Isolation and Structure Determination of New Pyrones from Dictyostelium spp. Cellular Slime Molds Coincubated with Pseudomonas spp.
Abstract
1. Introduction
2. Results
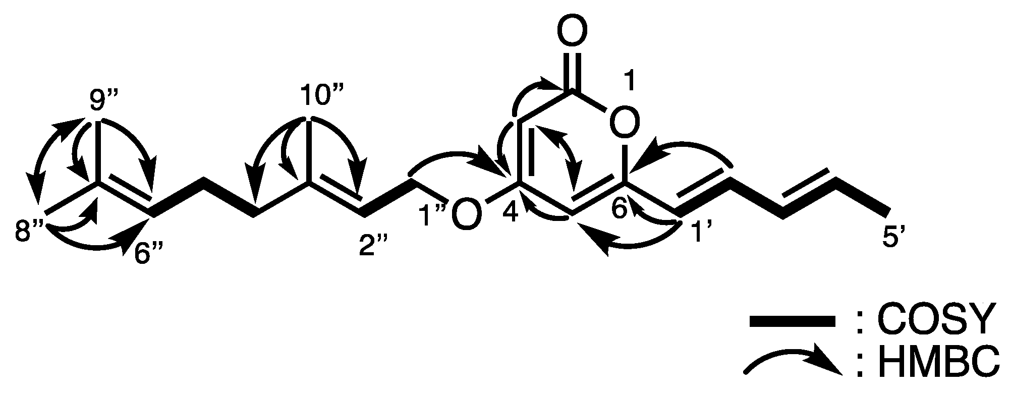
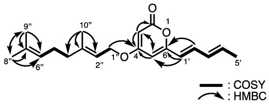
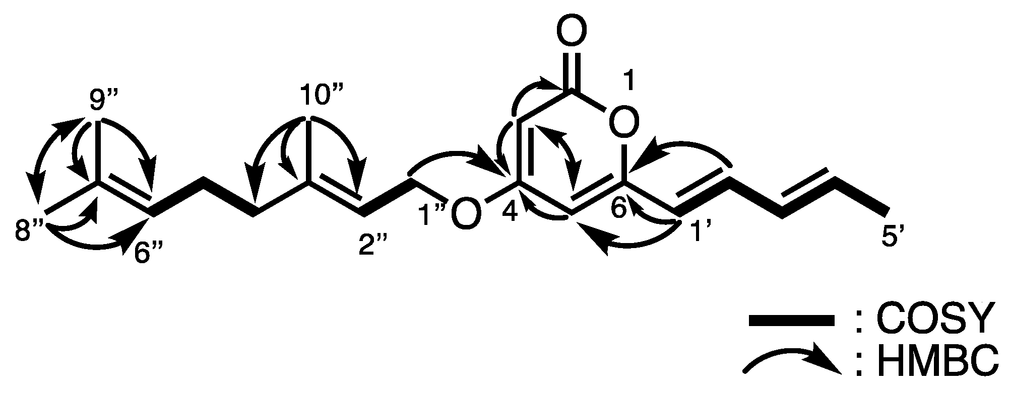
2.1. Isolation and Structure Elucidation of Clavapyrone (1)
2.2. Isolation and Structure Elucidation of Intermedipyrone (2)
2.3. Isolation and Structure Elucidation of Magnumiol (3)
2.4. Biological Activities of Compounds 1 and 2
3. Discussion
4. Materials and Methods
4.1. General Methods
4.2. Organisms and Culture Conditions
4.3. Isolation of Clavapyrone (1)
4.4. Isolation of Intermedipyrone (2)
4.5. Isolation of Magnumiol (3)
4.6. Cell Proliferation Assay
4.7. Measurement of the Minimum Inhibitory Concentration (MIC)
4.8. Calculation of the EDC Spectrum of Intermedipyrone (2)
Supplementary Materials
Author Contributions
Funding
Institutional Review Board Statement
Informed Consent Statement
Data Availability Statement
Acknowledgments
Conflicts of Interest
References
- Eichinger, L.; Pachebat, J.A.; Glockner, G.; Rajandream, M.A.; Sucgang, R.; Berriman, M.; Song, J.; Olsen, R.; Szafranski, K.; Xu, Q.; et al. The genome of the social amoeba Dictyostelium discoideum. Nature 2005, 435, 43–57. [Google Scholar] [CrossRef]
- Adl, S.M.; Simpson, A.G.; Lane, C.E.; Lukes, J.; Bass, D.; Bowser, S.S.; Brown, M.W.; Burki, F.; Dunthorn, M.; Hampl, V.; et al. The revised classification of eukaryotes. J. Eukaryot. Microbiol. 2012, 59, 429–493. [Google Scholar] [CrossRef]
- Kikuchi, H.; Ito, I.; Takahashi, K.; Ishigaki, H.; Iizumi, K.; Kubohara, Y.; Oshima, Y. Isolation, Synthesis, and Biological Activity of Chlorinated Alkylresorcinols from Dictyostelium Cellular Slime Molds. J. Nat. Prod. 2017, 80, 2716–2722. [Google Scholar] [CrossRef]
- Kikuchi, H.; Saito, Y.; Komiya, J.; Takaya, Y.; Honma, S.; Nakahata, N.; Ito, A.; Oshima, Y. Furanodictine A and B: Amino sugar analogues produced by cellular slime mold Dictyostelium discoideum showing neuronal differentiation activity. J. Org. Chem. 2001, 66, 6982–6987. [Google Scholar] [CrossRef] [PubMed]
- Kikuchi, H.; Saito, Y.; Sekiya, J.; Okano, Y.; Saito, M.; Nakahata, N.; Kubohara, Y.; Oshima, Y. Isolation and synthesis of a new aromatic compound, brefelamide, from dictyostelium cellular slime molds and its inhibitory effect on the proliferation of astrocytoma cells. J. Org. Chem. 2005, 70, 8854–8858. [Google Scholar] [CrossRef]
- Nguyen, V.H.; Kikuchi, H.; Sasaki, H.; Iizumi, K.; Kubohara, Y.; Oshima, Y. Production of novel bispyrone metabolites in the cellular slime mold Dictyostelium giganteum induced by zinc(II) ion. Tetrahedron 2017, 73, 583–588. [Google Scholar] [CrossRef]
