Deciphering the Molecular Mechanisms of Reactive Metabolite Formation in the Mechanism-Based Inactivation of Cytochrome p450 1B1 by 8-Methoxypsoralen and Assessing the Driving Effect of phe268
Abstract
1. Introduction
2. Results and Discussion
2.1. Molecular Docking Analysis
2.2. Molecular Dynamic Simulations
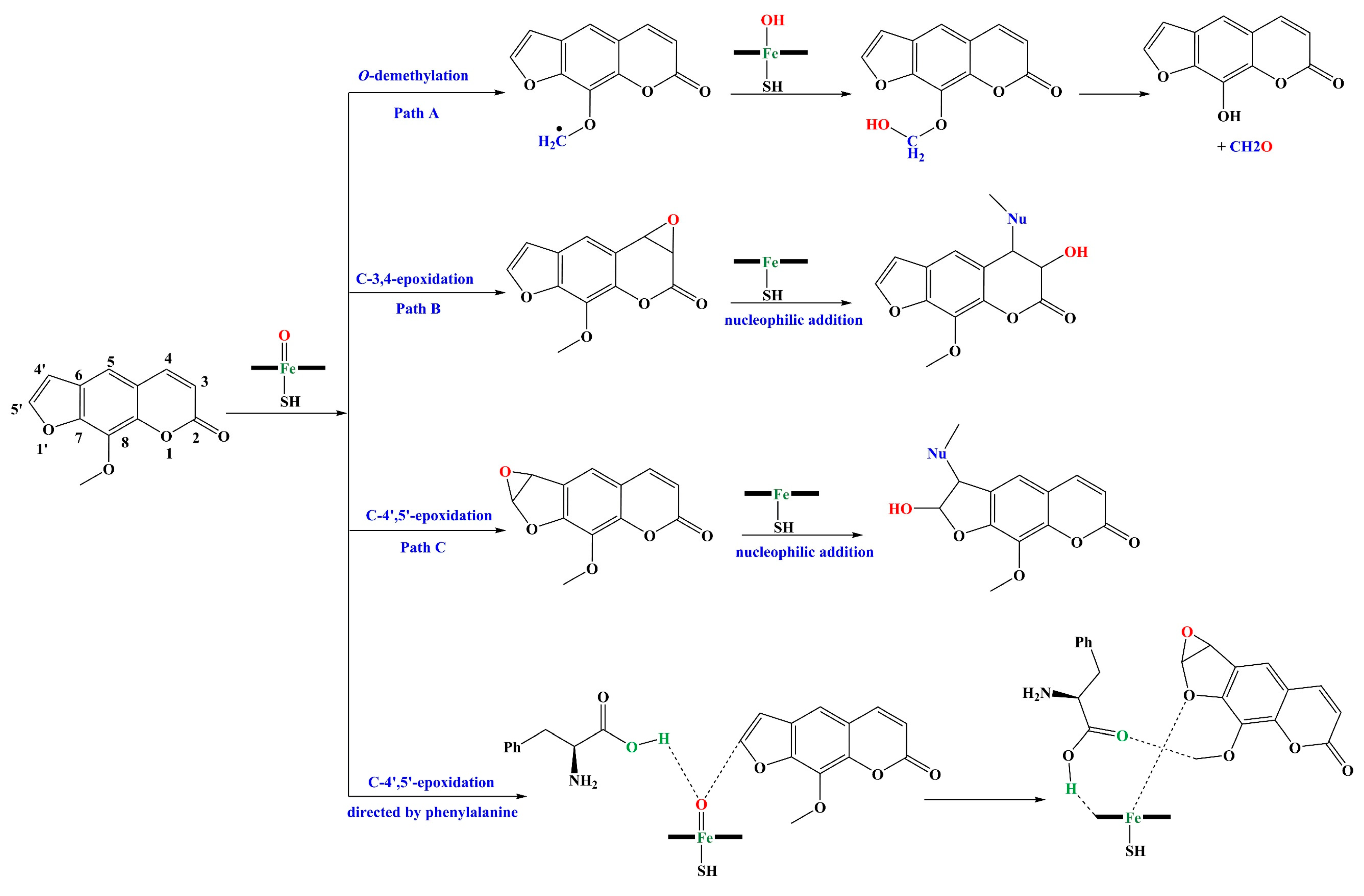
2.3. A Simplified Model for 8-MP-P450
2.4. O-Demethylation Pathway (Path A)
2.5. Epoxidation Pathways (Paths B and C)
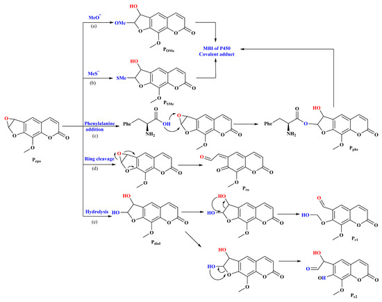
2.6. Reactions of 8-MP Epoxide Reactive Metabolites
2.7. The Driving Effect of Phe268
3. Experimental
3.1. Molecular Docking Analysis
3.2. Molecular Dynamics Simulations
3.3. DFT Methodology
4. Conclusions
Supplementary Materials
Author Contributions
Funding
Institutional Review Board Statement
Informed Consent Statement
Data Availability Statement
Acknowledgments
Conflicts of Interest
References
- Melough, M.M.; Cho, E.; Chun, O.K. Furocoumarins: A review of biochemical activities, dietary sources and intake, and potential health risks. Food Chem. Toxicol. 2018, 113, 99–107. [Google Scholar] [CrossRef]
- Ibbotson, S.H. A Perspective on the Use of NB-UVB Phototherapy vs. PUVA Photochemotherapy. Front. Med. 2018, 5, 184. [Google Scholar] [CrossRef]
- Miyazaki, M.; Yamazaki, H.; Takeuchi, H.; Saoo, K.; Yokohira, M.; Masumura, K.-i.; Nohmi, T.; Funae, Y.; Imaida, K.; Kamataki, T. Mechanisms of chemopreventive effects of 8-methoxypsoralen against 4-(methylnitrosamino)-1-(3-pyridyl)-1-butanone-induced mouse lung adenomas. Carcinogenesis 2005, 26, 1947–1955. [Google Scholar] [CrossRef] [PubMed][Green Version]
- Koenigs, L.L.; Trager, W.F. Mechanism-Based Inactivation of Cytochrome P450 2B1 by 8-Methoxypsoralen and Several Other Furanocoumarins. Biochemistry 1998, 37, 13184–13193. [Google Scholar] [CrossRef] [PubMed]
- Takeuchi, H.; Saoo, K.; Yokohira, M.; Ikeda, M.; Maeta, H.; Miyazaki, M.; Yamazaki, H.; Kamataki, T.; Imaida, K. Pretreatment with 8-methoxypsoralen, a potent human CYP2A6 inhibitor, strongly inhibits lung tumorigenesis induced by 4-(methylnitrosamino)-1-(3-pyridyl)-1-butanone in female A/J mice. Cancer Res. 2003, 63, 7581–7583. [Google Scholar] [PubMed]
- Raju, B.; Choudhary, S.; Narendra, G.; Verma, H.; Silakari, O. Molecular modeling approaches to address drug-metabolizing enzymes (DMEs) mediated chemoresistance: A review. Drug Metab. Rev. 2021, 53, 45–75. [Google Scholar] [CrossRef] [PubMed]
- Murray, G.I.; Taylor, M.C.; McFadyen, M.C.; McKay, J.A.; Greenlee, W.F.; Burke, M.D.; Melvin, W.T. Tumor-specific expression of cytochrome P450 CYP1B1. Cancer Res. 1997, 57, 3026–3031. [Google Scholar] [PubMed]
