Encapsulation of a Highly Acid-Stable Dicyano-Bodipy in Zr-Based Metal–Organic Frameworks with Increased Fluorescence Lifetime and Quantum Yield Within the Solid Solution Concept
Abstract
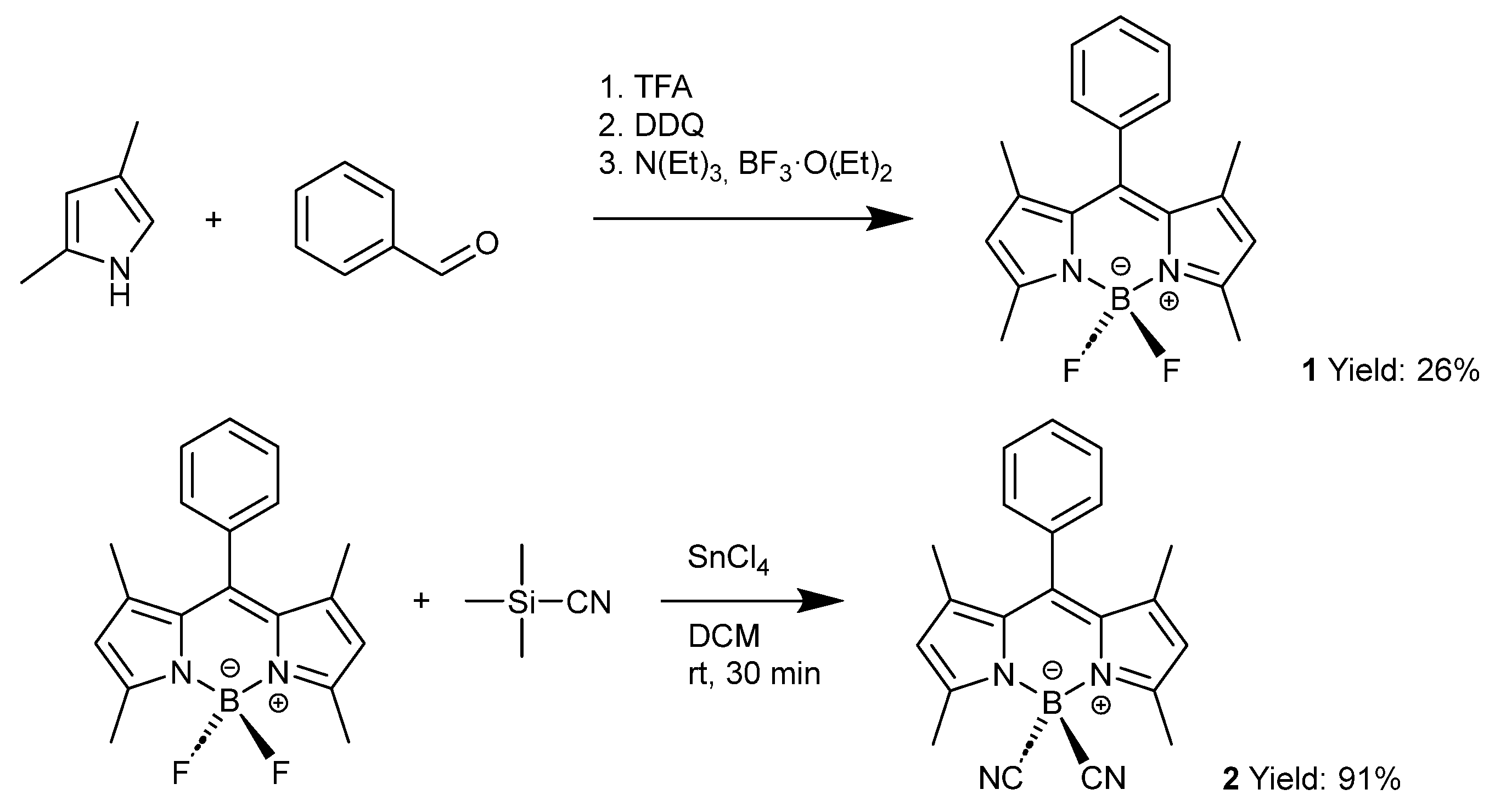
1. Introduction
2. Results and Discussion
2.1. Composite 2@UiO-66
2.2. Composites 2@MOF-808, 2@DUT-67 and 2@MIP-206
3. Conclusions
Supplementary Materials
Author Contributions
Funding
Institutional Review Board Statement
Informed Consent Statement
Data Availability Statement
Acknowledgments
Conflicts of Interest
References
- Gangu, K.K.; Maddila, S.; Mukkamala, S.B.; Jonnalagadda, S.B. A review on contemporary Metal–Organic Framework materials. Inorganica Chim. Acta 2016, 446, 61–74. [Google Scholar] [CrossRef]
- Honicke, I.M.; Senkovska, I.; Bon, V.; Baburin, I.A.; Bonisch, N.; Raschke, S.; Evans, J.D.; Kaskel, S. Balancing Mechanical Stability and Ultrahigh Porosity in Crystalline Framework Materials. Angew. Chem. Int. Ed. 2018, 57, 13780–13783. [Google Scholar] [CrossRef]
- Schaate, A.; Roy, P.; Godt, A.; Lippke, J.; Waltz, F.; Wiebcke, M.; Behrens, P. Modulated synthesis of Zr-based metal-organic frameworks: From nano to single crystals. Chem. Eur. J. 2011, 17, 6643–6651. [Google Scholar] [CrossRef] [PubMed]
- Ren, J.; Musyoka, N.M.; Langmi, H.W.; Segakweng, T.; North, B.C.; Mathe, M.; Kang, X. Modulated synthesis of chromium-based metal-organic framework (MIL-101) with enhanced hydrogen uptake. Int. J. Hydrogen Energy 2014, 39, 12018–12023. [Google Scholar] [CrossRef]
- Bagherzadeh, E.; Zebarjad, S.M.; Hosseini, H.R.M. Morphology Modification of the Iron Fumarate MIL—88A Metal–Organic Framework Using Formic Acid and Acetic Acid as Modulators. Eur. J. Inorg. Chem. 2018, 2018, 1909–1915. [Google Scholar] [CrossRef]
- Li, M.; Zhou, H.; Zhang, L.; Han, J.; Wang, G.; Fan, F.; Wang, T.; Zhang, X.; Fu, Y. Size and morphology control of two-dimensional metal-organic frameworks through coordination modulation. Microporous Mesoporous Mater. 2023, 348, 112379. [Google Scholar] [CrossRef]
- Yang, P.; Huang, Y.; Zhang, Z.W.; Li, N.; Fan, Y. Shape-controlled synthesis of the metal-organic framework MIL-125 towards a highly enhanced catalytic performance for the oxidative desulfurization of 4,6-dimethyldibenzothiophene. Dalton Trans. 2020, 49, 10052–10057. [Google Scholar] [CrossRef]
- Liu, Y.; Liu, S.; He, D.; Li, N.; Ji, Y.; Zheng, Z.; Luo, F.; Liu, S.; Shi, Z.; Hu, C. Crystal Facets Make a Profound Difference in Polyoxometalate-Containing Metal-Organic Frameworks as Catalysts for Biodiesel Production. J. Am. Chem. Soc. 2015, 137, 12697–12703. [Google Scholar] [CrossRef]
- Cai, G.; Jiang, H.L. A Modulator-Induced Defect-Formation Strategy to Hierarchically Porous Metal-Organic Frameworks with High Stability. Angew. Chem. Int. Ed. 2017, 56, 563–567. [Google Scholar] [CrossRef]
- Epley, C.C.; Love, M.D.; Morris, A.J. Characterizing Defects in a UiO-AZB Metal-Organic Framework. Inorg. Chem. 2017, 56, 13777–13784. [Google Scholar] [CrossRef]
- Chung, Y.G.; Camp, J.; Haranczyk, M.; Sikora, B.J.; Bury, W.; Krungleviciute, V.; Yildirim, T.; Farha, O.K.; Sholl, D.S.; Snurr, R.Q. Computation-Ready, Experimental Metal–Organic Frameworks: A Tool To Enable High-Throughput Screening of Nanoporous Crystals. Chem. Mater. 2014, 26, 6185–6192. [Google Scholar] [CrossRef]
