Abstract
Molybdenum disulfide (MoS2) is a promising catalyst for hydrogen evolution through water electrolysis with low cost and high efficiency, but its hydrogen evolution performance can be further improved. Using sodium molybdate (Na2MoO4·2H2O) and thiourea (NH2CSNH2) as raw materials, MoS2 was prepared by the hydrothermal method. Ni-doped MoS2(Ni-MoS2) was prepared by using nickel dichloride dihydrate (NiCl2·2H2O) as a Ni source and doping Ni into MoS2 by the hydrothermal method. Under the conditions of different temperatures (190 °C, 200 °C, and 210 °C) and different Ni doping molar ratios (2%, 3%, and 4%), the optimum temperature and doping ratio of the prepared materials were explored by conducting a hydrogen evolution reaction (HER) by the electrolysis of water. The results showed that the optimum preparation temperature was 200 °C and the optimum molar ratio of Ni doping was 3%. Graphene oxide (GO) was obtained by oxidation of graphite (G), and then Ni-MoS2/GO was prepared by the hydrothermal method with Ni-MoS2 and GO. The performance of HER was tested. The materials were characterized by X-ray diffraction (XRD), scanning electron microscope (SEM), high-resolution transmission electron microscope (HRTEM), and X-ray photoelectron spectroscopy (XPS). The results show that the composite Ni-MoS2/GO has good HER performance, which is better than that of MoS2 or Ni-MoS2. In 0.5 M H2SO4 solution, the η10 is as low as 196 mV, the Tafel slope is 122 mV/dec, the Cdl is 13.98 mF/cm2, and it has good stability. The enhancement of electrocatalytic activity is mainly due to the doping of a small amount of Ni, which increases the defects of the catalyst and forms more active sites. GO improves the conductivity of the material. Ni doping and GO compounding promote the HER performance of MoS2.
1. Introduction
Energy shortages and environmental pollution are significant problems that puzzle human beings; however, the development of green and environmentally friendly hydrogen energy can address these issues. Electrocatalytic hydrogen evolution (HER) is the most promising method to obtain hydrogen energy [1,2,3,4]. Platinum, a noble metal, is a catalyst with good hydrogen evolution performance, and its superior hydrogen production ability is attributed to its best hydrogen adsorption free energy in the HER reaction [5,6], but its insufficient reserves and expensive price limit its industrial application in the hydrogen evolution reaction by the electrolysis of water [7]. Therefore, the development of cheap, efficient, and industrialized electrocatalysts for hydrogen evolution is an urgent need that can be addressed by hydrogen energy [8,9].
Nano-structured MoS2 has a low price and good electrocatalytic hydrogen evolution performance. Its catalytic activity mainly comes from the edge of MoS2, and the adsorption free energy of hydrogen at the edge of MoS2 is close to that of Pt and other catalysts [10]. However, the low conductivity of MoS2 affects the electron transfer in the HER process. In addition, MoS2 easily accumulates between layers, which leads to a decrease in its catalytic active sites [11]. Therefore, improving the conductivity of nano-structured MoS2, increasing the number of catalytic active sites [12], and improving the inherent catalytic activity of active sites are important ways to improve its electrocatalytic hydrogen evolution performance.
Graphene has high conductivity, a large specific surface area, and good flexibility [13], and it can be used as an ideal substrate for growing MoS2 nano-layers. Li et al. [14,15] prepared MoS2/graphene composites by a solvothermal reaction and found that graphene not only improves the conductivity of composite catalysts but also inhibits the agglomeration between MoS2 layers, producing MoS2/graphene composites with high HER electrocatalytic activity. Graphene oxide (GO) has a structure and performance similar to that of graphene. Graphene oxide (GO) has a large specific surface area and contains various oxygen-containing functional groups on its surface, so it shows super solubility in both the water phase and in organic solvents [16,17]. In the field of electrochemistry, a nano-heterojunction structure prepared by chemically loading WO3 and GO showed excellent electrocatalytic activity for electrolytic hydrogen production in an acidic environment [18].
In addition, doping is considered to be one of the most effective ways to regulate the electrochemical hydrogen evolution performance of a catalyst. Appropriate heteroatom doping can optimize the electronic structure of MoS2, activate its in-plane hydrogen evolution activity, increase the number of active sites for hydrogen evolution, and thus reduce its hydrogen evolution reaction barrier. At the same time, heteroatomic doping can also regulate the energy band structure of MoS2 and improve its conductivity, thus increasing its hydrogen evolution reaction rate [19,20,21,22,23,24,25]. To date, many metal atoms (such as Fe [20], Co [21], Ni [22], V [23], Mn [24], or Zn [25]) have been proven to be effective dopants in improving the electrocatalytic hydrogen evolution performance of MoS2. Bonde et al. [26,27] found through theoretical calculation that the free energy of hydrogen adsorption (ΔGH = 0.08 eV) at the edge of Mo is lower than that at the edge of S (ΔGH = 0.18 eV) and the hydrogen evolution reaction mainly occurs at the Mo edge of MoS2, but after Co doping, the ΔGH at the edge of S decreases to 0.10 eV, and the intrinsic activity of the catalytic active site of MoS2 is improved. The research of Merki et al. [28,29] shows that doping transition metal elements such as Ni, Fe, and Cu can also reduce the free energy of hydrogen adsorption at the edge of MoS2 and improve its electrocatalytic activity.
In order to further improve the electrocatalytic hydrogen evolution performance of MoS2 in view of the doping of metal elements such as Ni and the excellent performance of RGO or GO in the electrochemical field, relevant studies have been reported recently. As reported in [30,31,32], the electrocatalytic hydrogen evolution performance of MoS2 was improved by Ni doping and RGO compounding, with η10 as low as 168 mV [32], the initial potential as low as 85 mV [31], and the Tafel slope as low as 71.3 mV·dec−1 [31]. As reported in [33], the electrocatalytic hydrogen evolution performance of MoS2 was also improved by Ni doping and GO compounding, with η10 as low as 33 mV. However, the studies in [32,33] are based on an alkaline system, and the η10 reported in [30] is high, reaching 398 mV. Moreover, the effects of temperature and doping ratio on the properties of the prepared materials have not been thoroughly and systematically discussed. Therefore, in this study, MoS2, Ni-MoS2, and Ni-MoS2/GO composites were prepared by the hydrothermal method. By means of XRD, SEM, TEM, and XPS and electrochemical performance testing techniques, such as LSV, CV, Tafel slope, Cdl, and EIS, the effects of different preparation conditions, such as reaction temperature, Ni doping amount, and graphene oxide participation, on the structure of MoS2 and its electrocatalytic hydrogen evolution performance in an acidic environment were investigated. Good research results are obtained, which is expected to provide reference for the research in the field of electrocatalytic hydrogen evolution.
