Recovery of Polysaccharides from Red Grape Marc and White Grape Pomace by Degradation of Cell Walls by Enzymes with Different Activities
Abstract
1. Introduction
2. Results and Discussion
2.1. Quantification of Polysaccharides from Marc and Pomace Extracts
2.2. Distribution of the Molecular Weights of Polysaccharides by HPSEC-RID
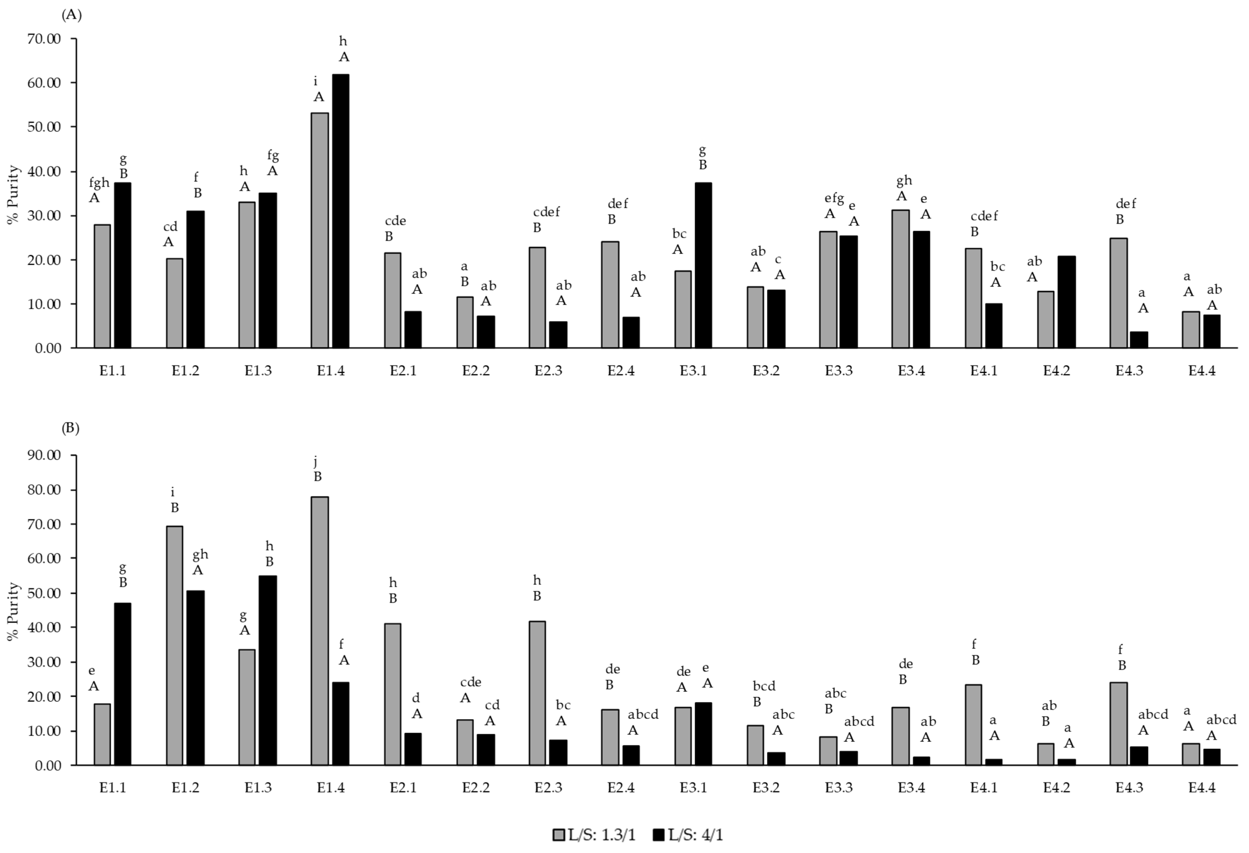
2.3. Purity of Polysaccharides and Extraction Efficiency
3. Materials and Methods
3.1. Grape Pomace Materials and Enological Parameters
3.2. Assays of Extraction Assisted by Commercial Enzymes and Obtention of Polysaccharide Extracts from Grape Pomace and Marc
3.3. Identification and Quantification of Monosaccharides by GC-MS and Quantification of Polysaccharide Families
3.4. Polysaccharide Analysis by HPSEC-RID
3.5. Polysaccharide Purity in Extracts and Enzyme-Assisted Extraction (EAE) Efficiency
3.6. Statistical Analysis
4. Conclusions
Supplementary Materials
Author Contributions
Funding
Institutional Review Board Statement
Informed Consent Statement
Data Availability Statement
Acknowledgments
Conflicts of Interest
References
- Consejo Regulador de la Denominación de Origen Calificada Rioja. Available online: https://riojawine.com/doca-rioja/variedades-de-uva/ (accessed on 12 November 2024).