- Sasaki, H.; Kubohara, Y.; Ishigaki, H.; Takahashi, K.; Eguchi, H.; Sugawara, A.; Oshima, Y.; Kikuchi, H. Two New Terpenes Isolated from Dictyostelium Cellular Slime Molds. Molecules 2020, 25, 2895. [Google Scholar] [CrossRef] [PubMed]
- Takaya, Y.; Kikuchi, H.; Terui, Y.; Komiya, J.; Furukawa, K.I.; Seya, K.; Motomura, S.; Ito, A.; Oshima, Y. Novel acyl alpha-pyronoids, dictyopyrone A, B, and C, from Dictyostelium cellular slime molds. J. Org. Chem. 2000, 65, 985–989. [Google Scholar] [CrossRef]
- Kikuchi, H.; Kubohara, Y.; Nguyen, V.H.; Katou, Y.; Oshima, Y. Novel chlorinated dibenzofurans isolated from the cellular slime mold, Polysphondylium filamentosum, and their biological activities. Bioorg. Med. Chem. 2013, 21, 4628–4633. [Google Scholar] [CrossRef]
- Sucgang, R.; Kuo, A.; Tian, X.; Salerno, W.; Parikh, A.; Feasley, C.L.; Dalin, E.; Tu, H.; Huang, E.; Barry, K.; et al. Comparative genomics of the social amoebae Dictyostelium discoideum and Dictyostelium purpureum. Genome Biol. 2011, 12, R20. [Google Scholar] [CrossRef]
- Liu, G.; Chater, K.F.; Chandra, G.; Niu, G.; Tan, H. Molecular regulation of antibiotic biosynthesis in streptomyces. Microbiol. Mol. Biol. Rev. 2013, 77, 112–143. [Google Scholar] [CrossRef] [PubMed]
- Raper, K.B. Growth and development of Dictyostelium diccoideum with different bacterial associates. J. Agric. Res. 1937, 55, 289–316. [Google Scholar]
- Raper, K.B.; Smith, N.R. The growth of Dictyostelium discoideum upon pathogenic bacteria. J. Bacteriol. 1939, 38, 431–445. [Google Scholar] [CrossRef] [PubMed]
- Tanaka, Y.; Sato, H.; Kageyu, A. Structural characterization of polyprenols by 13C-n.m.r. spectroscopy: Signal assignment of polyprenol homologues. Polymer 1982, 23, 1087–1090. [Google Scholar] [CrossRef]
- Ghosh, R.; Chhabra, A.; Phatale, P.A.; Samrat, S.K.; Sharma, J.; Gosain, A.; Mohanty, D.; Saran, S.; Gokhale, R.S. Dissecting the functional role of polyketide synthases in Dictyostelium discoideum: Biosynthesis of the differentiation regulating factor 4-methyl-5-pentylbenzene-1,3-diol. J. Biol. Chem. 2008, 283, 11348–11354. [Google Scholar] [CrossRef] [PubMed]
- Austin, M.B.; Saito, T.; Bowman, M.E.; Haydock, S.; Kato, A.; Moore, B.S.; Kay, R.R.; Noel, J.P. Biosynthesis of Dictyostelium discoideum differentiation-inducing factor by a hybrid type I fatty acid-type III polyketide synthase. Nat. Chem. Biol. 2006, 2, 494–502. [Google Scholar] [CrossRef] [PubMed]
- Morris, H.R.; Taylor, G.W.; Masento, M.S.; Jermyn, K.A.; Kay, R.R. Chemical structure of the morphogen differentiation inducing factor from Dictyostelium discoideum. Nature 1987, 328, 811–814. [Google Scholar] [CrossRef]
