Influence of Zeolite-A Doping and Solvent Mixing Ratio for Electrospun PVDF-Based Membranes
Abstract
1. Introduction
2. Results and Discussions
2.1. Morphology and Composition
2.2. Structural Properties
2.2.1. Raman Analysis
2.2.2. XRD Analysis
2.3. Textural and Surface Properties
2.4. Thermal Analysis
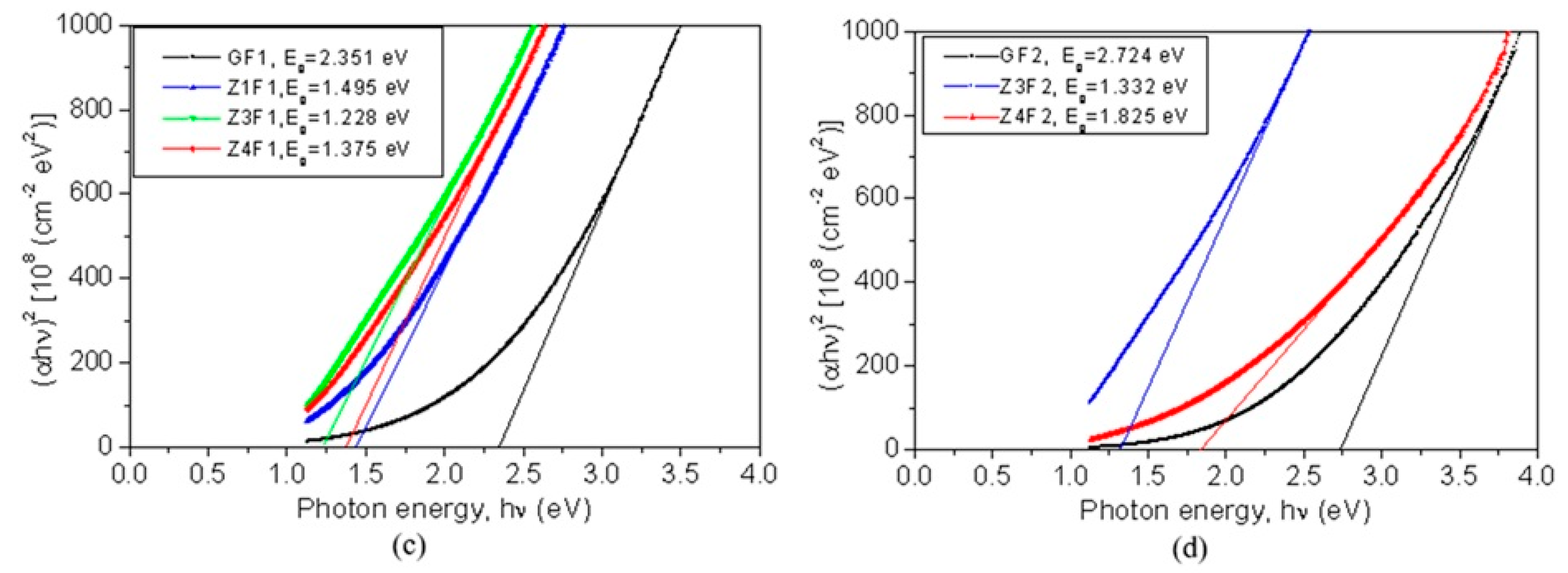
2.5. Optical Properties
2.6. Mechanical Properties
2.7. Methylene Blue Adsorption by Electrospun Membranes
3. Materials and Methods
4. Conclusions
Supplementary Materials
Author Contributions
Funding
Institutional Review Board Statement
Informed Consent Statement
Data Availability Statement
Acknowledgments
Conflicts of Interest
References
- Concha, V.O.C.; Timóteo, L.; Duarte, L.A.N.; Bahú, J.O.; Munoz, F.L.; Silva, A.P.; Lodi, L.; Severino, P.; León-Pulido, J.; Souto, E.B. Properties, Characterization and Biomedical Applications of Polyvinylidene Fluoride (PVDF): A Review. J. Mater. Sci. 2024, 59, 14185–14204. [Google Scholar] [CrossRef]
- Shao, W.; Li, J.; Zhang, Y.; Sun, N.; Wu, T.; Yan, M.; Liu, F.; Jiang, H.; Chen, X.; He, J. Polyvinylidene Fluoride Multi-Scale Nanofibrous Membrane Modified Using N-Halamine with High Filtration Efficiency and Durable Antibacterial Properties for Air Filtration. J. Colloid Interface Sci. 2022, 628, 627–636. [Google Scholar] [CrossRef]
- Fan, Q.; Liang, W.; Fan, T.T.; Li, X.; Yan, S.Y.; Yu, M.; Ning, X.; Long, Y.Z. Polyvinylidene Fluoride Composite Nanofibrous Filter for High-Efficiency PM2.5 Capture. Compos. Commun. 2020, 22, 100533. [Google Scholar] [CrossRef]
- Marshall, J.E.; Zhenova, A.; Roberts, S.; Petchey, T.; Zhu, P.; Dancer, C.E.J.; McElroy, C.R.; Kendrick, E.; Goodship, V. On the Solubility and Stability of Polyvinylidene Fluoride. Polymers 2021, 13, 1354. [Google Scholar] [CrossRef]
- Ekambaram, K.; Doraisamy, M. Fouling Resistant PVDF/Carboxymethyl Chitosan Composite Nanofiltration Membranes for Humic Acid Removal. Carbohydr. Polym. 2017, 173, 431–440. [Google Scholar] [CrossRef]
- Kong, J.; Li, K. Oil removal from oil-in-water emulsions using PVDF membranes. Sep. Purif. Technol. 1999, 16, 83–93. [Google Scholar] [CrossRef]
- Zhao, Z.; Zheng, J.; Wang, M.; Zhang, H.; Han, C.C. High Performance Ultrafiltration Membrane Based on Modified Chitosan Coating and Electrospun Nanofibrous PVDF Scaffolds. J. Membr. Sci. 2012, 394–395, 209–217. [Google Scholar] [CrossRef]
- Wang, Z.; Sahadevan, R.; Crandall, C.; Menkhaus, T.J.; Fong, H. Hot-Pressed PAN/PVDF Hybrid Electrospun Nanofiber Membranes for Ultrafiltration. J. Membr. Sci. 2020, 611, 118327. [Google Scholar] [CrossRef]
