Abstract
The design of novel 4′-thionucleoside analogues bearing a C2′ stereogenic all-carbon quaternary center is described. The synthesis involves a highly diastereoselective Mukaiyama aldol reaction, and a diastereoselective radical-based vinyl group transfer to generate the all-carbon stereogenic C2′ center, along with different approaches to control the selectivity of the N-glycosidic bond. Intramolecular SN2-like cyclization of a mixture of acyclic thioaminals provided analogues with a pyrimidine nucleobase. A kinetic bias favoring cyclization of the 1′,2′-anti thioaminal furnished the desired β-D-4′-thionucleoside analogue in a 7:1 ratio. DFT calculations suggest that this kinetic resolution originates from additional steric clash in the SN2-like transition state for 1′,4′-trans isomers, causing a significant decrease in their reaction rate relative to 1′,4′-cis counterparts. N-glycosylation of cyclic glycosyl donors with a purine nucleobase enabled the formation of novel 2-chloroadenine 4′-thionucleoside analogues. These proprietary molecules and other derivatives are currently being evaluated both in vitro and in vivo to establish their biological profiles.
1. Introduction
Natural nucleosides and nucleotides are involved in a plethora of biological processes including metabolism, cell signalling, and replication, all of which are often disrupted in various pathological conditions. Consequently, significant efforts have been dedicated to the development, synthesis, and investigation of nucleoside analogues with the aim of restoring normal cellular or organ homeostasis. These analogues act by competing with natural nucleosides with improved binding to targeted enzymes or receptors with some level of selectivity. This approach has led to the discovery of clinically important antiviral and anticancer agents [1,2]. Modifications of the furanose ring have been extensively studied, and new synthetic approaches are continuously being developed. Substituting the endocyclic oxygen with a sulfur provides 4′-thionucleoside analogues. The enhanced metabolic stability of 4′-thionucleosides or nucleotides towards phosphorylases, phosphatases, and hydrolysis justifies these structural alterations [3]. The presence of a larger and less electronegative heteroatom in the ring can lead to subtle changes in the anomeric effect and the conformation of the ring structure [4]. Consequently, these modifications may influence the biological behavior of a nucleoside compared to its 4′-thionucleoside counterpart.
The synthesis of 4′-thionucleosides still requires improvement and the development of novel approaches, an objective pursued herein. The approaches for the synthesis of 4′-thionucleosides have been divided into three main categories (Scheme 1) [3,5]. The first involves a ring-opening strategy, exemplified by a synthesis from Liotta’s laboratory [6] involving the conversion of 2,3-acetonide protected lactone 1 to terminal thioepoxide 3. The opening of the thioepoxide with sodium acetate generates thiofuranoside 4 with the subsequent formation of thionucleoside 5 (Scheme 1a). A second category involves Pummerer-type reactions with oxidation of tetrahydrothiophenes (6) followed by nucleobase addition onto in situ-generated thionium ions [7]. A third approach consists of an intramolecular cyclization of thioaminals (10) formed from stereoselective nucleobase addition onto acyclic dithioacetals 9.
Scheme 1.
Synthesis of 4′-thionucleosides using (a) a ring-opening strategy, (b) a Pummerer rearrangement or (c) intramolecular cyclization of an acyclic thioaminal.
Over the last decade, inspired by the acyclic strategy pioneered by Liotta’s synthesis of AZT [8], we have dedicated substantial efforts to developing a novel and complementary acyclic approach (Scheme 1c) for synthesizing nucleosides and 4′-thionucleoside analogues. From a conceptual standpoint, our approach takes advantage of a cyclization of an acyclic precursor already containing the nucleobase and a thioether at C1′ that may serve as a leaving group to give the corresponding nucleoside following an O4′-to-C1′ cyclization (Scheme 2a). Alternatively, when a leaving group is installed at C4′, the C1′ thioether may serve as a nucleophile resulting in 4′-thionucleosides through a S1′-to-C4′ cyclization. We demonstrated that both intramolecular cyclizations involve SN2-like nucleophilic displacements. In the O4′-to-C1′ displacement, the stereochemistry of the thioether at C1′ is inverted, whereas in the S1′-to-C4′ cyclization, the stereochemistry of the thioether at C1′ remains unaltered. Both cyclizations are very robust considering that a change in the C2′ and C3′ stereochemistry results in high levels of stereoselectivity and yield, regardless of the steric tension generated in the newly formed furanoside ring [9].
Scheme 2.
(a) Acyclic approach for the intramolecular cyclization of 1′,2′-syn thioaminals leading to either 1′,2′-trans furanosides through an O4′-to-C1′ cyclization or 1′,2′-cis 4′-thioanalogues through a S1′-C4′ cyclization [9,10]. (b) Transition state for the stereoselective addition of the silylated nucleobase [11]. (c) Acyclic approach for the synthesis of C2′ F 4′-thiofuranosides in addition to those bearing an all-carbon quaternary center at C3′ (d) [10,12].
In the early stages of developing our acyclic strategy for nucleoside synthesis, both the 1′,2′-syn and anti thioaminals were prepared as a mixture from the corresponding dithioacetals. In presence of a C2 oxygen, activation at low temperatures with Me2S(SMe)BF4 or I2 resulted in a significant increase in 1′,2′-syn product formation [9,11]. DFT transition state calculations indicated that this selectivity could be attributed to the preferred addition opposite to the R group and the counteranion of thiocarbenium intermediates having the C2-alkoxy group gauche to the thioether moiety (Scheme 2b) [11]. With this approach, 4′-thionucleosides bearing a C2′-alkoxy or fluoride have been successfully synthesized in both the L- and D-series (Scheme 2a,c) [9,10,12].
Our interest in investigating acyclic carbon-centered free radicals and their reactivity in atom transfer reactions has enabled the generation of all-carbon stereogenic quaternary centers. These centers have been successfully incorporated at the C3′ or C2′ positions of furanoside scaffolds, leading to the development of novel families of nucleoside or nucleotide analogues (an example of which is depicted in Scheme 2d). The presence of an all-carbon quaternary center is expected to induce a conformational bias favoring a south conformation (DNA-like) when located at C3′ and a north conformation (RNA-like) when at C2′. The presence of the hydroxymethyl group on the quaternary center could act as an extended pharmacophore providing additional binding to proximal entities. Alternatively, nucleoside analogues bearing a C2′ or C3′ all-carbon quaternary center will not be recognized by enzymes or receptors susceptible to steric hinderance at these positions. These novel nucleosides bearing a quaternary center at C3′ have shown activities against gemcitabine-resistant KRAS mutated pancreatic cell lines [13,14]. C2′ analogues showed inhibition of SARS-CoV-2 RNA dependant RNA polymerase (RdRp), the causal virus of COVID-19 [15], while others have shown great promise as cardioprotective agents for the treatment of heart failure [16].
Herein, we report the synthesis of 4′-thioanalogues bearing a C2′ all-carbon stereogenic center (Scheme 3a). From the onset, intrinsic challenges were recognized using our acyclic approach; namely, the C2′ quaternary center could hinder the desired cyclization. Our efforts towards the synthesis of the targeted 4′-thionucleosides using the acyclic approach with a pyrimidine nucleobase will be presented, in addition to a complementary cyclic approach, to access purine-bearing 4′-thioanalogues (Scheme 3a).
Scheme 3.
(a) This work focuses on the synthesis of 4′-thionucleoside analogues bearing a C2′ all-carbon quaternary center formed from intermediate 28. (b) Potential to reach both C2′ stereochemistries.
The formation of the C2′ all-carbon stereogenic center resulting from a vinyl atom transfer provides a single isomer 25. This key intermediate can efficiently provide access to both the dithioacetals 28 or 30 with opposite stereochemistries at the C2′ quaternary center by derivatizing either the alkene or the ester moiety towards the required oxidation state for the C1′ anomeric center (Scheme 3b).
2. Results and Discussion
2.1. Acyclic Approach for the Synthesis of 4′-Thionucleoside Analogues
The synthesis of the targeted novel 4′-thioanalogues required the construction of the key dithioacetal bearing the C2 all-carbon quaternary center. Following the literature procedures, aldehyde 32 was prepared in five steps from L-serine (Scheme 4) [17,18,19]. Aiming to generate a 3,4-syn diol, aldehyde 32 was engaged in a Cram-Chelate controlled Mukaiyama aldol reaction in the presence of a mixture of tetrasubstituted enoxysilanes 33 [20], and MgBr2·OEt2, a bidentate Lewis acid. The desired 3,4-syn products 34a,b were formed in a >20:1 ratio with a 1:1 mixture of C2 bromides. The relative 3,4 stereochemistry was confirmed after removal of the silyl ether and lactonization (see Supplementary Information for further details). No efforts were invested in controlling the C2-selectivity as the generated tertiary bromides 34a,b lead to a common radical species in the subsequent radical-based reaction.
Scheme 4.
Formation of methylesters 34a,b from a Cram-Chelate controlled Mukaiyama aldol reaction. ‡: The symbol is used to denote transition states.
The installation of vinyldimethylsilane on secondary alcohols 34a,b provided a mixture of the corresponding silyl ethers 35a,b (Scheme 5). This mixture was then subjected to a free-radical-based atom transfer reaction, using triethylborane as the initiator. Cyclization through the preferred 5-exo-trig diastereoselective transition state with carbon-carbon bond formation from the bottom face of the radical intermediate resulted in intermediate A, which was subsequently treated with AcOH for exclusive formation (>20:1) of methylester 36 [21]. DIBAL-H reduction of the methylester, benzoylation of the two alcohols, and ozonolysis of the vinyl moiety, provided aldehyde 38 in excellent yield.
Scheme 5.
All-carbon quaternary center formation from a free-radical-based atom transfer reaction. ‡: The symbol is used to denote transition states.
The formation of the requisite dithioacetal was first attempted with t-butylthiol, but this only resulted in cyclized products 41a,b (Table 1). Despite varying the equivalents of Lewis acid used (entries 1 and 2), debenzylation and cyclization was favored over the formation of dithioacetal 39, presumably due to steric congestion. Using the less hindered benzyl mercaptan, dithioacetal 40 was formed in excellent yield (entry 3).
Table 1.
Dithioacetal formation from aldehyde 38.
Subsequent removal of the C4 benzyl ether from dithioacetal 40 proved to be difficult using boron-based Lewis acids, including Me2BBr [22], providing a mere 15% yield when using BCl3 (see Section 3). Reversing the order of these reactions was therefore considered. Hydrogenolysis of the C4-benzyl ether moiety of aldehyde 38 provided lactols 42a,b in excellent yield (Table 2). Thioacetylation with BF3·OEt2 gave a mixture of cyclic thioacetals 44a,b (entry 1), while SnCl4 pushed the equilibrium to provide 44% of the targeted dithioacetal 43 (entry 2). The use of TiCl4 then gave an excellent 80% yield (entry 3).
Table 2.
Dithioacetal formation from lactols 42a,b.
The addition of silylated thymine to C4-mesylated dithioacetal 45 in the presence of iodine resulted in a 1:1 mixture of thioaminals 46a,b at room temperature or 50 °C (Table 3, entries 3 and 4), while lower temperatures allowed for a modest increase in formation of the 1′,2′-anti thioaminal 46a (entries 1 and 2). The marginal stereoselectivities observed contrasted with the high 1′,2′-syn induction for the introduction of a nucleobase at C1 in the presence of an electron-withdrawing group adjacent to the dithioacetal. Nonetheless, the formation of these thioaminals provided the opportunity to examine the following cyclization step while exploring strategies to improve selectivity.
Table 3.
Thioaminal Formation.
The two thioaminals were cyclized separately using NaI in the presence of 2,6-lutidine at reflux (Table 4). 1′,2′-anti thioaminal 46a reacted accordingly to give the β-D-anomer 47a in excellent yield (entry 1). The cyclization results were strikingly different for the 1′,2′-syn isomer 46b, which yielded a low amount of α-D-anomer 47b with recovery of starting material and a secondary product (48) isolated in 25% yield (entry 2). To confirm this difference in reactivity under identical conditions, a 1:1 mixture of thioaminals 46a,b was submitted to the cyclization conditions (entry 3). A 7:1 ratio in favor of β-anomer 47a was obtained, confirming the faster cyclization of the 1′,2′-anti isomer, and indicating the potential for developing a kinetic resolution strategy to address the absence of induction in nucleobase coupling to dithioacetals not bearing an electron-withdrawing group at the C2 position.
Table 4.
Thioaminal Cyclization.
The secondary product 48 seemingly originated from displacement of the C4′-mesylate in 1′,2′-syn thioaminal 46b with traces of water. To determine its structure, the C4′ hydroxyl of 48 was mesylated and treated with NaI in 2,6-lutidine (Scheme 6). Interestingly, the cyclization was very efficient, with the β-L-anomer 50 being the only isolated product in 77% yield.
Scheme 6.
Cyclization of thioaminal 49.
2.2. DFT Computational Study
With the aim of identifying the principle steric and electronic factors influencing the rates of cyclizations in thioaminals having different relative stereochemistries, we examined model compounds 51, 54 and 58 through DFT calculations (Scheme 7 and Scheme 8). The calculated energy landscape was first explored with 51 and was consistent with rate-limiting intramolecular displacement of the C4′-mesylate, generating sulfonium intermediate 52a (TS A1, 32.8 kcal/mol) with the -SBn chain in the bottom position, trans to the C5′ center. Dealkylation in the presence of iodide (i.e., TS B, Scheme 7) would then furnish product 53 through TS B (29.1 kcal/mol). TS A2, with the -SBn occupying the upper position, exhibited significantly higher energy (41.7 kcal/mol) due to a severe steric clash between the -SBn chain and both the C5′ and base substituents. A noteworthy observation is that the conformation of the examined 4′-thiofuranoside shows lower energy with the C2′-endo envelop having the C3′-OAc oriented in the pseudo-axial conformation, perpendicular to the axis of the SN2-like bond breaking and bond forming. This could be rationalized by favorable stabilization achieved through the orientation of the best C3′-H3′ and C3′-C2′ sigma donors towards the C4′ center, as confirmed by NBO analysis. This orientation could also relieve electrostatic repulsion by distancing the leaving group (-OMs) and the C3′ acetate group. Even in TS A2, which experiences severe strain on the upper face with the C2′-Me axial, the C2′-endo conformation at 41.7 kcal/mol is preferable to the corresponding C2′-exo TS, where the top face C2′-Me is in a pseudo-equatorial position, with an energy of 44.9 kcal/mol (see Supplementary Information).
Scheme 7.
Relative Gibbs free energy (kcal/mol) calculated in Gaussian 16 [23] at the M06-2x/6-31G* [24,25] level of theory in 2,6-lutidine using the continuum solvation model (PCM) [26]. Cyclization of 1′,2′-anti thioaminal 51 as a model of 46a. U = Uracil, ∆Gact corresponds to the TS free energy minus the lowest acyclic thioaminal 51 free energy. Otherwise, all free energies are arbitrarily referenced to the lowest energy acyclic conformer of compound 51 at 423.2 K. CYLview structures for TS are shown [27]. ‡: The symbol is used to denote transition states.
Scheme 8.
Relative Gibbs free energy (kcal/mol) profile in 2,6-lutidine using the continuum solvation model (PCM) for (a) cyclization of 1′,2′-syn thioaminal 54 as a model of 46b, and (b) cyclization of 1′,2′-syn thioaminal 58 as a model of 49. U = Uracil, ∆Gact corresponds to the TS free energy difference with the lowest corresponding acyclic thioaminal free energy 54 and 58. Otherwise, all free energies are arbitrarily referenced to the lowest energy acyclic conformer of compound 51 at 423.2 K (refer to Scheme 7). CYLview structures for TS are shown [27]. ‡: The symbol is used to denote transition states.
Consistent with the observed slower cyclization for the 1′,2′-syn thioaminal 46b (model compound 54, Scheme 8a), the calculated TS energies for the cyclization through TS C1 (36.8 kcal/mol) with the benzyl group up or TS C2 (37.2 kcal/mol) with the benzyl group down are significantly higher in energy than the lowest TS A1 for the 1′,2′-anti thioaminal (32.8 kcal/mol, Scheme 7). Both TS C1 and TS C2 suffer, respectively, from either additional syn pentane interactions (SBn and C2′-Me moiety) or from an additional gauche interaction (Uracil and SBn). In TS C2, the nucleobase is also forced to occupy a less favorable pseudo-axial position. The acyclic precursor 54 minima was found to be slightly higher than for 51, leading to a predicted activation energy of 36.6 kcal/mol and therefore slower kinetics for 1′,4′-trans thiofuranoside formation. Interestingly, previous cyclizations of thioaminals with 1′,4′-cis and 1′,4′-trans stereochemistries not bearing the C2′ quaternary group displayed similar rates of reactivity [9]. The syn-pentane steric clashes, therefore, seem to impact more severely the reactivity of the isomers leading to 1′,4′-trans thionucleosides. This was further confirmed in the formation of L-1′,4′-cis thiofuranoside 60. This cyclization was observed experimentally to progress readily (Scheme 6 and Scheme 8b), in accordance with a TS energy (TS D, 32.5 kcal/mol) comparable to TS A1. The starting thioaminal 58 was 0.26 kcal/mol higher than 51, therefore leading to a calculated ∆Gact of 32.2 kcal/mol.
