Bioactive Fused Pyrazoles Inspired by the Adaptability of 5-Aminopyrazole Derivatives: Recent Review
Abstract
1. Introduction
2. 5-Aminopyrazole Synthetic Strategies
3. The Reactivity of 5-Aminopyrazoles
4. Fused Pyrazoles: Synthesis and Biological Activities
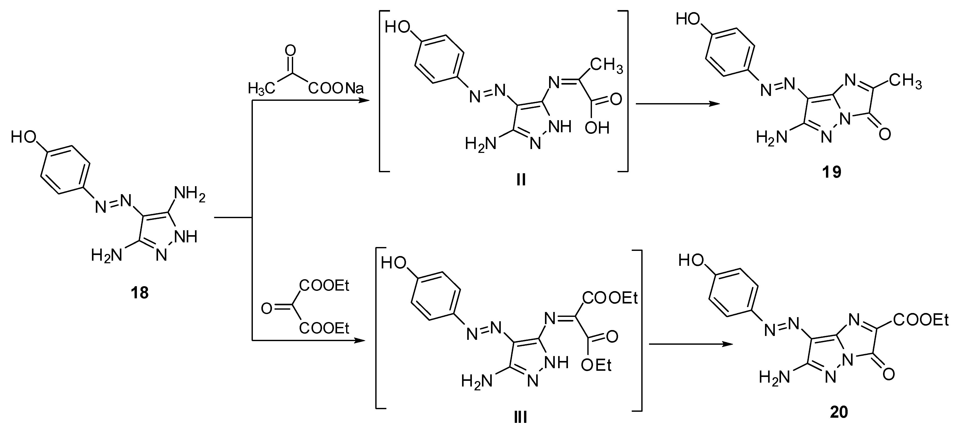
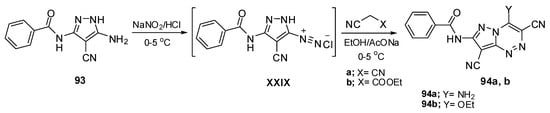
4.1. Imidazo[1,2-b]pyrazole Derivatives
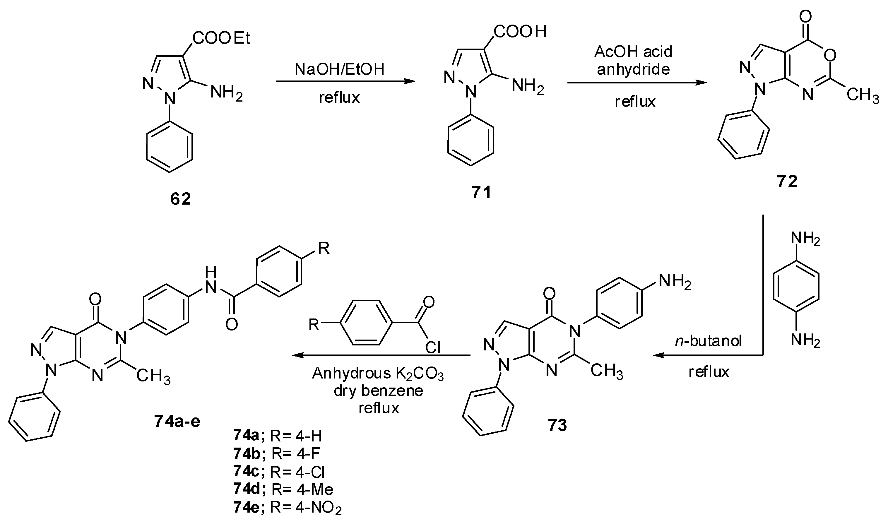
4.2. Pyrazolo[3,4-b]pyridine Derivatives
4.3. Pyrazolo[1,5-a]pyrimidine Derivatives
4.4. Pyrazolo[3,4-d]pyrimidine Derivatives
4.5. Pyrazolo[1,5-a][1,3,5]triazine Derivatives
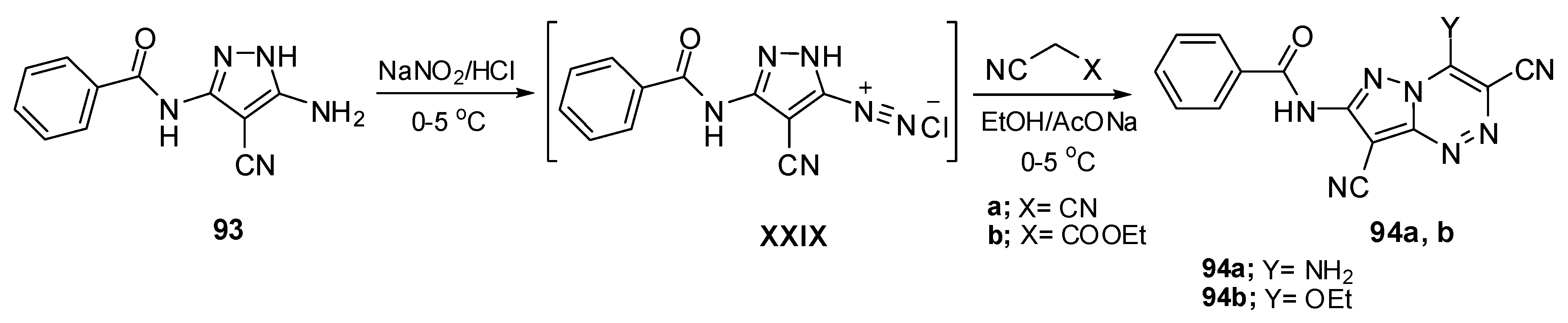
4.6. Pyrazolo[3,4-d][1,2,3]triazine Derivatives
4.7. Pyrazolo[5,1-c][1,2,4]triazine Derivatives
5. Pyrazole-Based Derivatives and Their Biological Activities
6. Conclusions and Future Perspectives
Author Contributions
Funding
Conflicts of Interest
Abbreviations
| AD | Alzheimer’s disease |
| ALK | Anaplastic lymphoma kinase |
| B. megaterium | Bacillus megaterium |
| CCD-18Co | Normal colon fibroblast cell line |
| COX-2 | Cyclooxygenase-2 enzyme |
| CS2 | Carbon disulfide |
| DCM | Dichloromethane |
| DMF | Dimethylformamide |
| DPP-4 enzyme | Dipeptidyl peptidase-4 enzyme |
| E. coli | Escherichia coli |
| EO771 | Breast cancer cell line |
| EtOH | Ethanol |
| 5-FU | 5-Fluorouracil |
| HCT 116 | Colorectal carcinoma cell line |
| Hela | Cervical cancer cell line |
| Hep-2 | Laryngeal cancer cell line |
| HT-29 | Colorectal adenocarcinoma cell line human-derived |
| K. pneumoniae | Klebsiella pneumoniae |
| KPC | Pancreas cancer cell line |
| 5-LOX | 5-Lipoxygenase enzyme |
| MCF-7 | Breast cancer cell line |
| MDRB | Multidrug resistance in bacteria |
| MEFs | Non-cancerous murine cell line of mouse embryonic fibroblasts |
| MSC | Melanoma skin cancer |
| MWI | Microwave irradiation |
| NCI | National Cancer Institute |
| NPs | Nano-particles |
| NSAID | Non-steroidal anti-inflammatory drug |
| NSCLC | Non-small cell lung carcinoma |
| P. aeruginosa | Pseudomonas aeruginosa |
| PC-3 | Prostatic cancer cell line |
| PDE5 | Phosphodiesterase-5 |
| PGD2 | Prostaglandin D2 |
| PGE2 | Prostaglandin E2 |
| PGF2 | Prostaglandin F2 |
| PGI2 | Prostacyclin |
| ROS1 | c-ros oncogene 1 |
| RSV | Respiratory syncytial virus |
| S. aureus | Staphylococcus aureus |
| S. Typhi | Salmonella typhi |
| TEA | Triethylamine |
| TXA2 | Thromboxane |
| VEGFR-2 | Vascular Endothelial Growth Factor Receptor |
| WI38 | Normal fibroblast cells |
References
- Jomova, K.; Raptova, R.; Alomar, S.Y.; Alwasel, S.H.; Nepovimova, E.; Kuca, K.; Valko, M. Reactive oxygen species, toxicity, oxidative stress, and antioxidants: Chronic diseases and aging. Arch. Toxicol. 2023, 97, 2499–2574. [Google Scholar] [CrossRef] [PubMed]
- Izu, G.O.; Mfotie Njoya, E.; Tabakam, G.T.; Nambooze, J.; Otukile, K.P.; Tsoeu, S.E.; Fasiku, V.O.; Adegoke, A.M.; Erukainure, O.L.; Mashele, S.S.; et al. Unravelling the Influence of Chlorogenic Acid on the Antioxidant Phytochemistry of Avocado (Persea americana Mill.) Fruit Peel. Antioxidants 2024, 13, 456. [Google Scholar] [CrossRef]
- Salem, H.S. Cancer status in the Occupied Palestinian Territories: Types; incidence; mortality; sex, age, and geography distribution; and possible causes. J. Cancer Res. Clin. Oncol. 2023, 149, 5139–5163. [Google Scholar] [CrossRef]
- Masoudi, M.; Torabi, P.; Judson-Torres, R.L.; Khodarahmi, R.; Moradi, S. Natural resistance to cancer: A window of hope. Int. J. Cancer 2024, 154, 1131–1142. [Google Scholar] [CrossRef]
- Suneja, S.; Christian, Y.; Chandra, N.C. Milieu of Diabetes in the 2nd Decade of 21st Century. J. Diabetes Metab. 2018, 9, 1000804. [Google Scholar] [CrossRef]
- Dowarah, J.; Singh, V.P. Anti-diabetic drugs recent approaches and advancements. Bioorg. Med. Chem. 2020, 28, 115263. [Google Scholar] [CrossRef]
- Boutari, C.; DeMarsilis, A.; Mantzoros, C.S. Obesity and diabetes. Diabetes Res. Clin. Pract. 2023, 202, 110773. [Google Scholar] [CrossRef]
- Paul, P.; Mahfoud, Z.R.; Malik, R.A.; Kaul, R.; Muffuh Navti, P.; Al-Sheikhly, D.; Chaari, A. Knowledge, awareness, and attitude of healthcare stakeholders on Alzheimer’s disease and dementia in Qatar. Int. J. Environ. Res. Public Health 2023, 20, 4535. [Google Scholar] [CrossRef] [PubMed]
- Beigh, S.; Adnan, R.; Abdulaziz, A.J.; Abdullah, S.; Nasser, N.; Ghazzay, R.; Abdulaziz, R.; Mohammed, E.; Ahmad, R.M.; Alshehri, M.A.; et al. Dementia and Multimorbidity Trends in Al-Baha, Saudi Arabia: An Analytical Retrospective Study Using Records-Based Data. Cureus 2024, 16, e52507. [Google Scholar] [CrossRef]
- El-Metwally, A.; Toivola, P.; Al-Rashidi, M.; Nooruddin, S.; Jawed, M.; AlKanhal, R.; Razzak, H.A.; Albawardi, N. Epidemiology of Alzheimer’s Disease and Dementia in Arab Countries: A Systematic Review. Behav. Neurol. 2019, 2019, 3935943. [Google Scholar] [CrossRef]
- Kauko, A.; Engler, D.; Niiranen, T.; Ortega-Alonso, A.; Schnabel, R.B. Increased risk of dementia differs across cardiovascular diseases and types of dementia–Data from a nationwide study. J. Intern. Med. 2024, 295, 196–205. [Google Scholar] [CrossRef]
- Chornenkyy, Y.; Wang, W.X.; Wei, A.; Nelson, P.T. Alzheimer’s disease and type 2 diabetes mellitus are distinct diseases with potential overlapping metabolic dysfunction upstream of observed cognitive decline. Brain Pathol. 2019, 29, 3–17. [Google Scholar] [CrossRef]
