Next Article in Journal
Preclinical Theranostic Profiling of [64Cu]Cu-Acetate in Prostate Cancer
Previous Article in Journal
Copper-Mediated Homocoupling of N-propargylcytisine—Synthesis and Spectral Characterization of Novel Cytisine-Based Diyne Dimer
Previous Article in Special Issue
Effect of Auxins on the Accumulation of Alkaloids in Ungrafted Annona emarginata (Schltdl.) H. Rainer and Annona emarginata (Schltdl.) H. Rainer Grafted with Annona atemoya Mabb.
 
 
Font Type:
Arial Georgia Verdana
Font Size:
Aa Aa Aa
Line Spacing:
Column Width:
Background:
Review

Advances in the Total Synthesis of Angular Triquinane-Type Natural Products

School of Chemistry and Chemical Engineering, Huangshan University, Huangshan 245061, China
*
Author to whom correspondence should be addressed.
These authors contributed equally to this work.
Molecules 2025, 30(19), 3956; https://doi.org/10.3390/molecules30193956
Submission received: 26 August 2025 / Revised: 16 September 2025 / Accepted: 24 September 2025 / Published: 2 October 2025
(This article belongs to the Special Issue Synthesis, Characterization, and Biological Evaluation of Alkaloids)

Abstract

This review provides a comprehensive summary of advances in synthetic strategies for structurally complex angular triquinane natural products, with a particular emphasis on terpenoids and alkaloids over the past two decades. The formidable challenge inherent in these frameworks lies in the stereoselective construction of the congested, angularly fused triquinane core bearing one or more quaternary stereocenters. We systematically categorize and critically evaluate the key methodologies employed to construct this central motif, highlighting four major strategic approaches: (i) The Pauson–Khand reaction; (ii) tandem or cascade cyclization processes; (iii) skeletal reorganization strategies; and (iv) other innovative methods, including ring-expansion, radical cyclizations, and photochemical pathways.

1. Introduction

Angular triquinanes refer to tricyclic frameworks sharing a quaternary carbon vertex, typically with 5-5-5, 5-6-5, or 5-7-5 ring fusion topologies. These structurally intricate systems are prevalent in a wide array of bioactive natural products, including terpenes, alkaloids, and lactones, and exhibit diverse biological activities such as antibacterial, anticancer, anti-inflammatory, and antioxidant properties [1,2,3,4,5,6,7,8,9,10,11,12,13,14,15]. As shown in Figure 1, crinipellin A (2), isolated from the basidiomycete Crinipellis stipitaria, features an angular 5-5-5 tricyclic carbocycle and demonstrates significant antibacterial and anticancer activities [9,10]. Aberrarone (7) was tested against the most common etiologic agent of malaria, Plasmodium falciparum (W-2 chloroquine-resistant strain) [12]. Pepluanol B (8) has good inhibitory activity on the KV1.3 potassium ion channel, with an IC50 value of 9.50 μM [14,15]. Additional angular triquinane derivatives have also been reported to exhibit anti-inflammatory, antimicrobial, and antioxidant activities, further underscoring the therapeutic potential of this compound class [16,17,18,19,20].
A major hurdle in synthesizing angular triquinanes stems from the presence of one or more contiguous quaternary carbon centers, which significantly increases structural complexity and poses substantial challenges for synthetic chemists. Conventional stepwise transformations are often insufficient for efficiently constructing these congested polycyclic scaffolds, necessitating the development of sophisticated synthetic strategies. To address this gap, this review focuses on four major synthetic approaches for accessing angular triquinanes: the Pauson–Khand reaction, skeletal reorganization strategies, radical tandem cyclization reactions, and diverse cycloaddition reactions and ring-rearrangement metathesis. For each strategy, we critically discuss its unique advantages, limitations, and representative applications in natural product synthesis.

2. Pauson–Khand Annulation: Forging the Core via Metal-Catalyzed Cycloaddition

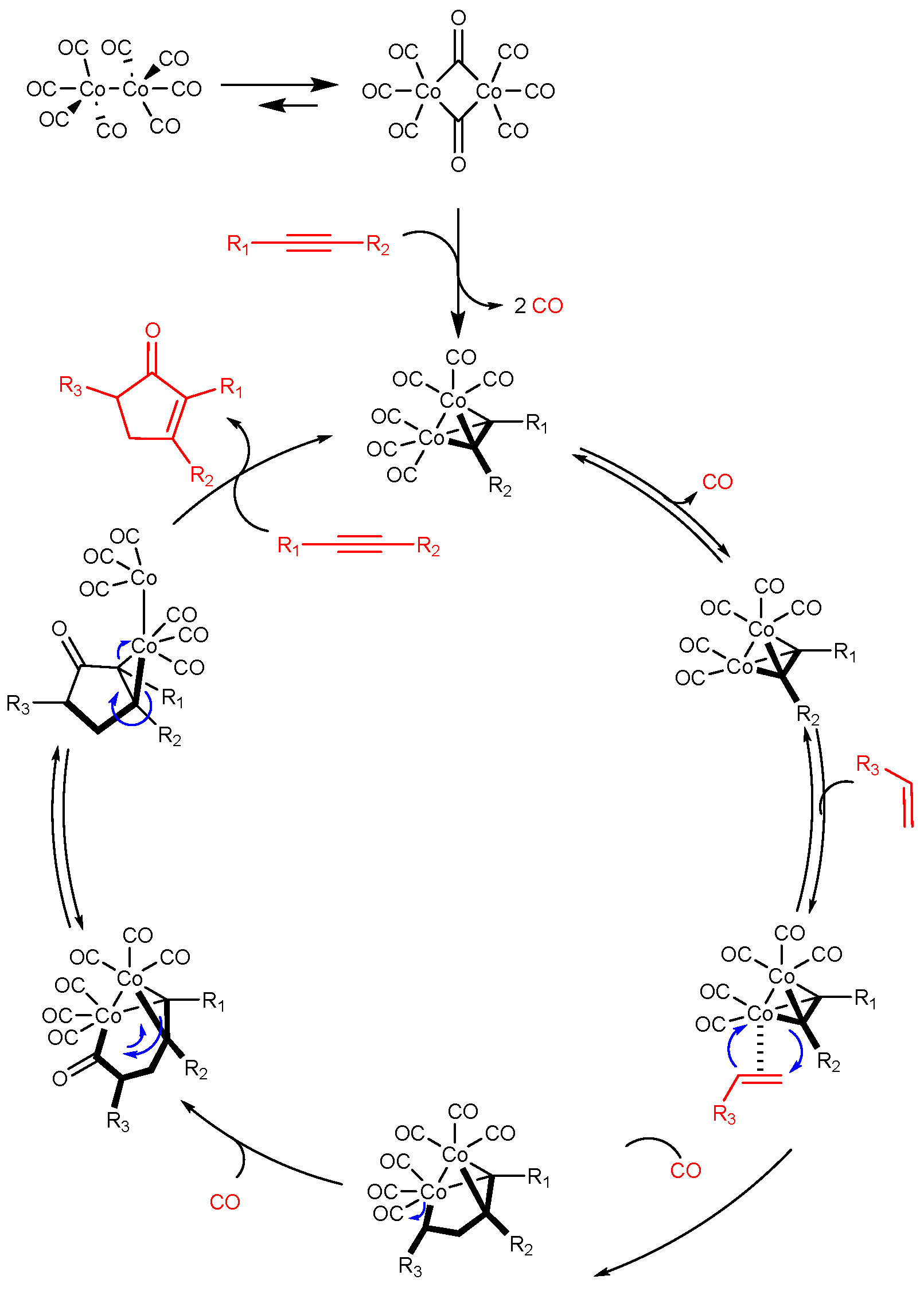
The Pauson–Khand reaction is a [2 + 2 + 1] cycloaddition of an alkyne, an alkene and carbon monoxide (Figure 2). This reaction is highly valuable for constructing complex structures, particularly cyclopentenones, and allows for better control of stereochemistry owing to its intramolecular nature.
In 2007, Fox’s team reported the first enantioselective synthesis of (−)-pentalenene, employing a cascade intramolecular Pauson–Khand reaction catalyzed by noble metal rhodium as the key step to construct a [5,5,3] tricyclic framework [21]. As shown in Scheme 1, ethyl diazoacetate (9) underwent stereoselective cyclopropenylation with diyne compound 10 under the catalysis of divalent rhodium to deliver compound 11, with a yield of up to 80% and an enantioselectivity of 91% ee. Subsequently, the introduction of the TMS group facilitated the Pauson–Khand reaction, resulting in the formation of tricyclic compound 13. Following seven steps, including deprotection, cyclopropane opening, and introduction of side chains, provided compound 15, which was converted to ketone 16 via two-step conversion. Under the action of strong base NaHMDS, an intramolecular SN2 reaction occurred with high yield, and the tricyclic compound 17 was constructed. Then asymmetric total synthesis of sesquiterpenes (−)-pentalenene (1) was accomplished through a Wittig reaction and an isomerization reaction.
In 2018, Yang’s group reported a strategy for diastereoselective construction of the tetraquinane core of diterpene compounds crinipellin A and crinipellin B via two Pauson–Khand reactions promoted by octacarbonyl cobalt and thiourea/palladium chloride, respectively [22]. As shown in Scheme 2, converting commercially available phenol 18 into alkynyl ester 19 was successful through seven steps, with a 15% yield. Compound 19 underwent the first Pauson–Khand reaction under the action of Cobalt carbonyl, constructing the A and B rings of the diterpene and producing cyclopentenone 20. A series of functional group conversions of 12 were carried out to obtain alkynyl compound 21. Under the catalysis of thiourea/palladium chloride [23], the second Pauson–Khand reaction occurred to provide tetracyclic compound 22. In this case, the C and D rings of the target natural product were constructed in one step. After subsequent adjustments of oxidation state and functional groups of 23 and 24, asymmetric total synthesis of crinipellin B (26) and crinipellin A (2), respectively, was achieved. Notably, this strategy will be helpful in the collective synthesis of crinipellin analogs, since it allows the protocol developed to be used to synthesize tetraquinane cores with different substituents through tactical changes in substituents and functionalities.
In 2020, Snyder’s group reported a highly concise, enantioselective total synthesis of the angular triquinane natural product (+)-waihoensene, a molecule featuring four contiguous all-carbon quaternary centers [24] (Scheme 3). Compound 27 was elaborated to ester 28, which served as the direct precursor for a pivotal gold-catalyzed Conia-ene reaction (Ph3PAuCl, AgOTf), forging a six-membered ring and the second vicinal quaternary center to provide the bicyclic framework 29 in quantitative yield. The key transformation was a challenging intramolecular Pauson–Khand reaction of enyne 32 (Co2(CO)8, CO, mesitylene, 160 °C), which successfully constructed the third ring and the final quaternary carbon center of the angular triquinane core, delivering intermediate 33. The synthesis was concluded by installing the fourth quaternary center via a cuprate-mediated methylation and a final Wittig olefination to yield (+)-waihoensene (3). This route is remarkable for its strategic use of minimal functional groups to orchestrate multiple critical C–C bond formations, its high convergency, and its innovative application of a Conia-ene reaction to assemble a vicinal quaternary center pair.
In 2020, Yang’s group accomplished an asymmetric total synthesis of the highly congested angular triquinane natural product (+)-waihoensene in 15 steps [25] (Scheme 4). The synthesis commenced with enone 34, which underwent a copper-catalyzed asymmetric conjugate addition and then a Sakurai allylation and ozonolysis to provide the key diyne precursor 35. The core transformation involved a diastereoselective Conia-ene type cyclization of 35 (tBuOK, DMSO, rt) to construct the bicyclic framework 36, with a new quaternary center. A critical intramolecular Pauson–Khand reaction of enyne 36 (Co2(CO)8, N2O, DCE, 80 °C) then forged the angular triquinane core, delivering tricycle 37 bearing three contiguous all-carbon quaternary centers. A nickel-catalyzed conjugate methylation installed the fourth quaternary center, producing diketone 38. After ketone protection, Wittig olefination occurred, followed by a highly diastereoselective Fe(acac)3-catalyzed hydrogen atom transfer (HAT) reduction (PhSiH3, EtOH, 60 °C) to saturate the double bond and set the desired stereochemistry, yielding 39. Final methylation (LiHMDS, MeI) and Wittig methylenation completed the synthesis of waihoensene (3). This route is notable for its high step economy, exceptional diastereoselectivity in critical cyclizations, and the innovative use of a radical HAT process to solve a challenging stereochemical problem.
In 2021, the Gaich’s group reported the total synthesis of the same molecule waihoensene [26] (Scheme 5). They employed commercially available cyclohexenone derivative 40 as the starting material and utilized aldol addition and an elimination reaction to generate 41. Under the action of tributyltin hydride and AIBN, a radical cyclization reaction occurred to generate cyclohexanone 42. Then, through oxidation state adjustment and alkylation reaction, enyne compound 43 was obtained. Under the condition of octacarbonyl cobalt, enyne underwent the key Pauson–Khand reaction to generate 44. In this way, the four-ring skeleton was constructed, and the total synthesis of waihoensene was completed by following the reference process in the literature within three steps.
In 2021, Yang’s group utilized a strategy of two intramolecular Pauson–Khand reactions to synthesize the five-ring core skeleton of sesquiterpene (−)-retigeranic acid [27] (Scheme 6). Starting from the known compound 45, they synthesized the alkyne compound 46 through Eschenmoser Tanabe fragmentation and a Wittig reaction. The compound underwent the first intramolecular Pauson–Khand reaction under the conditions of cobalt bromide, TMTU, and zinc powder [28] to construct the tricyclic structure 47. Then, the alkenone 47 underwent a long-step transformation to generate the cyclopentanone 48 with two side chains. Subsequently, the second Pauson–Khand reaction occurred between octacarbonyl cobalt and NMO, completing the construction of the core pentacyclic skeleton of (−)-retigeranic acid (4).
The intramolecular Pauson–Khand reaction offers exceptional atom economy and convergence in constructing a cyclopentenone core ubiquitous in angular triquinanes. Its inherent cis-fused stereoselectivity reliably installs vicinal quaternary centers with predictable relative configuration. Recent advances in asymmetric catalysis further enhance enantiocontrol (>90% ee), positioning PKR as a stereodivergent platform for complex terpenoid synthesis. Substrate scope remains constrained to rigid alkyne–alkene tethers, often necessitating protective group manipulations. Toxic Co2(CO)8 reagents limit scalability, while competing side reactions cap yields at 40–60% for congested systems. Future catalysis designs must address chemo- and regioselectivity in polyunsaturated precursors.

