Reversible Binding of Nitric Oxide in a Cu(II)-Containing Microporous Metal-Organic Framework
Abstract
1. Introduction
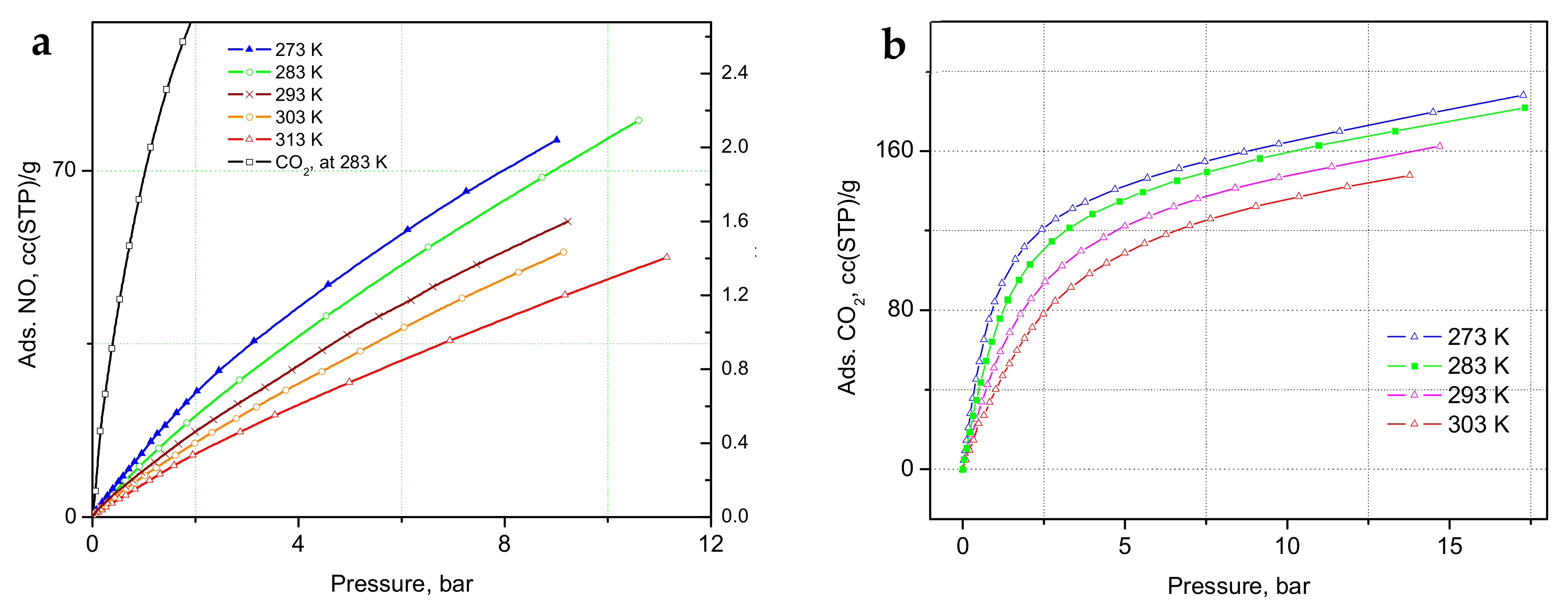
2. Results and Discussion
3. Experimental Procedures
4. Summary and Conclusions
Supplementary Materials
Author Contributions
Funding
Institutional Review Board Statement
Informed Consent Statement
Data Availability Statement
Acknowledgments
Conflicts of Interest
References
- Farah, C.; Michel, L.; Balligand, J.L. Nitric oxide signalling in cardiovascular health and disease. Nat. Rev. Cardiol. 2018, 15, 292–316. [Google Scholar] [CrossRef] [PubMed]
- Fang, F.C. Perspectives series: Host/pathogen interactions. Mechanisms of nitric oxide-related antimicrobial activity. J. Clin. Investig. 1997, 99, 2818–2825. [Google Scholar] [CrossRef] [PubMed]
- Schairer, D.O.; Chouake, J.S.; Nosanchuk, J.D.; Friedman, A.J. The potential of nitric oxide releasing therapies as antimicrobial agents. Virulence 2012, 2012, 271–279. [Google Scholar] [CrossRef]
- Schwentker, A.; Vodovotz, Y.; Weller, R.; Billiar, T.R. Nitric oxide and wound repair: Role of cytokines? Nitric Oxide 2002, 7, 1–10. [Google Scholar] [CrossRef]
- Gusarov, I.; Shatalin, K.; Starodubtseva, M.; Nudler, E. Endogenous nitric oxide protects bacteria against a wide spectrum of antibiotics. Science 2009, 325, 1380–1384. [Google Scholar] [CrossRef]
- Fu, Y.; Tian, Y.; Lin, P. A low-temperature IR spectroscopic study of selective adsorption of NO and CO on CuO/γ-Al2O3. J. Catal. 1991, 132, 85–91. [Google Scholar] [CrossRef]
- Hadjiivanov, K.I. Catalysis Reviews. Sci. Eng. 2000, 42, 71–144. [Google Scholar]
- Wheatley, P.S.; Butler, A.R.; Crane, M.S.; Fox, S.; Xiao, B.; Rossi, A.G.; Megson, I.L.; Morris, R.E. NO-Releasing Zeolites and Their Antithrombotic Properties. J. Am. Chem. Soc. 2006, 128, 502–509. [Google Scholar] [CrossRef]
- Kuppler, R.J.; Timmons, D.J.; Fang, Q.-R.; Li, J.-R.; Makal, T.A.; Young, M.D.; Yuan, D.; Zhao, D.; Zhuang, W.; Zhou, H.-C. Potential applications of metal-organic frameworks. Coord. Chem. Rev. 2009, 253, 3042–3066. [Google Scholar] [CrossRef]
- Kirchon, A.; Feng, L.; Drake, H.F.; Josepha, E.A.; Zhou, H.-C. From fundamentals to applications: A toolbox for robust and multifunctional MOF materials. Chem. Soc. Rev. 2018, 47, 8611–8638. [Google Scholar] [CrossRef]
- Demir, H.; Aksu, G.O.; Gulbalkan, H.C.; Keskin, S. MOF Membranes for CO2 Capture: Past, Present and Future. Carbon Capture Sci. Technol. 2022, 2, 100026. [Google Scholar] [CrossRef]