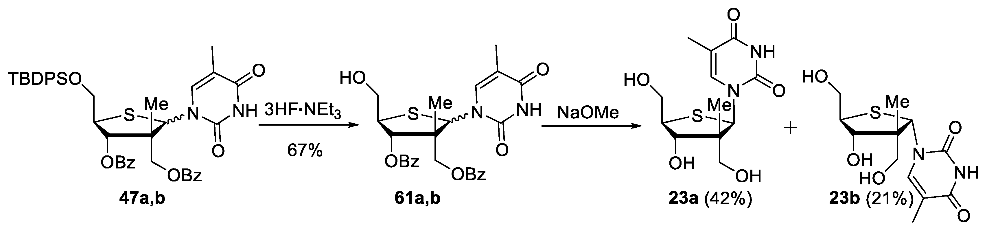
These studies shed light on why the S1′-to-C4′ cyclization can lead to a kinetic resolution favoring formation of the biologically relevant 1′,4′-cis thionucleoside. In the context of generating the targeted analogues presented here, deprotection of the primary silyl group of a mixture of 4′-thionucleosides 47a,b using 3HF·NEt3 provided an inseparable mixture of anomers 61a,b. Following benzoate removal with NaOMe, the final molecules 23a and 23b were isolated in 42% and 21%, respectively (Scheme 9).
Scheme 9.
Synthesis of final 4′-thionucleoside analogues bearing a thymine nucleobase.
2.3. Cyclic Approach for the Synthesis of 4′-Thionucleoside Analogues
As discussed in Scheme 3, a second approach was considered to access such 4′-thioanalogues, in which the thiofuranoside was formed prior to addition of the nucleobase. After mesylation of dithioacetal 43, treatment with TBAI in the presence of a base provided thiobenzylfuranoside 62 (Scheme 10) [28]. Glycosylation using silylated thymine in the presence of DMTSF provided a 1.2:1 ratio of thioanalogues 47a,b.
Scheme 10.
Synthesis of thymine-bearing 4′-thionucleoside analogues from glycosylation of cyclic thiofuranoside 62.
A similar cyclic strategy was used to prepare purine derivatives, the synthesis of which was difficult using the acyclic approach. The addition of 2-chloroadenine was investigated, as the presence of a halogen at the two position of the nucleobase renders analogues, such as Clofarabine, more stable to deamination, a major mechanism of metabolic clearance in vivo [29]. Similar to the addition of thymine, the activation of thiofuranoside 62 with DMTSF followed by the addition of 2-chloroadenine or 2,6-dichloropurine resulted in a mixture of compounds with the major products identified as a 1:1 mixture of N9-β:α anomers (results not shown). The nucleobase addition with thiofuranosides 63a,b bearing an anomeric acetate was next investigated (Table 5).
Table 5.
Formation of 4′-thioanalogues bearing a purine nucleobase.
Similar to glycosylation of thiofuranoside 62, the addition of 2-chloroadenine to 63a,b resulted in a mixture of compounds with the major products identified as a 1:1 mixture of N9-β:α anomers 64a,b at RT or 84 °C (entries 1 and 2). However, a 5:1 ratio of N9-products 65a,b in favor of the desired β-anomer was obtained with 2,6-dichloropurine using DBU and TMSOTf at 84 °C versus a 1:1 ratio at room temperature (entries 3 and 4), indicative of a thermodynamic equilibrium favoring the β-anomer. The removal of the C5′-silyl ether of anomers 65a,b followed by debenzoylation and displacement of the 6-chloro moiety with ammonia provided the corresponding 6-amino derivatives 24a and 24b (Scheme 11).
Scheme 11.
Synthesis of final 4′-thionucleoside analogues bearing a 2-chloroadenine nucleobase.
In conclusion, nucleoside analogue synthesis is a research field of great interest in medicinal chemistry. The intramolecular cyclization of acyclic thioaminals has been used to synthesize nucleosides as well as 4′-thioanalogues. Herein, this approach was evaluated in the context of a novel family of 4′-thionucleosides bearing a quaternary stereogenic center at C2′. The challenge of this study resides in the SN2-like S1′-to-C4′ cyclization combined with stereoselective formation of the desired thioaminal typically dependent on the presence of an electron-withdrawing group at C2′, which in this case is absent. The lack of diastereoselectivity for thioaminal formation turned out to be significant, with a modest stereoselectivity (1.4:1) favoring the 1′,2′-anti isomer. Interestingly, an original solution arose from these challenges. A kinetic bias favoring cyclization of the 1′,2′-anti thioaminal was observed, with the desired β-anomer being obtained in a 7:1 ratio. DFT calculations suggest that this kinetic resolution favors the 1′,4′-cis product due to significant steric clashes arising in the SN2 TS of the 1′,4′-trans isomer. These unfavorable interactions increase the activation energy, resulting in a slower rate of cyclization as compared to the corresponding 1′,4′-cis isomers. An alternative approach, in which the nucleobase was added onto an already formed thiofuranoside, allowed for the synthesis of novel 2-chloroadenine 4′-thionucleoside analogues. These proprietary molecules and other derivatives are currently being evaluated both in vitro and in vivo for their biological profiles, more specifically in the context of cardioprotection. These novel nucleoside scaffolds could potentially also find interesting applications in synthetic vaccine development.
3. Materials and Methods
3.1. General Information—Synthesis
All reactions requiring anhydrous conditions were carried out under an atmosphere of nitrogen or argon in flame-dried glassware using standard syringe techniques. All anhydrous solvents were dried with 3 Å molecular sieves prior to use. The 3 Å molecular sieves (1–2 mm beads) were activated by being heated at 180 °C for 48 h under vacuum prior to being added to new bottles of solvent purged with nitrogen. Commercially available reagents were used as received. Flash chromatography was performed on silica gel 60 (0.040–0.063 mm) using forced flow (flash chromatography) of the indicated solvent system or an automated flash purification system. Analytical thin-layer chromatography (TLC) was carried out on precoated (0.25 mm) silica gel aluminum plates. Visualization was performed with short-wavelength UV and/or revealed with potassium permanganate solutions. 1H NMR spectra were recorded at room temperature at 500 MHz and 13C were recorded at 126 MHz. The data are reported as follows: chemical shift in parts per million referenced to residual solvent (CDCl3 δ 7.26 ppm, CD3OD δ 3.31 ppm), multiplicity (s = singlet, d = doublet, dd = doublet of doublets, ddd = doublet of doublets of doublets, t = triplet, td = triplet of doublets, m = multiplet, app = apparent), coupling constants (hertz), and integration. 13C{1H}MR spectra were recorded at room temperature using 126 MHz. The data are reported as follows: chemical shift in parts per million referenced to residual solvent (CDCl3 δ 77.16 ppm, CD3OD δ 49.00 ppm). Infrared spectra were recorded on a Fourier-transform infrared spectrophotometer with a single-reflection diamond ATR module, and signals were reported in cm−1. Mass spectra were recorded through electrospray ionization positive-ion mode. A Hybrid Quadrupole-Orbitrap mass analyzer was used for HRMS measurements. Optical rotations were measured at room temperature from the sodium D line (589 nm) using CHCl3 as solvent unless otherwise noted, and calculated using the following formula: [α]D = (100)αobs/(l·c)), where c = (g of substrate/100 mL of solvent) and l = 1 dm. Diol 31, methylester S1 and aldehyde 32 were prepared using previously reported procedures [17,18,19].
3.2. Experimental Synthetic Procedures
(–)-Methyl (S)-2-(benzyloxy)-3-((tert-butyldiphenylsilyl)oxy)propanoate (S2).

To a solution of alcohol S1 [18] (46.2 g, 1.00 equiv, 129 mmol) in anhydrous DMF (0.57 L, 0.23 M) at 0 °C, BnBr (30.6 mL, 2.00 equiv, 258 mmol) and NaH (5.67 g, 1.10 equiv, 142 mmol, 60% oil dispersion) were added. The reaction mixture was stirred at room temperature for 3 h. After cooling to 0 °C, water was added. The aqueous layer was extracted (3× with EtOAc and the combined organic layers were washed with brine, dried over MgSO4, filtered, and concentrated under reduced pressure. Purification by flash chromatography (Hexanes/EtOAc) provided methyl ester S2 (57.1 g, 98% yield). 1H NMR and optical rotation correlate with the previously reported data for this compound [19]. [α]D25 −17 (c 2.9, CHCl3); literature value [19] [α]D23 −19.0 (c = 1.5, CHCl3); 1H NMR (500 MHz, CDCl3) δ 7.71–7.64 (m, 4H), 7.44–7.28 (m, 11H), 4.75 (d, J = 11.9 Hz, 1H), 4.53 (d, J = 11.9 Hz, 1H), 4.14 (t, J = 5.1 Hz, 1H), 3.99–3.91 (m, 2H), 3.75 (s, 3H), 1.04 (s, 9H) ppm.
(+)-Methyl (2S,3R,4S)-4-(benzyloxy)-2-bromo-5-((tert-butyldiphenylsilyl)oxy)-3-hydroxy-2-methylpentanoate (34a) and (+)-Methyl (2R,3R,4S)-4-(benzyloxy)-2-bromo-5-((tert-butyldiphenylsilyl)oxy)-3-hydroxy-2-methylpentanoate (34b). To a stirred solution of aldehyde 32 [19] (206 mg, 1.00 equiv, 0.492 mmol) in CH2Cl2 (0.74 mL, 0.66 M) at −78 °C, MgBr2·OEt2 (635 mg, 5.00 equiv, 2.46 mmol) was added. The reaction mixture was stirred for 15 min at −78 °C followed by slow addition of crude methyl ((2-bromo-1-methoxyprop-1-en-1-yl)oxy)trimethylsilane 33 [20] (0.19 mL, 2.0 equiv, 0.98 mmol). The reaction mixture was stirred at −78 °C for 1 h. A mixture of 1N HCl/THF (1:1, v/v, 2.80 mL) was added followed by gradual warming to room temperature with stirring for 1 h. The aqueous layer was extracted (3×) with Et2O and the combined organic layers were washed with a saturated solution of NaHCO3, dried over MgSO4, filtered, and concentrated under reduced pressure. 1H NMR of the crude reaction indicated a >20:1 ratio of 3,4-syn:3,4-anti products with a 1:1 mixture of C2-bromides 34a and 34b. Purification by flash chromatography (Hexanes/EtOAc) allowed for the two C2 diastereomers to be separated providing 34a (126 mg) and 34b (101 mg) for a combined yield of 79%. The 3,4-syn and C2 stereochemistry were assigned from lactonization of 34a (see below and Supplementary Information). 34a: Rf = 0.46 (Hexanes/EtOAc, 80:20); [α]D25 + 11 (c 3.0, CH2Cl2); formula: C30H37BrO5Si; MW: 585.61 g/mol; IR (neat) νmax 3533, 3070, 2999, 2953, 2858, 1742, 1472, 1249, 1112 cm−1; 1H NMR (500 MHz, CDCl3) δ 7.72–7.67 (m, 4H), 7.48–7.42 (m, 2H), 7.42–7.38 (m, 4H), 7.33–7.27 (m, 3H), 7.22–7.19 (m, 2H), 4.65 (d, J = 10.9 Hz, 1H), 4.41 (d, J = 10.9 Hz, 1H), 4.29 (d, J = 9.7 Hz, 1H), 3.97 (appt, J = 6.1 Hz, 1H), 3.86–3.84 (m, 2H), 3.67 (s, 3H), 3.41 (d, J = 9.7 Hz, 1H), 1.86 (s, 3H), 1.08 (s, 9H) ppm; 13C NMR (126 MHz, CDCl3) δ 171.3, 137.5, 135.80 (2C), 135.77 (2C), 133.3, 133.1, 130.02, 129.99, 128.5 (2C), 128.14 (2C), 128.10, 128.0 (2C), 127.9 (2C), 76.8, 74.8, 72.8, 63.8, 61.6, 53.2, 27.0 (3C), 23.5, 19.3 ppm; HRMS (ESI) m/z: calcd for C30H38BrO5Si [M+H]+ 585.1666, found 585.1660 (–1.03 ppm). 34b: Rf = 0.95 (Hexanes/EtOAc 50:50); [α]D25 + 9.2 (c 2.4, CH2Cl2); formula: C30H37BrO5Si; MW: 585.6100 g/mol; IR (neat) νmax 3552, 3070, 2953, 2932, 2858, 1737, 1472, 1428, 1261, 1209, 1112 cm−1; 1H NMR (500 MHz, CDCl3) δ 7.75–7.71 (m, 4H), 7.48 (dd, J = 7.3, 1.3 Hz, 2H), 7.46–7.42 (m, 4H), 7.36–7.29 (m, 3H), 7.27–7.24 (m, 2H), 4.61 (d, J = 10.9 Hz, 1H), 4.42 (d, J = 11.0 Hz, 1H), 4.19 (d, J = 10.4 Hz), 4.05–4.01 (m, 1H), 3.87–3.84 (m, 2H), 3.54 (s, 3H), 3.19 (d, J = 10.3 Hz, 1H), 2.08 (s, 3H), 1.12 (s, 9H) ppm; 13C NMR (126 MHz, CDCl3) δ 170.8, 137.7, 135.8 (2C), 135.7 (2C), 133.3, 133.2, 130.0, 129.96, 128.4 (2C), 128.0 (2C), 127.94 (4C), 127.91, 77.5, 76.9, 72.9, 65.7, 63.3, 53.3, 27.2, 27.0 (3C), 19.3 ppm; HRMS (ESI) m/z: calcd for C30H38BrO5Si [M+H]+ 585.1666, found 585.1666 (0 ppm).
(+)-(3S,4R,5S)-5-(benzyloxy)-3-bromo-4-hydroxy-3-methyltetrahydro-2H-pyran-2-one (S3).

To a stirred solution of methyl ester 34a (72 mg, 1.0 equiv, 0.12 mmol) in THF (0.49 mL, 0.25 M) at 0 °C, 3HF·NEt3 (0.047 mL, 2.30 equiv, 0.283 mmol) was added. The reaction mixture was stirred at room temperature for 16 h and then quenched by addition of a saturated solution of NaHCO3. The aqueous layer was extracted (3×) with EtOAc and the combined organic layers were washed with brine, dried over MgSO4, filtered, and concentrated under reduced pressure. Purification by flash chromatography (Hexanes/EtOAc) provided lactone S3 (22 mg, 57% yield). The 3,4 and C2 stereochemistry were determined by the relevant nuclear Overhauser effect (nOe) enhancements, as depicted in the SI. Rf = 0.66 (Hexanes/EtOAc, 50:50); [α]D25 +33 (c 2.2, CH2Cl2); formula: C13H15O4Br; MW: 315.1630 g/mol; IR (neat) νmax 3451, 2925, 2869, 1742, 1455, 1389, 1282, 1228, 1090 cm−1; 1H NMR (500 MHz, CDCl3) δ 7.41–7.32 (m, 5H), 4.71 (d, J = 11.7 Hz, 1H), 4.69 (d, J = 11.7 Hz, 1H), 4.66 (dd, J = 12.2, 5.6 Hz, 1H), 4.19 (dd, J = 12.2, 5.7 Hz, 1H), 3.96 (dt, J = 7.1, 5.6 Hz, 1H), 3.59 (dd, J = 7.0, 5.5 Hz, 1H), 2.67 (d, J = 5.8 Hz, 1H), 2.05 (s, 3H) ppm; 13C NMR (126 MHz, CDCl3) δ 168.1, 137.2, 128.9 (2C), 128.5, 128.1 (2C), 76.2, 75.8, 73.0, 68.8, 60.1, 26.3 ppm; HRMS (ESI) m/z: calcd for C13H16O4Br [M+H]+ 315.0226, found 315.0226 (0 ppm).