- Qiu, W.; Zhou, Y.; Li, Z.; Huang, T.; Xiao, Y.; Cheng, L.; Peng, X.; Zhang, L.; Ren, B. Application of antibiotics/antimicrobial agents on dental caries. BioMed Res. Int. 2020, 2020, 5658212. [Google Scholar] [CrossRef] [PubMed]
- Tanwar, J.; Das, S.; Fatima, Z.; Hameed, S. Multidrug resistance: An emerging crisis. Interdiscip. Perspect. Infect. Dis. 2014, 2014, 541340. [Google Scholar] [CrossRef] [PubMed]
- Baranwal, J.; Kushwaha, S.; Singh, S.; Jyoti, A. A review on the synthesis and pharmacological activity of heterocyclic compounds. Curr. Phys. Chem. 2023, 13, 2–19. [Google Scholar] [CrossRef]
- Kabir, E.; Uzzaman, M. A review on biological and medicinal impact of heterocyclic compounds. Results Chem. 2022, 4, 100606. [Google Scholar] [CrossRef]
- Fertig, R.; Leowsky-Künstler, F.; Irrgang, T.; Kempe, R. Rational design of N-heterocyclic compound classes via regenerative cyclization of diamines. Nat. Commun. 2023, 14, 595. [Google Scholar] [CrossRef]
- Vaishnani, M.J.; Bijani, S.; Rahamathulla, M.; Baldaniya, L.; Jain, V.; Thajudeen, K.Y.; Ahmed, M.M.; Farhana, S.A.; Pasha, I. Biological importance and synthesis of 1, 2, 3-triazole derivatives: A review. Green Chem. Lett. Rev. 2024, 17, 2307989. [Google Scholar] [CrossRef]
- Boshoff, H.I.; Malhotra, N.; Barry III, C.E.; Oh, S. The Antitubercular Activities of Natural Products with Fused-Nitrogen-Containing Heterocycles. Pharmaceuticals 2024, 17, 211. [Google Scholar] [CrossRef]
- Hibot, A.; Oumessaoud, A.; Hafid, A.; Khouili, M.; Pujol, M.D. Different Synthetic Methods for the Preparation of Triazolopyrimidines and Their Biological Profile. ChemistrySelect 2023, 8, e202301654. [Google Scholar] [CrossRef]
- Kerru, N.; Gummidi, L.; Maddila, S.; Gangu, K.K.; Jonnalagadda, S.B. A review on recent advances in nitrogen-containing molecules and their biological applications. Molecules 2020, 25, 1909. [Google Scholar] [CrossRef]
- Akhmetova, V.R.; Akhmadiev, N.S.; Ibragimov, A.G. Sulfur-Containing Pyrazoles, Pyrazolines and Indazoles. In N-Heterocycles; Ameta, K.L., Kant, R., Penoni, A., Maspero, A., Scapinello, L., Eds.; Springer: Singapore, 2022; pp. 275–312. [Google Scholar] [CrossRef]
- Li, M.M.; Huang, H.; Pu, Y.; Tian, W.; Deng, Y.; Lu, J. A close look into the biological and synthetic aspects of fused pyrazole derivatives. Eur. J. Med. Chem. 2022, 243, 114739. [Google Scholar] [CrossRef]
- Nehra, B.; Kumar, M.; Chawla, P.A.; Chawla, V. Therapeutic Potential of Natural Metabolites Coupled Pyrazole and Its Bio-Isosteres: Medicinal Perspectives and SAR Studies. ChemistrySelect 2024, 9, e202400419. [Google Scholar] [CrossRef]
- Mor, S.; Khatri, M.; Sindhu, S. Recent progress in anticancer agents incorporating pyrazole scaffold. Mini-Rev. Med. Chem. 2022, 22, 115–163. [Google Scholar] [CrossRef] [PubMed]
- Aggarwal, R.; Kumar, S. 5-Aminopyrazole as precursor in design and synthesis of fused pyrazoloazines. Beilstein J. Org. Chem. 2018, 14, 203–242. [Google Scholar] [CrossRef]
- Alam, M.A. Pyrazole: An emerging privileged scaffold in drug discovery. Future Med. Chem. 2023, 15, 2011–2023. [Google Scholar] [CrossRef]
- Saxena, P.; Sharma, P.K.; Purohit, P. A journey of celecoxib from pain to cancer. Prostaglandins Other Lipid Mediat. 2020, 147, 106379. [Google Scholar] [CrossRef]
- Cruz, J.V.; Rosa, J.M.C.; Kimani, N.M.; Giuliatti, S.; dos Santos, C.B. The role of celecoxib as a potential inhibitor in the treatment of inflammatory diseases-A review. Curr. Med. Chem. 2022, 29, 3028–3049. [Google Scholar] [CrossRef]
- Rojas, V.; Roa, I. Celecoxib: Antiangiogenic and Antitumoral Action. Int. J. Morphol. 2024, 42, 40–45. [Google Scholar] [CrossRef]
- Sousa, S.M.; Xavier, C.P.; Vasconcelos, M.H.; Palmeira, A. Repurposing some of the Well-known Non-steroid Anti-inflammatory Drugs (NSAIDs) for Cancer Treatment. Curr. Top. Med. Chem. 2023, 23, 1171–1195. [Google Scholar] [CrossRef] [PubMed]
- Shabaan, M.A.; Kamal, A.M.; Faggal, S.I.; Elsahar, A.E.; Mohamed, K.O. Synthesis and biological evaluation of pyrazolone analogues as potential anti-inflammatory agents targeting cyclooxygenases and 5-lipoxygenase. Arch. Pharm. 2020, 353, 1900308. [Google Scholar] [CrossRef]
- Nasr, N.E.; Sadek, K.M. Role and mechanism(s) of incretin-dependent therapies for treating diabetes mellitus. Environ. Sci. Pollut. Res. 2022, 29, 18408–18422. [Google Scholar] [CrossRef]
- Zeng, Q.; Zhang, X.; He, S.; Zhou, Z.; Xia, L.; Zhang, W.; Zeng, L. Crizotinib versus alectinib for the treatment of ALK-positive non-small cell lung cancer: A systematic review and meta-analysis. Chemotherapy 2022, 67, 67–80. [Google Scholar] [CrossRef]
- Merino, M.; Kasamon, Y.; Li, H.; Ma, L.; Leong, R.; Zhou, J.; Reaman, G.; Chambers, W.; Richardson, N.; Theoret, M.; et al. FDA approval summary: Crizotinib for pediatric and young adult patients with relapsed or refractory systemic anaplastic large cell lymphoma. Pediatr. Blood Cancer 2022, 69, e29602. [Google Scholar] [CrossRef]
- Marr, A.R.; Halpin, M.; Corbin, D.L.; Asemelash, Y.; Sher, S.; Gordon, B.K.; Whipp, E.C.; Mitchell, S.; Harrington, B.K.; Orwick, S.; et al. The multi-CDK inhibitor dinaciclib reverses bromo- and extra-terminal domain (BET) inhibitor resistance in acute myeloid leukemia via inhibition of Wnt/β-catenin signaling. Exp. Hematol. Oncol. 2024, 13, 27. [Google Scholar] [CrossRef] [PubMed]