- Pascariu, P.; Cojocaru, C.; Samoila, P.; Olaru, N.; Bele, A.; Airinei, A. Novel Electrospun Membranes Based on PVDF Fibers Embedding Lanthanide Doped ZnO for Adsorption and Photocatalytic Degradation of Dye Organic Pollutants. Mater. Res. Bull. 2021, 141, 111376. [Google Scholar] [CrossRef]
- Gutiérrez-Fernández, E.; Sena-Fernández, J.; Rebollar, E.; Ezquerra, T.A.; Hermoso-Pinilla, F.J.; Sanz, M.; Gálvez, O.; Nogales, A. Development of polar phases in ferroelectric poly(vinylidene fluoride) (PVDF) nanoparticles. Polymer 2023, 264, 125540. [Google Scholar] [CrossRef]
- He, Z.; Rault, F.; Lewandowski, M.; Mohsenzadeh, E.; Salaün, F. Electrospun PVDF Nanofibers for Piezoelectric Applications: A Review of the Influence of Electrospinning Parameters on the β Phase and Crystallinity Enhancement. Polymers 2021, 13, 174. [Google Scholar] [CrossRef]
- Szewczyk, P.K.; Ura, D.P.; Stachewicz, U. Humidity Controlled Mechanical Properties of Electrospun Polyvinylidene Fluoride (Pvdf) Fibers. Fibers 2020, 8, 65. [Google Scholar] [CrossRef]
- Boschin, F.; Blanchemain, N.; Bria, E.; Delcourt-Debruyne, E.; Morcellet, M.; Hildebrand, H.F.; Martel, B. Improved Drug Delivery Properties of PVDF Membranes Functionalized with β-Cyclodextrin—Application to Guided Tissue Regeneration in Periodontology. J. Biomed. Mater. Res. A 2006, 79, 963–973. [Google Scholar] [CrossRef]
- Saxena, P.; Shukla, P. A comprehensive review on fundamental properties and applications of poly(vinylidene fluoride) (PVDF). Adv. Compos. Hybrid. Mater. 2021, 4, 8–26. [Google Scholar] [CrossRef]
- Low, Y.K.; Meenubharathi, N.; Niphadkar, N.D.; Boey, F.Y.; Ng, K.W. α- and β-poly(vinylidene fluoride) evoke different cellular behaviours. J. Biomater. Sci. Polym. Ed. 2011, 22, 1651–1667. [Google Scholar] [CrossRef]
- Li, K.; Hou, D.; Fu, C.; Wang, K.; Wang, J. Fabrication of PVDF Nanofibrous Hydrophobic Composite Membranes Reinforced with Fabric Substrates via Electrospinning for Membrane Distillation Desalination. J. Environ. Sci. 2019, 75, 277–288. [Google Scholar] [CrossRef]
- Gomez-Coma, L.; Garea, A.; Rouch, J.C.; Savart, T.; Lahitte, J.F.; Remigy, J.C.; Irabien, A. Membrane Modules for CO2 Capture Based on PVDF Hollow Fibers with Ionic Liquids Immobilized. J. Membr. Sci. 2016, 498, 218–226. [Google Scholar] [CrossRef]
- Rosman, N.; Wan Salleh, W.N.; Jamalludin, M.R.; Adam, M.R.; Ismail, N.H.; Jaafar, J.; Harun, Z.; Ismail, A.F. Electrospinning Parameters Evaluation of PVDF-ZnO/Ag2CO3/Ag2O Composite Nanofiber Affect on Porosity by Using Response Surface Methodology. Mater. Today Proc. 2020, 46, 1824–1830. [Google Scholar] [CrossRef]
- Chen, X.; Tougne, C.; Jiang, T.; Espindola-Rodriguez, M.; Zhao, Q.; Jia, Q.; Mendil-Jakani, H.; Jiang, J.; Zhang, W. Highly Oriented PVDF Molecular Chains for Enhanced Material Performance. Polymer 2022, 261, 125366. [Google Scholar] [CrossRef]
