Synthesis and Application of a New Cyclic Phosphoric Acid in Enantioselective Three-Component Mannich Reactions
Abstract
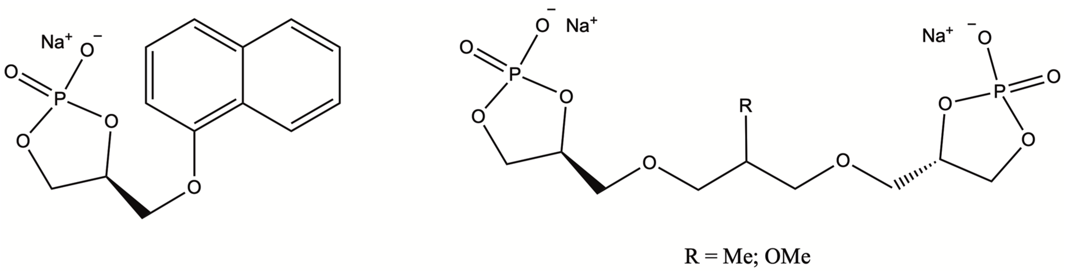
1. Introduction
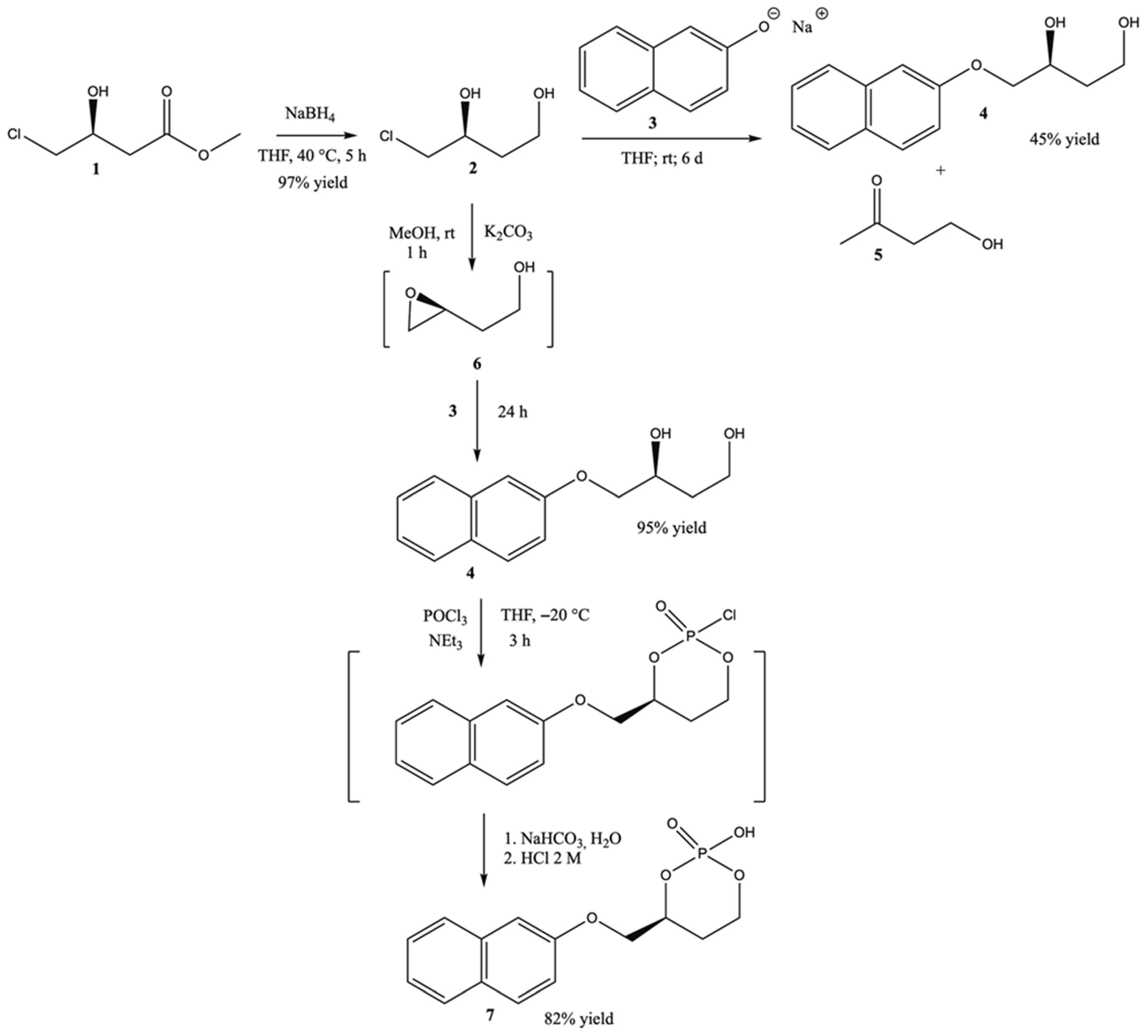
2. Results and Discussion
3. Materials and Methods
3.1. General
3.2. (+)-2-Hydroxy-4-((naphthalen-2-yloxy)methyl)-1,3,2-dioxaphosphinane 2-oxide (7)
3.2.1. Synthesis of (S) (−)-4-Chlorobutane-1,3-diol (2)
3.2.2. Synthesis of (−)-4-(Naphthalen-2-yloxy)butane-1,3-diol (4)
3.2.3. Synthesis of (+)-2-Hydroxy-4-((naphthalen-2-yloxy)methyl)-1,3,2-dioxaphosphinane-2-oxide (7)
3.3. (+)-7 as a Catalyst in Mannich Reaction: General Procedure
4. Conclusions
Supplementary Materials
Author Contributions
Funding
Institutional Review Board Statement
Informed Consent Statement
Data Availability Statement
Acknowledgments
Conflicts of Interest
References
- da Gama Oliveira, V.; do Carmo Cardoso, M.F.; da Silva Magalhaes Forezi, L. Organocatalysis: A Brief Overview on Its Evolution and Applications. Catalysts 2018, 8, 605. [Google Scholar] [CrossRef]
- Melnik, N.; Iribarren, I.; Mates-Torres, E.; Trujillo, C. Theoretical Perspectives in Organocatalysis. Chem. Eur. J. 2022, 28, e202201570. [Google Scholar] [CrossRef] [PubMed]
- List, B.; Lerner, R.A.; Barbas, C.F., III. Proline-Catalyzed Direct Asymmetric Aldol Reactions. J. Am. Chem. Soc. 2000, 122, 2395–2396. [Google Scholar] [CrossRef]
- Ahrendt, K.A.; Borths, C.J.; MacMillan, D.W.C. New strategies for organic synthesis: The first highly enantioselective organocatalytic Diels-Alder reaction. J. Am. Chem. Soc. 2000, 122, 4243–4244. [Google Scholar] [CrossRef]
- Xiang, S.-A.; Tan, B. Advances in asymmetric organocatalysis over the last 10 year. Nat. Commun. 2020, 11, 3786. [Google Scholar] [CrossRef]
- Garcia Mancheño, O.; Waser, M. Recent Developments and Trends in Asymmetric Organocatalysis. Eur. J. Org. Chem. 2023, 26, e202200950. [Google Scholar] [CrossRef]
- List, B. Introduction: Organocatalysis. Chem. Rev. 2007, 107, 5413–5415. [Google Scholar] [CrossRef]
- Maji, R.; Mallojjala, S.C.; Wheeler, S.E. Chiral phosphoric acid catalysis: From numbers to insights. Chem. Soc. Rev. 2018, 47, 1142–1158. [Google Scholar] [CrossRef]