- Eddaoudi, M.; Kim, J.; Rosi, N.; Vodak, D.; Wachter, J.; O’Keeffe, M.; Yaghi, O.M. Systematic design of pore size and functionality in isoreticular MOFs and their application in methane storage. Science 2002, 295, 469–472. [Google Scholar] [CrossRef] [PubMed]
- Yuan, S.; Feng, L.; Wang, K.; Pang, J.; Bosch, M.; Lollar, C.; Sun, Y.; Qin, J.; Yang, X.; Zhang, P.; et al. Stable Metal-Organic Frameworks: Design, Synthesis, and Applications. Adv. Mater. 2018, 30, 1704303. [Google Scholar] [CrossRef] [PubMed]
- Lu, W.; Wei, Z.; Gu, Z.Y.; Liu, T.F.; Park, J.; Park, J.; Tian, J.; Zhang, M.; Zhang, Q.; Gentle, T., 3rd; et al. Tuning the structure and function of metal-organic frameworks via linker design. Chem. Soc. Rev. 2014, 43, 5561–5593. [Google Scholar] [CrossRef] [PubMed]
- Mai, Z.; Liu, D. Synthesis and Applications of Isoreticular Metal–Organic Frameworks IRMOFs-n (n = 1, 3, 6, 8). Cryst. Growth Des. 2019, 19, 7439–7462. [Google Scholar] [CrossRef]
- Fan, W.; Zhang, X.; Kang, Z.; Liu, X.; Sun, D. Isoreticular chemistry within metal–organic frameworks for gas storage and separation. Coord. Chem. Rev. 2021, 443, 213968. [Google Scholar] [CrossRef]
- Empel, C.; Fetzer, M.N.A.; Sasmal, S.; Strothmann, T.; Janiak, C.; Koenigs, R.M. Unlocking catalytic potential: A rhodium(II)-based coordination polymer for efficient carbene transfer reactions with donor/acceptor diazoalkanes. Chem. Commun. 2024, 60, 7327–7330. [Google Scholar] [CrossRef]
- Jin, J.; Wan, S.; Lee, S.; Oh, C.; Jang, G.Y.; Zhang, K.; Lu, Z.; Park, J.H. Tailoring the Nanoporosity and Photoactivity of Metal-Organic Frameworks with Rigid Dye Modulators for Toluene Purification. Small 2023, 19, 2302776. [Google Scholar] [CrossRef]
- Vasconcelos, I.B.; Silva, T.G.d.; Militão, G.C.G.; Soares, T.A.; Rodrigues, N.M.; Rodrigues, M.O.; Costa, N.B.d.; Freire, R.O.; Junior, S.A. Cytotoxicity and slow release of the anti-cancer drug doxorubicin from ZIF-8. RSC Adv. 2012, 2, 9437–9442. [Google Scholar] [CrossRef]
- Javanbakht, S.; Pooresmaeil, M.; Namazi, H. Green one-pot synthesis of carboxymethylcellulose/Zn-based metal-organic framework/graphene oxide bio-nanocomposite as a nanocarrier for drug delivery system. Carbohydr. Polym. 2019, 208, 294–301. [Google Scholar] [CrossRef]
- Wu, X.; Bao, Z.; Yuan, B.; Wang, J.; Sun, Y.; Luo, H.; Deng, S. Microwave synthesis and characterization of MOF-74 (M = Ni, Mg) for gas separation. Microporous Mesoporous Mater. 2013, 180, 114–122. [Google Scholar] [CrossRef]
- Dechnik, J.; Nuhnen, A.; Janiak, C. Mixed-Matrix Membranes of the Air-Stable MOF-5 Analogue [Co4(μ4-O)(Me2pzba)3] with a Mixed-Functional Pyrazolate-Carboxylate Linker for CO2/CH4 Separation. Cryst. Growth Des. 2017, 17, 4090–4099. [Google Scholar] [CrossRef]
- Adil, K.; Belmabkhout, Y.; Pillai, R.S.; Cadiau, A.; Bhatt, P.M.; Assen, A.H.; Maurin, G.; Eddaoudi, M. Gas/vapour separation using ultra-microporous metal-organic frameworks: Insights into the structure/separation relationship. Chem. Soc. Rev. 2017, 46, 3402–3430. [Google Scholar] [CrossRef]