- Boussetta, N.; Lanoisellé, J.L.; Bedel-Cloutour, C.; Vorobiev, E. Extraction of soluble matter from grape pomace by high voltage electrical discharges for polyphenol recovery: Effect of sulphur dioxide and thermal treatments. J. Food Eng. 2009, 95, 192–198. [Google Scholar] [CrossRef]
- Ageeva, N.M.; Tikhonova, A.N.; Globa, E.V. Biotechnologies used to deal with recycling of grape pomace. In IOP Conference Series: Earth and Environmental Science, Volume 1052, International Conference on Production and Processing of Agricultural Raw Materials (P2ARM 2021), Voronezh, Russia 21–24 September 2021; IOP Publishing: Bristol, UK, 2022. [Google Scholar] [CrossRef]
- Spinei, M.; Oroian, M. Characterization of băbească neagră grape pomace and incorporation into jelly candy: Evaluation of phytochemical, sensory, and textural properties. Foods 2024, 13, 98. [Google Scholar] [CrossRef] [PubMed]
- Curiel-Fernández, M.; Cano-Mozo, E.; Ayestarán, B.; Guadalupe, Z.; Pérez-Magariño, S. Influence of grape polysaccharide extracts on the phenolic compounds and color characteristics of different red wines. J. Agric. Food Chem. 2024, 72, 1985–1994. [Google Scholar] [CrossRef] [PubMed]
- Canalejo, D.; Martínez-Lapuente, L.; Ayestarán, B.; Pérez-Magariño, S.; Doco, T. Grape-derived polysaccharide extracts rich in Rhamnogalacturonans-II as potential modulators of white wine flavor compounds. Molecules 2023, 28, 6477. [Google Scholar] [CrossRef]
- Canalejo, D.; Martínez-Lapuente, L.; Ayestarán, B.; Pérez-Magariño, S.; Guadalupe, Z. Potential use of grape and wine polysaccharide extracts as fining agents to modulate the volatile composition of Viura wines. Food Chem. 2024, 430, 137047. [Google Scholar] [CrossRef]
- Canalejo, D.; Guadalupe, Z.; Martínez-Lapuente, L.; Ayestarán, B.; Pérez-Magariño, S. Optimization of a method to extract polysaccharides from white grape pomace by-products. Food Chem. 2021, 365, 130445. [Google Scholar] [CrossRef]
- Barba, F.J.; Zhu, Z.; Koubaa, M.; Sant’Ana, A.S.; Orlien, V. Green alternative methods for the extraction of antioxidant bioactive compounds from winery wastes and by-products: A review. Trends Food Sci. Technol. 2016, 49, 96–109. [Google Scholar] [CrossRef]
- Ilyas, T.; Chowdhary, P.; Chaurasia, D.; Gnansounou, E.; Pandey, A.; Chaturvedi, P. Sustainable green processing of grape pomace for the production of value-added products: An overview. Environ. Technol. Innov. 2021, 23, 101592. [Google Scholar] [CrossRef]
- Song, Y.R.; Sung, S.K.; Jan, M.; Lim, T.G.; Cho, C.W.; Han, C.J.; Hong, H.D. Enzyme-assisted extraction, chemical characteristics, and immunostimulatory activity of polysaccharides from Korean ginseng (Panax ginseng Meyer). J. Biol. Macromol. 2018, 116, 1089–1097. [Google Scholar] [CrossRef]
- Coelho, M.C.; Pereira, R.N.; Rodrigues, A.S.; Texeira, J.A.; Pintado, M.E. The use of emergent technologies to extract added value compounds from grape by-products. Trends Food Sci. Technol. 2020, 106, 182–197. [Google Scholar] [CrossRef]
- Gao, Y.; Fangel, J.U.; Willats, W.G.T.; Vivier, M.A.; Moore, J.P. Dissecting the polysaccharide-rich grape cell wall changes during winemaking using combined high-throughput and fractionation methods. Carbohydr. Polym. 2015, 133, 567–577. [Google Scholar] [CrossRef] [PubMed]
- Romero-Cascales, I.; Fernández-Fernández, J.I.; Ros-García, J.M.; López-Roca, J.M.; Gómez-Plaza, E. Characterisation of the main enzymatic activities present in six commercial macerating enzymes and their effects on extracting colour during winemaking of Monastrell grapes. Int. J. Food Sci. 2008, 43, 1295–1305. [Google Scholar] [CrossRef]
- Osete-Alcaraz, A.; Gómez-Plaza, E.; Martínez-Pérez, P.; Weiller, F.; Schückel, J.; Willats, W.G.T.; Moore, J.P.; Ros-García, J.M.; Bautista-Ortín, A.B. The Influence of Hydrolytic Enzymes on Tannin Adsorption-Desorption onto Grape Cell Walls in a Wine-Like Matrix. Molecules 2021, 26, 770. [Google Scholar] [CrossRef]
- Kassara, S.; Li, S.; Smith, P.; Blando, F.; Bindon, K. Pectolytic enzyme reduces the concentration of colloidal particles in wine due to changes in polysaccharide structure and aggregation properties. Int. J. Biol. Macromol. 2019, 140, 546–555. [Google Scholar] [CrossRef]
- Resolution OIV-OENO 498. 2013. Available online: https://www.oiv.int/public/medias/1591/oiv-oeno-498-2013-es.pdf (accessed on 11 November 2024).
