Abstract
Cyclophilin A, a widely prevalent cellular protein, exhibits peptidyl-prolyl cis-trans isomerase activity. This protein is predominantly located in the cytosol; additionally, it can be secreted by the cells in response to inflammatory stimuli. Cyclophilin A has been identified to be a key player in many of the biological events and is therefore involved in several diseases, including vascular and inflammatory diseases, immune disorders, aging, and cancers. It represents an attractive target for therapeutic intervention with small molecule inhibitors such as cyclosporin A. Recently, a number of novel inhibitors of cyclophilin A have emerged. However, it remains elusive whether and how many cyclophilin A inhibitors function in the inflammatory diseases and cancers. In this review, we discuss current available data about cyclophilin A inhibitors, including cyclosporin A and its derivatives, quinoxaline derivatives, and peptide analogues, and outline the most recent advances in clinical trials of these agents. Inhibitors of cyclophilin A are poised to enhance our comprehension of the molecular mechanisms that underpin inflammatory diseases and cancers associated with cyclophilin A. This advancement will aid in the development of innovative pharmaceutical treatments in the future.
1. Introduction
Cyclophilins are a family of ubiquitously distributed cellular proteins, consisting of at least 16 subtypes in human genome, such as cyclophilin A, cyclophilin B, cyclophilin D, and cyclophilin J [1,2,3,4]. Cyclophilins possess peptidyl-prolyl isomerase (PPIase) activity, which they exhibit by facilitating the cis-trans isomerization of peptide bonds that precede proline residues, potentially via an electrostatic handle mechanism [3,5,6,7,8]. Among them, cyclophilin A, the prototype of cyclophilins, was first identified and is well characterized [9,10,11]. Cyclophilin A comprises eight antiparallel β-sheets and a pair of α-helices; the active sites of the PPIase in cyclophilin A include Arg55, Phe60, Met61, Gln63, Gly74, Gly75, Glu81, Lys82, Ala101, Asn102, Ala103, Thr107, Gly109, Ser110, Gln111, Phe113, Trp121, Leu122, and His126 (Figure 1) [7,12,13,14,15]. These binding sites can be occupied by cyclosporin A (CsA), which is a potent cyclophilin A inhibitor and one of the powerful immunosuppressive drugs, and is the most extensively studied and strongest binding ligand of cyclophilin A [7,10,12,13,15]. Most of these structure features are evolutionarily conserved in the homologues of cyclophilins [7].
Figure 1.
The cyclophilin A–CsA complex. Cyclophilin A binding site (using PDB structure 1CWA). β-sheets in light blue, α-helices in red in cyclophilin A structure. CsA is indicated in black and gray. The 19 residues of cyclophilin A bind in CsA are dark blue.
Cyclophilin A is identified as a critical component in various biological processes and associated diseases, such as protein folding/trafficking, immune responses, cell signaling, vascular disease pathogenesis, viral infections, rheumatoid arthritis, atherosclerosis, and cancer development [9,16,17,18,19,20,21,22,23,24,25,26,27,28,29,30,31,32,33,34,35,36,37,38]. Although the underlying mechanisms remain to be further investigated, they are possibly multifaceted and indeed distinct regarding intracellular and extracellular cyclophilin A proteins. Regarding intracellular cyclophilin A, it predominantly acts through the PPIase-dependent and/or -independent protein–protein interaction [18,26,39,40]. Cyclosporine A (CsA), known for its potent inhibition of cyclophilin A and significant immunosuppressive properties, is well characterized, it binds to cyclophilin A, inhibiting its PPIase activity; subsequently, the cyclophilin A–CsA complex interacts with and inhibits calcineurin, it acts as a calcium/calmodulin-activated serine/threonine-specific protein phosphatase, which obstructs the translocation of nuclear factor of activated T-cells (NF-AT) from the cytosol to the nucleus, ultimately inhibiting T-cell activation [41,42,43]. Most recently, a novel intracellular target of cyclophilin A, the inosine-5′-monophosphate dehydrogenase 2, has been identified, which can bind with the complex of cyclophilin A–sanglifehrin A (SFA, an inhibitor of cyclophilin A, described below) to modulate cell proliferation and eventually inhibit T-cell activation induced by SFA [44]. In addition, a plenty of evidence indicates that intracellular cyclophilin A plays a crucial role in the lifecycle of various viruses, including HIV-1, influenza, hepatitis B and C, vesicular stomatitis virus, vaccinia virus, SARS-CoV, nidovirus, feline and porcine CoV, and rotavirus (RV), via its binding with capsid or nonstructure viral proteins [28,29,36,45,46,47,48,49,50]. Furthermore, cyclophilin A is notably overexpressed in numerous human cancers and cancer-related cell lines [24,25,31,39,51,52,53,54,55,56,57,58,59]. Although its biological roles in tumor cells remain elusive, cyclophilin A may enhance cell survival under stressful conditions, such as those associated with the proliferation of signaling proteins, antiapoptotic proteins, transcription factors, or cell migration regulatory proteins, including CYCS (cytochrome c, somatic) [60], ITK (interleukin-2 inducible T-cell kinase) [61], ASK1 (apoptosis signaling-regulating kinase 1) [40], and CRKII (CT-10 (a kind of avian virus) regulator of kinase) [39]. For instance, cyclophilin A can bind adaptor protein CRKII to sterically restrict the accessibility of CRKII Tyr221 to its kinase ABL1 (Abelson murine leukemia viral oncogene homolog 1) or EGFR (epidermal growth factor receptor), which thereby, inhibits CRKII phosphorylation and keeps it at the active form and enhances CRKII-mediated signaling to promote tumor cell migration [39]. Altogether, these findings indicate that intracellular cyclophilin A functions at multiple levels, including its critical roles in immune response, viral infection, and tumorigenesis.
In addition to its predominant cytosol localization, cyclophilin A can be secreted by cells in response to inflammatory stimuli like hypoxia, infection, and oxidative stress [21,32,62,63,64,65]. A body of evidence by in vitro studies and in vivo genetically modified mouse models demonstrates that extracellular cyclophilin A is involved in inflammatory diseases such as viral infection [30,45,66,67,68,69], periodontitis [70], and atherosclerosis [69] by means of promoting cell chemotaxis and cell migration (especially leukocyte chemotaxis), and eventually enhancing inflammation [32]. The function of extracellular cyclophilin A is mainly mediated by the “extracellular matrix metalloprotease inducer” (EMMPIN, also called CD147) [71]; this protein is a broadly expressed plasma membrane protein found in various cells, including hematopoietic, epithelial, and endothelial cells [72]. The cyclophilin A–CD147 complex initiates a signaling cascade, stimulating cell proliferation and chemotaxis through activation of MAPK pathways, including ERK1/2 and p38 MAPK [51,59,73]. For example, extracellular cyclophilin A was reported to be essential for vascular remodeling, as demonstrated by CyPA−/− mouse model [64,74,75], and mounting evidence has highlighted its potential effect in atherosclerosis, which is a complicated, progressive inflammatory disease [30]. Altogether, these studies suggest that cyclophilin A drives cellular functions not only via its chaperone and PPIase activity but also through cyclophilin A-directed signal transduction in inflammatory diseases and human cancers.
