Zinc N,N-bis(2-picolyl)amine Chelates Show Substitution-Dependent Cleavage of Phosphodiesters in Models as Well as of PNAzyme-RNA Bulges
Abstract
1. Introduction
2. Results and Discussion
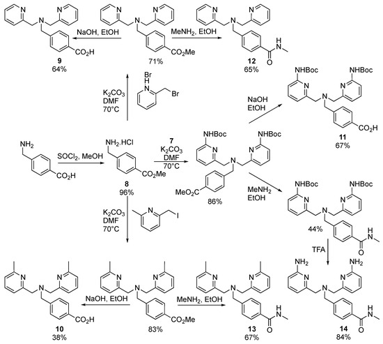
2.1. Synthesis
2.2. X-ray Structures
2.3. Titration Data
2.4. HPNPP Cleavage
2.5. PNAzyme Reactivity
3. Materials and Methods
3.1. Synthesis of Chelating Ligands
3.2. Synthesis of PNA Conjugates
3.2.1. PNAzyme 3
3.2.2. PNAzyme 2
3.2.3. PNAzyme 1
3.3. The Reaction of HPNPP
3.4. The Reaction of PNAzymes
3.5. Titrations
4. Conclusions
Supplementary Materials
Author Contributions
Funding
Institutional Review Board Statement
Informed Consent Statement
Data Availability Statement
Conflicts of Interest
References
- Crooke, S.T.; Liang, X.-H.; Baker, B.F.; Crooke, R.M. Antisense technology: A review. J. Biol. Chem. 2021, 296, 100416–100455. [Google Scholar] [CrossRef]
- Egli, M.; Manoharan, M. Chemistry, Structure and function of approved oligonucleotide therapeutics. Nucl. Acids Res. 2023, 51, 2529–2573. [Google Scholar] [CrossRef]
- Astrom, H.; Williams, N.H.; Stromberg, R. Oligonucleotide based artificial nuclease (OBAN) systems. Bulge size dependence and positioning of catalytic group in cleavage of RNA bulges. Org. Biomol Chem. 2003, 1, 1461–1465. [Google Scholar] [CrossRef]
- Astrom, H.; Stromberg, R. Synthesis of new OBAN’s and further studies on positioning of the catalytic group. Org. Biomol. Chem. 2004, 2, 1901–1907. [Google Scholar] [CrossRef]
- Murtola, M.; Strömberg, R. 2′-O-methyloligoribonucleotide based artificial nucleases (2′-O-MeOBANs) cleaving a model of the leukemia related M-BCR/ABL m-RNA. ARKIVOC 2009, 3, 84–94. [Google Scholar]
- Murtola, M.; Stromberg, R. PNA Based Artificial Nucleases Displaying Catalysis with Turnover in Cleavage of a Leukemia related RNA model. Org. Biomol. Chem. 2008, 6, 3837–3842. [Google Scholar] [CrossRef] [PubMed]
- Murtola, M.; Ghidini, A.; Virta, P.; Stromberg, R. Zinc Ion-Dependent Peptide Nucleic Acid-Based Artificial Enzyme that Cleaves RNA—Bulge Size and Sequence Dependence. Molecules 2017, 22, 1856–1865. [Google Scholar] [CrossRef]
- Murtola, M.; Wenska, M.; Stromberg, R. PNAzymes that are artificial RNA restriction enzymes. J. Am. Chem. Soc. 2010, 132, 8984–8990. [Google Scholar] [CrossRef] [PubMed]
- Ghidini, A.; Murtola, M.; Strömberg, R. Influence of conjugation and other structural changes on the activity of Cu2+ based PNAzymes. Org. Biomol. Chem. 2016, 14, 2768–2773. [Google Scholar] [CrossRef]
- Luige, O.; Bose, P.P.; Stulz, R.; Steunenberg, P.; Brun, O.; Andersson, S.; Murtola, M.; Stromberg, R. Zn2+-Dependent peptide nucleic acid-based artificial ribonucleases with unprecedented efficiency and specificity. Chem. Commun. 2021, 57, 10911–10914. [Google Scholar] [CrossRef]
- Luige, O.; Karalė, K.; Bose, P.P.; Bollmark, M.; Tedebark, U.; Murtola, M.; Stromberg, R. Influence of sequence variation on the RNA cleavage activity of Zn2+-dimethyl-dppz-PNA-based artificial enzymes. RSC Adv. 2022, 12, 5398–5406. [Google Scholar] [CrossRef] [PubMed]
- Madden, D.P.; da Mota, M.M.; Nelson, S.M. Five-co-ordination in molecular complexes of zinc, cadmium and mercury(II) with potentially ter- or tetra-dendate ligands with nitrogen donor atoms. J. Chem. Soc. A 1970, 790–794. [Google Scholar] [CrossRef]