- Connolly, B.M.; Aragones-Anglada, M.; Gandara-Loe, J.; Danaf, N.A.; Lamb, D.C.; Mehta, J.P.; Vulpe, D.; Wuttke, S.; Silvestre-Albero, J.; Moghadam, P.Z.; et al. Tuning Porosity in Macroscopic Monolithic Metal-Organic Frameworks for Exceptional Natural Gas Storage. Nat. Commun. 2019, 10, 2345. [Google Scholar] [CrossRef]
- Parkes, M.V.; Staiger, C.L.; Perry, J.J.; Allendorf, M.D.; Greathouse, J.A. Screening metal-organic frameworks for selective noble gas adsorption in air effect of pore size and framework topology. Phys. Chem. Chem. Phys. 2013, 15, 9093–9103. [Google Scholar] [CrossRef] [PubMed]
- Banerjee, D.; Cairns, A.J.; Liu, J.; Motkuri, R.K.; Nune, S.K.; Fernandez, C.A.; Krishna, R.; Strachan, D.M.; Thallapally, P.K. Potential of Metal−Organic Frameworks for Separation of Xenon and Krypton. Acc. Chem. Res. 2015, 48, 211–220. [Google Scholar] [CrossRef] [PubMed]
- Magdysyuk, O.V.; Adams, F.; Liermann, H.-P.; Spanopoulos, I.; Trikalitis, P.N.; Hirscher, M.; Morris, R.E.; Duncan, M.J.; McCormick, L.J.; Dinnebier, R.E. Understanding the adsorption mechanism of noble gases Kr and Xe in CPO-27-Ni, CPO-27-Mg, and ZIF-8. Phys. Chem. Chem. Phys. 2014, 16, 23908–23914. [Google Scholar] [CrossRef] [PubMed]
- Cui, W.G.; Hu, T.L.; Bu, X.H. Metal−Organic Framework Materials for the Separation and Purification of Light Hydrocarbons. Adv. Mater. 2020, 32, 1806445. [Google Scholar] [CrossRef]
- Li, C.; Qian, G.; Cui, Y. Metal organic frameworks for nonlinear optics and lasing. Inf. Funct. Mater. 2024, 1, 125–159. [Google Scholar] [CrossRef]
- Jyoti; Dutta, T.; Kumar, P.; Jangra, R.; Sharma, A.K.; Singh, M.; Chaturvedi, P.; Sharma, S.; Garita, M.R.; Mishra, S.K. Recent advances in Metal-Organic Framework-Based fiber optic sensors and Photodetectors Synthesis, Properties, and applications. Chem. Eng. J. 2025, 507, 160543. [Google Scholar] [CrossRef]
- Horcajada, P.; Serre, C.; Vallet-Regí, M.; Sebban, M.; Taulelle, F.; Férey, G. Metal-Organic Frameworks as Efficient Materials for Drug Delivery. Angew. Chem. Int. Ed. 2006, 45, 5974–5978. [Google Scholar] [CrossRef]
- McKinlay, A.C.; Allan, P.K.; Renouf, C.L.; Duncan, M.J.; Wheatley, P.S.; Warrender, S.J.; Dawson, D.; Ashbrook, S.E.; Gil, B.; Marszalek, B.; et al. Multirate delivery of multiple therapeutic agents from metal-organic frameworks. APL Mater. 2014, 2, 124108. [Google Scholar] [CrossRef]