- Richter, A.; Schoenwaelder, N.; Sender, S.; Junghanss, C.; Maletzki, C. Cyclin-Dependent Kinase Inhibitors in Hematological Malignancies-Current Understanding, (Pre-)Clinical Application and Promising Approaches. Cancers 2021, 13, 2497. [Google Scholar] [CrossRef]
- Saqub, H.; Proetsch-Gugerbauer, H.; Bezrookove, V.; Nosrati, M.; Vaquero, E.M.; de Semir, D.; Ice, R.J.; McAllister, S.; Soroceanu, L.; Kashani-Sabet, M.; et al. Dinaciclib, a cyclin-dependent kinase inhibitor, suppresses cholangiocarcinoma growth by targeting CDK2/5/9. Sci. Rep. 2020, 10, 18489. [Google Scholar] [CrossRef] [PubMed]
- Behzadi, M.A.; Leyva-Grado, V.H. Overview of current therapeutics and novel candidates against influenza, respiratory syncytial virus, and Middle East respiratory syndrome coronavirus infections. Front. Microbiol. 2019, 10, 458306. [Google Scholar] [CrossRef] [PubMed]
- Vega Alanis, B.A.; Iorio, M.T.; Silva, L.L.; Bampali, K.; Ernst, M.; Schnürch, M.; Mihovilovic, M.D. Allosteric GABAA Receptor Modulators—A Review on the Most Recent Heterocyclic Chemotypes and Their Synthetic Accessibility. Molecules 2020, 25, 999. [Google Scholar] [CrossRef]
- Jindal, A.; Mahesh, R.; Bhatt, S. Etazolate, a phosphodiesterase-4 enzyme inhibitor produces antidepressant-like effects by blocking the behavioral, biochemical, neurobiological deficits and histological abnormalities in hippocampus region caused by olfactory bulbectomy. Psychopharmacology 2015, 232, 623–637. [Google Scholar] [CrossRef]
- Al Halabi, Y.Z.; Khabour, O.F.; Alzoubi, K.H. Assessment of the genotoxicity and cytotoxicity of etazolate in cultured human lymphocytes. J. Appl. Pharm. Sci. 2022, 12, 125–130. [Google Scholar] [CrossRef]
- Naglah, A.M.; Almehizia, A.A.; Al-Wasidi, A.S.; Alharbi, A.S.; Alqarni, M.H.; Hassan, A.S.; Aboulthana, W.M. Exploring the Potential Biological Activities of Pyrazole-Based Schiff Bases as Anti-Diabetic, Anti-Alzheimer’s, Anti-Inflammatory, and Cytotoxic Agents: In Vitro Studies with Computational Predictions. Pharmaceuticals 2024, 17, 655. [Google Scholar] [CrossRef]
- Almehizia, A.A.; Naglah, A.M.; Zen, A.A.; Khatab, T.K.; Hassan, A.S. TCS/ZnCl2 as a controlled reagent for the Michael addition and heterocyclic cyclization based on the phenyl pyrazolone scaffold with docking validation as a COVID-19 protease inhibitor. Bull. Chem. Soc. Ethiop. 2024, 38, 1119–1127. [Google Scholar] [CrossRef]
- Alkahtani, H.M.; Almehizia, A.A.; Al-Omar, M.A.; Obaidullah, A.J.; Zen, A.A.; Hassan, A.S.; Aboulthana, W.M. In Vitro Evaluation and Bioinformatics Analysis of Schiff Bases Bearing Pyrazole Scaffold as Bioactive Agents: Antioxidant, Anti-Diabetic, Anti-Alzheimer, and Anti-Arthritic. Molecules 2023, 28, 7125. [Google Scholar] [CrossRef]
- Hassan, A.S.; Morsy, N.M.; Aboulthana, W.M.; Ragab, A. Exploring novel derivatives of isatin-based Schiff bases as multi-target agents: Design, synthesis, in vitro biological evaluation, and in silico ADMET analysis with molecular modeling simulations. RSC Adv. 2023, 13, 9281–9303. [Google Scholar] [CrossRef]
- Khatab, T.K.; Hassan, A.S. Computational molecular docking and in silico ADMET prediction studies of pyrazole derivatives as COVID-19 main protease (Mpro) and papain-like protease (PLpro) inhibitors. Bull. Chem. Soc. Ethiop. 2023, 37, 449–461. [Google Scholar] [CrossRef]
- Hassan, A.S. Antimicrobial evaluation, in silico ADMET prediction, molecular docking, and molecular electrostatic potential of pyrazole-isatin and pyrazole-indole hybrid molecules. J. Iran. Chem. Soc. 2022, 19, 3577–3589. [Google Scholar] [CrossRef]
- Abdelghany, A.M.; Khatab, T.K.; Hassan, A.S. Copper-based glass-ceramic as an efficient catalyst in the synthesis of pyrazolo[1,5-a] pyrimidineunder solvent-free condition with docking validation as COVID-19 main protease (Mpro) inhibitor. Bull. Chem. Soc. Ethiop. 2021, 35, 185–196. [Google Scholar] [CrossRef]
- Mukhtar, S.S.; Hassan, A.S.; Morsy, N.M.; Hafez, T.S.; Saleh, F.M.; Hassaneen, H.M. Design, synthesis, molecular prediction and biological evaluation of pyrazole-azomethine conjugates as antimicrobial agents. Synth. Commun. 2021, 51, 1564–1580. [Google Scholar] [CrossRef]
- Hassan, A.S.; Moustafa, G.O.; Awad, H.M.; Nossier, E.S.; Mady, M.F. Design, synthesis, anticancer evaluation, enzymatic assays, and a molecular modeling study of novel pyrazole–indole hybrids. ACS Omega 2021, 6, 12361–12374. [Google Scholar] [CrossRef]
- Morsy, N.M.; Hassan, A.S.; Hafez, T.S.; Mahran, M.R.; Sadawe, I.A.; Gbaj, A.M. Synthesis, antitumor activity, enzyme assay, DNA binding and molecular docking of Bis-Schiff bases of pyrazoles. J. Iran. Chem. Soc. 2021, 18, 47–59. [Google Scholar] [CrossRef]
- Al Wasidi, A.S.; Hassan, A.S.; Naglah, A.M. In vitro cytotoxicity and druglikeness of pyrazolines and pyridines bearing benzofuran moiety. J. Appl. Pharm. Sci. 2020, 10, 142–148. [Google Scholar] [CrossRef]
- Elsherif, M.A.; Hassan, A.S.; Moustafa, G.O.; Awad, H.M.; Morsy, N.M. Antimicrobial evaluation and molecular properties prediction of pyrazolines incorporating benzofuran and pyrazole moieties. J. Appl. Pharm. Sci. 2020, 10, 037–043. [Google Scholar] [CrossRef]