2. Results and Discussion
2.1. Effect of Preparation Temperature on Structure and HER Properties of Ni-MoS2
2.1.1. Material Structure and Morphology
Figure 1 reveals the X-ray diffraction (XRD) patterns of three materials, Ni0.03-MoS2-190, Ni0.03-MoS2-200, and Ni0.03-MoS2-210, which were prepared by MoS2 doped with 3%Ni at 190 °C, 200 °C, and 210 °C. The outlines of these three curves are generally similar, but there are also slight differences. The diffraction peaks located at approximately 13.9°, 33.7°, 39.4°, and 59.1° correspond to the (002), (100), (103), and (110) crystal planes of 2H-MoS2 (JCPDS No. 37-1492), respectively. However, compared with pure 2H-MoS2, the peaks of the (002) crystal face all moved by 0.5° in the direction of small angle, indicating that Ni entered the crystal lattice of MoS2, which made the spacing between (002) crystal faces larger [34,35]. The intensity of each peak first increases and then decreases with the increase in temperature, which shows that the crystallinity of the material will change with the temperature, especially the intensities of the peaks of (103) and (110) crystal planes, which are quite different and which increase from 190 °C to 200 °C, but when the temperature continues to increase to 210 °C, the peak of the (103) crystal plane disappears and the peak of the (110) crystal plane is weakened. The exposure degree of the (103) and (110) crystal planes and the crystallization degree of the material may have an influence on the performance of the material. In addition, the diffraction peak of Ni is not clearly displayed, which is related to its low content.
Figure 1.
XRD patterns of Ni-MoS2 prepared at different temperatures.
Figure 2 shows the scanning electron microscope images of four materials: MoS2, Ni0.03-MoS2-190, Ni0.03-MoS2-200, and Ni0.03-MoS2-210. It can be observed from Figure 2a,b that MoS2 is a regular nanosheet, and micron flower balls with uniform size are formed by self-assembly. Moreover, the overall morphology of Ni-doped MoS2 is similar to MoS2 (Figure 2c–h), but the regularity of nanosheets is weakened and the size of micron flower balls is reduced. Compared with Ni0.03-MoS2-190 prepared at 190 °C, Ni0.03-MoS2-200 prepared at 200 °C has irregular nano-petals, more defects, and a smaller micron flower ball size, which may be due to the fact that the doping of Ni atoms into the MoS2 lattice inhibits the growth of MoS2 grains [36]. The decrease in the flower ball size means an increase in its specific surface area, indicating that more active sites are exposed, which is beneficial to the improvement of hydrogen evolution performance. Compared with Ni0.03-MoS2-200 prepared at 200 °C, Ni0.03-MoS2-210 prepared at 210 °C has almost the same nano-petal regularity and micron flower ball size, so it is difficult to distinguish the difference with naked eyes. Obviously, the microstructure and size of Ni-MoS2 can be significantly changed by adjusting the temperature. In addition, the sample Ni0.03-MoS2-200 was analyzed by energy spectrum surface scanning, and the results are shown in Figure 2i–m. It can be clearly seen that Mo, S, and Ni are evenly distributed in space, which further proves that Ni has been successfully doped into the MoS2 lattice.

Figure 2.
SEM images of (a,b) MoS2, (c,d) Ni0.03-MoS2-190, (e,f) Ni0.03-MoS2-200, (g,h) Ni0.03-MoS2-210, and (i–m) EDS images of Ni0.03-MoS2-200.
2.1.2. Electrocatalytic Hydrogen Evolution Performance
Figure 3a shows the LSV curves of Ni0.03-MoS2-190, Ni0.03-MoS2-200, and Ni0.03-MoS2-210 and can intuitively compare their differences in electrochemical performance. At a current density of 10 mA/cm2, Ni0.03-MoS2-200 exhibits an overpotential of 208 mV, which is the lowest value among the three samples. It shows that the electrocatalytic properties of the prepared materials are different at different temperatures, and the Ni0.03-MoS2-200 material prepared at 200 °C has the best performance. Moreover, when the overpotential is 300 mV, the current density of Ni0.03-MoS2-200 is the largest, which is related to the positive correlation between the cathode current density and hydrogen production. Figure 3b provides a comparison of the Tafel slopes of three materials. Generally speaking, the lower the slope of the Tafel curve (η = blg∣j∣ + a, where η is overpotential, j is current density, and b is slope), the better the reaction kinetics of the catalyst [37]. The results show that the Tafel slopes of Ni0.03-MoS2-190, Ni0.03-MoS2-200, and Ni0.03-MoS2-210 are 167 mV/dec, 122 mV/dec, and 148 mV/dec, respectively. Usually, when the slope of Tafel is about 120 mV/·dec−1, the corresponding reaction mechanism is the Volmer–Heyrovsky step. The Tafel slopes of these three materials are all around 120 mV/·dec−1, which shows that their reaction mechanisms are the same. In contrast, the Tafel slope of Ni0.03-MoS2-200 is obviously lower, which demonstrates that its Volmer–Heyrovsky dynamic process is faster.
Figure 3.
(a) LSV diagram (the black dotted line represents a current density of 10 mA·cm−2) and (b) Tafel slope diagram of Ni0.03-MoS2-190, Ni0.03-MoS2-200, and Ni0.03-MoS2-210 prepared at 190 °C, 200 °C, and 210 °C, respectively.
Figure 4 shows the cyclic voltammetry of three catalytic materials: Ni0.03-MoS2-190, Ni0.03-MoS2-200, and Ni0.03-MoS2-210. It can be noted that with the increase in scanning speed, the current density of the three materials shows a regular increase. Usually, the larger the area enclosed by the CV curve, the more substances are reacting; that is, the larger the amount of charge generated by the reaction, which implies that the electrochemical surface area (ECSA) of the electrode is larger. As can be seen from Figure 4, when the scanning speed is 25 mV·s−1, the enclosed area of the Ni0.03-MoS2-190 curve is the smallest, indicating that its ECSA is the smallest. The results of Ni0.03-MoS2-200 and Ni0.03-MoS2-210 are very close, which cannot be distinguished by naked eyes. The difference in their ECSA (i.e., capacitance) are shown in Figure 5a.
Figure 4.
Cyclic voltammetry of (a) Ni0.03-MoS2-190, (b) Ni0.03-MoS2-200, and (c) Ni0.03-MoS2-210 prepared at 190 °C, 200 °C, and 210 °C, respectively.
Figure 5.
(a) Cdl diagram and (b) electrochemical impedance diagram of Ni0.03-MoS2 prepared at different temperatures.
Figure 5a clearly shows the differences in the capacitance characteristics of three materials, namely Ni0.03-MoS2-190, Ni0.03-MoS2-200, and Ni0.03-MoS2-210. Combined with the data in Figure 4, we find that the capacitance values of these three materials are 7.48 mF/cm2, 10.93 mF/cm2, and 9.92 mF/cm2 by fitting the slopes. It is particularly noteworthy that the capacitance value of Ni0.03-MoS2-200 is as high as 10.93 mF/cm2, indicating that it has a larger effective active area, further revealing that MoS2 prepared at different reaction temperatures contains different defects and exposes different active sites.