3. Skeletal Reorganization Strategies: Structural Editing of Precursor Scaffolds

In 2008, Toste’s team presented an approach for constructing a tricyclic framework by intramolecular cycloisomerization of enynes containing an embedded cyclopropane unit catalyzed by Au (I) [29]. As shown in Scheme 7, Kulinkovich cyclopropanation of vinyl ester 50 was the first step in the process. Three-step functional group conversion of the resulting 51 produced vinyl compound 52. Gold(I) catalysis facilitated the cycloisomerization of enynes bearing a cyclopropane moiety, selectively generating ring systems with a cyclopropylmethyl cation. Intermediate 53 underwent a Wagner–Meerwein rearrangement, which triggered the diastereoselective formation of fused cyclobutanes to provide compound 54. Ring-expansion of the corresponding methyl ether 55 in the presence of catalytic PdCl2(MeCN)2 and DDQ delivered exo-methylene cyclopentanone 56. Finally, the total synthesis of ventricosene (57) was achieved through functional group conversion. It is worth mentioning that the gold-catalyzed ring-expanding enyne cycloisomerizations enabled the efficient construction of architecturally complex polycyclic systems.
In 2023, Ding and co-workers achieved the first asymmetric total synthesis of (−)-retigeranic acid A. A pivotal strategy in their approach featured a reductive skeletal rearrangement cascade, enabling the precise construction of diverse angular triquinane frameworks [30]. As shown in Scheme 8, their approach commenced with a commercially available chiral aldehyde 58, which underwent a Henry condensation with ethyl nitroethane followed by a one-pot Nef reaction under DABCO/O2 to produce enone 59 in 82% yield. Chemoselective Wittig olefination at the C15 ketone, followed by acid hydrolysis, provided a homologated keto-aldehyde. An intramolecular Michael/aldol cyclization mediated by Zr(n-PrO)4 then established the trans-hydrindane framework, delivering 60 as the major diastereomer. Subsequent conversion to an α-iodoenone and Negishi coupling with isopropenylmagnesium bromide yielded keto-diene 61. A cascade epoxidation/Meinwald rearrangement initiated by ICH2Cl and TMSCH2Li·LiBr, followed by spontaneous epimerization, furnished aldehyde 62. Van Leusen homologation with TosMIC and t-BuOK, DIBAL-H reduction, followed by 1,2-addition of an organolithium reagent, provided vinylphenol 63, which underwent an oxidative dearomatization-induced (ODI) [5 + 2] cycloaddition/pinacol rearrangement cascade to form pentacycle 65 as a single isomer. The core angular triquinane system was constructed via a reductive skeletal rearrangement cascade: treatment of 65 with SmI2 in t-BuOH promoted a Dowd–Beckwith rearrangement followed by an acyloin rearrangement, directly producing alcohol 66, with a 70% yield. Further elaboration included Crabtree’s catalyst-mediated stereoselective hydrogenation and Chugaev elimination, followed by hydrogenation and isomerization to install the double bond, and PCC oxidation to yield 67. A Wolff ring contraction via UV irradiation of the diazo precursor and a metal-hydride hydrogen atom transfer (MHAT) reduction using Ph(i-PrO)SiH2, followed by saponification, delivered (–)-retigeranic acid A (4). This synthesis features a concise and innovative reductive rearrangement to access the angular triquinane core, demonstrating broad applicability for constructing congested polyquinane systems.
In 2023, Zhang and co-workers reported protecting-group-divergent syntheses of illicium sesquiterpenes [31]. As shown in Scheme 9, starting from chiral ester 68, alkylation with (Z)-2-chloro-1-iodobut-2-ene and epoxidation formed epoxide 69. HFIP-promoted cationic epoxide-ene cyclization afforded bicyclic ketone 70. NaBH4 reduction, Suárez reaction (HAT oxygenation), and homologation gave rapid access to the 15-carbon tricyclic carboxylic acid 72. Lewis acid (BF3·OEt2, Bi(OTf)3, or TMSOTf)-mediated skeletal reorganization of 72 divergently generated three distinct tricyclic precursors (73, 74, 75). Subsequent oxidations (e.g., Baeyer–Villiger, dihydroxylation, desaturation) and biomimetic rearrangements yielded eight allo-cedrane/seco-prezizaane sesquiterpenes (e.g., pseudoanisatin in 11 steps, 11-O-debenzoylashironin) and enabled the formal syntheses of five anislactones (e.g., merrilactone A).
In 2025, Wu’s group accomplished the first total synthesis of abeo-cucurbitane triterpenoids cucurbalsaminone C via a bioinspired route featuring two key rearrangements [32]. As shown in Scheme 10, starting from lanosterol 76, the synthesis firstly installed the cucurbitane skeleton through a biomimetic tandem Wagner–Meerwein rearrangement of epoxide 77 to afford 78. After oxidation to enone 79, the pivotal photochemical oxa-di-π-methane (ODPM) rearrangement forged the 5/6/3-fused core 80 with complete diastereoselectivity, overcoming limitations observed in steroid substrates. Subsequent Eosin Y-photocatalyzed Barton–McCombie deoxygenation [(TMS)3SiH, blue light] efficiently removed the sterically hindered C11-OH of 81 to give 82, suppressing competitive Chugaev elimination. Late-stage Burgess dehydration of allylic alcohols 82 furnished cucurbalsaminone C (83) (71% over two steps). This synthesis demonstrated the power of photochemical strategies for constructing congested polycyclic scaffolds, though late-stage oxidations remain non-ideal for scalability.
Skeletal editing transcends conventional bond formation logic, enabling the topological metamorphosis of accessible precursors into strained frameworks. Hudlicky’s ring-expansion and Toste’s gold-catalyzed cycloisomerization exemplify how linear or monocyclic substrates undergo concerted reorganization to forge angular triquinanes with >50% yield. Such strategies often mimic biosynthetic pathways, offering step-count advantages. Predictive control over regioselectivity remains elusive due to competing rearrangement pathways. These strategies often require substrates with precise stereoelectronic alignment, and efficient transfer of chiral information remains a challenge. Scalability suffers from stoichiometric reagents (PbCO3, SmI2) and harsh conditions. Computational modeling of transition states could mitigate these issues.