- Fontananova, E.; Bahattab, M.A.; Aljlil, S.A.; Alowairdy, M.; Rinaldi, G.; Vuono, D.; Nagy, J.B.; Drioli, E.; Di Profio, G. From Hydrophobic to Hydrophilic Polyvinylidenefluoride (PVDF) Membranes by Gaining New Insight into Material’s Properties. RSC Adv. 2015, 5, 56219–56231. [Google Scholar] [CrossRef]
- Gong, L.; Hao, Y.; Liu, H.; Xi, B.; Cao, Y. Enhancement of α to β phase transformation in poly (vinylidene fluoride) nanocomposites under uniaxial stretch: Contribution from restriction of nano-particles. Polym. Test. 2024, 138, 108516. [Google Scholar] [CrossRef]
- Shehata, N.; Nair, R.; Jain, A.; Gamal, M.; Hassanin, A.; Noman, S.; Shyha, I.; Kruczała, K.; Saad, M.; Kandas, I. Multifaceted enhancement of piezoelectricity and optical fluorescence in electrospun PVDF-ceria nanocomposite. Sci. Rep. 2025, 15, 14073. [Google Scholar] [CrossRef]
- Morali, A.; Mandal, A.; Skorobogatiy, M.; Bodkhe, S. Unleashing the piezoelectric potential of PVDF: A study on phase transformation from gamma (γ) to beta (β) phase through thermal contact poling. RSC Adv. 2023, 13, 31234–31242. [Google Scholar] [CrossRef]
- Liu, R.; Yang, J.; Zhang, R.; Li, H.; Mu, R. Performance comparison of nano-Al2O3-modified PVDF membranes fabricated via two methods for enhanced dye removal. RSC Adv. 2025, 15, 4163–4172. [Google Scholar] [CrossRef]
- Pietre, M.K.; Freitas, J.C.C. Fundamental studies on zeolite–adsorbate interactions: Designing a better aluminosilicate adsorbent for pollutants’ removal. Environ. Earth. Sci. 2022, 81, 17. [Google Scholar] [CrossRef]
- Zhang, Y.; Wang, Z.; Zhang, Z.; Wu, L.; Fan, Y.; Sun, Z. Synthesis, characterization and adsorption behaviors of Faujasite-type zeolites towards methylene blue. IOP Conf. Ser. Mater. Sci. Eng. 2019, 592, 012017. [Google Scholar] [CrossRef]
- Suryandari, E.T.; Kusuma, H.H. Modified PVDF Membrane with Zeolite as a Filler for Ultrafiltration Membrane. AIP Conf. Proc. 2023, 2614, 030013. [Google Scholar] [CrossRef]
- Katırcı, A.; Kahraman, S.; Nigiz, F.U. Production of natural zeolite-filled recycled PVDF filters and their application for gray water treatment. Environ. Sci. Water Res. Technol. 2025, 11, 639–654. [Google Scholar] [CrossRef]
- Pérez-Botella, E.; Valencia, S.; Rey, F. Zeolites in Adsorption Processes: State of the Art and Future Prospects. Chem. Rev. 2022, 122, 17647–17695. [Google Scholar] [CrossRef]
- Chimentão, R.J.; Dugarte-Dugarte, A.; Colmenares-Zerpa, J.; Ruiz, D. Room-Temperature CO2 Capture by a Zeolite-A Synthesized from Kaolin. Silicon 2025, 17, 2357–2379. [Google Scholar] [CrossRef]