- Van Staveren, D.R.; Metzler-Nolte, N. Labelling of [Leu5]-enkephalin with organometallic Mo complexes by solid-phase synthesis. Chem. Commun. 2002, 1406–1407. [Google Scholar] [CrossRef] [PubMed]
- Prudent, M.; Rossier, J.S.; Lion, N.; Girault, H.H. Microfabricated dual sprayer for on-line mass tagging of phosphopeptides. Anal. Chem. 2008, 80, 2531–2538. [Google Scholar] [CrossRef] [PubMed][Green Version]
- Asakawa, D.; Miyazato, A.; Rosu, F.; Gabelica, V. Influence of the metals and ligands in dinuclear complexes on phosphopeptide sequencing by electron-transfer dissociation tandem mass spectrometry. Phys. Chem. Chem. Phys. 2018, 20, 26597–26607. [Google Scholar] [CrossRef] [PubMed]
- Kinoshita, E.; Kinoshita-Kikuta, E.; Takiyama, K.; Koike, T. Phosphate- binding tag, a new tool to visualize phosphorylated proteins. Mol. Cell. Proteomics 2006, 5, 749–757. [Google Scholar] [CrossRef] [PubMed]
- Xu, Z.; Yoon, J.; Spring, D.R. Fluorescent chemosensors for Zn2+. Chem. Soc. Rev. 2010, 39, 1996–2006. [Google Scholar] [CrossRef] [PubMed]
- Feng, G.; Mareque-Rivas, J.C.; Williams, N.H. Comparing a mononuclear Zn(II) complex with hydrogen bond donors with a dinuclear Zn(II) complex for catalysing phosphate ester cleavage. Chem. Commun. 2006, 1845–1847. [Google Scholar] [CrossRef] [PubMed]
- Livieri, M.; Mancin, F.; Saielli, G.; Chin, J.; Tonellato, U. Mimicking enzymes: Cooperation between organic functional groups and metal ions in the cleavage of phosphate diesters. Chemistry 2007, 13, 2246–2256. [Google Scholar] [CrossRef]
- Feng, G.; Mareque-Rivas, J.C.; Torres Martín De Rosales, R.; Williams, N.H. A highly reactive mononuclear Zn(II) complex for phosphodiester cleavage. J. Am. Chem. Soc. 2005, 127, 13470–13471. [Google Scholar] [CrossRef]
- Livieri, M.; Mancin, F.; Tonellato, U.; Chin, J. Multiple functional group cooperation in phosphate diester cleavage promoted by Zn(II) complexes. Chem. Commun. 2004, 2862–2863. [Google Scholar] [CrossRef] [PubMed]
- Drewry, J.A.; Fletcher, S.; Hassan, H.; Gunning, P.T. Novel asymmetrically functionalized bis-dipicolylamine metal complexes: Peripheral decoration of a potent anion recognition scaffold. Org. Biomol. Chem. 2009, 7, 5074–5077. [Google Scholar] [CrossRef] [PubMed]
- Huang, F.; Cheng, C.; Feng, G. Introducing ligand-based hydrogen bond donors to a receptor: Both selectivity and binding affinity for anion recognition in water can be improved. J. Org. Chem. 2012, 77, 11405–11408. [Google Scholar] [CrossRef]
- Yin, J.; Xiang, B.; Huffman, M.A.; Raab, C.E.; Davies, I.W. A General and Efficient 2-Amination of Pyridines and Quinolines. J. Org. Chem. 2007, 72, 4554–4557. [Google Scholar] [CrossRef] [PubMed]
- Mitsuya, M.; Kobayashi, K.; Kawakami, K.; Satoh, A.; Ogino, Y.; Kakikawa, T.; Ohtake, N.; Kimura, T.; Hirose, H.; Sato, A.; et al. A potent, long-acting, orally active (2R)-2-[(1R)-3,3- difluorocyclopentyl]-2-hydroxy-2-phenylacetamide: A novel muscarinic M3 receptor antagonist with high selectivity for M3 over M2 receptors. J. Med. Chem. 2000, 43, 5017–5029. [Google Scholar] [CrossRef] [PubMed]
- Mancin, F.; Prins, L.J.; Pengo, P.; Pasquato, L.; Tecilla, P.; Scrimin, P. Hydrolytic metallo-nanozymes; from micelles and vesicles to gold nanoparticles. Molecules 2016, 21, 1014–1031. [Google Scholar] [CrossRef]
