Magnetic Hyperthermia Method Synthesis of Water-Soluble Silicon–Carbon Dots: Excitation-Independent Fluorescence Materials
Abstract
1. Introduction
2. Results and Discussion
2.1. Preparation of Water-Soluble SiCDs
2.1.1. Optical Performance Characterization of Water-Soluble SiCDs
2.1.2. Structural Characterization of Water-Soluble SiCDs
2.2. Preparation of Water-Soluble SiCDs@SiO2 Spheres and Pure SiO2 Spheres
2.2.1. Optical Performance Characterization of Water-Soluble SiCDs@SiO2 Spheres
2.2.2. Morphology and Structural Characterization of Water-Soluble SiCDs@SiO2 Spheres
2.2.3. Excitation Wavelength Independence of CDs Fluorescence
2.3. Properties of Water-Soluble SiCDs@SiO2 Spheres
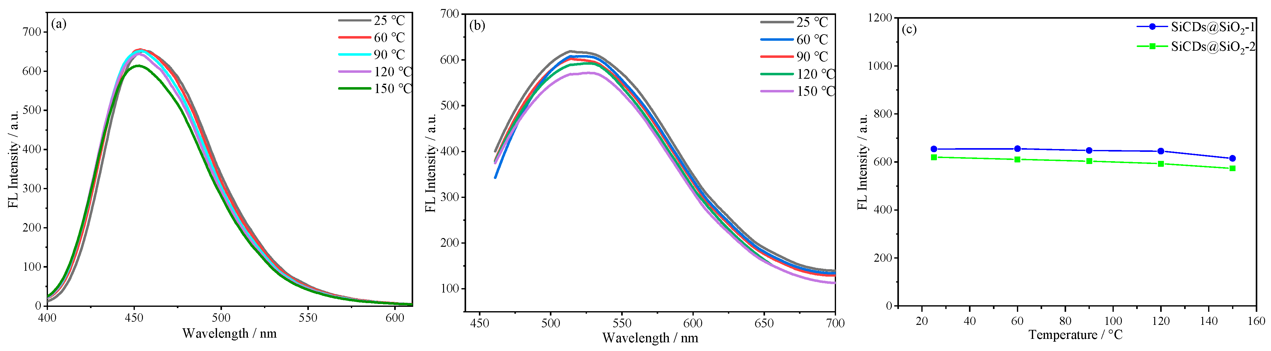
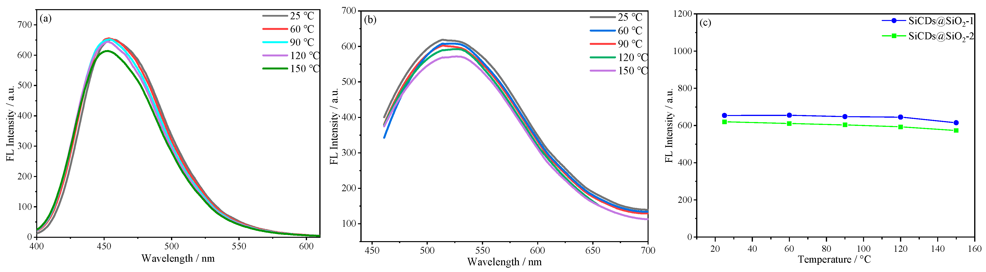
2.3.1. Thermal Stability of Microsphere Suspensions
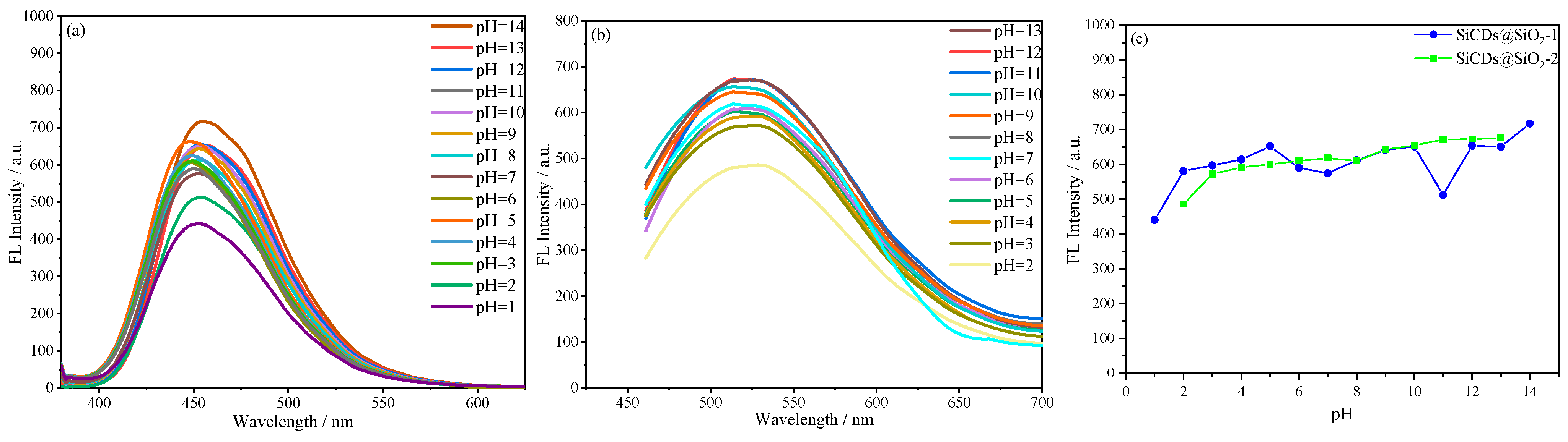
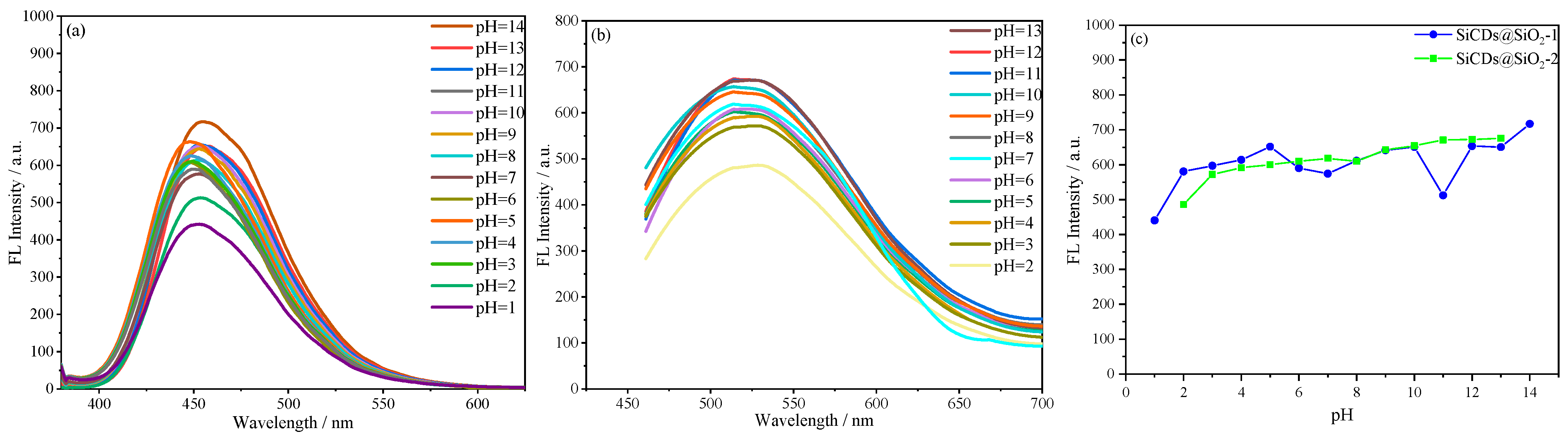
2.3.2. Effect of pH on the Emission Behavior of Microsphere Suspensions
2.3.3. Effect of Storage Time on the Emission Behavior of Microsphere Suspensions
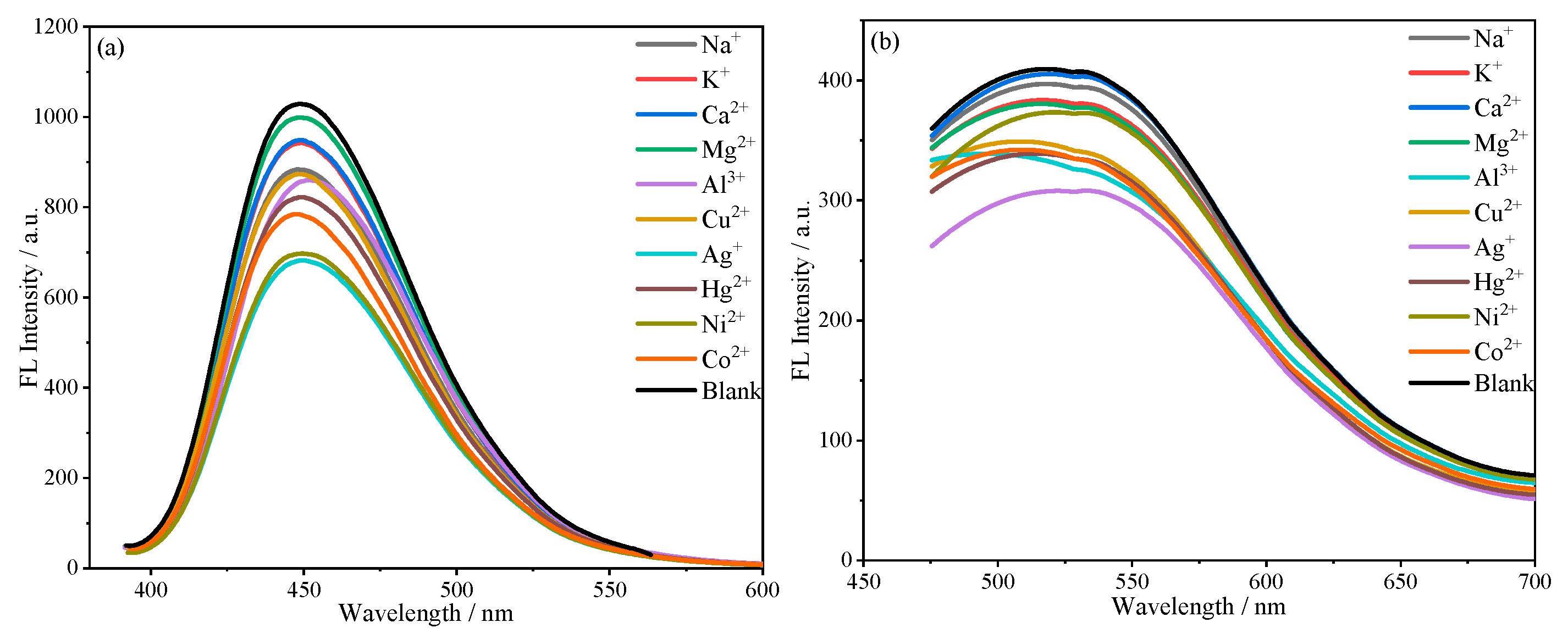
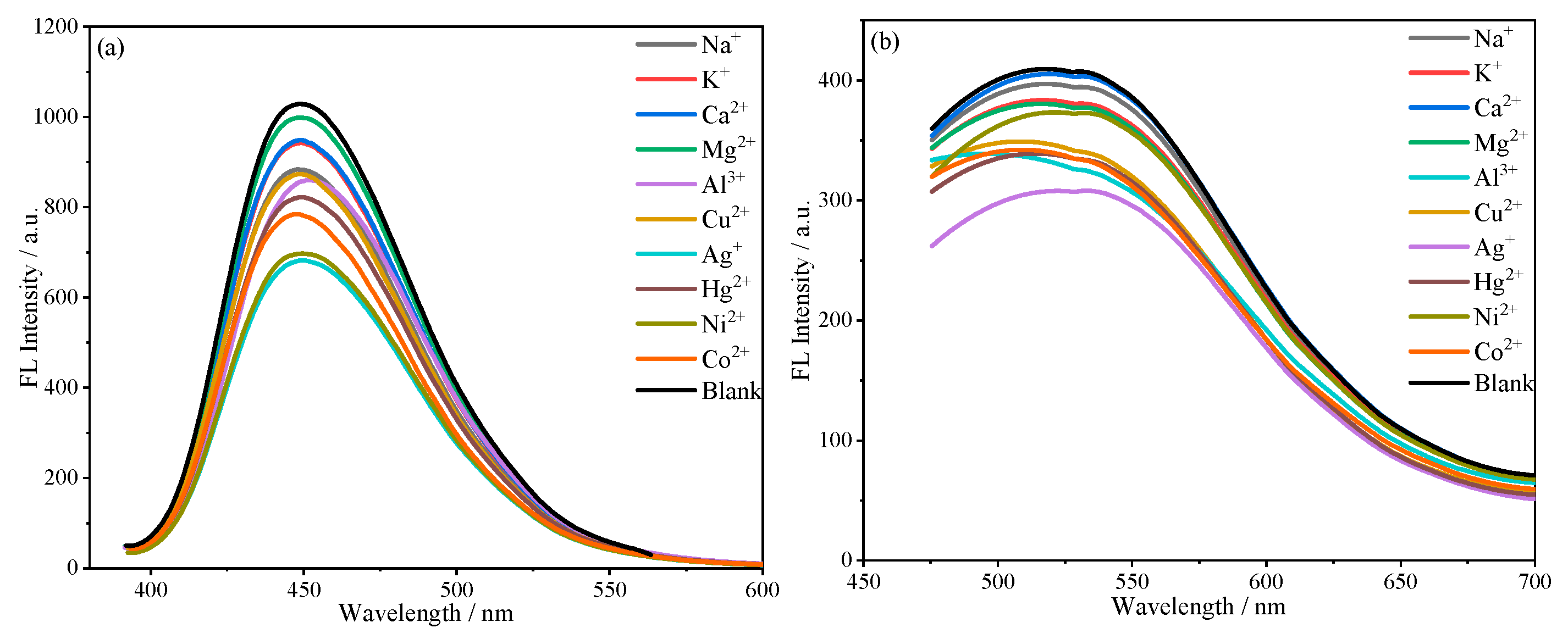
2.3.4. Effect of Metal Ions on the Fluorescence Behavior of Microsphere Suspensions
3. Experimental
3.1. Reagents and Instruments
3.2. Synthesis Method
3.2.1. Synthesis of Water-Soluble SiCDs
3.2.2. Synthesis of Water-Soluble SiCDs@SiO2 Spheres and Pure SiO2 Spheres
3.2.3. Preparation of RSiCDs
3.3. Calculation of QY
3.4. Performance Testing of Water-Soluble SiCDs@SiO2 Spheres