(–)-Methyl (2S,3R,4S)-4-(benzyloxy)-2-bromo-5-((tert-butyldiphenylsilyl)oxy)-3-((dimethyl (vinyl)silyl)oxy)-2-methylpentanoate (35a). To a stirred solution of alcohol 34a (56 mg, 1.0 equiv, 0.096 mmol) in CH2Cl2 (0.24 mL, 0.40 M) at 0 °C, imidazole (22 mg, 3.4 equiv, 0.33 mmol) was added, followed by chloro(dimethyl)vinylsilane (0.022 mL, 1.5 equiv, 0.14 mmol). The reaction mixture was stirred at room temperature for 19 h and then quenched by the addition of water. The aqueous layer was extracted (3×) with CH2Cl2 and the combined organic layers were washed with water, dried over MgSO4, filtered, and concentrated under reduced pressure. Purification by flash chromatography (Hexanes/EtOAc) provided 35a (53 mg, 83% yield). Rf = 0.93 (Hexanes/EtOAc, 30:70); [α]D25 −8.7 (c 4.9, CH2Cl2); formula: C34H45BrO5Si2; MW: 669.8030 g/mol; IR (neat) νmax 3070, 3049, 2999, 2953, 2858, 1742, 1454, 1252, 1127 cm−1; 1H NMR (500 MHz, CDCl3) δ 7.73–7.66 (m, 5H), 7.47–7.43 (m, 2H), 7.43–7.36 (m, 4H), 7.25–7.18 (m, 4H), 6.06 (dd, J = 20.4, 14.9 Hz, 1H), 5.88 (dd, J = 14.9, 3.8 Hz, 1H), 5.66 (dd, J = 20.4, 3.8 Hz, 1H), 4.66 (d, J = 1.6 Hz, 1H), 4.45 (d, J = 11.7 Hz, 1H), 4.41 (d, J = 11.7 Hz, 1H), 4.09 (ddd, J = 7.3, 5.9, 1.6 Hz, 1H), 3.77 (dd, J = 10.7, 5.9 Hz, 1H), 3.74 (s, 3H), 3.72 (dd, J = 10.5, 7.1 Hz, 1H), 1.94 (s, 3H), 1.09 (s, 9H), 0.15 (s, 3H), 0.12 (s, 3H) ppm; 13C NMR (126 MHz, CDCl3) δ 171.6, 138.5, 137.9, 136.0 (2C), 135.8 (2C), 133.5, 133.4, 133.0, 130.0, 129.9, 128.3 (2C), 127.89 (4C), 127.85 (2C), 127.5, 78.5, 74.7, 72.6, 63.6, 62.3, 53.2, 27.1 (3C), 22.6, 19.3, −1.1, −1.3 ppm; HRMS (ESI) m/z: calcd for C34H46BrO5Si2 [M+H]+ 669.2062, found 669.2058 (−0.60 ppm).
(+)-Methyl (2R,3R,4S)-4-(benzyloxy)-2-bromo-5-((tert-butyldiphenylsilyl)oxy)-3-((dimethyl (vinyl)silyl)oxy)-2-methylpentanoate (35b). To a stirred solution of alcohol 34b (40 mg, 1.0 equiv, 0.068 mmol) in CH2Cl2 (0.17 mL, 0.40 M) at 0 °C, imidazole (16 mg, 3.4 equiv, 0.23 mmol) was added, followed by chloro(dimethyl)vinylsilane (0.016 mL, 1.5 equiv, 0.10 mmol). The reaction mixture was stirred at room temperature for 19 h and then quenched by the addition of water. The aqueous layer was extracted (3×) with CH2Cl2 and the combined organic layers were washed with water, dried over MgSO4, filtered, and concentrated under reduced pressure. Purification by flash chromatography (Hexanes/EtOAc) provided 35b (20 mg, 44% yield). Rf = 0.96 (Hexanes/EtOAc, 30:70); [α]D25 +4.2 (c 2.0, CH2Cl2); formula: C34H45BrO5Si2; MW: 669.8030 g/mol; IR (neat) νmax 3070, 3032, 2953, 2858, 1739, 1472, 1254, 1154, 1110 cm−1; 1H NMR (500 MHz, CDCl3) 7.69–7.63 (m, 5H), 7.47–7.42 (m, 2H), 7.42–7.36 (m, 5H), 7.25–7.23 (m, 1H), 7.16–7.13 (m, 2H), 6.20 (dd, J = 20.5, 14.9 Hz, 1H), 5.94 (dd, J = 14.9, 3.7 Hz, 1H), 5.71 (dd, J = 20.5, 3.7 Hz, 1H), 4.58 (d, J = 2.6 Hz, 1H), 4.41 (d, J = 11.4 Hz, 1H), 4.24 (d, J = 11.4 Hz, 1H), 3.78–3.69 (m, 2H), 3.62 (s, 3H), 3.58 (td, J = 6.0, 2.6 Hz, 1H), 1.92 (s, 3H), 1.07 (s, 9H), 0.29 (s, 3H), 0.25 (s, 3H) ppm; 13C NMR (126 MHz, CDCl3) δ 171.0, 137.9, 137.8, 135.8 (2C), 135.7 (2C), 133.39, 133.36, 133.3, 130.01, 129.95, 128.33 (2C), 128.29 (2C), 127.91 (2C), 127.90 (2C), 127.7, 80.2, 77.1, 73.0, 66.7, 63.8, 53.0, 27.0 (3C), 24.3, 19.3, −0.8, −1.3 ppm; HRMS (ESI) m/z: calcd for C34H46BrO5Si2 [M+H]+ 669.2062, found 669.2052 (–1.49 ppm).
(+)-Methyl(2S,3S,4S)-4-(benzyloxy)-5-((tert-butyldiphenylsilyl)oxy)-3-hydroxy-2-methyl-2-vinylpentanoate (36). To a stirred solution of C2-bromo esters 35a,b (58 mg, 1.0 equiv, 0.087 mmol) in toluene (1.5 mL, 0.060 M) at 0 °C, BEt3 (0.17 mL, 2.0 equiv, 0.17 mmol, 1.0 M solution in hexanes) was added over 1 h in an open-air system. The reaction mixture was stirred for 1 h at 0 °C followed by the addition of acetic acid (10 μL, 2.0 equiv, 0.17 mmol) and MeOH (1.5 mL), with gradual warming to room temperature and stirring for an additional 30 min. The mixture was concentrated under reduced pressure. 1H NMR analysis of the crude mixture indicated a >20:1 diastereomeric ratio. Purification by flash chromatography (Hexanes/EtOAc) provided methyl ester 36 (26 mg, 57% yield). The 90% yield shown in Scheme 5 was obtained on a larger 9 g scale. Rf = 0.22 (Hexanes/EtOAc, 90:10); [α]D25 +7.8 (c 1.6, MeOH); formula: C32H40O5Si; MW: 532.7520 g/mol; IR (neat) νmax 3561, 2952, 2858, 1732, 1456, 1192 cm−1; 1H NMR (500 MHz, CDCl3) δ 7.68–7.65 (m, 4H), 7.46–7.41 (m, 2H), 7.40–7.36 (m, 4H), 7.31–7.24 (m, 3H), 7.22–7.20 (m, 2H), 6.33 (dd, J = 17.7, 11.0 Hz, 1H), 5.24 (d, J = 11.1 Hz, 1H), 5.18 (d, J = 17.7 Hz, 1H), 4.55 (d, J = 10.9 Hz, 1H), 4.32 (d, J = 10.9 Hz, 1H), 3.85–3.76 (m, 3H), 3.59–3.54 (m, 1H), 3.45 (s, 3H), 3.20 (d, J = 10.2 Hz, 1H), 1.39 (s, 3H), 1.05 (s, 9H) ppm; 13C NMR (126 MHz, CDCl3) δ 175.6, 138.9, 138.0, 135.8 (4C), 133.5, 133.3, 129.94, 129.91, 128.4 (2C), 128.0 (2C), 127.90 (2C), 127.89 (2C), 127.81, 115.0, 78.0, 76.9, 72.8, 63.6, 52.1, 51.7, 27.0 (3C), 19.4, 19.3 ppm; HRMS (ESI) m/z: calcd for C32H41O5Si [M+H]+ 533.2718, found 533.2720 (+0.38 ppm).
(+)-(2R,3S,4S)-4-(benzyloxy)-5-((tert-butyldiphenylsilyl)oxy)-2-methyl-2-vinylpentane-1,3-diol (S4).

To a stirred solution of methyl ester 36 (63 mg, 1.0 equiv, 0.12 mmol) in CH2Cl2 (0.91 mL, 0.13 M) at −78 °C, DIBAl-H (1 M in Hexanes, 0.47 mL, 4.0 equiv, 0.47 mmol) was added dropwise. The reaction mixture was stirred at −40 °C for 3 h and then quenched by the addition of a saturated aqueous solution of potassium sodium tartrate at −78 °C, followed by gradual warming to room temperature and stirring for 1 h. The aqueous layer was extracted (3×) with EtOAc and the combined organic layers were washed with brine, dried over MgSO4, filtered, and concentrated under reduced pressure. Purification by flash chromatography (Hexanes/EtOAc) provided diol S4 (33 mg, 55% yield). Rf = 0.60 (Hexanes/EtOAc, 50:50); [α]D25 +18 (c 2.2, CH2Cl2); formula: C31H40O4Si; MW: 504.7420 g/mol; IR (neat) νmax 3453, 3070, 3032, 2858, 1456, 1112 cm−1; 1H NMR (500 MHz, CDCl3) δ 7.71–7.63 (m, 4H), 7.47–7.42 (m, 2H), 7.41–7.36 (m, 4H), 7.33–7.27 (m, 3H), 7.24–7.22 (m, 2H), 6.06 (dd, J = 17.8, 11.0 Hz, 1H), 5.16 (dd, J = 11.0, 1.5 Hz, 1H), 5.11 (dd, J = 17.7, 1.6 Hz, 1H), 4.53 (d, J = 11.0 Hz, 1H), 4.38 (d, J = 11.0 Hz, 1H), 3.78 (dd, J = 8.6, 4.6 Hz, 1H), 3.75 (dd, J = 8.7, 3.6 Hz, 1H), 3.72 (d, J = 7.8 Hz, 1H), 3.63 (dd, J = 11.0, 7.8 Hz, 1H), 3.59 (dd, J = 10.9, 4.8 Hz, 1H), 3.51 (appt, J = 5.9 Hz, 1H), 3.05 (d, J = 8.1 Hz, 1H), 2.61 (dd, J = 7.8, 4.9 Hz, 1H), 1.07 (s, 9H), 1.02 (s, 3H) ppm; 13C NMR (126 MHz, CDCl3) δ 140.4, 137.7, 135.77 (2C), 135.76 (2C), 133.3, 133.2, 130.02, 130.00, 128.5 (2C), 128.1 (2C), 128.0, 127.9 (4C), 114.5, 77.1, 76.7, 72.6, 69.8, 63.9, 45.5, 27.0 (3C), 19.3, 19.0 ppm; HRMS (ESI) m/z: calcd for C31H40NaO4Si [M+Na]+ 527.2588, found 527.2587 (–0.19 ppm).
(–)-(2R,3S,4S)-4-(benzyloxy)-5-((tert-butyldiphenylsilyl)oxy)-2-methyl-2-vinylpentane-1,3-diyl dibenzoate (37). To a stirred solution of diol S4 (115 mg, 1.00 equiv, 0.228 mmol) in CH2Cl2 (1.6 mL, 0.15 M) at room temperature, DMAP (2.8 mg, 0.10 equiv, 0.023 mmol) and pyridine (0.11 mL, 6.0 equiv, 1.4 mmol) were added. The mixture was cooled to 0 °C and BzCl (0.079 mL, 3.0 equiv, 0.68 mmol) was added slowly. The reaction mixture was warmed to room temperature for 16 h. After cooling to 0 °C, ethylenediamine (0.038 mL, 2.5 equiv, 0.57 mmol) was added and stirred for 30 min at 0 °C. Upon warming to room temperature, the aqueous layer was extracted (3×) with EtOAc and the combined organic layers were washed with brine, dried over MgSO4, filtered, and concentrated under reduced pressure. Purification by flash chromatography (Hexanes/EtOAc) provided alkene 37 (148 mg, 91% yield). Rf = 0.88 (Hexanes/EtOAc, 50:50); [α]D25 −35 (c 7.4, CH2Cl2); formula: C45H48O6Si; MW: 712.9580 g/mol; IR (neat) νmax 3070, 2930, 2857, 1719, 1264, 1106 cm−1; 1H NMR (500 MHz, CDCl3) δ 8.12–8.03 (m, 4H), 7.70–7.62 (m, 4H), 7.59–7.52 (m, 2H), 7.43 (dd, J = 13.0, 7.7 Hz, 5H), 7.40–7.35 (m, 5H), 7.31–7.26 (m, 4H), 7.25–7.23 (m, 1H), 6.22 (dd, J = 17.7, 11.0 Hz, 1H), 5.67 (apps, 1H), 5.24–5.17 (m, 2H), 4.54 (d, J = 11.4 Hz, 1H), 4.49 (d, J = 11.5 Hz, 1H), 4.41 (d, J = 11.1 Hz, 1H), 4.31 (d, J = 11.1 Hz, 1H), 3.87–3.76 (m, 2H), 3.67 (appdd, J = 9.8, 6.3 Hz, 1H), 1.30 (s, 3H), 1.07 (s, 9H) ppm; 13C NMR (126 MHz, CDCl3) δ 166.5, 165.8, 140.1, 138.3, 135.8 (2C), 135.7 (2C), 133.4, 133.2, 133.1, 133.0, 130.4, 130.2, 130.0 (2C), 129.84, 129.77 (2C), 129.69, 128.50 (2C), 128.48 (2C), 128.3 (2C), 127.84 (2C), 127.77 (2C), 127.75 (2C), 127.6, 115.4, 78.3, 75.0, 72.6, 68.9, 63.1, 44.7, 26.9 (3C), 19.3, 19.2 ppm; HRMS (ESI) m/z: calcd for C45H48NaO6Si [M+Na]+ 735.3112, found 735.3124 (+ 1.63 ppm).
(–)-(2R,3S,4S)-4-(benzyloxy)-5-((tert-butyldiphenylsilyl)oxy)-2-formyl-2-methylpentane-1,3-diyl dibenzoate (38). To a stirred solution of alkene 37 (148 mg, 1.00 equiv, 0.208 mmol) in CH2Cl2 (22 mL, 0.010 M) at −78 °C, O3 was added and bubbled under vacuum until the reaction mixture turned blue (about 30 min). The solution was then purged with nitrogen to remove excess ozone. Following the addition of NEt3 (0.029 mL, 1.0 equiv, 0.21 mmol), the reaction was stirred for 1 h while warming to room temperature. After filtering over MgSO4, the mixture was concentrated under reduced pressure. Purification by flash chromatography (Hexanes/EtOAc) provided aldehyde 38 (113 mg, 76% yield). Rf = 0.86 (Hexanes/EtOAc, 50:50); [α]D25 −20 (c 5.6, CH2Cl2); formula: C44H46O7Si; MW: 714.9300 g/mol; IR (neat) νmax 2931, 2857, 1721, 1263, 1106 cm−1; 1H NMR (500 MHz, CDCl3) δ 10.02 (s, 1H), 8.11 (d, J = 7.6 Hz, 2H), 8.01 (d, J = 7.6 Hz, 2H), 7.73–7.67 (m, 2H), 7.65–7.61 (m, 1H), 7.61–7.54 (m, 2H), 7.51–7.46 (m, 4H), 7.44–7.40 (m, 4H), 7.39–7.27 (m, 6H), 7.25–7.22 (m, 2H), 5.93 (d, J = 1.6 Hz, 1H), 4.56 (d, J = 11.3 Hz, 1H), 4.46 (appt, J = 11.8 Hz, 2H), 4.37 (d, J = 11.3 Hz, 1H), 3.86–3.83 (m, 1H), 3.81 (dd, J = 10.2, 5.2 Hz, 1H), 3.68 (dd, J = 9.9, 7.9 Hz, 1H), 1.31 (s, 3H), 1.08 (s, 9H) ppm; 13C NMR (126 MHz, CDCl3) δ 200.6, 166.1, 165.5, 137.1, 135.68 (2C), 135.67 (2C), 133.5, 133.2, 133.1, 132.8, 130.2 (2C), 130.0, 129.9, 129.8 (2C), 129.7, 129.5, 128.7 (2C), 128.49 (2C), 128.42 (2C), 128.4 (2C), 128.1, 128.0 (2C), 127.8 (2C), 77.4, 75.1, 72.6, 65.7, 61.4, 52.9, 26.9 (3C), 19.2, 15.2 ppm; HRMS (ESI) m/z: calcd for C44H47O7Si [M+H]+ 715.3086, found 715.3076 (–1.40 ppm).