- M’hiri, N.; Ioannou, I.; Ghoul, M.; Boudhrioua, N.M. Extraction Methods of Citrus Peel Phenolic Compounds. Food Rev. Int. 2014, 30, 265–290. [Google Scholar] [CrossRef]
- Bernaerts, T.; De Laet, E.; Hendrickx, M.; Van Loey, A. How particle size reduction improves pectin extraction efficiency in carrot pomace. LWT Food Sci. Technol. 2024, 201, 116242. [Google Scholar] [CrossRef]
- Basak, S.; Annapure, U.S. The potential of subcritical water as a “green” method for the extraction and modification of pectin: A critical review. Food Res. Int. 2022, 161, 111849. [Google Scholar] [CrossRef]
- Sheladiya, P.; Kapadia, C.; Prajapati, V.; Enshasy, H.A.E.; Malek, R.A.; Marraiki, N.; Zaghloul, N.S.S.; Sayyed, R.Z. Production, statistical optimization, and functional characterization of alkali stable pectate lyase of Paenibacillus lactis PKC5 for use in juice clarification. Sci. Rep. 2022, 12, 7564. [Google Scholar] [CrossRef]
- Río Segade, S.; Malabaila, M.; Škrab, D.; Paissoni, M.A.; Giacosa, S.; Montanin, C.; Rolle, L. Variety effect of distinct enzyme treatments during prefermentative maceration of white winegrapes on volatile organic compounds and chromatic traits. Food Biosci. 2024, 59, 103915. [Google Scholar] [CrossRef]
- Colodel, C.; Vriesmann, L.C.; Teófilo, R.F.; de Oliveira Petkowicz, C.L. Extraction of pectin from ponkan (Citrus reticulata Blanco cv. Ponkan) peel: Optimization and structural characterization. Int. J. Biol. Macromol. 2018, 117, 385–391. [Google Scholar] [CrossRef]
- Santos, J.D.G.; Espeleta, A.F.; Branco, A.; de Assis, S.A. Aqueous extraction of pectin from sisal waste. Carbohydr. Polym. 2013, 92, 1997–2001. [Google Scholar] [CrossRef] [PubMed]
- Osete-Alcaraz, A.; Gómez-Plaza, E.; Martínez-Pérez, P.; Weiller, F.; Schückel, J.; Willats, W.G.T.; Moore, P.; Ros-García, J.M.; Bautista-Ortín, A.B. The impact of carbohydrate-active enzymes on mediating cell wall polysaccharide-tannin interactions in a wine-like matrix. Int. Food Res. 2020, 129, 108889. [Google Scholar] [CrossRef] [PubMed]
- González-Centeno, M.R.; Rosselló, C.; Simal, S.; Garau, M.C.; López, F.; Femenia, A. Physico-chemical properties of cell wall materials obtained from ten grape varieties and their byproducts: Grape pomaces and stems. LWT Food Sci. Technol. 2010, 43, 1580–1586. [Google Scholar] [CrossRef]
- Gao, Y.; Fangel, J.U.; Willats, W.G.T.; Vivier, M.A.; Moore, J.P. Effect of commercial enzymes on berry cell wall deconstruction in the context of intravineyard ripeness variation under winemaking conditions. J. Agric. Food Chem. 2016, 64, 3862–3872. [Google Scholar] [CrossRef] [PubMed]
- Anoraga, S.B.; Shamsudin, R.; Hamzah, M.H.; Sharif, S.; Saputro, A.D.; Basri, M.S.M. Optimization of subcritical water extraction for pectin extraction from cocoa pod husks using the response surface methodology. Food Chem. 2024, 459, 140355. [Google Scholar] [CrossRef]
- Medina-Plaza, C.; Meade, H.; Dokoozlian, N.; Ponangi, R.; Blair, T.; Block, D.E.; Oberholster, A. Investigating the Relation between Skin Cell Wall Composition and Phenolic Extractability in Cabernet Sauvignon Wines. Fermentation 2022, 8, 401. [Google Scholar] [CrossRef]
- Guadalupe, Z.; Ayestarán, B.; Williams, P.; Doco, T. Determination of must and wine polysaccharides by gas chromatography-mass spectrometry (GC-MS) and Size-Exclusion Chromatography (SEC). In Polysaccharides: Bioactivity and Biotechnology; Ramawat, K., Mérillon, J.M., Eds.; Springer: Cham, Switzerland; Heidelberg, Germany; New York, NY, USA; Dordrecht, The Netherlands; London, UK, 2015; pp. 1265–1297. [Google Scholar]