3.4.1. Performance Testing of Thermal Stability of Microsphere Suspensions
3.4.2. Performance Testing of Effect of pH on Microsphere Suspensions
3.4.3. Performance Testing of Effect of Storage Time on the Stability of Microsphere Suspensions
3.4.4. Performance Testing of Effect of Metal Ions on the Stability of Microsphere Suspensions
4. Conclusions
Author Contributions
Funding
Institutional Review Board Statement
Informed Consent Statement
Data Availability Statement
Conflicts of Interest
References
- Yan, Y.; Gong, J.; Chen, J.; Zeng, Z.; Huang, W.; Pu, K.; Liu, J.; Chen, P. Recent Advances on Graphene Quantum Dots: From Chemistry and Physics to Applications. Adv. Mater. 2019, 31, 1808283. [Google Scholar] [CrossRef] [PubMed]
- Ullah, M.; Awan, U.A.; Ali, H.; Wahab, A.; Khan, S.U.; Naeem, M.; Ruslin, M.; Mustopa, A.Z.; Hasan, N. Carbon Dots: New Rising Stars in the Carbon Family for Diagnosis and Biomedical Applications. J. Nanotheranostics 2025, 6, 1. [Google Scholar] [CrossRef]
- Yuan, F.; Li, S.; Fan, Z.; Meng, X.; Fan, L.; Yang, S. Shining carbon dots: Synthesis and biomedical and optoelectronic applications. Nano Today 2016, 11, 565–586. [Google Scholar] [CrossRef]
- Li, Y.; Liu, Y.; Liu, C.; Xiao, J. Research progress in preparation and application of high-color-purity fluorescent carbon dots. J. Mater. Eng. 2023, 51, 14–22. [Google Scholar]
- Liu, J.; Li, R.; Yang, B. Carbon Dots: A New Type of Carbon-Based Nanomaterial with Wide Applications. ACS Cent. Sci. 2020, 6, 2179–2195. [Google Scholar] [CrossRef] [PubMed]