((3R,4S,5S)-4-(benzoyloxy)-5-(((tert-butyldiphenylsilyl)oxy)methyl)-2-(tert-butylthio)-3-methyltetrahydrofuran-3-yl)methyl benzoate (41a,b). To a stirred solution of aldehyde 38 (31 mg, 1.0 equiv, 0.04 mmol) in CH2Cl2 (0.43 mL, 0.10 M) at −60 °C, tert-butylthiol (19 μL, 4.0 equiv, 0.17 mmol) and boron trifluoride diethyletherate (7 μL, 1.3 equiv, 0.06 mmol) were added. The reaction mixture was stirred at −60 °C for 2 h followed by the addition of NEt3 (24 μL, 4.0 equiv, 0.17 mmol) with additional stirring for 15 min at −60 °C. A saturated solution of NaHCO3 was added and the crude mixture was warmed to room temperature. The aqueous layer was extracted (3×) with CH2Cl2 and the combined organic layers were washed with brine, dried over MgSO4, filtered, and concentrated under reduced pressure. Purification by flash chromatography (Hexanes/EtOAc) provided 41a,b (27 mg, 91% yield) as a 5:1 mixture in favor of the α-L-anomer. Rf = 0.89 (Hexanes/EtOAc, 50:50); formula: C41H48O6SSi; MW: 696.9740 g/mol; IR (neat) νmax 2958, 2930, 2858, 1722, 1266, 1108 cm−1; 1H NMR (500 MHz, CDCl3) δ 8.12–8.08 (m, 2H), 8.02–7.99 (m, 2H), 7.98–7.93 (m, 4H), 7.62–7.60 (m, 3H), 7.58–7.51 (m, 9H), 7.45–7.37 (m, 10H), 7.35 (d, J = 7.6 Hz, 2H), 7.34–7.27 (m, 4H), 7.14 (t, J = 7.7 Hz, 4H), 5.87 (d, J = 4.3 Hz, 1H, major), 5.85 (d, J = 4.9 Hz, 1H, minor), 5.41 (s, 1H, major), 5.21 (s, 1H, minor), 4.65 (ddd, J = 7.8, 5.9, 4.2 Hz, 1H, major), 4.55–4.50 (m, 1H, minor), 4.44 (d, J = 11.2 Hz, 1H, major), 4.41–4.37 (m, 2H, minor), 4.30 (d, J = 11.2 Hz, 1H, major), 4.01–3.96 (m, 1H, minor), 3.82–3.78 (m, 3H, 2× major and 1× minor), 1.47 (s, 3H, minor), 1.38 (s, 12H, major), 1.35 (s, 9H, minor), 0.92 (s, 18H, major and minor) ppm; 13C NMR (126 MHz, CDCl3) δ 166.4 (major), 165.5 (minor), 165.0 (minor), 165.0 (major), 135.73 (2C), 135.69 (2C), 135.56 (2C), 135.54 (2C), 133.32, 133.30, 133.24, 133.15, 133.11, 133.07, 133.04, 130.2, 130.1, 129.9 (2C), 129.81 (4C), 129.79 (2C), 129.76, 129.7, 129.63, 129.57 (2C), 128.61 (2C), 128.59 (2C), 128.5 (2C), 128.4 (2C), 127.82 (2C), 127.77 (2C), 127.65 (2C), 127.60 (2C), 90.3 (minor), 86.6 (major), 81.6 (minor), 80.1 (major), 78.2 (major), 77.0 (minor), 65.7 (major), 65.6 (minor), 62.4 (minor), 61.6 (major), 51.3 (minor), 50.9 (major), 43.7 (minor), 43.6 (major), 31.8 (major, 3C), 31.7 (minor, 3C), 26.9 (minor, 3C), 26.7 (major, 3C), 22.4 (minor), 19.11 (minor), 19.09 (major), 17.6 (major) ppm, due to overlapping carbon signals in the aromatic region, 2 peaks are hidden; HRMS (ESI) m/z: calcd for C41H49O6SSi [M+H]+ 697.3014, found 697.3009 (−0.72 ppm).
(–)-(2R,3S,4S)-4-(benzyloxy)-2-(bis(benzylthio)methyl)-5-((tert-butyldiphenylsilyl)oxy)-2-methylpentane-1,3-diyl dibenzoate (40). To a stirred solution of aldehyde 38 (40 mg, 1.0 equiv, 0.056 mmol) in CH2Cl2 (0.56 mL, 0.10 M) at −60 °C, benzyl mercaptan (27 μL, 4.0 equiv, 0.22 mmol) and boron trifluoride diethyletherate (9.0 μL, 1.3 equiv, 0.073 mmol) were added. The reaction mixture was stirred at −60 °C for 2 h, followed by the addition of NEt3 (31 μL, 4.0 equiv, 0.22 mmol) with an additional 15 min of stirring at −60 °C. A saturated solution of NaHCO3 was added and the crude was warmed to room temperature. The aqueous layer was extracted (3×) with CH2Cl2 and the combined organic layers were washed with brine, dried over MgSO4, filtered, and concentrated under reduced pressure. Purification by flash chromatography (Hexanes/EtOAc) provided dithioacetal 40 (46 mg, 87% yield). Rf = 0.57 (Hexanes/EtOAc, 80:20); [α]D25 −11 (c 4.6, CH2Cl2); formula: C58H60O6S2Si; MW: 945.3170 g/mol; IR (neat) νmax 3065, 2930, 2857, 1721, 1494, 1266, 1176, 1108 cm−1; 1H NMR (500 MHz, CDCl3) δ 8.06 (dd, J = 8.3, 1.2 Hz, 2H), 7.93 (dd, J = 8.3, 1.2 Hz, 2H), 7.64 (dd, J = 8.0, 1.3 Hz, 2H), 7.60–7.51 (m, 4H), 7.44 (t, J = 7.8 Hz, 2H), 7.36 (t, J = 7.9 Hz, 3H), 7.30 (t, J = 7.4 Hz, 3H), 7.26–7.17 (m, 14H), 7.16–7.14 (m, 3H), 6.07 (d, J = 2.0 Hz, 1H), 4.70 (d, J = 11.8 Hz, 1H), 4.61 (d, J = 11.8 Hz, 1H), 4.48 (d, J = 11.7 Hz, 1H), 4.35 (d, J = 11.7 Hz, 1H), 3.96 (td, J = 6.4, 1.8 Hz, 1H), 3.84 (s, 1H), 3.80 (d, J = 12.9 Hz, 1H), 3.77 (dd, J = 10.6, 5.8 Hz, 1H), 3.73 (t, J = 12.6 Hz, 2H), 3.68 (d, J = 12.7 Hz, 1H), 3.61 (dd, J = 10.6, 6.6 Hz, 1H), 1.34 (s, 3H), 1.02 (s, 9H) ppm; 13C NMR (126 MHz, CDCl3) δ 166.3, 165.6, 138.4, 137.63, 137.56, 135.8 (2C), 135.7 (2C), 133.4, 133.2, 133.1, 133.0, 130.21, 130.20 (2C), 130.18, 129.9 (2C), 129.73, 129.67, 129.4 (4C), 128.63 (2C), 128.56 (2C), 128.51 (2C), 128.47 (2C), 128.3 (2C), 127.8 (2C), 127.7 (2C), 127.4 (3C), 127.3, 127.2, 78.7, 74.5, 72.2, 67.8, 63.2, 58.6, 48.6, 37.5, 37.4, 26.9 (3C), 19.7, 19.2 ppm; HRMS (ESI) m/z: calcd for C58H60NaO6S2Si [M+Na]+ 967.3493, found 967.3483 (–1.03 ppm).
(+)-(2R,3S,4S)-2-(bis(benzylthio)methyl)-5-((tert-butyldiphenylsilyl)oxy)-4-hydroxy-2-methylpentane-1,3-diyl dibenzoate (43). To a stirred solution of C4-protected dithioacetal 40 (38 mg, 1.0 equiv, 0.040 mmol) in CH2Cl2 (0.40 mL, 0.10 M) at −78 °C, boron trichloride (1.0 M in DCM, 52 μL, 1.30 equiv, 0.052 mmol) was added. The reaction mixture was stirred at −78 °C for 1 h followed by the addition of boron trichloride (1.30 equiv). After stirring for another hour at −78 °C, a third addition of boron trichloride (1.30 equiv) was carried out. After one additional hour at −78 °C, the reaction was quenched by the addition of methanol, warmed to room temperature, and was then concentrated under reduced pressure. The aqueous layer was extracted (3×) with CH2Cl2 and the combined organic layers were washed with water, dried over MgSO4, filtered, and concentrated under reduced pressure. Purification by flash chromatography (Hexanes/EtOAc) provided dithioacetal 43 (5 mg, 15% yield). Rf = 0.45 (Hexanes/EtOAc, 80:20); [α]D25 +15 (c 0.3, CH2Cl2); formula: C51H54O6S2Si; MW: 855.1920 g/mol; IR (neat) νmax 3505, 3066, 2929, 2857, 1722, 1268, 1177 cm−1; 1H NMR (500 MHz, CDCl3) δ 8.01 (dd, J = 8.3, 1.2 Hz, 2H), 7.92 (dd, J = 8.3, 1.2 Hz, 2H), 7.58–7.52 (m, 6H), 7.41 (dt, J = 10.1, 7.9 Hz, 5H), 7.32 (t, J = 7.4 Hz, 2H), 7.25–7.21 (m, 8H), 7.19–7.14 (m, 5H), 5.77 (d, J = 0.8 Hz, 1H), 4.71 (d, J = 11.6 Hz, 1H), 4.60 (d, J = 11.6 Hz, 1H), 4.00–3.95 (m, 1H), 3.94 (s, 1H), 3.80 (d, J = 13.0 Hz, 1H), 3.74 (t, J = 12.3 Hz, 2H), 3.71 (d, J = 12.7 Hz, 1H), 3.56 (dd, J = 10.2, 5.3 Hz, 1H), 3.52 (dd, J = 10.2, 7.0 Hz, 1H), 2.52 (d, J = 5.7 Hz, 1H), 1.32 (s, 3H), 0.96 (s, 9H) ppm; 13C NMR (126 MHz, CDCl3) δ 166.3, 165.6, 137.53, 137.51, 135.68 (2C), 135.65 (2C), 133.3, 133.1, 133.00, 132.98, 130.21, 130.17 (2C), 129.9 (2C), 129.83, 129.81, 129.3 (4C), 128.66 (2C), 128.64 (2C), 128.57 (2C), 128.55 (2C), 127.8 (5C), 127.4, 127.3, 74.4, 70.0, 67.4, 65.9, 57.7, 48.4, 37.5, 37.3, 26.9 (3C), 19.31, 19.25 ppm; HRMS (ESI) m/z: calcd for C51H54NaO6S2Si [M+Na]+ 877.3023, found 877.3014 (–1.03 ppm).
((3R,4S,5S)-4-(benzoyloxy)-5-(((tert-butyldiphenylsilyl)oxy)methyl)-2-hydroxy-3-methyltetrahydrofuran-3-yl)methyl benzoate (42a,b). To a stirred solution of aldehyde 38 (50 mg, 1.0 equiv, 0.070 mmol) in THF:iPrOH (3:1, 3.5 mL, 0.020 M) at room temperature, palladium (10 wt.%) on activated carbon (30 mg, 0.40 equiv, 0.028 mmol) was added. The reaction mixture was degassed and flushed using a hydrogen-filled balloon. After stirring for 16 h, the reaction mixture was filtered through Celite®, washed with MeOH, and concentrated under reduced pressure. Purification by flash chromatography (Hexanes/EtOAc) provided a mixture of lactols 42a,b (36 mg, 82% yield) as a 3:1 mixture in favor of the β-L-anomer. Rf = 0.80 (Hexanes/EtOAc, 50:50); formula: C37H40O7Si; MW: 624.8050 g/mol; 1H NMR (500 MHz, CDCl3) δ 7.99 (ddd, J = 7.1, 3.7, 2.1 Hz, 4H), 7.98–7.92 (m, 4H), 7.63–7.57 (m, 3H), 7.56–7.51 (m, 6H), 7.50–7.47 (m, 3H), 7.40 (dtd, J = 16.8, 8.8, 5.7 Hz, 8H), 7.34–7.30 (m, 8H), 7.19 (dt, J = 15.2, 7.6 Hz, 4H), 5.81 (d, J = 4.9 Hz, 1H, minor), 5.78 (d, J = 5.4 Hz, 1H, major), 5.52 (s, 1H, minor), 5.20 (s, 1H, major), 4.67 (q, J = 5.9 Hz, 1H, minor), 4.64–4.61 (m, 1H, major), 4.60 (d, J = 11.2 Hz, 1H, major), 4.49 (d, J = 11.2 Hz, 1H, major), 4.45 (d, J = 11.2 Hz, 1H, minor), 4.36 (d, J = 11.1 Hz, 1H, minor), 3.93 (dd, J = 10.5, 7.1 Hz, 1H, major), 3.84 (dd, J = 10.4, 7.0 Hz, 1H, minor), 3.80 (dt, J = 10.1, 4.8 Hz, 2H, major and minor), 1.39 (s, 3H, minor), 1.32 (s, 3H, major), 0.95 (s, 9H, minor), 0.94 (s, 9H, major) ppm, labile protons were not observed due to exchange; 13C NMR (126 MHz, CDCl3) δ 166.5 (major), 166.4 (minor), 165.34 (minor), 165.31 (major), 135.8 (2C), 135.70 (2C), 135.64 (2C), 135.60 (2C), 133.5, 133.4, 133.2, 133.14, 133.13, 133.11, 133.0, 132.9, 130.03, 129.95 (2C), 129.89, 129.85, 129.82, 129.75 (2C), 129.74, 129.70 (2C), 129.61 (2C), 129.57, 128.7 (2C), 128.6 (2C), 128.51 (2C), 128.48 (2C), 127.8 (2C), 127.79 (2C), 127.72 (2C), 127.68 (2C), 103.2 (major), 100.9 (minor), 81.8 (major), 79.1 (minor), 78.8 (minor), 77.1 (major), 66.2 (minor), 64.5 (major), 62.7 (major), 62.0 (minor), 51.2 (major), 50.5 (minor), 26.79 (major, 3C), 26.75 (minor, 3C), 20.0 (major), 19.14 (minor), 19.09 (major), 16.0 (minor) ppm, due to overlapping carbon signals in the aromatic region 2 peaks are hidden; HRMS (ESI) m/z: calcd for C37H40NaO7Si [M+Na]+ 647.2435, found 647.2427 (–1.24 ppm).
((3R,4S,5S)-4-(benzoyloxy)-2-(benzylthio)-5-(((tert-butyldiphenylsilyl)oxy)methyl)-3-methyltetrahydrofuran-3-yl)methyl benzoate (44a,b). To a stirred solution of lactols 42a,b (36 mg, 1.0 equiv, 0.058 mmol) in CH2Cl2 (0.50 mL, 0.11 M) at −60 °C, benzyl mercaptan (27 μL, 4.0 equiv, 0.23 mmol) and boron trifluoride diethyletherate (18 μL, 2.5 equiv, 0.14 mmol) were added. The reaction mixture was stirred at −40 °C for 2 h. The reaction was quenched by the addition of triethylamine (32 μL, 4.0 equiv, 0.23 mmol) at −60 °C, followed by stirring for 15 min. After the addition of a saturated solution of NaHCO3, the crude was warmed to room temperature. The aqueous layer was extracted (3×) with CH2Cl2 and the combined organic layers were washed with brine, dried over MgSO4, filtered, and concentrated under reduced pressure. Purification by flash chromatography (Hexanes/EtOAc) provided 44a,b (35 mg, 83% yield) as a 2:1 mixture in favor of the α-L-anomer. Rf = 0.47 (Hexanes/EtOAc, 80:20); formula: C44H46O6SSi; MW: 730.9910 g/mol; IR (neat) νmax 3069, 2931, 2857, 1724, 1270 cm−1; 1H NMR (500 MHz, CDCl3) δ 8.12 (d, J = 7.1 Hz, 2H), 7.92 (d, J = 8.4 Hz, 2H), 7.89 (d, J = 7.1 Hz, 4H), 7.67–7.63 (m, 6H), 7.59–7.48 (m, 7H), 7.46–7.40 (m, 6H), 7.37 (t, J = 5.7 Hz, 6H), 7.32 (d, J = 6.1 Hz, 5H), 7.29–7.21 (m, 6H), 7.18 (t, J = 7.9 Hz, 6H), 5.87 (d, J = 4.9 Hz, 1H, minor), 5.79 (d, J = 4.4 Hz, 1H, major), 5.25 (s, 1H, major), 4.97 (s, 1H, minor), 4.69–4.59 (m, 2H, major and minor), 4.38 (d, J = 3.7 Hz, 2H, minor), 4.35 (d, J = 11.0 Hz, 1H, major), 4.17 (d, J = 11.2 Hz, 1H, major), 4.09–4.01 (m, 1H, minor), 3.89 (s, 2H), 3.84 (appd, J = 8.2 Hz, 5H), 1.38 (s, 3H, major), 1.36 (s, 3H, minor), 0.97 (s, 9H, major), 0.94 (s, 9H, minor) ppm; 13C NMR (126 MHz, CDCl3) δ 166.25 (major), 166.24 (minor), 165.1 (major), 165.0 (minor), 138.0, 137.7, 135.739 (2C), 135.733 (2C), 135.62 (2C), 135.56 (2C), 133.4, 133.34, 133.33, 133.25, 133.22, 133.21, 133.17, 133.069, 133.066, 130.2, 129.9, 129.83 (4C), 129.82 (4C), 129.79 (2C), 129.7, 129.62, 129.61, 129.552, 129.548, 129.225, 129.214 (2C), 128.7 (2C), 128.63 (2C), 128.58 (4C), 128.5 (2C), 128.4 (2C), 127.8 (2C), 127.7 (2C), 127.6 (2C), 127.3 (2C), 127.1, 91.0 (minor), 88.8 (major), 82.1 (minor), 79.7 (major), 79.0 (major), 76.7 (minor), 66.1 (major), 64.8 (minor), 62.6 (minor), 61.6 (major), 51.5 (minor), 50.8 (major), 35.7 (major), 35.4 (minor), 26.8 (major, 3C), 26.7 (minor, 3C), 22.3 (minor), 19.2 (major), 19.1 (minor), 18.0 (major) ppm; HRMS (ESI) m/z: calcd for C44H46NaO6SSi [M+Na]+ 753.2676, found 753.2662 (–1.86 ppm).