- Gee, S.; Johnson, B.; Smith, A.L. Optimizing Electrospinning Parameters for Piezoelectric PVDF Nanofiber Membranes. J. Membr. Sci. 2018, 563, 804–812. [Google Scholar] [CrossRef]
- Lopes, A.C.; Ribeiro, C.; Sencadas, V.; Botelho, G.; Lanceros-Méndez, S. Effect of filler content on morphology and physical–chemical characteristics of poly(vinylidene fluoride)/NaY zeolite-filled membranes. J. Mater. Sci. 2014, 49, 3361–3370. [Google Scholar] [CrossRef]
- Chapron, D.; Rault, F.; Lemort, G.; Cochrane, C.; Devaux, E.; Campagne, C. In-situ Raman monitoring of the poly(vinylidene fluoride) crystalline structure during a melt-spinning process. J. Raman Spectrosc. 2021, 52, 1073–1079. [Google Scholar] [CrossRef]
- Yu, Y.; Xiong, G.; Li, C.; Xiao, F.S. Characterization of Aluminosilicate Zeolites by UV Raman Spectroscopy. Micropor. Mesopor. Mater. 2001, 46, 23–34. [Google Scholar] [CrossRef]
- Purushothaman, S.M.; Tronco, M.F.; Poncot, M.; Chitralekha, C.S.; Guigo, N.; Malfois, M.; Kalarikkal, N.; Thomas, S.; Royaud, I.; Rouxel, D. Quantifying the Crystalline Polymorphism in PVDF: Comparative Criteria Using DSC, WAXS, FT-IR, and Raman Spectroscopy. ACS Appl. Polym. Mater. 2024, 6, 8291–8305. [Google Scholar] [CrossRef]
- Resende, P.M.; Isasa, J.-D.; Hadziioannou, G.; Fleury, G. Deciphering TrFE Fingerprints in P(VDF-TrFE) by Raman Spectroscopy: Defect Quantification and Morphotropic Phase Boundary. Macromolecules 2023, 56, 9673–9684. [Google Scholar] [CrossRef]
- Gregorio, R. Determination of the α, β, and γ crystalline phases of poly(vinylidene fluoride) films prepared at different conditions. J. Appl. Polym. Sci. 2006, 100, 3272–3279. [Google Scholar] [CrossRef]
- Shepelin, N.A.; Fox, P.J.; Glushenkov, A.M.; Dicinoski, J.W.; Shapter, J.G.; Lussini, V.C.; Ellis, A.V. New developments in composites, copolymer technologies and processing techniques for flexible fluoropolymer piezoelectric generators for efficient energy harvesting. Energy Environ. Sci. 2019, 12, 1143–1176. [Google Scholar] [CrossRef]
- Guo, X.; Navrotsky, A. Hydration Dynamics in Zeolite A—An X-Ray Diffraction and Infrared Spectroscopic Study. Micropor. Mesopor. Mater. 2018, 268, 197–201. [Google Scholar] [CrossRef]
- Depla, A.; Verheyen, E.; Veyfeyken, A.; Gobechiya, E.; Hartmann, T.; Schaefer, R.; Martens, J.A.; Kirschhock, C.E.A. Zeolites X and A Crystallization Compared by Simultaneous UV/VIS-Raman and X-Ray Diffraction. Phys. Chem. Chem. Phys. 2011, 13, 13730–13737. [Google Scholar] [CrossRef]
- Nuamcharoen, P.; Kobayashi, T.; Potiyaraj, P. Influence of Volatile Solvents and Mixing Ratios of Binary Solvent Systems on Morphology and Performance of Electrospun Poly(vinylidene fluoride) Nanofibers. Polym. Int. 2021, 70, 1465–1477. [Google Scholar] [CrossRef]