Figure 5b shows the electrochemical impedance properties of three materials Ni0.03-MoS2-190, Ni0.03-MoS2-200, and Ni0.03-MoS2-210. In theory, a smaller diameter of the high-frequency semicircle indicates a lower charge transfer resistance, thereby resulting in a faster rate of the electrocatalytic reaction. From the observation diagram, it can be found that Ni0.03-MoS2-200 has the smallest semicircle diameter, which indicates that its resistance is the lowest in the process of charge transfer, which is conducive to the effective transmission of electrons and the performance of the best catalytic activity.
Comparing Ni0.03-MoS2-190, Ni0.03-MoS2-200, and Ni0.03-MoS2-210 comprehensively, Ni0.03-MoS2-200 undoubtedly shows the best electrical properties, which may be related to its exposed (103) crystal plane, irregular nano petals, and smaller micron flower balls.
2.2. Effect of Ni Doping Amount on Structure and HER Properties of Ni-MoS2
2.2.1. Material Structure and Morphology
Figure 6 shows the XRD diffraction patterns of Ni0.02-MoS2-200, Ni0.03-MoS2-200, and Ni0.04-MoS2-200 samples prepared with the molar ratios of Ni to Mo in the raw materials of 0.02: 1, 0.03: 1, and 0.04: 1, respectively. The outlines of these three curves are generally similar, but there are also slight differences. The diffraction peaks located at approximately 13.9°, 33.7°, 39.4°, and 59.1° correspond to the (002), (100), (103), and (110) crystal planes of 2H-MoS2 (JCPDS No. 37-1492), respectively. However, compared with pure 2H-MoS2, the peaks of the (002) crystal face all moved by 0.5° to a small angle direction, indicating that Ni entered the crystal lattice of MoS2, which made the spacing between the (002) crystal faces larger. With the increase in the Ni doping ratio, the intensity of each peak first increases and then decreases, indicating that the crystallinity of the material will change with the doping ratio, especially the peak intensities of the (103) and (110) crystal planes are quite different. When the doping ratio increases from 0.02: 1 to 0.03: 1, the peak intensities increase, However, when the doping ratio continually increases to 0.04: 1, the peak intensities of the (103) and (110) crystal planes decrease again. The exposure degree of the (103) and (110) crystal planes and the crystallization degree of the material may have an influence on the material performance. In addition, the diffraction peak of Ni is not clearly displayed in XRD, which is related to its low content.
Figure 6.
XRD patterns of Ni-MoS2-200 prepared by different Ni doping ratios.
Figure 7a–c show the microscopic images of Ni-MoS2-200 samples with different doping ratios observed by scanning electron microscopy. Ni0.03-MoS2-200 prepared with a 3% doping ratio mainly presents micron flower balls assembled with nano-petals, which are uniform in size and have very few rod-like structures. However, when the doping ratio of Ni in the sample is 2% or 4%, many rod-like structures appear, and the surface of rod-like structures is smooth and flat, obviously resulting in a smaller specific surface area than that of micron flower balls assembled with nano-petals. The results strongly prove that the doping ratio of Ni has a significant influence on the microstructure and morphology of Ni-MoS2-200. Only when the doping ratio is appropriate can a uniform micron flower ball structure assembled by nano petals be presented. In addition, we scanned the Ni0.04-MoS2-200 sample using an energy spectrum. As shown in Figure 7d–h, we can clearly see the existence of Mo, S, and Ni, meaning Ni was successfully doped into MoS2, and the compositions of the rod-like structure and flower-ball structure are the same, but the morphologies are different.
Figure 7.
SEM images of (a) Ni0.02-MoS2-200, (b) Ni0.03-MoS2-200, (c) Ni0.04-MoS2-200, and (d–h) EDS images of Ni0.04-MoS2-200.
2.2.2. Electrocatalytic Hydrogen Evolution Performance
Figure 8a shows the linear scanning voltammogram (LSV) of the Ni-MoS2-200 material when the doping ratio of Ni is 2%, 3%, and 4%. When the cathode current density reaches 10 mA/cm2, the overpotential is 223 mV, 208 mV, and 210 mV, respectively, and the overpotential of Ni0.03-MoS2-200 with a 3% Ni doping ratio is the lowest, indicating that the doping ratio has an influence on the electrical properties of the material. Based on the data in Figure 8a, a Tafel slope diagram (Figure 8b) was made. It reveals the Tafel slope differences in Ni-MoS2-200 with doping ratios of 2%, 3%, and 4%, which are 139 mV/dec, 122 mV/dec, and 134 mV/dec, respectively. Tafel slopes of three materials are all around 120 mV/·dec−1, which shows that their reaction mechanisms are the same. In contrast, the Tafel slope of Ni0.03-MoS2-200 is lower, which shows that its Volmer–Heyrovsky dynamic process is faster. It is worth noting that the Ni0.03-MoS2-200 catalyst shows the best results in two key parameters (overpotential and Tafel slope): the overpotential is 208 mV and the Tafel slope is 122 mV/dec.
Figure 8.
(a) LSV diagram (the black dotted line represents a current density of 10 mA·cm−2) and (b) Tafel slope diagram of Ni0.02-MoS2-200, Ni0.03-MoS2-200, and Ni0.04-MoS2-200 prepared with Ni doping ratios of 0.02, 0.03, and 0.04, respectively.
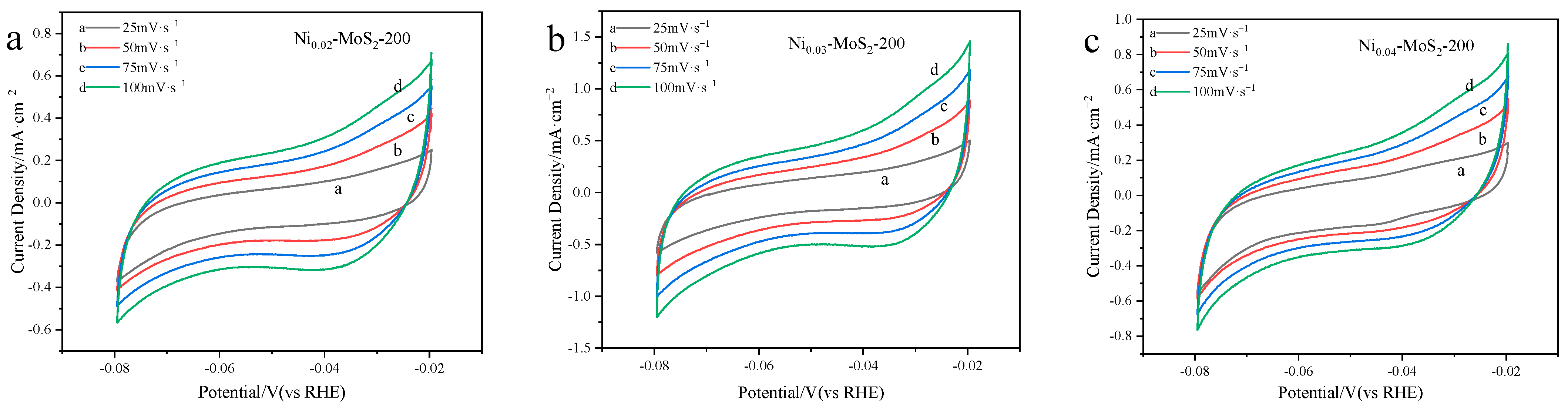
Figure 9 clearly shows the cyclic voltammetry (CV) of the Ni0.02-MoS2-200, Ni0.03-MoS2-200, and Ni0.04-MoS2-200 catalysts. It can be found that the current density on the cyclic voltammetry of the three materials shows a regular increase with the increase in the scanning speed. This shows that we can effectively adjust the microstructure of Ni-MoS2-200 and its performance in the water cracking reaction by adjusting the doping ratio of reactants. The experimental data show that when the molar ratio of raw material Ni to Mo is 3%, the properties of the material reach the best state.
