 53, 54, and 55 (Scheme 13) [94,108]. However, when a stoichiometric amount of DMD was employed, hydroxylamine 56 was produced, and then, the subsequent oxidation of 56 to 10a with O2/copper acetate occurred (Scheme 13) [108].
Another synthetic pathway to nitrone 10a was based on the reductive cyclization of nitroaldehyde 61. The synthesis of the respective intermediate 61 started with acetyl chloride (57) which was treated with triethyl phosphite to form α-ketophosphonate 58. The subsequent reaction of 58 with hydroxylamine, followed by an oxidation reaction with acrolein, and a final reductive cyclization yielded the final product 10a (Scheme 14) [94].
Scheme 14.
Synthesis of nitrone 10a. Reagents and conditions: (a) P(O)(OEt)3, r.t., 24 h, 99%; (b) NH2OHxHCl, pyridine, EtOH, r.t., 12 h, 78%; (c) m-CPBA, CH2Cl2, r.t., 5 days, 76%; (d) acrolein, Et3N, MeCN, r.t., 2 h, 100%; (e) Zn/CH3COOH, ethanol/water (18:1), 10 °C, 1.5 h, then r.t., 1.5 h, 65%.
Nitrone DEPMPO (10a), with a diethoxyphosphoryl function, was transformed into a phosphonic acid derivative 62 via a reaction with iodo- or bromotrimethylsilane followed by the hydrolysis of bistrimethylsilyl ester 63 (Scheme 15). The reaction was completed within 4.5 h at room temperature (r.t.) with iodotrimethylsilane, whereas the application of bromotrimethylsilane required increasing the temperature to 30 °C and extending the reaction time to 20 h [109].
Scheme 15.
Synthesis of nitrone 62. Reagents and conditions: (a) iodotrimethylsilane (3 equiv), CH2Cl2, r.t., 4.5 h; (b) bromotrimethylsilane (3 equiv), CH2Cl2, 30 °C, 20 h; (c) acetone, H2O, 76%.
For the synthesis of nitrone 64 functionalized with a diethoxyphosphorylmethyl substituent at C5, a methodology analogous to the synthesis of DEPMPO 10a was applied, which relies on the reductive cyclization of nitroaldehyde 68 as a key step (Scheme 16) [110].
Scheme 16.
Synthesis of nitrone 64. Reagents and conditions: (a) AcONH4, NaBH3CN, MeOH, r.t., 72 h, 86%; (b) m-CPBA, 1,2-dichloroethane, reflux, 16 h, 69%; (c) acrolein, MeCN, Triton B, 0 °C, 2 h, then 10 °C, 20 h, 64%; (d) Zn/AcOH, EtOH, 2 °C, 15 h, 30%.
2.3.2. Deuterium-Labeled Analogs of DEPMPO
Deuterium-labeled phosphorylated cyclic nitrones 69, 70, 71, 73, and 79 [61,111] were designed with the intention of improving their properties as the spin traps for the detection of free radicals since the presence of deuterium should simplify the EPR spectra of the spin adducts [111]. The first attempt to synthesize deuterium-labeled analogs of DEPMPOs 69 and 70 involved the reaction of DEPMO (10a) with NaOD in D2O, leading to the formation of an inseparable mixture of 2,3,3-trideuterio nitrone 69 and 2,3-dideuterio nitrone 70 (Scheme 17) [61].
Scheme 17.
Synthesis of nitrones 69–70. Reagents and conditions: (a) NaOD, D2O, 24 h, 16% (69/70: 80/20).
For the synthesis of nitrone 71 with a deuterium located at C3, the reductive cyclization of the respective deuterated γ-nitroaldehyde 72 was used as a key step (Scheme 18). Compound 72 was prepared from the nitroaldehyde 61 [111] and obtained according to the procedure shown in Scheme 14 [94] using D2O for isotopic labeling (Scheme 18) [111].
Scheme 18.
Synthesis of 71. Reagents and conditions: (a) D2O, pyridine, r.t., 18 h, 84%; (b) Zn/CH3COOD in EtOD/D2O, 10 °C, 1.5 h, then r.t., 1.5 h, 79%.
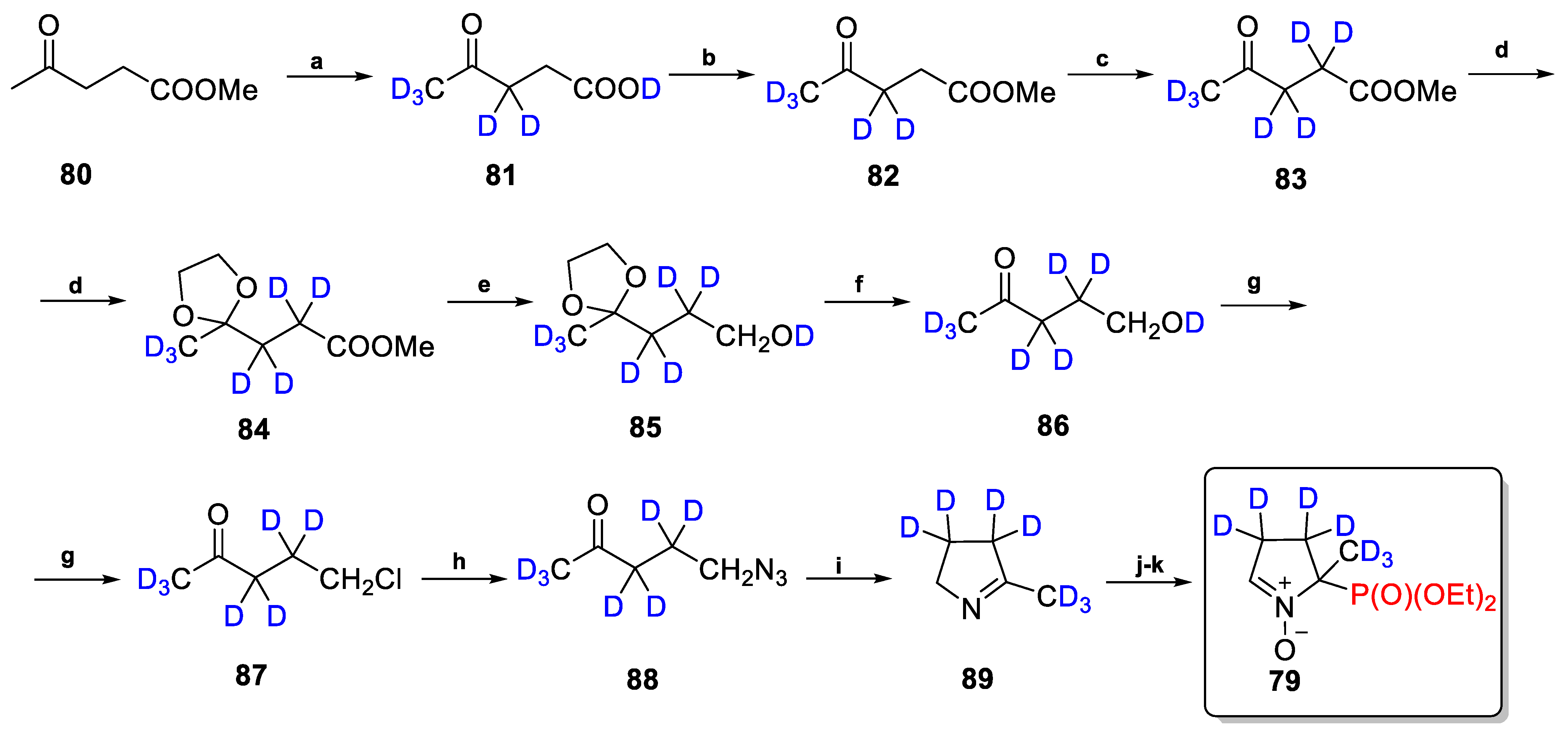
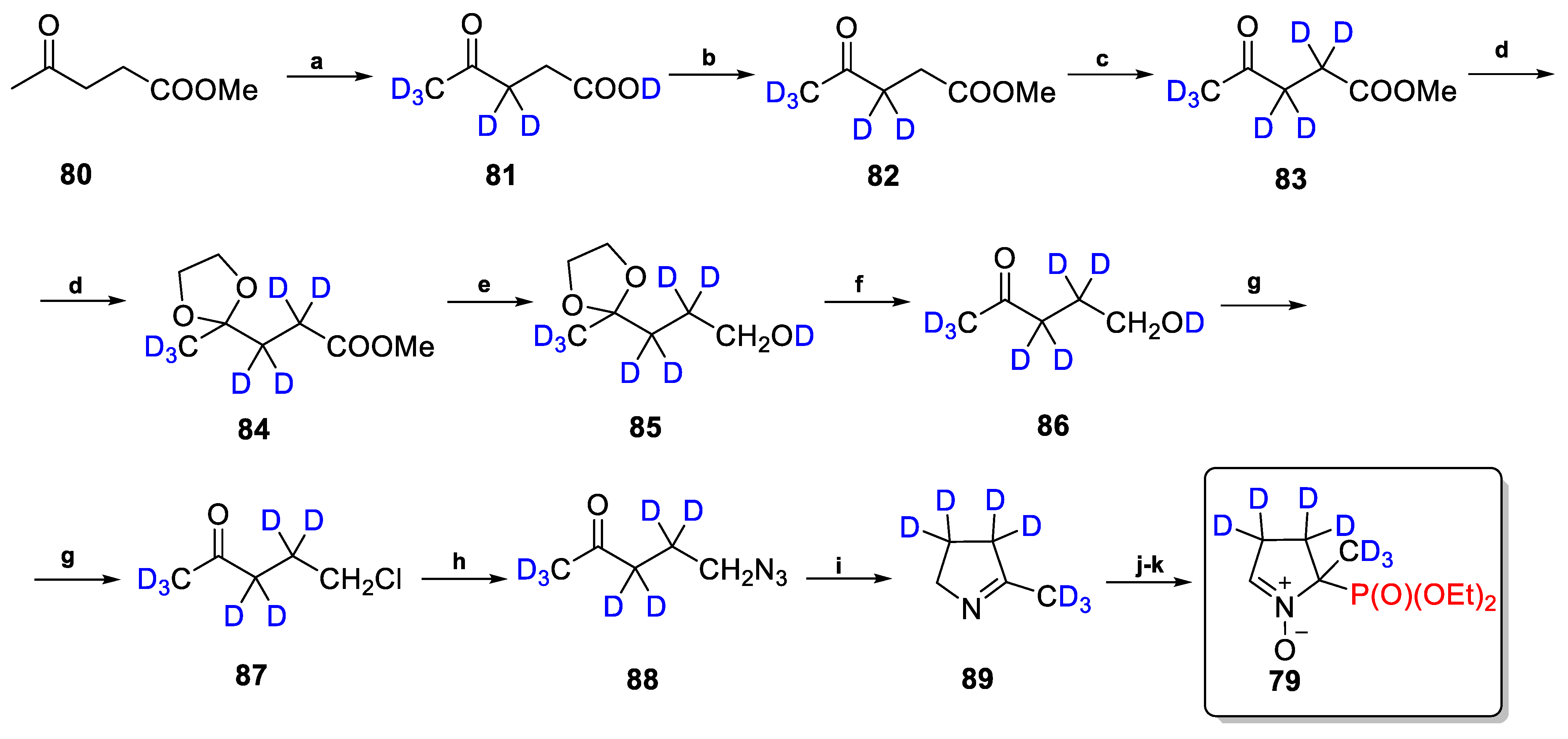
Pentadeuterated nitrone 73 was obtained from the 5-chloropentan-2-one (47). Isotopic labeling was accomplished via the treatment of 47 with D2O, and the resulting ketoalcohol 74 was then subjected to chlorination and azidation, followed by an aza-Wittig reaction to give 3,4-dihydro-2H-pyrrole derivative 77. The reaction of 77 with deuterium-labeled diethyl phosphite followed by oxidation with DMD resulted in the formation of nitrone 73 (Scheme 19) [111].