- Ren, H.; Qi, F.; Feng, X.; Liu, J.; Zhao, Y. Facile Synthesis of Fluorescent Carbon Quantum Dots with High Product Yield Using a Solid-Phase Strategy. Molecules 2024, 29, 5317. [Google Scholar] [CrossRef]
- Yuan, F.; Wang, Z.; Li, X.; Li, Y.; Tan, Z.a.; Fan, L.; Yang, S. Bright Multicolor Bandgap Fluorescent Carbon Quantum Dots for Electroluminescent Light-Emitting Diodes. Adv. Mater. 2017, 29, 1604436. [Google Scholar] [CrossRef]
- Zhu, L.; Yin, Y.; Wang, C.-F.; Chen, S. Plant leaf-derived fluorescent carbon dots for sensing, patterning and coding. J. Mater. Chem. C 2013, 1, 4925–4932. [Google Scholar] [CrossRef]
- Jiang, M.; Sun, Y.; Chen, M.; Ji, H.; Liu, Y.; Qin, R.; Li, X.; Gao, H.; Zhang, R.; Zhang, L. Multicolor luminescence of carbon Dots: From mechanisms to applications. Chem. Eng. J. 2024, 496, 153761. [Google Scholar] [CrossRef]
- Laddha, H.; Yadav, P.; Jain, Y.; Sharma, M.; Reza, M.; Agarwal, M.; Gupta, R. One-pot microwave-assisted synthesis of blue emissive multifunctional N-S-P co-doped carbon dots as a nanoprobe for sequential detection of Cr(VI) and ascorbic acid in real samples, fluorescent ink and logic gate operation. J. Mol. Liq. 2022, 346, 117088. [Google Scholar] [CrossRef]
- Liu, C.; Cheng, R.; Guo, J.; Li, G.; Li, H.; Ye, H.-G.; Liang, Z.-B.; Wang, C.-F.; Chen, S. Carbon dots embedded nanofiber films: Large-scale fabrication and enhanced mechanical properties. Chin. Chem. Lett. 2022, 33, 304–307. [Google Scholar] [CrossRef]