(+)-(2R,3S,4S)-2-(bis(benzylthio)methyl)-5-((tert-butyldiphenylsilyl)oxy)-4-hydroxy-2-methylpentane-1,3-diyl dibenzoate (43). To a stirred solution of lactols 42a,b (273 mg, 1.00 equiv, 0.437 mmol) in CH2Cl2 (4.4 mL, 0.10 M) at −40 °C, benzyl mercaptan (0.25 mL, 4.8 equiv, 2.1 mmol) and TiCl4 (1.2 mL, 2.6 equiv, 1.2 mmol, 1M DCM) were added. The reaction mixture was stirred at −20 °C for 4 h. The reaction was quenched by the addition of triethylamine (0.3 mL, 4.8 equiv, 2.1 mmol) at −60 °C followed by stirring for 15 min. After the addition of a saturated solution of NaHCO3, the mixture was warmed to room temperature. The aqueous layer was extracted (3×) with CH2Cl2 and the combined organic layers were washed with brine, dried over MgSO4, filtered, and concentrated under reduced pressure. Purification by flash chromatography (Hexanes/EtOAc) provided 43 (299 mg, 80% yield), which corresponds to the same product obtained from C4-OBn deprotection of dithioacetal 40, as reported above.
(2R,3S,4S)-2-(bis(benzylthio)methyl)-5-((tert-butyldiphenylsilyl)oxy)-2-methyl-4-((methylsulfonyl)oxy)pentane-1,3-diyl dibenzoate (45). To a stirred solution of dithioacetal 43 (434 mg, 1.00 equiv, 0.507 mmol) in pyridine (8.7 mL, 0.06 M) at 0 °C, methanesulfonyl chloride (80 μL, 2.0 equiv, 1.0 mmol) was added. The reaction mixture was stirred at room temperature for 3 h. The reaction was concentrated and then diluted with CH2Cl2. The aqueous layer was extracted (3×) with CH2Cl2 and the combined organic layers were washed with HCl (0.1N), a saturated solution of NaHCO3, and with brine, dried over MgSO4, filtered, and concentrated under reduced pressure. C4-mesylated dithioacetal 45 was used without further purification. 1H NMR (500 MHz, CDCl3) δ 8.01 (dd, J = 8.3, 1.3 Hz, 2H), 7.94 (dd, J = 8.3, 1.2 Hz, 2H), 7.64–7.51 (m, 7H), 7.45 (t, J = 7.8 Hz, 2H), 7.40–7.28 (m, 7H), 7.20 (dd, J = 10.6, 4.9 Hz, 4H), 7.17–7.13 (m, 3H), 7.12 (d, J = 4.4 Hz, 3H), 6.01 (d, J = 3.2 Hz, 1H), 5.30–5.26 (m, 1H), 4.68 (d, J = 12.0 Hz, 1H), 4.39 (d, J = 11.9 Hz, 1H), 4.00 (dd, J = 11.2, 7.0 Hz, 1H), 3.89 (s, 1H), 3.79 (d, J = 12.8 Hz, 1H), 3.73 (dd, J = 11.3, 5.4 Hz, 1H), 3.71 (d, J = 12.8 Hz, 1H), 3.62 (s, 2H), 2.96 (s, 3H), 1.39 (s, 3H), 1.00 (s, 9H) ppm.
Preparation of silylated thymine. To a suspension of thymine (0.80 g, 1.0 equiv., 6.4 mmol) in HMDS (4.0 mL, 3.0 equiv., 19 mmol) under inert atmosphere, (NH4)2SO4 (18 mg, 0.022 equiv., 0.14 mmol) was added. The reaction mixture was refluxed until a clear solution was obtained (3 h). Upon cooling to room temperature, the solution was placed under high vacuum for approximately 1 h to remove excess HMDS. A 0.78 M solution of the silylated nucleobase was made in CH2Cl2.
(+)-(2R,3S,4S)-2-((R)-(benzylthio)(5-methyl-2,4-dioxo-3,4-dihydropyrimidin-1(2H)-yl)methyl)-5-((tert-butyldiphenylsilyl)oxy)-2-methyl-4-((methylsulfonyl)oxy)pentane-1,3-diyl dibenzoate (46a) and (–)-(2R,3S,4R)-2-((S)-(benzylthio)(5-methyl-2,4-dioxo-3,4-dihydropyrimidin-1(2H)-yl) methyl)-5-((tert-butyldiphenylsilyl)oxy)-2-methyl-4-((methylsulfonyl)oxy)pentane-1,3-diyl dibenzoate (46b). To a stirred solution of crude C4-Ms dithioacetal 45 (200 mg, 1.00 equiv, 0.214 mmol) in anhydrous CH2Cl2 (1.1 mL, 0.20 M), silylated thymine (0.82 mL, 3.0 equiv, 0.64 mmol, 0.78 M in CH2Cl2) was added. The resulting solution was cooled to 0 °C and iodide (114 mg, 2.10 equiv, 0.450 mmol) was added, followed by stirring at room temperature for 3 h. After cooling to 0 °C, the reaction was quenched by theaddition of a saturated solution of Na2S2O3 and dissolved in EtOAc. The aqueous layer was extracted (3×) with EtOAc and the combined organic layers were washed with brine, dried over MgSO4, filtered, and concentrated under reduced pressure. 1H NMR analysis of the crude mixture indicated a 1.1:1 ratio of thioaminals. Purification by flash chromatography (Hexanes/EtOAc) provided thioaminals 46a,b (154 mg, 77% yield over 2 steps). A pure fraction of each isomer was obtained for characterization. 46a (1′,2′-anti): Rf = 0.17 (Hexanes/EtOAc, 60:40); [α]D25 +53 (c 0.9, CH2Cl2); formula: C50H54N2O10S2Si; MW: 935.1910 g/mol; IR (neat) νmax 3182, 3032, 2931, 2857, 1724, 1683, 1264, 1105 cm−1; 1H NMR (500 MHz, CDCl3) δ 8.09 (dd, J = 8.3, 1.2 Hz, 2H), 7.69 (ddd, J = 7.8, 6.4, 1.4 Hz, 4H), 7.62 (ddd, J = 16.1, 5.5, 4.3 Hz, 2H), 7.54 (dd, J = 8.0, 1.3 Hz, 2H), 7.47 (ddd, J = 14.3, 7.5, 2.2 Hz, 4H), 7.41 (dt, J = 13.7, 6.7 Hz, 3H), 7.30 (dd, J = 9.5, 6.2 Hz, 3H), 7.21–7.14 (m, 7H), 6.22 (s, 1H), 6.14 (d, J = 1.9 Hz, 1H), 5.45–5.40 (m, 1H), 4.69 (s, 2H), 4.05 (dd, J = 10.5, 5.3 Hz, 1H), 3.82–3.76 (m, 2H), 3.71 (dd, J = 10.5, 8.3 Hz, 1H), 3.30 (s, 3H), 1.69 (s, 3H), 1.26 (s, 3H), 1.08 (s, 9H) ppm; 13C NMR (126 MHz, CDCl3) δ 165.9, 165.3, 162.4, 151.2, 137.8, 136.5, 135.7 (2C), 135.6 (2C), 133.9, 133.5, 132.6, 132.5, 130.3 (2C), 130.1, 129.9, 129.25, 129.24 (2C), 129.0, 128.9 (2C), 128.8 (2C), 128.64 (2C), 128.58(2C), 128.0 (2C), 127.8 (2C), 127.6, 110.2, 77.5, 73.3, 66.6, 66.0, 62.3, 48.5, 39.4, 37.1, 26.8 (3C), 19.3, 16.2, 12.7 ppm; HRMS (ESI) m/z: calcd for C50H55N2O10S2Si [M+H]+ 935.3062, found 935.3049 (–1.39 ppm). 46b (1′,2′-syn): Rf = 0.77 (Hexanes/EtOAc, 30:70); [α]D25 −8 (c 0.3, CH2Cl2); formula: C50H54N2O10S2Si; MW: 934.1910 g/mol; IR (neat) νmax 2955, 2922, 2852, 1726, 1686, 1261, 1107 cm−1; 1H NMR (500 MHz, CDCl3) δ 8.05 (d, J = 7.1 Hz, 2H), 7.96 (d, J = 7.1 Hz, 2H), 7.68 (s, 1H), 7.62 (t, J = 7.4 Hz, 1H), 7.55 (d, J = 6.6 Hz, 2H), 7.50 (q, J = 7.1 Hz, 4H), 7.39–7.34 (m, 4H), 7.32–7.28 (m, 3H), 7.27 (d, J = 3.4 Hz, 1H), 7.18 (t, J = 7.5 Hz, 2H), 6.99 (dt, J = 15.1, 7.4 Hz, 4H), 6.91 (t, J = 7.2 Hz, 1H), 6.13 (s, 1H), 5.80 (d, J = 2.9 Hz, 1H), 5.21 (ddd, J = 7.8, 5.0, 3.1 Hz, 1H), 4.56 (d, J = 12.8 Hz, 1H), 4.10 (d, J = 12.9 Hz, 1H), 4.01 (dd, J = 11.4, 7.6 Hz, 1H), 3.75 (dd, J = 11.4, 5.0 Hz, 1H), 3.53 (d, J = 14.2 Hz, 1H), 3.49 (d, J = 14.2 Hz, 1H), 2.95 (s, 3H), 1.50 (s, 3H), 1.33 (s, 3H), 0.96 (s, 9H) ppm; 13C NMR (126 MHz, CDCl3) δ 165.6, 165.2, 162.6, 151.4, 138.0, 136.5, 135.54 (2C), 135.50 (2C), 133.8, 133.5, 132.5, 132.4, 130.12 (2C), 130.09, 130.05 (3C), 129.2, 129.1, 128.8 (2C), 128.7 (2C), 128.6 (2C), 128.4 (2C), 128.0 (2C), 127.9 (2C), 127.3, 111.0, 79.7, 70.9, 65.5, 65.2, 64.2, 47.8, 39.5, 37.1, 26.9 (3C), 19.3, 15.1, 12.4 ppm; HRMS (ESI) m/z: calcd for C50H54N2NaO10S2Si [M+Na]+ 957.2881, found 957.2884 (+0.31 ppm).
(–)-(2R,3S,4R)-2-((S)-(benzylthio)(5-methyl-2,4-dioxo-3,4-dihydropyrimidin-1(2H)-yl)methyl)-5-((tert-butyldiphenylsilyl)oxy)-4-hydroxy-2-methylpentane-1,3-diyl dibenzoate (48). To a 1.1:1 mixture of thioaminals 46a,b (266 mg, 1.00 equiv, 0.284 mmol) in a high-pressure flask, anhydrous 2,6-lutidine (2.9 mL, 0.10 M), and sodium iodide (426 mg, 10.0 equiv, 2.84 mmol) were added. The reaction mixture was stirred at 160 °C for 16 h in a sand bath. After cooling to room temperature, the volatiles were removed under reduced pressure. 1H NMR analysis of the crude mixture indicated a 7:1 ratio of β:α thiofuranosides 47a,b, along with unreacted 1′,2′-syn thioaminal 46b and side-product 48. Purification by flash chromatography (Hexanes/EtOAc) provided thiofuranoside 47a (106 mg, 49% yield), 47b (8 mg, 5%), 1′,2′-syn thioaminal 46b (94 mg, 35%) and side-product 48 (14 mg, 6%). Thiofuranosides 47a,b corresponded to those characterized below for thymine addition onto the cyclic thiofuranoside 62. 48: Rf = 0.84 (Hexanes/EtOAc, 30:70); [α]D25 −27 (c 3.3, CH2Cl2); formula: C49H52N2O8SSi; MW: 857.1060 g/mol; IR (neat) νmax 3069, 2930, 2857, 1679, 1260, 1105 cm−1; 1H NMR (500 MHz, CDCl3) 8.17 (s, 1H), 8.11 (dd, J = 8.4, 1.3 Hz, 2H), 7.93 (dd, J = 8.4, 1.3 Hz, 2H), 7.62–7.57 (m, 5H), 7.50 (dd, J = 8.1, 1.4 Hz, 2H), 7.47–7.43 (m, 2H), 7.43–7.35 (m, 5H), 7.30 (t, J = 7.1 Hz, 2H), 7.15–7.11 (m, 4H), 7.09 (d, J = 8.2 Hz, 2H), 6.34 (s, 1H), 5.63 (d, J = 8.5 Hz, 1H), 4.71 (d, J = 12.0 Hz, 1H), 4.50 (d, J = 12.1 Hz, 1H), 4.11–4.00 (m, 1H), 3.88 (d, J = 8.3 Hz, 1H), 3.70–3.66 (m, 1H), 3.66–3.60 (m, 2H), 3.50 (d, J = 14.0 Hz, 1H), 1.71 (s, 3H), 1.20 (s, 3H), 1.00 (s, 9H) ppm; 13C NMR (126 MHz, CDCl3) δ 166.2, 165.4, 162.8, 151.9, 138.4, 136.8, 135.7 (2C), 135.6 (2C), 133.5, 133.4, 132.9, 132.7, 130.0 (2C), 129.93 (2C), 129.85, 129.83, 129.7, 129.5, 128.68 (2C), 128.66 (2C), 128.6 (2C), 128.5 (2C), 127.8 (2C), 127.7 (2C), 127.4, 110.9, 72.5, 71.8, 66.8, 66.0, 65.1, 47.9, 37.6, 26.9 (3C), 19.2, 16.0, 12.7 ppm; HRMS (ESI) m/z: calcd for C49H52N2NaO8SSi [M+Na]+ 879.3106, found 879.3111 (+0.57 ppm).
(–)-(2R,3S,4R)-2-((S)-(benzylthio)(5-methyl-2,4-dioxo-3,4-dihydropyrimidin-1(2H)-yl)methyl)-5-((tert-butyldiphenylsilyl)oxy)-2-methyl-4-((methylsulfonyl)oxy)pentane-1,3-diyl dibenzoate (49). To a stirred solution of alcohol 48 (20 mg, 1.0 equiv, 0.023 mmol) in pyridine (0.4 mL, 0.06 M) at 0 °C, MsCl (4 μL, 2 equiv, 0.05 mmol) was added dropwise. The reaction mixture was stirred at room temperature for 3 h. After completion of the reaction, the mixture was concentrated under reduced pressure, diluted in CH2Cl2, washed with a solution of HCl (0.1N), a saturated solution of NaHCO3, and with brine, dried over MgSO4, filtered, and concentrated under reduced pressure. Purification by flash chromatography (Hexanes/EtOAc) provided the pure product 49 (13 mg, 60% yield). Rf = 0.55 (Hexanes/EtOAc, 30:70); [α]D25 −18 (c 1.0, CH2Cl2); formula: C50H54N2O10S2Si; MW: 935.1910 g/mol; IR (neat) νmax 3177, 3070, 2932, 2857, 1726, 1688, 1261, 1105 cm−1; 1H NMR (500 MHz, CDCl3) δ 8.03 (dd, J = 7.3, 1.1 Hz, 2H), 7.94 (dd, J = 7.3, 1.2 Hz, 2H), 7.76 (s, 1H), 7.59 (dd, J = 8.0, 1.2 Hz, 4H), 7.53 (dd, J = 6.8, 1.2 Hz, 2H), 7.48–7.42 (m, 4H), 7.39 (dd, J = 14.1, 6.9 Hz, 1H), 7.33 (dd, J = 14.8, 7.3 Hz, 3H), 7.28 (d, J = 7.4 Hz, 1H), 7.25 (d, J = 8.2 Hz, 2H), 6.98 (d, J = 4.6 Hz, 4H), 6.94–6.89 (m, 1H), 6.10 (s, 1H), 5.94 (d, J = 2.6 Hz, 1H), 5.20 (dt, J = 7.6, 2.8 Hz, 1H), 4.40 (d, J = 12.6 Hz, 1H), 4.16 (d, J = 12.6 Hz, 1H), 3.95 (dd, J = 12.0, 3.2 Hz, 1H), 3.83 (dd, J = 12.0, 7.6 Hz, 1H), 3.50 (d, J = 14.2 Hz, 1H), 3.41 (d, J = 14.2 Hz, 1H), 2.98 (s, 3H), 1.45 (s, 3H), 1.13 (s, 3H), 0.99 (s, 9H) ppm; 13C NMR (126 MHz, CDCl3) δ 165.7, 164.9, 162.5, 151.4, 137.8, 136.5, 135.7 (2C), 135.6 (2C), 133.8, 133.6, 132.4, 132.3, 130.3, 130.2 (2C), 130.1, 129.9 (2C), 129.1, 129.0, 128.9 (2C), 128.7 (2C), 128.51 (2C), 128.45 (2C), 128.1 (2C), 128.0 (2C), 127.4, 111.2, 83.0, 74.5, 65.9, 65.2, 63.4, 47.4, 39.2, 37.1, 26.9 (3C), 19.2, 15.6, 12.3 ppm; HRMS (ESI) m/z: calcd for C50H55N2O10S2Si [M+H]+ 935.3062, found 935.3069 (+0.75 ppm).