Scheme 19.
Synthesis of nitrone 73. Reagents and conditions: (a) D2O, K2CO3, reflux, 15 h, 37%; (b) PPh3, CCl4, 80 °C, 30 min, 70%; (c) NaN3, n-Bu4NCl, DME, reflux, 2 h, 99%; (d) PPh3, Et2O, reflux, 4 h, 61%; (e) DP(O)(OEt)2, r.t., 7 days, 97%; (f) DMD, acetone, 0 °C, 2 h, 65%.
The synthesis of the perdeuterated analog of DEPMPO 79 was carried out starting from methyl 4-oxopentanoate 80, which was then converted to the respective deuterated 3,4-dihydro-2H-pyrrole intermediate 89 via the reaction sequence shown in Scheme 20 [111].
Scheme 20.
Synthesis of deuterated nitrone 79. Reagents and conditions: (a) NaOD/D2O, 60 °C, 12 h, 92%; (b) CH3OD, D2SO4, reflux, 24 h, 75%; (c) Na/CH3OD, reflux, 1 h, 61%; (d) DOCH2-CH2OD, p-TsOH, benzene, reflux, 12 h, 69%; (e) LiAlH4, THF, reflux, 3 h, 97%; (f) DCl, D2O, THF, r.t., 12 h, 95%; (g) PPh3, CCl4, 80 °C, 30 min, 68%; (h) NaN3, n-Bu4NCl, DME, reflux, 2 h, 98%; (i) PPh3, Et2O, reflux, 4 h, 65%; (j) DP(O)(OEt)2, r.t., 7 days, 96%; (k) DMD, acetone, 0 °C, 2 h, 63%.
2.3.3. C3-Substituted Derivatives of DEPMPO
Two phosphorylated nitrones functionalized at the C3 position have been synthesized so far, namely 90 and 93 (Scheme 21 and Scheme 22, respectively) [103,104]. Two diastereoisomers of nitrone 90 with a phenyl group at C3 were prepared from nitrophosphonate 60a [104] in a two-step reaction sequence involving the 1,4-addition of 2-phenylpropenal 91 with the formation of an inseparable mixture of aldehydes 92 followed by reductive cyclization to nitrones 90a and 90b (Scheme 21) [104].
Scheme 21.
Synthesis of nitrones 90a,b. Reagents and conditions: (a) Et3N, MeCN, r.t., 2 h, 99%; (b) Zn/NH4Cl, THF/H2O, 0 °C, 1 h, then r.t., 6 h, 90a: 27%, 90b: 25%.
Scheme 22.
Synthesis of nitrones 93a,b. Reagents and conditions: (a) Amberlyst 15, HC(OEt)3, CH2Cl2, 0–5 °C, 20 h, 99%; (b) LiAlH4, THF, 25 °C, 3 h, then 57 °C, 1 h, 36%; (c) 1. 5% HCl, THF/H2O (5/1), r.t., 3 h; 2. K2CO3, THF/H2O (5/1), r.t., 2 h; (d) HP(O)(OEt)2, r.t., 7 days, 40% (98a: 97%, 98b: 3%); (e) H2O2/Na2WO4, MeOH/H2O (2.1), 4 °C, 48 h, 32% (93a: 97%, 93b: 3%).
Nitrones 93 functionalized with a hydroxymethyl group at C3 were efficiently synthesized via the oxidation of the respective diastereoisomeric diethyl (4-hydroxymethyl-2-methylpyrrolidin-2-yl)phosphonates 98 formed via the addition of diethyl phosphite to 4-hydroxymethyl-2-methyl-1-pyrroline (97). The synthesis of the key intermediate 97 was complex and started with the transacetalization of ethyl 2-cyano-4-oxopentanoate 94 with triethyl orthoformate, followed by the reduction of cyano and ester groups in 95 and the subsequent cyclization of aminoalcohole 96 to 2-methyl-1-pyrroline 97. Imine 97 without purification was transformed into an inseparable diastereoisomeric mixture of pyrrolidines 98a and 98b, followed by oxidation with Na2WO4/H2O2 to form the final nitrones 93a and 93b [103].
2.3.4. C4-Substituted Derivatives of DEPMPO
DEPMPO analogs functionalized at C4 have been synthesized to improve the properties of spin adducts with free radicals. Spectra of the spin adduct of standard cyclic phosphorylated nitrones such as DEPMPO (10a) and its analog with a diisopropoxyphosphoryl group with free radicals are complex due to the formation of two isomers of the spin adduct with free radicals [106]. The introduction of a substituent at C3, for example, a phenyl group, limited ring pseudorotation, but the half-life time of the spin adduct was worse than that of the spin adduct of DEPMPO (10a) [104]. Based on previous works, a new derivative of DEPMPO with a phenyl substituent at C4 was designed to improve the properties of the spin adduct [106]. Hardy and co-workers developed a method for the synthesis of DEPMPO analog 99 with a phenyl group at C4 (Scheme 23). To regiospecifically obtain a single isomer with the two largest trans-oriented substituents, i.e., diethoxyphosphoryl and phenyl groups, the synthetic pathway involving the application of pyrrolidine as an intermediate was developed [106]. Thus, cinnamonitrile (100) was subjected to a four-step reaction sequence including the C-acylation of α,β-unsaturated nitrile 100 promoted by Mg [106,112], the protection of the ketone group in 101, the reduction of the CN group by LiAlH4, and the deprotection of the ketone group followed by the intramolecular cyclization to pyrroline 104. Pyrroline 104 was then reacted with diethyl phosphite (48a) to afford pyrrolidine derivative 105a and finally oxidized to nitrone 99a (Scheme 23) [106].
Scheme 23.
Synthesis of nitrone 99a. Reagents and conditions: (a) Mg, Ac2O-TMSCl, DMF, 5–10 °C, 15 h, 76%; (b) camphorsulfonic acid, ethylene glycol, toluene, reflux, 8 h, 91%; (c) LiAlH4, THF, 0 °C, 2 h, then r.t., 7 h, 85%; (d) 3M HCl, THF/H2O, 4 h, then K2CO3, 1 h, 93%; (e) HP(O)(OEt)2 (48a), BF3•OEt2, r.t., 7 days, 54%; (f) Na2WO4/H2O2, EtOH/H2O, 0 °C, 48 h, 90%.
The synthetic strategy for the preparation of isomeric nitrone 99b with a cis configuration between diethoxyphosphoryl and phenyl groups began with the alkylation of ethyl phenylacetate 106 with 1-azido-2-iodoethane to give azidoester 107, which was transformed into the acid chloride 109 via alkaline hydrolysis and a reaction with oxalyl chloride. The Arbuzov reaction of the crude chloride 109 led to the formation of (azidoacyl)phosphonate 110, which subsequently reacted with PPh3 to give the corresponding 5-(diethoxyphosphoryl)pyrroline intermediate 111. Finally, the designed nitrone 99b was obtained from 111 via the addition of a Grignard reagent, followed by the oxidation of the resulting pyrrolidine derivative 105b (Scheme 24) [106].
Scheme 24.
Synthesis of nitrone 99b. Reagents and conditions: (a) LDA, THF, −78 °C, 1h, then 1-azido-2-iodoethane, r.t., 12 h, 59%; (b) 1M NaOH, EtOH, r.t., 3 h, 100%; (c) (COCl)2, CH2Cl2, r.t., 1 h, then reflux, 2 h; (d) P(OEt)3, CH2Cl2, r.t., 15 h, 100% (for steps c-d); (e) PPh3, Et2O, r.t., 16 h, 95%; (f) MeMgBr, BF3•OEt2, −78 °C, 4 h, 76%; (g) Na2WO4/H2O2, EtOH/H2O, 0 °C, 50 h, 64%.
2(5H)-Furanone 113 was applied as the starting material for the synthesis of analogous nitrones 112 having a hydroxymethyl group at C4 in the pyrrolidine scaffold. Treatment of 113 with the respective carbanion obtained from nitrophosphonates 60a-b gave derivatives 114a-b, which were subsequently subjected to the reduction of carbonyl functions to form the final nitrones 112a-b as the respective mixtures of diastereoisomers, which were successfully separated by column chromatography (Scheme 25) [105,107,113].
Scheme 25.
Synthesis of nitrones 112aa-bb. Reagents and conditions: (a) PBu3, cyclohexane: CH2Cl2 (10:1), r.t., 66 h, 74–80%; (b) 1M DIBAL-H, hexane/CH2Cl2, −78 °C, 3 h, 50–75%; (c) Zn/NH4Cl, THF:H2O (10:1), r.t., 6 h, 60–64% as two diastereoisomers.
While nitrones 112ab and 112bb with cis configurations between the dialkoxyphosphonyl and hydroxymethyl functions were efficiently transformed into respective succinimide carbonates 116ab and 116bb (Scheme 26) [105,107,113], the corresponding trans-isomer 112aa proved less reactive, yielding small amounts of respective carbamates 116aa (less than 20%) [105]. Cyclic nitrone 116ab and 116bb were applied as important precursors in further transformations, since the presence of the oxycarbonyloxyl group allowed for various functionalizations of a pyrrolidine scaffold at C4 via a substitution reaction [105,113], namely, the incorporation of triphenylphosphonium (117aa-ac, 117ba, 117bd, 117be) [107,113,114,115,116] and guanidium groups (117bf-bg) [107], as well as β-cyclodextrin (118a-b) [114,117], mesoporous silica (119) [118], and biotin (120) [105,113] moieties (Scheme 26).
Scheme 26.
Synthesis of nitrones 116, 117, 118, 119, and 120. Reagents and conditions: (a) disuccinimide carbonate, Et3N, MeCN, r.t., 36 h, 95%; (b) RʹRʺNH, Et3N, CH2Cl2, 2–18 h, 50–91%; (c) TRIMEB-NH2×HCl, Et3N, CH2Cl2, r.t., 80%; (d) SBA15-NH2, MeCN, Et3N, r.t., 12 h; (e) biotinylamidopropylammonium trifluoroacetate, Et3N, DMSO, r.t., 24 h, 39%.
2.3.5. C5-Modified Derivatives of DEPMPO
DEPMPO derivatives 121 and 122, with a phenylethyl and heptadecanyl group at C5, respectively, were synthesized from 2-methyl-1-pyrroline (51), which was transformed into corresponding functionalized 3,4-dihydro-2H-pyrrole derivatives 124 and 125, followed by a reaction with diethyl phosphite (48a) and oxidation (Scheme 27) [100,102].