Considering that cyclophilin A’s important roles in inflammatory diseases and cancers, cyclophilin A-based targeting will be beneficial to conquer these disorders. As such, cyclophilin A has attracted considerable attention because of its potential use as a therapeutic target based on its PPIase activity. Cyclosporin A (CsA), the first potent cyclophilin A inhibitor, over three decades ago, marked a new epoch in organ transplantation [76,77]. Although CsA is an old medicine in the treatment of diseases, research on CsA has never stopped. These studies involve the role of CsA in cancer therapeutics [55], the combination use of CsA in reducing resistance to chemotherapeutic drugs [78] and toxic side effects [79] of antitumor drugs, the synthesis and discovery of CsA derivatives and structural analogues, the development of new functions of CsA [80,81], and identification of new prognostic biomarkers [82], which have always been a hot research topic. Since then, numerous cyclophilin A inhibitors have emerged and been characterized. In the present review, we discuss available data about cyclophilin A inhibitors, including cyclic peptides, peptide analogues, and other small molecule compounds, and outline the most recent advances in clinical trials involving these agents. The exploration and refinement of cyclophilin A inhibitors are expected to deepen current understanding of the molecular mechanisms of these diseases and aid in the development of new pharmaceutical treatments soon.
2. Cyclic Peptides as Cyclophilin A Inhibitors
2.1. Cyclosporin A (CsA)
CsA (Compound 1, C1) (Table 1), an acyclic undecapeptide, was first discovered by Jean-Francois Borel in 1976 [83], and approved as a potent immunosuppressant drug by U.S. Food and Drug Administration (FDA) in 1983. CsA inhibits the PPIase activity associated with the broad family of cyclophilins. Acting as an inhibitor of cyclophilin A, CsA suppresses the activity of calcineurin, a calcium/calmodulin-activated serine/threonine protein phosphatase, which abolishes dephosphorylation-dependent nuclear translocation of transcription factor NF-AT, and ultimately suppresses T-cell activation [84,85]. Therefore, CsA exhibits profound inhibitory effects on immunity, and has been extensively used for immune suppression in allogeneic transplantation of bone marrow/hematopoietic stem cells and solid organs for prevention and treatment of graft-versus-host diseases, and it also plays a role in various inflammatory conditions, such as rheumatoid arthritis and psoriasis [86]. Also, based on the high level of cyclophilin A in human malignancies, CsA has been used to target human cancers, either alone or in combination with other agents [87,88]. However, there are two possible issues for CsA. For one, the clinical use of CsA has shown that it may be not a perfect drug because of its poor aqueous solubility and serious side effects, including hepatotoxicity, nephrotoxicity, hyperkalemia, hyperuricemia, renal dysfunction, leukopenia, lymphoma, or skin cancer [89,90,91,92]. At this point, more efforts are needed to reduce the toxicity and the off-target effects of CsA in clinic [93]. For another, since CsA has also been used in inflammatory diseases, one future direction is to find nonimmunosuppressive CsA derivatives or novel agents to inhibit the role of cyclophilin A in inflammation but not affect host immunity during viral infection control or cancer treatment.
Table 1.
Structure of cyclosporin A and its analogues.
Other research shows that CsA decreases SARSCoV-2 replication in vitro and decreases mortality rates of coronavirus disease 2019 (COVID-19) patients. The research found that the nucleocapsid protein significantly depends on cyclophilin A, and identified the docking sites of nucleocapsid with cyclophilin A [94]. Laurie et al. demonstrated the nucleocapsid as a potential indirect therapeutic target of CsA, which may impede coronavirus replication by obstructing nucleocapsid folding [95].
In the latest study, researchers compared the effects of CsA and direct-acting antivirals (DAAs), which consist of inhibitors of nonstructural proteins 5A (NS5A), NS3/4A, and NS5B in Huh7.5.1 cells. The results showed that CsA inhibits HCV infection at the same speed as the NS5A and NS3/4A inhibitors of DAAs. It has been reported that DAAs are the fastest antiviral drugs in inhibiting HCV infection. This study further elucidates that CsA can rapidly inhibit the level of infectious extracellular viruses, but it has no significant effect on intracellular infectious viruses [96].
2.2. Cyclolinopeptides and the Analogues
Cyclolinopeptide A (CLA, C2) (Figure 2) is a homodetic cyclic nonapeptide (an analogue of antamanide), which was isolated from linseeds [97]. Its bioactive conformation was presumably attributed by the sequence Pro-Pro-Phe-Phe. The initial recognized biological activity of CLA was its capacity to inhibit the hepatocyte transport system used for bile salts, ethanol, and cysteamine, as well as dimethylsulfoxide [98]. Importantly, CLA was reported to bind to cyclophilin A and other cyclophilins, and the cyclophilin A–CLA complex inhibited calcineurin-dependent T-cell activation, showing the similar mechanism of immunosuppressive effect to CsA [99]. However, CLA has a tenfold lower affinity for calcineurin compared to CsA and is considered nontoxic [100,101,102,103]. In addition to CLA, another cyclic nonapeptide found in linseeds is cyclolinopeptide B (CLB, C3) (Figure 2), which differs from CLA in its amino acid composition and sequence. CLB is characterized as a more potent suppressor of the effector phase of delayed-type hypersensitivity reactions than CLA [104]. The other natural cyclic peptides (C4 and C5) (Figure 2) show structural similarities with CLA, both of which bind with bovine cyclophilin A and exhibit lower immunosuppressive activity than CLA [102]. All cyclolinopeptides and their analogues form complexes with cyclophilins and can, in this state, inhibit the phosphatase activity of calcineurin [101,102,105], indicating that cyclolinopeptides might be promising inhibitors of cyclophilin A.

Figure 2.
Chemical structure of the major compounds as inhibitors of cyclophilin A.
2.3. Cyclosporin A Derivatives
Recently, Evers and colleagues reported a sort of novel CsA derivatives, [2-(dimethyl or diethylamino)-ethylthio-Sar]3-[(4′-OH)MeLeu]4-CsA 3K (C6) and 3L (C7) (Figure 2) [106]. These CsA derivatives display potent anti-HIV-1 activity (IC50: ~46 nM) in vitro, while exhibiting low immunosuppressive capacity (IC50: ≥1500 nM) [106]. Thus, these derivatives could serve as novel and promising candidates for treating HIV-1 infection and may be effectively combined with other anti-HIV-1 drugs.
2.4. Cyclosporin A Analogues
Wei and colleagues reported a line of CsA analogues, which were modified by a solution-phase fragment coupling strategy [107]. The analogues modified at position 4 are the inhibitors for cyclophilin rotamase as potent as CsA, but lose immunosuppressive activity; the analogues modified at position 8 also exhibit threefold lower inhibitory rotamase activity of cyclophilins than CsA. Meanwhile, the saturated dihydro-CsA, altered in its binding domain, exhibits only one-fifth the potency of CsA in inhibiting cyclophilin rotamase activity. Additionally, the dehydro Ala8-CsA analogue does not inhibit T-cell proliferation at concentrations up to 10 µM, indicating that maintaining a d-configuration at this position is crucial for calcineurin phosphatase inhibition. Moreover, there are other analogues of CsA (C8–C12), which are illustrated in Table 1. These analogues’ ED50 are around 100 nM, slightly higher than that of CsA (5 nM) [107]. Collectively, these findings suggest that the mentioned CsA analogues are more likely to inhibit cyclophilin rotamase without exerting immunosuppressive effects.