4. Tandem and Cascade Cyclization: Convergent Assembly of the Tricyclic Framework

In 2014, the inaugural total synthesis of (−)-crinipellin A was achieved by Lee’s group. A pivotal step in this synthesis involved the construction of the diterpene’s tetracyclic core via an intramolecular radical tandem [2 + 3] cycloaddition of an allenyl diazo substrate [33]. As delineated in Scheme 11, the synthesis commenced with commercially available compound 84, which was converted to epoxyalkyne 85. Subjecting epoxyalkyne 85 to an iron catalyzed SN2′ reaction with the requisite Grignard reagent, followed by silylation of the resultant secondary alcohol, yielded allene 86. Subsequent acidic hydrolysis cleaved the acetal moiety in 86, unmasking the aldehyde. Treatment of this aldehyde with p-toluenesulfonylhydrazide prepared hydrazone 87, a perfect tandem cycloaddition precursor. Heating the sodium salt of the hydrazone triggered the conversion of 87 into diazo compound 88, thereby initiating the formation of the tetracyclic framework. An ensuing intramolecular [2 + 3] cycloaddition between the diazo functionality and the allene group furnished methylenepyrazole intermediate 89, which rapidly expelled nitrogen molecules to yield the transient TMM diyl species 90. Despite considerable steric encumbrance, this highly reactive diyl intermediate underwent a final [2 + 3] dipolar cycloaddition with the olefin, affording the tetracyclic product 91. Late-stage functional group modifications of compound 91 ultimately achieved the total synthesis of (−)-crinipellin A (2).
In 2017, Lee’s group achieved the total synthesis of waihoensene by employing a [2 + 3] cycloaddition approach consistent with earlier methodologies shown in Scheme 11. The synthesis of the cycloaddition precursor 98 was depicted in Scheme 12 [34]. Beginning with racemic ketoester 92, a Lombardo–Takai olefination was performed, and the resulting product was reduced to give alcohol 93. Oxidation under Swern conditions followed by a Horner–Wadsworth–Emmons olefination yielded α, β-unsaturated ester 94, which was then selectively reduced using magnesium in methanol to afford aldehyde 95. A three-step sequence comprising a Corey–Fuchs reaction, in situ hydroxymethylation, and tosylation delivered the functionalized propargylic alcohol 96. This intermediate was transformed into allenyl alcohol 97 via a copper(I)-catalyzed SN2′ reaction and subsequent desilylation. Subjecting hydrazone 98 to a tandem [2 + 3] cycloaddition reaction constructed the core skeleton 99, which underwent late-stage functionalization in four additional steps to complete the synthesis of waihoensene.
In the same year, Yang’s group developed a benzenethiol-mediated cascade reaction involving intramolecular [3 + 2] cycloaddition between an allene and an α,β-unsaturated carbonyl compound, leading to the diastereoselective construction of a [3.3.0] bicyclic system featuring two quaternary bridgehead carbon atoms (Scheme 13) [35]. Using substrate 100, the electrophilic benzenethiol radical was added regioselectively to the central sp-hybridized carbon of the allene, forming the stabilized tertiary radical 101. This intermediate underwent 5-exo-trig cyclization onto the α, β-unsaturated system to give adduct 102, which then participated in a 5-endo-trig cyclization, yielding a nucleophilic carbon-centered radical. Hydrogen abstraction from PhSH furnished product 103—bearing vicinal quaternary centers at the bridgeheads—and regenerated the benzenethiol radical. Inspired by this efficient strategy for assembling diquinanes with two adjacent bridgehead quaternary stereocenters, the group extended the methodology to the synthesis of angularly fused triquinanes containing similar structural motifs. Accordingly, substrate 104 was successfully transformed into the corresponding triquinane 105, with a 30% yield.
(–)-Rhodomollanol A, a natural product featuring a highly complex [3.5.7.5.5] hexacyclic framework with a distinctive 7-oxabicyclo [4.2.1] nonane core and eleven contiguous stereocenters, was first isolated from the Rhododendron species by Yao’s group in 2017 [36]. In 2020, Ding et al. accomplished the first asymmetric total synthesis of this structurally challenging molecule, as outlined in Scheme 14 [37]. Their synthesis commenced with compound 107, which, upon oxidation with PIFA, underwent a one-step ODI-[5 + 2] cyclization tandem rearrangement to directly assemble the tetracyclic dicarbonyl compound 108. This intermediate was then subjected to a tandem reverse Dieckmann cleavage/insertion–Dieckmann condensation sequence, effectively reorganizing the molecular skeleton to afford tricyclic ketone 110. Subsequent elaboration of 110 over seven steps yielded cyclohexanedione 113, which was further transformed via a light-promoted tandem Yamaguchi rearrangement/intramolecular etherification reaction to give ketone 114, thereby establishing the core structure of the natural product. Finally, ketone 115 was advanced through an additional eleven steps to complete the inaugural asymmetric total synthesis of (–)-rhodomollanol A (117) from resveratrol-derived diterpenoid precursors.
In 2020, Tu and co-workers disclosed a novel one-pot cascade reaction sequence involving semi-pinacol rearrangement, Michael addition, and Henry reaction [38]. This transformation, catalyzed cooperatively by the dual Lewis acid system TMSOTf/TiCl4, utilized vinylogous α-ketols and nitroolefins as substrates to efficiently construct synthetically challenging 6-5-5 and 7-5-5 fused tricyclic carbocyclic frameworks. The methodology confers high structural complexity, generating products featuring up to five contiguous stereogenic centers, including a quaternary carbon stereocenter, within a convergent sequence. As shown in Scheme 15, the ketene compound 118 underwent a semi-pinacol rearrangement reaction under the action of Lewis acid TMSOTf to generate intermediate 119. A Michael addition of compound 119 with the nitropropene compound under titanium tetrachloride conditions, and a subsequent Henry reaction, closed the last ring. This process featured a broad scope of substrates, providing a novel and efficient method for the synthesis of natural products containing this skeleton.
In the same year, Tu and colleagues reported a continuous cascade process comprising Castro–Stephens coupling, 1,3-acetate migration, cyclization, and hemipinacol rearrangement for the construction of functionally rich spirocyclic [4.5] decanes from readily accessible starting materials [39]. This strategy was applied to the skeletal synthesis of the diterpenoid waihoensene. As illustrated in Scheme 16, commencing from compound 120, allylic bromide 123 was synthesized over six steps, including a [2 + 2] cycloaddition and an aldol addition. Treatment of 123 with cuprous acetate and cesium carbonate afforded the tricyclic intermediate 124, with a 40% yield, efficiently assembling the core framework. Late-stage manipulation, including an intramolecular aldol condensation, then delivered the tetracyclic core 126 of waihoensene (3).
In 2022, Ding and co-workers disclosed a novel HAT-initiated Dowd–Beckwith rearrangement, enabling efficient access to diversely functionalized polyquinane scaffolds [40] (Scheme 17). Their synthetic approach featured an iridium-catalyzed regio- and enantioselective hydrogenation, followed by a diastereoselective ODI-[5 + 2] cycloaddition/pinacol rearrangement cascade. Starting from multisubstituted benzaldehyde 127, condensation, asymmetric hydrogenation, and bromination afforded the key brominated intermediate 128. Subsequent oxidation with hypervalent iodine reagent (PIFA) triggered an ODI-[5 + 2] cyclization and rearrangement sequence, smoothly delivering the tetracyclic framework 129. Four additional steps converted 129 into olefin 130, which then underwent an intramolecular Dowd–Beckwith rearrangement mediated by Co(Salen) and PhSiH3 to yield 133. This critical rearrangement transformed the original [3.2.1] bridged system into a 5-5 fused ring skeleton. Notably, leveraging intermediate 134, the team accomplished concise and collective asymmetric total syntheses of eight members of the Crinipellin family, highlighting the efficiency and versatility of this strategy.
In 2023, Liu’s research group reported a photo-promoted enol silyl ether radical tandem cyclization reaction, which efficiently constructed a tricyclic framework compound [41]. As shown in Scheme 18, they used enol silyl ether 138 as the substrate and, under light conditions, first generated radical species 139 at the carbonyl ortho position. This radical underwent a 5-exo-trig cyclization, generating tertiary carbon radical 140, which cyclized alkynes in the 5-exo-dig form, thus constructing skeleton compound 141 containing tricyclic rings. This method exhibited significant synthetic versatility, delivering products with exceptional stereoselectivity across diverse substrates.
In 2009, Rodríguez and colleagues isolated (+)-aberrarone from the Caribbean willow coral Pseudopterogorgia elisabethae; biological evaluation revealed potent in vitro anti-malarial activity [12]. Structurally, (+)-aberrarone possesses a distinctive 6-5-5-5 fused ring system incorporating four carbonyl groups and seven stereocenters, three of which are all-carbon quaternary centers. The first asymmetric total synthesis of this complex natural product was achieved by Carreira’s group in 2022 [42], pivoting on a Au/Sn-catalyzed Meyer–Schuster–Nazarov/cyclopropanation/aldol addition tandem sequence. As delineated in Scheme 19, the synthesis began with chiral enol silyl ether 143, which was elaborated over six steps—including a MeLi-promoted aldol addition and Barton–McCombie deoxygenation—to furnish alkyne 144. Exposure of 144 to Echavarren’s catalyst induced Meyer–Schuster rearrangement, generating allenol 146. Subsequent treatment with n-Bu3SnOMe at 65 °C promoted cyclopropanation and aldol addition, delivering the pivotal pentacyclic intermediate 149 as a single diastereomer in 71% yield. Oxidative removal of the PMB group in 149, followed by reduction with LAH, afforded triol 150. Hydrogenation over PtO2 yielded 151, which was then oxidized under Parikh–Doering conditions to the corresponding triketone. Finally, Riley oxidation using SeO2 completed the asymmetric total synthesis of (+)-aberrarone (7).
In 2022, Tu and colleagues established a modular and efficient route to angular triquinane-type frameworks containing quaternary carbon centers [43]. Their approach employed 1,3-dicyclobutylidene ketone (152) as a precursor, engaging it in an innovative cascade process consisting of a Nazarov cyclization and two successive ring expansions. As illustrated in Scheme 20, under In(SbF6)3 catalysis, compound 152 underwent cyclization to deliver the key tricyclic intermediate 153. Subsequent decarboxylation, followed by a critical vinylogous aldol addition, Dess–Martin oxidation, and regioselective methylation, afforded enone 154. This intermediate was then selectively reduced to generate a substrate suitable for a photoinduced intramolecular [2 + 2] cycloaddition. The resulting cycloadduct was subjected to SmI2-mediated ring-opening, yielding diol 155. Finally, Barton–McCombie deoxygenation, Tamao–Fleming oxidation, and IBX oxidation completed compound 156, which was finally transformed into (±)-waihoensene (3) following known procedures [25]. This synthesis highlights the power of a tandem cyclization–expansion cascade to rapidly build complex angular triquinane systems under mild conditions.
In 2023, Jia and colleagues accomplished a protecting-group-free total synthesis of the natural product (+)-aberrarone [44] (Scheme 21). A pivotal radical cascade cyclization enabled the simultaneous formation of three carbon–carbon bonds in a single operation, constructing three rings while precisely installing four new stereocenters. The synthesis commenced from commercially available (S,S)-carvacrol (159), which was converted to alkyl iodide 160 via a three-step sequence. A nickel iodide-catalyzed coupling between 160 and 158 then afforded compound 161. Subsequent oxidation and acylation yielded radical precursor 162. Treatment of this 1,3-dicarbonyl compound with manganese (III) acetate triggered an intramolecular 5-exo/5-exo/5-exo radical cascade, delivering the polycyclic product 163 in 40% yield. Further functionalization of 163 completed the total synthesis of (+)-aberrarone (7).
In 2024, Tu’s group developed a cascade Nazarov cyclization/dicycloexpansion reaction for the precise synthesis of the angularly fused tricyclic skeletons and executed a succinct total synthesis of madreporanone for the first time [45]. As shown in Scheme 22, the synthesis featured a pivotal, optimized cascade Nazarov cyclization/dicycloexpansion reaction of dienone 165 (prepared via Horner–Wadsworth–Emmons reactions from 164) to construct the angular 5/5/7 tricyclic core (166) bearing vicinal quaternary stereocenters using B(C6F5)3 catalysis. Ozonolysis of compound 166, followed by protection, led to acetal 167. Selective reduction with DIBAL-H and epoxidation with m-CPBA afforded epoxide 168 diastereoselectively. Ley–Griffith oxidation and deprotection yielded a diketone, which underwent hydrogenation to remove an isopropyl group. A second Ley–Griffith oxidation and Saegusa–Ito oxidation then provided enone 169. Bromination and Stille coupling installed a methyl group, yielding 170. Subsequent 1,4-boronation/oxidation gave β-hydroxy ketone, which was converted to alcohol 171 via CeCl3-mediated MeMgBr addition. Wharton transposition and hydrogenation afforded triol, and final oxidation yielded madreporanone (6).
In 2024, Wang’s group reported a Lewis acid-catalyzed dearomative (3 + 2) intramolecular parallel cycloaddition (IMPC) strategy to construct angular 5-5-6 tricyclic cores relevant to natural products like norascyronone A, dankasterone A, and emervaridone A [46]. As shown in Scheme 23, the pivotal step employed donor–acceptor cyclopropanes (DACPs) tethered to benzene rings (e.g., 172). Under optimized conditions [Bi(OTf)3 (20 mol%), HFIP, 60 °C, 2–12 h], compound 172 underwent ipso-Friedel–Crafts-initiated ring-opening followed by Michael addition, efficiently forging the angular tricyclic skeleton (e.g., 173) with an embedded cyclohexenone.
Radical- or cation-initiated cascades achieve unparalleled step economy by assembling multiple rings/quaternary centers in a single operation. The “zipper effect” minimizes intermediate isolation, thereby improving overall yields. Photoredox variants enable chemoselective C–C bond formation under mild conditions. Cascade efficiency hinges on precise radical/ion stability gradients, often requiring tailored substrates. Diastereocontrol is compromised when multiple stereocenters form concurrently. Strict exclusion of protic impurities and stoichiometric radical mediators (Bu3SnH) impede industrial translation.