- Pinelo, M.; Arnous, A.; Meyer, A.S. Upgrading of grape skins: Significance of plant cell-wall structural components and extraction techniques for phenol release. Trends Food Sci. Technol. 2006, 17, 579–590. [Google Scholar] [CrossRef]
- Doco, T.; Williams, P.; Vidal, S.; Pellerin, P. Rhamnogalacturonan II, a dominant polysaccharide in juices produced by enzimic liquefaction of fruits and vegetables. Carbohydr. Res. 1997, 297, 181–186. [Google Scholar] [CrossRef]
- Pérez, S.; Rodríguez-Carvajal, M.A.; Doco, T. A complex plant cell wall polysaccharide: Rhamnogalacturonan II. A structure in quest of a function. Biochimie 2003, 85, 109–121. [Google Scholar] [CrossRef]
- Vidal, S.; Williams, P.; O’Neill, M.A.; Pellerin, P. Polysaccharides from grape berry cell walls. Part I: Tissue distribution and structural characterization of the pectic polysaccharides. Carbohydr. Polym. 2001, 45, 315–323. [Google Scholar] [CrossRef]
- Arnous, A.; Meyer, A.S. Quantitative prediction of cell wall polysaccharide composition in grape (Vitis vinifera L.) and apple (Malus domestica) skins from acid hydrolysis monosaccharide profiles. J. Agric. Food Chem. 2009, 57, 3611–3619. [Google Scholar] [CrossRef] [PubMed]
- Doco, T.; Williams, P.; Pauly, M.; O’Neill, M.A.; Pellerin, P. Polysaccharides from grape berry cell walls. Part II. Structural characterization of the xyloglucan polysaccharides. Carbohydr. Polym. 2003, 53, 253–261. [Google Scholar] [CrossRef]
- Chong, H.H.; Cleary, M.T.; Dokoozlian, N.; Ford, C.M.; Fincher, G.B. Soluble cell wall carbohydrates and their relationship with sensory attributes in Cabernet Sauvignon wine. Food Chem. 2019, 298, 124745. [Google Scholar] [CrossRef] [PubMed]
- Apolinar-Valiente, R.; Romero-Cascales, I.; López-Roca, J.M.; Gómez-Plaza, E.; Ros-García, J.M. Application and comparison of four selected procedures for the isolation of cell-wall material from the skin of grapes cv. Monastrell. Anal. Chim. Acta 2010, 660, 206–210. [Google Scholar] [CrossRef] [PubMed]
- Minjares-Fuentes, R.; Femenia, A.; Garau, M.C.; Meza-Velázquez, J.A.; Simal, S.; Rosselló, C. Ultrasound-assisted extraction of pectins from grape pomace using citric acid: A response surface methodology approach. Carbohydr. Polym. 2014, 106, 179–189. [Google Scholar] [CrossRef] [PubMed]
- García-Lomillo, J.; González-San José, M.L. Applications of wine pomace in the food industry: Approaches and functions. Compr. Rev. Food Sci. Food Saf. 2017, 16, 3–22. [Google Scholar] [CrossRef]
- OIV. International Organization of Vine and Wine. Compendium of International Methods of Wine and Must Analysis. 2016. Available online: https://www.oiv.int/public/medias/4005/compendium-2016-en-vol2.pdf (accessed on 10 October 2024).
- Cano-González, C.N.; Contreras-Esquivel, J.C.; Rodríguez-Herrera, R.; Aguirre-Loredo, R.Y.; Soriano-Melgar, L.A.A. Transformation of agricultural wastes into functional oligosaccharides using enzymes and emerging technologies. Phytochem. Anal. 2024, 35, 1771–1780. [Google Scholar] [CrossRef]


| (A) | ||||||||||||||||
| Sample b | L/S: 1.3/1 | L/S: 4/1 | ||||||||||||||
| TMS a | RG-II a | MAN a | PRAG a | HL a | TSP Pec a | TSP Non Pec a | TSP a | TMS a | RG-II a | MAN a | PRAG a | HL a | TSP Pec a | TSP Non Pec a | TSP a | |
| Control | 260.02 ab β | 45.71 a α | 56.03 a β | 79.02 ab α | 14.21 a α | 138.94 ab α | 125.56 a β | 264.50 ab β | 130.05 a α | 26.39 a α | 16.65 a α | 52.26 a α | 6.44 a α | 85.09 a α | 47.45 a α | 132.54 a α |