(–)-((2S,3R,4S,5S)-4-(benzoyloxy)-5-(((tert-butyldiphenylsilyl)oxy)methyl)-3-methyl-2-(5-methyl-2,4-dioxo-3,4-dihydropyrimidin-1(2H)-yl)tetrahydrothiophen-3-yl)methyl benzoate (50). To a stirred solution of C4′-OMs thioaminal 49 (13 mg, 1.0 equiv, 0.014 mmol) in a high-pressure flask, 2,6-lutidine (0.13 mL, 0.11 M) and NaI (22 mg, 10 equiv, 0.14 mmol) were added. The reaction mixture was stirred at 160 °C for 16 h in a sand bath. After completion of the reaction, the mixture was concentrated under reduced pressure. Purification by flash chromatography (Hexanes/EtOAc) provided the β-L-thiofuranoside 50 (8 mg, 77% yield). Rf = 0.64 (Hexanes/EtOAc, 30:70); [α]D25 −65 (c 0.6, CH2Cl2); formula: C42H44N2O7SSi; MW: 748.9660 g/mol; IR (neat) νmax 3194, 3070, 2931, 2857, 1725, 1691, 1274, 1263, 1107 cm−1; 1H NMR (500 MHz, CDCl3) δ 8.02 (s, 1H), 7.98 (d, J = 1.3 Hz, 1H), 7.93 (dd, J = 8.1, 1.5 Hz, 2H), 7.77 (dd, J = 8.2, 1.5 Hz, 2H), 7.64 (dd, J = 8.1, 1.5 Hz, 2H), 7.60 (t, J = 7.5 Hz, 1H), 7.53 (dd, J = 7.8, 1.1 Hz, 2H), 7.45–7.33 (m, 9H), 7.27 (t, J = 7.4 Hz, 2H), 6.30 (s, 1H), 5.84 (d, J = 4.3 Hz, 1H), 4.28–4.23 (m, 2H), 4.22–4.12 (m, 2H), 3.81 (dd, J = 9.6, 7.4 Hz, 1H), 1.85 (s, 3H), 1.54 (s, 3H), 1.00 (s, 9H) ppm; 13C NMR (126 MHz, CDCl3) δ 166.0, 165.4, 162.9, 151.1, 138.3, 135.8 (2C), 135.6 (2C), 133.9, 133.3, 132.8, 132.7, 130.1, 130.0, 129.8 (2C), 129.6 (2C), 129.4, 129.0, 128.9 (2C), 128.5 (2C), 127.92 (2C), 127.90 (2C), 110.5, 80.0, 68.3, 64.0, 63.1, 55.8, 53.9, 26.8 (3C), 23.3, 19.3, 13.0 ppm; HRMS (ESI) m/z: calcd for C42H45N2O7SSi [M+H]+ 749.2711, found 749.2694 (–2.27 ppm).
((3R,4S,5R)-4-(benzoyloxy)-5-(hydroxymethyl)-3-methyl-2-(5-methyl-2,4-dioxo-3,4-dihydropyrimidin-1(2H)-yl)tetrahydrothiophen-3-yl)methyl benzoate (61a,b). To a stirred solution of C5′-protected thiofuranosides 47a,b (241 mg, 1.00 equiv, 0.322 mmol) in anhydrous THF (1.3 mL, 0.25 M) at 0 °C, 3HF·NEt3 (0.13 mL, 2.5 equiv, 0.80 mmol) was added. The reaction mixture was stirred at room temperature for 18 h. After dilution with EtOAc, a saturated solution of NaHCO3 was added and the mixture was concentrated under reduced pressure. Purification by flash chromatography (Hexanes/EtOAc) provided 61a,b (110 mg, 67% yield) as a 5:1 mixture in favor of the β-D-anomer. Rf = 0.49 and 0.53 (CH2Cl2/MeOH, 90:10); formula: C26H26N2O7S; MW: 510.5610 g/mol; 1H NMR (500 MHz, CDCl3) δ 9.62 (s, 1H, α-anomer), 9.51 (s, 1H, β-anomer), 8.60 (s, 1H, β-anomer), 8.24 (d, J = 8.3 Hz, 2H, β-anomer), 8.04 (d, J = 8.4 Hz, 2H, β-anomer), 7.90 (dd, J = 13.9, 8.3 Hz, 4H, α-anomer), 7.74 (s, 1H, α-anomer), 7.64–7.58 (m, 5H, α-anomer), 7.58–7.52 (m, 2H, β-anomer and α-anomer), 7.46 (t, J = 7.2 Hz, 4H, β-anomer), 7.39 (dt, J = 22.1, 7.4 Hz, 1H, β-anomer), 6.54 (s, 1H, β-anomer), 6.36 (s, 1H, α-anomer), 5.66 (d, J = 9.5 Hz, 1H, β-anomer), 5.52 (d, J = 3.9 Hz, 1H, α-anomer), 4.70 (d, J = 11.2 Hz, 1H, β-anomer), 4.64 (d, J = 11.2 Hz, 1H, β-anomer), 4.53 (d, J = 11.4 Hz, 1H, α-anomer), 4.40 (d, J = 11.5 Hz, 1H, α-anomer), 4.04 (appt, J = 3.3 Hz, 2H, α-anomer), 3.99 (s, 1H, α-anomer), 3.97–3.89 (m, 2H, β-anomer), 3.85 (appt, J = 6.7 Hz, 1H, α-anomer), 3.67 (appd, J = 9.5 Hz, 1H, β-anomer), 3.45 (s, 1H, β-anomer), 2.00 (s, 3H, β-anomer), 1.74 (s, 3H, α-anomer), 1.55 (s, 3H, α-anomer), 1.15 (s, 3H, β-anomer) ppm; 13C NMR (126 MHz, CDCl3) δ 166.71, 166.67, 165.9, 165.8, 164.0, 163.6, 151.5, 151.4, 138.0 (β-anomer), 137.8 (α-anomer), 134.3, 134.1, 133.5, 133.3, 130.0 (4C), 129.7 (2C), 129.6, 129.5, 129.2 (2C), 128.9 (2C), 128.7 (2C), 128.60 (2C), 128.57 (2C), 128.47, 128.36, 111.4 (β-anomer), 111.0 (α-anomer), 81.8 (α-anomer), 77.1 (β-anomer), 68.0 (α-anomer), 66.2 (β-anomer), 64.2 (2C, α-anomer), 62.7 (β-anomer), 59.9 (β-anomer), 56.5 (α-anomer), 54.3 (α-anomer), 53.7 (β-anomer), 50.8 (β-anomer), 23.1 (α-anomer), 17.3 (β-anomer), 12.9 (β-anomer), 12.8 (α-anomer) ppm; HRMS (ESI) m/z: calcd for C26H26N2NaO7S [M+Na]+ 533.1353, found 533.1356 (+0.56 ppm).
(+)-1-((2R,3R,4S,5R)-4-hydroxy-3,5-bis(hydroxymethyl)-3-methyltetrahydrothiophen-2-yl)-5-methylpyrimidine-2,4(1H,3H)-dione (23a) and (+)-1-((2S,3R,4S,5R)-4-hydroxy-3,5-bis(hydroxymethyl)-3-methyltetrahydrothiophen-2-yl)-5-methylpyrimidine-2,4(1H,3H)-dione (23b). To a stirred solution of 2′,3′-protected thiofuranosides 61a,b (24 mg, 1.0 equiv, 0.047 mmol) in MeOH (0.24 mL, 0.20 M), a solution of NaOMe (11 μL, 1.0 equiv, 0.047 mmol, 4.4 M in MeOH) was added. The reaction mixture was stirred at room temperature for 3 h. After the addition of formic acid until a neutral pH was reached, the mixture was concentrated under reduced pressure. Purification by C18 reverse-phase flash chromatography (H2O/MeOH) provided thiofuranosides 23a (6 mg, 42% yield) and 23b (3 mg, 21% yield). 23a: Rf= 0.13 (DCM/MeOH, 90:10); [α]25D +23 (c 0.25, MeOH); formula: C12H18N2O5S; MW: 302.3450 g/mol; IR (neat) νmax 3376, 2925, 1683, 1470 cm−1; 1H NMR (500 MHz, CD3OD): δ 8.44 (s, 1H), 6.17 (s, 1H), 4.04 (d, J = 9.6 Hz, 1H), 3.95 (dd, J = 11.9, 3.6 Hz, 1H), 3.90 (dd, J = 11.8, 2.6 Hz, 1H), 3.77 (d, J = 11.3 Hz, 1H), 3.70 (d, J = 11.3 Hz, 1H), 3.34 (ddd, J = 9.5, 3.6, 2.6 Hz, 1H), 1.90 (d, J = 1.2 Hz, 3H), 0.98 (s, 3H) ppm, labile protons were not observed due to exchange; 13C NMR (126 MHz, CD3OD) δ 166.3, 153.0, 140.8, 110.9, 78.7, 65.0, 64.1, 61.0, 55.5, 54.6, 17.3, 12.5 ppm; HRMS (ESI) m/z: calcd for C12H18N2NaO5S [M+Na]+ 325.0829, found 325.0840 (+3.4 ppm). 23b: Rf= 0.13 (DCM/MeOH, 90:10); [α]25D +18 (c 0.18, MeOH); formula: C12H18N2O5S; MW: 302.3450 g/mol; IR (neat) νmax 3368, 2926, 1682, 1468 cm−1; 1H NMR (500 MHz, CD3OD): δ 8.16 (d, J = 1.2 Hz, 1H), 6.01 (s, 1H), 3.96 (d, J = 5.1 Hz, 1H), 3.91 (dd, J = 10.9, 5.7 Hz, 1H), 3.87–3.82 (m, 1H), 3.62 (dd, J = 10.9, 7.5 Hz, 1H), 3.59 (d, J = 2.8 Hz, 2H), 1.89 (d, J = 1.2 Hz, 3H), 1.23 (s, 3H) ppm, labile protons were not observed due to exchange; 13C NMR (126 MHz, CD3OD) δ 166.3, 153.5, 141.9, 110.1, 82.2, 68.8, 65.8, 63.4, 59.1, 55.4, 22.9, 12.6. ppm; HRMS (ESI) m/z: calcd for C12H18N2NaO5S [M+Na]+ 325.0829, found 325.0841 (+3.7 ppm).
(–)-((2R,3R,4S,5R)-4-(benzoyloxy)-2-(benzylthio)-5-(((tert-butyldiphenylsilyl)oxy)methyl)-3-methyltetrahydrothiophen-3-yl)methyl benzoate (62). To a solution of crude C4-OMs dithioacetal 45 (432 mg, 1.00 equiv, 0.463 mmol) in pyridine (4.3 mL, 0.10 M), tetrabutylammonium iodide (188 mg, 1.10 equiv, 0.509 mmol) and barium carbonate (112 mg, 1.23 equiv, 0.569 mmol) were added [28]. The reaction mixture was stirred at 80 °C for 3 h. After cooling to room temperature, the volatiles were removed under reduced pressure. Purification by flash chromatography (Hexanes/EtOAc) provided the pure product 62 (271 mg, 78% yield over two steps). Rf = 0.61 (Hexanes/EtOAc, 80:20); [α]D25 −56 (c 1.9, CH2Cl2); formula: C44H46O5S2Si; MW: 747.0520 g/mol; IR (neat) νmax 3069, 2931, 2857, 1723, 1265, 1108 cm−1; 1H NMR (500 MHz, CDCl3) δ 7.92 (dd, J = 8.4, 1.3 Hz, 2H), 7.83 (dd, J = 8.4, 1.3 Hz, 2H), 7.66 (ddd, J = 8.1, 2.6, 1.5 Hz, 4H), 7.59–7.53 (m, 2H), 7.43–7.29 (m, 15H), 5.70 (d, J = 6.1 Hz, 1H), 4.55 (d, J = 11.0 Hz, 1H), 4.41 (s, 1H), 4.31 (d, J = 11.0 Hz, 1H), 4.03 (dd, J = 10.4, 5.7 Hz, 1H), 3.90 (d, J = 6.0 Hz, 2H), 3.87–3.81 (m, 1H), 3.65 (dt, J = 7.8, 5.9 Hz, 1H), 1.29 (s, 3H), 1.02 (s, 9H) ppm; 13C NMR (126 MHz, CDCl3) δ 166.3, 165.1, 137.3, 135.84 (2C), 135.75 (2C), 133.4, 133.3, 133.2, 129.9 (2C), 129.83, 129.82, 129.7 (2C), 129.5, 129.3 (2C), 128.7 (2C), 128.6 (2C), 128.5 (2C), 127.82 (2C), 127.78 (2C), 127.4, 81.1, 67.3, 66.4, 55.1, 52.9, 52.8, 37.3, 26.9 (3C), 19.3, 18.7 ppm, due to overlapping carbon signals in the aromatic region 2 peaks are hidden; HRMS (ESI) m/z: calcd for C44H46NaO5S2Si [M+Na]+ 769.2448, found 769.2453 (+0.65 ppm).
((3R,4S,5R)-4-(benzoyloxy)-5-(((tert-butyldiphenylsilyl)oxy)methyl)-3-methyl-2-(5-methyl-2,4-dioxo-3,4-dihydropyrimidin-1(2H)-yl)tetrahydrothiophen-3-yl)methyl benzoate (47a,b). To a stirred solution of thiofuranoside 62 (32 mg, 1.0 equiv, 0.043 mmol) in anhydrous DCE (0.43 mL, 0.10 M) at room temperature, silylated thymine (0.78 M in MeCN, 0.16 mL, 3.0 equiv, 0.13 mmol) was added. The resulting solution was cooled to 0 °C and dimethyl(methylthio)sulfonium tetrafluoroborate (34 mg, 4.0 equiv, 0.17 mmol) was added. The reaction mixture was stirred at room temperature for 3 h. After cooling to 0 °C, the reaction was quenched by the addition of H2O and dissolved in EtOAc. The aqueous layer was extracted (3×) with EtOAc and the combined organic layers were washed with brine, dried over MgSO4, filtered, and concentrated under reduced pressure. 1H NMR analysis of the crude mixture indicated a 1.2:1 ratio of nucleosides. Purification by flash chromatography (Hexanes/EtOAc) provided a mixture of products 47a,b (22 mg, 69% yield) in a 1.3:1 (β:α) ratio. Rf = 0.79 (Hexanes/EtOAc, 30:70); formula: C42H44N2O7SSi; MW: 748.9660 g/mol; IR (neat) νmax 3190, 3069, 2930, 2857, 1720, 1686, 1263, 1104 cm−1; 1H NMR (500 MHz, CDCl3) δ 8.35 (s, 1H), 8.33 (s, 1H), 8.23 (dd, J = 8.3, 1.1 Hz, 2H), 7.98 (dd, J = 8.3, 1.2 Hz, 2H), 7.89 (ddd, J = 14.0, 8.3, 1.2 Hz, 3H), 7.77 (s, 1H, β-anomer), 7.74 (d, J = 1.2 Hz, 1H, α-anomer), 7.71–7.64 (m, 8H), 7.64–7.51 (m, 5H), 7.50–7.35 (m, 15H), 7.35–7.28 (m, 5H), 6.56 (s, 1H, β-anomer), 6.27 (s, 1H, α-anomer), 5.65 (d, J = 9.8 Hz, 1H, β-anomer), 5.42 (d, J = 3.8 Hz, 1H, α-anomer), 4.61 (d, J = 11.3 Hz, 1H, β-anomer), 4.54 (d, J = 11.3 Hz, 1H, β-anomer), 4.47 (d, J = 11.4 Hz, 1H, α-anomer), 4.32 (d, J = 11.4 Hz, 1H, α-anomer), 4.19 (dd, J = 10.2, 5.2 Hz, 1H, α-anomer), 4.07–4.01 (m, 2H, β-anomer and α-anomer), 3.90 (dd, J = 10.9, 6.4 Hz, 1H, β-anomer), 3.84 (ddd, J = 11.3, 7.4, 4.4 Hz, 2H, β-anomer and α-anomer), 1.80 (d, J = 1.1 Hz, 3H, α-anomer), 1.76 (d, J = 0.9 Hz, 3H, β-anomer), 1.41 (s, 3H, α-anomer), 1.09 (s, 3H, β-anomer), 1.07 (s, 9H, α-anomer), 1.05 (s, 9H, β-anomer) ppm; 13C NMR (126 MHz, CDCl3) δ 166.7, 165.9, 165.4, 165.1, 163.3, 163.2, 151.10, 151.09, 138.1, 137.0, 135.9 (2C), 135.7 (4C), 135.6 (2C), 133.99, 133.96, 133.54, 133.50, 133.1, 133.0, 132.8, 132.7, 130.12, 130.10, 130.07 (2C), 130.06, 130.04, 130.02 (2C), 129.7 (2C), 129.62 (2C), 129.61, 129.4, 128.92, 128.87 (2C), 128.82 (2C), 128.76, 128.73 (2C), 128.6 (2C), 127.99 (2C), 127.96 (2C), 127.95 (2C), 127.92 (2C), 111.7, 110.8, 81.3 (α-anomer), 77.6 (β-anomer), 68.3 (α-anomer), 66.4 (α-anomer), 66.1 (β-anomer), 64.3 (α-anomer), 64.2 (β-anomer), 62.2 (β-anomer), 57.7 (β-anomer), 54.5, 53.2, 51.7 (α-anomer), 27.0 (β-anomer, 3C), 26.9 (α-anomer, 3C), 23.1 (α-anomer), 19.5 (β-anomer), 19.4 (α-anomer), 17.3 (β-anomer), 12.9 (α-anomer), 12.8 (β-anomer) ppm; HRMS (ESI) m/z: calcd for C42H45N2NaO7SSi [M+Na]+ 771.2531, found 771.2534 (+0.39 ppm).