- Zhu, Z.; Cheng, R.; Ling, L.; Li, Q.; Chen, S. Rapid and Large-Scale Production of Multi-Fluorescence Carbon Dots by a Magnetic Hyperthermia Method. Angew. Chem. Int. Ed. 2020, 59, 3099–3105. [Google Scholar] [CrossRef]
- Adzima, B.J.; Kloxin, C.J.; Bowman, C.N. Externally Triggered Healing of a Thermoreversible Covalent Network via Self-Limited Hysteresis Heating. Adv. Mater. 2010, 22, 2784–2787. [Google Scholar] [CrossRef] [PubMed]
- Huang, Z.; Ren, L. Large Scale Synthesis of Carbon Dots and Their Applications: A Review. Molecules 2025, 30, 774. [Google Scholar] [CrossRef] [PubMed]
- Ding, H.; Yu, S.-B.; Wei, J.-S.; Xiong, H.-M. Full-Color Light-Emitting Carbon Dots with a Surface-State-Controlled Luminescence Mechanism. ACS Nano 2016, 10, 484–491. [Google Scholar] [CrossRef]
- Tian, Y.; Ran, Z.; Yang, W. Carbon dot-silica composite nanoparticle: An excitation-independent fluorescence material with tunable fluorescence. RSC Adv. 2017, 7, 43839–43844. [Google Scholar] [CrossRef]
- Stöber, W.; Fink, A.; Bohn, E. Controlled growth of monodisperse silica spheres in the micron size range. J. Colloid Interface Sci. 1968, 26, 62–69. [Google Scholar] [CrossRef]
- Carvalho, R.B.; Joshi, S.V. Ibuprofen isobutanolammonium salt: Synthesis, thermal analysis, PXRD, FTIR and solubility investigations. J. Therm. Anal. Calorim. 2020, 139, 1971–1976. [Google Scholar] [CrossRef]
- Yang, Q.; Duan, J.; Yang, W.; Li, X.; Mo, J.; Yang, P.; Tang, Q. Nitrogen-doped carbon quantum dots from biomass via simple one-pot method and exploration of their application. Appl. Surf. Sci. 2018, 434, 1079–1085. [Google Scholar] [CrossRef]