- Jimenez, E.I. An update on chiral phosphoric acid organocatalyzed stereoselective reactions. Org. Biomol. Chem. 2023, 21, 3477–3502. [Google Scholar] [CrossRef]
- Akiyama, T.; Itoh, J.; Yokota, K.; Fuchibe, K. Enantioselective Mannich-Type Reaction Catalyzed by a Chiral Brønsted Acid. Angew. Chem. Int. Ed. 2004, 43, 1566–1568. [Google Scholar] [CrossRef]
- Uraguchi, D.; Terada, M. Chiral Brønsted Acid-Catalyzed Direct Mannich Reactions via Electrophilic Activation. J. Am. Chem. Soc. 2004, 126, 5356–5357. [Google Scholar] [CrossRef]
- Parmar, D.; Sugiono, E.; Raja, S.; Rueping, M. Complete Field Guide to Asymmetric BINOL-Phosphate Derived Brønsted Acid and Metal Catalysis: History and Classification by Mode of Activation; Brønsted Acidity, Hydrogen Bonding, Ion Pairing, and Metal Phosphates. Chem. Rev. 2014, 114, 9047–9153. [Google Scholar] [CrossRef]
- Li, S.; Zhang, J.-W.; Li, X.-L.; Cheng, D.-J.; Tan, B. Phosphoric Acid-Catalyzed Asymmetric Synthesis of SPINOL Derivatives. J. Am. Chem. Soc. 2016, 138, 16561–16566. [Google Scholar] [CrossRef]
- Desai, A.; Wulff, W.D. New Derivatives of VAPOL and VANOL: Structurally Distinct Vaulted Chiral Ligands and Brønsted Acid Catalysts. Synthesis 2010, 21, 3670–3680. [Google Scholar] [CrossRef][Green Version]
- Desai, A.; Huang, L.; Wulff, W.D.; Rowland, G.B.; Antilla, J.C. Gram-Scale Preparation of VAPOL Hydrogenphosphate: A Structurally Distinct Chiral Brønsted Acid. Synthesis 2010, 12, 2106–2109. [Google Scholar] [CrossRef]
- Akiyama, T.; Saitoh, Y.; Morita, H.; Fuchibe, K. Enantioselective Mannich-Type Reaction Catalyzed by a Chiral Brønsted Acid Derived from TADDOL. Adv. Synth. Catal. 2005, 347, 1523–1526. [Google Scholar] [CrossRef]
- Ten Hoewe, W.; Wynberg, H. The design of resolving agents. Chiral cyclic phosphoric acids. J. Org. Chem. 1985, 50, 4508–4514. [Google Scholar] [CrossRef]
- Buchwald, S.L.; Pliura, D.H.; Knowles, J.R. Stereochemical Evidence for Pseudorotation in the Reaction of a Phosphoric Monoester. J. Am. Chem. Soc. 1984, 106, 4916–4922. [Google Scholar] [CrossRef]