(2R,3S,4R)-5-acetoxy-4-((benzoyloxy)methyl)-2-(((tert-butyldiphenylsilyl)oxy)methyl)-4-methyltetrahydrothiophen-3-yl benzoate (63a,b). To a stirred solution of thiofuranoside 62 (156 mg, 1.00 equiv, 0.209 mmol) in acetic acid (1.6 mL, 0.13 M), mercury acetate (133 mg, 2.00 equiv, 0.418 mmol) was added. After stirring at room temperature for 2 h, the mixture was concentrated under reduced pressure. Purification by flash chromatography (Hexanes/EtOAc) provided 63a,b (129 mg, 91% yield) as a 3:1 mixture in favor of the β-anomer. Rf = 0.43 and 0.40 (Hexanes/EtOAc, 80:20); formula: C39H42O7SSi; MW: 682.2421 g/mol; 1H NMR (500 MHz, CDCl3) δ 8.06–8.05 (m, 4H), 8.04 (d, J = 1.2 Hz, 4H), 8.02 (d, J = 1.1 Hz, 1H), 8.00 (d, J = 1.4 Hz, 1H), 7.97 (d, J = 1.2 Hz, 1H), 7.95 (d, J = 1.4 Hz, 1H), 7.69 (t, J = 1.3 Hz, 1H), 7.68 (dd, J = 3.3, 1.5 Hz, 2H), 7.67 (d, J = 1.6 Hz, 1H), 7.64–7.63 (m, 2H), 7.63–7.61 (m, 2H), 7.60–7.57 (m, 5H), 7.56 (dd, J = 3.0, 1.7 Hz, 1H), 7.47–7.42 (m, 5H), 7.41–7.38 (m, 1H), 7.38–7.34 (m, 4H), 7.33–7.27 (m, 4H), 6.13 (s, 1H, β-anomer), 6.06 (s, 1H, α-anomer), 5.84 (d, J = 9.0 Hz, 1H, β-anomer), 5.46 (d, J = 2.7 Hz, 1H, α-anomer), 4.64 (d, J = 11.3 Hz, 1H, β-anomer), 4.61 (d, J = 11.5 Hz, 1H, β-anomer), 4.58 (d, J = 11.0 Hz, 1H, α-anomer), 4.49 (d, J = 11.0 Hz, 1H, α-anomer), 4.09 (dd, J = 10.1, 5.8 Hz, 1H, α-anomer), 3.99 (ddd, J = 8.6, 5.7, 2.8 Hz, 1H, α-anomer), 3.90 (dd, J = 10.7, 4.7 Hz, 1H, β-anomer), 3.84–3.81 (m, 1H, α-anomer), 3.79 (dd, J = 10.7, 6.6 Hz, 1H, β-anomer), 3.66 (ddd, J = 9.1, 6.5, 4.7 Hz, 1H, β-anomer), 2.15 (s, 3H, α-anomer), 2.11 (s, 3H, β-anomer), 1.31 (s, 3H, α-anomer), 1.28 (s, 3H, β-anomer), 1.05 (s, 9H, α-anomer), 1.00 (s, 9H, β-anomer) ppm; 13C NMR (126 MHz, CDCl3) δ 170.2 (β-anomer), 170.1 (α-anomer), 166.5 (β-anomer), 166.3 (α-anomer), 165.5 (β-anomer), 165.3 (α-anomer), 135.9 (2C), 135.80 (2C), 135.77 (2C), 135.73 (2C), 133.7, 133.6, 133.4, 133.3, 133.2, 133.1, 133.04, 133.01, 130.0 (2C), 129.94, 129.92, 129.87 (2C), 129.84 (2C), 129.81, 129.79 (2C), 129.73 (2C), 129.69, 129.3 (2C), 128.7 (4C), 128.64, 128.62, 127.88 (2C), 127.85 (2C), 127.80 (2C), 127.75 (2C), 86.5 (α-anomer), 81.4 (α-anomer), 81.3 (β-anomer), 79.1 (β-anomer), 77.4 (α-anomer), 66.2 (β-anomer), 65.6 (β-anomer), 64.9 (α-anomer), 57.4 (α-anomer), 53.5 (α-anomer), 52.5 (β-anomer), 50.9 (β-anomer), 26.9 (3C, α-anomer), 26.8 (3C, β-anomer), 21.7 (α-anomer), 21.40 (β-anomer), 21.37 (α-anomer), 19.34 (α-anomer), 19.28 (β-anomer), 17.0 (β-anomer) ppm, due to overlapping carbon signals in the aromatic region 2 peaks are hidden; HRMS (ESI) m/z: calcd for C39H42NaO7SSi [M+Na]+ 705.2313, found 705.2290 (−3.26 ppm).
(–)-((2R,3S,4R,5R)-5-(6-amino-2-chloro-9H-purin-9-yl)-4-((benzoyloxy)methyl)-2-(((tert-butyldiphenylsilyl)oxy)methyl)-4-methyltetrahydrothiophen-3-yl benzoate (64a) and (–)-(2R,3S,4R,5S)-5-(6-amino-2-chloro-9H-purin-9-yl)-4-((benzoyloxy)methyl)-2-(((tert-butyldiphenylsilyl)oxy)methyl)-4-methyltetrahydrothiophen-3-yl benzoate (64b). To a suspension of 2-chloroadenine (23 mg, 2.0 equiv, 0.14 mmol) in anhydrous DCE (0.67 mL, 0.20 M), BSA (0.11 mL, 6.5 equiv, 0.44 mmol) was added. The reaction mixture was refluxed at 84 °C until a clear solution was obtained. After cooling to −10 °C, the mixture was added to a solution of thiofuranosides 63a,b (46 mg, 1.0 equiv, 0.067 mmol) in anhydrous DCE (0.67 mL, 0.10 M), followed by dropwise addition of TMSOTf (25 μL, 2.0 equiv, 0.14 mmol). The resulting solution was stirred at 84 °C for 2 h. The crude was dissolved in EtOAc, and a saturated solution of NaHCO3 was added. The aqueous layer was extracted (3×) with EtOAc and the combined organic layers were washed with brine, dried over MgSO4, filtered, and concentrated under reduced pressure. 1H NMR analysis of the crude mixture indicated a 1.0:1.1 ratio of β:α N9-thionucleosides. Purification by flash chromatography (Hexanes/EtOAc) provided thionucleosides 64a (13 mg, 24% yield) and 64b (23 mg, 43% yield). 64a: Rf = 0.86 (Hexanes/EtOAc, 30:70); [α]D25 −33 (c 0.8, CH2Cl2); formula: C42H42ClN5O5SSi; MW: 792.4230 g/mol; IR: (neat) νmax 3323, 3171, 2958, 2859, 1727, 1644, 1263, 1108 cm−1; 1H NMR (500 MHz, CDCl3) δ 8.58 (s, 1H), 8.37 (d, J = 7.4 Hz, 2H), 8.00 (d, J = 7.6 Hz, 2H), 7.69 (t, J = 6.9 Hz, 4H), 7.63 (dd, J = 14.0, 7.2 Hz, 2H), 7.57 (t, J = 7.5 Hz, 2H), 7.47 (t, J = 7.7 Hz, 2H), 7.44–7.35 (m, 4H), 7.29 (t, J = 7.4 Hz, 2H), 6.42 (s, 1H), 5.99 (s, 2H), 5.97 (d, J = 9.7 Hz, 1H), 4.68 (d, J = 11.1 Hz, 1H), 4.63 (d, J = 11.1 Hz, 1H), 3.99 (dd, J = 11.1, 3.1 Hz, 1H), 3.90 (dd, J = 11.1, 5.5 Hz, 1H), 3.84 (m, 1H), 1.11 (s, 9H), 0.88 (s, 3H) ppm; 13C NMR (126 MHz, CDCl3) δ 166.8, 165.2, 156.3, 154.6, 151.9, 141.0, 135.9 (2C), 135.7 (2C), 134.0, 133.7, 132.7, 132.4, 130.2 (2C), 130.12, 130.10, 130.0 (2C), 129.5, 129.0 (2C), 128.82 (2C), 128.80, 128.1 (2C), 128.0 (2C), 118.2, 77.1, 66.0, 63.5, 60.3, 53.7, 51.2, 27.0 (3C), 19.3, 17.5 ppm; HRMS (ESI) m/z: calcd for C42H43ClN5O5SSi [M+H]+ 792.2437, found 792.2434 (–0.38 ppm). 64b: Rf = 0.74 (Hexanes/EtOAc, 30:70); [α]D25 −4 (c 0.7, CH2Cl2); formula: C42H42ClN5O5SSi; MW: 792.4230 g/mol; IR (neat) νmax 3320, 3168, 3071, 2931, 2858, 1725, 1266, 1110 cm−1; 1H NMR (500 MHz, CDCl3) δ 8.38 (s, 1H), 7.91–7.87 (m, 2H), 7.84 (dd, J = 8.1, 1.0 Hz, 2H), 7.68 (ddd, J = 7.8, 3.7, 1.4 Hz, 4H), 7.60 (t, J = 7.4 Hz, 1H), 7.53 (t, J = 7.5 Hz, 1H), 7.48–7.33 (m, 10H), 6.19 (s, 1H), 5.82 (s, 2H), 5.53 (d, J = 4.4 Hz, 1H), 4.34 (d, J = 11.7 Hz, 1H), 4.21–4.13 (m, 3H), 3.91–3.86 (m, 1H), 1.48 (s, 3H), 1.06 (s, 9H) ppm; 13C NMR (126 MHz, CDCl3) δ 165.9, 165.2, 156.0, 154.6, 151.7, 141.2, 135.9 (2C), 135.8 (2C), 134.0, 133.5, 133.0, 132.8, 130.1 (2C), 129.9 (2C), 129.7 (2C), 129.2, 128.9 (2C), 128.8, 128.7 (2C), 128.0 (2C), 127.9 (2C), 117.9, 81.3, 65.9, 65.5, 64.0, 57.1, 54.4, 26.9 (3C), 22.5, 19.4 ppm; HRMS (ESI) m/z: calcd for C42H43ClN5O5SSi [M+H]+ 792.2437, found 792.2433 (−0.51 ppm).
((3R,4S,5R)-4-(benzoyloxy)-5-(((tert-butyldiphenylsilyl)oxy)methyl)-2-(2,6-dichloro-9H-purin-9-yl)-3-methyltetrahydrothiophen-3-yl)methyl benzoate (65a,b). To a stirred solution of thiofuranosides 63a,b (33 mg, 1.0 equiv, 0.048 mmol) in anhydrous MeCN (2.8 mL, 0.25 M), 2,6-dichloropurine (10 mg, 1.1 equiv, 0.053 mmol) was added. The resulting solution was cooled to −10 °C and DBU (22 μL, 3.0 equiv, 0.15 mmol) was added, followed by dropwise addition of TMSOTf (36 μL, 4.0 equiv, 0.19 mmol). The reaction mixture was stirred at room temperature for 16 h. The crude was dissolved in EtOAc, and a saturated solution of NaHCO3 was added. The aqueous layer was extracted (3×) with EtOAc and the combined organic layers were washed with brine, dried over MgSO4, filtered, and concentrated under reduced pressure. 1H NMR analysis of the crude mixture indicated a 1.3:1 ratio of β:α N9-thionucleosides. Purification by flash chromatography (Hexanes/EtOAc) provided a mixture of thionucleosides 65a,b (34 mg, 87% yield) in a 1.3:1 ratio in favor of the β-anomer. Rf = 0.31 (Hexanes/EtOAc, 80:20); formula: C42H40Cl2N4O5SSi; MW: 811.8500 g/mol; 1H NMR (500 MHz, CDCl3) δ 8.91 (s, 1H, β-anomer), 8.69 (s, 1H, α-anomer), 8.33 (d, J = 7.0 Hz, 2H, β-anomer), 8.01 (d, J = 7.1 Hz, 2H, β-anomer), 7.88 (d, J = 7.1 Hz, 2H, α-anomer), 7.81 (d, J = 7.2 Hz, 2H, α-anomer), 7.71–7.66 (m, 9H), 7.65–7.61 (m, 2H), 7.59–7.54 (m, 4H), 7.48 (td, J = 7.9, 3.3 Hz, 4H), 7.44–7.35 (m, 11H), 7.29 (t, J = 7.3 Hz, 2H), 6.48 (s, 1H, β-anomer), 6.23 (s, 1H, α-anomer), 5.98 (d, J = 9.6 Hz, 1H, β-anomer), 5.56 (d, J = 4.3 Hz, 1H, α-anomer), 4.71 (d, J = 11.2 Hz, 1H, β-anomer), 4.64 (d, J = 11.1 Hz, 1H, β-anomer), 4.30 (d, J = 11.7 Hz, 1H, α-anomer), 4.22–4.19 (m, 2H, α-anomer), 4.19 (d, J = 11.8 Hz, 1H, α-anomer), 4.00 (dd, J = 11.0, 3.1 Hz, 1H, β-anomer), 3.95–3.85 (m, 3H), 1.51 (s, 3H, α-anomer), 1.12 (s, 9H, β-anomer), 1.07 (s, 9H, α-anomer), 0.89 (s, 3H, β-anomer) ppm; 13C NMR (126 MHz, CDCl3) δ 166.6 (β-anomer), 165.7 (α-anomer), 165.2 (α-anomer), 165.1 (β-anomer), 153.6, 153.44, 153.42 (β-anomer), 153.3 (α-anomer), 152.5, 152.2, 146.2 (α-anomer), 145.9 (β-anomer), 135.9 (2C), 135.8 (2C), 135.7 (2C), 134.11, 134.08, 133.8, 133.7, 132.9, 132.7, 132.6, 132.3, 131.1 (β-anomer), 130.8 (α-anomer), 130.18, 130.14, 130.13, 130.11, 130.10 (2C), 130.0 (2C), 129.8 (2C), 129.6 (2C), 129.4, 129.04 (2C), 128.95 (2C), 128.90, 128.85 (2C), 128.76 (2C), 128.64, 128.60, 128.1 (2C), 127.99 (2C), 127.98 (2C), 127.96 (2C), 81.4 (α-anomer), 76.9 (β-anomer), 66.4 (α-anomer), 65.9 (β-anomer), 65.8 (α-anomer), 63.8 (α-anomer), 63.4 (β-anomer), 61.1 (β-anomer), 57.6 (α-anomer), 54.7 (α-anomer), 53.7 (β-anomer), 51.5 (β-anomer), 27.0 (3C, β-anomer), 26.9 (3C, α-anomer), 22.6 (α-anomer), 19.34 (α-anomer), 19.29 (β-anomer), 17.5 (β-anomer) ppm; HRMS (ESI) m/z: calcd for C42H41Cl2N4O5SSi [M+H]+ 811.1939, found 811.1938 (−0.12 ppm).