5. Emerging Frontiers: Photochemical and Ring-Expansion Tactics

In 2009, Yu’s group achieved a formal synthesis of the angular triquinane natural product (±)-pentalenene using a Rh(I)-catalyzed [(5 + 2) + 1] cycloaddition as the pivotal step [47]. As shown in Scheme 24, the synthesis commenced with ene-vinylcyclopropane substrate 176, which underwent cyclization under [Rh(CO)2Cl]2 catalysis in dioxane under a mixed CO/N2 atmosphere to furnish the bicyclic cyclooctenone 177. This key intermediate was subsequently transformed through a sequence involving ketalization, hydroboration–oxidation (BH3·THF, then H2O2/NaOH), oxidation with PCC, and acid-mediated isomerization (10% HCl) to yield the advanced trans-diketone 179. Further elaboration was carried out via Wittig olefination, methylation with MeLi, and dehydration using SOCl2/pyridine afforded diene 180—a known precursor to pentalenene (1) [48]. This strategy highlighted the power of transition metal-catalyzed higher-order cycloadditions to rapidly build complex polycyclic cores, though the route was somewhat hampered by moderate regioselectivity in hydroboration and a modest overall yield.
In 2011, Srikrishna and colleagues developed an enantiosecific route to angular triquinane natural products starting from the allylic alcohol 157, readily available from (R)-limonene [49] (Scheme 25). The synthesis proceeded via Johnson orthoester Claisen rearrangement of 181 with triethyl orthoacetate to install the first quaternary center, yielding diazoketone 182. Subsequent copper-catalyzed intramolecular cyclopropanation furnished the tricyclic ketone 183, which underwent regioselective cyclopropane cleavage, ketalization, and ozonolysis, leading to the α-diazo-β-keto ester 184. Treatment with Rh2(OAc)4 in refluxing CH2Cl2 effected highly regioselective intramolecular insertion into the tertiary methyl group, directly constructing the angular triquinane framework in 185. Further steps including Krapcho decarbalkoxylation and double Wittig olefination yielded the advanced diene 186, common to norsilphiperfolane and norcameroonane. This strategy showcased a powerful, stereocontrolled assembly of congested triquinanes via transition metal-catalyzed C–H functionalization, though the multi-step sequence and need for stereospecific starting materials may limit broad applicability.
In 2011, Tu’s group accomplished the first total synthesis of the complex alkaloid (±)-sieboldine A, featuring an angular triquinane-type core, via a biomimetic route from alopecuridine [50]. As shown in Scheme 26, the synthesis commenced with the coupling of iodoalkene 187 and carbamate 188 to form advanced intermediate. This was followed by stereoselective epoxidation with m-CPBA to furnish epoxy alcohol 189. The pivotal semipinacol rearrangement of 189, mediated by BF3·Et2O in diethyl ether at −30 to −15 °C, constructed the aza-cyclononane ring and established the all-carbon quaternary center, yielding key intermediates 190. Subsequent MOM protection, ozonolysis, and a SmI2-promoted pinacol coupling forged the oxa-quaternary center and closed the B ring, delivering the tricyclic core 193. Further functional group manipulations, including deprotection, oxidation (Ley oxidation), and Boc cleavage, afforded alopecuridine·TFA (194), which underwent biomimetic oxidation with m-CPBA and HgO to introduce the N-hydroxy group and form the tetrahydrofuran ring, completing the synthesis of sieboldine A (195). This route demonstrated the innovative use of semipinacol and pinacol couplings to efficiently assemble highly congested polycyclic architectures with contiguous quaternary centers.
In 2012, Tu’s group developed a concise synthetic route to the [5,6,7] all-carbon tricyclic core characteristic of Calyciphylline A-type alkaloids, utilizing a tandem semipinacol-type 1,2-carbon migration/aldol reaction as the key transformation [51]. The synthesis commenced with the Lewis acid-mediated coupling of aldehyde 196 and trimethylsilane-protected vinylogous α-ketol 197 using MeAlCl2 in CH2Cl2 at 0 °C, which afforded 6-substituted spiro [4.5]decane-1,7-dione 198. This one-pot tandem process efficiently established the spirocyclic quaternary center. The resulting diketone 198 was then subjected to selective reduction with NaBH(OAc)3 in acetic acid and protection with 2,2-dimethoxypropane, followed by enol triflation with PhNTf2, resulting in enol triflate 199. Palladium-catalyzed reductive cyclization using Pd(OAc)2 successfully constructed the angular [5,6,7] tricyclic framework in 200 with high efficiency. This strategy demonstrated a powerful and rapid approach to access highly congested polycyclic architectures via a novel tandem rearrangement–aldol sequence, enabling efficient installation of the spiro center and subsequent ring fusion (Scheme 27).
In 2013, Tu’s group accomplished an efficient and divergent synthesis of the fawcettimine-class alkaloids, including the angular triquinane-containing (+)-fawcettimine, starting from chiral enone 201 and vinyl diazoacetate 202 [52]. As shown in Scheme 28, the synthesis commenced with a Mukaiyama–Michael addition and an intramolecular carbene addition/cyclization mediated by [Cu(tbs)2] in chlorobenzene at 130 °C, followed by decarboxylation, which furnished the cis-bicyclic dione 203 in a one-pot process. Subsequent Dieckmann condensation with t-BuOK and Tsuji–Trost allylation with allyl acetate constructed the 6/5/5 tricyclic system in 204. After protection of the ketone, hydroboration–oxidation and Mitsunobu azidation provided azidotrione 205. The regioselective intramolecular Schmidt reaction of 205 using SnCl4 in refluxing toluene effected N-insertion to form lactam 206, which was converted via thionation and reduction into the common intermediate 207. Finally, three members of fawcettimine (208, 209, 210) were synthesized. This route exemplifies a highly convergent and modular strategy for constructing congested angular triquinane frameworks, leveraging powerful metal-catalyzed cyclizations and rearrangement reactions to achieve brevity (ten steps total) and functional group compatibility.
In 2016, Tu’s group reported the first total synthesis of the cyclopiane-type tetracyclic diterpenes conidiogenone and conidiogenol [53] (Scheme 29). Their synthetic approach commenced with the coupling of vinyl bromide 213 and the phenylthio-substituted cyclobutanone 212 via lithium–halogen exchange followed by nucleophilic addition, yielding the key tertiary alcohol intermediate 214. This was subsequently protected to form the rearrangement precursor 215. The cornerstone of their strategy was a Lewis acid-mediated semipinacol-type cycloenlargement, specifically using BF3·OEt2 in CH2Cl2, which effectively constructed the spirocyclic A/C ring system with the desired regioselectivity and diastereoselectivity, affording compound 216. This critical step established the angular triquinane core bearing the requisite quaternary centers. Compound 216 was subjected to a ketal protection and chiral resolution sequence, followed by a diastereoselective allylation with allylmagnesium bromide to afford alcohol 217 as a single diastereomer. Ozonolysis of the alkene in 217 generated an aldehyde, which underwent spontaneous intramolecular aldol cyclization under acidic conditions to construct the pentacyclic framework in 218 with high stereocontrol. Further functional group manipulations, including elimination, hydrogenation, and oxidation, provided ketone 219. Compound 220 was then transformed into epoxide 221, and subsequent reductive ring-opening with NaSePh afforded conidiogenone (5). Finally, reduction of 5 with L-selectride produced conidiogenol (222). The synthesis featured a highly efficient and stereocontrolled assembly of the congested tetracyclic framework, though the necessity for chiral resolution and multiple steps to introduce and remove the phenylthio auxiliary slightly diminished the overall atom economy.
In 2017, Yang’s group developed a formal total synthesis of (±)-lycojaponicumin C, constructing its angular triquinane core through a highly strategic sequence [54] (Scheme 30). Starting from commercially available ethyl acetoacetate 223, the key enyne precursor 192 was prepared via Waser alkynylation and Luche reduction on a decagram scale. The pivotal step involved a Rh(I)-catalyzed formal [3 + 2] cycloaddition of 224 under a CO atmosphere, efficiently forging the bicyclic [3.3.0] scaffold 225 with two adjacent all-carbon quaternary centers in excellent diastereoselectivity. Aldehyde 225 was then elaborated through a double-Wittig reaction, reduction, and mesylation-azidation to give keto-azide 226. A Staudinger/reductive amination cascade on 226 constructed the piperidine ring, yielding intermediate 227. Subsequent functional group manipulations, including tosylation, an ingenious γ-OH-directed vinyl Michael addition, and Ley oxidation, installed the requisite stereochemistry and functionality to deliver aldehyde 229. Grignard addition with 2-methylallyl magnesium chloride then provided diene, which underwent ring-closing metathesis (RCM) and double bond migration to form the cyclohexanone ring, affording advanced intermediate 230 and completing the tetracyclic skeleton of the natural product. This synthesis is notable for its innovative use of transition metal catalysis to build sterically congested systems and directed reactions to control stereochemistry in highly hindered environments. However, the route involved multiple functional group interconversions and a late-stage RCM, which somewhat diminished its overall atom economy and step efficiency.
Pepluanol A (240) was isolated from Euphorbia peplus, a plant in the Euphorbia genus, in 2016 with a [5,6,7,3] four-ring skeleton with seven chiral centers, including six continuously distributed centers and one quaternary carbon center. The synthesis of this molecule presents significant challenges. In 2017, Ding’s group achieved the first total synthesis of the complex Euphorbia diterpenoid (±)-pepluanol A, utilizing an innovative titanium(III)-catalyzed reductive annulation as a pivotal strategy [55] (Scheme 31). Their synthesis commenced with readily available cycloheptenone 232, which was converted to enone 233 in two steps. A high-pressure Diels–Alder cycloaddition between 233 and the Rawal diene constructed the bicyclic framework 234, introducing the crucial C15 quaternary carbon center as a single diastereomer. Subsequent functionalization, including regioselective enol triflation, methyl cuprate addition, and base-induced epimerization, yielded vinyl epoxide 236. Dehydration and Lemieux–Johnson oxidation then afforded the key vinyl epoxide–aldehyde coupling partner 237. The core transformation was a titanium(III)-catalyzed reductive annulation of 237 (Cp2TiCl2/Zn, collidine·HCl, THF), which efficiently forged the [5,6,7]tricyclic 1,5-diol 238—the angular triquinane core precursor—in excellent yield, albeit with moderate diastereoselectivity. Late-stage synthesis involved a diastereoselective cyclopropanation via dibromocarbene addition to 238 and reductive bismethylation to assemble the tetracyclic skeleton 239. Finally, a TEMPO/NCS oxidation, Saegusa–Ito dehydrogenation, regioselective Grignard addition, and a Dauben–Michno oxidation completed the synthesis of pepluanol A (240). This route is notable for its convergent design and the innovative, atom-economical reductive annulation to construct the challenging 1,5-diol moiety. However, the moderate diastereoselectivity in the key cyclization and the requirement for extensive functional group manipulations in the late stage present opportunities for further refinement.
Pepluanol B (8) is a structurally novel diterpene molecule isolated by Qiu’s group from Euphorbia Euphorbia in Southwest China [14,15]. Structurally, pepluanol B has a unique [5,5,8,3] four ring skeleton structure with six chiral centers (including a bridgehead all carbon quaternary carbon chiral center). In 2020, She’s group reported the first total synthesis of (–)-pepluanol B, which features a challenging [5-5-8-3] tetracyclic framework [56] (Scheme 32). The synthesis commenced with known bicyclic diol 241, which was elaborated through PMB protection and oxidation to afford ketone 242. Subsequent Eschenmoser methylenation provided exo-methylene intermediate 243. Rh-catalyzed isomerization, aldol reaction, TMS protection, and CeCl3-mediated allylation obtained diene 244. The pivotal ring-closing metathesis (RCM) of 244 using Grubbs II catalyst forged the eight-membered ring, delivering cyclic Z-alkene 245 as a key intermediate. Dibromocyclopropanation of 245 and reductive bismethylation then constructed the gem-dimethyl cyclopropane unit, yielding advanced intermediate 246. Methylation with LDA proceeded smoothly, affording compound 247 with the established R configuration at the C13 stereocenter. Final Zn–Cu–mediated deprotection yielded allylic alcohol 248, and α-methylenation followed by Rh-catalyzed isomerization completed the synthesis of pepluanol B (8). This route is notable for employing strategic C–C bond formations like aldol and RCM. However, the synthesis involves multiple functional group manipulations and sensitive intermediates, resulting in moderate overall yield, yet it provides efficient access to the complex angular triquinane framework and enables further biological studies.
In 2023, Chen’s group reported an enantiocontrolled total synthesis of (–)-retigeranic acid A, which features a strategic construction of the angular triquinane core [57] (Scheme 33). Beginning from aldehyde 249, a Horner–Wadsworth–Emmons homologation and a diastereoselective Prins cyclization under AlCl3 catalysis furnished the trans-hydrindane framework 250. Subsequent functional group manipulations, including hydrogenation and α-alkylation, converted 215 into vinyl triflate 251. A Nozaki–Hiyama–Kishi coupling between 251 and aldehyde yielded ketone 252. The pivotal angular triquinane formation was then attempted via an Fe-mediated hydrogen atom transfer (HAT)-initiated 5-endo-trig radical cyclization. The reaction yielded Paquette-type intermediate 253. Oxidative dehydrogenation of 253 with IBX provided enone 254. Introduction of the C11 carbon was achieved through addition of lithium (trimethylsilyl)acetylide, followed by hydrolysis to give methyl ketone 255. A multi-step sequence involving enolization, ozonolysis, and Pb(OAc)4 oxidation then installed the C11 carboxylic acid, yielding diene acid 256. The synthesis culminated in a high-pressure hydrogenation over Pd/C that reduced the C1–C2 double bond and epimerized several centers, delivering a mixture from which (–)-retigeranic acid A (4) was isolated. This route stands out for its innovative use of a Prins cyclization to assemble the trans-hydrindane system and a late-stage HAT-based radical cyclization to form the congested triquinane core.
In 2025, Lu’s group reported a gram-scale total synthesis of the complex sesquiterpenoid (±)-illisimonin A, featuring a novel strategy centered on higher-order cycloadditions for constructing its challenging caged pentacyclic framework [58]. As shown in Scheme 34, beginning with fulvene ester 257, the key step involved an intramolecular [6 + 2] cycloaddition under pyrrolidine and benzoic acid catalysis at 60 °C, efficiently furnishing the stereochemically dense cis-fused 5/5/5 tricyclic lactone 258 with two adjacent quaternary centers in 81% yield. Subsequent conversion of 258 to enol ether 259 was achieved via methylation with MeMgBr followed by dehydration with MsCl/Et3N. The pivotal angular triquinane precursor was then assembled through an iodoetherification of 259 followed by an intramolecular alkylation to deliver cyclopentadiene 260. A critical nitroso-Diels–Alder reaction with an in situ-generated acyl nitroso species afforded the stable nitroxide adduct 261 as the major thermodynamic product. Hydrogenation of 261 and Mo(CO)6-mediated N–O bond cleavage provided carbamate 262. Deprotection of 262 with TFA, followed by sequential oxidation and TiCl3·HCl reduction, yielded ketone 263. Diastereoselective methyl addition to 263 with MeLi/LaCl3·2LiCl delivered diol 264 with excellent selectivity. Finally, lactonization via RuCl3/NaIO4-mediated oxidative cyclization constructed the α-hydroxy lactone motif, and global deprotection completed the synthesis of (±)-illisimonin A (265). This route is notable for its innovative use of a pentafulvene-based [6 + 2] cycloaddition to rapidly build the polycyclic core and a nitroso-Diels–Alder reaction to overcome earlier peroxide instability issues, enabling a scalable and convergent synthesis in 14 steps.
Table 1 reveals nuanced trade-offs in waihoensene synthesis. Pauson–Khand approaches (Snyder, Yang, Gaich) excel in step efficiency (LLS 14–17) and yield (1.1–4.0%), with Gaich’s 14-step route leading at 4.0%. Their intramolecular Pauson–Khand reaction enables stereoselective tricyclic core construction (e.g., Snyder’s 50% yield) with inherent cis-fused control, leveraging atom economy. However, reliance on toxic Co2(CO)8 limits scalability, and substrate rigidity demands protective group manipulations. Tandem cyclization methods (Lee [34], Tu [43]) offer step economy—Lee’s one-pot tetracyclic assembly via [3 + 2] cycloaddition; Tu’s Nazarov/ring-expansion cascade—but suffer longer LLS (18) and lower yields (0.99–2.8%). Diastereocontrol challenges in concurrent stereocenter formation and regioselectivity issues in cascades hinder their performance, making Pauson–Khand strategies more robust for this target.