- Antenucci, A.; Messina, M.; Bertolone, M.; Bella, M.; Carlone, A.; Salvio, R.; Dughera, S. Turning Renewable Feedstocks into a Valuable and Efficient Chiral Phosphate Salt Catalyst. Asian J. Org. Chem. 2021, 10, 3279–3284. [Google Scholar] [CrossRef]
- Antenucci, A.; Ghigo, G.; Cassetta, D.; Alcibiade, M.; Dughera, S. Design, synthesis and application of C2-symmetric cycloglycerodiphosphate. Adv. Synth. Catal. 2023, 365, 1170–1178. [Google Scholar] [CrossRef]
- Ghigo, G.; Rivella, J.; Robiolio Bose, A.; Dughera, S. Chiral Sodium Glycerophosphate Catalyst for Enantioselective Michael Reactions of Chalcones. Molecules 2024, 29, 4763. [Google Scholar] [CrossRef]
- Ciaccio, J.A. Diastereospecific Synthesis of an Epoxide: An Introductory Experiment in Organic Synthetic and Mechanistic Chemistry. J. Chem. Educ. 1995, 72, 1037–1039. [Google Scholar] [CrossRef]
- Allochio Filho, J.F.; Lemos, B.C.; de Souza, A.S.; Pinheiro, S.; Greco, S.J. Multicomponent Mannich reactions: General aspects, methodologies and applications. Tetrahedron 2017, 73, 6977e7004. [Google Scholar] [CrossRef]
- Cordova, A. The Direct Catalytic Asymmetric Mannich Reaction. Acc. Chem. Res. 2004, 37, 102–112. [Google Scholar] [CrossRef]
- Van Rootselaar, S.; Peterse, E.; Blanco-Ania, D.; Rutjes, F.P.J.T. Stereoselective Mannich Reactions in the Synthesis of Enantiopure Piperidine Alkaloids and Derivatives. Eur. J. Org. Chem. 2023, 26, e202300053. [Google Scholar] [CrossRef]
- Tanaka, F. The Bimolecular and Intramolecular Mannich and Related. In Reference Module in Chemistry, Molecular Sciences and Chemical Engineering; Elsevier: Amsterdam, The Netherlands, 2023. [Google Scholar] [CrossRef]
- Guo, Q.X.; Liu, H.; Guo, C.; Luo, S.W.; Gu, Y.; Gong, L.Z. Chiral Brønsted Acid-Catalyzed Direct Asymmetric Mannich Reaction. J. Am. Chem. Soc. 2007, 129, 3790–3791. [Google Scholar] [CrossRef]
- Chen, Y.-Y.; Jiang, Y.-J.; Fan, Y.-S.; Sha, D.; Wang, Q.; Zhang, G.; Zheng, L.; Zhang, S. Double axially chiral bisphosphorylimides as novel Brønsted acids in asymmetric three-component Mannich reaction. Tetrahedron Asymmetry 2012, 23, 904–909. [Google Scholar] [CrossRef]