| E1.1 | 288.37 b B α | 71.92 ab B α | 18.84 a BC α | 105.48 bc B β | 41.56 ab BC α | 218.96 bc C α | 61.08 a A α | 280.04 ab B α | 388.67 c B β | 173.25 b D β | 11.59 a A α | 70.38 b B α | 42.46 c AB α | 286.10 b B β | 88.00 b B β | 374.10 c B β |
| E1.2 | 203.83 a B α | 21.29 a A α | 4.60 a A α | 47.48 a B α | 45.46 ab C β | 114.23 a B α | 87.02 a C β | 201.25 a B α | 309.71 b D β | 141.31 b B β | 17.01 a B β | 83.49 bc B β | 28.61 b B α | 253.41 b D β | 56.28 a C α | 309.69 b D β |
| E1.3 | 372.50 c B α | 82.34 ab B α | 10.17 a A α | 137.02 c C α | 33.66 a B α | 253.02 c C α | 77.06 a A α | 330.08 b B α | 356.78 c C α | 152.79 b B β | 16.97 a B β | 113.11 d C α | 31.71 bc B α | 297.61 b C β | 53.09 a B α | 350.70 bc C α |
| E1.4 | 542.71 d C α | 135.17 b B α | 21.29 a B α | 227.44 d B β | 82.37 c B α | 444.98 d C α | 87.35 a B α | 532.33 c D α | 627.08 d C α | 417.17 c B β | 31.63 b B α | 94.77 c B α | 0.00 a A α | 511.94 c C α | 105.34 c B α | 617.27 d C α |
| Control | 260.02 ab β | 45.71 a α | 56.03 a β | 79.02 ab α | 14.21 a α | 138.94 ab α | 125.56 a β | 264.50 ab β | 130.05 a α | 26.39 a α | 16.65 a α | 52.26 a α | 6.44 a α | 85.09 a α | 47.45 a α | 132.54 a α |
| E2.1 | 217.12 b A β | 18.07 a A α | 4.34 a A α | 57.76 ab A β | 51.02 c C β | 126.86 a ABβ | 87.90 a B β | 214.76 b A β | 86.86 a A α | 24.87 a B β | 8.57 a A | 27.33 a A α | 4.56 ab A α | 56.76 ab A α | 26.31 a A α | 83.07 a A α |
| E2.2 | 119.82 a A β | 22.11 a A α | 7.75 a A α | 14.81 a A α | 16.91 ab B β | 53.83 a A α | 60.54 a B β | 114.37 a A β | 77.40 a A α | 29.89 a A | 7.02 a A α | 19.48 a A α | 0.15 a A α | 49.52 a A α | 23.25 a A α | 72.77 a A α |
| E2.3 | 231.39 b A β | 31.37 a A β | 9.89 a A α | 44.47 ab A β | 31.09 b B β | 106.92 a A β | 121.76 a B β | 228.68 b A β | 61.03 a A α | 3.53 a A α | 7.46 a A α | 19.11 a A α | 11.45 b A α | 34.09 a A α | 24.85 a A α | 58.95 a A α |
| E2.4 | 242.78 b B β | 23.55 a A α | 31.67 a C β | 79.42 b A β | 7.41 a A β | 110.38 A β | 130.05 a C β | 240.43 b B β | 73.86 a A α | 25.99 a A α | 7.56 a A | 17.78 a A α | 2.03 a A α | 45.79 a A α | 23.86 a A α | 69.65 a A α |
| Control | 260.02 ab β | 45.71 a α | 56.03 a β | 79.02 ab α | 14.21 a α | 138.94 ab α | 125.56 a β | 264.50 ab β | 130.05 a α | 26.39 a α | 16.65 a α | 52.26 a α | 6.44 a α | 85.09 a α | 47.45 a α | 132.54 a α |
| E3.1 | 174.23 a A α | 22.44 a A α | 24.22 a C α | 52.95 a A α | 30.65 b B α | 106.05 a A α | 68.70 a A α | 174.75 a A α | 392.45 c B β | 135.64 b C β | 36.87 b B α | 87.23 c B β | 61.69 bc B α | 284.56 c B β | 89.53 b B α | 374.09 c B β |
| E3.2 | 122.23 a A α | 59.31 a C β | 14.79 a B α | 42.90 a B α | 0.00 a A α | 102.21 a B α | 36.62 a A α | 138.82 a A α | 134.70 a B α | 25.59 a A α | 16.17 a B α | 35.12 a A α | 32.14 ab B β | 92.85 a B α | 38.81 a B α | 131.66 a B α |
| E3.3 | 267.46 b A α | 79.50 a B β | 21.62 a B α | 75.30 a AB α | 40.25 b B α | 195.05 ab B α | 68.57 a A α | 263.62 b ABα | 255.90 b B α | 16.31 a A α | 31.38 b C β | 70.06 c B α | 69.89 c C β | 156.26 b B α | 97.59 b C β | 253.85 b B α |
| E3.4 | 272.38 b A α | 173.21 b C β | 34.02 a C α | 56.74 a A α | 0.00 a A α | 229.95 b B α | 81.03 a B α | 310.98 b C α | 265.81 b B α | 13.92 a A α | 37.83 b B α | 86.08 c B α | 71.35 c B β | 171.35 b B α | 92.48 b B α | 263.83 b B α |
| Control | 260.02 ab β | 45.71 a α | 56.03 a β | 79.02 ab α | 14.21 a α | 138.94 ab α | 125.56 a β | 264.50 ab β | 130.05 a α | 26.39 a α | 16.65 a α | 52.26 a α | 6.44 a α | 85.09 a α | 47.45 a α | 132.54 a α |