- Zhang, Q.; Wang, R.; Feng, B.; Zhong, X.; Ostrikov, K. Photoluminescence mechanism of carbon dots: Triggering high-color-purity red fluorescence emission through edge amino protonation. Nat. Commun. 2021, 12, 6856. [Google Scholar] [CrossRef]
- Tang, L.; Ji, R.; Cao, X.; Lin, J.; Jiang, H.; Li, X.; Teng, K.S.; Luk, C.M.; Zeng, S.; Hao, J.; et al. Deep Ultraviolet Photoluminescence of Water-Soluble Self-Passivated Graphene Quantum Dots. ACS Nano 2012, 6, 5102–5110. [Google Scholar] [CrossRef]
- Yuan, F.; Yuan, T.; Sui, L.; Wang, Z.; Xi, Z.; Li, Y.; Li, X.; Fan, L.; Tan, Z.A.; Chen, A.; et al. Engineering triangular carbon quantum dots with unprecedented narrow bandwidth emission for multicolored LEDs. Nat. Commun. 2018, 9, 2249. [Google Scholar] [CrossRef]
- Song, Y.; Zhu, S.; Zhang, S.; Fu, Y.; Wang, L.; Zhao, X.; Yang, B. Investigation from chemical structure to photoluminescent mechanism: A type of carbon dots from the pyrolysis of citric acid and an amine. J. Mater. Chem. C 2015, 3, 5976–5984. [Google Scholar] [CrossRef]
- Wang, Y.; Dong, L.; Xiong, R.; Hu, A. Practical access to bandgap-like N-doped carbon dots with dual emission unzipped from PAN@PMMA core–shell nanoparticles. J. Mater. Chem. C 2013, 1, 7731–7735. [Google Scholar] [CrossRef]