- Saito, T.; Taylor, G.W.; Yang, J.C.; Neuhaus, D.; Stetsenko, D.; Kato, A.; Kay, R.R. Identification of new differentiation inducing factors from Dictyostelium discoideum. Biochim. Biophys. Acta 2006, 1760, 754–761. [Google Scholar] [CrossRef] [PubMed]
- Fujita, T.; Nishimura, H.; Kaburagi, K.; Mizutani, J. Plant growth inhibiting α-pyrone from Alpinia speciosa. Phytochemistry 1994, 36, 23–27. [Google Scholar] [CrossRef]
- Huang, Y.; Li, L.; Tian, L.; Qiao, L.; Hua, H.; Pei, Y. Sg17-1-4, a novel isocoumarin from a marine fungus Alternaria tenuis Sg17-1. J. Antibiot. 2006, 59, 355–357. [Google Scholar] [CrossRef]
- Choukchou-Braham, N.; Asakawa, Y.; Lepoittevin, J. Isolation, Structure Determination and Synthesis of New Dihydroisocoumarins from Ginko biloba L. Tetrahedron Lett. 1994, 35, 3949–3952. [Google Scholar] [CrossRef]
- Li, W.; Wiesenfeldt, M.P.; Glorius, F. Ruthenium-NHC-Diamine Catalyzed Enantioselective Hydrogenation of Isocoumarins. J. Am. Chem. Soc. 2017, 139, 2585–2588. [Google Scholar] [CrossRef] [PubMed]
- Mizutani, K.; Fukunaga, Y.; Tanaka, O.; Takasugi, N.; Saruwatari, Y.; Fuwa, T.; Yamauchi, T.; Wang, J.; Jia, M.; Li, F.; et al. Amides from Huajiao, Pericarps of Zanthoxylum bungeanum MAXIM. Chem. Pharm. Bull. 1988, 36, 2362–2365. [Google Scholar] [CrossRef]
- Ohta, N.; Mori, N.; Kuwahara, Y.; Nishida, R. A hemiterpene glucoside as a probing deterrent of the bean aphid, Megoura crassicauda, from a non-host vetch, Vicia hirsuta. Phytochemistry 2006, 67, 584–588. [Google Scholar] [CrossRef] [PubMed]
- Cox, R.J. Polyketides, proteins and genes in fungi: Programmed nano-machines begin to reveal their secrets. Org. Biomol. Chem. 2007, 5, 2010–2026. [Google Scholar] [CrossRef] [PubMed]
- Crawford, J.M.; Townsend, C.A. New insights into the formation of fungal aromatic polyketides. Nat. Rev. Microbiol. 2010, 8, 879–889. [Google Scholar] [CrossRef] [PubMed]
- Wang, M.; Carver, J.J.; Phelan, V.V.; Sanchez, L.M.; Garg, N.; Peng, Y.; Nguyen, D.D.; Watrous, J.; Kapono, C.A.; Luzzatto-Knaan, T.; et al. Sharing and community curation of mass spectrometry data with Global Natural Products Social Molecular Networking. Nat. Biotechnol. 2016, 34, 828. [Google Scholar] [CrossRef] [PubMed]
- Kubohara, Y. Effects of differentiation-inducing factors (DIFs) of Dictyostelium discoideum on the human leukemia K562 cells: DIF-3 is the most potent anti-leukemic agent. Eur. J. Pharmacol. 1999, 381, 57–62. [Google Scholar] [CrossRef] [PubMed]