CsA has a immunosuppressive effect through binding to calcineurin, especially by the position 4 (P4), P5, and P6 side chains of CsA. In order to improve the inhibitory effect of CsA derivatives on cyclophilin A and reduce its immunosuppressive effect, CsA derivatives have been modified by changing the P3 side chain and substituting P4, P5, and P6 side chains; these modifications can increase CsA derivatives binding to cyclophilin A [49].
4MCsA, an albumin-bound CsA analogue, presents prospective inhibitory effects on chemotactic activity and inflammation by targeting extracellular cyclophilin A. The binding affinity of 4MCsA to cyclophilin A is similar to that of CsA, but lacks immunosuppressive ability and cytotoxicity [108].
2.4.1. SCY-635
SCY-635 (C13) (Figure 2) is a novel CsA-based analogue that does not cause immunosuppression and effectively suppresses HCV replication in vitro [109]. It inhibits cyclophilin A’s PPIase activity at nanomolar levels, but shows no perceptible inhibitory effect on the phosphatase activity of calcineurin under the concentrations up to 2 µM. Additionally, SCY-635 does not induce major cytochrome P450 enzymes 1A2, 2B6, and 3A4, and is a weak inhibitor and a poor substrate for P-glycoprotein, suggesting that it may have less potential drug–drug reaction. SCY-635 also shows synergistic antiviral activity with interferon-alpha 2b (IFNα-2b) and additive antiviral activity with ribavirin [110,111]. Therefore, SCY-635 might be a promising novel antiviral agent with an acceptable safety profile during treatment.
2.4.2. [Me-Ile-4]cyclosporine (NIM811)
[Me-Ile-4]cyclosporin (NIM811), i.e., N-methyl-L-isoleucine-cyclosporin (C14) (Figure 2), is an analogue of cyclosporine substituted at position 4 with N-methyl-L-isoleucine, which is isolated from the fungus Tolypocladiumniveurn [112]. NIM811 is a first cyclosporin-based nonimmunosuppressive inhibitor of cyclophilins. In contrast to CsA, NIM811 lacks immunosuppressive effectiveness while fully retaining its binding capacity to cyclophilins [112]. NIM811 exhibits a higher affinity for all cyclophilins compared to CsA [113], which makes it a powerful suppressor for viral replication since cyclophilins, including cyclophilin A, are involved in the formation of viral particles by interacting with capsid proteins of a series of viruses such as HIV-1 and HCV [112,113,114,115,116,117,118,119]. In addition to binding to cyclophilins, NIM811 can interact with the components of protein/lipid trafficking and spliceosome pathway, which in turn contributes to the inhibition of viral replication and particle formation [113]. Importantly, it causes a smaller degree of nephrotoxicity than CsA, together indicating that it is possibly a better CsA analogue for virus treatment [112].
Regarding its potential role in inflammation, e.g., in coxsackievirus B3-induced myocarditis, NIM811 can result in low level of metalloproteinase-9 and a reduction in inflammatory lesions, represented by the extent of lesion area is significantly decreased at 28 days post-infection compared to that at 8 days post-infection when treated with NIM811 [120]. Therefore, NIM811 represents a novel promising inhibitor of cyclophilin A for inhibiting viral infection and inflammation, but not acting as a potent immunosuppressant agent.
In addition, NIM811 can induce apoptotic cell death of human and murine melanoma cells. It may trigger apoptosis through transient mitochondrial depolarization, which leads to the efflux of proteins from the intermediate space, including cytochrome c, procaspase 9, apoptosis-inducing factor, and endonuclease G, sufficient to trigger “apoptosome” formation and initiate the execution phase of apoptosis [121]. However, NIM811 also has a cytoprotective effect by inhibiting mitochondrial permeabilization transition pore (mPTP) opening to prevent in situ mitochondrial inner membrane permeabilization and depolarization [122,123,124,125,126,127], although this cytoprotective effect depends on its binding to cyclophilin D, but not cyclophilin A [125,128]. As such, NIM811 demonstrates a complicated role in regulation of cancer cell growth.
In addition, NIM811 can effectively inhibit the replication of HCoV-229E. CsA and NIM811 derivatives block the interaction between cyclophilin A and nucleocapsid proteins, indicating the mechanism by which cyclophilin A inhibitors inhibit virus replication [129].
2.4.3. Alisporivir (Debio-025)
Debio-025 (C15) (Figure 2) is a CsA analogue that significantly disrupts the lifecycle of the hepatitis C virus [130,131] and the replication of HIV-1 [132]. Debio-025 differs from CsA by having an additional methyl group at position 3 of the cyclic undecapeptide and an N-ethylvaline instead of an N-methylleucine at position 4. Unlike CsA, Debio-025 does not exhibit immunosuppressive activity in vitro and in vivo. The structure of the cyclophilin A-Debio-025 complex, hindered by steric interference with calcineurin’s Val4 residue, contrasts with the cyclophilin A–CsA–calcineurin ternary complex, where the Leu4 side chain fits into a hydrophobic cavity at the calcineurin interface. This provides a rational basis for Debio-025’s nonimmunosuppressive properties [133].
Furthermore, Debio-025 inhibits cell migration. When administered in vivo in a triple-negative breast cancer in situ model, Debio-025 alone or in combination with anti-PD-1 mAb shows antitumor efficacy, reducing tumor volume and metastatic lung dispersion. In addition, when analyzed by NanoString immunoassay, treating Debio-025 with anti-PD-1 mAb increased T-cell signaling and innate immune signaling in the tumor microenvironment [134].
2.5. Sanglifehrin A (SFA)—A Natural Product
A new class of compounds named sanglifehrins has been identified through screening of the cyclophilin-binding substances from microbial broth extracts of Streptomyces sp. A92-308110 [135,136]. Among 20 different sanglifehrins isolated, sanglifehrin A (SFA, C16) (Figure 2) is the most abundant. Its affinity for cyclophilins is about 60 times higher than CsA in a cell-free competitive binding assay (IC50 = 6.9 ± 0.9 nM for SFA vs. IC50= 420 ± 56 nM for CsA) [137]. The chemical and three-dimensional structure of SFA greatly differs from CsA, suggesting distinct mechanisms in its immunosuppressive capacity [138]. More surprisingly, SFA’s complex macrocyclic structure, featuring a unique tripeptide, an (E,E)-diene unit, and a polypropionate section, results in an exceptionally strong affinity for cyclophilins [139]. Furthermore, SFA also shows significant immunosuppressive activity in the murine mixed lymphocyte reaction (IC50 = 170 nM) [137], and has an inhibitory effect on T-cells [140,141,142] and dendritic cells [143,144]. For instance, SFA remarkably abrogates production of bioactive IL-12p70, the major producer of IL-12 secreted by dendritic cells, to inhibit the activity of dendritic cells [143]. These studies indicate that SFA is a novel and potent immunosuppressant agent.
Based on the SFA structure as the lead structure, the macrocycle was simplified and some cyclophilic protein inhibitors were synthesized. Schiene-Fischer et al. and Han et al. have summarized this [38,49]. Now, the total synthesis of sanglifehrin A and sanglifehrin B (SFB, C17) (Figure 2) and preparation of additional analogs have been achieved. Their biological activity has been evaluated in Jurkat cells and they can also stabilize protein–protein interactions [145].