- Hassan, A.S. Mixed isatin with 3-(2-(aryl) hydrazono) acetylacetone Mn (II), Co (II) and Ni (II) complexes: Antibacterial evaluation and molecular properties prediction. Bull. Chem. Soc. Ethiop. 2020, 34, 533–541. [Google Scholar] [CrossRef]
- Hassan, A.S.; Moustafa, G.O.; Morsy, N.M.; Abdou, A.M.; Hafez, T.S. Design, synthesis and antibacterial activity of N-aryl-3-(arylamino)-5-(((5-substituted furan-2-yl)methylene)amino)-1H-pyrazole-4-carboxamide as Nitrofurantoin® analogues. Egypt. J. Chem. 2020, 63, 4469–4481. [Google Scholar] [CrossRef]
- Khatab, T.K.; Hassan, A.S.; Hafez, T.S. V2O5/SiO2 as an efficient catalyst in the synthesis of 5-amino-pyrazole derivatives under solvent free condition. Bull. Chem. Soc. Ethiop. 2019, 33, 135–142. [Google Scholar] [CrossRef]
- Hassan, R.A.; Al-Sabawi, A.H. Synthesis and Spectral Study of some New α, β-Unsaturated Carbonyl Compounds and Pyrazole Derivatives. Rafidain J. Sci. 2023, 32, 138–148. [Google Scholar] [CrossRef]
- Ismail, M.M.; Soliman, D.H.; Sabour, R.; Farrag, A.M. Synthesis of new arylazopyrazoles as apoptosis inducers: Candidates to inhibit proliferation of MCF-7 cells. Arch. Pharm. 2021, 354, 2000214. [Google Scholar] [CrossRef]
- Khan, M.F.; Alam, M.M.; Verma, G.; Akhtar, W.; Akhter, M.; Shaquiquzzaman, M. The therapeutic voyage of pyrazole and its analogs: A review. Eur. J. Med. Chem. 2016, 120, 170–201. [Google Scholar] [CrossRef]
- Yadav, N.; Singh, R.; Tyagi, Y.K. Synthesis of 5-Amino-1H-pyrazole-4-carbonitriles Using Ag/ZnO Nanoparticles as a Recyclable Catalyst. Org. Prep. Proced. Int. 2024, 56, 342–349. [Google Scholar] [CrossRef]
- Alshareef, H.F.; Mohamed, H.A.E.H.; Salaheldin, A.M. Synthesis and biological evaluation of new tacrine analogues under microwave irradiation. Chem. Pharm. Bull. 2017, 65, 732–738. [Google Scholar] [CrossRef][Green Version]
- Nassar, E.; El-Badry, Y.A.; Eltoukhy, A.M.M.; Ayyad, R.R. Synthesis and antiproliferative activity of 1-(4-(1H-Indol-3-Yl)-6-(4-Methoxyphenyl) Pyrimidin-2-yl) hydrazine and its pyrazolo pyrimidine derivatives. Med. Chem. 2016, 6, 224–233. [Google Scholar] [CrossRef]
- Donaire-Arias, A.; Montagut, A.M.; Puig de la Bellacasa, R.; Estrada-Tejedor, R.; Teixidó, J.; Borrell, J.I. 1H-Pyrazolo[3,4-b]pyridines: Synthesis and Biomedical Applications. Molecules 2022, 27, 2237. [Google Scholar] [CrossRef]
- Kandhasamy, K.; Surajambika, R.R.; Velayudham, P.K. Pyrazolo-Pyrimidines as Targeted Anticancer Scaffolds-A Comprehensive Review. Med. Chem. 2024, 20, 293–310. [Google Scholar] [CrossRef]
- Zhao, H.; Hu, X.; Zhang, Y.; Tang, C.; Feng, B. Progress in Synthesis and Bioactivity Evaluation of Pyrazoloquinazolines. Lett. Drug Des. Discov. 2020, 17, 104–113. [Google Scholar] [CrossRef]
- Spallarossa, A.; Rapetti, F.; Signorello, M.G.; Rosano, C.; Iervasi, E.; Ponassi, M.; Brullo, C. Insights into the Pharmacological Activity of the Imidazo–Pyrazole Scaffold. ChemMedChem 2023, 18, e202300252. [Google Scholar] [CrossRef] [PubMed]
- Semenova, A.M.; Gadzhiakhmedova, Y.R.; Bespalov, A.V.; Dotsenko, V.V.; Aksenov, N.A.; Aksenova, I.V. New Heterocyclisation Reactions of 5-Amino-3-(cyanomethyl)-1H-pyrazole-4-carbonitrile with Some 1, 3-Dielectrophilic Agents. Russ. J. Gen. Chem. 2022, 92, 367–382. [Google Scholar] [CrossRef]
- Alizadeh, S.R.; Ebrahimzadeh, M.A. Pyrazolotriazines: Biological activities, synthetic strategies and recent developments. Eur. J. Med. Chem. 2021, 223, 113537. [Google Scholar] [CrossRef]
- Majithiya, J.; Bheshdadia, B.M. Synthesis and structure elucidation of some biological active 3H-imidazo[1,2-b]pyrazole derivatives. Lat. Am. Appl. Res. 2023, 53, 151–156. [Google Scholar] [CrossRef]
- Mishra, V.K.; Tiwari, G.; Khanna, A.; Tyagi, R.; Sagar, R. Efficient synthesis of chirally enriched 1H-Imidazo[1,2-b]pyrazole-and 4H-Imidazo[1,2-b][1,2,4]triazole-based bioactive glycohybrids. Synthesis 2024, 56, 1017–1025. [Google Scholar] [CrossRef]
- Zhang, S.; Ye, Y.; Zhang, Q.; Luo, Y.; Wang, Z.C.; Wu, Y.Z.; Zhang, X.P.; Yi, C. Current development of pyrazole–azole hybrids with anticancer potential. Future Med. Chem. 2023, 15, 1527–1548. [Google Scholar] [CrossRef]
- Alfei, S.; Milanese, M.; Brullo, C.; Valenti, G.E.; Domenicotti, C.; Russo, E.; Marengo, B. Antiproliferative Imidazo-Pyrazole-Based Hydrogel: A Promising Approach for the Development of New Treatments for PLX-Resistant Melanoma. Pharmaceutics 2023, 15, 2425. [Google Scholar] [CrossRef]
- Priya, D.; Gopinath, P.; Dhivya, L.S.; Vijaybabu, A.; Haritha, M.; Palaniappan, S.; Kathiravan, M.K. Structural Insights into Pyrazoles as Agents against Anti-inflammatory and Related Disorders. ChemistrySelect 2022, 7, e202104429. [Google Scholar] [CrossRef]
- Ayman, R.; Abusaif, M.S.; Radwan, A.M.; Elmetwally, A.M.; Ragab, A. Development of novel pyrazole, imidazo[1,2-b]pyrazole, and pyrazolo[1,5-a]pyrimidine derivatives as a new class of COX-2 inhibitors with immunomodulatory potential. Eur. J. Med. Chem. 2023, 249, 115138. [Google Scholar] [CrossRef]
- Alamshany, Z.M.; Tashkandi, N.Y.; Othman, I.M.; Ishak, E.A.; Gad-Elkareem, M.A. Synthesis, antimicrobial and antioxidant activities of some new pyrazolo[1,5-a]pyrimidine and imidazo[1,2-b]pyrazole derivatives based isoxazole. Synth. Commun. 2023, 53, 1451–1467. [Google Scholar] [CrossRef]