- He, W.; Zhang, M.; Du, H.; Amrane, A.; Yu, H.; Liu, Y. Anchoring Nano-Zeolite NaX Particles on Polydopamine-Modified PVDF/PAN Electrospun Membranes for Enhancing Interception, Adsorption and Antifouling Performance. Colloids Surf. A 2023, 670, 131587. [Google Scholar] [CrossRef]
- Magdy, G.; Hassanin, A.H.; Kandas, I.; Shehata, N. PVDF nanostructures characterizations and techniques for enhanced piezoelectric response: A review. Mater. Chem. Phys. 2024, 325, 129760. [Google Scholar] [CrossRef]
- Shimada, H.; Abe, T.; Kawaguchi, D.; Tanaka, K. Poling-Induced Wettability Transition of a Uniaxially Oriented Poly(vinylidene fluoride) Film. Macromolecules 2024, 57, 9157–9166. [Google Scholar] [CrossRef]
- Marega, C.; Marigo, A. Influence of annealing and chain defects on the melting behaviour of poly(vinylidene fluoride). Eur. Polym. J. 2003, 39, 1713–1720. [Google Scholar] [CrossRef]
- Fan, Z.; Schwedes, M.; Schwaderer, J.; Beuermann, S.; Fischlschweiger, M. Molecular weight as a key for electroactive phase formation in poly(vinylidene fluoride). Mater. Res. Lett. 2022, 10, 271–277. [Google Scholar] [CrossRef]
- Shen, Y.; Lua, A.C. Preparation and characterization of mixed matrix membranes based on PVDF and three inorganic fillers (fumed nonporous silica, zeolite 4A and mesoporous MCM-41) for gas separation. Chem. Eng. J. 2012, 192, 201–210. [Google Scholar] [CrossRef]
- Rabadanova, A.; Magomedova, A.; Aga-Tagieva, S.; Ni, V.; Salnikov, V.; Selimov, D.; Omelyanchik, A.; Rodionova, V.; Isaev, A.; Rabadanov, M.; et al. Morphological and structural aspects in PVDF/CoFe2O4 membranes and their influence on piezocatalytic activity. Polym. Eng. Sci. 2025, 65, 2871–2892. [Google Scholar] [CrossRef]
- Huang, Y.; Rui, G.; Li, Q.; Allahyarov, E.; Li, R.; Fukuto, M.; Zhong, G.-J.; Xu, J.-Z.; Li, Z.-M.; Taylor, P.L.; et al. Enhanced piezoelectricity from highly polarizable oriented amorphous fractions in biaxially oriented poly(vinylidene fluoride) with pure β crystals. Nat. Commun. 2021, 12, 675. [Google Scholar] [CrossRef]
- Ismail, A.M.; Anter, A.; Ali, H. Selective adsorption of cationic azo dyes onto zeolite nanorod-based membranes prepared via laser ablation. J. Mater. Sci. Mater. Electron. 2021, 32, 19352–19367. [Google Scholar] [CrossRef]
- Xia, J.; Zheng, Z.; Guo, Y. Mechanically and electrically robust, electro-spun PVDF/PMMA blend films for durable triboelectric nanogenerators. Compos. Part A Appl. Sci. Manuf. 2022, 157, 106914. [Google Scholar] [CrossRef]
- Chan, M.K.; Tan, S.J.; Yeow, A.T.H.; Ng, S.C.; Lau, W.J. Zeolite-Based Poly(vinylidene fluoride) Ultrafiltration Membrane: Characterization and Molecular Weight Cut-Off Estimation with Support Vector Regression Modelling. Membranes 2024, 14, 91. [Google Scholar] [CrossRef]