Scheme 27.
Synthesis of nitrones 121 and 122. Reagents and conditions: (a) n-BuLi, THF, −78 °C; (b) 1-iodohexadecane, THF, −78 °C, 3 h, 60% for 125 or benzylbromide for 124, −78 °C, 1 h, 68%; (c) HP(O)(OEt)2 (48a), r.t., 7 days, 90% for 126 or HP(O)(OEt)2, THF, reflux, 12 h, 80% for 127; (d,e) m-CPBA, CHCl3, −10 °C, 1 h 35% for 121 or 3 h 15% for 122.
The synthesis of DEPMPO derivative 128 required analogous 3,4-dihydro-2H-pyrrole 132 functionalized with phenyl at C5 prepared from 4-chloro-1-phenylbutan-1-one 129 via the reaction sequence depicted in Scheme 28 [101].
Scheme 28.
Synthesis of nitrone 128. Reagents and conditions: (a) NaN3, tetrabutylammonium chloride, 1,2-dimethoxyethane, 75 °C, 16 h, (crude product); (b) PPh3, Et2O, pentane, r.t., 12 h, 68%; (c) HP(O)(OEt)2 (48a), BF3•Et2O, r.t., 24 h, 60%; (d) m-CPBA, CHCl3, −5 °C, 1 h, 25%.
A series of nitrones 134a-g containing the 1,3,2-dioxaphosphinane 2-oxide moiety, respectively, modified at C5 was prepared by a reaction of 2-methyl-1-pyrroline (51) or 2-phenyl-1-pyrroline (132) with cyclic phosphites 135a-g followed by the oxidation of the obtained pyrrolidines 136a-g (Scheme 29) [119,120,121].
Scheme 29.
Synthesis of nitrones 134a-g. Reagents and conditions: (a) toluene, r.t., 4–6 h or CH2Cl2, r.t.; (b) Na2WO4/H2O2, H2O2, 0 °C, 48 h or m-CPBA, CH2Cl2 or PSPO, 55–81%.
Bicyclic nitrone 137 was prepared via the treatment of isomeric nitrone 112ab with sodium hydride in the presence of dimethoxyethane (Scheme 30) [103].
Scheme 30.
Synthesis of nitrone 137. Reagents and conditions: (a) NaH, dimethoxyethane, r.t., 16 h, 45%.
2.3.6. Analog of DEPMPO with Phosphoryl Group at C2
The addition of lithium diethyl phosphonate 139 to DMPO (9) and the subsequent oxidation of the resulting (1-hydroxypyrrolidin-2-yl)phosphonate 140 gave nitrone 138 decorated with diethoxyphosphoryl functions at C2 in the pyrrolidine ring (Scheme 31) [122].
Scheme 31.
Synthesis of nitrone 138. Reagents and conditions: (a) LDA, CH2Cl2, −10 °C, 15 min; (b) DMPO (9), CH2Cl2, −60 to −20 °C; 3.5 h, then H2O; (c) Cu(OAc)2×H2O, 29% NH4OH, EtOH, 10 min., 29%.
2.3.7. Diphosphorylated Derivative of DEPMPO
The synthesis of bisphosphorylated analog 141 was achieved via the reaction of pyrrolidin-2-one (142) with triethylphosphite promoted by phosphoryl chloride, followed by the oxidation of the resulting (1-hydroxypyrrolidine-2,2-diyl)bis(phosphonate) (143) (Scheme 32) [123].
Scheme 32.
Synthesis of nitrone 141. Reagents and conditions: (a) P(O)(OEt)3, POCl3, r.t., 5 h, then 32% NH4OH, 47%; (b) Oxone, tetrabutylammonium hydrogenosulfate, 0.1 M Na2HPO4 buffer, NaOH, acetone, CH2Cl2, 0 °C, 1 h, 11%.
3. Detection of Free Radicals
Free radicals are chemical species with an unpaired electron and are therefore highly reactive [43,44]. They are ubiquitous in the living organism and have numerous functions to ensure their proper functioning [46,47,48,49,50,124]. Unfortunately, the overproduction of free radicals is harmful and causes the occurrence of many diseases [46,51,52,53,54,55,56,57,58,59]. The presence of ROS and RNS in both physiological processes makes it extremely important to find a suitable tool to detect these chemical species. One of the most useful methods is electron paramagnetic resonance (EPR). The main problem in detecting ROS and RNS is the short free-radical lifetimes (10-3 to 10-9 s) [125], which makes the direct detection of free radicals difficult. Admittedly, methods have been developed to detect free radicals alone, but they require the presence of TiO2 [126] or metal ions such as Ti3+ [127]. These methods cannot be used in biological systems because the presence of ion metals can interfere with the natural process of the cell. Currently, the best solution is to convert free radicals into more stable paramagnetic compounds to be detected by EPR techniques. The method involves the reaction of unstable and short-lived free radicals with diamagnetic (nitrones or hydroxylamines) or paramagnetic probes (nitroxides or trityl radicals), leading to the formation of further stable and long-living radicals. The nitrones most commonly used in EPR are called spin traps, and the more stable product of their reactions with free radicals are called spin adducts (Figure 7). For this reason, the technique is called EPR spin trapping and allows the concentration and identification of radicals formed in a biological system. EPR spin trapping has an advantage over other techniques because by analyzing spectral profiles of spin adducts with various radicals, they can be easily distinguished [9,128]. The main parameters of spectra are g factors and hyperfine splittings [129]. The spin trap should react rapidly with free radicals, the spin adduct formed should have a high stability, and its EPR spectra should be easy to interpret [93].
Figure 7.
The reaction of a spin trap with radicals leading to a spin adduct.
Spin traps can be divided into non-cyclic nitrones and cyclic nitrones [10,128]. PBN (7) and DMPO (9) (Figure 3) are the best studied, but they have some limitations that disqualify them. The spin adduct of PBN (7), like DMPO (9), has a very short half-life compared to its phosphorylated analogs [10,60,130]. The half-life of the hydroxyl radical spin adduct of PBN (7) in an aqueous solution was shown to be 90 s at pH 6 and even < 1 s for a pH above 9 [131]. Furthermore, the spin adduct of DMPO (9) with superoxide decomposed to a paramagnetic product that interfered with EPR spectra [130,132]. It is also worth mentioning that PBN (7) with •OH and H2O formed indistinguishable EPR spectra [60]. DMPO (9) is also highly hydrophilic, suggesting that it cannot be used in every environment [61]. PBN (7) and DMPO (9) have many advantages; however, due to their limitations, they are not suitable for biological studies as spin traps. Therefore, it seemed necessary to modify their structure in such a way as to improve the properties of nitrones as spin traps. One of the best modifications was the introduction of a diethoxyphosphoryl group into the structure of PBN (7) and DMPO (9). The first “non-cyclic” phosphorylated nitrone was PPN (8a) (Figure 3) [60], while the first cyclic phosphorylated nitrone was DEPMPO (10a) (Figure 3) [61]. PPN (8a) was tested as a spin trap of the hydroxyl radical and hydroperoxyl radical. EPR spectra for hydroxyl spin adduct and hydroperoxyl were easy to distinguish, which was impossible when the spin trap was PBN (7) due to the presence of additional hyperfine splitting constants with phosphorus. Moreover, the presence of the diethoxyphosphoryl group improved the stability of the spin adducts of PPN (8a). Although the hydroxyl adduct partially decomposed, the presence of paramagnetic compounds did not interfere with the analysis of the EPR spectra [60]. The spin adducts of DEPMPO (10a) were persistent; for example, the superoxide spin adduct of DEPMPO (10a) was up to 15 times more persistent than DMPO (9) [61]. In addition, the reactions of DEPMPO (10a) with •OH and O2•¯ are faster than with DMPO (9) (for DEPMPO-OH, an adduct was formed 2 times faster than the DMPO-OH adduct, and for DEPMPO-O2¯, an adduct was formed 1.5 times faster). Moreover, the superoxide spin adduct did not decompose like DMPO (9), and as in the case of PPN (8a), the presence of the phosphorus atom facilitates the identification of the EPR spectra of various radical spin adducts (presence of hyperfine splitting constants with phosphorus) [93]. PPN (8a) and DEPMPO (10a) were the first members of the new class of nitrones to show promising properties, but due to their high hydrophilicity, they could not be used in all environments [60,61]. Therefore, several phosphorylated analogs were synthesized and successfully used in both in vitro and in vivo studies.
3.1. “Non-Cyclic” Phosphorylated Nitrones
The largest group of “non-cyclic” phosphorylated nitrones are the PPN-type nitrones 8. They are analogs of PPN (8a) (Figure 3) and differ in the type and position of the substituent on the aromatic ring. The introduced substituents influenced lipophilicity and enabled their application in various environments. This is a very important feature as it allows PPN-type nitrones 8 to be used in in vivo studies. Nitrones with Cl (8c), COOEt (8w), or Me (8i) groups (Figure 4) have been shown to have higher lipophilicity than PPN (8a), but the hydroxyl group increases the hydrophilicity of the respective nitrones 8j-o [60,73,80,81,82,86,87,88]. Another way of altering lipophilicity was to functionalize PPN-type nitrones 8 with other moieties, such as glutathione [90] or a carbohydrate [91], to give the corresponding nitrones 38 (Scheme 10) and 37 (Scheme 9), respectively. A further modification of PPN (8a) was achieved by introducing additional nitrone functions. Thus, all polyphosphorylated nitrones 24a-d (Scheme 12) were more lipophilic than PPN (8a). It was observed that the more nitrone functions, the better lipophilicity, with 24a even having more than 30 times the lipophilicity of PPN (8a) (one nitrone function) [85]. The high lipophilicity likely influences the crossing of biomembranes [85]. PPN-type nitrones 8 are an effective spin trap because they can form spin adducts with various radicals and, most importantly, their EPR spectra can be easily distinguished. The presence of a phosphorus atom causes the formation of additional hyperfine splitting constants, which facilitates the analysis of the EPR spectra of the spin adducts and makes it easier to distinguish between radicals [60,73,80,81,82,86,87,88]. Even nitrones with a diphenylphosphinyl group could form stable spin adducts with radicals and, like PPN-type nitrone 8, were easily distinguished [84].
As mentioned earlier, the detection of free radicals is extremely important to accurately study the effects of ROS and RNS during the physiological and pathological processes. However, the half-lives of free radicals are very short, and their concentrations are low [9]; thus, it is necessary to use spin traps targeting a specific location in the cells. Unfortunately, although PPN-type nitrones 8 and nitrones with diphenylphosphinyl groups are useful spin traps, they do not provide information about where the free radicals are produced in the cell. So far, only a few “non-cyclic” phosphorylated spin traps that target a specific side have been synthesized [90,91,133]. The incorporation of the glutathione molecule into the structure of the nitrone made GS-PPN 38 a dual-function free radical probe. Nitrone 38 is an efficient spin trap that captures free radicals and forms stable spin adducts. However, unlike previously presented nitrones, compound 38 was capable of scavenging O2• ¯ generated in the PSII membranes of chloroplasts [90], while the glycosidic nitrone 37 was recognized by yeast lectins and had moderate scavenging properties [91,133].
