Synthesis and Properties of Ethylene Imine-Based Porous Polymer Nanocomposites with Metal Oxide Nanoparticles
Abstract
1. Introduction
2. Results and Discussion
2.1. Synthesis of 3AZ–Metal Oxide Porous Composite Polymers
2.2. Structure of 3AZ–Metal Oxide Porous Polymer Composites
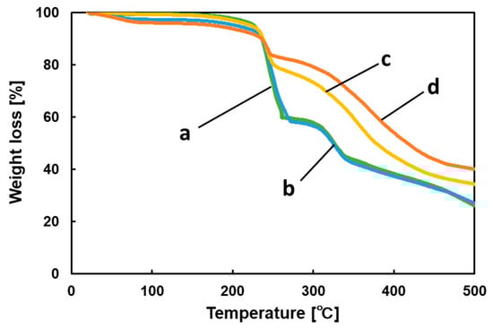
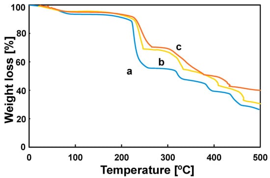
2.3. Mechanical and Thermal Properties of 3AZ–Metal Oxide Porous Polymer Composites
3. Materials and Methods
3.1. Materials
3.2. Synthesis of Porous Polymer Composites
3.3. Analytical Procedures
4. Conclusions
Supplementary Materials
Author Contributions
Funding
Institutional Review Board Statement
Informed Consent Statement
Data Availability Statement
Conflicts of Interest
References
- Shameem, M.M.; Sasikanth, S.M.; Raja, A.; Raman, R.G. A brief review on polymer nanocomposites and its applications. Mater. Today Proc. 2021, 45, 2536–2539. [Google Scholar] [CrossRef]
- Gobena, S.T.; Woldeyonnes, A.D. A review of synthesis methods, and characterization techniques of polymer nanocomposites for diverse applications. Discov. Mater. 2024, 4, 52. [Google Scholar] [CrossRef]
- Khan, I.; Khan, I.; Saeed, K.; Ali, N.; Zada, N.; Khan, A.; Ali, F.; Bilal, M.; Akhter, M.S. 7-Polymer nanocomposites: An overview. Smart Polym. Nanocompos. 2023, 167–184. [Google Scholar] [CrossRef]
- Jamil, H.; Faizan, M.; Adeel, M.; Jesionowski, T.; Boczkaj, G.; Balčiūnaitė, A. Recent Advances in Polymer Nanocomposites: Unveiling the Frontier of Shape Memory and Self-Healing Properties—A Comprehensive Review. Molecules 2024, 29, 1267. [Google Scholar] [CrossRef] [PubMed]
- Zhan, C.; Yu, G.; Lu, Y.; Wang, L.; Wujcik, E.; Wei, S. Conductive polymer nanocomposites: A critical review of modern advanced devices. J. Mater. Chem. C 2017, 5, 1569–1585. [Google Scholar] [CrossRef]
- Wu, D.; Xu, F.; Sun, B.; Fu, R.; He, H.; Matyjaszewski, K. Design and Preparation of Porous Polymers. Chem. Rev. 2012, 112, 3959–4015. [Google Scholar] [CrossRef]
- Liu, Q.; Xiong, J.; Lin, W.; Liu, J.; Wan, Y.; Guo, C.F.; Wang, Q.; Liu, Z. Porous polymers: Structure, fabrication and application. Mater. Horiz. 2025, 12, 2436–2466. [Google Scholar] [CrossRef]
- Ahmed, D.S.; El-Hiti, G.A.; Yousif, E.; Ali, A.A.; Hameed, A.S. Design and synthesis of porous polymeric materials and their applications in gas capture and storage: A review. J. Polym. Res. 2018, 25, 75. [Google Scholar] [CrossRef]
- Tsujioka, N.; Hira, N.; Aoki, S.; Tanaka, N.; Hosoya, K. A New Preparation Method for Well-Controlled 3D Skeletal Epoxy Resin-Based Polymer Monoliths. Macromolecules 2005, 38, 9901–9903. [Google Scholar] [CrossRef]