2.6. Cyclosporin O (CsO)—A Natural Macrocycle
Cyclosporin O (CsO, C18) (Figure 2) and its derivatives (CP1-3, C19–C21) (Figure 2) are macrocyclic peptides with structural diversity and more rational design. In nonpolar media, CsO exhibits a conformation similar to CsA. CsO exhibits its own characteristics; for example, it has a higher plasma concentration than CsA, due to its minimal binding to cyclophilin A, lower accumulation in red blood cells, and moderate oral bioavailability (F = 12%) [146].
3. Small Molecular Inhibitors of Cyclophilin A
3.1. Quinoxaline Derivatives
Li and colleagues identified a novel quinoxaline derivative, 2,3-di(furan-2-yl)-6-(3-N,N-diethyl-carbamoyl-piperidino) carbonylamino quinoxaline (DC838, C22) (Figure 2) as a potent inhibitor against human cyclophilin A [147]. Its IC50 for cyclophilin A is 0.41 µM, as determined by PPIase activity assay. The KD value of the cyclophilin A-DC838 complex is 7.09 µM, and the K’D value 3.78 µM, as analyzed by surface plasmon resonance and fluorescence titration techniques. In vivo studies also revealed that DC838 inhibits mouse spleen cell proliferation induced by concanavalin A. In addition, the specific binding site of DC838 to cyclophilin A has been elucidated by using molecular docking simulation at the atomic level, providing useful information in discovering the novel immunosuppressors based on quinoxaline derivative [147].
Meanwhile, another report identified sixteen novel small molecule inhibitors of cyclophilin A, also belonging to quinoxaline derivatives. This discovery was made using a strategy that integrates focused combinatorial library design, virtual screening, and chemical synthesis [148]. These molecules bind to cyclophilin A with binding affinities (KD) ranging from 0.076 to 41.0 µM, and five of them (C23–C27) (Figure 2) are the potent cyclophilin A PPIase inhibitors with IC50 values of 0.25–6.43 µM. Therefore, these novel chemical entities could serve as leads for developing new therapies targeting the cyclophilin A pathway in immune or cancer cells.
3.2. Cyclophilin A Inhibitor 239836
Compound 239836 (C28) (Figure 2) acts as an inhibitor of cyclophilin A (IC50 = 1.5 nM), which is approximately 27-fold more potent than CsA, as determined by in vitro assays [149]. The chemical formula of this compound is C21H14ClFN2O2. Moreover, C28-treated non-small-cell lung cancer cell line 95C showed that metalloproteinase-9 activity is significantly decreased in a dose-dependent manner, which is a result of suppression of cyclophilin A induced by C28 [149]. This compound is still under development.
3.3. Aryl 1-Indanylketones
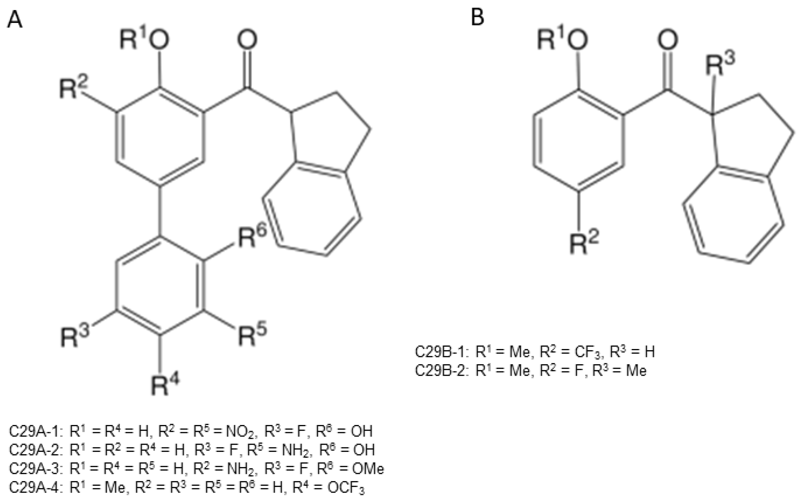
A novel pair of small molecule inhibitors of cyclophilins, i.e., C29A and C29B, has been identified on the basis of aryl 1-indanylketones, which is capable of discriminating between cyclophilin A and cyclophilin B in vitro (Figure 3). The binding of cyclophilin A to the inhibitor C29A has been characterized through fluorescence-anisotropy-based and isothermal titration calorimetry-based cyclosporin competition assays. These inhibitors specifically impair cyclophilin A- but not cyclophilin B-mediated chemotaxis of mouse CD4+ T-cells, providing in vivo biological proof of selectivity [150]. The derivative of this inhibitor, C29A-1, enhances selectivity for cyclophilin A over other cyclophilins, especially in the case of cyclophilin B; this inhibitor maintains the highest discriminatory ability between cyclophilin A and B, exceeding a factor of 200. However, among the aryl 1-indanylketone series, the most active inhibitor of cyclophilin A is C29A-2 (KI = 0.3 ± 0.1 μM), which, meanwhile, inhibits cyclophilin B with a KI of 12 ± 5 μM, thereby discriminating between cyclophilin A and cyclophilin B by a factor of 40. In addition, the two enantiomers of C29B-2 were also analyzed. The inhibitory (R)-enantiomer demonstrates a 40-fold selectivity for cyclophilin A, whereas the (S)-configuration at the 1-methyl position completely negates inhibition of both cyclophilin A and B [150,151].
Figure 3.
Chemical structure of aryl 1-indanylketones (C29) and their derivatives. (A): The nucleus of biaryl indenyl methanone, where R1-R6 can be substituted by different groups to generate C29A1-4. (B): The nucleus of aryl indenyl methanone, where R1-R3 can be substituted by different groups to generate C29B1-2.
3.4. Dimedone Analogues
The dimedone family of cyclophilin inhibitors, including C30–C35 (Figure 2), has been found, which was achieved using the database-mining program LIDAEUS and in-silico screening techniques. These dimedone analogues display a consistent “ball and socket” binding mode, with a dimethyl group occupying the hydrophobic binding pocket of human cyclophilin A, akin to the interaction of the natural inhibitor CsA [152]. The most potent derivative, C35, binds to cyclophilin A with a Kd of 11.2 ± 9.2 µM. Its IC50 for inhibiting cyclophilins in C. elegans is 190 µM, significantly higher than CsA’s 28 µM. These dimedone analogues offer a novel framework for synthesizing peptidomimetic molecules with potential efficacy against cyclophilins and related inflammatory diseases [152,153].
3.5. Gracilins—Natural Diterpenes Derivative
Gracilins is a diterpenoid compound isolated from the marine sponge Spongionella gracilis. Natural gracilins and synthetic derivatives have shown affinity with cyclophilic proteins. Gracilin L C36 (Figure 2) and two synthetic analogues, compounds 1 and 2 (C37–C38) (Figure 2), have shown anti-inflammatory effects in a cellular model of inflammation. CsA is used as a control, and these compounds can reduce the expression of inflammatory mediators and target proteins, and activate antioxidant mechanisms under inflammatory conditions. Therefore, natural and synthetic gracilins have the potential to be developed into anti-inflammatory drugs [154].
3.6. Dichloro-Benzophenone Derivative—Natural Compound
In addition to butyrolactone I (C39), V (C40), and VI (C41) (Figure 2), dichloro-dibenzophenone derivatives, including dihydrogeodin (C42) (Figure 2), were also extracted and isolated from the thermophilic fungus Aspergillus terreus TM8. Using 1D, 2D NMR, and ESI HR mass data, as well as X-ray crystallography, researchers reported the structure of dihydrogeodin (C42). The docking and molecular dynamics simulation of dihydrogeodin with isomerase cyclophilic A showed its important prospective activity as an antiviral and immunosuppressive factor [155].