- Fathy, U.; Abu-Hashem, A.A.; Gouhar, R.S.; Awad, H.M.; Elgamal, A.M. Synthesis, structural characterization of some pyrazolo[1,5-a]pyrimidine and imidazo[1,2-b]pyrazole derivatives as anticancer activity. Rasayan J. Chem. 2021, 14, 741–750. [Google Scholar] [CrossRef]
- Peytam, F.; Adib, M.; Shourgeshty, R.; Mohammadi-Khanaposhtani, M.; Jahani, M.; Imanparast, S.; Faramarzi, M.A.; Mahdavi, M.; Moghadamnia, A.A.; Rastegar, H.; et al. Design and synthesis of new imidazo[1,2-b]pyrazole derivatives, in vitro α-glucosidase inhibition, kinetic and docking studies. Mol. Divers. 2020, 24, 69–80. [Google Scholar] [CrossRef]
- Akhramez, S.; Oumessaoud, A.; Hibot, A.; Talbi, S.; Hamri, S.; Ketatni, E.M.; Ouchetto, H.; Hafid, A.; Ayad, H.; El Abbadi, N.; et al. Synthesis of pyrazolo-enaminones, bipyrazoles and pyrazolopyrimidines and evaluation of antioxidant and antimicrobial properties. Arab. J. Chem. 2022, 15, 103527. [Google Scholar] [CrossRef]
- Ravula, S.; Bobbala, R.R.; Kolli, B. Synthesis of novel isoxazole functionalized pyrazolo[3,4-b]pyridine derivatives; their anticancer activity. J. Heterocycl. Chem. 2020, 57, 2535–2538. [Google Scholar] [CrossRef]
- Aggarwal, R.; Kumar, S.; Sadana, R.; Guzman, A.; Kumar, V. Multicomponent synthesis, in vitro cytotoxic evaluation and molecular modelling studies of polyfunctionalized pyrazolo[3,4-b]pyridine derivatives against three human cancer cell lines. Synth. Commun. 2021, 51, 3308–3324. [Google Scholar] [CrossRef]
- Nafie, M.S.; Amer, A.M.; Mohamed, A.K.; Tantawy, E.S. Discovery of novel pyrazolo[3,4-b]pyridine scaffold-based derivatives as potential PIM-1 kinase inhibitors in breast cancer MCF-7 cells. Bioorg. Med. Chem. 2020, 28, 115828. [Google Scholar] [CrossRef] [PubMed]
- Odeh, D.M.; Allam, H.A.; Mahmoud, W.R.; Odeh, M.M.; Abdel Aziz, H.A.; Mohammed, E.R. One-pot Three-Component Synthesis, In vitro Anticancer Activity and p53-MDM2 Protein-Protein Interaction Inhibition of Novel Spiro-Oxindoline-Based Pyrazolo[3,4-b]Pyridines. Egypt. J. Chem. 2024, 67, 495–513. [Google Scholar] [CrossRef]
- Ezzat, M.A.F.; Elmasry, G.F.; El-Mageed, M.M.A.; Fouad, M.A.; Abdel-Aziz, H.A.; Elewa, S.I. Design, synthesis, and biological evaluation of furan-bearing pyrazolo[3,4-b]pyridines as novel inhibitors of CDK2 and P53–MDM2 protein–protein interaction. Drug Dev. Res. 2023, 84, 1183–1203. [Google Scholar] [CrossRef] [PubMed]
- Aggarwal, R.; Kumar, S.; Sumran, G.; Sharma, D. One-pot synthesis and in vitro bioactivity of novel 4-aminopyrazolo[3,4-b]pyridine derivatives as potential antimicrobial compounds. Med. Chem. Res. 2024, 33, 117–126. [Google Scholar] [CrossRef]
- Rao, H.S.P.; Gunasundari, R.; Adigopula, L.N.; Muthukumaran, J. Design, synthesis, molecular docking, and biological activity of pyrazolo[3,4-b]pyridines as promising lead candidates against Mycobacterium tuberculosis. Med. Chem. Res. 2024, 33, 177–200. [Google Scholar] [CrossRef]
- Mohi El-Deen, E.M.; El-Meguid, A.; Eman, A.; Fathy, U.; Karam, E.A.; El Kerdawy, A.M. Synthesis and Biological Evaluation of New 3-Substituted-pyrazolo[3,4-b]pyridine Derivatives as Antimicrobial Agents and DHFR Inhibitors. Egypt. J. Chem. 2022, 65, 1281–1298. [Google Scholar] [CrossRef]
- Basir, N.H.; Ramle, A.Q.; Ng, M.P.; Tan, C.H.; Tiekink, E.R.; Sim, K.S.; Basirun, W.J.; Khairuddean, M. Discovery of indoleninyl-pyrazolo[3,4-b]pyridines as potent chemotherapeutic agents against colorectal cancer cells. Bioorg. Chem. 2024, 146, 107256. [Google Scholar] [CrossRef]
- Georgiou, M.; Lougiakis, N.; Tenta, R.; Gioti, K.; Baritaki, S.; Gkaralea, L.E.; Deligianni, E.; Marakos, P.; Pouli, N.; Stellas, D. Discovery of New 1, 4, 6-Trisubstituted-1H-pyrazolo[3,4-b]pyridines with Anti-Tumor Efficacy in Mouse Model of Breast Cancer. Pharmaceutics 2023, 15, 787. [Google Scholar] [CrossRef] [PubMed]
- Almansour, B.S.; Binjubair, F.A.; Abdel-Aziz, A.A.M.; Al-Rashood, S.T. Synthesis and In Vitro Anticancer Activity of Novel 4-Aryl-3-(4-methoxyphenyl)-1-phenyl-1H-pyrazolo[3,4-b]pyridines Arrest Cell Cycle and Induce Cell Apoptosis by Inhibiting CDK2 and/or CDK9. Molecules 2023, 28, 6428. [Google Scholar] [CrossRef]
- Farahat, A.A.; Samir, E.M.; Zaki, M.Y.; Serya, R.A.; Abdel-Aziz, H.A. Synthesis and in vitro antiproliferative activity of certain novel pyrazolo[3,4-b]pyridines with potential p38α MAPK-inhibitory activity. Arch. Pharm. 2022, 355, 2100302. [Google Scholar] [CrossRef]
- Almehizia, A.A.; Aboulthana, W.M.; Naglah, A.M.; Hassan, A.S. In vitro biological studies and computational prediction-based analyses of pyrazolo[1,5-a]pyrimidine derivatives. RSC Adv. 2024, 14, 8397–8408. [Google Scholar] [CrossRef]
- Eldeen, F.B.N.; Mousa, S.A.; Othman, I.M.; El-Qaliei, M.I. Design, synthesis, antimicrobial evaluation, molecular docking studies, and in silico prediction of ADME properties for novel pyrazolo[1,5-a]pyrimidine and its fused derivatives. J. Heterocycl. Chem. 2024, 61, 911–926. [Google Scholar] [CrossRef]
- Hosny, M.A.; Zaki, Y.H.; Mokbel, W.A.; Abdelhamid, A.O. Synthesis, characterization, antimicrobial activity and anticancer of some new pyrazolo[1,5-a]pyrimidines and pyrazolo[5,1-c]1,2,4-triazines. Med. Chem. 2020, 16, 750–760. [Google Scholar] [CrossRef] [PubMed]