- Tsujioka, N.; Ishizuka, N.; Tanaka, N.; Kubo, T.; Hosoya, K. Well-Controlled 3D Skeletal Epoxy-Based Monoliths Obtained by Polymerization Induced Phase Separation. J. Polym. Sci. Part A Polym. Chem. 2008, 46, 3272–3281. [Google Scholar] [CrossRef]
- Hosoya, K.; Hira, N.; Yamamoto, K.; Nishimura, M.; Tanaka, N. High-Performance Polymer-Based Monolithic Capillary Column. Anal. Chem. 2006, 78, 5729–5737. [Google Scholar] [CrossRef]
- Kamo, Y.; Matsumoto, A. Control of Pore Sizes in Epoxy Monoliths and Applications as Sheet-Type Adhesives in Combination with Conventional Epoxy and Acrylic Adhesives. Molecules 2024, 29, 2059. [Google Scholar] [CrossRef]
- Sakakibara, K.; Kagata, H.; Ishizuka, H.; Sato, T.; Tsujii, Y. Fabrication of surface skinless membranes of epoxy resin-based mesoporous monoliths toward advanced separators for lithium ion batteries. J. Mater. Chem. A 2017, 5, 6866. [Google Scholar] [CrossRef]
- Li, J.; Du, X.; Li, H.; Zhang, C. Porous epoxy monolith prepared via chemically induced phase separation. Polymer 2009, 50, 1526–1532. [Google Scholar] [CrossRef]
- Wang, S.; Zhang, R. Column preconcentration of lead in aqueous solution with microporous epoxy resin-based polymer monolithic matrix. Anal. Chim. Acta 2006, 575, 166–171. [Google Scholar] [CrossRef] [PubMed]
- Nguyen, A.M.; Irgum, K. Epoxy-Based Monoliths. A Novel Hydrophilic Separation Material for Liquid Chromatography of Biomolecules. Chem. Mater. 2006, 18, 6308–6315. [Google Scholar] [CrossRef]
- Nguyen, A.M.; Phuoc, D.N.; Cam, Q.M.; Sparrman, T.; Irgum, K. Preparation and characterization of sizable microporous epoxy resin-based monolithic supports for flow-through systems. J. Sep. Sci. 2009, 32, 2608–2618. [Google Scholar] [CrossRef]
- Naga, N.; Takenouchi, T.; Nakano, T. Ring-Opening Polymerization of Triaziridine Compounds in Water: An Extremely Facile Method to Synthesize a Porous Polymer through Polymerization-Induced Phase Separation. ACS Macro Lett. 2022, 11, 602–607. [Google Scholar] [CrossRef]
- Oehl, G.; Naga, N.; Ziegmann, G. Facile Synthesis of Poly(methyl methacrylate) Silica Nanocomposite Monolith by In Situ Free Radical Polymerization of Methyl Methacrylate in the Presence of Functionalized Silica Nanoparticles. ACS Omega 2024, 9, 16279–16287. [Google Scholar] [CrossRef]
- Naga, N.; Miyazaki, Y.; Nakano, T. Porous Composite Polymers Composed of Polyethyleneimine and Cyclodextrins: Synthesis and Application as Adsorbents for an Organic Compound. Separations 2025, 12, 94. [Google Scholar] [CrossRef]
- Naito, K.; Nagai, C.; Kawasaki, S. Tensile Properties and Weibull Modulus of Polymeric-Fiber-Reinforced Epoxy-Impregnated Bundle Composites. J. Compos. Sci. 2024, 8, 390. [Google Scholar] [CrossRef]