| E4.1 | 222.02 b A β | 68.95 a B β | 14.79 a B α | 95.11 b B β | 0.00 a A α | 164.07 b B β | 61.51 ab A β | 225.58 b AB β | 101.63 bc Aα | 7.72 a A α | 14.49 bc A α | 41.60 b A α | 8.71 b A β | 58.03 bc A α | 41.35 b A α | 99.39 bc A α |
| E4.2 | 131.05 a A α | 36.05 a B β | 11.49 a B α | 50.00 ab B α | 2.49 ab A α | 88.53 ab B α | 38.89 ab A α | 127.42 a A α | 208.47 d C β | 16.02 a A α | 33.43 d C β | 91.48 c B β | 7.02 b A β | 114.53 d C β | 91.93 c D β | 206.47 d C β |
| E4.3 | 247.63 b A β | 89.19 a B β | 18.79 a B β | 88.85 b B β | 0.00 a A α | 178.05 b B β | 70.74 ab A β | 248.79 b A β | 40.48 a A α | 1.54 a A α | 6.82 a A α | 11.45 a A α | 5.97 ab A β | 18.95 a A α | 17.66 a A α | 36.61 a A α |
| E4.4 | 83.06 a A α | 28.67 a A α | 9.65 a A α | 28.66 a A β | 0.00 a A α | 57.34 a A α | 25.40 a A α | 82.74 a A α | 73.27 b A α | 26.24 a A α | 9.17 ab A α | 19.30 a A α | 0.00 a A α | 45.54 ab A α | 28.79 a A α | 74.33 b A α |
| (B) | ||||||||||||||||
| Sample b | L/S: 1.3/1 | L/S: 4/1 | ||||||||||||||
| TMS a | RG-II a | MAN a | PRAG a | HL a | TSP Pec a | TSP Non Pec a | TSP a | TMS a | RG-II a | MAN a | PRAG a | HL a | TSP Pec a | TSP Non Pec a | TSP a | |
| Control | 55.48 a α | 11.22 a β | 8.80 a α | 23.78 a α | 1.40 a α | 36.40 a β | 17.81 a α | 54.21 a α | 44.26 a α | 5.32 a α | 7.94 a α | 18.45 a α | 3.31 a α | 27.08 a α | 14.72 a α | 41.80 a α |
| E1.1 | 177.79 b A α | 47.63 b C α | 23.05 b A α | 57.23 b A α | 18.67 b A α | 123.54 b A α | 54.50 b A α | 178.04 b A α | 472.76 c D β | 160.01 c C β | 65.10 c D β | 100.97 c D β | 76.52 bc B α | 337.51 c D β | 132.31 c C β | 469.82 c D β |
| E1.2 | 714.16 d B β | 243.20 d B α | 91.90 d B β | 205.05 d C β | 85.86 d B β | 534.11 d B β | 157.63 d C β | 691.74 d C β | 524.59 cd C α | 230.89 d B α | 62.27 c C α | 110.02 c D α | 40.73 ab B α | 381.65 cd C α | 124.06 c D α | 505.70 cd C α |
| E1.3 | 337.82 c C α | 86.72 c B α | 49.40 c B α | 102.82 c B α | 61.35 c B α | 250.89 c C α | 83.42 c C α | 334.31 c C α | 570.84 d B β | 218.22 d B β | 77.47 d B β | 103.36 c B α | 88.88 c B α | 410.47 d B β | 138.82 c B β | 549.29 d B β |
| E1.4 | 792.77 e C β | 240.38 d C β | 109.59 e C β | 227.22 e C β | 94.60 d D β | 562.19 d C β | 217.91 e B β | 780.10 e C β | 252.29 b C α | 124.19 b C α | 23.57 b C α | 40.29 b C α | 21.32 b C α | 185.80 b C α | 55.10 b C α | 240.90 b C α |
| Control | 55.48 a α | 11.22 a β | 8.80 a α | 23.78 a α | 1.40 a α | 36.40 a β | 17.81 a α | 54.21 a α | 44.26 a α | 5.32 a α | 7.94 a α | 18.45 a α | 3.31 a α | 27.08 a α | 14.72 a α | 41.80 a α |
| E2.1 | 407.19 c C β | 104.88 c D β | 49.22 c C β | 145.35 c C β | 36.38 c AB β | 286.61 d C β | 124.70 c B β | 411.31 c C β | 93.67 c B α | 20.19 b AB α | 13.07 bc B α | 38.73 b B α | 5.83 b A α | 64.74 c B α | 27.72 b B α | 92.47 c B α |
| E2.2 | 133.14 b A α | 30.35 b A β | 15.58 b A α | 47.27 b B α | 12.78 ab A α | 90.40 b A α | 42.39 b B α | 132.79 b B α | 91.22 bc B α | 7.70 a A α | 14.21 c B α | 41.95 b C α | 13.44 c A α | 63.09 c B α | 27.05 b C α | 90.14 c B α |
| E2.3 | 411.06 c C β | 109.72 c C β | 74.91 d C β | 182.96 d C β | 0.00 a A α | 292.68 d C β | 124.71 c D β | 417.40 c D β | 74.10 b A α | 21.08 b A α | 9.79 ab A α | 26.23 a A α | 2.58 ab A | 49.89 b A α | 22.89 ab A α | 72.78 bc A α |
| E2.4 | 165.85 b B β | 36.40 b B β | 19.24 b AB β | 59.80 b B β | 26.28 bc B β | 122.48 c B β | 38.22 b A β | 160.70 b B β | 55.02 a B α | 18.45 b B α | 10.20 abc B α | 18.59 a B α | 0.00 a A α | 37.04 a B α | 18.18 a B α | 55.22 ab B α |