Figure 9.
CV diagram of (a) Ni0.02-MoS2-200, (b) Ni0.03-MoS2-200, and (c) Ni0.04-MoS2-200 prepared with Ni doping ratios of 0.02, 0.03, and 0.04, respectively.
Figure 10a shows the electric double layer capacitance curves of Ni-MoS2-200 samples with different doping ratios (2%, 3%, and 4%) in detail. By fitting these curves and calculating their slopes, we find that their capacitance values are 4.88 mF/cm2, 10.93 mF/cm2, and 8.39 mF/cm2, respectively. It is particularly noteworthy that the capacitance Cdl of the Ni0.03-MoS2-200 sample reaches 10.93 mF/cm2, demonstrating that the Ni0.03-MoS2-200 material demonstrates excellent performance, improving reaction activity and electrocatalytic performance. Figure 10b further analyzes the impedance characteristics of these samples. Based the data in the figure, we find that the catalytic material Ni0.03-MoS2-200 has the smallest semicircle diameter, indicating that it is the lowest resistance in the charge transfer path, which makes it possible to more efficiently transfer electrons. On the whole, Ni0.03-MoS2-200 nano-materials have the best performance in improving activity and electrocatalytic performance.
Figure 10.
(a) Cdl diagram and (b) electrochemical impedance diagram of Ni-MoS2-200 prepared with different Ni doping ratios.
A comprehensive analysis of all the materials studied, including Ni0.03-MoS2-190, Ni0.03-MoS2-200, Ni0.03-MoS2-210, Ni0.02-MoS2-200, and Ni0.04-MoS2-200, shows that the Ni0.03-MoS2-200 nano-materials have excellent electrocatalytic properties.
2.3. Characterization of Ni0.03-MoS2-200/GO and Study of HER Performance
2.3.1. Characterization of Structure and Morphology of Ni0.03-MoS2-200/GO
Figure 11 shows the XRD patterns of MoS2, Ni0.03-MoS2-200, and Ni0.03-MoS2-200/GO. The outlines of these three curves are generally similar, but there are also slight differences. It shows that Ni doping and GO compounding have not seriously changed the crystal structure of MoS2. However, the peak intensity of the (103) and (110) crystal planes are quite different, with the minimum being MoS2, the middle being Ni0.03-MoS2-200, and the maximum being Ni0.03-MoS2-200/GO. In terms of crystallinity, MoS2 is the smallest, and Ni0.03-MoS2-200 and Ni0.03-MoS2-200/GO are almost the same. The exposure degree of the (103) and (110) crystal planes and the crystallization degree of the material may have an influence on the material performance. In addition, the diffraction peaks of Ni and GO are not clearly displayed in XRD, which is related to its low content.
Figure 11.
XRD patterns of MoS2, Ni0.03-MoS2-200, and Ni0.03-MoS2-200/GO.
Figure 12 shows the scanning electron microscopy (Figure 12a–c) and transmission electron microscopy (Figure 12d,e) details of three different samples: MoS2, Ni0.03-MoS2-200, and Ni0.03-MoS2-200/GO. MoS2 is a regular nanosheet, and micron flower balls with a uniform size are formed by self-assembly. The overall morphology of Ni-doped MoS2(Ni0.03-MoS2-200) is similar to that of MoS2, but the regularity of nanosheets is weakened and the size of the micron flower balls is reduced, which leads to more defects, a larger specific surface area, and more active sites. Compared with Ni0.03-MoS2-200, Ni0.03-MoS2-200/GO formed after GO compounding possesses a smaller size and better dispersibility, which makes the specific surface area larger and provides more active sites. In addition, we have carried out energy spectrum scanning analysis on Ni0.03-MoS2-200/GO. As shown in Figure 12f–k, we can clearly see the existence of Mo, S, Ni, and C elements, which indicates that Ni0.03-MoS2-200/GO has been successfully prepared.


Figure 12.
SEM images of (a) MoS2, (b) Ni0.03-MoS2-200, (c) Ni0.03-MoS2-200/GO, (d) TEM image and (e) HRTEM image and (f–k) EDS images of Ni0.03-MoS2-200/GO.
Figure 13 shows the XPS analysis results of the sample Ni0.03-MoS2-200/GO. It can be seen that the sample mainly contains Mo, S, C, O, and Ni (Figure 13a). As shown in Figure 13b, there are six characteristic peaks, of which the peak at 226.1 eV corresponds to S 2s of NiS, the peak at 226.9 eV corresponds to S 2s of MoS2, and the two peaks at 232.6 eV and 229.5 eV correspond to Mo(IV) 3d3/2 and Mo(IV) 3d5/2 of MoS2, respectively. The peaks at 233.2 eV and 236.3eV correspond to Mo(VI) 3d5/2 and Mo(VI) 3d3/2 of MoO3, respectively, indicating that some Mo(IV) is oxidized to Mo(VI) [38,39,40]. Figure 13c shows the XPS diagram of S 2p, in which the peaks are 163.4 eV and 162 eV. The two characteristic peaks at 169.9 eV and 168.8 eV correspond to S(VI) 2p1/2 and S(VI) 2p3/2 of SO42−, which indicates that some S elements are oxidized [38,41]. Figure 13d shows the XPS diagram of Ni 2p. There are two characteristic peaks at 856.2 eV and 873.5 eV, indicating the existence of Ni(0), and two characteristic peaks at 862.5 eV and 879.8 eV, indicating the existence of Ni(II). The result demonstrates that there are both NiS and elemental Ni in the sample [39,42]. Figure 13e shows the XPS diagram of C 1s, and the peak is located at 284.8 eV, which proves that the C = C bond is in graphene oxide [41,43].

Figure 13.
XPS spectrum of Ni0.03-MoS2-200/GO: (a) total, (b) Mo 3d and S 2s, (c) S 2p, (d) Ni 2p, (e) C 1s.