- Wu, M.X.; Yang, Y.W. Metal−Organic Framework (MOF)-Based Drug/Cargo Delivery and Cancer Therapy. Adv. Mater. 2017, 29, 1606134. [Google Scholar] [CrossRef]
- Khulood, M.T.; Jijith, U.S.; Naseef, P.P.; Kallungal, S.M.; Geetha, V.S.; Pramod, K. Advances in metal-organic framework-based drug delivery systems. Int. J. Pharm. 2025, 673, 125380. [Google Scholar] [CrossRef]
- Xiao, B.; Wheatley, P.S.; Zhao, X.; Fletcher, A.J.; Fox, S.; Rossi, A.G.; Megson, I.L.; Bordiga, S.; Regli, L.; Thomas, K.M.; et al. High-Capacity Hydrogen and Nitric Oxide Adsorption and Storage in a Metal−Organic Framework. J. Am. Chem. Soc. 2007, 129, 1203–1209. [Google Scholar] [CrossRef]
- Duncan, M.J.; Wheatley, P.S.; Coghill, E.M.; Vornholt, S.M.; Warrender, S.J.; Megson, I.L.; Morris, R.E. Antibacterial efficacy from NO-releasing MOF–polymer films. Mater. Adv. 2020, 1, 2509–2519. [Google Scholar] [CrossRef]
- Main, R.M.; Naden, A.B.; Duncan, M.J.; Morris, R.E.; Ettlinger, R. Dual-Action NO Delivery from One Mixed Metal Metal−Organic Framework. Inorg. Chem. 2025, 64, 4399–4407. [Google Scholar] [CrossRef] [PubMed]
- Bonino, F.; Chavan, S.; Vitillo, J.G.; Groppo, E.; Agostini, G.; Lamberti, C.; Dietzel, P.D.C.; Prestipino, C.; Bordigal, S. Local Structure of CPO-27-Ni Metallorganic Framework upon Dehydration and Coordination of NO. Chem. Mater. 2008, 20, 4957–4968. [Google Scholar] [CrossRef]
- Bordiga, S.; Regli, L.; Bonino, F.; Groppo, E.; Lamberti, C.; Xiao, B.; Wheatley, P.S.; Morris, R.E.; Zecchina, A. Adsorption properties of HKUST-1 toward hydrogen and other small molecules monitored by IR. Phys. Chem. Chem. Phys. 2007, 9, 2676–2685. [Google Scholar] [CrossRef]
- Rosnes, M.H.; Sheptyakov, D.; Franz, A.; Frontzek, M.; Dietzel, P.D.C.; Georgiev, P.A. On the elusive nature of oxygen binding at coordinatively unsaturated 3d transition metal centers in metal–organic frameworks. Phys. Chem. Chem. Phys. 2017, 19, 26346–26357. [Google Scholar] [CrossRef]
- Chui, S.S.-Y.; Lo, S.M.-F.; Charmant, J.P.H.; Guy Orpen, A.; Williams, I.D. A chemically functionalizable nanoporous material. Science 1999, 283, 1148. [Google Scholar] [CrossRef]
- Drenchev, N.; Rosnes, M.H.; Dietzel, P.D.C.; Albinati, A.; Hadjiivanov, K.I.; Georgiev, P.A. Open Metal Sites in the Metal–Organic Framework CPO-27-Cu: Detection of Regular and Defect Copper Species by CO and NO Probe. Mol. J. Phys. Chem. C 2018, 122, 17238–17249. [Google Scholar] [CrossRef]