| Control | 55.48 a α | 11.22 a β | 8.80 a α | 23.78 a α | 1.40 a α | 36.40 a β | 17.81 a α | 54.21 a α | 44.26 a α | 5.32 a α | 7.94 a α | 18.45 a α | 3.31 a α | 27.08 a α | 14.72 a α | 41.80 a α |
| E3.1 | 170.31 c A α | 14.83 ab A α | 24.10 b A α | 70.42 c AB α | 43.48 d AB α | 128.73 c A α | 39.92 c A α | 168.65 c A α | 185.07 c C α | 31.22 b B β | 27.19 c C α | 66.09 c C α | 40.55 c AB α | 137.87 b C α | 43.24 b B α | 181.10 b C α |
| E3.2 | 118.13 b A β | 28.10 c A β | 13.13 a A β | 37.39 ab AB β | 22.18 b A β | 87.67 b A β | 28.31 b A β | 115.99 b AB β | 37.25 ab A α | 2.87 a A α | 7.95 ab AB α | 16.06 b B α | 2.13 a A α | 21.06 a A α | 15.05 a B α | 36.11 a A α |
| E3.3 | 82.13 a A β | 19.00 b A β | 13.13 a A α | 36.53 a A β | 0.00 a A α | 55.53 a A β | 27.16 b A β | 82.69 a A β | 42.18 ab A α | 3.44 a A α | 9.09 b A α | 18.51 b A α | 2.91 a A β | 24.86 a A α | 15.33 a A α | 40.19 a A α |
| E3.4 | 172.50 c B β | 42.96 d B β | 22.56 b B β | 50.65 b B β | 35.23 c C β | 128.85 c B β | 38.99 c A β | 167.83 c B β | 25.54 a A α | 1.12 a A α | 4.31 a A α | 8.40 a A α | 7.60 b B α | 17.12 a A α | 8.06 a A α | 25.19 a A α |
| Control | 55.48 a α | 11.22 a β | 8.80 a α | 23.78 a α | 1.40 a α | 36.40 a β | 17.81 a α | 54.21 a α | 44.26 a α | 5.32 a α | 7.94 a α | 18.45 a α | 3.31 a α | 27.08 a α | 14.72 a α | 41.80 a α |
| E4.1 | 235.98 b B β | 29.70 b B β | 35.75 b B β | 85.24 b B β | 60.30 d B β | 175.24 b B β | 58.32 b A β | 233.56 b B β | 17.84 a A α | 4.24 a A α | 3.40 a A α | 7.19 a A α | 0.00 a A α | 11.43 a A α | 6.23 a A α | 17.66 a A α |
| E4.2 | 66.15 a A β | 8.44 a A β | 10.21 a A β | 22.77 a A β | 12.52 b A β | 43.72 a A β | 20.54 a A β | 64.26 a A β | 18.04 a A α | 0.78 a A α | 3.02 a A α | 6.19 a A α | 4.63 b A α | 11.60 a A α | 5.51 a A α | 17.11 a A α |
| E4.3 | 241.14 b B β | 31.87 b A β | 40.60 b B β | 97.49 b B β | 44.65 c B β | 174.00 b B β | 65.43 b B β | 239.43 b B β | 52.97 b A α | 1.90 a A α | 8.16 b A α | 17.37 b A α | 17.03 d A α | 36.30 b A α | 15.49 b A α | 51.79 b A α |
| E4.4 | 63.34 a A α | 8.21 a A β | 8.09 a A α | 21.21 a A α | 15.07 b A α | 44.49 a A β | 17.14 a A α | 61.64 a A α | 51.20 b B α | 3.59 a A α | 6.66 ab A α | 20.08 b B α | 8.26 c B α | 31.94 b B α | 16.39 b B α | 48.32 b B α |
| (A) | L/S = 1.3/1 | L/S = 4/1 | (B) | L/S = 1.3/1 | L/S = 4/1 | |||||||||
|---|---|---|---|---|---|---|---|---|---|---|---|---|---|---|
| Pomace | % HMW a | % MMW | % LMW | % HMW | % MMW | % LMW | Marc | % HMW | % MMW | % LMW | % HMW | % MMW | % LMW | |
| Control | 20.91 | 9.93 | 69.16 | 11.54 | 8.74 | 79.73 | Control | 11.90 | 3.32 | 84.78 | 8.95 | 6.68 | 84.37 | |
| E 1.1 | 11.86 | 4.84 | 83.30 | 17.25 | 13.37 | 69.38 | E 1.1 | 16.78 | 6.29 | 76.93 | 48.30 | 19.39 | 32.31 | |
| E 1.2 | 12.79 | 7.15 | 80.06 | 17.76 | 14.69 | 67.55 | E 1.2 | 26.28 | 11.00 | 63.00 | 47.76 | 18.66 | 33.57 | |
| E 1.3 | 14.26 | 7.99 | 77.76 | 17.80 | 15.10 | 67.10 | E 1.3 | 23.53 | 2.50 | 74.25 | 47.36 | 17.72 | 35.00 | |
| E 1.4 | 31.61 | 9.48 | 58.91 | 26.55 | 24.75 | 48.70 | E 1.4 | 68.53 | 19.21 | 15.30 | 23.21 | 16.89 | 59.90 | |
| E 2.1 | 10.79 | 2.48 | 86.73 | 14.04 | 9.45 | 76.51 | E 2.1 | 40.12 | 8.88 | 51.66 | 10.76 | 5.47 | 83.77 | |
| E 2.2 | 5.19 | 4.14 | 90.67 | 13.60 | 12.04 | 74.36 | E 2.2 | 12.78 | 7.10 | 80.36 | 15.88 | 6.89 | 77.22 | |
| E 2.3 | 8.68 | 6.83 | 84.49 | 11.33 | 10.14 | 78.53 | E 2.3 | 45.61 | 9.72 | 44.73 | 13.55 | 8.57 | 77.88 | |
| E 2.4 | 4.54 | 2.41 | 93.06 | 9.26 | 5.49 | 85.26 | E 2.4 | 16.27 | 8.73 | 75.00 | 9.54 | 4.27 | 86.19 | |