- Gökpinar, S.; Ernst, S.-J.; Hastürk, E.; Möllers, M.; El Aita, I.; Wiedey, R.; Tannert, N.; Nießing, S.; Abdpour, S.; Schmitz, A.; et al. Air-Con Metal–Organic Frameworks in Binder Composites for Water Adsorption Heat Transformation Systems. Ind. Eng. Chem. Res. 2019, 58, 21493–21503. [Google Scholar] [CrossRef]
- Hanikel, N.; Pei, X.; Chheda, S.; Lyu, H.; Jeong, W.; Sauer, J.; Gagliardi, L.; Yaghi, O.M. Evolution of water structures in metal-organic frameworks for improved atmospheric water harvesting. Science 2021, 374, 454–459. [Google Scholar] [CrossRef] [PubMed]
- Terzis, A.; Ramachandran, A.; Wang, K.; Asheghi, M.; Goodson, K.E.; Santiago, J.G. High-Frequency Water Vapor Sorption Cycling Using Fluidization of Metal-Organic Frameworks. Cell Rep. Phys. Sci. 2020, 1, 100057. [Google Scholar] [CrossRef]
- Zhang, N.; Zhang, D.; Zhao, J.; Xia, Z. Fabrication of a dual-emitting dye-encapsulated metal-organic framework as a stable fluorescent sensor for metal ion detection. Dalton Trans. 2019, 48, 6794–6799. [Google Scholar] [CrossRef] [PubMed]
- Knedel, T.O.; Buss, S.; Maisuls, I.; Daniliuc, C.G.; Schlusener, C.; Brandt, P.; Weingart, O.; Vollrath, A.; Janiak, C.; Strassert, C.A. Encapsulation of Phosphorescent Pt(II) Complexes in Zn-Based Metal-Organic Frameworks toward Oxygen-Sensing Porous Materials. Inorg. Chem. 2020, 59, 7252–7264. [Google Scholar] [CrossRef]
- Ma, M.; Gross, A.; Zacher, D.; Pinto, A.; Noei, H.; Wang, Y.; Fischer, R.A.; Metzler-Nolte, N. Use of confocal fluorescence microscopy to compare different methods of modifying metal–organic framework (MOF) crystals with dyes. CrystEngComm 2011, 13, 2828–2832. [Google Scholar] [CrossRef]
- Yin, J.C.; Chang, Z.; Li, N.; He, J.; Fu, Z.X.; Bu, X.H. Efficient Regulation of Energy Transfer in a Multicomponent Dye-Loaded MOF for White-Light Emission Tuning. ACS Appl. Mater. Interfaces 2020, 12, 51589–51597. [Google Scholar] [CrossRef]
- Chen, W.; Zhuang, Y.; Wang, L.; Lv, Y.; Liu, J.; Zhou, T.L.; Xie, R.J. Color-Tunable and High-Efficiency Dye-Encapsulated Metal-Organic Framework Composites Used for Smart White-Light-Emitting Diodes. ACS Appl. Mater. Interfaces 2018, 10, 18910–18917. [Google Scholar] [CrossRef]
- Tang, Y.; Xia, T.; Song, T.; Cui, Y.; Yang, Y.; Qian, G. Efficient Energy Transfer within Dyes Encapsulated Metal–Organic Frameworks to Achieve High Performance White Light—Emitting Diodes. Adv. Opt. Mater. 2018, 6, 1800968. [Google Scholar] [CrossRef]
- He, T.; Kong, X.J.; Li, J.R. Chemically Stable Metal-Organic Frameworks: Rational Construction and Application Expansion. Acc. Chem. Res. 2021, 54, 3083–3094. [Google Scholar] [CrossRef]
- Kim, J.Y.; Kang, J.; Cha, S.; Kim, H.; Kim, D.; Kang, H.; Choi, I.; Kim, M. Stability of Zr-Based UiO-66 Metal-Organic Frameworks in Basic Solutions. Nanomaterials 2024, 14, 110. [Google Scholar] [CrossRef]
- Glembockyte, V.; Frenette, M.; Mottillo, C.; Durantini, A.M.; Gostick, J.; Strukil, V.; Friscic, T.; Cosa, G. Highly Photostable and Fluorescent Microporous Solids Prepared via Solid-State Entrapment of Boron Dipyrromethene Dyes in a Nascent Metal-Organic Framework. J. Am. Chem. Soc. 2018, 140, 16882–16887. [Google Scholar] [CrossRef]