- McFadyen, M.C.E.; McLeod, H.L.; Jackson, F.C.; Melvin, W.T.; Doehmer, J.; Murray, G.I. Cytochrome P450 CYP1B1 protein expression:: A novel mechanism of anticancer drug resistance11Abbreviations: CYP, cytochrome P450; ANF, alpha-naphthoflavone; MTT, 3-[4,5-dimethylthiazol-2yl]-2,5-diphenyltetrazolium bromide; and 5-FU, 5-fluorouracil. Biochem. Pharmacol. 2001, 62, 207–212. [Google Scholar] [CrossRef]
- Smith, G.; Comrie, M.M.; Roland Wolf, C.; Dawe, R.S.; Clark, C.; Evans, A.T.; Ferguson, J.; Ibbotson, S.H. Quantitative Real-Time Reverse Transcription–Polymerase Chain Reaction Analysis of Drug Metabolizing and Cytoprotective Genes in Psoriasis and Regulation by Ultraviolet Radiation. J. Investig. Dermatol. 2003, 121, 390–398. [Google Scholar] [CrossRef] [PubMed]
- Wang, Y.; Hu, B.; Zhang, Y.; Wang, D.; Luo, Z.; Wang, J.; Zhang, F. Perspective of structural flexibility on selective inhibition towards CYP1B1 over CYP1A1 by α-naphthoflavone analogs. Phys. Chem. Chem. Phys. 2021, 23, 20230–20246. [Google Scholar] [CrossRef]
- Kamel, E.M.; Lamsabhi, A.M. The quasi-irreversible inactivation of cytochrome P450 enzymes by paroxetine: A computational approach. Org. Biomol. Chem. 2020, 18, 3334–3345. [Google Scholar] [CrossRef]
- Kamel, E.M.; Lamsabhi, A.M. Water biocatalytic effect attenuates cytochrome P450-mediated carcinogenicity of diethylnitrosamine: A computational insight. Org. Biomol. Chem. 2021, 19, 9031–9042. [Google Scholar] [CrossRef]
- Kamel, E.M.; Tawfeek, A.M.; El-Bassuony, A.A.; Lamsabhi, A.M. Mechanistic aspects of reactive metabolite formation in clomethiazole catalyzed biotransformation by cytochrome P450 enzymes. Org. Biomol. Chem. 2023, 21, 7158–7172. [Google Scholar] [CrossRef]
- Kamel, E.M.; Tawfeek, A.M.; El-Bassuony, A.A.; Lamsabhi, A.M. Mechanistic insights into chloramphenicol-mediated inactivation of cytochrome P450 enzymes and their active site mutants. New J. Chem. 2023, 47, 16429–16443. [Google Scholar] [CrossRef]
- von Weymarn, L.B.; Zhang, Q.-Y.; Ding, X.; Hollenberg, P.F. Effects of 8-methoxypsoralen on cytochrome P450 2A13. Carcinogenesis 2005, 26, 621–629. [Google Scholar] [CrossRef]
- Zhou, S.; Chan, S.Y.; Goh, B.C.; Chan, E.; Duan, W.; Huang, M.; McLeod, H.L. Mechanism-Based Inhibition of Cytochrome P450 3A4 by Therapeutic Drugs. Clin. Pharmacokinet. 2005, 44, 279–304. [Google Scholar] [CrossRef]
- Chuanprasit, P.; Goh, S.H.; Hirao, H. Benzyne Formation in the Mechanism-Based Inactivation of Cytochrome P450 by 1-Aminobenzotriazole and N-Benzyl-1-Aminobenzotriazole: Computational Insights. ACS Catal. 2015, 5, 2952–2960. [Google Scholar] [CrossRef]
- Amacher, E.D. Reactive Intermediates and the Pathogenesis of Adverse Drug Reactions: The Toxicology Perspective. Curr. Drug Metab. 2006, 7, 219–229. [Google Scholar] [CrossRef] [PubMed]
- Park, B.K.; Laverty, H.; Srivastava, A.; Antoine, D.J.; Naisbitt, D.; Williams, D.P. Drug bioactivation and protein adduct formation in the pathogenesis of drug-induced toxicity. Chem.-Biol. Interact. 2011, 192, 30–36. [Google Scholar] [CrossRef] [PubMed]