- Ahmad, A.L.; Ideris, N.; Ooi, B.S.; Low, S.C.; Ismail, A. Morphology and polymorph study of a polyvinylidene fluoride (PVDF) membrane for protein binding: Effect of the dissolving temperature. Desalination 2011, 278, 318–324. [Google Scholar] [CrossRef]
- Huan, Y.; Li, Z.; Li, C.; Li, G. Adsorption performances of Methylene blue by poly(vinylidene fluoride)/MWCNT membranes via ultrasound-assisted phase inversion method. Desalination Water Treat. 2019, 163, 83–95. [Google Scholar] [CrossRef]
- Santos, M.G.; Paquini, L.D.; Quintela, P.H.L.; Profeti, L.P.R.; Giomaraes, D. Insights into Kinetics and Thermodynamics for Adsorption Methylene Blue Using Ecofriendly Zeolites Materials. ACS Omega 2025, 10, 20326–20340. [Google Scholar] [CrossRef] [PubMed]
- Arif, M.F.; Muhtar, S.A.; Siburian, C.; Marpaung, K.D.P.; Yulianto, N.; Abdi, F.F.; Taher, T.; Wasisto, H.S.; Rianjanu, A. Zeolite-PAN/PVDF composite nanofiber membranes for highly efficient and selective removal of cationic dyes from wastewater. CSCEE 2024, 10, 100806. [Google Scholar] [CrossRef]
- Obayomi, K.S.; Lau, S.Y.; Zahir, A.; Meunier, L.; Zhang, J.; Dada, A.O.; Rahman, M.M. Removing methylene blue from water: A study of sorption effectiveness onto nanoparticles-doped activated carbon. Chemosphere 2023, 313, 137533. [Google Scholar] [CrossRef] [PubMed]
- Patel, R.V.; Raj, G.B.; Chaubey, S.; Yadav, A. Investigation on the feasibility of recycled polyvinylidene difluoride polymer from used membranes for removal of methylene blue: Experimental and DFT studies. Water Sci. Technol. 2022, 86, 194–210. [Google Scholar] [CrossRef]
- Haryński, Ł.; Olejnik, A.; Grochowska, K.; Siuzdak, K. A Facile Method for Tauc Exponent and Corresponding Electronic Transitions Determination in Semiconductors Directly from UV–Vis Spectroscopy Data. Opt. Mater. 2022, 127, 112205. [Google Scholar] [CrossRef]
- Qing, Q.; Chen, S.-Y.; Hu, S.-Z.; Li, L.; Huang, T.; Zhang, N.; Wang, Y. Highly Efficient Photocatalytic Degradation of Organic Pollutants Using a Polyvinylidene Fluoride/Polyvinylpyrrolidone-Cuprous Oxide Composite Membrane. Langmuir 2024, 40, 1447–1460. [Google Scholar] [CrossRef]
- Peng, G.; Wang, L.; Li, F.; Luo, P. Structure and dielectric performance of poly(vinylidene fluoride)/organically modified montmorillonites nanocomposites. J. Elastom. Plast. 2015, 48, 251–265. [Google Scholar] [CrossRef]









| Code | DMF–Acetone | Zeolite (wt.%) | SBET (m2/g) | Total Pore Volume (cm3/g) |
|---|---|---|---|---|
| GF1 | 70:30 | 0 | 9.5 | 0.063 |
| Z1F1 | 70:30 | 1 | 7.1 | 0.024 |
| Z3F1 | 70:30 | 3 | 7.5 | 0.023 |
| Z4F1 | 70:30 | 4 | 8.5 | 0.020 |