3.2. Cyclic Phosphorylated Nitrones
Cyclic phosphorylated nitrones are also used as a spin trap. All nitrones, syntheses of which were presented in the previous chapter, were tested as potential spin traps. The first representative of this class of compounds was DEPMPO (10a), which has many advantages over its non-phosphorylated analogs; however, this nitrone shows better solubility in water than in a lipid medium [61]. Numerous modifications have been made to improve its solubility in lipid environments. Firstly, the replacement of the diethoxyphosphoryl group with another dialkoxyphosphoryl substituent has led to a huge number of analogs of DEPMPO (10a) [61,93,94,95,96,98,99]. All nitrones 10b-n were capable of scavenging free radicals. However, various phosphoryl groups affected the lipophilicity of the spin trap, making nitrones 10b-n more lipophilic than DEPMPO (10a) [93,94,96,98,99], which is a big advantage as the high lipophilicity improved cell membrane permeability [95]. In addition, nitrone 10b, with a diphenylphosphinyl group, was also extremely stable (even after storing in a water solution at r.t. for several months, it did not decompose) [95]. On the other hand, the spin adduct of nitrone 62 (having a P(O)(OH)2 group) with superoxide was stable only in a pyridine solution, while its decomposition into another spin adduct in water was observed [109]. Replacing the hydrogen atoms with their isotope, i.e., deuterium in nitrones 71, 73, and 79, simplified the analysis of the EPR spectra. In the case of nitrone 71 and 79, the EPR spectra of the spin adduct with the tert-butylperoxyl radical were easy to interpret, as the two couplings disappeared when the α hydrogen was replaced by 2D. Moreover, the signal intensity of the EPR spectrum of the spin adduct of nitrone 79 with seven deuteriums was higher [111]. It also appeared that replacing the methyl group with another alkyl or phenyl group at C5 alters lipophilicity. The presence of a phenyl and phenylethyl substituent improved the solubility of nitrones 128 and 122 in a lipid environment [101,102], while nitrone 121 with a long alkyl chain was an amphiphilic spin trap. Due to its amphiphilic character, nitrone 121 is a site-specific spin trap and can detect free radicals on the PSII membrane [100]. Other site-specific spin traps have been synthesized, the most important being nitrone with biotin 120 [105,113] and a triphenylphosphonium cation 117aa-ab as well as 117ba and 117bd-be [107,113,114,115,116]. Nitrone 120 is a specific spin trap due to the presence of biotin, which can form a complex with avidin [105,134]. Nitrones 117aa-ab, as well as 117ba and 117bd-be, formed stable spin adducts with superoxide and, due to the presence of a triphenylphosphonium cation, targeted mitochondria [107,113,114,115,116]. Another important feature that spin traps have is their high resistance to the bioreduction process. Nitrones with β-cyclodextrin 118a-b were less susceptible to degradation by heme proteins and biological reducing agents but could only be used to detect extracellular superoxide due to their high solubility [114,115]. Nitrone 119 with mesoporous silica exhibited promising properties. Above all, the detected superoxide anion in the biological system was highly stable, as nitrone 119 was resistant to GSH. It is worth mentioning that the stability of the spin adduct of 119 with a superoxide is higher compared to other spin traps [118]. The last class of nitrones that were used as spin traps are compounds 134a-g, in which the phosphorous is a part of the six-membered ring. These were characterized by low cytotoxicity on the cell lines used and high lipophilicity. They also formed a stable spin adduct with superoxide. In addition, a mixture of cis/trans spin adduct diastereosomes was formed during the reaction of the chiral spin trap 134a-g with the hydroxyl radical. Their EPR spectra provided information on the mechanism of ROS formation in the biological system [119,121].
4. Pharmacological Activity
Although many review papers on the pharmacological activity of nitrones have been published [75], these do not address the pharmacological use of phosphorylated nitrones. To date, phosphorylated nitrones have mainly been investigated for their antioxidant and neuroprotective properties. Thus, among all tested N-substituted C-phosphorylated nitrones 12aa-bb (Figure 5, Scheme 1) screened for neuroprotective power, compounds 12ae (Figure 8) were identified as the most potent and nontoxic agent with a high activity against neuronal necrotic cell death. Moreover, the obtained results correlate well with its great capacity for the inhibition of superoxide production (72%), the inhibition of lipid peroxidation (62%), and the 5-lipoxygenase (LOX) (45%) [74].
Figure 8.
Examples of pharmacologically active phosphorylated nitrones.
The effect of two PBN-derived phosphorylated nitrones 8a and 8b (Figure 8) on post-ischemic ventricular arrhythmias was investigated, demonstrating only limited antiarrhythmic cardioprotective effects during reperfusion after regional myocardial ischemia but also demonstrating minor antioxidant properties [135]. A series of PPN-type nitrones 8 (Scheme 6) with various substituted aromatic rings constructed on a natural phenolic antioxidant scaffold were also designed and tested for their antioxidant and NO-donating properties. Moreover, their cytotoxicity, vasorelaxant effect, and properties against ROS-induced vascular protein oxidation were also screened. Among them, nitrones 8l, 8o, 8r, and 8s (Figure 8), with the respective aromatic units structurally related to that of coffeic, gallic, ferulic, and sinapic acids, were found to be nontoxic, moderately lipophilic potential alternatives to PBN in pharmacological studies of vascular tone control [73]. Inspired by the antioxidant properties of nitrones 8, a new series of functionalized triphenylphosphonium salt derivatives 29 (mito-PPNs) (Figure 8) were obtained by incorporating a lipophilic cation as a mitochondrial vector, assuming that the resulting compounds will be able to easily cross the mitochondrial inner membrane by diffusion. Indeed, nitrone 29 vectorized by a triphenylphosphonium cation appeared to be significantly more efficient against apoptosis in the selected cell type than non-cationic derivatives 30 with a diphenylphosphinyl group (Scheme 7) (75% of apoptosis inhibition for 29 vs. 55% in the case of compounds 30) [83]. Further studies on mito-PPNs showed that a series of nitrones 31–33 vectorized by triethylammonium, pyridinium, and berberinium cations, respectively (Scheme 8), have the capacity to quench superoxides in vitro and increase the spin-trapping efficiency of biologically relevant free radicals, including superoxide and hydroxyl radicals. Their mitochondrial penetration was confirmed, and their antiapoptotic properties were assessed. Thus, two hydrophilic and nontoxic pyridinium-vectorized nitrones 32a and 32e (Figure 8) were selected as potentially better alternatives to triphenylphosphonium salt derivatives 29 for studying mitochondrial oxidative damage. As the authors stated, these nitrones showed good anti-superoxide activity that, combined with their fast intra-mitochondrial uptake and good EPR spin-trapping properties, could make them promising probes for further in vivo studies of mitochondrion-related pathological mechanisms involving ROS [89].
Cyclic phosphorylated nitrones are mainly used as spin traps [61,93,95,105,106,110,114]; however, the pharmacological properties of DEPMPO 10a were also investigated [136,137,138,139,140]. Thus, the cardioprotective properties of DEPMPO 10a were examined. It was found that DEPMPO pretreatment improves the recovery of cardiac function with the concomitant inhibition of post-ischemic superoxide (O2•−) production [139,140].
5. Conclusions
This paper provides a comprehensive review of the synthesis and biological activity of phosphorylated nitrones in the group of both non-cyclic and cyclic derivatives. While standard protocols are applied for the incorporation of nitrone function, major efforts were made to develop the strategies of introducing the phosphoryl function into the structure of target compounds and modification of their structures by installing various substituents within aromatic units leading to the preparation of PPN-type nitrones as well as within pyrroline scaffolds to obtain various cyclic nitrones as DEPMPO derivatives.
Both non-cyclic and cyclic phosphorylated nitrones are mainly used as spin traps, while their pharmacological properties are less recognized. Although the antioxidant and neuroprotective activities of selected PPN-type nitrones have been proven, including compounds of series 8, 12, and 29, among the cyclic derivatives, nitrone DEPMPO (10a) has been mainly studied for its pharmacological properties, revealing its cardioprotective power.
Author Contributions
Conceptualization, I.R., I.E.G., and D.G.P.; writing—original draft preparation, I.R., I.E.G., and D.G.P.; writing—review and editing, I.R., J.M.-C., I.E.G., and D.G.P.; supervision, I.E.G. and D.G.P.; funding acquisition, D.G.P. All authors have read and agreed to the published version of the manuscript.
Funding
This work was funded by the Medical University of Lodz (internal fund 503/3-014-01/503-31-001).
Institutional Review Board Statement
Not applicable.
Informed Consent Statement
Not applicable.
Data Availability Statement
Data are contained within the article.
Conflicts of Interest
The authors declare no conflicts of interest.