- Macrae, C.F.; Edgington, P.R.; McCabe, P.; Pidcock, E.; Shields, G.P.; Taylor, R.; Towler, M.; van de Streek, J. Mercury: Visualization and analysis of crystal structures. J. Appl. Cryst. 2016, 39, 453–457. [Google Scholar] [CrossRef]
- Queen, W.L.; Hudson, M.R.; Bloch, E.D.; Mason, J.A.; Gonzalez, M.I.; Lee, J.S.; Gygi, D.; Howe, J.D.; Lee, K.; Darwish, T.A.; et al. Comprehensive study of carbon dioxide adsorption in the metal–organic frameworks M(II)(dobdc) (M(II)- Mg, Mn, Fe, Co, Ni, Cu, Zn). Chem. Sci. 2014, 5, 4569–4581. [Google Scholar] [CrossRef]
- Pato-Doldán, B.; Rosnes, M.H.; Dietzel, P.D.C. An in-depth structural study of the CO2 adsorption process in the porous metal–organic frameworks CPO-27-M. ChemSusChem 2017, 10, 1710–1719. [Google Scholar] [CrossRef] [PubMed]
- Adhikari, A.K.; Lin, K.S. Synthesis, Fine Structural Characterization, and CO2 Adsorption Capacity of Metal Organic Frameworks-74. J. Nanosci. Nanotechnol. 2014, 14, 2709–2717. [Google Scholar] [CrossRef] [PubMed]
- Ravel, B.; Newville, M. ATHENA, ARTEMIS, HEPHAESTUS: Data analysis for X-ray absorption spectroscopy using IFEFFIT. J. Synchr. Radiat. 2005, 12, 537–541. [Google Scholar] [CrossRef]
- Bitzer, J.; Christoph Göbel Ismail, A.M.; Fu, Q.; Muhler, M.; Kleist, W. One-Step Synthesis of Core-Shell-Structured Mixed-Metal CPO-27(Cu,Co) and Investigations on Its Controlled Thermal Transformation. Eur. J. Inorg. Chem. 2021, 2021, 2257–2261. [Google Scholar] [CrossRef]
- Xue, G.; Liu, H.; Liu, W.; Yang, C.; Ban, Z.; An, P.; Chen, W.; Zheng, L.; Li, G.; Tan, T.; et al. Major-auxiliary cooperative metal pairs in MOFs enable cascade oxidation of KA oil to ε-caprolactone. Nat. Commun. 2024, 15, 9659. [Google Scholar] [CrossRef]
- Rosnes, M.H.; Opitz, M.; Frontzek, M.; Lohstroh, W.; Embs, J.P.; Georgiev, P.A.; Dietzel, P.D.C. Intriguing differences in hydrogen adsorption in CPO-27 materials induced by metal substitution. J. Mater. Chem. A 2015, 3, 4827–4839. [Google Scholar] [CrossRef]
- Zhang, M.; Qiao, R.; Hu, J. Engineering Metal–Organic Frameworks (MOFs) for Controlled Delivery of Physiological Gaseous Transmitters. Nanomaterials 2020, 10, 1134. [Google Scholar] [CrossRef]
- Többens, D.M.; Zander, S. KMC-2: An X-ray beamline with dedicated diffraction and XAS endstations at BESSY II. J. Large-Scale Res. Facil. 2016, 2, A49. [Google Scholar] [CrossRef]