| GF2 | 30:70 | 0 | 9.7 | 0.024 |
| Z3F2 | 30:70 | 3 | 10.8 | 0.025 |
| Z4F2 | 30:70 | 4 | 8.9 | 0.025 |
| Model | Parameters | GF1 | Z1F1 | Z3F1 | Z4F1 | GF2 |
|---|---|---|---|---|---|---|
| PFO | qe (mg/g) | 2.75373 ± 0.1560 | 4.2968 ± 0.2213 | 10.1003 ± 0.5387 | 18.4422 ± 1.0284 | 3.8112 ± 0.1642 |
| k1 (min−1) | 1.8518 ± 0.4416 | 1.6066 ± 0.3254 | 1.9918 ± 0.4646 | 2.1226 ± 0.5673 | 2.3428 ± 0.4862 | |
| R2 | 0.9554 | 0.9649 | 0.9596 | 0.9499 | 0.9720 | |
| PSO | qe (mg/g) | 2.8828 ± 0.1142 | 4.5124 ± 0.1339 | 10.6300 ± 0.3419 | 18.4701 ± 0.6086 | 4.0091 ± 0.0727 |
| k2 (g/mg/min) | 1.9339 ± 0.4161 | 0.6068 ± 0.0100 | 0.3299 ± 0.0637 | 0.1950 ± 0.0388 | 1.0651 ± 0.1365 | |
| R2 | 0.9818 | 0.9900 | 0.9879 | 0.9872 | 0.9996 |
Disclaimer/Publisher’s Note: The statements, opinions and data contained in all publications are solely those of the individual author(s) and contributor(s) and not of MDPI and/or the editor(s). MDPI and/or the editor(s) disclaim responsibility for any injury to people or property resulting from any ideas, methods, instructions or products referred to in the content. |
© 2025 by the authors. Licensee MDPI, Basel, Switzerland. This article is an open access article distributed under the terms and conditions of the Creative Commons Attribution (CC BY) license (https://creativecommons.org/licenses/by/4.0/).
Share and Cite
Procop, I.; Mușat, V.; Anghel, E.M.; Țigău, N.; Stan, F.; Atkinson, I.; Culiță, D.C.; Ceoromila, A.C.; Herbei, E.E.; Piticescu, R.-R.; et al. Influence of Zeolite-A Doping and Solvent Mixing Ratio for Electrospun PVDF-Based Membranes. Molecules 2025, 30, 4353. https://doi.org/10.3390/molecules30224353
Procop I, Mușat V, Anghel EM, Țigău N, Stan F, Atkinson I, Culiță DC, Ceoromila AC, Herbei EE, Piticescu R-R, et al. Influence of Zeolite-A Doping and Solvent Mixing Ratio for Electrospun PVDF-Based Membranes. Molecules. 2025; 30(22):4353. https://doi.org/10.3390/molecules30224353
Chicago/Turabian StyleProcop, Ionut, Viorica Mușat, Elena Maria Anghel, Nicolae Țigău, Felicia Stan, Irina Atkinson, Daniela Cristina Culiță, Alina Cantaragiu Ceoromila, Emanuela Elena Herbei, Radu-Robert Piticescu, and et al. 2025. "Influence of Zeolite-A Doping and Solvent Mixing Ratio for Electrospun PVDF-Based Membranes" Molecules 30, no. 22: 4353. https://doi.org/10.3390/molecules30224353
APA StyleProcop, I., Mușat, V., Anghel, E. M., Țigău, N., Stan, F., Atkinson, I., Culiță, D. C., Ceoromila, A. C., Herbei, E. E., Piticescu, R.-R., Ioniță, G., & Petrică, A. (2025). Influence of Zeolite-A Doping and Solvent Mixing Ratio for Electrospun PVDF-Based Membranes. Molecules, 30(22), 4353. https://doi.org/10.3390/molecules30224353