- Mekky, A.E.; Sanad, S.M. Synthesis of New Pyrazolo[1,5-a]pyrimidines as Potential Antibacterial Agents: In Vitro and In Silico Study. ChemistrySelect 2023, 8, e202300487. [Google Scholar] [CrossRef]
- Elgiushy, H.R.; Mohamed, S.H.; Taha, H.; Sawaf, H.; Hassan, Z.; Abou-Taleb, N.A.; El-Labbad, E.M.; Hassan, A.S.; Abouzid, K.A.; Hammad, S.F. Identification of a promising hit from a new series of pyrazolo[1,5-a]pyrimidine based compounds as a potential anticancer agent with potent CDK1 inhibitory and pro-apoptotic properties through a multistep in vitro assessment. Bioorg. Chem. 2022, 120, 105646. [Google Scholar] [CrossRef] [PubMed]
- Ragab, A.; Fouad, S.A.; Ammar, Y.A.; Aboul-Magd, D.S.; Abusaif, M.S. Antibiofilm and Anti-Quorum-Sensing Activities of Novel Pyrazole and Pyrazolo[1,5-a]pyrimidine Derivatives as Carbonic Anhydrase I and II Inhibitors: Design, Synthesis, Radiosterilization, and Molecular Docking Studies. Antibiotics 2023, 12, 128. [Google Scholar] [CrossRef] [PubMed]
- Peytam, F.; Adib, M.; Shourgeshty, R.; Firoozpour, L.; Rahmanian-Jazi, M.; Jahani, M.; Moghimi, S.; Divsalar, K.; Faramarzi, M.A.; Mojtabavi, S.; et al. An efficient and targeted synthetic approach towards new highly substituted 6-amino-pyrazolo[1,5-a]pyrimidines with α-glucosidase inhibitory activity. Sci. Rep. 2020, 10, 2595. [Google Scholar] [CrossRef]
- El-Sayed, E.H.; Mohamed, K.S. Synthesis and anti-inflammatory evaluation of some new pyrazole, pyrimidine, pyrazolo[1,5-a]pyrimidine, imidazo[1,2-b]pyrazole and pyrazolo[5,1-b]quinazoline derivatives containing indane moiety. Polycycl. Aromat. Compd. 2021, 41, 1077–1093. [Google Scholar] [CrossRef]
- Ayman, R.; Radwan, A.M.; Elmetwally, A.M.; Ammar, Y.A.; Ragab, A. Discovery of novel pyrazole and pyrazolo[1,5-a]pyrimidine derivatives as cyclooxygenase inhibitors (COX-1 and COX-2) using molecular modeling simulation. Arch. Pharm. 2023, 356, 2200395. [Google Scholar] [CrossRef]
- Naglah, A.M.; Askar, A.A.; Hassan, A.S.; Khatab, T.K.; Al-Omar, M.A.; Bhat, M.A. Biological evaluation and molecular docking with in silico physicochemical, pharmacokinetic and toxicity prediction of pyrazolo[1,5-a]pyrimidines. Molecules 2020, 25, 1431. [Google Scholar] [CrossRef]
- Hossan, A.; Alrefaei, A.F.; Katouah, H.A.; Bayazeed, A.; Asghar, B.H.; Shaaban, F.; El-Metwaly, N.M. Synthesis, anticancer activity, and molecular docking of new pyrazolo[1,5-a]pyrimidine derivatives. J. Saudi Chem. Soc. 2023, 27, 101599. [Google Scholar] [CrossRef]
- Abdulrahman, F.G.; Sabour, R.; Abd El-Gilil, S.M.; Mehany, A.B.; Taha, E.A. Design, synthesis, biological evaluation and molecular docking study of new pyrazolo[1,5-a]pyrimidines as PIM kinase inhibitors and apoptosis inducers. J. Mol. Struct. 2024, 1295, 136811. [Google Scholar] [CrossRef]
- Hassan, A.S.; Morsy, N.M.; Aboulthana, W.M.; Ragab, A. In vitro enzymatic evaluation of some pyrazolo[1,5-a]pyrimidine derivatives: Design, synthesis, antioxidant, anti-diabetic, anti-Alzheimer, and anti-arthritic activities with molecular modeling simulation. Drug Dev. Res. 2023, 84, 3–24. [Google Scholar] [CrossRef]
- Hassan, A.S.; Morsy, N.M.; Awad, H.M.; Ragab, A. Synthesis, molecular docking, and in silico ADME prediction of some fused pyrazolo[1,5-a]pyrimidine and pyrazole derivatives as potential antimicrobial agents. J. Iran. Chem. Soc. 2022, 19, 521–545. [Google Scholar] [CrossRef]
- Joshi, K.A.; Pandya, H.B.; Mahida, A.K.; Modasiya, I.J.; Dubal, G.G. Synthesis and Antimicrobial Activity of New Dihydropyrazolo[1,5-a]pyrimidine Derivatives. Russ. J. Bioorg. Chem. 2024, 50, 304–312. [Google Scholar] [CrossRef]
- Wang, Y.; Liu, Y.; Zhang, Y.; Zhang, Z.; Xu, L.; Wang, J.; Yang, Y.; Hu, B.; Yao, Y.; Wei, M.; et al. Design, synthesis and evaluation of a pyrazolo[3,4-d]pyrimidine derivative as a novel and potent TGFβ1R1 inhibitor. Eur. J. Med. Chem. 2024, 271, 116395. [Google Scholar] [CrossRef] [PubMed]
- Abdelgawad, M.A.; Elkanzi, N.A.; Nayl, A.A.; Musa, A.; Alotaibi, N.H.; Arafa, W.A.A.; Gomha, S.M.; Bakr, R.B. Targeting tumor cells with pyrazolo[3,4-d]pyrimidine scaffold: A literature review on synthetic approaches, structure activity relationship, structural and target-based mechanisms. Arab. J. Chem. 2022, 15, 103781. [Google Scholar] [CrossRef]
- Das, D.; Xie, L.; Wang, J.; Qiao, D.; Hong, J. Design, synthesis of new pyrazolo[3,4-d]pyrimidine derivatives and in vitro evaluation of antiproliferative activity against leukemia cell lines. Russ. J. Bioorg. Chem. 2022, 48, 153–162. [Google Scholar] [CrossRef]
- Hassan, A.Y.; Mohamed, M.A.; Abdel-Aziem, A.; Hussain, A.O. Synthesis and anticancer activity of some fused heterocyclic compounds containing pyrazole ring. Polycycl. Aromat. Compd. 2020, 40, 1280–1290. [Google Scholar] [CrossRef]
- Awaji, A.A.; El Zaloa, W.A.Z.; Seleem, M.A.; Alswah, M.; Elsebaei, M.M.; Bayoumi, A.H.; El-Morsy, A.M.; Alfaifi, M.Y.; Shati, A.A.; Elbehairi, S.E.I.; et al. N-and s-substituted Pyrazolopyrimidines: A promising new class of potent c-Src kinase inhibitors with prominent antitumor activity. Bioorg. Chem. 2024, 145, 107228. [Google Scholar] [CrossRef]
- Kassab, A.E. Pyrazolo[3,4-d]pyrimidine scaffold: A review on synthetic approaches and EGFR and VEGFR inhibitory activities. Arch. Pharm. 2023, 356, 2200424. [Google Scholar] [CrossRef]