- Enders, D.; Ludwig, M.; Raabe, G. Synthesis and application of the first planar chiral strong brønsted acid organocatalysts. Chirality 2012, 24, 215–222. [Google Scholar] [CrossRef]
- Barbero, M.; Cadamuro, S.; Dughera, S. Brønsted acid catalyzed enantio- and diastereoselective one-pot three component Mannich reaction. Tetrahedron Asymm. 2015, 26, 1180–1188. [Google Scholar] [CrossRef]
- Iwanejko, J.; Wojaczyńska, E.; Olszewski, T.K. Green chemistry and catalysis in Mannich reaction. Curr. Opin. Green Sustain. Chem. 2018, 10, 27–34. [Google Scholar] [CrossRef]
- Mardirossian, N.; Head-Gordon, M. Thirty years of density functional theory in computational chemistry: An overview and extensive assessment of 200 density functionals. Mol. Phys. 2017, 115, 2315–2372. [Google Scholar] [CrossRef]
- Li, P.; Sun, J.; Su, M.; Yang, X.; Tang, X. Design, synthesis and properties of artificial nucleic acids from (R)-4-amino-butane-1,3-diol. Org. Biomol. Chem. 2014, 12, 2263–2272. [Google Scholar] [CrossRef] [PubMed]
- Parr, R.G. Density Functional Theory of Atoms and Molecules. In Horizons of Quantum Chemistry; Springer: Dordrecht, The Netherlands, 1980; pp. 5–15. [Google Scholar] [CrossRef]
- Zhao, Y.; Truhlar, D.G. The M06 suite of density functionals for main group thermochemistry, thermochemical kinetics, noncovalent interactions, excited states, and transition elements: Two new functionals and systematic testing of four M06-class functionals and 12 other function. Theor. Chem. Acc. 2008, 120, 215–241. [Google Scholar] [CrossRef]
- Zhao, Y.; Truhlar, D.G. Density functionals with broad applicability in chemistry. Acc. Chem. Res. 2008, 41, 157–167. [Google Scholar] [CrossRef]
- Schaefer, A.; Huber, C.; Ahlrichs, R. Fully optimized contracted Gaussian-basis sets of triple zeta valence quality for atoms Li to Kr. J. Chem. Phys. 1994, 100, 5829–5835. [Google Scholar] [CrossRef]
- Foresman, J.; Frisch, A. Exploring Chemistry with Electronic Structure Methods; Gaussian Inc.: Pittsburgh, PA, USA, 1996; Available online: http://gaussian.com/expchem3/ (accessed on 4 June 2021).