2.3.2. Performance Test of Electrocatalytic Hydrogen Evolution
Figure 14a shows the LSV diagram of the materials MoS2, Ni0.03-MoS2-200, and Ni0.03-MoS2-200/GO. Compared with MoS2, Ni0.03-MoS2-200 presents a lower overpotential of 208 mV when the current density is 10 mA·cm−2, which is obviously lower than that of MoS2(279 mV), indicating that Ni doping effectively improves the efficiency of the electro-catalytic hydrolysis reaction (HER) of MoS2. When Ni0.03-MoS2-200 is further compounded with GO, the overpotential of the Ni0.03-MoS2-200/GO material formed by Ni0.03-MoS2-200 further decreases, reaching 196 mV, which is 12 mV lower than that of Ni0.03-MoS2-200, indicating that the compounding of GO with excellent conductivity improves the electron transmission rate of Ni0.03-MoS2-200 and further improves the hydrogen evolution performance. Compared with the studies (Figure 14b) [44,45,46,47,48] reported in recent years, its overpotential is relatively low. Figure 14c shows the Tafel slope diagrams of MoS2, Ni0.03-MoS2-200, and Ni0.03-MoS2-200/GO, respectively. Ni0.03-MoS2-200/GO and Ni0.03-MoS2-200 have lower Tafel slopes than MoS2. The Tafel slopes of Ni0.03-MoS2-200/GO and Ni0.03-MoS2-200 are equal, but the current density of Ni0.03-MoS2-200/GO is higher at the same overpotential, which shows that Ni0.03-MoS2-200/GO has better performance in the electrocatalytic hydrolysis reaction.
Figure 14.
(a) LSV diagram (the black dotted line represents a current density of 10 mA·cm−2); (b) overpotential comparison diagram; (c) Tafel slope diagram of MoS2, Ni0.03-MoS2-200, and Ni0.03-MoS2-200/GO.
In this study, we have tested the cyclic voltammetry (CV) of three kinds of catalyst materials: MoS2, Ni0.03-MoS2-200, and Ni0.03-MoS2-200/GO. It is found that the current density of these materials on the CV curve shows a regular upward trend with the increase in scanning speed.
Based on the data in Figure 15, we obtained the Cdl of different catalysts, as shown in Figure 16a. The capacitance values of the three materials are 4.02 mF/cm2, 10.93 mF/cm2, and 13.98 mF/cm2, respectively. It is particularly noteworthy that the Ni0.03-MoS2-200/GO material has a high capacitance of 13.98 mF/cm2, which shows that Ni doping and GO compounding are beneficial to increasing the electrochemical active area and rich hydrogen evolution active sites of MoS2, so it has the best hydrogen evolution activity. Figure 16b reveals the impedance characteristics of three catalytic materials at different frequencies. Theoretically, the reduction in the semicircle diameter means that the resistance of charge transfer decreases in the electrocatalytic reaction, thus accelerating the reaction speed. The Ni0.03-MoS2-200/GO catalyst has the smallest semicircle radius, which shows that it encounters the least resistance in the process of charge mass transfer, so the electron transfer is more effective and the best catalytic activity is realized. To sum up, Ni doping and GO compounding together make MoS2 show the best performance.
Figure 15.
CV curves of (a) MoS2, (b) Ni0.03-MoS2-200, and (c) Ni0.03-MoS2-200/GO.
Figure 16.
(a) Cdl diagram and (b) electrochemical impedance diagram of MoS2, Ni0.03-MoS2-200, and Ni0.03-MoS2-200/GO.
Another important criterion for evaluating catalysts is electrochemical stability. The Ni0.03-MoS2-200/GO complex with good hydrogen evolution performance was selected for the scanning cyclic voltammetry test, and then the changes in the linear voltammetry curves before and after scanning were compared. Figure 17 shows the LSV curves before and after scanning when Ni0.03-MoS2-200/GO is subjected to 2000 cycles of cyclic voltammetry in 0.5 mol/L H2SO4 at a scanning speed of 100 mV/s. It can be observed that the two curves are similar. The original overpotential is 196 mV with the current density at 10 mA/cm2. After 2000 cycles, the overpotential only increases to 198 mV. This result demonstrates that the prepared composite Ni0.03-MoS2-200/GO has good electrochemical stability.
Figure 17.
Stability of Ni0.03-MoS2-200/GO.
3. Experimental Section
3.1. Reagents
Graphite powder, (NH4)6Mo7O24·4H2O, (NH2)2CS, NiCl2·6H2O, concentrated H2SO4, anhydrous ethanol, KMnO4, and 5 wt% Nafion are all analytical pure reagents and were purchased from Sinopharm Chemical Reagent Co., Ltd., (Shanghai, China).
3.2. Catalyst Synthesis
3.2.1. Preparation of MoS2 and Ni-MoS2
In preparation, 3.1 g of (2.5 mmol) (NH4)6Mo7O24·4H2O and 4.7 g of (61.7 mmol) (NH2)2CS were weighed, dissolved in a beaker containing 100 mL deionized water, and ultrasonicated for 30 min. Then, 11.9 mg (0.050 mmol), 17.8 mg (0.075 mmol), and 23.8 mg (0.100 mmol) of NiCl2·6H2O were, respectively, added into another beaker, followed by adding 10 mL of deionized water and stirring for dissolution. Under magnetic stirring, the dissolved solution of NiCl2·6H2O was added into the first solution drop by drop, and ultrasound was continued for 30 min. Then, the mixed solution was poured into a 150 mL autoclave and heated at a preset reaction temperature (190 °C or 200 °C or 210 °C) for 24 h., followed by naturally cooling to room temperature, taking out, and washing with deionized water and ethanol. Finally, vacuum drying at 60 °C for 12 h occurred, and a black Nix-MoS2 material was obtained. In the above hydrothermal reaction system, the molar ratios of Ni to Mo are 0.02:1, 0.03:1, and 0.04:1, respectively, and the obtained composite materials are named Ni0.02-MoS2, Ni0.03-MoS2, and Ni0.04-MoS2, respectively. When the molar ratio of Ni to Mo is 0.03:1, the composite materials prepared at different temperatures (190 °C, 200 °C, or 210 °C) were named Ni0.03-MoS2-190, Ni0.03-MoS2-200, and Ni0.03-MoS2-210, respectively. As a contrast, a single MoS2 material was prepared under the same conditions without adding NiCl2·6H2O.