3.7. Other Novel Small Molecular Inhibitors of Cyclophilin A
Recently, 12 bisamide compounds were designed and synthesized, and their anti-HCV activity and cytotoxicity were tested. Among them, the bisamide derivative 7c (C43) (Figure 2) is a promising compound with strong anti-HCV activity at subtoxic concentrations. The EC50 value of 7c is 4.2 ± 0.1 µM. The CC50 value of 7c is greater than 100 µM. The study of molecular docking indicates that 7c is located at the active site of cyclophilin A. In addition, 7c was directly bound to cyclophilin A by surface plasmon resonance (SPR) experiments. All these studies suggest that derivative 7c is a potent cyclophilin A inhibitor [156].
In another article, 16 bisamide derivatives were designed and the binding mode for cyclophilin A was switched. Docking research has shown that 7e (C44) (Figure 2) is located in the gatekeeper pocket, with a selectivity index exceeding 18.9. The EC50 value of 7e is 5.3 μM, but at 100 μM, it has no cytotoxicity. The SPR results indicate that 7e can bind with cyclophilin A, with a KD of 3.66 μM. 7e as a cyclophilin A inhibitor can serve as an alternative anti-HCV drug in future combination therapy [49].
There are also many studies on new nonpeptide small molecular cyclophilin inhibitors. They exhibit potent in vitro PPIase inhibitory activity and antiviral activity against hepatitis C virus, human immunodeficiency virus, and coronaviruses [157,158].
The latest research has found that 23-demethyl 8,13-deoxygenicin (C45) (Figure 2), a natural inhibitor of cyclophilin A, either as monotherapy or in combination with afatinib, can inhibit the growth of cancer stem cells in non-small-cell lung cancer by disrupting the crosstalk between cyclophilin A/CD147 and EGFR. Its mechanism of action is that C45 can inhibit proliferation and lead to apoptosis of MKN45 gastric cancer stem-like cells by regulating the cyclophilin A/CD147-mediated signaling pathway [159,160].
4. Peptide Analogues
4.1. Heptapeptides
Based on the X-ray structure of Gag fragments: cyclophilin A complexes, Li [161] generated 52 modified peptides to explore the interaction determinants of the complex and to identify peptidic ligands with higher affinity than the capsid domain of the Gag protein. Among these peptides, the presence of an N-terminal valine or substitution of the C-terminal alanine amide with a benzylamide group (-NHBn) enhances high-affinity binding. The combination of both modifications results in a highly potent competitor, Dav-His-Ala-Gly-Pro-Ile-NHBn (Dav, deaminovaline; NHBn, benzylamine) (C46) (Figure 2). This competitor exhibits a stronger affinity for cyclophilin A (Kd = 3 ± 0.5 μM) than the entire capsid protein (Kd = 16 ± 4 μM), and has a very low affinity for FKBP12, another important PPIase in the immunophilin family. These studies suggest that the title compound is not a substrate of cyclophilin A, but interacts preferentially in the trans conformation for immune suppression.
4.2. N- or C-Terminal Modification of Gag Peptide
A study employing molecular docking and 3D-QSAR approaches investigated 22 Gag peptide analogues interacting with human cyclophilin A [162]. The Lamarckian Genetic Algorithm (LGA) and divide-and-conquer methods were applied to determine the binding orientations and conformations of these peptide analogues with cyclophilin A. Among these analogues, the peptides C47 (Dav-His-Ala-Gly-Pro-Ile-Ala-NH2), C48 (Dav-His-Ala-Gly-Pro-Ile-NH-CH2-Ph), and C49 (Dav-His-Ala-Gly-Pro-Acp-NH-CH2-Ph) (Dav, deaminovaline; Acp, 2-aminocyclopentanecarboxylate) were identified based on a novel interaction model. The N-termini of compounds C47, C48, and C49 were modified by the addition of a deaminovaline group. Meanwhile, the C-termini of C48 and C49 were modified by the addition of a benzyl group (-Ph). These new peptide analogue inhibitors exhibit much higher inhibitory activities for cyclophilin A [162].
4.3. Trp-Gly-Pro (WGP)
Another study using the Miyazawa–Jernigan matrix and the hidden Markov model identified a peptide, Trp-Gly-Pro (WGP), acting as an inhibitor for cyclophilin A and FKBP12 [163]. This peptide, though smaller in molecular weight than CsA, binds to cyclophilin A with a similar affinity, having a dissociation equilibrium constant KD of 3.41 × 10−6 M, which is in the same order as CsA (KD = 6.42 × 10−6 M). Also, WGP inhibits cyclophilin A-mediated PPIase activity with IC50 values of 33.11 nM and 10.25 nM, respectively. In addition, this peptide also inhibits HIV-1 infection and exhibits lower toxicity and better oral availability and solubility than CsA, making it a potential CsA replacement in clinical applications [164].
4.4. Pseudopeptides
Demange [165] inserted the Glyψ (PO2R1-N) Pro motif (R = alkyl or H) into Suc-Ala-Ala-Pro-Phe-pNA (pNA, p-nitroaniline), a peptide substrate of cyclophilin A to create a pseudopeptide Suc-Ala-Glyψ (PO2Et-N) Pro-Phe-pNA (C50) (Figure 2). This pseudopeptide binds to cyclophilin A with a Kd = 20 ± 5 μM and selectively inhibits the cyclophilin A’s PPIase activity at IC50 = 15 ± 1 μM. This pseudopeptide does not inhibit the PPIase activity of FKBP12, making compound C50 a novel transition-state mimic inhibitor of cyclophilin A.
4.5. “Self-Reproduction of Chirality” Analogues
Based on the structures of proline-containing peptides [166], both ground-state analogues (C51) and transition-state analogues (C52) were prepared. While C52 shows minimal binding to the active site (Kd = 77 μM for C52b), several ground-state analogues exhibit low micromolar affinity (Kd = 1.5 μM for C51e) (Figure 4), suggesting their potential as lead compounds for cyclophilin A inhibitors.
Figure 4.
Chemical structure of the compounds C51 and C52 based on their ground or transition states.
5. Cyclophilin A Inhibitors in Clinical Trials
Cyclophilin A is implicated in many human disorders, including inflammatory diseases such as viral infection and atherosclerosis, and cancers [9]. As described above, more and more inhibitors of cyclophilin A have been identified and tested for treating these diseases. Although CsA, the potent inhibitor of cyclophilin A, has been approved as a potent immunosuppressive drug by the U.S. FDA for over three decades, many other inhibitors are not approved yet. It is delighting, however, that a line of cyclophilin A inhibitors have been entered into clinical trials (Table 2). Based on the potent role of cyclophilin A inhibitors in preventing graft-versus-host immunity or rejections, these clinical trials mainly focus on immunosuppression after liver or kidney transplantations or hematological stem cell transplant after bone marrow failure or leukemia/lymphoma. Clinical trials of CsA, both alone and in combination with other agents, are being undertaken to reduce its severe side effects (especially CsA-induced skin cancer), or to investigate the optimal regime in organ transplantation, and to detect the efficacy of antiviral infection. For example, the efficacy and toxicity of CsA and irinotecan hydrochloride in the treatment of advanced colorectal cancer patients resistant to fluorourea drugs have been studied in a phase 3 clinical trial. Also, there are two phase 4 clinical studies focusing on improving the prognosis of patients with COVID-19 infection by CsA combined with standard of care treatment, and on the efficacy of CsA to control HIV virus replication (Table 2). Another promising inhibitor is Alisporivir (Debio-025, C15), which has led to testing in phase 2/3 for use in combination with Peg-IFN and Ribavirin to treat chronic hepatitis C and inflammatory diseases. A recent clinical trial showed that in addition to Alisporivir‘s antiviral properties, it may also be effective in preventing lung tissue damage for the patients with infections due to SARS-CoV-2 (COVID-19) (Table 2). These studies suggest that cyclophilin A inhibitors are convincing immunosuppressant drugs for graft-versus-host diseases and inflammatory disorders.