- Siddique, A.B.; Hossain, S.M.; Pramanick, A.K.; Ray, M. Excitation dependence and independence of photoluminescence in carbon dots and graphene quantum dots: Insights into the mechanism of emission. Nanoscale 2021, 13, 16662–16671. [Google Scholar] [CrossRef] [PubMed]
- Yang, S.; Sun, J.; Li, X.; Zhou, W.; Wang, Z.; He, P.; Ding, G.; Xie, X.; Kang, Z.; Jiang, M. Large-scale fabrication of heavy doped carbon quantum dots with tunable-photoluminescence and sensitive fluorescence detection. J. Mater. Chem. A 2014, 2, 8660–8667. [Google Scholar] [CrossRef]
- Sun, Y.-P.; Zhou, B.; Lin, Y.; Wang, W.; Fernando, K.A.S.; Pathak, P.; Meziani, M.J.; Harruff, B.A.; Wang, X.; Wang, H.; et al. Quantum-Sized Carbon Dots for Bright and Colorful Photoluminescence. J. Am. Chem. Soc. 2006, 128, 7756–7757. [Google Scholar] [CrossRef]
- Durgun, G.; Ocakoglu, K.; Ozcelik, S. Systematic Tuning the Hydrodynamic Diameter of Uniformed Fluorescent Silica Nanoparticles. J. Phys. Chem. C 2011, 115, 16322–16332. [Google Scholar] [CrossRef]
- Selvan, S.T.; Patra, P.K.; Ang, C.Y.; Ying, J.Y. Synthesis of Silica-Coated Semiconductor and Magnetic Quantum Dots and Their Use in the Imaging of Live Cells. Angew. Chem. Int. Ed. 2007, 46, 2448–2452. [Google Scholar] [CrossRef]
- Pan, Y.; Wang, K.; Tang, C.; Li, K.; Liu, H. Research on the Water Production Tracking Method of Horizontal Well in Heavy Oil Reservoir with Bottom Water. Lithosphere 2022, 2021, 2593788. [Google Scholar]

