| E 3.1 | 11.79 | 2.76 | 85.45 | 15.08 | 9.45 | 75.47 | E 3.1 | 27.24 | 1.45 | 71.31 | 20.75 | 10.85 | 68.40 | |
| E 3.2 | 13.81 | 8.59 | 77.60 | 14.90 | 9.72 | 75.38 | E 3.2 | 17.67 | 2.45 | 79.88 | 12.77 | 8.01 | 79.23 | |
| E 3.3 | 9.94 | 3.68 | 86.38 | 14.35 | 11.37 | 74.28 | E 3.3 | 8.46 | 6.44 | 85.10 | 14.65 | 9.60 | 75.75 | |
| E 3.4 | 14.59 | 11.70 | 73.72 | 15.40 | 7.33 | 77.27 | E 3.4 | 20.11 | 12.00 | 67.89 | 9.64 | 6.78 | 83.58 | |
| E 4.1 | 7.47 | 5.92 | 86.60 | 15.06 | 9.48 | 75.46 | E 4.1 | 27.67 | 9.78 | 62.55 | 11.20 | 10.76 | 78.04 | |
| E 4.2 | 11.67 | 9.08 | 79.25 | 16.58 | 9.43 | 74.00 | E 4.2 | 14.44 | 4.80 | 80.76 | 16.73 | 14.50 | 69.22 | |
| E 4.3 | 20.15 | 6.74 | 73.11 | 11.73 | 6.96 | 81.31 | E 4.3 | 35.35 | 10.59 | 54.09 | 13.49 | 9.09 | 77.42 | |
| E 4.4 | 19.12 | 11.27 | 69.61 | 11.80 | 7.82 | 80.38 | E 4.4 | 17.13 | 3.20 | 79.67 | 16.25 | 11.74 | 72.01 | |
| Enzymatic Activities (U/g) | ||||||
|---|---|---|---|---|---|---|
| Enzyme | Commercial Name | Polygalacturanase | Pectinlyase | Pectin Methyl Esterase | Arabinase | β-Glucanase |
| E1 | Enozym lux | 4500 | 130 | 1000 | - | - |
| E2 | - | 7800 | 200 | - | - | - |
| E3 | - | 5300 | 450 | 560 | 90 | 2400 |
| E4 | Enozym vintage | 3704 | 280 | 450 | - | 3608 |
| Nomenclature of Doses | Nomenclature of Enzyme and Dose a | Dose of Enzyme | L/S: 1.3/1 | L/S: 4/1 |
|---|---|---|---|---|
| μL E/mL | μL E/g Marc or Pomace | μL E/g Marc or Pomace | ||
| 1 | E1.1; E2.1; E3.1 and E4.1 | 0.02 | 0.026 | 0.08 |
| 2 | E1.2; E2.2; E3.2 and E4.2 | 0.03 | 0.039 | 0.12 |
| 3 | E1.3; E2.3; E3.3 and E4.3 | 0.08 | 0.104 | 0.32 |
| 4 | E1.4; E2.4; E3.4 and E4.4 | 0.20 | 0.260 | 0.80 |
Disclaimer/Publisher’s Note: The statements, opinions and data contained in all publications are solely those of the individual author(s) and contributor(s) and not of MDPI and/or the editor(s). MDPI and/or the editor(s) disclaim responsibility for any injury to people or property resulting from any ideas, methods, instructions or products referred to in the content. |
© 2025 by the authors. Licensee MDPI, Basel, Switzerland. This article is an open access article distributed under the terms and conditions of the Creative Commons Attribution (CC BY) license (https://creativecommons.org/licenses/by/4.0/).
Share and Cite
Garaigordobil, E.; Martínez-Lapuente, L.; Guadalupe, Z.; Pérez-Magariño, S.; Ayestarán, B. Recovery of Polysaccharides from Red Grape Marc and White Grape Pomace by Degradation of Cell Walls by Enzymes with Different Activities. Molecules 2025, 30, 213. https://doi.org/10.3390/molecules30020213
Garaigordobil E, Martínez-Lapuente L, Guadalupe Z, Pérez-Magariño S, Ayestarán B. Recovery of Polysaccharides from Red Grape Marc and White Grape Pomace by Degradation of Cell Walls by Enzymes with Different Activities. Molecules. 2025; 30(2):213. https://doi.org/10.3390/molecules30020213
Chicago/Turabian StyleGaraigordobil, Ekhiñe, Leticia Martínez-Lapuente, Zenaida Guadalupe, Silvia Pérez-Magariño, and Belén Ayestarán. 2025. "Recovery of Polysaccharides from Red Grape Marc and White Grape Pomace by Degradation of Cell Walls by Enzymes with Different Activities" Molecules 30, no. 2: 213. https://doi.org/10.3390/molecules30020213
APA StyleGaraigordobil, E., Martínez-Lapuente, L., Guadalupe, Z., Pérez-Magariño, S., & Ayestarán, B. (2025). Recovery of Polysaccharides from Red Grape Marc and White Grape Pomace by Degradation of Cell Walls by Enzymes with Different Activities. Molecules, 30(2), 213. https://doi.org/10.3390/molecules30020213