3.2.2. Preparation of GO
At room temperature, 2 g of graphite and 1 g of sodium nitrate were accurately weighed and added into a 250 mL three-necked flask. The flask was cooled to near 0 °C in an ice bath. Then, we slowly added 50 mL of concentrated sulfuric acid under stirring and continued stirring for 30 min at a temperature not exceeding 5 °C. At 10 °C, we slowly added 0.3 g of potassium permanganate into the bottle and kept stirring for 30 min. Then, while keeping the temperature at 20 °C, 7 g of potassium permanganate was gradually added in three times. The cold bath was then removed and the reaction system was set to 35 °C by water bath, stirring for 2 h continuously. Then, 90 mL of water was slowly dropped into the brown suspension. We quickly raised the temperature, and when the system temperature rose to 90 °C, we continued to stir the suspension for 15 min. Then, 7 mL 30% hydrogen peroxide and 55 mL of distilled water (water temperature set at 45 °C) were added to the suspension. The suspension was filtered while it was hot, and the filter residue was washed three times with 3% dilute hydrochloric acid solution (volume 150 mL, temperature 45 °C). Next, the filter cake was dispersed in 600 mL of water. This was centrifuged at 4000 rpm for 20 min to separate gel-like graphene oxide. Finally, the filter cake was dried in a vacuum at 40 °C for 24 h, and GO was obtained.
3.2.3. Preparation of Composite Material Ni0.03-MoS2-200/GO
First, 250 mg GO was dispersed in 100 mL deionized water and ultrasonicated for 2 h. Then, 3.1 g (2.5 mmol) (NH4)6Mo7O24·4H2O and 4.7 g (61.7 mmol) (NH2)2CS were mixed with the GO dispersion, and ultrasound was continued for 30 min. Then, 17.8 mg (0.075 mmol) of NiCl2·6H2O was dissolved in 10 mL of distilled water, and the solution was slowly dropped into the previous mixed solution under magnetic stirring, and ultrasonic treatment was continued for 30 min. Then, the mixed solution was transferred to a 150 mL reaction kettle, kept at a constant temperature of 200 °C for 24 h, and naturally cooled to room temperature. The product was centrifuged and washed with distilled water and ethanol at a speed of 10,000 rpm three times, each time for 8 min. Finally, the Ni0.03-MoS2/GO composite was prepared by vacuum drying at 60 °C for 24 h.
3.3. Catalyst Characterization
X-ray diffractometer (XRD-6100, Shimadzu Corporation, Kyoto, Japan) was used for phase analysis. Cu was used as the target, the tube voltage was 40 kV, and the tube current was 30 mA. The morphology was observed by using a Gemini SEM 500 scanning electron microscope (Carl Zeiss AG, Oberkochen, Germany), and the accelerating voltage was 2 kV. The energy spectrum was tested by the matching Oxford Aztec UltimMax 100 energy spectrometer (Oxford Instruments, Abington, UK). The high-resolution morphology was observed by the transmission electron microscopy (Tecnai G20, FEI Group, Hillsboro, OR, USA) and the accelerating voltage was 200 kV. X-ray photoelectron spectroscopy (XPS) was performed on a Thermo Scientific (Waltham, MA, USA) ESCALab 250Xi+ using 150 W monochromated Al Kα (1486.6 eV) radiation. A 500 µm X-ray spot was used for XPS analysis. The base pressure in the analysis chamber was about 3 × 10−10 mbar. Typically, the hydrocarbon C 1s line at 284.8 eV from adventitious carbon is used for energy referencing.
3.4. Electrocatalytic Hydrogen Evolution Test of Catalyst
In this study, the three-electrode system of the PGSTAT302N electrochemical workstation (Metrohm AG, Herrisau, Switzerland) was used to carry out the experimental study of electrocatalytic hydrogen evolution. During the experiment, a platinum sheet was used as the counter electrode, Ag-AgCl electrode (3.5 M KCl electrolyte solution) as the reference electrode, glassy carbon electrode coated with electrocatalyst as the working electrode, and the electrolyte was 0.5 mol/L H2SO4 solution. The experimental steps are as follows: First, remove the 4.0 mg sample and disperse it in a 1.0 mL mixed solution of water and ethanol (volume ratio is 7:3) containing 80 μL of 5% Nafion solution. After these substances were fully mixed, ultrasonic treatment was carried out for 1 h. Next, 5.0 μL of the uniform slurry containing electrocatalyst was sucked, smeared on a glassy carbon electrode with a diameter of 4.0 mm, and dried at 60 °C to form the final working electrode. In order to evaluate the electrocatalytic hydrogen evolution performance of the catalyst, we tested the linear sweep voltammetry, cyclic voltammetry, and electrochemical impedance of the catalyst. The electrochemical impedance spectroscopy (EIS) was measured at a frequency range from 105 Hz to 0.01 Hz at a potential of −0.2 V vs. RHE. All the potentials were converted to the potential versus the reversible hydrogen electrode (RHE) according to the following equation: E vs. RHE = E vs. Ag/AgCl + 0.059 × pH + 0.2046, and this is compensated by iR.
4. Conclusions
The microstructure and electrocatalytic performance of the Ni-MoS2 nano-materials can be effectively improved by accurately adjusting the reaction temperature and the doping amount of Ni. When the molar ratio of Ni to Mo is 3% with the hydrothermal temperature of 200 °C, the prepared Ni0.03-MoS2-200 nanometer material shows excellent electrocatalytic performance: its η10 is as low as 208 mV, its Tafel slope is 122 mV/dec, and the electric double layer capacitance is 10.93 mF/cm2. By doping Ni, the electrocatalytic activity of MoS2 was improved, and its hydrogen evolution performance was significantly enhanced.
Ni0.03-MoS2-200/GO composites were successfully prepared by a hydrothermal method combined with GO composite technology. Due to the common impact of Ni doping and GO compounding, Ni0.03-MoS2-200/GO shows better catalytic activity than MoS2 and Ni0.03-MoS2-200, with lower overpotential (η10 = 196 mV) and a higher electric double layer capacitance of 13.98 mF/cm2. Through the strategy of GO compounding, the activity of MoS2 was improved and its catalytic performance was further enhanced
Author Contributions
Conceptualization, G.G.; data curation, C.X.; formal analysis, Y.L.; funding acquisition, S.Z.; investigation, G.G.; methodology, C.X.; project administration, G.G.; resources, Y.L.; software, Q.W.; supervision, Y.L.; validation, G.G.; visualization, Q.W.; writing—original draft, S.Z.; writing—review and editing, S.Z. All authors have read and agreed to the published version of the manuscript.
Funding
This research was funded by the Xingtai Science and Technology Plan Project (2023ZZ076).
Institutional Review Board Statement
Not applicable.
Informed Consent Statement
Not applicable.
Data Availability Statement
Data are contained within the article.
Conflicts of Interest
The authors declare no conflicts of interest.