- Salem, I.M.; Mostafa, S.M.; Salama, I.; El-Sabbagh, O.I.; Hegazy, W.A.; Ibrahim, T.S. Design, synthesis and antitumor evaluation of novel pyrazolo[3,4-d]pyrimidines incorporating different amino acid conjugates as potential DHFR inhibitors. J. Enzym. Inhib. Med. Chem. 2023, 38, 203–215. [Google Scholar] [CrossRef]
- Shaaban, M.A.; Elshaier, Y.A.; Hammad, A.H.; Farag, N.A.; Haredy, H.H.; AbdEl-Ghany, A.A.; Mohamed, K.O. Design and synthesis of pyrazolo[3,4-d]pyrimidinone derivatives: Discovery of selective phosphodiesterase-5 inhibitors. Bioorg. Med. Chem. Lett. 2020, 30, 127337. [Google Scholar] [CrossRef]
- Mourad, A.K.; Mohammed, F.K.; Essawy, A.E.N.I.; Soliman, A.Y.; Sayed, S.M. Pyrazolo[3,4-d]pyrimidine-based scaffolds as antibacterial agents: Synthetic strategies, reactions, and in vitro biological evaluation. J. Heterocycl. Chem. 2023, 60, 1150–1164. [Google Scholar] [CrossRef]
- Hassaneen, H.M.; Saleh, F.M.; Abdallah, T.A.; Mohamed, Y.S.; Awad, E.M. Synthesis, reactions, and antimicrobial activity of some novel pyrazolo[3,4-d]pyrimidine, pyrazolo[4,3-e][1,2,4]triazolo[1,5-c]pyrimidine, and pyrazolo[4,3-e][1,2,4]triazolo[3,4-c]pyrimidine derivatives. J. Heterocycl. Chem. 2020, 57, 892–912. [Google Scholar] [CrossRef]
- Kulkarni, R.; Kompalli, K.; Gaddam, N.; Mangannavar, C.V.; Darna, B.; Garlapati, A.; Kumar, D.; Machha, B. Synthesis, characterization, antitubercular and anti-inflammatory activity of new pyrazolo[3,4-d]pyrimidines. Comb. Chem. High Throughput Screen. 2021, 24, 1300–1308. [Google Scholar] [CrossRef] [PubMed]
- Shaban, R.M.; Samir, N.; Nissan, Y.M.; Abouzid, K.A. Design, synthesis, and biological evaluation with molecular dynamics study of novel pyrazolo[3,4-d]pyrimidine derivatives as anti-cancer agents. RSC Adv. 2023, 13, 17074–17096. [Google Scholar] [CrossRef]
- Abdelhamed, A.M.; Hassan, R.A.; Kadry, H.H.; Helwa, A.A. Novel pyrazolo[3,4-d]pyrimidine derivatives: Design, synthesis, anticancer evaluation, VEGFR-2 inhibition, and antiangiogenic activity. RSC Med. Chem. 2023, 14, 2640–2657. [Google Scholar] [CrossRef]
- Dubal, G.G.; Vachchharajani, P.R.; Solanki, M.J.; Shah, V.H. Synthesis, Antibacterial, and Antifungal Screening of New Pyrazolo[3,4-d]pyrimidine Derivatives. Russ. J. Gen. Chem. 2022, 92, 2734–2739. [Google Scholar] [CrossRef]
- Velihina, E.S.; Obernikhina, N.V.; Pilyo, S.G.; Kachkovsky, O.D.; Brovarets, V.S. Synthesis, electronic structure and anti-cancer activity of the phenyl substituted pyrazolo[1,5-a][1,3,5]triazines. Curr. Org. Chem. 2021, 25, 1441–1454. [Google Scholar] [CrossRef]
- Özbek, O.; Gürdere, M.B. A review on the synthesis and applications of molecules as anticonvulsant drug agent candidates. Med. Chem. Res. 2020, 29, 1553–1578. [Google Scholar] [CrossRef]
- Stepanova, S.F.; Semenova, A.M.; Dotsenko, V.V.; Strelkov, V.D.; Temerdashev, A.Z.; Gasyuk, O.A.; Volchenko, N.N.; Aksenov, N.A.; Aksenova, I.V. 7-(2-Aryl-1-cyanovinyl)-1,2,3,4-tetrahydropyrazolo[1,5-a][1,3,5]triazine-8-carbonitriles: Synthesis and Biological Activity. Russ. J. Gen. Chem. 2023, 93, 1360–1373. [Google Scholar] [CrossRef]
- Velihina, Y.S.; Pil’o, S.G.; Zyabrev, V.S.; Moskvina, V.S.; Shablykina, O.V.; Brovarets, V.S. 2-(Dichloromethyl) pyrazolo[1,5-a][1,3,5]triazines: Synthesis and anticancer activity. Biopolym. Cell 2020, 36, 61–74. [Google Scholar] [CrossRef]
- Raghu, M.S.; Kumar, K.Y.; Prashanth, M.K.; Devi, V.A.; Alharethy, F.; Jeon, B.H. Synthesis, enzyme inhibition and molecular docking studies of pyrazolo[1,5-a][1,3,5]triazine derivatives as potential antioxidant agents. J. Mol. Struct. 2023, 1294, 136332. [Google Scholar] [CrossRef]
- Fekri, A.; Keshk, E.M.; Khalil, A.G.M.; Taha, I. Synthesis of novel antioxidant and antitumor 5-aminopyrazole derivatives, 2D/3D QSAR, and molecular docking. Mol. Divers. 2022, 26, 781–800. [Google Scholar] [CrossRef]
- Bondock, S.; Alqahtani, S.; Fouda, A.M. Synthesis and anticancer evaluation of some new pyrazolo[3,4-d][1,2,3]triazin-4-ones, pyrazolo[1,5-a]pyrimidines, and imidazo[1,2-b]pyrazoles clubbed with carbazole. J. Heterocycl. Chem. 2021, 58, 56–73. [Google Scholar] [CrossRef]
- Farag, A.M.; Kheder, N.A.; Dawood, K.M. Synthesis and Characterization of Some New Pyridine-Carboxamide Derivatives of Potential Biological Activities. Polycycl. Aromat. Compd. 2024, 44, 5927–5937. [Google Scholar] [CrossRef]
- Voinkov, E.K.; Drokin, R.A.; Fedotov, V.V.; Butorin, I.I.; Savateev, K.V.; Lyapustin, D.N.; Gazizov, D.A.; Gorbunov, E.B.; Slepukhin, P.A.; Gerasimova, N.A.; et al. Azolo[5,1-c][1,2,4]triazines and Azoloazapurines: Synthesis, Antimicrobial activity and in silico Studies. ChemistrySelect 2022, 7, e202104253. [Google Scholar] [CrossRef]
- Al-Trawneh, S.A.; Al-Dawdieh, S.A.; Abutaleb, N.S.; Tarawneh, A.H.; Salama, E.A.; El-Abadelah, M.M.; Seleem, M.N. Synthesis of new pyrazolo[5,1-c][1,2,4]triazines with antifungal and antibiofilm activities. Chem. Pap. 2020, 74, 1241–1252. [Google Scholar] [CrossRef]
- Abdallah, A.; Elgemeie, G.; Ahmed, E. Synthesis, Docking and Antimicrobials Evaluation of Novel Pyrazolotriazines as RNA Polymerase Inhibitors. Curr. Org. Chem. 2021, 25, 1715–1730. [Google Scholar] [CrossRef]