- Kubohara, Y.; Kikuchi, H.; Matsuo, Y.; Oshima, Y.; Homma, Y. Mitochondria are the target organelle of differentiation-inducing factor-3, an anti-tumor agent isolated from Dictyostelium discoideum. PLoS ONE 2013, 8, e72118. [Google Scholar] [CrossRef]
- Kubohara, Y.; Shiratsuchi, Y.; Ishigaki, H.; Takahashi, K.; Oshima, Y.; Kikuchi, H. Antimicrobial Activities of Dictyostelium Di erentiation-Inducing Factors and Their Derivatives. Biomolecules 2019, 9, 163. [Google Scholar] [CrossRef]
- Hanwell, M.D.; Curtis, D.E.; Lonie, D.C.; Vandermeersch, T.; Zurek, E.; Hutchison, G.R. Avogadro: An advanced semantic chemical editor, visualization, and analysis platform. J. Cheminform. 2012, 4, 17. [Google Scholar] [CrossRef] [PubMed]
- Frisch, M.J.; Trucks, G.W.; Schlegel, H.B.; Scuseria, G.E.; Robb, M.A.; Cheeseman, J.R.; Scalmani, G.; Barone, V.; Petersson, G.A.; Nakatsuji, H. Gaussian 16, Revision C.01; Gaussian, Inc.: Wallingford, CT, USA, 2016. [Google Scholar]
- Dennington, R.; Keith, T.A.; Millam, J.M. GaussView 6.0. 16; Semichem Inc.: Shawnee Mission, KS, USA, 2016. [Google Scholar]





| Position | 13C (ppm) | 1H (ppm) | |
|---|---|---|---|
| 1 | - | - | |
| 2 | 164.3 | - | |
| 3 | 89.1 | 5.42 | (d, J = 2.1 Hz, 1H) |
| 4 | 170.4 | - | |
| 5 | 100.8 | 5.79 | (d, J = 2.1 Hz, 1H) |
| 6 | 159.1 | - | |
| 1′ | 119.8 | 5.92 | (d, J = 15.3 Hz, 1H) |
| 2′ | 136.5 | 7.08 | (dd, J = 15.3, 10.9 Hz, 1H) |
| 3′ | 130.5 | 6.15 | (ddt, J = 15.3, 10.9, 0.6 Hz, 1H) |
| 4′ | 136.9 | 6.03 | (dd, J = 15.0, 7.1 Hz, 1H) |
| 5′ | 18.7 | 1.83 | (dt, J = 7.1, 0.6 Hz, 3H) |
| 1″ | 65.8 | 4.50 | (d, J = 6.7 Hz, 2H) |
| 2″ | 117.2 | 5.38 | (ddt, J = 6.7, 2.4, 1.1 Hz, 1H) |
| 3″ | 143.6 | - | |
| 4″ | 39.5 | 2.05–2.09 | (m, 2H) |
| 5″ | 26.3 | 2.09–2.14 | (m, 2H) |
| 6″ | 123.6 | 5.05 | (tt, J = 6.7, 1.0 Hz, 1H) |
| 7″ | 132.2 | - | |
| 8″ | 25.7 | 1.64 | (d, J = 1.3 Hz, 3H) |
| 9″ | 17.8 | 1.58 | (s, 3H) |
| 10″ | 16.8 | 1.70 | (s, 3H) |
| Position | 13C (ppm) | 1H (ppm) | |
|---|---|---|---|
| 1 | 170.0 | - | |
| 2 | - | - | |
| 3 | 79.8 | 4.54–4.60 | (m, 1H) |
| 4 | 32.9 | 2.91–2.94 | (m, 2H) |
| 4a | 139.5 | - | |
| 5 | 117.9 | 6.89 | (d, J = 8.4 Hz, 1H) |
| 6 | 136.1 | 7.40 | (dd, J = 8.4, 7.5 Hz, 1H) |
| 7 | 116.2 | 6.69 | (dd, J = 7.5, 0.4 Hz, 1H) |
| 8 | 162.2 | ||
| 8a | 108.5 | ||
| 8-OH | - | 11.0 | (s, 1H) |
| 1′ | 34.8 | 1.69–1.76 | (m, 1H) |
| 1.84–1.92 | (m, 1H) | ||
| 2′ | 24.8 | 1.42–1.50 | (m, 1H) |
| 1.49–1.60 | (m, 1H) | ||
| 3′–9′ | 29.3 | 1.23–1.38 | (m, 14H) |
| 29.3 | |||
| 29.5 | |||
| 29.5 | |||
| 29.6 | |||
| 29.6 | |||
| 29.6 | |||
| 10′ | 31.9 | 1.17–1.37 | (m, 2H) |
| 11′ | 22.7 | 1.17–1.37 | (m, 2H) |
| 12′ | 14.1 | 0.85 | (t, J = 7.0 Hz, 3H) |
| Position | 13C (ppm) | 1H (ppm) | |
|---|---|---|---|
| 1 | 112.5 | - | |