- Ribeiro, R.F.; Marenich, A.V.; Cramer, C.J.; Truhlar, D.G. Use of solution-phase vibrational frequencies in continuum models for the free energy of solvation. J. Phys. Chem. B. 2011, 115, 14556–14562. [Google Scholar] [CrossRef]
- Marenich, A.V.; Cramer, C.J.; Truhlar, D.G. Universal solvation model based on solute electron density and a continuum model of the solvent defined by the bulk dielectric constant and atomic surface tensions. J. Phys. Chem. B 2009, 113, 6378–6396. [Google Scholar] [CrossRef]
- Truhlar, D.G.; Garrett, B.C.; Klippenstein, S.J. Current status of Transition-State Theory. J. Phys. Chem. 1996, 100, 12771–12800. [Google Scholar] [CrossRef]
- Frisch, M.J.; Trucks, G.W.; Schlegel, H.B.; Scuseria, G.E.; Robb, M.A.; Cheeseman, J.R.; Scalmani, G.; Barone, V.; Petersson, G.A.; Nakatsuji, H.; et al. Gaussian 16, Revision A.03; Gaussian, Inc.: Wallingford, CT, USA, 2016. [Google Scholar]
- Schaftenaar, G.; Noordik, J.H. Molden: A pre- and post-processing program for molecular and electronic structures. J. Comput. Aided. Mol. Des. 2000, 14, 123–134. [Google Scholar] [CrossRef]
- Hu, W.; Xiang, J.; Zhou, Q.; Gao, X. Harnessing Protonated 2,2′-Bipyridinium Salts as Powerful Brønsted Acid Catalysts in Organic Reactions. J. Org. Chem. 2023, 88, 4066–4076. [Google Scholar] [CrossRef]
- Kaur Rajput, J.; Kaur, G. Bi(NO3)3·5H2O: An Efficient and Green Catalyst for Synthesis of1,5-Benzodiazepines and β-Amino Carbonyl Compounds. Asian J. Chem. 2013, 25, 6545–6549. [Google Scholar] [CrossRef]
- Li, H.; Zeng, H.-Y.; Shao, H.-W. Bismuth(III) chloride-catalyzed one-pot Mannich reaction: Three-component synthesis of β-amino carbonyl compounds. Tetrahedron Lett. 2009, 50, 6858–6860. [Google Scholar] [CrossRef]
- Blatt, A.H.; Gross, N. The Addition of Ketones to Schiff Bases. J. Org. Chem. 1964, 29, 3306–3311. [Google Scholar] [CrossRef]
- Movassagh, B.; Khosousi, S. K3PO4-catalyzed one-pot synthesis of β-amino ketones. Monatsh. Chem. 2012, 143, 1503–1506. [Google Scholar] [CrossRef]
- Wu, Y.; Chen, C.; Jia, G.; Zhu, X.; Sun, H.; Zhang, G.; Zhang, W.; Gao, Z. Salicylato Titanocene Complexes as Cooperative Organometallic Lewis Acid and Brønsted Acid Catalysts for Three-Component Mannich Reactions. Chem. Eur. J. 2014, 20, 8530–8535. [Google Scholar] [CrossRef]
- Akiyama, T.; Takaya, J.; Kagoshima, H. Brønsted Acid-Catalyzed Mannich-Type Reactions in Aqueous Media. Adv. Synth. Catal. 2002, 344, 338–347. [Google Scholar] [CrossRef]








![]() | |||||||
|---|---|---|---|---|---|---|---|
| Entry | Catalyst | Amount (%) | Solvent | T (°C) | Time (h) | Yield (%) of 11a 1,2 | Ee (%) 3 |
| 1 | - | - | neat | 20 | 4 | - 4 | - |
| 2 | ![]() | 5 | toluene | 20 | 24 | 27 | 38.2 |
| 3 | ![]() | 5 | neat | 20 | 24 | 33 | 49.1 |
| 4 | ![]() | 10 | neat | 20 | 24 | 40 | 49.3 |
| 5 | 7 | 5 | neat | 20 | 24 | 40 | 89.4 |
| 6 | 7 | 10 | neat | 20 | 24 | 85 | 90.1 |
| 7 | 7 | 10 | neat | 0 | 48 | - 5 | - |
| 8 | 7 | 10 | DCM | 20 | 48 | - 5 | - |
| 9 | 7 | 10 | toluene | 20 | 24 h | 40 | 72.5 |
![]() | |||||||
|---|---|---|---|---|---|---|---|