References
- Wickramaratne, K.M.K.; Ramezanipour, F. Electrocatalytic properties of quasi-2D oxides LaSrMn0.5M0.5O4 (M = Co, Ni, Cu, and Zn) for hydrogen and oxygen evolution reactions. Molecules 2024, 29, 3107. [Google Scholar] [CrossRef] [PubMed]
- Chen, Q.Y.; Tian, S.Q.; Liu, X.N.; An, X.G.; Zhang, J.X.; Xu, L.H.; Yao, W.T.; Kong, Q.Q. Morphology-controlled synthesis of V1.11S2 for electrocatalytic hydrogen evolution reaction in acid media. Molecules 2022, 27, 8019. [Google Scholar] [CrossRef]
- Meng, C.; Chen, X.D.; Gao, Y.F.; Zhao, Q.Q.; Kong, D.; Lin, M.C.; Chen, X.M.; Li, Y.X.; Zhou, Y. Recent modification strategies of MoS2 for enhanced electrocatalytic hydrogen evolution. Molecules 2020, 25, 1136. [Google Scholar] [CrossRef] [PubMed]
- Abdelghafar, F.; Xu, X.M.; Jiang, S.P.; Shao, Z.P. Designing single-atom catalysts toward improved alkaline hydrogen evolution reaction. Mater. Rep.-Energy 2022, 2, 100144. [Google Scholar] [CrossRef]
- Pehlivan, L.B.; Atak, G.; Niklasson, G.A. Electrochromic solar water splitting using a cathodic WO3 electrocatalyst. Nano Energy 2021, 81, 105620. [Google Scholar] [CrossRef]
- Jiang, X.L.; Jang, H.; Liu, S.G. Heterostructure of Ru2P/WO3/NPC synergistically promotes H2O dissociation for improved hydrogen evolution. Angew. Chem. Int. Edit. 2021, 60, 4110–4116. [Google Scholar] [CrossRef] [PubMed]
- Grzeszczuk, M.; Poks, P. The HER performance of colloidal Pt nanoparticles incorporated in polyaniline. Electrochim. Acta 2000, 45, 4171–4177. [Google Scholar] [CrossRef]
- Liu, X.T.; Wang, C.W. In situ wet etching of MoS2@dWO3 heterostructure as ultra-stable highly active electrocatalyst for hydrogen evolution reaction. Catalysts 2020, 10, 977. [Google Scholar] [CrossRef]
- Xu, X.M.; Pan, Y.L.; Zhong, Y.J.; Ge, L.; Jiang, S.P.; Shao, Z.P. From scheelite BaMoO4 to perovskite BaMoO3: Enhanced electrocatalysis toward the hydrogen evolution in alkaline media. Compos. Part B-Eng. 2020, 198, 108214. [Google Scholar] [CrossRef]
- Chen, Y.; Yang, K.; Jiang, B. Emerging two dimensional nanomaterials for electrochemical hydrogen evolution. J. Mater. Chem. A 2017, 5, 187–208. [Google Scholar] [CrossRef]
- Gupta, U.; Rao, C. Hydrogen generation by water splitting using MoS2 and other transition metal dichalcogenides. Nano Energy 2017, 41, 49–65. [Google Scholar] [CrossRef]
- Xu, X.M.; Zhong, Y.J.; Wajrak, M.; Bhatelia, T.; Jiang, S.P.; Shao, Z.P. Grain boundary engineering: An emerging pathway toward efficient electrocatalysis. InfoMat 2024, 6, e12608. [Google Scholar] [CrossRef]
- Wang, X.; Yao, X.L.; Hou, J.F. Non-isothermal crystallization of aqueous graphene oxide suspensions. J. Zhejiang Univ. (Eng. Sci.) 2014, 48, 1273–1277. [Google Scholar]
- Li, Y.G.; Wang, H.L.; Xie, L.M. MoS2 nanoparticles grown on graphene: An advanced catalyst for the hydrogen evolution reaction. J. Am. Chem. Soc. 2011, 133, 6–9. [Google Scholar] [CrossRef] [PubMed]
- Yin, Y.; Miao, P.; Zhang, Y. Significantly increased raman enhancement on MoX2 (X = S, Se) monolayers upon phase transition. Adv. Funct. Mater. 2017, 27, 16066–16094. [Google Scholar] [CrossRef]
- Tang, L.H.; Wang, Y.; Li, Y.M. Preparation, structure, and electrochemical properties of reduced graphene sheet films. Adv. Funct. Mater. 2009, 19, 2782–2789. [Google Scholar] [CrossRef]
- Lin, W.J.; Liao, C.S.; Jhang, J.H. Graphene modified basal and edge plane pyrolytic graphite electrodes for electrocatalytic oxidation of hydrogen peroxide and β-nicotinamide adenine dinucleotide. Electrochem. Commun. 2009, 11, 2153–2156. [Google Scholar] [CrossRef]
- Cao, Y.Y.; Wang, L.F.; Chen, M.Y. W2N/WC composite nanofibers as an efficient electrocatalyst for photoelectrochemical hydrogen evolution. RSC Adv. 2021, 11, 20285–20291. [Google Scholar] [CrossRef] [PubMed]
- Pham, V.P.; Yeom, G.Y. Recent advances in doping of molybdenum disulfide: Industrial applications and future prospects. Adv. Mater. 2016, 28, 9024. [Google Scholar] [CrossRef]
- Xue, J.Y.; Li, F.L.; Zhao, Z.Y. Roadmap and direction towards high performance MoS2 hydrogenevolution catalysts. Inorg. Chem. 2019, 58, 11202–11209. [Google Scholar] [CrossRef]
- Zhao, M.X.; Yang, M.Y.; Huang, W.J. Synergism on electronic structures and active edges of metallic vanadium disulfide nanosheets via Co doping for efficient hydrogen evolution reaction in seawater. ChemCatChem 2021, 13, 2138. [Google Scholar] [CrossRef]
- Wang, C.; Wang, S. Effect of Ni doping on electrocatalytic hydrogen evolution activity of MoS2. Int. J. Electrochem. Sci. 2019, 14, 11607–11615. [Google Scholar] [CrossRef]
- Li, M.; Cai, B.; Tian, R. Vanadium doped 1T MoS2 nanosheets for highly efficient electrocatalytic hydrogen evolution in both acidic and alkaline solutions. Chem. Eng. J. 2021, 409, 128158. [Google Scholar] [CrossRef]
- Yang, H.; Yuan, M.W.; Sun, Z.M. In situ construction of a Mn2+-doped Ni3S2 electrode with highly enhanced urea oxidation reaction performance. ACS Sustain. Chem. Eng. 2020, 8, 8348. [Google Scholar] [CrossRef]
- Liu, Q.; Xie, L.S.; Liu, Z.A. A Zn-doped Ni3S2 nanosheet array as a high-performance electrochemical water oxidation catalyst in alkaline solution. Chem. Commun. 2017, 53, 12446. [Google Scholar] [CrossRef]
- Bonde, J.; Moses, P.G.; Jaramillo, T.F. Hydrogen evolution on nano-particulate transition metal sulfides. Faraday Discuss. 2008, 140, 19–31. [Google Scholar] [CrossRef] [PubMed]