References
- Delpierre, G.R.; Lamchen, M. Nitrones. Q. Rev. Chem. Soc. 1965, 19, 329–348. [Google Scholar] [CrossRef]
- Gothelf, K.V.; Jorgensen, K.A. Asymmetric 1,3-dipolar cycloaddition reactions. Chem. Rev. 1998, 98, 863–909. [Google Scholar] [CrossRef] [PubMed]
- Padwa, A.; Fisera, L.; Koehler, K.F.; Rodriguez, A.; Wong, G.S.K. Regioselectivity associated with the 1,3-dipolar cycloaddition of nitrones with electron-deficient dipolarophiles. J. Org. Chem. 1984, 49, 276–281. [Google Scholar] [CrossRef]
- Novelli, G.P.; Angiolini, P.; Consales, G.; Lippi, R.; Tani, R. Anti-Shock Action of phenyl-tert-butyl-nitrone, a spin trapper. In Oxygen Free Radicals in Shock; Novelli, G.P., Ursini, F., Eds.; Karger: Basel, Switzerland, 1986; pp. 119–124. [Google Scholar]
- Novelli, G.P.; Angiolini, P.; Tani, R.; Consales, G.; Bordi, L. Phenyl t-butyl nitrone is active against traumatic shock in rats. Free Radic. Res. Commun. 1985, 1, 321–327. [Google Scholar] [CrossRef] [PubMed]
- Kuroda, S.; Tsuchidate, R.; Smith, M.L.; Maples, K.R.; Siesjo, B.K. Neuroprotective effects of a novel nitrone, NXY-059, after transient focal cerebral ischemia in the rat. J. Cereb. Blood Flow Metab. 1999, 19, 778–787. [Google Scholar] [CrossRef]
- Fong, J.J.; Rhoney, D.H. NXY-059: Review of neuroprotective potential for acute stroke. Ann. Pharmacother. 2006, 40, 461–471. [Google Scholar] [CrossRef]
- Chamorro, B.; Gtowacka, I.E.; Gotkowska, J.; Gulej, R.; Hadjipavlou-Litina, D.; Lopez-Munoz, F.; Marco-Contelles, J.; Piotrowska, D.G.; Oset-Gasque, M.J. Nucleobase-Derived Nitrones: Synthesis and Antioxidant and Neuroprotective Activities in an In Vitro Model of Ischemia-Reperfusion. Int. J. Mol. Sci. 2022, 23, 3411. [Google Scholar] [CrossRef]
- Perkins, M.J. Spin Trapping. Adv. Phys. Org. Chem. 1980, 17, 1–64. [Google Scholar]
- Villamena, F.A.; Zweier, J.L. Detection of reactive oxygen and nitrogen species by EPR spin trapping. Antioxid. Redox Signal. 2004, 6, 619–629. [Google Scholar] [CrossRef]
- Pfeiffer, P. Lichtchemische synthese von indolderivaten. Justus Liebigs Ann. Chem. 1916, 411, 72–159. [Google Scholar] [CrossRef]
- Villamena, F.A.; Das, A.; Nash, K.M. Potential implication of the chemical properties and bioactivity of nitrone spin traps for therapeutics. Future Med. Chem. 2012, 4, 1171–1207. [Google Scholar] [CrossRef]
- Marco-Contelles, J. β-Lactam synthesis by the Kinugasa reaction. Angew. Chem. Int. Ed. Engl. 2004, 43, 2198–2200. [Google Scholar] [CrossRef]
- Maciejko, M.; Stecko, S.; Staszewska-Krajewska, O.; Jurczak, M.; Furman, B.; Chmielewski, M. An Entry to the Carbapenem Antibiotic Scaffold via the Asymmetric Kinugasa Reaction. Synthesis 2012, 44, 2825–2839. [Google Scholar] [CrossRef]
- Pellissier, H. Asymmetric 1,3-dipolar cycloadditions. Tetrahedron 2007, 63, 3235–3285. [Google Scholar] [CrossRef]
- Evans, D.A.; Song, H.J.; Fandrick, K.R. Enantioselective nitrone cycloadditions of α,β-unsaturated 2-acyl imidazoles catalyzed by bis(oxazolinyl)pyridine-cerium(IV) triflate complexes. Org. Lett. 2006, 8, 3351–3354. [Google Scholar] [CrossRef] [PubMed]
- Heinz, L.J.; Lunn, W.H.W.; Murff, R.E.; Paschal, J.W.; Spangle, L.A. An efficient synthesis of cis- and trans-methyl-3-hydroxy-2-pyrrolidone-5-carboxylates, key intermediates for the synthesis of γ-substituted glutamic acid analogs. J. Org. Chem. 1996, 61, 4838–4841. [Google Scholar] [CrossRef]
- Piotrowska, D.G.; Głowacka, I.E. Enantiomerically pure phosphonate analogues of cis- and trans-4-hydroxyprolines. Tetrahedron Asymmetry 2007, 18, 1351–1363. [Google Scholar] [CrossRef]
- Damodiran, M.; Sivakumar, P.M.; SenthilKumar, R.; Muralidharan, D.; Kumar, B.; Doble, M.; Perumal, P.T. Antibacterial Activity, Quantitative Structure-Activity Relationship and Diastereoselective Synthesis of Isoxazolidine Derivatives Via 1,3-Dipolar Cycloaddition of d-glucose Derived Nitrone with Olefin. Chem. Biol. Drug Des. 2009, 74, 494–506. [Google Scholar] [CrossRef]
- Kumar, K.R.R.; Mallesha, H.; Rangappa, K.S. Synthesis of novel isoxazolidine derivatives and their antifungal and antibacterial properties. Arch. Pharm. 2003, 336, 159–164. [Google Scholar] [CrossRef]
- Piotrowska, D.G.; Andrei, G.; Schols, D.; Snoeck, R.; Grabkowska-Drużyc, M. New Isoxazolidine-Conjugates of Quinazolinones-Synthesis, Antiviral and Cytostatic Activity. Molecules 2016, 21, 959. [Google Scholar] [CrossRef]
- Łysakowska, M.; Balzarini, J.; Piotrowska, D.G. Design, Synthesis, Antiviral, and Cytostatic Evaluation of Novel Isoxazolidine Analogs of Homonucleotides. Arch. Pharm. 2014, 347, 341–353. [Google Scholar] [CrossRef] [PubMed]
- Khazir, J.; Singh, P.P.; Reddy, D.M.; Hyder, I.; Shafi, S.; Sawant, S.D.; Chashoo, G.; Mahajan, A.; Alam, M.S.; Saxena, A.K.; et al. Synthesis and anticancer activity of novel spiro-isoxazoline and spiro-isoxazolidine derivatives of α-santonin. Eur. J. Med. Chem. 2013, 63, 279–289. [Google Scholar] [CrossRef] [PubMed]
- Chakraborty, B. Solvent-free synthesis and 1,3-dipolar cycloaddition reactions of N-methyl-C-(2-furyl) nitrone in a ball mill and anticancer activities of the new cycloadducts. J. Heterocycl. Chem. 2020, 57, 477–485. [Google Scholar] [CrossRef]
- Piperno, A.; Giofrè, S.V.; Iannazzo, D.; Romeo, R.; Romeo, G.; Chiacchio, U.; Rescifina, A.; Piotrowska, D.G. Synthesis of C-4ʹTruncated Phosphonated Carbocyclic 2ʹ-Oxa-3ʹ-azanucleosides as Antiviral Agents. J. Org. Chem. 2010, 75, 2798–2805. [Google Scholar] [CrossRef]
- Piotrowska, D.G.; Cieślak, M.; Królewska, K.; Wróblewski, A.E. Design, synthesis and cytotoxicity of a new series of isoxazolidines derived from substituted chalcones. Eur. J. Med. Chem. 2011, 46, 1382–1389. [Google Scholar] [CrossRef]
- Piotrowska, D.G.; Balzarini, J.; Głowacka, I.E. Design, synthesis, antiviral and cytostatic evaluation of novel isoxazolidine nucleotide analogues with a 1,2,3-triazole linker. Eur. J. Med. Chem. 2012, 47, 501–509. [Google Scholar] [CrossRef]
- Piotrowska, D.G.; Andrei, G.; Schols, D.; Snoeck, R.; Łysakowska, M. Synthesis, anti-varicella-zoster virus and anti-cytomegalovirus activity of quinazoline-2,4-diones containing isoxazolidine and phosphonate substructures. Eur. J. Med. Chem. 2017, 126, 84–100. [Google Scholar] [CrossRef]
- Łysakowska, M.; Głowacka, I.E.; Honkisz-Orzechowska, E.; Handzlik, J.; Piotrowska, D.G. New 3-(Dibenzyloxyphosphoryl)isoxazolidine Conjugates of N1-Benzylated Quinazoline-2,4-diones as Potential Cytotoxic Agents against Cancer Cell Lines. Molecules 2024, 29, 3050. [Google Scholar] [CrossRef]
- Chiacchio, U.; Balestrieri, E.; Macchi, B.; Iannazzo, D.; Piperno, A.; Rescifina, A.; Romeo, R.; Saglimbeni, M.; Sciortino, M.T.; Valveri, V.; et al. Synthesis of phosphonated carbocyclic 2′-oxa-3′-aza-nucleosides: Novel inhibitors of reverse transcriptase. J. Med. Chem. 2005, 48, 1389–1394. [Google Scholar] [CrossRef]
- Chiacchio, U.; Rescifina, A.; Iannazzo, D.; Piperno, A.; Romeo, R.; Borrello, L.; Sciortino, M.T.; Balestrieri, E.; Macchi, B.; Mastino, A.; et al. Phosphonated carbocyclic 2′-Oxa-3′-azanucleosides as new antiretroviral agents. J. Med. Chem. 2007, 50, 3747–3750. [Google Scholar] [CrossRef]
- Giofre, S.V.; Romeo, R.; Garozzo, A.; Cicero, N.; Campisi, A.; Lanza, G.; Chiacchio, M.A. 5-(3-Phosphonated 1H-1,2,3-triazol-4-yl)isoxazolidines: Synthesis, DFT studies and biological properties. Arkivoc 2015, 7, 253–269. [Google Scholar] [CrossRef]
- Łysakowska, M.; Głowacka, I.E.; Andrei, G.; Schols, D.; Snoeck, R.; Lisiecki, P.; Szemraj, M.; Piotrowska, D.G. Design, synthesis, anti-varicella-zoster virus and antimicrobial activity of (isoxazolidin-3-yl)phosphonate conjugates of N1-functionalised quinazoline-2,4-diones. Molecules 2022, 27, 6526. [Google Scholar] [CrossRef] [PubMed]
- Romeo, R.; Carnovale, C.; Giofre, S.V.; Romeo, G.; Macchi, B.; Frezza, C.; Marino-Merlo, F.; Pistara, V.; Chiacchio, U. Truncated phosphonated C-1′-branched N,O-nucleosides: A new class of antiviral agents. Bioorg. Med. Chem. 2012, 20, 3652–3657. [Google Scholar] [CrossRef] [PubMed]
- Chiacchio, U.; Iannazzo, D.; Piperno, A.; Romeo, R.; Romeo, G.; Rescifina, A.; Saglimbeni, M. Synthesis and biological evaluation of phosphonated carbocyclic 2-oxa-3′-aza-nucleosides. Bioorg. Med. Chem. 2006, 14, 955–959. [Google Scholar] [CrossRef]
- Piotrowska, D.G.; Bujnowicz, A.; Wróblewski, A.E.; Głowacka, I.E. A New Approach to the Synthesis of 4-Phosphonylated β-lactams. Synlett 2015, 26, 375–379. [Google Scholar] [CrossRef]
- Głowacka, I.; Grabkowska-Drużyc, M.; Lebelt, L.; Andrei, G.; Schols, D.; Snoeck, R.; Piotrowska, D. β-lactam analogs of oxetanocins-synthesis and biological activity. Acta Pol. Pharm. 2022, 79, 167–196. [Google Scholar] [CrossRef]