- Cahill, D.G.; Poul, R.O. Thermal conductivity of amorphous solids above the plateau. Phys. Rev. B 1992, 46, 6131. [Google Scholar] [CrossRef] [PubMed]
- Levi, C.G. Emerging materials and processes for thermal barrier systems. Curr. Opin. Solid State Mater. Sci. 2004, 8, 77–91. [Google Scholar] [CrossRef]











| Run | SiO2 | SiO2 Concentration (wt%) | Temp. (°C) | Average Diameter (nm) | SD a (nm) | CV b | Bulk Density (g/cm3) | Young’s Modulus (kPa) | Wibull Constant |
|---|---|---|---|---|---|---|---|---|---|
| 1 | non | 0 | 20 | 4070 | 0.272 | 434.1 | 9.4 | ||
| 2 | non | 0 | 40 | 4820 | 0.295 | 381.1 | 11.7 | ||
| 3 | non | 0 | 60 | 4710 | 0.279 | 316.7 | 8.8 | ||
| 4 | ST-20 | 2.0 | 20 | 268 | 44.5 | 0.17 | 0.611 | 4579 | 7.4 |
| 5 | ST-20 | 2.0 | 40 | 240 | 66.5 | 0.28 | 0.499 | 1092 | 7.1 |
| 6 | ST-20 | 4.0 | 40 | 555 | 112.5 | 0.20 | 0.660 | 7611 | 7.3 |
| 7 | ST-20 | 6.0 | 40 | 372 | 72.8 | 0.20 | 0.753 | 14,565 | 10.6 |
| 8 | ST-20 | 2.0 | 60 | 267 | 58.9 | 0.22 | 0.464 | 5110 | 8.0 |
| 9 | ST-20 | 4.0 | 60 | 473 | 123.8 | 0.26 | 0.642 | 6251 | 7.3 |
| 10 | ST-20 | 6.0 | 60 | 535 | 123.4 | 0.20 | 0.812 | 9838 | 7.7 |
| 11 | ST-N | 2.0 | 20 | --- | 0.616 | 4905 | 9.3 | ||
| 12 | ST-N | 2.0 | 40 | 443 | 112.0 | 0.25 | 0.460 | 1296 | 7.1 |
| 13 | ST-N | 4.0 | 40 | 416 | 103.0 | 0.25 | 0.795 | 4230 | 10.2 |
| 14 | ST-N | 2.0 | 60 | 412 | 97.6 | 0.24 | 0.485 | 2104 | 7.4 |
| 15 | ST-N | 4.0 | 60 | 198 | 36.7 | 0.19 | 0.824 | 3561 | 8.6 |
| 16 | ST-C | 2.0 | 20 | 346 | 51.9 | 0.15 | 0.697 | 5400 | 7.6 |
| 17 | ST-C | 2.0 | 40 | 311 | 72.1 | 0.23 | 0.527 | 1472 | 9.3 |
| 18 | ST-C | 4.0 | 40 | 198 | 39.5 | 0.20 | 0.812 | 8952 | 7.6 |
| 19 | ST-C | 2.0 | 60 | 506 | 140.9 | 0.28 | 0.465 | 1477 | 11.5 |
| 20 | ST-C | 4.0 | 60 | 221 | 51.2 | 0.23 | 0.751 | 5572 | 7.4 |
| 21 | ST-C | 6.0 | 60 | 215 | 44.4 | 0.21 | 0.905 | 15,042 | 9.6 |
| 22 | ST-O | 2.0 | 20 | 415 | 83.7 | 0.20 | 0.773 | 3744 | 9.0 |
| 23 | ST-O | 2.0 | 40 | 463 | 118.1 | 0.26 | 0.499 | 984.2 | 8.6 |
| 24 | ST-O | 2.0 | 60 | 368 | 54.6 | 0.15 | 0.482 | 734.3 | 8.6 |
| 25 | ST-AK | 2.0 | 20 | 241 | 56.4 | 0.23 | 0.822 | 5548 | 9.9 |
| 26 | ST-AK | 2.0 | 40 | 808 | 179.0 | 0.22 | 0.382 | 1468 | 10.1 |
| 27 | ST-AK | 2.0 | 60 | 1004 | 247.2 | 0.25 | 0.478 | 1875 | 9.1 |
| Run | ZrO2 Concentration (wt%) | Temp. (°C) | Average Particle Size (nm) | SD a (nm) | CV b | Bulk Density (g/cm3) | Young’s Modulus (kPa) | Wibull Constant |
|---|---|---|---|---|---|---|---|---|
| 28 | 1.0 | 20 | 750 | 107.3 | 0.14 | 0.268 | 2786 | 9.5 |
| 29 | 2.0 | 20 | 448 | 68.5 | 0.15 | 0.426 | 13,904 | 11.3 |