- Oh, J.S.; Park, K.C.; Gupta, G.; Lee, C.Y. Complementary Chromophore Decoration in NU-1000 via Solvent-Assisted Ligands Incorporation: Efficient Energy Transfer within the Metal-Organic Frameworks. Bull. Korean Chem. Soc. 2019, 40, 128–133. [Google Scholar] [CrossRef]
- Treibs, A.; Kreuzer, F.H. Difluorboryl-Komplexe von Di- und Tripyrrylmethenen. Justus Liebigs Ann. Chem. 1968, 718, 208–223. [Google Scholar] [CrossRef]
- Duan, C.; Zhou, Y.; Shan, G.-G.; Chen, Y.; Zhao, W.; Yuan, D.; Zeng, L.; Huang, X.; Niu, G. Bright solid-state red-emissive BODIPYs: Facile synthesis and their high-contrast mechanochromic properties. J. Mater. Chem. C 2019, 7, 3471–3478. [Google Scholar] [CrossRef]
- Gibbs, J.H.; Robins, L.T.; Zhou, Z.; Bobadova-Parvanova, P.; Cottam, M.; McCandless, G.T.; Fronczek, F.R.; Vicente, M.G. Spectroscopic, computational modeling and cytotoxicity of a series of meso-phenyl and meso-thienyl-BODIPYs. Bioorganic Med. Chem. 2013, 21, 5770–5781. [Google Scholar] [CrossRef] [PubMed]
- Tang, F.K.; Zhu, J.; Kong, F.K.; Ng, M.; Bian, Q.; Yam, V.W.; Tse, A.K.; Tse, Y.C.; Leung, K.C. A BODIPY-based fluorescent sensor for the detection of Pt2+ and Pt drugs. Chem. Commun. 2020, 56, 2695–2698. [Google Scholar] [CrossRef] [PubMed]
- Dorh, N.; Zhu, S.; Dhungana, K.B.; Pati, R.; Luo, F.T.; Liu, H.; Tiwari, A. BODIPY-Based Fluorescent Probes for Sensing Protein Surface-Hydrophobicity. Sci. Rep. 2015, 5, 18337. [Google Scholar] [CrossRef]
- Guan, Q.; Fu, D.D.; Li, Y.A.; Kong, X.M.; Wei, Z.Y.; Li, W.Y.; Zhang, S.J.; Dong, Y.B. BODIPY-Decorated Nanoscale Covalent Organic Frameworks for Photodynamic Therapy. iScience 2019, 14, 180–198. [Google Scholar] [CrossRef]
- Schneider, L.; Kalt, M.; Koch, S.; Sithamparanathan, S.; Villiger, V.; Mattiat, J.; Kradolfer, F.; Slyshkina, E.; Luber, S.; Bonmarin, M.; et al. BODIPY-Based Photothermal Agents with Excellent Phototoxic Indices for Cancer Treatment. J. Am. Chem. Soc. 2023, 145, 4534–4544. [Google Scholar] [CrossRef]
- Mack, J.; Kubheka, G.; May, A.; Ngoy, B.P.; Nyokong, T. BODIPY dyes for optical limiting applications on the nanosecond timescale. Dalton Trans. 2024, 53, 17766–17771. [Google Scholar] [CrossRef]
- Karaman, O.; Almammadov, T.; Emre Gedik, M.; Gunaydin, G.; Kolemen, S.; Gunbas, G. Mitochondria-Targeting Selenophene-Modified BODIPY-Based Photosensitizers for the Treatment of Hypoxic Cancer Cells. ChemMedChem 2019, 14, 1879–1886. [Google Scholar] [CrossRef]
- Wang, X.F.; Yu, S.S.; Wang, C.; Xue, D.; Xiao, J. BODIPY catalyzed amide synthesis promoted by BHT and air under visible light. Org. Biomol. Chem. 2016, 14, 7028–7037. [Google Scholar] [CrossRef] [PubMed]
- Liras, M.; Iglesias, M.; Sánchez, F. Conjugated Microporous Polymers Incorporating BODIPY Moieties as Light-Emitting Materials and Recyclable Visible-Light Photocatalysts. Macromolecules 2016, 49, 1666–1673. [Google Scholar] [CrossRef]
- Stachelek, P.; Alsimaree, A.A.; Alnoman, R.B.; Harriman, A.; Knight, J.G. Thermally-Activated, Delayed Fluorescence in O,B,O- and N,B,O-Strapped Boron Dipyrromethene Derivatives. J. Phys. Chem. A 2017, 121, 2096–2107. [Google Scholar] [CrossRef]
- Fan, Y.; Zhang, J.; Hong, Z.; Qiu, H.; Li, Y.; Yin, S. Architectures and Applications of BODIPY-Based Conjugated Polymers. Polymers 2020, 13, 75. [Google Scholar] [CrossRef]