| Entry | Ar in 8 | Z in 9 | W in 10 | Time (h) | Products 11 | Yield 1,2 (%) | Ee 3 (%) |
| 1 | C6H5 8a | C6H5 9a | C6H5 10a | 24 | 11a | 85 | 90.3 |
| 2 | C6H5 8a | 2-NO2C6H4 9b | C6H5 10a | 24 | 11b | 87 | 91.5 |
| 3 | C6H5 8a | 3-FC6H4 9c | C6H5 10a | 24 | 11c | 91 | 91.7 |
| 4 | C6H5 8a | 4-MeC6H4 9d | C6H5 10a | 36 | 11d | 82 | 92.9 |
| 5 | C6H5 8a | 4-NO2C6H4 9e | C6H5 10a | 24 | 11e | 91 | 95.0 |
| 6 | C6H5 8a | 4-BrC6H4 9f | C6H5 10a | 24 | 11f | 92 | 93.1 |
| 7 | C6H5 8a | 2,6-(CH3)2C6H3 9g | C6H5 10a | 24 | 11g | 82 | 89.7 |
| 8 | C6H5 8a | C6H5CH2 9h | C6H5 10a | 36 | 11h | 87 | 92.6 |
| 9 | 3-MeOC6H4 8b | C6H5 9a | C6H5 10a | 36 | 11i | 92 | 92.9 |
| 10 | 3-NO2C6H4 8c | C6H5 9a | C6H5 10a | 24 | 11j | - 4 | - |
| 11 | 4-MeC6H4 8d | C6H5 9a | C6H5 10a | 48 | 11k | 81 | 91.7 |
| 12 | 4-ClC6H4 8e | C6H5 9a | C6H5 10a | 48 | 11l | 87 | 92.6 |
| 13 | 4-NO2C6H4 8f | C6H5 9a | C6H5 10a | 48 | 11m | 67 | 95.1 |
| 14 | 2-thienyl 8g | C6H5 9a | C6H5 10a | 24 | 11n | 90 | 89.6 |
| 15 | C6H5 8a | C6H5 9a | 3-MeOC6H4 10b | 24 | 11o | 93 | 90.1 |
| 16 | C6H5 8a | C6H5 9a | 4-NO2C6H4 10c | 24 | 11p | - 5 | - |
| 17 | C6H5 8a | C6H5 9a | 4-ClC6H4 10d | 48 | 11q | 92 | 92.8 |
| 18 | C6H5 8a | C6H5 9a | Me 10e | 24 | 11r | - 6 | - |
| Benzaldehyde (8a) | 4-Nitrobenzaldehyde (8f) | 3-Nitrobenzaldehyde (8c) | |
|---|---|---|---|
| TSAdd-N | 5.8 | 4.9 | 6.4 |
| X-I | −2.1 | −3.1 | −1.0 |
| TSDe-H2O | 10.2 | 11.4 | 12.7 |
| X-IV | −4.7 | −8.7 | −3.1 |
| Acetophenone (10a) | Acetone (10e) | |
|---|---|---|
| TSAdd | 6.8 | 7.5 |
| TSAldC | 9.2 | 6.9 |
Disclaimer/Publisher’s Note: The statements, opinions and data contained in all publications are solely those of the individual author(s) and contributor(s) and not of MDPI and/or the editor(s). MDPI and/or the editor(s) disclaim responsibility for any injury to people or property resulting from any ideas, methods, instructions or products referred to in the content. |
© 2025 by the authors. Licensee MDPI, Basel, Switzerland. This article is an open access article distributed under the terms and conditions of the Creative Commons Attribution (CC BY) license (https://creativecommons.org/licenses/by/4.0/).
Share and Cite
Ghigo, G.; Robiolio Bose, A.; Dughera, S. Synthesis and Application of a New Cyclic Phosphoric Acid in Enantioselective Three-Component Mannich Reactions. Molecules 2025, 30, 2928. https://doi.org/10.3390/molecules30142928
Ghigo G, Robiolio Bose A, Dughera S. Synthesis and Application of a New Cyclic Phosphoric Acid in Enantioselective Three-Component Mannich Reactions. Molecules. 2025; 30(14):2928. https://doi.org/10.3390/molecules30142928
Chicago/Turabian StyleGhigo, Giovanni, Alessio Robiolio Bose, and Stefano Dughera. 2025. "Synthesis and Application of a New Cyclic Phosphoric Acid in Enantioselective Three-Component Mannich Reactions" Molecules 30, no. 14: 2928. https://doi.org/10.3390/molecules30142928
APA StyleGhigo, G., Robiolio Bose, A., & Dughera, S. (2025). Synthesis and Application of a New Cyclic Phosphoric Acid in Enantioselective Three-Component Mannich Reactions. Molecules, 30(14), 2928. https://doi.org/10.3390/molecules30142928