- Glowacka, I.E.; Grabkowska-Drużyc, M.; Andrei, G.; Schols, D.; Snoeck, R.; Witek, K.; Podlewska, S.; Handzlik, J.; Piotrowska, D.G. Novel N-Substituted 3-Aryl-4-(diethoxyphosphoryl)azetidin-2-ones as Antibiotic Enhancers and Antiviral Agents in Search for a Successful Treatment of Complex Infections. Int. J. Mol. Sci. 2021, 22, 8032. [Google Scholar] [CrossRef]
- Głowacka, I.E.; Hartwich, A.; Rozpara, I.; Piotrowska, D.G. Synthesis of Functionalized Diethyl(pyrrolidin-2-yl)phosphonate and Diethyl(5-oxopyrrolidin-2-yl)phosphonate. Molecules 2021, 26, 3160. [Google Scholar] [CrossRef]
- Piotrowska, D.G.; Głowacka, I.E. Enantioselective synthesis of phosphonate analogues of (R)- and (S)-homoserine. Tetrahedron Asymmetry 2007, 18, 2787–2790. [Google Scholar] [CrossRef]
- Lebelt, L.; Głowacka, I.E.; Piotrowska, D.G. Synthesis of Four Enantiomers of (1-Amino-3-Hydroxypropane-1,3-Diyl)Diphosphonic Acid as Diphosphonate Analogues of 4-Hydroxyglutamic Acid. Molecules 2022, 27, 2699. [Google Scholar] [CrossRef]
- Piotrowska, D.G. Stereochemistry of cycloaddition of (S)-N-(1-phenylethyl)-C-phosphorylated nitrone with cyclopentene and 2,3-dihydrofuran. Tetrahedron Asymmetry 2008, 19, 2323–2329. [Google Scholar] [CrossRef]
- Lobo, F.; Patil, A.; Phatak, A.; Chandra, N. Free radicals, antioxidants and functional food: Impact on human healths. Pharmacogn. Rev. 2010, 4, 118–126. [Google Scholar] [CrossRef] [PubMed]
- Cheeseman, K.H.; Slater, T.F. An introduction to free-radical biochemistry. Br. Med. Bull. 1993, 49, 481–493. [Google Scholar] [CrossRef] [PubMed]
- Di Meo, S.; Reed, T.T.; Venditti, P.; Victor, V.M. Role of ROS and RNS Sources in Physiological and Pathological Conditions. Oxid. Med. Cell. Longev. 2016, 2016, 1245049. [Google Scholar] [CrossRef]
- Valko, M.; Leibfritz, D.; Moncol, J.; Cronin, M.T.D.; Mazur, M.; Telser, J. Free radicals and antioxidants in normal physiological functions and human disease. Int. J. Biochem. Cell Biol. 2007, 39, 44–84. [Google Scholar] [CrossRef]
- Deshmukh, A.S.; Long, Y.C.; Barbosa, T.D.; Karlsson, H.K.R.; Glund, S.; Zavadoski, W.J.; Gibbs, E.M.; Koistinen, H.A.; Wallberg-Henriksson, H.; Zierath, J.R. Nitric oxide increases cyclic GMP levels, AMP-activated protein kinase (AMPK)α1-specific activity and glucose transport in human skeletal muscle. Diabetologia 2010, 53, 1142–1150. [Google Scholar] [CrossRef]
- Hool, L.C.; Corry, B. Redox control of calcium channels: From mechanisms to therapeutic opportunities. Antioxid. Redox Signal. 2007, 9, 409–435. [Google Scholar] [CrossRef]
- Adachi, T.; Weisbrod, R.M.; Pimentel, D.R.; Ying, J.; Sharov, V.S.; Schoneich, C.; Cohen, R.A. S-glutathiolation by peroxynitrite activates SERCA during arterial relaxation by nitric oxide. Nat. Med. 2004, 10, 1200–1207. [Google Scholar] [CrossRef]
- Babior, B.M. Oxidants from phagocytes: Agents of defense and destruction. Blood 1984, 64, 959–966. [Google Scholar] [CrossRef]
- Valko, M.; Rhodes, C.J.; Moncol, J.; Izakovic, M.; Mazur, M. Free radicals, metals and antioxidants in oxidative stress-induced cancer. Chem. Biol. Interact. 2006, 160, 1–40. [Google Scholar] [CrossRef]
- Bahorun, T.; Soobrattee, M.A.; Luximon-Ramma, V.; Aruoma, O.I. Free Radicals and Antioxidants in Cardiovascular Health and Disease. Internet J. Med. Update 2006, 1, 25–41. [Google Scholar] [CrossRef]
- Dhalla, N.S.; Temsah, R.M.; Netticadan, T. Role of oxidative stress in cardiovascular diseases. J. Hypertens. 2000, 18, 655–673. [Google Scholar] [CrossRef] [PubMed]
- Vogiatzi, G.; Tousoulis, D.; Stefanadis, C. The Role of Oxidative Stress in Atherosclerosis. Hellenic J. Cardiol. 2009, 50, 402–409. [Google Scholar]
- Perrelli, M.G.; Pagliaro, P.; Penna, C. Ischemia/reperfusion injury and cardioprotective mechanisms: Role of mitochondria and reactive oxygen species. World J. Cardiol. 2011, 3, 186–200. [Google Scholar] [CrossRef] [PubMed]
- Harrison, D.G.; Gongora, M.C.; Guzik, T.J.; Widder, J. Oxidative stress and hypertension. J. Am. Soc. Hypertens. 2007, 1, 30–44. [Google Scholar] [CrossRef]
- Popa-Wagner, A.; Mitran, S.; Sivanesan, S.; Chang, E.; Buga, A.M. ROS and Brain Diseases: The Good, the Bad, and the Ugly. Oxid. Med. Cell. Longev. 2013, 2013, 1–14. [Google Scholar] [CrossRef]
- Zuo, L.; Motherwell, M.S. The impact of reactive oxygen species and genetic mitochondrial mutations in Parkinson’s disease. Gene 2013, 532, 18–23. [Google Scholar] [CrossRef]
- Huang, W.J.; Zhang, X.; Chen, W.W. Role of oxidative stress in Alzheimer’s disease. Biomed. Rep. 2016, 4, 519–522. [Google Scholar] [CrossRef]
- Zeghdaoui, A.; Tuccio, B.; Finet, J.P.; Cerri, V.; Tordo, P. β-Phosphorylated α-phenyl-N-tert-butylnitrone (PBN) analogues: A new series of spin traps for oxyl radicals. J. Chem. Soc. Perkin Trans. 2 1995, 12, 2087–2089. [Google Scholar] [CrossRef]
- Frejaville, C.; Karoui, H.; Tuccio, B.; Lemoigne, F.; Culcasi, M.; Pietri, S.; Lauricella, R.; Tordo, P. 5-(diethoxyphosphoryl)-5-methyl-1-pyrroline N-oxide: A new efficient phosphorylated nitrone for the in vitro and in vivo spin trapping of oxygen-centered radicals. J. Med. Chem. 1995, 38, 258–265. [Google Scholar] [CrossRef]
- Liu, K.J.; Miyake, M.; Panz, T.; Swartz, H. Evaluation of DEPMPO as a spin trapping agent in biological systems. Free Radic. Biol. Med. 1999, 26, 714–721. [Google Scholar] [CrossRef] [PubMed]
- Carney, J.M.; Starkereed, P.E.; Oliver, C.N.; Landum, R.W.; Cheng, M.S.; Wu, J.F.; Floyd, R.A. Reversal of age-related increase in brain protein oxidation, decrease in enzyme activity, and loss in temporal and spatial memory by chronic administration of the spin-trapping compound N-tert-butyl-alpha-phenylnitrone. Proc. Natl Acad. Sci. USA 1991, 88, 3633–3636. [Google Scholar] [CrossRef] [PubMed]
- Floyd, R.A. Role of oxygen free radicals in carcinogenesis and brain ischemia. FASEB J. 1990, 4, 2587–2597. [Google Scholar] [CrossRef] [PubMed]
- Shuaib, A.; Lees, K.R.; Lyden, P.; Grotta, J.; Davalos, A.; Davis, S.M.; Diener, H.; Ashwood, T.; Wasiewski, W.W.; Emeribe, U.; et al. NXY-059 for the treatment of acute ischemic stroke. N. Engl. J. Med. 2007, 357, 562–571. [Google Scholar] [CrossRef]
- Antonic, A.; Dottori, M.; Macleod, M.R.; Donnan, G.A.; Howells, D.W. NXY-059, a Failed Stroke Neuroprotectant, Offers No Protection to Stem Cell-Derived Human Neurons. J. Stroke Cerebrovasc. Dis. 2018, 27, 2158–2165. [Google Scholar] [CrossRef]
- Floyd, R.A.; Neto, H.; Zimmerman, G.A.; Hensley, K.; Towner, R.A. Nitrone-based therapeutics for neurodegenerative diseases: Their use alone or in combination with lanthionines. Free Radic. Biol. Med. 2013, 62, 145–156. [Google Scholar] [CrossRef]
- Garteiser, P.; Doblas, S.; Watanabe, Y.; Saunders, D.; Hoyle, J.; Lerner, M.; He, T.; Floyd, R.A.; Towner, R.A. Multiparametric Assessment of the Anti-glioma Properties of OKN007 by Magnetic Resonance Imaging. J. Magn. Reson. Imaging 2010, 31, 796–806. [Google Scholar] [CrossRef]
- He, T.; Doblas, S.; Saunders, D.; Casteel, R.; Floyd, R.A.; Towner, R.A. Effects of PBN and OKN007 in rodent glioma models assessed by 1H MR spectroscopy. Free Radic. Biol. Med. 2011, 51, 490–502. [Google Scholar] [CrossRef]
- Towner, R.A.; Smith, N.; Saunders, D.; Browns, C.A.; Cai, X.; Ziegler, J.; Mallory, S.; Dozmorov, M.G.; De Souza, P.C.; Wiley, G.; et al. OKN-007 Increases temozolomide (TMZ) Sensitivity and Suppresses TMZ-Resistant Glioblastoma (GBM) Tumor Growth. Transl. Oncol. 2019, 12, 320–335. [Google Scholar] [CrossRef]
- Towner, R.A.; Hocker, J.; Smith, N.; Saunders, D.; Battiste, J.; Hanas, J. OKN-007 Alters Protein Expression Profiles in High-Grade Gliomas: Mass Spectral Analysis of Blood Sera. Brain Sci. 2022, 12, 100. [Google Scholar] [CrossRef]
- Zalles, M.; Smith, N.; Saunders, D.; Lerner, M.; Fung, K.M.; Battiste, J.; Towner, R.A. A tale of two multi-focal therapies for glioblastoma: An antibody targeting ELTD1 and nitrone-based OKN-007. J. Cell. Mol. Med. 2022, 26, 570–582. [Google Scholar] [CrossRef] [PubMed]
- Cassien, M.; Petrocchi, C.; Thetiot-Laurent, S.; Robin, M.; Ricquebourg, E.; Kandouli, C.; Asteian, A.; Rockenbauer, A.; Mercier, A.; Culcasi, M.; et al. On the vasoprotective mechanisms underlying novel β-phosphorylated nitrones: Focus on free radical characterization, scavenging and NO-donation in a biological model of oxidative stress. Eur. J. Med. Chem. 2016, 119, 197–217. [Google Scholar] [CrossRef]