- Baillie, T.A. Future of ToxicologyMetabolic Activation and Drug Design: Challenges and Opportunities in Chemical Toxicology. Chem. Res. Toxicol. 2006, 19, 889–893. [Google Scholar] [CrossRef] [PubMed]
- Tu, D.; Ning, J.; Zou, L.; Wang, P.; Zhang, Y.; Tian, X.; Zhang, F.; Zheng, J.; Ge, G. Unique Oxidative Metabolism of Bufalin Generates Two Reactive Metabolites That Strongly Inactivate Human Cytochrome P450 3A. J. Med. Chem. 2022, 65, 4018–4029. [Google Scholar] [CrossRef] [PubMed]
- Mirzaei, M.S.; Ivanov, M.V.; Taherpour, A.A.; Mirzaei, S. Mechanism-Based Inactivation of Cytochrome P450 Enzymes: Computational Insights. Chem. Res. Toxicol. 2021, 34, 959–987. [Google Scholar] [CrossRef] [PubMed]
- Taxak, N.; Kalra, S.; Bharatam, P.V. Mechanism-Based Inactivation of Cytochromes by Furan Epoxide: Unraveling the Molecular Mechanism. Inorg. Chem. 2013, 52, 13496–13508. [Google Scholar] [CrossRef] [PubMed]
- Kamel, E.M.; Bin-Ammar, A.; El-Bassuony, A.A.; Alanazi, M.M.; Altharawi, A.; Ahmeda, A.F.; Alanazi, A.S.; Lamsabhi, A.M.; Mahmoud, A.M. Molecular modeling and DFT studies on the antioxidant activity of Centaurea scoparia flavonoids and molecular dynamics simulation of their interaction with β-lactoglobulin. RSC Adv. 2023, 13, 12361–12374. [Google Scholar] [CrossRef] [PubMed]
- Shaik, S.; Cohen, S.; Wang, Y.; Chen, H.; Kumar, D.; Thiel, W. P450 Enzymes: Their Structure, Reactivity, and Selectivity—Modeled by QM/MM Calculations. Chem. Rev. 2010, 110, 949–1017. [Google Scholar] [CrossRef]
- Ji, L.; Schüürmann, G. Model and Mechanism: N-Hydroxylation of Primary Aromatic Amines by Cytochrome P450. Angew. Chem. 2013, 52, 744–748. [Google Scholar] [CrossRef]
- Altun, A.; Shaik, S.; Thiel, W. Systematic QM/MM investigation of factors that affect the cytochrome P450-catalyzed hydrogen abstraction of camphor. J. Comput. Chem. 2006, 27, 1324–1337. [Google Scholar] [CrossRef]
- Kwiecień, R.A.; Le Questel, J.-Y.; Lebreton, J.; Delaforge, M.; André, F.; Pihan, E.; Roussel, A.; Fournial, A.; Paneth, P.; Robins, R.J. Cytochrome P450-Catalyzed Degradation of Nicotine: Fundamental Parameters Determining Hydroxylation by Cytochrome P450 2A6 at the 5′-Carbon or the N-Methyl Carbon. J. Phys. Chem. B 2012, 116, 7827–7840. [Google Scholar] [CrossRef]
- Ma, G.; Yu, H.; Xu, T.; Wei, X.; Chen, J.; Lin, H.; Schüürmann, G. Computational Insight into the Activation Mechanism of Carcinogenic N’-Nitrosonornicotine (NNN) Catalyzed by Cytochrome P450. Environ. Sci. Technol. 2018, 52, 11838–11847. [Google Scholar] [CrossRef]
- Ogliaro, F.; Harris, N.; Cohen, S.; Filatov, M.; de Visser, S.P.; Shaik, S. A Model “Rebound” Mechanism of Hydroxylation by Cytochrome P450: Stepwise and Effectively Concerted Pathways, and Their Reactivity Patterns. J. Am. Chem. Soc. 2000, 122, 8977–8989. [Google Scholar] [CrossRef]