6. Conclusions

The synthesis of architecturally complex angular triquinane natural products continues to challenge and inspire synthetic chemists. This review highlights four dominant strategies: Pauson–Khand reactions (convergent, stereoselective, but limited substrate scope), tandem cyclizations (superior step economy, yet often compromised diastereocontrol), skeletal reorganizations (biomimetic potential, but demanding precise substrate design), and emerging methods (ring expansions, photochemistry). Collectively, these approaches have significantly advanced access to these strained frameworks. Future priorities must address (i) catalytic asymmetric variants of skeletal reorganizations; (ii) AI-guided retrosynthesis for polyquinane cores; and (iii) late-stage diversification to explore bioactivity diversity. The comparative analysis presented herein provides a strategic foundation for selecting and refining methodologies towards current and future targets.

Author Contributions

Conceptualization, X.W. and Y.C.; literature review, D.L.; writing—original draft, X.W. and D.L.; writing—review and editing, all authors. All authors have read and agreed to the published version of the manuscript.

Funding

This research was funded by the Huangshan University Talent Start-up Project (Grant NO. 2023xkjq008).

Institutional Review Board Statement

Not applicable.

Informed Consent Statement

Not applicable.

Data Availability Statement

The research data are available by contacting the corresponding author.

Conflicts of Interest

The authors declare no conflicts of interest.