- Piotrowska, D.G.; Mediavilla, L.; Cuarental, L.; Głowacka, I.E.; Marco-Contelles, J.; Hadjipavlou-Litina, D.; Lopez-Munoz, F.; Oset-Gasque, M.J. Synthesis and Neuroprotective Properties of N-Substituted C-Dialkoxyphosphorylated Nitrones. ACS Omega 2019, 4, 8581–8587. [Google Scholar] [CrossRef]
- Floyd, R.A.; Kopke, R.D.; Choi, C.H.; Foster, S.B.; Doblas, S.; Towner, R.A. Nitrones as therapeutics. Free Radic. Biol. Med. 2008, 45, 1361–1374. [Google Scholar] [CrossRef] [PubMed]
- Murahashi, S.I.; Imada, Y. Synthesis and Transformations of Nitrones for Organic Synthesis. Chem. Rev. 2019, 119, 4684–4716. [Google Scholar] [CrossRef]
- Piotrowska, D.G. N-substituted C-diethoxyphosphorylated nitrones as useful synthons for the synthesis of α-aminophosphonates. Tetrahedron Lett. 2006, 47, 5363–5366. [Google Scholar] [CrossRef]
- Piotrowska, D.G. Stereochemistry of substituted isoxazolidines derived from N-methyl C-diethoxyphosphorylated nitrone. Tetrahedron 2006, 62, 12306–12317. [Google Scholar] [CrossRef]
- Coppola, G. Amberlyst-15, A Superior Acid catalyst for the clevage of acetals. Synthesis 1984, 1984, 1021–1023. [Google Scholar] [CrossRef]
- Rizzi, C.; Marque, S.; Belin, F.; Bouteiller, J.C.; Lauricella, R.; Tuccio, B.; Cerri, V.; Tordo, P. PPN-type nitrones: Preparation and use of a new series of β-phosphorylated spin-trapping agents. J. Chem. Soc. Perkin Trans. 2 1997, 12, 2513–2518. [Google Scholar] [CrossRef]
- Rizzi, C.; Lauricella, R.; Bouteiller, J.C.; Roubaud, V.; Tuccio, A. Distribution of the methyl radical adduct of N-benzylidene-1-diethoxyphosphoryl-1-methylethylamine N-oxide-type nitrones in water-sodium dodecyl sulfate micelles: An electron paramagnetic resonance spin trapping study. Magn. Res. Chem. 2002, 40, 273–278. [Google Scholar] [CrossRef]
- Deletraz, A.; Zeamari, K.; Di Meo, F.; Fabre, P.L.; Reybier, K.; Trouillas, P.; Tuccio, B.; Durand, G. Reactivities of MeO-substituted PBN-type nitrones. New J. Chem. 2019, 43, 15754–15762. [Google Scholar] [CrossRef]
- Petrocchi, C.; Thétiot-Laurent, S.; Culcasi, M.; Pietri, S. Novel mitochondria-targeted triphenylphosphonium conjugates of linear β-phosphorylated nitrones: Preparation, 31PNMR mitochondrial distribution, EPRSpin trapping reporting, and Site-directed antiapoptotic properties. In Mitochondrial Medicine; Weissig, V., Edeas, M., Eds.; Springer: New York, NY, USA, 2021; Volume 1, pp. 65–85. [Google Scholar]
- Shioji, K.; Takao, M.; Okuma, K. Convenient synthesis of linear spin traps containing diphenylphosphoryl groups. Chem. Lett. 2006, 35, 1332–1333. [Google Scholar] [CrossRef]
- Roubaud, V.; Dozol, H.; Rizzi, C.; Lauricella, R.; Bouteiller, J.C.; Tuccio, B. Poly(β-phosphorylated nitrones): Preparation and characterisation of a new class of spin trap. J. Chem. Soc. Perkin Trans. 2 2002, 5, 958–964. [Google Scholar] [CrossRef]
- Roubaud, V.; Lauricella, R.; Tuccio, B.; Bouteiller, J.C.; Tordo, P. Decay of superoxide spin adducts of new PBN-type phosphorylated nitrones. Res. Chem. Intermed. 1996, 22, 405–416. [Google Scholar] [CrossRef]
- Ji, Y.Q.; Wang, Z.Y.; Wang, L.F.; Liu, K.J.; Liu, Y. Prediction and Evaluation of the Piperonylidene Analogue of PBN by DFT Calculations & NBT Reduction Mediated Spectral Assay. Chin. J. Chem. 2008, 26, 1780–1786. [Google Scholar] [CrossRef]
- Tuccio, B.; Zeghdaoui, A.; Finet, J.P.; Cerri, V.; Tordo, P. Use of new β-phosphorylated nitrones for the spin trapping of free radicals. Res. Chem. Intermed. 1996, 22, 393–404. [Google Scholar] [CrossRef]
- Culcasi, M.; Delehedde, C.; Esgulian, M.; Cassien, M.; Chocry, M.; Rockenbauer, A.; Pietri, S.; Thétiot-Laurent, S. New Biocompatible β-Phosphonylated Linera Nitrones Targeting Mitochondria: Ptorective Effect in Apoptotic Cells. ChemBioChem 2023, 24, e202200749. [Google Scholar] [CrossRef]
- Liu, Y.P.; Song, Y.G.; Du, L.B.; Villamena, F.A.; Ji, Y.Q.; Tian, Q.; Liu, K.J.; Liu, Y. Novel glutathione-linked nitrones as dual free radical probes. New J. Chem. 2011, 35, 1485–1490. [Google Scholar] [CrossRef]
- Ouari, O.; Chalier, F.; Bonaly, R.; Pucci, B.; Tordo, P. Synthesis and spin-trapping behaviour of glycosylated nitrones. J. Chem. Soc. Perkin Trans. 2 1998, 10, 2299–2307. [Google Scholar] [CrossRef]
- Arroyo, C.M. Spin Trapping and Spin Labelling Studied Using EPR Spectroscopy. In Encyclopedia of Spectroscopy and Spectrometry, 3rd ed.; Elsevier: Amsterdam, The Netherlands, 2017; Volume 4, pp. 209–217. [Google Scholar] [CrossRef]
- Chalier, F.; Tordo, P. 5-Diisopropoxyphosphoryl-5-methyl-1-pyrroline N-oxide, DIPPMPO, a crystalline analog of the nitrone DEPMPO: Synthesis and spin trapping properties. J. Chem. Soc. Perkin Trans. 2 2002, 12, 2110–2117. [Google Scholar] [CrossRef]
- Clement, J.L.; Frejaville, C.; Tordo, P. DEPMPO and lipophilic analogues: Synthesis and EPR studies. Res. Chem. Intermed. 2002, 28, 175–190. [Google Scholar] [CrossRef]
- Nishizawa, M.; Shioji, K.; Kurauchi, Y.; Okuma, K.; Kohno, M. Spin-trapping properties of 5-(diphenylphosphinoyl)-5-methyl-4,5-dihydro-3H-pyrrole N-oxide (DPPMDPO). Bull. Chem. Soc. Jpn. 2007, 80, 495–497. [Google Scholar] [CrossRef]
- Shioji, K.; Tsukimoto, S.; Tanaka, H.; Okuma, K. Synthesis of 5-(alkylphenylphosphoryl)-5-methyl-3,4-dihydro-2H-pyrroline N-oxide as a new spin trapping reagent. Chem. Lett. 2003, 32, 604–605. [Google Scholar] [CrossRef]
- Shioji, K.; Matsumoto, A.; Takao, M.; Kurauchi, Y.; Shigetomi, T.; Yokomori, Y.; Okuma, K. Cycloadditions of 3,4-dihydro-2H-pyrrole N-oxide with thioketones and a selenoketone. Bull. Chem. Soc. Jpn. 2007, 80, 743–746. [Google Scholar] [CrossRef]
- Shioji, K.; Iwashita, H.; Shimomura, T.; Yamaguchi, T.; Okuma, K. ESR measurement using 2-diphenylphosphinoyl-2-methyl-3,4-dihydro-2H-pyrrole N-oxide (DPhPMPO) in human erythrocyte ghosts. Bull. Chem. Soc. Jpn. 2007, 80, 758–762. [Google Scholar] [CrossRef]
- Stolze, K.; Udilova, N.; Nohl, H. Spin trapping of lipid radicals with DEPMPO-derived spin traps: Detection of superoxide, alkyl and alkoxyl radicals in aqueous and lipid phase. Free Radic. Biol. Med. 2000, 29, 1005–1014. [Google Scholar] [CrossRef]
- Huang, S.P.; Chen, Z.; Du, L.B.; Tian, Q.; Liu, Y.P.; Zheng, Y.S.; Liu, Y. Site-Specific Detection of Free Radicals in Membranes Using an Amphiphilic Spin Trap. Appl. Magn. Reson. 2015, 46, 489–504. [Google Scholar] [CrossRef]
- Karoui, H.; Nsanzumuhire, C.; Le Moigne, F.; Tordo, P. Synthesis of a new spin trap: 2-(diethoxyphosphoryl)-2-phenyl-3,4-dihydro-2H-pyrrole 1-oxide. J. Org. Chem. 1999, 64, 1471–1477. [Google Scholar] [CrossRef]
- Xu, Y.K.; Chen, Z.W.; Sun, J.; Liu, K.; Chen, W.; Shi, W.; Wang, H.M.; Liu, Y. Synthesis, crystal structure, and ESR study of a novel phosphorylated lipophilic spin trap. J. Org. Chem. 2002, 67, 7624–7630. [Google Scholar] [CrossRef]
- Chalier, F.; Clement, J.L.; Hardy, M.; Tordo, P.; Rockenbauer, A. ESR study of the spin adducts of three analogues of DEPMPO substituted at C-4 or C-3. RSC Adv. 2014, 4, 11610–11623. [Google Scholar] [CrossRef]
- Nsanzumuhire, C.; Clement, J.L.; Ouari, O.; Karoui, H.; Finet, J.P.; Tordo, P. Synthesis of the cis diastereoisomer of 5-diethoxyphosphoryl-5-methyl-3-phenyl-1-pyrroline N-oxide (DEPMPPOc) and ESR study of its superoxide spin adduct. Tetrahedron Lett. 2004, 45, 6385–6389. [Google Scholar] [CrossRef]
- Chalier, F.; Hardy, M.; Ouari, O.; Rockenbauer, A.; Tordo, P. Design of new derivatives of nitrone DEPMPO functionalized at C-4 for further specific applications in super xide radical detection. J. Org. Chem. 2007, 72, 7886–7892. [Google Scholar] [CrossRef] [PubMed]
- Hardy, M.; Chalier, F.; Finet, J.P.; Rockenbauer, A.; Tordo, P. Diastereoselective synthesis and ESR study of 4-PhenylDEPMPO spin traps. J. Org. Chem. 2005, 70, 2135–2142. [Google Scholar] [CrossRef] [PubMed]
- Hardy, M.; Poulhes, F.; Rizzato, E.; Rockenbauer, A.; Banaszak, K.; Karoui, H.; Lopez, M.; Zielonka, J.; Vasquez-Vivar, J.; Sethumadhavan, S.; et al. Mitochondria-Targeted Spin Traps: Synthesis, Superoxide Spin Trapping, and Mitochondrial Uptake. Chem. Res. Toxicol. 2014, 27, 1155–1165. [Google Scholar] [CrossRef]
- Barbati, S.; Clement, J.L.; Frejaville, C.; Bouteiller, J.C.; Tordo, P.; Michel, J.C.; Yadan, J.C. P-31-labeled pyrroline N-oxides: Synthesis of 5-diethylphosphono-5-methyl-1-pyrroline N-oxide (DEPMPO) by oxidation of diethyl (2-methylpyrrolidin-2-yl)phosphonate. Synthesis 1999, 1999, 2036–2040. [Google Scholar] [CrossRef]
- Clement, J.L.; Barbati, S.; Frejaville, C.; Rockenbauer, A.; Tordo, P. Synthesis and use as spin-trap of 5-methyl-5-phosphono-1-pyrroline N-oxide (DHPMPO). pH dependence of the EPR parameters of the spin adducts. J. Chem. Soc. Perkin Trans. 2 2001, 2, 1471–1475. [Google Scholar] [CrossRef]