Table 2.
Clinical trials of inhibitors of cyclophilin A a.
Intriguingly, although CsA, the potent inhibitor of cyclophilin A, may induce skin cancer when used in transplantation [89,90,91,92,167,168,169], cyclophilin A has been observed to be upregulated in many solid cancers such as breast cancer, small-cell lung cancer, pancreatic cancer, colorectal cancer, squamous cell carcinoma, and melanoma [53]. Recent studies show elevated cyclophilin A expression in various cancers, promoting cell proliferation, migration/invasion, and apoptosis inhibition, with overexpression correlating with poorer patient outcomes [55]. Cyclophilin A upregulation has also been shown to confer resistance to cisplatin-induced apoptosis in several human cancer cells [170]. Similarly, an oligo-microarray analysis by Chen et al. [171] revealed that cyclophilin A can increase the expression of many cytokine-related, drug-transport-related, and drug-metabolism-related genes, which may lead to increased resistance of cancer cells to anticancer drugs. Although the underlying mechanisms of cyclophilin A on cancer development remain elusive, cyclophilin A inhibitors (especially CsA) have emerged for possibilities to treat human malignancies, including hematological and solid cancers, in clinical trials [78,79,172,173]. For example, despite the fact that CsA alone was ineffective for treating refractory colorectal cancer and produced significant toxicity [174], CsA in oral administration can modulate pharmacokinetics of irinotecan, the topoisomerase inhibitor. This insight is being used to alleviate toxicity in patients with fluorouracil refractory metastatic colon cancer [79]. A recent clinical trial revealed that in dose escalation cohort with advanced solid malignancies, CsA in combination with selumetinib, which involves the use of an MEK (mitogen-activated protein kinase/extracellular signal-regulated kinase) inhibitor, was well tolerated and showed evidence of antitumor activity in metastatic colorectal cancer [87]. Clinical studies support the hypothesis that cyclophilin A inhibitors could be promising in combination therapy for several human malignancies.
Taken together, more and more promising evidence suggests that cyclophilin A inhibitors have been used in solid tumors in combination with established chemotherapeutic drugs, not just used as a potent immunosuppressants after transplantation in the patients with end-stage solid tumor or hematological diseases, but also as a direct therapeutic method for several solid tumors. The recent clinical trials not only affirmed the therapeutic potential of cyclophilin A inhibitors, but also highlighted their promising clinical application. These studies have enhanced researchers’ confidence in the development and approval of new drugs targeting cyclophilin A.
6. Conclusions and Perspectives
Cyclophilin A is recognized for its significant role in various biological processes and its association with numerous human disorders, such as inflammatory diseases and cancers, through its chaperone and peptidyl-prolyl isomerase (PPIase) activities. Its inhibitors have been discovered and characterized, and include the cyclic peptides (e.g., the first identified inhibitor CsA, SCY-635, and Alisporivir), the small molecule inhibitors (e.g., DC838), and the peptide analogues (e.g., WGP). In addition to CsA, several other inhibitors have entered clinical trials to assess their pharmacokinetics, efficacy, and safety. In addition to the classical roles of cyclophilin A inhibitors, plenty of clinical trials are focusing on the efficacy of the inhibitors in human hematological and even solid cancers.
Since cyclophilin A has multifaceted roles in addition to immune response, there may be four future aspects and directions for the development of cyclophilin A inhibitors: (i) Identifying more potent inhibitors to target the PPIase activity of cyclophilin A effectively. It is a challenging and prospective direction to design novel inhibitors with anti-PPIase activity of cyclophilin A in the aspect of new technologies in drug design and discovery, such as PROTAC strategy [175], machine learning, artificial intelligence, quantum computing, and combined with existing computational drug design platform. (ii) Employing a diverse set of cyclophilin A conformations to identify and design the potential novel inhibitors. Accelerated molecules dynamics (aMD) has been applied to investigate the complex biomolecules. Considering the diverse functions of cyclophilin A in organisms, aMD is shown to be able to generate multiple of structures of a drug target, cyclophilin A [176]. These structures can be further used for structure-based computer-aided drug discovery and docking, and, thus, in the identification and design of potential novel inhibitors. (iii) Discovering nonimmunosuppressive inhibitors to advance the development of therapeutics for cyclophilin A-related cancers without compromising immune function. Research has shown that the expression of cyclophilin A is enhanced in HCC cells, and overexpressed cyclophilin A promotes HCC metastasis by upregulating matrix metalloproteinases MMP3 and MMP9 [57,177]. Therefore, one promising direction is to discover the inhibitors that can suppress the overexpression of cyclophilin A or the expression of MMP3 and MMP9, which, thus, will exclusively inhibit tumor growth but have no immunosuppressive effect. Recently, cyclophilin A short hairpin RNA, which has been identified as a nonimmunosuppressive PPIase inhibitor, can inhibit prolactin-stimulated signaling and regulate prolactin/Jak2-mediated tumor cell growth and migration [178]. This result may help us develop drugs for treating cancer based on cyclophilin A without interrupting immunity. (iv) Developing inhibitors that specifically target extracellular cyclophilin A through the cyclophilin A–CD147 complex. Previous studies have found that extracellular cyclophilin A stimulates cell proliferation by activating the ERK1/2 signaling pathway and CD147. Importantly, knocking down CD147 on hepatoma cells leads to a significant increase in T-cell chemotaxis by cyclophilin A induction both in vivo and in vitro [37]. These findings may provide a potential approach to discover novel cyclophilin A inhibitors to control cyclophilin A–CD147-related cancers.
However, it is important to note that many mechanistic details of cyclophilin A are still unknown and warrant further investigation., e.g., the fundamental roles of cyclophilin A in cancer development and progression, and the alternative receptors of extracellular cyclophilin A in addition to CD147. Moreover, many of the identified inhibitors are still under development. It is also urgent to discover novel and efficient candidate inhibitors of cyclophilin A to improve therapy regimen to reduce the toxicity and the off-target effects of the inhibitors themselves or the therapeutic drugs when used in combination. On the other hand, as CsA is also used in inflammatory diseases, finding nonimmunosuppressive CsA derivatives or new drugs that inhibit the role of cyclophilin A in inflammation and do not affect host immunity during viral infection control or cancer treatment still have a long way to go.
In summary, although the immunosuppressive agent CsA is well characterized, a wide range of cyclophilin inhibitors have emerged. These compounds have been proven to be effective against inflammation and cancer both in vivo and in vitro, and some are currently undergoing clinical trial evaluations. These advances have promoted the development of new drugs and encouraged further development of approved drugs, providing a promising strategy for treating inflammatory diseases and cancers.