References

  1. Mehta, G.; Srikrishna, A. Synthesis of polyquinane natural products: An update. Chem. Rev. 1997, 97, 671–720. [Google Scholar] [CrossRef]
  2. Bideau, F.L.; Kousara, M.; Chen, L.; Wei, L.; Dumas, F. Tricyclic sesquiterpenes from marine origin. Chem. Rev. 2017, 117, 6110–6159. [Google Scholar] [CrossRef]
  3. Kotha, S.; Tangella, Y. Modular approaches to cyclopentanoids and their heteroanalogs. Synlett 2020, 31, 1976–2012. [Google Scholar] [CrossRef]
  4. Jeon, H.; Winkler, J.D. Synthesis of cyclohexane-angularly-fused triquinanes. Synthesis 2021, 53, 475–488. [Google Scholar] [CrossRef]
  5. Vasas, A.; Hohmann, J. Euphorbia diterpenes: Isolation, structure, biological activity, and synthesis (2008–2012). Chem. Rev. 2014, 114, 8579–8612. [Google Scholar] [CrossRef]
  6. Mucsi, I.; Molnar, J.; Hohmann, J.; Redei, D. Cytotoxicities and anti-herpes simplex virus activities of diterpenes isolated from Euphorbia species. Planta Medica 2001, 67, 672–674. [Google Scholar] [CrossRef] [PubMed]
  7. Miglietta, A.; Gabriel, L.; Appendino, G.; Bocca, C. Biological properties of jatrophane polyesters, new microtubule-interacting agents. Cancer Chemother. Pharmacol. 2003, 51, 67–74. [Google Scholar] [CrossRef]
  8. Valente, I.; Reis, M.; Duarte, N.; Serly, J.; Molnar, J.; Ferreira, M.J.U. Jatrophane Diterpenes from Euphorbia mellifera and Their Activity as P-Glycoprotein Modulators on Multidrug-Resistant Mouse Lymphoma and Human Colon Adenocarcinoma Cells. J. Nat. Prod. 2012, 75, 1915–1921. [Google Scholar] [CrossRef]
  9. Shinohara, C.; Chikanish, T.; Nakashima, S.; Hashimoto, A.; Hamanaka, A.; Endo, A.; Hasumi, K.J. Enhancement of fibrinolytic activity of vascular endothelial cells by chaetoglobosin A, crinipellin B, geodin and triticone B. J. Antibiot. 2000, 53, 262–268. [Google Scholar] [CrossRef]
  10. Anke, T.; Heim, J.; Knoch, F.; Mocek, U.; Steffan, B.; Steglich, W. Crinipellins, the first natural products with a tetraquinane skeleton. Angew. Chem. Int. Ed. Engl. 1985, 24, 709–711. [Google Scholar] [CrossRef]
  11. Kupka, J.; Anke, T.; Oberwinkler, F.; Schramm, G.; Steglich, W. Antibiotics from basidiomycetes. VII. Crinipellin, A New Antibiotic from the Basidiomycetous Fungus Crinipellis Stipitaria (Fr.) Pat. J. Antibiot. 1979, 32, 130–135. [Google Scholar] [CrossRef]
  12. Rodríguez, I.I.; Rodríguez, A.D.; Zhao, H. Aberrarone: A gorgonian-derived diterpene from Pseudopterogorgia elisabethae. J. Org. Chem. 2009, 74, 7581–7584. [Google Scholar] [CrossRef] [PubMed]
  13. Li, Y.Y.; Shen, Y.M. Four novel diterpenoids from crinipellis sp. 113. Helv. Chim. Acta. 2010, 93, 2151–2157. [Google Scholar] [CrossRef]
  14. Wan, L.S.; Nian, Y.; Ye, C.J.; Shao, L.D.; Peng, X.R.; Geng, C.A.; Zuo, Z.L.; Li, X.N.; Yang, J.; Zhou, M.; et al. Three minor diterpenoids with three carbon skeletons from Euphorbia peplus. Org. Lett. 2016, 18, 2166–2169. [Google Scholar] [CrossRef] [PubMed]
  15. Wan, L.S.; Nian, Y.; Peng, X.R.; Shao, L.D.; Li, X.N.; Yang, J.; Zhou, M.; Qiu, M.H. Pepluanols C–D, two diterpenoids with two skeletons from Euphorbia peplus. Org. Lett. 2018, 20, 3074–3078. [Google Scholar] [CrossRef]
  16. Fan, C.Q.; Yin, S.; Xue, J.J.; Yue, J.M. Novel alkaloids, paxdaphnines A and B with unprecedented skeletons from the seeds of Daphniphyllum paxianum. Tetrahedron 2007, 63, 115–119. [Google Scholar] [CrossRef]
  17. Shi, Q.W.; Sauriol, F.; Mamer, O.; Zamir, L.O. First example of a taxane-derived propellane in Taxus canadensis needles. Chem. Commun. 2003, 68–69. [Google Scholar] [CrossRef] [PubMed]
  18. Goldstein, B.J.; Bittner-Kowalczyk, A.; White, M.F.; Harbeck, M. Tyrosine dephosphorylation and deactivation of insulin receptor substrate-1 by protein-tyrosine phosphatase 1B. J. Biol. Chem. 2000, 275, 4283–4289. [Google Scholar] [CrossRef]
  19. Kato, E.; Howitt, R.; Dzyuba, S.V.; Nakanishi, K. Synthesis of novel ginkgolide photoaffinity–biotin probes. Org. Biomol. Chem. 2007, 5, 3758–3761. [Google Scholar] [CrossRef]
  20. Clarke, D.B.; Hinkley, S.F.R.; Weavers, R.T. Waihoensene. A new laurenene-related diterpene from Podocarpus totara var waihoensis. Tetrahedron Lett. 1997, 38, 4297–4300. [Google Scholar] [CrossRef]
  21. Pallerla, M.K.; Fox, J.M. Enantioselective synthesis of (−)-pentalenene. Org. Lett. 2007, 9, 5625–5628. [Google Scholar] [CrossRef]
  22. Huang, Z.H.; Huang, J.; Qu, Y.Z.; Zhang, W.B.; Gong, J.X.; Yang, Z. Total syntheses of crinipellins enabled by cobalt-mediated and palladium-catalyzed intramolecular pauson–khand reactions. Angew. Chem. Int. Ed. 2018, 57, 8744–8748. [Google Scholar]
  23. Yang, Y.F.; Deng, L.J.; Zhang, Y.D.; Dong, G.B.; Chen, J.H.; Yang, Z. Thioureas as ligands in the Pd-catalyzed intramolecular Pauson–Khand reaction. Org. Lett. 2005, 7, 1657–1659. [Google Scholar]
  24. Peng, C.; Arya, P.; Zhou, Z.Y.; Snyder, S.A. A concise total synthesis of (+)-waihoensene guided by quaternary center analysis. Angew. Chem. Int. Ed. 2020, 59, 13521–13525. [Google Scholar] [CrossRef] [PubMed]
  25. Qu, Y.Z.; Wang, Z.Y.; Zhang, Z.C.; Zhang, W.D.; Huang, J.; Yang, Z. Asymmetric total synthesis of (+)-waihoensene. J. Am. Chem. Soc. 2020, 142, 6511–6515. [Google Scholar] [CrossRef]
  26. Rosenbaum, L.C.; Häfner, M.; Gaich, T. Total synthesis of the diterpene waihoensene. Angew. Chem. Int. Ed. 2021, 60, 2939–2942. [Google Scholar] [CrossRef] [PubMed]
  27. Wang, X.; Li, D.; Zhang, J.L.; Gong, J.X.; Fu, J.K.; Yang, Z. A synthetic route to the core structure of (−)-retigeranic acid A. Org. Lett. 2021, 23, 5092–5097. [Google Scholar] [CrossRef]
  28. Wang, Y.; Xu, L.; Yu, R.; Chen, J.; Yang, Z. CoBr2-TMTU-Zinc-catalysed Pauson–Khand reaction. Chem. Commun. 2012, 48, 8183–8185. [Google Scholar] [CrossRef]
  29. Sethofer, S.G.; Staben, S.T.; Hung, O.Y.; Toste, F.D. Au(I)-catalyzed ring expanding cycloisomerizations: Total synthesis of ventricosene. Org. Lett. 2008, 10, 4315–4318. [Google Scholar]
  30. Sun, D.Y.; Chen, R.Y.; Tang, D.M.; Xia, Q.D.; Zhao, Y.F.; Liu, C.H.; Ding, H.F. Total synthesis of (−)-retigeranic acid A: A reductive skeletal rearrangement strategy. J. Am. Chem. Soc. 2023, 145, 11927–11932. [Google Scholar] [CrossRef]
  31. Fu, P.F.; Liu, T.; Shen, Y.; Lei, X.; Xiao, T.J.; Chen, P.; Qiu, D.S.; Wang, Z.; Zhang, Y.D. Divergent total syntheses of Illicium sesquiterpenes through late-stage skeletal reorganization. J. Am. Chem. Soc. 2023, 145, 18642–18648. [Google Scholar] [CrossRef]
  32. Zhang, M.; Wu, J. Bioinspired synthesis of cucurbalsaminones B and C. Angew. Chem. Int. Ed. 2025, 64, e202417318. [Google Scholar] [CrossRef] [PubMed]
  33. Kang, T.; Song, S.B.; Kim, W.Y.; Kim, B.G.; Lee, H.Y. Total synthesis of (−)-crinipellin A. J. Am. Chem. Soc. 2014, 136, 10274–10276. [Google Scholar] [CrossRef]