- Mikkola, M.; Lönnberg, T.; Lönnberg, H. Phosphodiester models for cleavage of nucleic acids. Beilstein J. Org. Chem. 2018, 14, 803–837. [Google Scholar] [CrossRef]









| 12.ZnCl2 | 13.ZnCl2 | 14.ZnCl2 | |
|---|---|---|---|
| Cl1 | 2.2614(4) | 2.2898(7) | 2.2827(8) |
| Cl2 | 2.2817(4) | 2.2539(8) | 2.2849(9) |
| N1 | 2.1697(13) | 2.2421(13) | 2.199(3) |
| N2 | 2.1741(14) | 2.1468(13) | 2.139(3) |
| N3 | 2.2005(13) | 2.1468(13) | 2.193(3) |
| Ligand | pKa (LH22+) | pKa (LH+) | Species | logKf | pKa1 | pKa2 |
|---|---|---|---|---|---|---|
| 12 | 3.28 ± 0.04 | 5.89 ± 0.04 | 12.Zn | 6.31 ± 0.02 | 8.50 ± 0.03 | 10.8 ± 0.03 |
| 13 | 4.15 ± 0.05 | 6.54 ± 0.06 | 13.Zn | 4.65 ± 0.07 | 7.3 ± 0.1 | 9.1 ± 0.1 |
| 14 | 5.54 ± 0.03 | 7.59 ± 0.04 | 14.Zn | 6.07 ± 0.03 | 8.15 ± 0.05 | 10.8 ± 0.06 |
| Species | 2nd Order Rate Constant M−1 s−1 | krel (Zn) | krel (12.Zn) |
|---|---|---|---|
| Zn | 4.6 ± 0.1 × 10−3 | 1 | 3.8 |
| 12.Zn | 1.2 ± 0.1 × 10−3 | 0.26 | 1 |
| 13.Zn | 3.90 ± 0.09 × 10−3 | 0.85 | 3.3 |
| 14.Zn | 1.18 ± 0.03 × 10−1 | 26 | 98 |
| kobs (s−1) | krel (PNAzyme 1) | |||||
|---|---|---|---|---|---|---|
| Bulge | PNAzyme 1 | PNAzyme 2 | PNAzyme 3 | PNAzyme 1 | PNAzyme 2 | PNAzyme 3 |
| –AAAA– | 3.73 × 10−7 | 5.86 × 10−7 | 5.52 × 10−6 | 1 | 1.6 | 15 |
| –AAA– | 1.42 × 10−7 | 3.20 × 10−7 | 3.80 × 10−6 | 1 | 2.3 | 27 |
Disclaimer/Publisher’s Note: The statements, opinions and data contained in all publications are solely those of the individual author(s) and contributor(s) and not of MDPI and/or the editor(s). MDPI and/or the editor(s) disclaim responsibility for any injury to people or property resulting from any ideas, methods, instructions or products referred to in the content. |
© 2024 by the authors. Licensee MDPI, Basel, Switzerland. This article is an open access article distributed under the terms and conditions of the Creative Commons Attribution (CC BY) license (https://creativecommons.org/licenses/by/4.0/).
Share and Cite
Svenningsen, S.W.; Luige, O.; Abdulkarim, Z.; Strömberg, R.; Williams, N.H. Zinc N,N-bis(2-picolyl)amine Chelates Show Substitution-Dependent Cleavage of Phosphodiesters in Models as Well as of PNAzyme-RNA Bulges. Molecules 2024, 29, 2123. https://doi.org/10.3390/molecules29092123
Svenningsen SW, Luige O, Abdulkarim Z, Strömberg R, Williams NH. Zinc N,N-bis(2-picolyl)amine Chelates Show Substitution-Dependent Cleavage of Phosphodiesters in Models as Well as of PNAzyme-RNA Bulges. Molecules. 2024; 29(9):2123. https://doi.org/10.3390/molecules29092123
Chicago/Turabian StyleSvenningsen, Søren W., Olivia Luige, Zeyed Abdulkarim, Roger Strömberg, and Nicholas H. Williams. 2024. "Zinc N,N-bis(2-picolyl)amine Chelates Show Substitution-Dependent Cleavage of Phosphodiesters in Models as Well as of PNAzyme-RNA Bulges" Molecules 29, no. 9: 2123. https://doi.org/10.3390/molecules29092123
APA StyleSvenningsen, S. W., Luige, O., Abdulkarim, Z., Strömberg, R., & Williams, N. H. (2024). Zinc N,N-bis(2-picolyl)amine Chelates Show Substitution-Dependent Cleavage of Phosphodiesters in Models as Well as of PNAzyme-RNA Bulges. Molecules, 29(9), 2123. https://doi.org/10.3390/molecules29092123