- Rosnes, M.H.; Pato-Doldan, B.; Johnsen, R.E.; Mundstock, A.; Caro, J.; Dietzel, P.D.C. Role of the metal cation in the dehydration of the microporous metal–organic frameworks CPO-27-M. Micro. Mesoporous Mater. 2020, 309, 110503. [Google Scholar] [CrossRef]







| Sample | Path | N (Fixed) | r [Å] | σ2 [Å2] | R-Factor |
|---|---|---|---|---|---|
| 130 K, evacuated | Cu-O | 2 | 1.922 (11) | 0.005 (1) | 0.023 |
| Cu-O | 2 | 1.974 (11) | 0.005 (1) | ||
| Cu-Cu * | 2 | 2.977 (14) | 0.007 (2) | ||
| 130 K, 160 mb NO | Cu-O | 3 | 1.938 (8) | 0.005 (1) | 0.019 |
| Cu-O | 1 | 1.960 (8) | 0.005 (1) | ||
| Cu-N | 1 | 2.489 (19) | 0.005 (1) | ||
| Cu-Cu * | 2 | 2.977 (11) | 0.006 (1) | ||
| 130 K, 900 mb NO | Cu-O | 3 | 1.939 (66) | 0.005 (1) | 0.016 |
| Cu-O | 1 | 1.962 (66) | 0.005 (1) | ||
| Cu-N | 1 | 2.571 (46) | 0.005 (1) | ||
| Cu-Cu * | 2 | 2.9802 (98) | 0.006 (1) | ||
| 100 K, 5 mb NO | Cu-O | 3 | 1.944 (5) | 0.0059 (8) | 0.014 |
| Cu-O | 1 | 1.967 (5) | 0.0059 (8) | ||
| Cu-N | 1 | 2.5395 (49) | 0.0067 (9) | ||
| Cu-Cu * | 2 | 2.995 (7) | 0.00698 (87) |
Disclaimer/Publisher’s Note: The statements, opinions and data contained in all publications are solely those of the individual author(s) and contributor(s) and not of MDPI and/or the editor(s). MDPI and/or the editor(s) disclaim responsibility for any injury to people or property resulting from any ideas, methods, instructions or products referred to in the content. |
© 2025 by the authors. Licensee MDPI, Basel, Switzerland. This article is an open access article distributed under the terms and conditions of the Creative Commons Attribution (CC BY) license (https://creativecommons.org/licenses/by/4.0/).
Share and Cite
Bikov, K.A.; Schuck, G.; Georgiev, P.A. Reversible Binding of Nitric Oxide in a Cu(II)-Containing Microporous Metal-Organic Framework. Molecules 2025, 30, 3007. https://doi.org/10.3390/molecules30143007
Bikov KA, Schuck G, Georgiev PA. Reversible Binding of Nitric Oxide in a Cu(II)-Containing Microporous Metal-Organic Framework. Molecules. 2025; 30(14):3007. https://doi.org/10.3390/molecules30143007
Chicago/Turabian StyleBikov, Konstantin A., Götz Schuck, and Peter A. Georgiev. 2025. "Reversible Binding of Nitric Oxide in a Cu(II)-Containing Microporous Metal-Organic Framework" Molecules 30, no. 14: 3007. https://doi.org/10.3390/molecules30143007
APA StyleBikov, K. A., Schuck, G., & Georgiev, P. A. (2025). Reversible Binding of Nitric Oxide in a Cu(II)-Containing Microporous Metal-Organic Framework. Molecules, 30(14), 3007. https://doi.org/10.3390/molecules30143007