  34. Lee, H.; Kang, T.; Lee, H.Y. Total synthesis of (±)-waihoensene. Angew. Chem. Int. Ed. 2017, 56, 8254–8257. [Google Scholar] [CrossRef] [PubMed]
  35. Li, S.; Zhang, P.P.; Li, Y.H.; Lu, S.M.; Gong, J.X.; Yang, Z. Diastereoselective synthesis of diquinanes and triquinanes bearing vicinal quaternary carbon stereocenters from acyclic allene-based precursors via a cascade reaction. Org. Lett. 2017, 19, 4416–4419. [Google Scholar] [CrossRef]
  36. Zhou, J.F.; Zhan, G.Q.; Zhang, H.Q.; Zhang, Q.H.; Li, Y.; Xue, Y.B.; Yao, G.M. Rhodomollanol A, a highly oxygenated diterpenoid with a 5/7/5/5 tetracyclic carbon skeleton from the leaves of rhododendron mole. Org. Lett. 2017, 19, 3935–3938. [Google Scholar] [CrossRef]
  37. Gao, J.H.; Rao, P.R.; Xu, K.X.; Wang, S.F.; Wu, Y.F.; He, C.; Ding, H.F. Total synthesis of (−)-rhodomollanol A. J. Am. Chem. Soc. 2020, 142, 4592–4597. [Google Scholar] [CrossRef]
  38. Zhu, F.P.; Guo, X.; Zhang, F.M.; Zhang, X.M.; Wang, H.; Tu, Y.Q. Construction of polyfunctionalized 6–5–5 fused tricyclic carbocycles via one-pot sequential semipinacol rearrangement/michael addition/henry reaction. Org. Lett. 2020, 22, 2076–2080. [Google Scholar] [CrossRef]
  39. Zhang, Y.; Zheng, T.L.; Cheng, F.; Dai, K.L.; Zhang, K.; Ma, A.J.; Zhang, F.M.; Zhang, X.M.; Wang, S.H.; Tu, Y.Q. Facile access to diverse all-carbon quaternarycenter containing spirobicycles by exploringa tandem castro–stephens coupling/acyloxy shift/cyclization/semipinacol rearrangement sequence. Chem. Sci. 2020, 11, 3878–3884. [Google Scholar] [CrossRef]
  40. Zhao, Y.F.; Hu, J.L.; Chen, R.Y.; Xiong, F.P.; Xie, H.J.; Ding, H.F. Divergent total syntheses of (−)-crinipellins facilitated by a HAT-initiated Dowd–Beckwith rearrangement. J. Am. Chem. Soc. 2022, 144, 2495–2500. [Google Scholar] [CrossRef] [PubMed]
  41. Hu, M.Q.; Cao, W.; Wang, Z.; Hao, Y.; Huang, G.X.; Zhou, Y.Q.; Qin, S.; Fu, S.M.; Liu, B. Construction of angularly fused tricyclic compounds via photo-induced radical cascade cyclization. Chin. J. Chem. 2023, 41, 2502–2506. [Google Scholar] [CrossRef]
  42. Amberg, W.M.; Carreira, E.M. Enantioselective total synthesis of (+)-aberrarone. J. Am. Chem. Soc. 2022, 144, 15475–15479. [Google Scholar] [CrossRef] [PubMed]
  43. Wang, Y.P.; Fang, K.; Tu, Y.Q.; Yin, J.J.; Zhao, Q.; Ke, T. An efficient approach to angular tricyclic molecular architecture via Nazarov-like cyclization and double ring-expansion cascade. Nat. Commun. 2022, 13, 2335. [Google Scholar] [CrossRef]
  44. Wang, Y.; Su, Y.J.; Jia, Y.X. Total synthesis of (+)-aberrarone. J. Am. Chem. Soc. 2023, 145, 9459–9463. [Google Scholar] [CrossRef]
  45. Fang, K.; Dou, B.H.; Zhang, F.M.; Wang, Y.P.; Shan, Z.R.; Wang, X.Y.; Hou, S.H.; Tu, Y.Q.; Ding, T.M. Expansion of Structure Property in Cascade Nazarov Cyclization and Cycloexpansion Reaction to Diverse Angular Tricycles and Total Synthesis of Nominal Madreporanone. Angew. Chem. 2024, 136, e202412337. [Google Scholar] [CrossRef]
  46. Sun, Y.; Huang, X.; Ren, J.; Wang, Z.W. Highly efficient construction of angular polycycles. Nat. Commun. 2024, 15, 9206. [Google Scholar] [CrossRef]
  47. Fan, X.H.; Zhuo, L.G.; Tu, Y.Q.; Yu, Z.X. Formal syntheses of (±)-asterisca-3(15),6-diene and (±)-pentalenene using Rh(I)-catalyzed [(5+2)+1] cycloaddition. Tetrahedron 2009, 65, 4709–4713. [Google Scholar] [CrossRef]
  48. Pattenden, G.; Teague, S.J. Transannular cyclisation as a stratagem in synthesis. A total synthesis of (±)-pentalenene. Tetrahedron 1987, 43, 5637–5652. [Google Scholar] [CrossRef]
  49. Srikrishna, A.; Sheth, V.M.; Nagaraju, G. Rhodium carbenoid mediated C–H activation of a tertiary methyl group: An enantiospecific approach to the angular triquinanes norsilphiperfolane and norcameroonanes. Synlett 2011, 16, 2343–2346. [Google Scholar] [CrossRef][Green Version]
  50. Zhang, X.M.; Tu, Y.Q.; Zhang, F.M.; Shao, H.; Meng, X. Total synthesis of 21 (±)-alopecuridine and its biomimetic transformation into (±)-sieboldine A. Angew. Chem. Int. Ed. 2011, 50, 3916–3919. [Google Scholar] [CrossRef] [PubMed]
  51. Yang, M.; Wang, L.; He, Z.H.; Wang, S.H.; Zhang, S.Y.; Tu, Y.Q.; Zhang, F.M. Tandem semipinacol-type 1,2-carbon migration/aldol reaction toward the construction of [5-6-7] all-carbon tricyclic core of calyciphylline A-type alkaloids. Org. Lett. 2012, 14, 5114–5117. [Google Scholar] [CrossRef] [PubMed]
  52. Hou, S.H.; Tu, Y.Q.; Liu, L.; Zhang, F.M.; Wang, S.H.; Zhang, X.M. Divergent and efficient syntheses of the lycopodium alkaloids (−)-Lycojaponicumin C, (−)-8-Deoxyserratinine, (+)-Fawcettimine, and (+)-Fawcettidine. Angew. Chem. Int. Ed. 2013, 52, 11373–11376. [Google Scholar] [CrossRef]
  53. Hou, S.H.; Tu, Y.Q.; Wang, S.H.; Xi, C.C.; Zhang, F.M.; Wang, S.H.; Li, Y.T.; Liu, L. Total syntheses of the tetracyclic cyclopiane diterpenes conidiogenone, conidiogenol, and conidiogenone B. Angew. Chem. Int. Ed. 2016, 55, 4456–4460. [Google Scholar] [CrossRef]
  54. Zheng, N.; Zhang, L.J.; Gong, J.X.; Yang, Z. Formal total synthesis of (±)-lycojaponicumin C. Org. Lett. 2017, 19, 2921–2924. [Google Scholar] [CrossRef]
  55. Xuan, J.; Liu, Z.B.; Zhu, A.; Rao, P.R.; Yu, L.; Ding, H.F. Diastereoselective total synthesis of the euphorbia diterpenoid pepluanol A: A reductive annulation approach. Angew. Chem. Int. Ed. 2017, 56, 8898–8901. [Google Scholar] [CrossRef] [PubMed]
  56. Zhang, J.; Liu, M.; Wu, C.H.; Zhao, G.Y.; Chen, P.Q.; Zhou, L.; Xie, X.G.; Fang, R.; Li, H.L.; She, X.G. Total synthesis of (−)-pepluanol B: Conformational control of the eight-membered-ring system. Angew. Chem. Int. Ed. 2020, 59, 3966–3970. [Google Scholar] [CrossRef]
  57. Chen, X.M.; Yao, W.D.; Zheng, H.F.; Wang, H.Y.; Zhou, P.P.; Zhu, D.Y.; Wang, S.H. Enantiocontrolled total synthesis of (−)-retigeranic acid A. J. Am. Chem. Soc. 2023, 145, 13549–13555. [Google Scholar] [CrossRef] [PubMed]
  58. Zhu, L.C.; Li, J.R.; Lu, Z.H. Gram-Scale Total Synthesis of Illisimonin A. J. Am. Chem. Soc. 2025, 147, 23417–23421. [Google Scholar] [CrossRef]
Figure 1. Representatives of angular triquinane-type natural products.
Figure 1. Representatives of angular triquinane-type natural products.
Molecules 30 03956 g001
Figure 2. General mechanism of the intramolecular Pauson–Khand reaction.
Figure 2. General mechanism of the intramolecular Pauson–Khand reaction.
Molecules 30 03956 g002
Scheme 1. Synthesis of (−)-pentalenene by Fox’s group [21].
Scheme 1. Synthesis of (−)-pentalenene by Fox’s group [21].
Molecules 30 03956 sch001
Scheme 2. Synthesis of crinipellin A and crinipellin B by Yang’s group [22].
Scheme 2. Synthesis of crinipellin A and crinipellin B by Yang’s group [22].
Molecules 30 03956 sch002
Scheme 3. Synthesis of waihoensene by Snyder’s group [24].