- Ishikawa, A.; Sakaki, S. Theoretical Study of Photoinduced Epoxidation of Olefins Catalyzed by Ruthenium Porphyrin. J. Phys. Chem. A 2011, 115, 4774–4785. [Google Scholar] [CrossRef] [PubMed]
- Lai, W.; Shaik, S. Can Ferric-Superoxide Act as a Potential Oxidant in P450cam? QM/MM Investigation of Hydroxylation, Epoxidation, and Sulfoxidation. J. Am. Chem. Soc. 2011, 133, 5444–5452. [Google Scholar] [CrossRef] [PubMed]
- Lonsdale, R.; Harvey, J.N.; Mulholland, A.J. Compound I Reactivity Defines Alkene Oxidation Selectivity in Cytochrome P450cam. J. Phys. Chem. B 2010, 114, 1156–1162. [Google Scholar] [CrossRef] [PubMed]
- De Montellano, P.R.O. Cytochrome P450: Structure, Mechanism, and Biochemistry; Springer: Berlin/Heidelberg, Germany, 2005; Volume 3. [Google Scholar]
- de Visser, S.P.; Ogliaro, F.; Sharma, P.K.; Shaik, S. What Factors Affect the Regioselectivity of Oxidation by Cytochrome P450? A DFT Study of Allylic Hydroxylation and Double Bond Epoxidation in a Model Reaction. J. Am. Chem. Soc. 2002, 124, 11809–11826. [Google Scholar] [CrossRef] [PubMed]
- Orr, S.T.M.; Ripp, S.L.; Ballard, T.E.; Henderson, J.L.; Scott, D.O.; Obach, R.S.; Sun, H.; Kalgutkar, A.S. Mechanism-Based Inactivation (MBI) of Cytochrome P450 Enzymes: Structure–Activity Relationships and Discovery Strategies To Mitigate Drug–Drug Interaction Risks. J. Med. Chem. 2012, 55, 4896–4933. [Google Scholar] [CrossRef]
- Kamel, A.; Harriman, S. Inhibition of cytochrome P450 enzymes and biochemical aspects of mechanism-based inactivation (MBI). Drug Discov. Today Technol. 2013, 10, e177–e189. [Google Scholar] [CrossRef]
- Hannuksela-Svahn, A.; Pukkala, E.; Koulu, L.; Jansén, C.T.; Karvonen, J. Cancer incidence among Finnish psoriasis patients treated with 8-methoxypsoralen bath PUVA. J. Am. Acad. Dermatol. 1999, 40, 694–696. [Google Scholar] [CrossRef]
- Sharma, H.; Raju, B.; Narendra, G.; Kumar, M.; Verma, H.; Sharma, B.; Tung, G.K.; Kumar Jain, S.; Brás, N.F.; Silakari, O. In silico guided designing of optimized benzochalcones derivatives as potent CYP1B1 inhibitors: An integrated in vitro and ONIOM study. J. Mol. Graph. Model. 2023, 119, 108390. [Google Scholar] [CrossRef]
- Trott, O.; Olson, A.J. AutoDock Vina: Improving the speed and accuracy of docking with a new scoring function, efficient optimization, and multithreading. J. Comput. Chem. 2010, 31, 455–461. [Google Scholar] [CrossRef]
- Becke, A.D. Density-functional thermochemistry. III. The role of exact exchange. J. Chem. Phys. 1993, 98, 5648–5652. [Google Scholar] [CrossRef]
- Lee, C.; Yang, W.; Parr, R.G. Development of the Colle-Salvetti correlation-energy formula into a functional of the electron density. Phys. Rev. B 1988, 37, 785. [Google Scholar] [CrossRef]