- Caruso, E.; Gariboldi, M.; Sangion, A.; Gramatica, P.; Banfi, S. Synthesis, photodynamic activity, and quantitative structure-activity relationship modelling of a series of BODIPYs. J. Photochem. Photobiol. B 2017, 167, 269–281. [Google Scholar] [CrossRef]
- Nguyen, A.L.; Wang, M.; Bobadova-Parvanova, P.; Do, Q.; Zhou, Z.; Fronczek, F.R.; Smith, K.M.; Vicente, M.G.H. Synthesis and properties ofB-cyano-BODIPYs. J. Porphyr. Phthalocyanines 2016, 20, 1409–1419. [Google Scholar] [CrossRef]
- Katz, M.J.; Brown, Z.J.; Colon, Y.J.; Siu, P.W.; Scheidt, K.A.; Snurr, R.Q.; Hupp, J.T.; Farha, O.K. A facile synthesis of UiO-66, UiO-67 and their derivatives. Chem. Commun. 2013, 49, 9449–9451. [Google Scholar] [CrossRef]
- Reinsch, H.; Waitschat, S.; Chavan, S.M.; Lillerud, K.P.; Stock, N. A Facile “Green” Route for Scalable Batch Production and Continuous Synthesis of Zirconium MOFs. Eur. J. Inorg. Chem. 2016, 2016, 4490–4498. [Google Scholar] [CrossRef]
- Wang, S.; Chen, L.; Wahiduzzaman, M.; Tissot, A.; Zhou, L.; Ibarra, I.A.; Gutiérrez-Alejandre, A.; Lee, J.S.; Chang, J.-S.; Liu, Z.; et al. A Mesoporous Zirconium-Isophthalate Multifunctional Platform. Matter 2021, 4, 182–194. [Google Scholar] [CrossRef]
- Jiang, J.; Yaghi, O.M. Bronsted acidity in metal-organic frameworks. Chem. Rev. 2015, 115, 6966–6997. [Google Scholar] [CrossRef] [PubMed]
- Wang, M.; Vicente, M.G.H.; Mason, D.; Bobadova-Parvanova, P. Stability of a Series of BODIPYs in Acidic Conditions: An Experimental and Computational Study into the Role of the Substituents at Boron. ACS Omega 2018, 3, 5502–5510. [Google Scholar] [CrossRef] [PubMed]
- Zhang, G.; Wang, M.; Fronczek, F.R.; Smith, K.M.; Vicente, M.G.H. Lewis-Acid-Catalyzed BODIPY Boron Functionalization Using Trimethylsilyl Nucleophiles. Inorg. Chem. 2018, 57, 14493–14496. [Google Scholar] [CrossRef] [PubMed]
- Manzano, H.; Esnal, I.; Marqués-Matesanz, T.; Bañuelos, J.; López-Arbeloa, I.; Ortiz, M.J.; Cerdán, L.; Costela, A.; García-Moreno, I.; Chiara, J.L. Unprecedented J-Aggregated Dyes in Pure Organic Solvents. Adv. Funct. Mater. 2016, 26, 2756–2769. [Google Scholar] [CrossRef]
- Marfin, Y.S.; Banakova, E.A.; Merkushev, D.A.; Usoltsev, S.D.; Churakov, A.V. Effects of Concentration on Aggregation of BODIPY-Based Fluorescent Dyes Solution. J. Fluoresc. 2020, 30, 1611–1621. [Google Scholar] [CrossRef]
- Ryu, U.; Lee, H.S.; Park, K.S.; Choi, K.M. The rules and roles of metal-organic framework in combination with molecular dyes. Polyhedron 2018, 154, 275–294. [Google Scholar] [CrossRef]
- Slawek, A.; Jajko, G.; Ogorzaly, K.; Dubbeldam, D.; Vlugt, T.J.H.; Makowski, W. The Influence of UiO-66 Metal-Organic Framework Structural Defects on Adsorption and Separation of Hexane Isomers. Chem. Eur. J. 2022, 28, e202200030. [Google Scholar] [CrossRef]
- Bárcia, P.S.; Guimarães, D.; Mendes, P.A.P.; Silva, J.A.C.; Guillerm, V.; Chevreau, H.; Serre, C.; Rodrigues, A.E. Reverse shape selectivity in the adsorption of hexane and xylene isomers in MOF UiO-66. Microporous Mesoporous Mater. 2011, 139, 67–73. [Google Scholar] [CrossRef]
- D’Amato, R.; Bondi, R.; Moghdad, I.; Marmottini, F.; McPherson, M.J.; Naïli, H.; Taddei, M.; Costantino, F. “Shake ‘n Bake” Route to Functionalized Zr-UiO-66 Metal-Organic Frameworks. Inorg. Chem. 2021, 60, 14294–14301. [Google Scholar] [CrossRef] [PubMed]