Author Contributions
X.Z. (Xuemei Zhao) conceived the project, X.Z. (Xuemei Zhao) and C.W. wrote the manuscript, and X.Z. (Xin Zhao) and W.D. provided assistance for manuscript editing. All authors have read and agreed to the published version of the manuscript.
Funding
This work was supported by the grants from the National Natural Science Foundation of China (NSFC) (81872161, 81372589, 81672450, and 81172959), and the Shandong Science and Technology Development Planning of China (BS2009SW059 and 2007GG20002017).
Institutional Review Board Statement
Not applicable.
Informed Consent Statement
Not applicable.
Data Availability Statement
Not applicable.
Conflicts of Interest
The authors declare no conflicts of interest.
References
- Alam, M.R.; Baetz, D.; Ovize, M. Cyclophilin D and myocardial ischemia–reperfusion injury: A fresh perspective. J. Mol. Cell. Cardiol. 2015, 78, 80–89. [Google Scholar] [CrossRef]
- Heitman, J.; Cullen, B.R. Cyclophilin B Escorts the Hepatitis C Virus RNA Polymerase: A Viral Achilles Heel? Mol. Cell 2005, 19, 145–146. [Google Scholar] [CrossRef] [PubMed]
- Ping, W.; Joseph, H. The cyclophilins. Genome Biol. 2005, 6, 226. [Google Scholar]
- Zhao, X.; Xia, C.; Wang, X.; Wang, H.; Xin, M.; Yu, L.; Liang, Y. Cyclophilin J PPIase Inhibitors Derived from 2,3-Quinoxaline-6 Amine Exhibit Antitumor Activity. Front. Pharmacol. 2018, 9, 126. [Google Scholar] [CrossRef] [PubMed]
- Lang, K.; Schmid, F.X.; Fischer, G. Catalysis of protein folding by prolyl isomerase. Nature 1987, 329, 268–270. [Google Scholar] [CrossRef]
- Fischer, G.; Wittmann-Liebold, B.; Lang, K.; Kiefhaber, T.; Schmid, F.X. Cyclophilin and peptidyl-prolyl cis-trans isomerase are probably identical proteins. Nature 1989, 337, 476–478. [Google Scholar] [CrossRef] [PubMed]
- Davis, T.L.; Walker, J.R.; Campagna-Slater, V.; Finerty, P.J.; Paramanathan, R.; Bernstein, G.; Mackenzie, F.; Tempel, W.; Ouyang, H.; Lee, W.H. Structural and Biochemical Characterization of the Human Cyclophilin Family of Peptidyl-Prolyl Isomerases. PLoS Biol. 2010, 8, e1000439. [Google Scholar] [CrossRef] [PubMed]
- Camilloni, C.; Sahakyan, A.B.; Holliday, M.J.; Isern, N.G.; Zhang, F.; Eisenmesser, E.Z.; Vendruscolo, M. Cyclophilin A catalyzes proline isomerization by an electrostatic handle mechanism. Proc. Natl. Acad. Sci. USA 2014, 111, 10203–10208. [Google Scholar] [CrossRef]
- Nigro, P.; Pompilio, G.; Capogrossi, M.C. Cyclophilin A: A key player for human disease. Cell Death Dis. 2013, 4, e888. [Google Scholar] [CrossRef]
- Handschumacher, R.E.; Harding, M.W.; Rice, J.; Drugge, R.J.; Speicher, D.W. Cyclophilin: A specific cytosolic binding protein for cyclosporin A. Science 1984, 226, 544–547. [Google Scholar] [CrossRef]
- Harding, M.W.; Handschumacher, R.E.; Speicher, D.W. Isolation and Amino Acid Sequence of Cyclophilin. J. Biol. Chem. 1986, 261, 8547–8555. [Google Scholar] [CrossRef]
- Kallen, J.; Spitzfaden, C.; Zurini, M.G.; Wider, G.; Widmer, H.; Wüthrich, K.; Walkinshaw, M.D. Structure of human cyclophilin and its binding site for cyclosporin A determined by X-ray. Nature 1991, 353, 276–279. [Google Scholar] [CrossRef] [PubMed]
- Ke, H. Similarities and differences between human cyclophilin A and other beta-barrel structures. Structural refinement at 1.63 A resolution. J. Mol. Biol. 1992, 228, 539–550. [Google Scholar] [CrossRef]
- Ottiger, M.; Zerbe, O.; GuÈntert, P.; WuÈthrich, K. The NMR solution conformation of unligated human cyclophilin A. J. Mol. Biol. 1997, 272, 64–81. [Google Scholar] [CrossRef] [PubMed]
- Thériault, Y.; Logan, T.M.; Meadows, R.; Yu, L.; Olejniczak, E.T.; Holzman, T.F.; Simmer, R.L.; Fesik, S.W. Solution structure of the cyclosporin A/cyclophilin complex by NMR. Nature 1993, 361, 88–91. [Google Scholar] [CrossRef]
- Wiederrecht, G.; Lam, E.; Hung, S.; Martin, M.; Sigal, N. The mechanism of action of FK-506 and cyclosporin A. Ann. N. Y. Acad. Sci. 1993, 696, 9–19. [Google Scholar] [CrossRef] [PubMed]
- Sherry, B.; Zybarth, G.; Alfano, M.; Dubrovsky, L.; Mitchell, R.; Rich, D.; Ulrich, P.; Bucala, R.; Cerami, A.; Bukrinsky, M. Role of cyclophilin A in the uptake of HIV-1 by macrophages and T lymphocytes. Proc. Natl. Acad. Sci. USA 1998, 95, 1758–1763. [Google Scholar] [CrossRef]
- Hong, F.; Lee, J.; Song, J.W.; Lee, S.J.; Ahn, H.; Cho, J.J.; Ha, J.; Kim, S.S. Cyclosporin A blocks muscle differentiation by inducing oxidative stress and inhibiting the peptidyl-prolyl-cis-trans isomerase activity of cyclophilin A: Cyclophilin A protects myoblasts from cyclosporin A-induced cytotoxicity. FASEB J. 2002, 16, 1633–1635. [Google Scholar] [CrossRef]
- Towers, G.J.; Hatziioannou, T.; Cowan, S.; Goff, S.P.; Luban, J.; Bieniasz, P.D. Cyclophilin A modulates the sensitivity of HIV-1 to host restriction factors. Nat. Med. 2003, 9, 1138–1143. [Google Scholar] [CrossRef]
- Colgan, J.; Asmal, M.; Neagu, M.; Yu, B.; Schneidkraut, J.; Lee, Y.; Sokolskaja, E.; Andreotti, A.; Luban, J. Cyclophilin A Regulates TCR Signal Strength in CD4+ T Cells via a Proline-Directed Conformational Switch in Itk. Immunity 2004, 21, 189–201. [Google Scholar] [CrossRef]
- Kim, S.H.; Lessner, S.M.; Sakurai, Y.; Galis, Z.S. Cyclophilin A as a novel biphasic mediator of endothelial activation and dysfunction. Am. J. Pathol. 2004, 164, 1567–1574. [Google Scholar] [CrossRef]
- Sokolskaja, E.; Luban, J. Cyclophilin, TRIM5, and innate immunity to HIV-1. Curr. Opin. Microbiol. 2006, 9, 404–408. [Google Scholar] [CrossRef]