- Becke, A.D. Density-functional exchange-energy approximation with correct asymptotic behavior. Phys. Rev. A 1988, 38, 3098. [Google Scholar] [CrossRef]
- Hehre, W.J.; Radom, L.; Schleyer, P.v.R.; Pople, J.A. Ab Initio Molecular Orbital Theory; Wiley: New York, NY, USA, 1986; Volume 67. [Google Scholar]
- Frisch, M.J.; Trucks, G.W.; Schlegel, H.B.; Scuseria, G.E.; Robb, M.A.; Cheeseman, J.R.; Scalmani, G.; Barone, V.; Mennucci, B.; Petersson, G.A.; et al. Gaussian 09, Revision D. 01; Gaussian, Inc.: Wallingford, CT, USA, 2009. [Google Scholar]
- Pettersen, E.F.; Goddard, T.D.; Huang, C.C.; Couch, G.S.; Greenblatt, D.M.; Meng, E.C.; Ferrin, T.E. UCSF Chimera—A visualization system for exploratory research and analysis. J. Comput. Chem. 2004, 25, 1605–1612. [Google Scholar] [CrossRef] [PubMed]
- Bauer, P.; Hess, B.; Lindahl, E. GROMACS 2022.4 Manual; GROMACS: Groningen, The Netherlands, 2022. [Google Scholar]
- Abraham, M.J.; Murtola, T.; Schulz, R.; Páll, S.; Smith, J.C.; Hess, B.; Lindahl, E. GROMACS: High performance molecular simulations through multi-level parallelism from laptops to supercomputers. SoftwareX 2015, 1–2, 19–25. [Google Scholar] [CrossRef]
- Huang, J.; Rauscher, S.; Nawrocki, G.; Ran, T.; Feig, M.; de Groot, B.L.; Grubmüller, H.; MacKerell, A.D., Jr. CHARMM36m: An improved force field for folded and intrinsically disordered proteins. Nat. Methods 2017, 14, 71–73. [Google Scholar] [CrossRef] [PubMed]
- MacKerell, A.D., Jr.; Bashford, D.; Bellott, M.; Dunbrack, R.L., Jr.; Evanseck, J.D.; Field, M.J.; Fischer, S.; Gao, J.; Guo, H.; Ha, S.; et al. All-Atom Empirical Potential for Molecular Modeling and Dynamics Studies of Proteins. J. Phys. Chem. B 1998, 102, 3586–3616. [Google Scholar] [CrossRef] [PubMed]
- Hess, B.; Kutzner, C.; Van Der Spoel, D.; Lindahl, E. GROMACS 4: Algorithms for highly efficient, load-balanced, and scalable molecular simulation. J. Chem. Theory Comput. 2008, 4, 435–447. [Google Scholar] [CrossRef] [PubMed]
- Parrinello, M.; Rahman, A. Polymorphic transitions in single crystals: A new molecular dynamics method. J. Appl. Phys. 1981, 52, 7182–7190. [Google Scholar] [CrossRef]
- Lemkul, J.A. From Proteins to Perturbed Hamiltonians: A Suite of Tutorials for the GROMACS-2018 Molecular Simulation Package [Article v1.0]. Living J. Comput. Mol. Sci. 2018, 1, 5068. [Google Scholar] [CrossRef]
- Becke, A.D. Density-functional thermochemistry. I. The effect of the exchange-only gradient correction. J. Chem. Phys. 1992, 96, 2155–2160. [Google Scholar] [CrossRef]
- Ji, L.; Schüürmann, G. Computational Evidence for α-Nitrosamino Radical as Initial Metabolite for Both the P450 Dealkylation and Denitrosation of Carcinogenic Nitrosamines. J. Phys. Chem. B 2012, 116, 903–912. [Google Scholar] [CrossRef]