| 2 | 162.9 | - | |
| 3 | 115.6 | 6.84 | (dd, J = 8.1, 0.6 Hz, 1H) |
| 4 | 134.1 | 7.27 | (t, J = 8.1 Hz, 1H) |
| 5 | 122.9 | 6.71 | (dd, J = 8.1, 0.6 Hz, 1H) |
| 6 | 141.3 | - | |
| 7 | 171.7 | - | |
| 8 | 24.2 | 2.55 | (s, 3H) |
| 2-OH | - | 11.4 | (s, 1H) |
| 1′ | 71.9 | 4.75 | (s, 2H) |
| 2′ | 129.0 | - | |
| 3′ | 131.8 | 5.58 | (t, J = 7.3 Hz, 1H) |
| 4′ | 27.8 | 2.04–2.09 | (m, 2H) |
| 5′–10′ | 29.2 | 1.20–1.40 | (m, 12H) |
| 29.2 | |||
| 29.5 | |||
| 29.5 | |||
| 29.6 | |||
| 29.6 | |||
| 11′ | 32.6 | 1.93–1.97 | (m, 2H) |
| 12′ | 131.7 | 5.40–5.42 | (m, 1H) |
| 13′ | 124.6 | 5.40–5.42 | (m, 1H) |
| 14′ | 17.9 | 1.64 | (m, 3H) |
| 15′ | 14.4 | 1.74 | (s, 3H) |
Disclaimer/Publisher’s Note: The statements, opinions and data contained in all publications are solely those of the individual author(s) and contributor(s) and not of MDPI and/or the editor(s). MDPI and/or the editor(s) disclaim responsibility for any injury to people or property resulting from any ideas, methods, instructions or products referred to in the content. |
© 2024 by the authors. Licensee MDPI, Basel, Switzerland. This article is an open access article distributed under the terms and conditions of the Creative Commons Attribution (CC BY) license (https://creativecommons.org/licenses/by/4.0/).
Share and Cite
Nishimura, T.; Murotani, T.; Sasaki, H.; Uekusa, Y.; Eguchi, H.; Ishigaki, H.; Takahashi, K.; Kubohara, Y.; Kikuchi, H. Isolation and Structure Determination of New Pyrones from Dictyostelium spp. Cellular Slime Molds Coincubated with Pseudomonas spp. Molecules 2024, 29, 2143. https://doi.org/10.3390/molecules29092143
Nishimura T, Murotani T, Sasaki H, Uekusa Y, Eguchi H, Ishigaki H, Takahashi K, Kubohara Y, Kikuchi H. Isolation and Structure Determination of New Pyrones from Dictyostelium spp. Cellular Slime Molds Coincubated with Pseudomonas spp. Molecules. 2024; 29(9):2143. https://doi.org/10.3390/molecules29092143
Chicago/Turabian StyleNishimura, Takehiro, Takuya Murotani, Hitomi Sasaki, Yoshinori Uekusa, Hiromi Eguchi, Hirotaka Ishigaki, Katsunori Takahashi, Yuzuru Kubohara, and Haruhisa Kikuchi. 2024. "Isolation and Structure Determination of New Pyrones from Dictyostelium spp. Cellular Slime Molds Coincubated with Pseudomonas spp." Molecules 29, no. 9: 2143. https://doi.org/10.3390/molecules29092143
APA StyleNishimura, T., Murotani, T., Sasaki, H., Uekusa, Y., Eguchi, H., Ishigaki, H., Takahashi, K., Kubohara, Y., & Kikuchi, H. (2024). Isolation and Structure Determination of New Pyrones from Dictyostelium spp. Cellular Slime Molds Coincubated with Pseudomonas spp. Molecules, 29(9), 2143. https://doi.org/10.3390/molecules29092143