- Guillerm, V.; Gross, S.; Serre, C.; Devic, T.; Bauer, M.; Ferey, G. A zirconium methacrylate oxocluster as precursor for the low-temperature synthesis of porous zirconium(IV) dicarboxylates. Chem. Commun. 2010, 46, 767–769. [Google Scholar] [CrossRef]
- Shearer, G.C.; Chavan, S.; Bordiga, S.; Svelle, S.; Olsbye, U.; Lillerud, K.P. Defect Engineering: Tuning the Porosity and Composition of the Metal–Organic Framework UiO-66 via Modulated Synthesis. Chem. Mater. 2016, 28, 3749–3761. [Google Scholar] [CrossRef]
- Grabowski, Z.R.; Dobkowski, J. Twisted Intramolecular Charge-Transfer (Tict) Excited-States—Energy and Molecular-Structure. Pure Appl. Chem. 1983, 55, 245–252. [Google Scholar] [CrossRef]
- Sasaki, S.; Drummen, G.P.C.; Konishi, G. Recent advances in twisted intramolecular charge transfer (TICT) fluorescence and related phenomena in materials chemistry. J. Mater. Chem. C 2016, 4, 2731–2743. [Google Scholar] [CrossRef]
- Puschel, D.; Hede, S.; Maisuls, I.; Hofert, S.P.; Woschko, D.; Kuhnemuth, R.; Felekyan, S.; Seidel, C.A.M.; Czekelius, C.; Weingart, O.; et al. Enhanced Solid-State Fluorescence of Flavin Derivatives by Incorporation in the Metal-Organic Frameworks MIL-53(Al) and MOF-5. Molecules 2023, 28, 2877. [Google Scholar] [CrossRef]
- Rodrigues, A.C.B.; Wetterling, D.; Scherf, U.; Seixas de Melo, J.S. Tuning J-aggregate Formation and Emission Efficiency in Cationic Diazapentacenium Dyes. Chem. Eur. J. 2021, 27, 7826–7830. [Google Scholar] [CrossRef]
- Xiong, T.; Zhang, Y.; Amin, N.; Tan, J.C. A Luminescent Guest@MOF Nanoconfined Composite System for Solid-State Lighting. Molecules 2021, 26, 7583. [Google Scholar] [CrossRef]
- Gutierrez, M.; Zhang, Y.; Tan, J.C. Confinement of Luminescent Guests in Metal-Organic Frameworks: Understanding Pathways from Synthesis and Multimodal Characterization to Potential Applications of LG@MOF Systems. Chem. Rev. 2022, 122, 10438–10483. [Google Scholar] [CrossRef]
- Schrimpf, W.; Jiang, J.C.; Ji, Z.; Hirschle, P.; Lamb, D.C.; Yaghi, O.M.; Wuttke, S. Chemical diversity in a metal-organic framework revealed by fluorescence lifetime imaging. Nat. Commun. 2018, 9, 1647. [Google Scholar] [CrossRef] [PubMed]
- Furukawa, H.; Gandara, F.; Zhang, Y.B.; Jiang, J.; Queen, W.L.; Hudson, M.R.; Yaghi, O.M. Water adsorption in porous metal-organic frameworks and related materials. J. Am. Chem. Soc. 2014, 136, 4369–4381. [Google Scholar] [CrossRef] [PubMed]
- Bon, V.; Senkovska, I.; Baburin, I.A.; Kaskel, S. Zr- and Hf-Based Metal–Organic Frameworks: Tracking Down the Polymorphism. Cryst. Growth Des. 2013, 13, 1231–1237. [Google Scholar] [CrossRef]
- Valverde, A.; Tovar, G.I.; Rio-López, N.A.; Torres, D.; Rosales, M.; Wuttke, S.; Fidalgo-Marijuan, A.; Porro, J.M.; Jiménez-Ruiz, M.; García Sakai, V.; et al. Designing Metal-Chelator-like Traps by Encoding Amino Acids in Zirconium-Based Metal–Organic Frameworks. Chem. Mater. 2022, 34, 9666–9684. [Google Scholar] [CrossRef]
- Winters, W.M.W.; Zhou, C.; Hou, J.; Diaz-Lopez, M.; Bennett, T.D.; Yue, Y. Order-to-Disorder Transition in a Zirconium-Based Metal–Organic Framework. Chem. Mater. 2024, 36, 8400–8411. [Google Scholar] [CrossRef]