- Honig, B.; Nicholls, A. Classical electrostatics in biology and chemistry. Science 1995, 268, 1144–1149. [Google Scholar] [CrossRef] [PubMed]
- Schutz, C.N.; Warshel, A. What are the dielectric “constants” of proteins and how to validate electrostatic models? Proteins Struct. Funct. Bioinform. 2001, 44, 400–417. [Google Scholar] [CrossRef] [PubMed]
- Miertuš, S.; Scrocco, E.; Tomasi, J. Electrostatic interaction of a solute with a continuum. A direct utilizaion of AB initio molecular potentials for the prevision of solvent effects. Chem. Phys. 1981, 55, 117–129. [Google Scholar] [CrossRef]
- Tomasi, J.; Mennucci, B.; Cammi, R. Quantum mechanical continuum solvation models. Chem. Rev. 2005, 105, 2999–3094. [Google Scholar] [CrossRef]










Disclaimer/Publisher’s Note: The statements, opinions and data contained in all publications are solely those of the individual author(s) and contributor(s) and not of MDPI and/or the editor(s). MDPI and/or the editor(s) disclaim responsibility for any injury to people or property resulting from any ideas, methods, instructions or products referred to in the content. |
© 2024 by the authors. Licensee MDPI, Basel, Switzerland. This article is an open access article distributed under the terms and conditions of the Creative Commons Attribution (CC BY) license (https://creativecommons.org/licenses/by/4.0/).
Share and Cite
Kamel, E.M.; Alwaili, M.A.; Rudayni, H.A.; Allam, A.A.; Lamsabhi, A.M. Deciphering the Molecular Mechanisms of Reactive Metabolite Formation in the Mechanism-Based Inactivation of Cytochrome p450 1B1 by 8-Methoxypsoralen and Assessing the Driving Effect of phe268. Molecules 2024, 29, 1433. https://doi.org/10.3390/molecules29071433
Kamel EM, Alwaili MA, Rudayni HA, Allam AA, Lamsabhi AM. Deciphering the Molecular Mechanisms of Reactive Metabolite Formation in the Mechanism-Based Inactivation of Cytochrome p450 1B1 by 8-Methoxypsoralen and Assessing the Driving Effect of phe268. Molecules. 2024; 29(7):1433. https://doi.org/10.3390/molecules29071433
Chicago/Turabian StyleKamel, Emadeldin M., Maha A. Alwaili, Hassan A. Rudayni, Ahmed A. Allam, and Al Mokhtar Lamsabhi. 2024. "Deciphering the Molecular Mechanisms of Reactive Metabolite Formation in the Mechanism-Based Inactivation of Cytochrome p450 1B1 by 8-Methoxypsoralen and Assessing the Driving Effect of phe268" Molecules 29, no. 7: 1433. https://doi.org/10.3390/molecules29071433
APA StyleKamel, E. M., Alwaili, M. A., Rudayni, H. A., Allam, A. A., & Lamsabhi, A. M. (2024). Deciphering the Molecular Mechanisms of Reactive Metabolite Formation in the Mechanism-Based Inactivation of Cytochrome p450 1B1 by 8-Methoxypsoralen and Assessing the Driving Effect of phe268. Molecules, 29(7), 1433. https://doi.org/10.3390/molecules29071433