(+)-((2R,3S,4R,5R)-5-(6-Amino-2-chloro-9H-purin-9-yl)-3-hydroxy-4-methyltetrahydrothiophene-2,4-diyl)dimethanol (24a) and (+)-((2R,3S,4R,5S)-5-(6-Amino-2-chloro-9H-purin-9-yl)-3-hydroxy-4-methyltetrahydrothiophene-2,4-diyl)dimethanol (24b). To a mixture of thionucleosides 65a,b (226 mg, 1.00 equiv, 0.278 mmol) in anhydrous THF (1.1 mL, 0.25 M) at 0 °C, 3HF.NEt3 (0.11 mL, 2.5 equiv, 0.69 mmol) was added. The reaction mixture was stirred at room temperature for 16 h. After dilution with EtOAc, a saturated solution of NaHCO3 was added and the mixture was concentrated under reduced pressure. The reaction mixture was passed through a pad of silica allowing for a 1H NMR of each C5′-OH product to be obtained. Major isomer: Rf = 0.61 (CH2Cl2/MeOH, 90:10); formula: C26H22Cl2N4O5S; MW: 573.4450 g/mol; 1H NMR (500 MHz, CDCl3) δ 9.79 (s, 1H), 8.37 (d, J = 8.1 Hz, 2H), 7.76 (d, J = 8.2 Hz, 2H), 7.65 (t, J = 6.8 Hz, 1H), 7.62–7.55 (m, 3H), 7.43 (t, J = 7.2 Hz, 2H), 6.47 (s, 1H), 5.95 (d, J = 9.5 Hz, 1H), 5.08 (apps, 1H), 4.77 (d, J = 11.1 Hz, 1H), 4.69 (d, J = 11.1 Hz, 1H), 4.20 (dd, J = 12.6, 6.0 Hz, 1H), 4.04 (dd, J = 12.5, 4.9 Hz, 1H), 3.84 (appd, J = 9.5 Hz, 1H), 0.95 (s, 3H) ppm; HRMS (ESI) m/z: calcd for C26H23Cl2N4O5S [M+H]+ 573.0761, found 573.0750 (−1.75 ppm). Minor isomer: Rf = 0.55 (CH2Cl2/MeOH, 90:10); formula: C26H22Cl2N4O5S; MW: 573.4450 g/mol; 1H NMR (500 MHz, CDCl3) δ 8.71 (s, 1H), 7.94 (d, J = 7.9 Hz, 2H), 7.76 (d, J = 8.0 Hz, 2H), 7.62 (t, J = 7.4 Hz, 1H), 7.56 (t, J = 7.4 Hz, 1H), 7.51–7.45 (m, 2H), 7.43–7.39 (m, 2H), 6.30 (s, 1H), 5.62 (d, J = 5.1 Hz, 1H), 4.44 (d, J = 11.8 Hz, 1H), 4.32 (d, J = 11.8 Hz, 1H), 4.19 (appq, J = 5.7 Hz, 1H), 4.08 (dd, J = 11.4, 5.4 Hz, 1H), 3.95–3.89 (m, 1H), 2.78 (s, 1H), 1.62 (s, 3H) ppm; HRMS (ESI) m/z: calcd for C26H22Cl2N4NaO5S [M+Na]+ 595.0580, found 595.0573 (−1.18 ppm). To a mixture of C5′-alcohols (34 mg, 1.0 equiv, 59 umol) in anhydrous MeOH (1.5 mL, 0.040 M) in a high-pressure flask, NH3 was bubbled until saturation. The reaction mixture was warmed to 80 °C for 48 h. The mixture was then concentrated under reduced pressure. Purification by flash chromatography (Hexanes/EtOAc/MeOH) provided the pure products 24a and 24b (18 mg, 88% yield over two steps). 24a: Rf= 0.25 (DCM/MeOH, 9:1); [α]25D +45 (c 0.11, MeOH); IR (neat) νmax 3316, 2881, 2509, 2327, 1630 cm−1; formula: C12H16ClN5O3S; MW: 345.8020 g/mol; 1H NMR (500 MHz, CD3OD): δ 8.65 (s, 1H), 6.00 (s, 1H), 4.32 (apps, 1H), 4.05 (dd, J = 11.3, 4.6 Hz, 1H), 3.99 (dd, J = 11.5, 2.9 Hz, 1H), 3.84 (s, 2H), 3.45 (ddd, J = 9.7, 5.0, 2.8 Hz, 1H), 0.74 (s, 3H) ppm, OH and NH2 signals are missing due to exchange; 13C NMR (126 MHz, CD3OD) δ 158.2, 155.3, 152.3, 143.2, 118.8, 78.9, 64.5, 62.8, 62.3, 55.5, 54.7, 17.5 ppm; HRMS (ESI) m/z: calcd for C12H17ClN5O3S [M+H]+ 346.0735; found 346.0740 (+1.44 ppm). 24b: Rf= 0.15 (DCM/MeOH, 9:1); [α]25D +4 (c 0.8, MeOH) IR (neat) νmax 3346, 2931, 2384, 1615 cm−1; formula: C12H16ClN5O3S; MW: 345.8020 g/mol; 1H NMR (500 MHz, CD3OD): δ 8.56 (s, 1H), 5.90 (s, 1H), 4.03 (d, J = 5.1 Hz, 1H), 3.97 (m, 2H), 3.67 (dd, J = 12.7, 9.3 Hz, 1H), 3.55 (d, J = 11.2 Hz, 1H), 3.47 (d, J = 11.2 Hz, 1H), 1.29 (s, 3H); OH and NH2 signals are missing due to exchange; 13C NMR (126 MHz, CD3OD) δ 158.0, 155.1, 152.4, 144.0, 118.4, 82.0, 66.6, 65.7, 63.2, 59.0, 55.2, 22.2 ppm; HRMS (ESI) m/z: calcd for C12H17ClN5O3S [M+H]+ 346.0735; found 346.0731 (–1.16 ppm).
3.3. General Information—DFT Calculations
Quantum mechanics calculations were conducted in Gaussian 16 [23] using the M06-2X [24,25] density functional in conjunction with the 6-31G* basis set, the LANLDZpd [30,31] effective core potential for Iodide, and using the polarizable continuum solvation model for 2,6-lutidine (PCM) [26]. Frequency calculations were carried out on all optimized geometries to distinguish minima (no imaginary frequencies) or transition structures (one imaginary frequency). The geometry and transition state optimizations (Berny algorithm) were achieved with tight SCF convergence and an ultrafine integral. The different conformations of the rotamers and the C2′-endo and C2′-exo ring conformations were evaluated. Using the molecular mechanics force field (MMFF94), a systematic conformational search considering all rotable bonds was performed for 51, 54, and 58. The best candidates for each search where then reoptimized using the reported DFT method above, to identify the lowest energy structure. The energies presented in this paper and the Supporting Information are all from fully optimized structures. Orbital stabilization energies were obtained from the NBO theory (version 7) implemented in Gaussian 16. Gibbs free energies of activation (DDG‡) correspond to the energy difference between the lowest TS energy and lowest thioaminal bearing the C4′-OMs group. All energies in kcal/mol are presented relative to 51 lowest minima.
Supplementary Materials
The following supporting information can be downloaded at: https://www.mdpi.com/article/10.3390/molecules29071647/s1, Stereochemical Proofs including HSQC, HMBC and nOe correlations; DFT free energy profile data; 1H, 13C and 2D NMR spectra.
Author Contributions
Conceptualization, C.E., S.D., M.P. and Y.G.; data curation, C.E., A.M. and A.A.; formal analysis, C.E., A.M., S.D. and M.P.; funding acquisition, M.N. and Y.G.; investigation, S.D., M.P. and Y.G.; methodology, C.E. and A.M.; project administration, M.N. and Y.G.; software, M.P.; supervision, S.D., M.P., M.N. and Y.G.; validation, C.E., A.M., S.D. and M.P.; writing—original draft, C.E., S.D., M.P. and Y.G.; writing—review and editing, S.D., M.P. and Y.G. All authors have read and agreed to the published version of the manuscript.
Funding
This research was funded by Natural Sciences and Engineering Research Council (NSERC, #06507), Canadian Institutes of Health Research (CIHR, #145885) and Canadian Glycomics Network (#CD-90) for Yvan Guindon and Mona Nemer.
Institutional Review Board Statement
Not applicable.
Informed Consent Statement
Not applicable.
Data Availability Statement
The data presented in this study are available within the paper and the Supporting Information.
Acknowledgments
This research was enabled in part by support provided by the Digital Research Alliance of Canada (alliancecan.ca).
Conflicts of Interest
The compounds described herein are the subject matter of patents and patent applications [14,16]. The patents assignee is LCB-Pharma Inc. Yvan Guindon and Michel Prévost are share owners. The other authors declare no conflicts of interest.
References
- Zenchenko, A.A.; Drenichev, M.S.; Il’icheva, I.A.; Mikhailov, S.N. Antiviral and Antimicrobial Nucleoside Derivatives: Structural Features and Mechanisms of Action. Mol. Biol. 2021, 55, 786–812. [Google Scholar] [CrossRef] [PubMed]
- Liu, Z.Q. Is it still worth renewing nucleoside anticancer drugs nowadays? Eur. J. Med. Chem. 2024, 264, 115987. [Google Scholar] [CrossRef] [PubMed]
- Rajapaksha, D.; Mondal, S.; Wang, J.; Meanwell, M. A guide for the synthesis of key nucleoside scaffolds in drug discovery. Medicinal Chemistry Research 2023, 32, 1315–1333. [Google Scholar] [CrossRef]
- Crnugelj, M.; Dukhan, D.; Barascut, J.-L.; Imbach, J.-L.; Plavec, J. How S-C-N anomeric effects and energetic preference across [S-C-C-O] fragments steer conformational equilibria in 4’-thionucleosides. 1H NMR and ab initio MO stufy. J. Chem. Soc., Perkin Trans. 2, 2000; 255–262. [Google Scholar] [CrossRef]
- O’Donovan, F.P.; O’Leary, E.M.; O’Sullivan, T.P. Synthesis and biological evaluation of novel thionucleosides. Current Organic Chemistry 2020, 24, 1717–1762. [Google Scholar] [CrossRef]
- Dentmon, Z.W.; Kaiser, T.M.; Liotta, D.C. Synthesis and Antiviral Activity of a Series of 2’-C-Methyl-4’-thionucleoside Monophosphate Prodrugs. Molecules 2020, 25, 5165. [Google Scholar] [CrossRef]
- Yoshimura, Y.; Saito, Y.; Natori, Y.; Wakamatsu, H. Synthesis of 4’-Thionucleosides as Antitumor and Antiviral Agents. Chem. Pharm. Bull. Tokyo 2018, 66, 139–146. [Google Scholar] [CrossRef] [PubMed]
- Hager, M.W.; Liotta, D.C. Cyclization Protocols for Controlling the Glycosidic Stereochemistry of Nucleosides - Application to the Synthesis of the Antiviral Agent 3’-Azido-3’-Deoxythymidine (Azt). J. Am. Chem. Soc. 1991, 113, 5117–5119. [Google Scholar] [CrossRef]
- Chapdelaine, D.; Cardinal-David, B.; Prevost, M.; Gagnon, M.; Thumin, I.; Guindon, Y. A stereoselective approach to nucleosides and 4’-thioanalogues from acyclic precursors. J. Am. Chem. Soc. 2009, 131, 17242–17245. [Google Scholar] [CrossRef] [PubMed]
- Cardinal-David, B.; Labbé, M.O.; Prévost, M.; Dostie, S.; Guindon, Y. Diastereoselective and Regioselective Synthesis of Adenosine Thionucleoside Analogues Using an Acyclic Approach. Can. J. Chem. 2020, 98, 466–470. [Google Scholar] [CrossRef]
- Prevost, M.; Dostie, S.; Waltz, M.E.; Guindon, Y. Investigation of Diastereoselective Acyclic alpha-Alkoxydithioacetal Substitutions Involving Thiacarbenium Intermediates. J. Org. Chem. 2014, 79, 10504–10525. [Google Scholar] [CrossRef] [PubMed]
- Dostie, S.; Prevost, M.; Mochirian, P.; Tanveer, K.; Andrella, N.; Rostami, A.; Tambutet, G.; Guindon, Y. Diastereoselective Synthesis of C2’-Fluorinated Nucleoside Analogues Using an Acyclic Approach. J. Org. Chem. 2016, 81, 10769–10790. [Google Scholar] [CrossRef] [PubMed]
- Labbe, M.O.; Collins, L.; Lefebvre, C.A.; Maharsy, W.; Beauregard, J.; Dostie, S.; Prevost, M.; Nemer, M.; Guindon, Y. Identification of a C3’-nitrile nucleoside analogue inhibitor of pancreatic cancer cell line growth. Bioorg. Med. Chem. Lett. 2020, 30, 126983. [Google Scholar] [CrossRef] [PubMed]
- Guindon, Y.; Mochirian, P.; Nemer, M.; Prévost, M. Nucleoside Analogues and Methods of Use Thereof. PCT/CA2017/051096; International Publication WO2018/049535A1. U.S. Patent 11,453,695 B2, 27 September 2022. [Google Scholar]
- Manchoju, A.; Zelli, R.; Wang, G.; Eymard, C.; Oo, A.; Nemer, M.; Prevost, M.; Kim, B.; Guindon, Y. Nucleotide Analogues Bearing a C2’ or C3’-Stereogenic All-Carbon Quaternary Center as SARS-CoV-2 RdRp Inhibitors. Molecules 2022, 27, 564. [Google Scholar] [CrossRef] [PubMed]
- Guindon, Y.; Mochirian, P.; Nemer, M. Nucleoside and Nucleotide Analogues Bearing a Quaternary All-Carbon Stereogenic Center at the 2’ Position and Methods of Use as a Cardioprotective Agent. PCT/CA2017/051095. International Publication WO2018/049534A1; European Patent EP3 512 860B1, 25 November 2020. U.S. Patent 11,434,255 B2, 6 September 2022. [Google Scholar]
- Tangherlini, G.; Torregrossa, T.; Agoglitta, O.; Kohler, J.; Melesina, J.; Sippl, W.; Holl, R. Synthesis and biological evaluation of enantiomerically pure glyceric acid derivatives as LpxC inhibitors. Bioorg. Med. Chem. 2016, 24, 1032–1044. [Google Scholar] [CrossRef] [PubMed]
- Pilkington, L.I.; Barker, D. Total Synthesis of (–)-Isoamericanin A and (+)-Isoamericanol A. Eur. J. Org. Chem. 2014, 1037–1046. [Google Scholar] [CrossRef]
- Nicolaou, K.C.; Pan, S.; Shelke, Y.; Das, D.; Ye, Q.; Lu, Y.; Sau, S.; Bao, R.; Rigol, S. A Reverse Approach to the Total Synthesis of Halichondrin B. J. Am. Chem. Soc. 2021, 143, 9267–9276. [Google Scholar] [CrossRef] [PubMed]
- Tambutet, G.; Becerril-Jimenez, F.; Dostie, S.; Simard, R.; Prevost, M.; Mochirian, P.; Guindon, Y. Dual-face nucleoside scaffold featuring a stereogenic all-carbon quaternary center. Intramolecular silicon tethered group-transfer reaction. Org. Lett. 2014; 16, 5698–5701. [Google Scholar] [CrossRef]
- Becerril-Jimenez, F.; Lussier, T.; Leblanc, L.; Eymard, C.; Dostie, S.; Prevost, M.; Guindon, Y. Photoredox-Catalyzed Stereoselective Radical Reactions to Synthesize Nucleoside Analogues with a C2’-Stereogenic All-Carbon Quaternary Center. J. Org. Chem. 2019, 84, 14795–14804. [Google Scholar] [CrossRef] [PubMed]
- Guindon, Y.; Yoakim, C.; Morton, H. Cleavage of Carbon-Oxygen Bonds. Dimethylboron Bromide. A New Reagent for Ether Cleavage. Tetrahedron Lett. 1983, 24, 2969–2972. [Google Scholar] [CrossRef]
- Frisch, M.J.; Trucks, G.W.; Schlegel, H.B.; Scuseria, G.E.; Robb, M.A.; Cheeseman, J.R.; Scalmani, G.; Barone, V.; Petersson, G.A.; Nakatsuji, H.; et al. Gaussian 16, Revision C.0; Gaussian, Inc.: Wallingford, CT, USA, 2019. [Google Scholar]
- Zhao, Y.; Truhlar, D.G. Density functionals with broad applicability in chemistry. Acc. Chem. Res. 2008, 41, 157–167. [Google Scholar] [CrossRef] [PubMed]
- Zhao, Y.; Truhlar, D.G. The M06 suite of density functionals for main group thermochemistry, thermochemical kinetics, noncovalent interactions, excited states, and transition elements: Two new functionals and systematic testing of four M06-class functionals and 12 other functionals. Theor. Chem. Acc. 2008; 120, 215–241. [Google Scholar] [CrossRef]
- Cossi, M.; Scalmani, G.; Rega, N.; Barone, V. New developments in the polarizable continuum model for quantum mechanical and classical calculations on molecules in solution. J. Chem. Phys. 2002, 117, 43–54. [Google Scholar] [CrossRef]
- Legault, C.Y. CYLview, 1.0b; Université de Sherbrooke: Sherbrooke, QC, Canada, 2009. [Google Scholar]
- Wirsching, J.; Voss, J.; Adiwidjaja, G.; Giesler, A.; Kopf, J. Synthesis and Structural Elucidation of 2’-Deoxy-4’-thio-L-threopentofuranosylpyrimidine and -purine Nucleosides. Eur. J. Org. Chem. 2001, 1077–1087. [Google Scholar] [CrossRef]
- Parker, W.B.; Gandhi, V. Clofarabine: Structure, Mechanism of Action, and Clinical Pharmacology. In Chemotherapy for Leukemia: Novel Drugs and Treatment; Ueda, T., Ed.; Springer Singapore: Singapore, 2017; pp. 261–286. [Google Scholar]
- Check, C.E.; Faust, T.O.; Bailey, J.M.; Wright, B.J.; Gilbert, T.M.; Sunderlin, L.S. Addition of polarization and diffuse functions to the LANL2DZ basis set for p-block elements. J. Phys. Chem. A 2001, 105, 8111–8116. [Google Scholar] [CrossRef]
- Wadt, W.R.; Hay, P.J. Abinitio Effective Core Potentials for Molecular Calculations—Potentials for Main Group Elements Na to Bi. J. Chem. Phys. 1985, 82, 284–298. [Google Scholar] [CrossRef]
Disclaimer/Publisher’s Note: The statements, opinions and data contained in all publications are solely those of the individual author(s) and contributor(s) and not of MDPI and/or the editor(s). MDPI and/or the editor(s) disclaim responsibility for any injury to people or property resulting from any ideas, methods, instructions or products referred to in the content. |
© 2024 by the authors. Licensee MDPI, Basel, Switzerland. This article is an open access article distributed under the terms and conditions of the Creative Commons Attribution (CC BY) license (https://creativecommons.org/licenses/by/4.0/).
