- Drache, F.; Bon, V.; Senkovska, I.; Marschelke, C.; Synytska, A.; Kaskel, S. Postsynthetic Inner-Surface Functionalization of the Highly Stable Zirconium-Based Metal-Organic Framework DUT-67. Inorg. Chem. 2016, 55, 7206–7213. [Google Scholar] [CrossRef]
- Liu, Q.; Chen, X.; Wu, J.; Zhang, L.; He, G.; Tian, S.; Zhao, X. Enhanced Luminescence of Dye-Decorated ZIF-8 Composite Films via Controllable D-A Interactions for White Light Emission. Langmuir 2023, 39, 3656–3667. [Google Scholar] [CrossRef]
- Yu, J.; Cheng, Y.; Zhang, X.; Zhou, L.; Song, Z.; Nezamzadeh-Ejhieh, A.; Huang, Y. Application progress of nano-platforms based on metal-organic frameworks (MOFs) in modern agriculture. J. Environ. Chem. Eng. 2025, 13, 116870. [Google Scholar] [CrossRef]
- Zhang, Y.; Tan, H.; Zhu, J.; Duan, L.; Ding, Y.; Liang, F.; Li, Y.; Peng, X.; Jiang, R.; Yu, J.; et al. A Fluorine-Functionalized Tb(III)-Organic Framework for Ba2+ Detection. Molecules 2024, 29, 5903. [Google Scholar] [CrossRef]
- Ma, D.; Chen, C.; Chen, M.; Zhu, S.; Wu, Y.; Li, Z.; Li, Y.; Zhou, L. A hydrostable Cadmium-Organic Framework for Highly Selective and Sensitive Luminescence Sensing of Al3+ Ion. J. Inorg. Organomet. Polym. Mater. 2019, 29, 1829–1837. [Google Scholar] [CrossRef]
- Valenzano, L.; Civalleri, B.; Chavan, S.; Bordiga, S.; Nilsen, M.H.; Jakobsen, S.; Lillerud, K.P.; Lamberti, C. Disclosing the Complex Structure of UiO-66 Metal Organic Framework: A Synergic Combination of Experiment and Theory. Chem. Mater. 2011, 23, 1700–1718. [Google Scholar] [CrossRef]
- Garai, M.; Yavuz, C.T. Robust Mesoporous Zr-MOF with Pd Nanoparticles for Formic-Acid-Based Chemical Hydrogen Storage. Matter 2021, 4, 10–12. [Google Scholar] [CrossRef]







| Compound | Bodipy Loading [wt%] a | SBET [m2/g] | Vpore(total) [cm3/g] b | Vpore(micro) [cm3/g] c |
|---|---|---|---|---|
| UiO-66 literature | - | 1580 [52] | - | - |
| - | 1175 [65] | 0.63 | - | |
| UiO-66 synthesized | - | 1192 | 0.55 | 0.55 |
| 2@UiO-660.44 (post-synth.) | 0.44 | 381 | 0.19 | 0.19 |
| 2@UiO-661.1 (in situ) | 1.1 | 1115 | 0.63 | 0.63 |
| 2@UiO-662.3 (in situ) | 2.3 | 1096 | 0.6 | 0.61 |
| 2@UiO-664.7 (in situ) | 4.7 | 1022 | 0.57 | 0.59 |
| 2@UiO-667.2 (in situ) | 7.2 | 916 | 0.56 | 0.53 |
| 2@UiO-661.1 | 2@UiO-662.3 | 2@UiO-664.7 | 2@UiO-667.2 | |
|---|---|---|---|---|
| nav(Bodipy/pore) | 0.055 | 0.12 | 0.243 | 0.375 |
| p(one) [%] | 96.4 | 94 | 86.7 | 78.1 |
| p(two) [%] | 3.6 | 5.7 | 12.1 | 18.4 |
| p(≥three) [%] | 0 | 0.2 | 1.1 | 3.5 |
| Compound | λF, max [nm] a | τ1 (x1), τ2 (x2), τ3 (x3) [ns] b | τx [ns] b | ΦF [%] c |
|---|---|---|---|---|
| 2 solid | 594/659 | 0.6 (0.74), 2.8 (0.29) | 1.2 | 9 |
| 2 in CHCl3 (0.5 mmol/L) | 510 | 4.8 (1) | 4.8 | 89 d |
| 2@UiO-660.44 (post-synth.) | 519 | 0.7 (0.10), 5.3 (0.8), 11.1 (0.09) | 5.3 | 29 |
| 2@UiO-661.1 (in situ) | 521 | 1.0 (0.08), 5.4 (0.91) | 5.1 | 32 |
| 2@UiO-662.3 (in situ) | 523 | 0.6 (0.09), 5.1 (0.89) | 4.6 | 28 |
| 2@UiO-664.7 (in situ) | 519 | 1.4 (0.21); 4.8 (0.8) | 4.2 | 21 |
| 2@UiO-667.2 (in situ) | 520 | 0.9 (0.14), 4.6 (0.85) | 4.0 | 19 |
| Compound | Bodipy Loading [wt%] a | SBET [m2/g] | Vpore(total) [cm3/g] b | Vpore(micro) [cm3/g] c |