Disclaimer/Publisher’s Note: The statements, opinions and data contained in all publications are solely those of the individual author(s) and contributor(s) and not of MDPI and/or the editor(s). MDPI and/or the editor(s) disclaim responsibility for any injury to people or property resulting from any ideas, methods, instructions or products referred to in the content. |
© 2025 by the authors. Licensee MDPI, Basel, Switzerland. This article is an open access article distributed under the terms and conditions of the Creative Commons Attribution (CC BY) license (https://creativecommons.org/licenses/by/4.0/).
Share and Cite
Li, B.-Y.; She, C.-Y.; Deng, J.-C.; Shu, W.-M.; Yu, W.-C. Magnetic Hyperthermia Method Synthesis of Water-Soluble Silicon–Carbon Dots: Excitation-Independent Fluorescence Materials. Molecules 2025, 30, 1222. https://doi.org/10.3390/molecules30061222
Li B-Y, She C-Y, Deng J-C, Shu W-M, Yu W-C. Magnetic Hyperthermia Method Synthesis of Water-Soluble Silicon–Carbon Dots: Excitation-Independent Fluorescence Materials. Molecules. 2025; 30(6):1222. https://doi.org/10.3390/molecules30061222
Chicago/Turabian StyleLi, Bing-Yu, Chun-Yan She, Jun-Chao Deng, Wen-Ming Shu, and Wei-Chu Yu. 2025. "Magnetic Hyperthermia Method Synthesis of Water-Soluble Silicon–Carbon Dots: Excitation-Independent Fluorescence Materials" Molecules 30, no. 6: 1222. https://doi.org/10.3390/molecules30061222
APA StyleLi, B.-Y., She, C.-Y., Deng, J.-C., Shu, W.-M., & Yu, W.-C. (2025). Magnetic Hyperthermia Method Synthesis of Water-Soluble Silicon–Carbon Dots: Excitation-Independent Fluorescence Materials. Molecules, 30(6), 1222. https://doi.org/10.3390/molecules30061222