| 30 | 4.0 | 20 | 263 | 42.2 | 0.16 | 0.457 | 3386 | 8.6 |
| 31 | 6.0 | 20 | 171 | 34.9 | 0.20 | 0.570 | 1966 | 7.7 |
| 32 | 1.0 | 40 | 687 | 117.5 | 0.17 | 0.424 | 2127 | 9.0 |
| 33 | 2.0 | 40 | 397 | 53.4 | 0.13 | 0.465 | 1700 | 8.4 |
| 34 | 4.0 | 40 | 299 | 58.3 | 0.20 | 0.469 | 3159 | 9.8 |
| 35 | 6.0 | 40 | 170 | 29.3 | 0.17 | 0.516 | 2924 | 9.1 |
| 36 | 1.0 | 60 | 619 | 99.1 | 0.16 | 0.426 | 1435 | 10.2 |
| 37 | 2.0 | 60 | 429 | 80.0 | 0.19 | 0.502 | 1708 | 9.7 |
| 38 | 4.0 | 60 | 238 | 41.2 | 0.17 | 0.529 | 2917 | 8.5 |
| 39 | 6.0 | 60 | 167 | 37.9 | 0.23 | 0.549 | 865.7 | 9.7 |
| Run | Metal Oxide | Metal Oxide Concentration (wt%) | Tdon a (°C) | Rdmax b (wt%/K) | Char c (wt%) |
|---|---|---|---|---|---|
| 3 | non | 0 | 234.7 | 1.21 | 26.4 |
| 8 | ST-20 | 2.0 | 236.0 | 1.07 | 27.0 |
| 9 | ST-20 | 4.0 | 240.3 | 0.86 | 34.2 |
| 10 | ST-20 | 6.0 | 240.7 | 0.61 | 40.1 |
| 24 | ST-O | 2.0 | 242.5 | 1.02 | 29.2 |
| 37 | ZrO2 | 2.0 | 224.6 | 2.68 | 26.5 |
| 38 | ZrO2 | 4.0 | 233.4 | 1.18 | 30.5 |
| 39 | ZrO2 | 6.0 | 233.6 | 0.74 | 40.0 |
Disclaimer/Publisher’s Note: The statements, opinions and data contained in all publications are solely those of the individual author(s) and contributor(s) and not of MDPI and/or the editor(s). MDPI and/or the editor(s) disclaim responsibility for any injury to people or property resulting from any ideas, methods, instructions or products referred to in the content. |
© 2025 by the authors. Licensee MDPI, Basel, Switzerland. This article is an open access article distributed under the terms and conditions of the Creative Commons Attribution (CC BY) license (https://creativecommons.org/licenses/by/4.0/).
Share and Cite
Naga, N.; Janas, J.; Takenouchi, T.; Nakano, T. Synthesis and Properties of Ethylene Imine-Based Porous Polymer Nanocomposites with Metal Oxide Nanoparticles. Molecules 2025, 30, 3574. https://doi.org/10.3390/molecules30173574
Naga N, Janas J, Takenouchi T, Nakano T. Synthesis and Properties of Ethylene Imine-Based Porous Polymer Nanocomposites with Metal Oxide Nanoparticles. Molecules. 2025; 30(17):3574. https://doi.org/10.3390/molecules30173574
Chicago/Turabian StyleNaga, Naofumi, Julia Janas, Tomoya Takenouchi, and Tamaki Nakano. 2025. "Synthesis and Properties of Ethylene Imine-Based Porous Polymer Nanocomposites with Metal Oxide Nanoparticles" Molecules 30, no. 17: 3574. https://doi.org/10.3390/molecules30173574
APA StyleNaga, N., Janas, J., Takenouchi, T., & Nakano, T. (2025). Synthesis and Properties of Ethylene Imine-Based Porous Polymer Nanocomposites with Metal Oxide Nanoparticles. Molecules, 30(17), 3574. https://doi.org/10.3390/molecules30173574