|---|---|---|---|---|
| MOF-808 literature | - | 2060 [73] | 0.84 | - |
| - | 1210 [53] | 0.53 | - | |
| MOF-808 synthesized | - | 1683 | 0.8 | 0.76 |
| 2@MOF-8080.57 (post-synth.) | 0.57 | 596 | 0.27 | 0.27 |
| 2@MOF-8081.9 (in situ) | 1.9 | 1200 | 0.68 | 0.24 |
| DUT-67 literature | - | 1171 [77] | - | - |
| - | 1150 [53] | - | - | |
| DUT-67 synthesized | - | 1207 | 0.56 | 0.52 |
| 2@DUT-670.51 (post-synth.) | 0.51 | 840 | 0.4 | 0.37 |
| 2@DUT-672.2 (in situ) | 2.2 | 1020 | 0.47 | 0.51 |
| MIP-206 literature | - | 1059 [54] | 0.45 | - |
| MIP-206 synthesized | - | 1062 | 0.42 | 0.41 |
| 2@MIP-2060.3 (post-synth.) | 0.3 | 701 | 0.39 | 0.37 |
| 2@MOF-8081.9 | 2@DUT-672.2 | |
|---|---|---|
| nav(Bodipy/pore) | 0.298 | 0.155 |
| p(one) [%] | 83.4 | 91.7 |
| p(two) [%] | 14.7 | 7.7 |
| p(≥three) [%] | 1.9 | 0.6 |
| Compound | λF, max [nm] a | τ1 (x1), τ2 (x2), τ3 (x3) [ns] b | τx [ns] b | ΦF [%] c |
|---|---|---|---|---|
| 2 solid | 594/659 | 0.6 (0.74), 2.8 (0.29) | 1.2 | 9 |
| 2 in CHCl3 | 510 | 4.8 (1) | 4.8 | 89 d |
| 2@MOF-8080.57 (post-synth.) | 523 | 6.5 (0.85), 0.8 (0.09), 13.2 (0.07) | 6.5 | 48 |
| 2@MOF-8081.9 (in situ) | 519 | 6.6 (0.44), 11.3 (0.54) | 9.0 | 35 |
| 2@DUT-670.51 (post-synth.) | 519 | 6.2 (0.78), 1.6 (0.07), 10.8 (0.16) | 6.8 | 77 |
| 2@DUT-672.2 (in situ) | 521 | 8.4 (0.97), 19.8 (0.02) | 8.5 | 41 |
Disclaimer/Publisher’s Note: The statements, opinions and data contained in all publications are solely those of the individual author(s) and contributor(s) and not of MDPI and/or the editor(s). MDPI and/or the editor(s) disclaim responsibility for any injury to people or property resulting from any ideas, methods, instructions or products referred to in the content. |
© 2025 by the authors. Licensee MDPI, Basel, Switzerland. This article is an open access article distributed under the terms and conditions of the Creative Commons Attribution (CC BY) license (https://creativecommons.org/licenses/by/4.0/).
Share and Cite
Fetzer, M.N.A.; Vieten, M.; Limon, A.; Janiak, C. Encapsulation of a Highly Acid-Stable Dicyano-Bodipy in Zr-Based Metal–Organic Frameworks with Increased Fluorescence Lifetime and Quantum Yield Within the Solid Solution Concept. Molecules 2025, 30, 4151. https://doi.org/10.3390/molecules30214151
Fetzer MNA, Vieten M, Limon A, Janiak C. Encapsulation of a Highly Acid-Stable Dicyano-Bodipy in Zr-Based Metal–Organic Frameworks with Increased Fluorescence Lifetime and Quantum Yield Within the Solid Solution Concept. Molecules. 2025; 30(21):4151. https://doi.org/10.3390/molecules30214151
Chicago/Turabian StyleFetzer, Marcus N. A., Maximilian Vieten, Aysenur Limon, and Christoph Janiak. 2025. "Encapsulation of a Highly Acid-Stable Dicyano-Bodipy in Zr-Based Metal–Organic Frameworks with Increased Fluorescence Lifetime and Quantum Yield Within the Solid Solution Concept" Molecules 30, no. 21: 4151. https://doi.org/10.3390/molecules30214151
APA StyleFetzer, M. N. A., Vieten, M., Limon, A., & Janiak, C. (2025). Encapsulation of a Highly Acid-Stable Dicyano-Bodipy in Zr-Based Metal–Organic Frameworks with Increased Fluorescence Lifetime and Quantum Yield Within the Solid Solution Concept. Molecules, 30(21), 4151. https://doi.org/10.3390/molecules30214151