Scheme 3. Synthesis of waihoensene by Snyder’s group [24].
Molecules 30 03956 sch003
Scheme 4. Synthesis of waihoensene by Yang’s group [25].
Scheme 4. Synthesis of waihoensene by Yang’s group [25].
Molecules 30 03956 sch004
Scheme 5. Synthesis of waihoensene by Gaich’s group [26].
Scheme 5. Synthesis of waihoensene by Gaich’s group [26].
Molecules 30 03956 sch005
Scheme 6. Synthesis of (−)-retigeranic acid by Yang’s group [27].
Scheme 6. Synthesis of (−)-retigeranic acid by Yang’s group [27].
Molecules 30 03956 sch006
Scheme 7. Synthesis of ventricosene by Toste’s group [29].
Scheme 7. Synthesis of ventricosene by Toste’s group [29].
Molecules 30 03956 sch007
Scheme 8. Synthesis of (−)-retigeranic acid A by Ding’s group [30].
Scheme 8. Synthesis of (−)-retigeranic acid A by Ding’s group [30].
Molecules 30 03956 sch008
Scheme 9. Synthesis of illicium sesquiterpenes by Zhang’s group [31].
Scheme 9. Synthesis of illicium sesquiterpenes by Zhang’s group [31].
Molecules 30 03956 sch009
Scheme 10. Synthesis of cucurbalsaminone C by Wu’s group [32].
Scheme 10. Synthesis of cucurbalsaminone C by Wu’s group [32].
Molecules 30 03956 sch010
Scheme 11. Synthesis of (−)-crinipellin A by Lee’s group [33].
Scheme 11. Synthesis of (−)-crinipellin A by Lee’s group [33].
Molecules 30 03956 sch011
Scheme 12. Synthesis of waihoensene by Lee’s group [34].
Scheme 12. Synthesis of waihoensene by Lee’s group [34].
Molecules 30 03956 sch012
Scheme 13. Synthesis of key skeleton of waihoensene by Yang’s group [35].
Scheme 13. Synthesis of key skeleton of waihoensene by Yang’s group [35].
Molecules 30 03956 sch013
Scheme 14. Synthesis of (–)-rhodomollanol A by Ding’s group [37].
Scheme 14. Synthesis of (–)-rhodomollanol A by Ding’s group [37].
Molecules 30 03956 sch014
Scheme 15. Synthesis of 6-5-5-tricyclic skeleton by Tu’s group [38].
Scheme 15. Synthesis of 6-5-5-tricyclic skeleton by Tu’s group [38].
Molecules 30 03956 sch015
Scheme 16. Synthesis of 6-5-5-tricyclic skeleton by Tu’s group [39].
Scheme 16. Synthesis of 6-5-5-tricyclic skeleton by Tu’s group [39].
Molecules 30 03956 sch016
Scheme 17. Synthesis of (−)-crinipellins by Ding’s group [40].
Scheme 17. Synthesis of (−)-crinipellins by Ding’s group [40].
Molecules 30 03956 sch017
Scheme 18. Synthesis of tricyclic skeleton by Liu’s group [41].
Scheme 18. Synthesis of tricyclic skeleton by Liu’s group [41].
Molecules 30 03956 sch018
Scheme 19. Synthesis of aberrarone by Carreira’s group [42].
Scheme 19. Synthesis of aberrarone by Carreira’s group [42].
Molecules 30 03956 sch019
Scheme 20. Synthesis of waihoensene by Tu’s group [43].
Scheme 20. Synthesis of waihoensene by Tu’s group [43].
Molecules 30 03956 sch020
Scheme 21. Synthesis of aberrarone by Jia’s group [44].
Scheme 21. Synthesis of aberrarone by Jia’s group [44].
Molecules 30 03956 sch021
Scheme 22. Synthesis of madreporanone by Tu’s group [45].
Scheme 22. Synthesis of madreporanone by Tu’s group [45].
Molecules 30 03956 sch022
Scheme 23. Synthesis of angular triquinanes by Wang’s group [46].
Scheme 23. Synthesis of angular triquinanes by Wang’s group [46].
Molecules 30 03956 sch023
Scheme 24. Synthesis of (±)-pentalenene by Yu’s group [47].
Scheme 24. Synthesis of (±)-pentalenene by Yu’s group [47].
Molecules 30 03956 sch024
Scheme 25. Synthesis of the angular triquinane core by Srikrishna’s group [49].
Scheme 25. Synthesis of the angular triquinane core by Srikrishna’s group [49].
Molecules 30 03956 sch025
Scheme 26. Synthesis of sieboldine A by Tu’s group [50].
Scheme 26. Synthesis of sieboldine A by Tu’s group [50].
Molecules 30 03956 sch026
Scheme 27. Synthesis of tricyclic skeleton by Tu’s group [51].
Scheme 27. Synthesis of tricyclic skeleton by Tu’s group [51].
Molecules 30 03956 sch027
Scheme 28. Synthesis of fawcettimine by Tu’s group [52].
Scheme 28. Synthesis of fawcettimine by Tu’s group [52].
Molecules 30 03956 sch028
Scheme 29. Synthesis of conidiogenol by Tu’s group [53].
Scheme 29. Synthesis of conidiogenol by Tu’s group [53].
Molecules 30 03956 sch029
Scheme 30. Synthesis of lycojaponicumin C by Yang’s group [54].
Scheme 30. Synthesis of lycojaponicumin C by Yang’s group [54].
Molecules 30 03956 sch030
Scheme 31. Synthesis of pepluanol A by Ding’s group [55].
Scheme 31. Synthesis of pepluanol A by Ding’s group [55].
Molecules 30 03956 sch031
Scheme 32. Synthesis of pepluanol B by She’s group [56].
Scheme 32. Synthesis of pepluanol B by She’s group [56].
Molecules 30 03956 sch032
Scheme 33. Synthesis of retigeranic acid A by Chen’s group [57].
Scheme 33. Synthesis of retigeranic acid A by Chen’s group [57].
Molecules 30 03956 sch033
Scheme 34. Synthesis of illisimonin A by Lu’s group [58].
Scheme 34. Synthesis of illisimonin A by Lu’s group [58].
Molecules 30 03956 sch034
Table 1. Comparative analysis of synthetic strategies for waihoensene.
Table 1. Comparative analysis of synthetic strategies for waihoensene.
Synthetic ApproachResearch GroupLLSOverall
Yield
Key StepSource
Pauson–KhandSnyder et al. (2020) [24]171.1%Intramolecular Pauson–Khand reaction
(50% yield, constructs tricyclic core)
Scheme 3
Yang et al. (2020) [25]153.8%Pauson–Khand reaction (moderate yield)Scheme 4
Gaich et al. (2021) [26]144.0%Pauson–Khand reactionScheme 5
Tandem CyclizationLee et al. (2017) [34]180.99%Tandem [3 + 2] cycloaddition of allenyl diazo
(one-step tetracyclic skeleton assembly)
Scheme 12
Tu et al. (2022) [43]182.8%Nazarov cyclization/double ring-expansion cascade (forms angular tricyclic core)Scheme 20
Disclaimer/Publisher’s Note: The statements, opinions and data contained in all publications are solely those of the individual author(s) and contributor(s) and not of MDPI and/or the editor(s). MDPI and/or the editor(s) disclaim responsibility for any injury to people or property resulting from any ideas, methods, instructions or products referred to in the content.

Share and Cite

MDPI and ACS Style

Wang, X.; Liu, D.; Cheng, Y. Advances in the Total Synthesis of Angular Triquinane-Type Natural Products. Molecules 2025, 30, 3956. https://doi.org/10.3390/molecules30193956

AMA Style

Wang X, Liu D, Cheng Y. Advances in the Total Synthesis of Angular Triquinane-Type Natural Products. Molecules. 2025; 30(19):3956. https://doi.org/10.3390/molecules30193956

Chicago/Turabian Style

Wang, Xin, Dunfeng Liu, and Yunfei Cheng. 2025. "Advances in the Total Synthesis of Angular Triquinane-Type Natural Products" Molecules 30, no. 19: 3956. https://doi.org/10.3390/molecules30193956

APA Style

Wang, X., Liu, D., & Cheng, Y. (2025). Advances in the Total Synthesis of Angular Triquinane-Type Natural Products. Molecules, 30(19), 3956. https://doi.org/10.3390/molecules30193956

Article Metrics

Back to TopTop