- Fahim, A.M.; Tolan, H.E.; Awad, H.; Ismael, E.H. Synthesis, antimicrobial and antiproliferative activities, molecular docking, and computational studies of novel heterocycles. J. Iran. Chem. Soc. 2021, 18, 2965–2981. [Google Scholar] [CrossRef]
- Sapozhnikova, I.M.; Ulomsky, E.N.; Rusinov, V.L.; Chupakhin, O.N.; Stepanov, A.V.; Savateeva-Lyubimova, T.N.; Sivak, K.V. 3-Cyanoazolo[5,1-c][1,2,4]triazines: Synthesis and antiviral activity. Chem. Heterocycl. Comp. 2021, 57, 467–472. [Google Scholar] [CrossRef]
- Abu-Melha, S. Synthesis, molecular modelling, and antiproliferative activity of new thiadiazole-pyrazolotriazine and thiadiazole-pyrazolopyrimidine hybrids. Arab. J. Sci. Eng. 2024, 49, 381–401. [Google Scholar] [CrossRef]
- El-Qaliei, M.I.; Mousa, S.A.; Mahross, M.H.; Hassane, A.M.A.; Gad-Elkareem, M.A.; Snoussi, M.; Aouadi, K.; Kadri, A. Novel (2-Oxoindolin-3-ylidene)methyl)-1H-pyrazole and their fused derivatives: Design, synthesis, antimicrobial evaluation, DFT, chemical approach, in silico ADME and molecular docking studies. J. Mol. Struct. 2022, 1264, 133299. [Google Scholar] [CrossRef]
- Hebishy, A.M.; Salama, H.T.; Elgemeie, G.H. New route to the synthesis of Benzamide-Based 5-aminopyrazoles and their fused heterocycles showing remarkable antiavian influenza virus activity. ACS Omega 2020, 5, 25104–25112. [Google Scholar] [CrossRef] [PubMed]
- Li, G.; Cheng, Y.; Han, C.; Song, C.; Huang, N.; Du, Y. Pyrazole-containing pharmaceuticals: Target, pharmacological activity, and their SAR studies. RSC Med. Chem. 2022, 13, 1300–1321. [Google Scholar] [CrossRef]
- Akram, S.; Jabeen, T.; Aslam, S.; Yusaf, A.; Ahmad, M.; Nazir, M.S.; Al-Hussain, S.A.; Zaki, M.E. N-arylpyrazole based Scaffolds: Synthesis and biological applications. J. Saudi Chem. Soc. 2024, 28, 101861. [Google Scholar] [CrossRef]
- Vahora, M.S.; Boruah, J.J.; Das, S.P. Synthesis and Pharmacological Activities of Pyrazole and Oxadiazole Derivatives: A Review. Russ. J. Org. Chem. 2023, 59, 846–869. [Google Scholar] [CrossRef]
- Hassan, A.S.; Aboulthana, W.M. Synthesis, In Vitro Biological Investigation, and In Silico Analysis of Pyrazole-Based Derivatives as Multi-target Agents. Egypt. J. Chem. 2023, 66, 441–455. [Google Scholar] [CrossRef]
- Ardevines, S.; Marqués-López, E.; Herrera, R.P. Heterocycles in breast cancer treatment: The use of pyrazole derivatives. Curr. Med. Chem. 2023, 30, 1145–1174. [Google Scholar] [CrossRef]
- Kumar, G.; Kumar, P.; Soni, A.; Sharma, V.; Nemiwal, M. Efficient synthesis and molecular docking analysis of quinazoline and azole hybrid derivatives as promising agents for anti-cancer and anti-tuberculosis activities. J. Mol. Struct. 2024, 1310, 138289. [Google Scholar] [CrossRef]
- Singh, S.; Tahlan, S.; Singh, K.; Verma, P.K. Synthetic Update on Antimicrobial Potential of Novel Pyrazole Derivatives: A Review. Curr. Org. Chem. 2024, 28, 325–345. [Google Scholar] [CrossRef]
- Alzahrani, A.Y.; Ammar, Y.A.; Salem, M.A.; Abu-Elghait, M.; Ragab, A. Design, synthesis, molecular modeling, and antimicrobial potential of novel 3-[(1H-pyrazol-3-yl) imino] indolin-2-one derivatives as DNA gyrase inhibitors. Arch. Pharm. 2022, 355, 2100266. [Google Scholar] [CrossRef]
- Khator, R.; Monga, V. Recent advances in the synthesis and medicinal perspective of pyrazole-based α-amylase inhibitors as antidiabetic agents. Future Med. Chem. 2024, 16, 173–195. [Google Scholar] [CrossRef]
- Abdelazeem, N.M.; Aboulthana, W.M.; Hassan, A.S.; Almehizia, A.A.; Naglah, A.M.; Alkahtani, H.M. Synthesis, in silico ADMET prediction analysis, and pharmacological evaluation of sulfonamide derivatives tethered with pyrazole or pyridine as anti-diabetic and anti-Alzheimer’s agents. Saudi Pharm. J. 2024, 32, 102025. [Google Scholar] [CrossRef]

































Disclaimer/Publisher’s Note: The statements, opinions and data contained in all publications are solely those of the individual author(s) and contributor(s) and not of MDPI and/or the editor(s). MDPI and/or the editor(s) disclaim responsibility for any injury to people or property resulting from any ideas, methods, instructions or products referred to in the content. |
© 2025 by the authors. Licensee MDPI, Basel, Switzerland. This article is an open access article distributed under the terms and conditions of the Creative Commons Attribution (CC BY) license (https://creativecommons.org/licenses/by/4.0/).
Share and Cite
Odeh, D.M.; Odeh, M.M.; Hafez, T.S.; Hassan, A.S. Bioactive Fused Pyrazoles Inspired by the Adaptability of 5-Aminopyrazole Derivatives: Recent Review. Molecules 2025, 30, 366. https://doi.org/10.3390/molecules30020366
Odeh DM, Odeh MM, Hafez TS, Hassan AS. Bioactive Fused Pyrazoles Inspired by the Adaptability of 5-Aminopyrazole Derivatives: Recent Review. Molecules. 2025; 30(2):366. https://doi.org/10.3390/molecules30020366
Chicago/Turabian StyleOdeh, Dana M., Mohanad M. Odeh, Taghrid S. Hafez, and Ashraf S. Hassan. 2025. "Bioactive Fused Pyrazoles Inspired by the Adaptability of 5-Aminopyrazole Derivatives: Recent Review" Molecules 30, no. 2: 366. https://doi.org/10.3390/molecules30020366
APA StyleOdeh, D. M., Odeh, M. M., Hafez, T. S., & Hassan, A. S. (2025). Bioactive Fused Pyrazoles Inspired by the Adaptability of 5-Aminopyrazole Derivatives: Recent Review. Molecules, 30(2), 366. https://doi.org/10.3390/molecules30020366