- Jaramillo, T.F.; Jorgensen, K.P.; Bonde, J. Identification of active edge sites for electrochemical H2 evolution from MoS2 nanocatalysts. Science 2007, 317, 100–102. [Google Scholar] [CrossRef]
- Merki, D.; Vrubel, H.; Rovelli, L. Fe, Co, and Ni ions promote the catalytic activity of amorphous molybdenum sulfide films for hydrogen evolution. Chem. Sci. 2012, 3, 15–25. [Google Scholar] [CrossRef]
- Wang, H.; Tsai, C.; Kong, D. Transition-metal doped edge sites in vertically aligned MoS2 catalysts for enhanced hydrogen evolution. Nano Res. 2015, 8, 566–575. [Google Scholar] [CrossRef]
- Zhao, M.; Zhou, G.; Liu, X.; Shen, X.; Lv, J.; Hu, C.; Wang, Y.; Tan, W.; Sun, S.; Ma, Y.; et al. One step hydrothermal synthesis of Ni-MoS2-RGO bifunctional electrocatalysts for HER and OER. Int. J. Electrochem. Sci. 2021, 16, 210323. [Google Scholar] [CrossRef]
- Chen, L.X.; Chen, Z.W.; Wang, Y.; Yang, C.C.; Jiang, Q. Design of dual-modified MoS2 with nanoporous Ni and graphene as efficient catalysts for the hydrogen evolution reaction. ACS Catal. 2018, 8, 8107–8114. [Google Scholar] [CrossRef]
- Lin, C.; Gao, Z.; Jin, J. Boosting alkaline hydrogen evolution activity with Ni-doped MoS2/reduced graphene oxide hybrid aerogel. ChemSusChem 2019, 12, 457–466. [Google Scholar] [CrossRef]
- Yin, X.; Sun, G.; Song, A.; Wang, L.; Wang, Y.; Dong, H.; Shao, G. A novel structure of Ni-(MoS2/GO) composite coatings deposited on Ni foam under supergravity field as efficient hydrogen evolution reaction catalysts in alkaline solution. Electrochim. Acta 2017, 249, 52–63. [Google Scholar] [CrossRef]
- Sun, X.; Dai, J.; Guo, Y. Semimetallic molybdenum disulfide ultrathin nanosheets as an efficient electrocatalyst for hydrogen evolution. Nanoscale 2014, 6, 8359. [Google Scholar] [CrossRef] [PubMed]
- Wang, R.; Yang, Y.; Sun, Z. Ga doped Ni3S2 ultrathin nanosheet arrays supported on Ti3C2-MXene/Ni foam: An efficient and stable 3D electrocatalyst for oxygen evolution reaction. Int. J. Hydrogen Energy 2022, 47, 2958. [Google Scholar] [CrossRef]
- Ahmad, M.; Ahmed, E.; Zhang, Y. Preparation of highly efficient Al-doped ZnO photocatalyst by combustion synthesis. Curr. Appl. Phys. 2013, 13, 697. [Google Scholar] [CrossRef]
- Huang, Z.; Luo, W.; Ma, L. Dimeric [Mo2S12]2− cluster: A molecular analogue of MoS2 edges for superior hydrogen-evolution electrocatalysis. Angew. Chem. Int. Edit. 2015, 54, 1518. [Google Scholar] [CrossRef] [PubMed]
- Wu, L.; Xu, X.; Zhao, Y. Mn doped MoS2/reduced graphene oxide hybrid for enhanced hydrogen evolution. Appl. Surf. Sci. 2017, 425, 470–477. [Google Scholar] [CrossRef]
- Wang, D.; Zhang, X.; Shen, Y. Ni-doped MoS2 nanoparticles as highly active hydrogen evolution electrocatalysts. RSC Adv. 2016, 6, 56–61. [Google Scholar] [CrossRef]
- Yin, Y.; Han, J.; Zhang, Y. Contributions of phase, sulfur vacancies, and edges to the hydrogen evolution reaction catalytic activity of porous molybdenum disulfide nanosheets. J. Am. Chem. Soc. 2016, 138, 7965–7972. [Google Scholar] [CrossRef]
- Ye, J.; Yu, Z.; Chen, W. Ionic-liquid mediated synthesis of molybdenum disulfide/grapheme composites: An enhanced electrochemical hydrogen evolution catalyst. Int. J. Hydrogen Energy 2016, 41, 49–61. [Google Scholar] [CrossRef]
- Leyral, G.; Brillouet, S.; Rousseau, J. Effect of the presence of ionic liquid during the NiMoS bulk preparation in the transformation of decanoic acid. Appl. Catal. A-Gen. 2017, 532, 120–132. [Google Scholar] [CrossRef]
- Sahoo, M.; Ramaprabhu, S. One-pot environment-friendly synthesis of boron doped graphene-SnO2 for anodic performance in Li ion battery. Carbon 2018, 127, 27–35. [Google Scholar] [CrossRef]
- Zheng, X.J.; Chen, L.Y.; Wang, J.W.; Zhu, H.W.; He, W.Y. One-step synthesis and enhanced electrocatalytic hydrogen evolution performance of interlayer-expanded molybdenum disulfide. J. Mater. Eng. 2023, 51, 84–92. [Google Scholar]
- Zhou, L.; He, W.Y.; Chen, L.Y.; Zhu, H.W.; Chen, L.J.; Ling, H.; Zheng, X.J. Preparation of Sn, P co-doped MoS2 nanoflowers and their electrocatalytic hydrogen evolution performance. Mater. Rep. 2023, 37, 20–26. [Google Scholar]
- Yang, C.G.; Huang, R.; Wang, D.E.; Tian, Z.J. Electrocatalytic hydrogen evolution performance of nitrogen-doped molybdenum disulfide nanocatalysts. Chem. Ind. Eng. Prog. 2024, 43, 465–472. [Google Scholar]
- Wang, D.Z.; Yang, L.Y.Y.; Liu, R.Q.; Guo, T.; Fei, H.; Wu, Z.Z. Preparation and electrocatalytic hydrogen evolution performance of spherical hollow MoS2/WS2 heterostructures. Trans. Nonferrous Metal. Soc. 2023, 33, 1540–1549. [Google Scholar] [CrossRef]
- Jia, F.H.; Guo, Y.C.; Zou, X.Y.; Wei, X.L.; Bao, W.W.; Li, Y. Highly efficient electrocatalytic hydrogen evolution behavior of MoS2/Ni3S2/NF in all-pH range. Fine Chem. 2023, 40, 1994–2002. [Google Scholar]
Disclaimer/Publisher’s Note: The statements, opinions and data contained in all publications are solely those of the individual author(s) and contributor(s) and not of MDPI and/or the editor(s). MDPI and/or the editor(s) disclaim responsibility for any injury to people or property resulting from any ideas, methods, instructions or products referred to in the content. |
© 2025 by the authors. Licensee MDPI, Basel, Switzerland. This article is an open access article distributed under the terms and conditions of the Creative Commons Attribution (CC BY) license (https://creativecommons.org/licenses/by/4.0/).




