- Roubaud, V.; Mercier, A.; Olive, G.; LeMoigne, F.; Tordo, P. 5-(Diethoxyphosphorylmethyl)-5-methyl-4,5-dihydro-3H-pyrrole N-oxide: Synthesis and evaluation of spin trapping properties. J. Chem. Soc., Perkin Trans. 2 1997, 2, 1827–1830. [Google Scholar] [CrossRef]
- Clement, J.L.; Finet, J.P.; Frejaville, C.; Tordo, P. Deuterated analogues of the free radical trap DEPMPO: Synthesis and, EPR studies. Org. Biomol. Chem. 2003, 1, 1591–1597. [Google Scholar] [CrossRef]
- Ohno, T.; Sakai, M.; Ishino, Y.; Shibata, T.; Maekawa, H.; Nishiguchi, I. Mg-promoted regio- and stereoselective C-acylation of aromatic α,β-unsaturated carbonyl compounds. Org. Lett. 2001, 3, 3439–3442. [Google Scholar] [CrossRef]
- Hardy, M.; Chalier, F.; Ouari, O.; Finet, J.P.; Rockenbauer, A.; Kalyanaraman, B.; Tordo, P. Mito-DEPMPO synthesized from a novel NH2-reactive DEPMPO spin trap: A new and improved trap for the detection of superoxide. Chem. Commun. 2007, 10, 1083–1085. [Google Scholar] [CrossRef]
- Abbas, K.; Hardy, M.; Poulhes, F.; Karoui, H.; Tordo, P.; Ouari, O.; Peyrot, F. Detection of superoxide production in stimulated and unstimulated living cells using new cyclic nitrone spin traps. Free Radic. Biol. Med. 2014, 71, 281–290. [Google Scholar] [CrossRef] [PubMed]
- Beziere, N.; Hardy, M.; Poulhes, F.; Karoui, H.; Tordo, P.; Ouari, O.; Frapart, Y.M.; Rockenbauer, A.; Boucher, J.L.; Mansuy, D.; et al. Metabolic stability of superoxide adducts derived from newly developed cyclic nitrone spin traps. Free Radic. Biol. Med. 2014, 67, 150–158. [Google Scholar] [CrossRef] [PubMed]
- Hardy, M.; Rockenbauer, A.; Vasquez-Vivar, J.; Felix, C.; Lopez, M.; Srinivasan, S.; Avadhani, N.; Tordo, P.; Kalyanaraman, B. Detection, characterization, and decay kinetics of ROS and thiyl adducts of Mito-DEPMPO spin trap. Chem. Res. Toxicol. 2007, 20, 1053–1060. [Google Scholar] [CrossRef] [PubMed]
- Hardy, M.; Bardelang, D.; Karoui, H.; Rockenbauer, A.; Finet, J.P.; Jicsinszky, L.; Rosas, R.; Ouari, O.; Tordo, P. Improving the Trapping of Superoxide Radical with a β-Cyclodextrin-5-Diethoxyphosphoryl-5-methyl-1-pyrroline-N-oxide (DEPMPO) Conjugate. Chem. Eur. J. 2009, 15, 11114–11118. [Google Scholar] [CrossRef]
- Besson, E.; Gastaldi, S.; Bloch, E.; Zielonka, J.; Zielonka, M.; Kalyanaraman, B.; Aslan, S.; Karoui, H.; Rockenbauer, A.; Ouari, O.; et al. Embedding cyclic nitrone in mesoporous silica particles for EPR spin trapping of superoxide and other radicals. Analyst 2019, 144, 4194–4203. [Google Scholar] [CrossRef]
- Gosset, G.; Clement, J.L.; Culcasi, M.; Rockenbauer, A.; Pietri, S. CyDEPMPOs: A class of stable cyclic DEPMPO derivatives with improved properties as mechanistic markers of stereoselective hydroxyl radical adduct formation in biological systems. Bioorg. Med. Chem. 2011, 19, 2218–2230. [Google Scholar] [CrossRef]
- Kamibayashi, M.; Oowada, S.; Kameda, H.; Okada, T.; Inanami, O.; Ohta, S.; Ozawa, T.; Makino, K.; Kotake, Y. Synthesis and characterization of a practically better DEPMPO-type spin trap, 5-(2,2-dimethyl-1,3-propoxy cyclophosphoryl)-5-methyl-1-pyrroline N-oxide (CYPMPO). Free Radic. Res. 2006, 40, 1166–1172. [Google Scholar] [CrossRef]
- Sueishi, Y.; Kamogawa, E.; Nakamura, H.; Ukai, M.; Kunieda, M.; Okada, T.; Shimmei, M.; Kotake, Y. Kinetic Evaluation of Spin Trapping Rate Constants of New CYPMPO-type Spin Traps for Superoxide and Other Free Radicals. Z. Phys. Chem. 2015, 229, 317–326. [Google Scholar] [CrossRef]
- Janzen, E.G.; Zhang, Y.K. Identification of reactive free radicals with a new 31P-labeled DMPO spin trap. J. Org. Chem. 1995, 60, 5441–5445. [Google Scholar] [CrossRef]
- Olive, G.; Le Moigne, F.; Mercier, A.; Rockenbauer, A.; Tordo, P. Synthesis of tetraalkyl(pyrrolidine-2,2-diyl)bisphosphonates and 2,2-bis(diethoxyphosphoryl)-3,4-dihydro-2H-pyrrole 1-oxide; ESR study of derived nitroxides. J. Org. Chem. 1998, 63, 9095–9099. [Google Scholar] [CrossRef]
- Sandstrom, M.E.; Zhang, S.J.; Bruton, J.; Silva, J.P.; Reid, M.B.; Westerblad, H.; Katz, A. Role of reactive oxygen species in contraction-mediated glucose transport in mouse skeletal muscle. J. Physiol. 2006, 575, 251–262. [Google Scholar] [CrossRef] [PubMed]
- Buettner, G.R.; Jurkiewicz, B.A. Ascorbate free-radical as a marker of oxidative stress-an EPR study. Free Radic. Biol. Med. 1993, 14, 49–55. [Google Scholar] [CrossRef]
- Yu, J.H.; Chen, J.R.; Li, C.; Wang, X.S.; Zhang, B.W.; Ding, H.Y. ESR signal of superoxide radical anion adsorbed on TiO2 generated at room temperature. J. Phys. Chem. B 2004, 108, 2781–2783. [Google Scholar] [CrossRef]
- Bosnjakovic, A.; Schlick, S. Naflon perfluorinated membranes treated in Fenton media: Radical species detected by ESR spectroscopy. J. Phys. Chem. B 2004, 108, 4332–4337. [Google Scholar] [CrossRef]
- Villamena, F.A. EPR Spin Trapping. In Reactive Species Detection in Biology: From Fluorescence to Electron Paramagnetic Resonance Spectroscopy; Elsevier: Amsterdam, The Netherlands, 2017; pp. 163–202. [Google Scholar] [CrossRef]
- Harbour, J.R.; Chow, V.; Bolton, J.R. Electron spin resonance study of spin adducts of OH and H2O radicals with nitrones in ultraviolet photolysis of aqueous hydrogen-peroxide solutions. Can. J. Chem. 1974, 52, 3549–3553. [Google Scholar] [CrossRef]
- Buettner, G.R.; Oberley, L.W. Considerations in spin trapping of superoxide and hydroxyl radical in aqueous systems using 5,5-dimethyl-1-pyrroline-1-oxide. Biochem. Biophys. Res. Commun. 1978, 83, 69–74. [Google Scholar] [CrossRef]
- Kotake, Y.; Janzen, E.G. Decay and fate of the hydroxyl radical adduct of alpha-phenyl-n-tert-butylnitrone in aqueous media. J. Am. Chem. Soc. 1991, 113, 9503–9506. [Google Scholar] [CrossRef]
- Yamazaki, I.; Piette, L.H. ESR spin trapping studies on the reaction of Fe2+ ions with H2O2 reactive species in oxygen toxicity in biology. J. Biol. Chem. 1990, 265, 13589–13594. [Google Scholar] [CrossRef]
- Chalier, F.; Ouari, O.; Tordo, P. ESR study of spin-trapping with two glycosylated analogues of PBN able to target cell membrane lectins. Org. Biomol. Chem. 2004, 2, 927–934. [Google Scholar] [CrossRef]
- Wilchek, M.; Bayer, E.A. The Avidin-biotin complex in bioanalytical applications. Anal. Biochem. 1988, 171, 1–32. [Google Scholar] [CrossRef]
- Vergely, C.; Renard, C.; Moreau, D.; Perrin-Sarrado, C.; Roubaud, V.; Tuccio, B.; Rochette, L. Effect of two new PBN-derived phosphorylated nitrones against postischaemic ventricular dysrhythmias. Fundam. Clin. Pharmacol. 2003, 17, 433–442. [Google Scholar] [CrossRef] [PubMed]
- Willis, C.L.; Ray, D.E. Antioxidants attenuate MK-801-induced cortical neurotoxicity in the rat. Neurotoxicology 2007, 28, 161–167. [Google Scholar] [CrossRef] [PubMed]
- Milatovic, D.; Radic, Z.; Zivin, M.; Dettbarn, W.D. Atypical effect of some spin trapping agents: Reversible inhibition of acetylcholinesterase. Free Radic. Biol. Med. 2000, 28, 597–603. [Google Scholar] [CrossRef] [PubMed]
- La Fontaine, M.A.; Geddes, J.W.; Banks, A.; Butterfield, D.A. Effect of exogenous and endogenous antioxidants on 3-nitropropionic acid-induced in vivo oxidative stress and striatal lesions: Insights into Huntington’s disease. J. Neurochem. 2000, 75, 1709–1715. [Google Scholar] [CrossRef]
- Pietri, S.; Liebgott, T.; Frejaville, C.; Tordo, P.; Culcasi, M. Nitrone spin traps and their pyrrolidine analogs in myocardial reperfusion injury: Hemodynamic and ESR implications—Evidence for a cardioprotective phosphonate effect for 5-(diethoxyphosphoryl)-5-methyl-1-pyrroline N-oxide in rat hearts. Eur. J. Biochem. 1998, 254, 256–265. [Google Scholar] [CrossRef]
- Maurelli, E.; Culcasi, M.; Delmas-Beauvieux, M.C.; Miollan, M.; Gallis, J.L.; Tron, T.; Pietri, S. New perspectives on the cardioprotective phosphonate effect of the spin trap 5-(diethoxyphosphoryl)-5-methyl-1-pyrroline N-oxide: An hemodynamic and P-31 NMR study in rat hearts. Free Radic. Biol. Med. 1999, 27, 34–41. [Google Scholar] [CrossRef]
Disclaimer/Publisher’s Note: The statements, opinions and data contained in all publications are solely those of the individual author(s) and contributor(s) and not of MDPI and/or the editor(s). MDPI and/or the editor(s) disclaim responsibility for any injury to people or property resulting from any ideas, methods, instructions or products referred to in the content. |
© 2025 by the authors. Licensee MDPI, Basel, Switzerland. This article is an open access article distributed under the terms and conditions of the Creative Commons Attribution (CC BY) license (https://creativecommons.org/licenses/by/4.0/).







