- Satoh, K.; Nigro, P.; Berk, B.C. Oxidative Stress and Vascular Smooth Muscle Cell Growth: A Mechanistic Linkage by Cyclophilin A. Antioxid. Redox Signal. 2010, 12, 675–682. [Google Scholar] [CrossRef] [PubMed]
- Campa, M.J.; Wang, M.Z.; Howard, B.; Fitzgerald, M.C.; Patz, E.F. Protein Expression Profiling Identifies Macrophage Migration Inhibitory Factor and Cyclophilin A as Potential Molecular Targets in Non-Small Cell Lung Cancer. Cancer Res. 2003, 63, 1652–1656. [Google Scholar] [PubMed]
- Obama, K.; Kato, T.; Hasegawa, S.; Satoh, S.; Nakamura, Y.; Furukawa, Y. Overexpression of peptidyl-prolyl isomerase-like 1 is associated with the growth of colon cancer cells. Clin. Cancer Res. 2006, 12, 70–76. [Google Scholar] [CrossRef]
- Galigniana, M.D.; Morishima, Y.; Gallay, P.A.; Pratt, W.B. Cyclophilin-A is bound through its peptidylprolyl isomerase domain to the cytoplasmic dynein motor protein complex. J. Biol. Chem. 2004, 279, 55754–55759. [Google Scholar] [CrossRef] [PubMed]
- Seizer, P.; Geisler, T.; Bigalke, B.; Schneider, M.; Klingel, K.; Kandolf, R.; Stellos, K.; Schreieck, J.; Gawaz, M.; May, A.E. EMMPRIN and its ligand Cyclophilin A as novel diagnostic markers in inflammatory cardiomyopathy. Int. J. Cardiol. 2013, 163, 299–304. [Google Scholar] [CrossRef]
- Bobardt, M.; Hopkins, S.; Baugh, J.; Chatterji, U.; Hernandez, F.; Hiscott, J.; Sluder, A.; Lin, K.; Gallay, P.A. HCV NS5A and IRF9 compete for CypA binding. J. Hepatol. 2013, 58, 16–23. [Google Scholar] [CrossRef]
- Liu, X.; Zhao, Z.; Liu, W. Insights into the Roles of Cyclophilin A During Influenza Virus Infection. Viruses 2013, 5, 182–191. [Google Scholar] [CrossRef]
- Zhang, T.T.; Zhang, J.F.; Ge, H. Functions of cyclophilin A in atherosclerosis. Exp. Clin. Cardiol. 2013, 18, e118–e124. [Google Scholar]
- Gerhard, H. Cyclophilin A as a Target of Cisplatin Chemosensitizers. Curr. Cancer Drug Targets 2014, 14, 46–58. [Google Scholar]
- Dawar, F.U.; Wu, J.; Zhao, L.; Khattak, M.N.K.; Mei, J.; Lin, L. Updates in understanding the role of cyclophilin A in leukocyte chemotaxis. J. Leukoc. Biol. 2017, 101, 823–826. [Google Scholar] [CrossRef] [PubMed]
- Seizer, P.; Gawaz, M.; May, A.E. Cyclophilin A and EMMPRIN (CD147) in cardiovascular diseases. Cardiovasc. Res. 2014, 102, 17–23. [Google Scholar] [CrossRef] [PubMed]
- Tsai, S.F.; Hsieh, C.C.; Wu, M.J.; Chen, C.H.; Lin, T.H.; Hsieh, M. Novel findings of secreted cyclophilin A in diabetic nephropathy and its association with renal protection of dipeptidyl peptidase 4 inhibitor. Clin. Chim. Acta 2016, 463, 181–192. [Google Scholar] [CrossRef] [PubMed]
- Ramachandran, S.; Vinitha, A.; Kartha, C.C. Cyclophilin A enhances macrophage differentiation and lipid uptake in high glucose conditions: A cellular mechanism for accelerated macro vascular disease in diabetes mellitus. Cardiovasc. Diabetol. 2016, 15, 152. [Google Scholar] [CrossRef]
- Lahaye, X.; Satoh, T.; Gentili, M.; Cerboni, S.; Silvin, A.; Conrad, C.; Ahmed-Belkacem, A.; Rodriguez, E.; Guichou, J.-F.; Bosquet, N. Nuclear Envelope Protein SUN2 Promotes Cyclophilin-A-Dependent Steps of HIV Replication. Cell Rep. 2016, 15, 879–892. [Google Scholar] [CrossRef]
- Ren, Y.X.; Wang, S.J.; Fan, J.H.; Sun, S.J.; Li, X.; Padhiar, A.A.; Zhang, J.N. CD147 stimulates hepatoma cells escaping from immune surveillance of T cells by interaction with Cyclophilin A. Biomed. Pharmacother. 2016, 80, 289–297. [Google Scholar] [CrossRef] [PubMed]
- Schiene-Fischer, C.; Fischer, G.; Braun, M. Non-Immunosuppressive Cyclophilin Inhibitors. Angew. Chem. Int. Ed. 2022, 61, e202201597. [Google Scholar] [CrossRef]
- Saleh, T.; Jankowski, W.; Sriram, G.; Rossi, P.; Shah, S.; Lee, K.B.; Cruz, L.A.; Rodriguez, A.J.; Birge, R.B.; Kalodimos, C.G. Cyclophilin A promotes cell migration via the Abl-Crk signaling pathway. Nat. Chem. Biol. 2016, 12, 117–123. [Google Scholar] [CrossRef]
- Kim, H.; Oh, Y.; Kim, K.; Jeong, S.; Chon, S.; Kim, D.; Jung, M.H.; Pak, Y.K.; Ha, J.; Kang, I.; et al. Cyclophilin A regulates JNK/p38-MAPK signaling through its physical interaction with ASK1. Biochem. Biophys. Res. Commun. 2015, 464, 112–117. [Google Scholar] [CrossRef]
- Emmel, E.A.; Verweij, C.L.; Durand, D.B.; Higgins, K.M.; Lacy, E.; Crabtree, G.R. Cyclosporin A specifically inhibits function of nuclear proteins involved in T cell activation. Science 1989, 246, 1617–1620. [Google Scholar] [CrossRef] [PubMed]
- Flanagan, W.M.; Corthésy, B.; Bram, R.J.; Crabtree, G.R. Nuclear association of a T-cell transcription factor blocked by FK-506 and cyclosporin A. Nature 1991, 352, 803–807. [Google Scholar] [CrossRef] [PubMed]
- Liu, J.; Albers, M.W.; Wandless, T.J.; Luan, S.; Alberg, D.G.; Belshaw, P.J.; Cohen, P.; MacKintosh, C.; Klee, C.B.; Schreiber, S.L. Inhibition of T cell signaling by immunophilin-ligand complexes correlates with loss of calcineurin phosphatase activity. Biochemistry 1992, 31, 3896–3901. [Google Scholar] [CrossRef]
- Pua, K.H.; Stiles, D.T.; Sowa, M.E.; Verdine, G.L. IMPDH2 Is an Intracellular Target of the Cyclophilin A and Sanglifehrin A Complex. Cell Rep. 2017, 18, 432–442. [Google Scholar] [CrossRef]
- Dawar, F.U.; Tu, J.; Khattak, M.N.; Mei, J.; Lin, L. Cyclophilin A: A Key Factor in Virus Replication and Potential Target for Anti-viral Therapy. Curr. Issues Mol. Biol. 2017, 21, 1–20. [Google Scholar] [CrossRef]
- Liu, C.; Perilla, J.R.; Ning, J.; Lu, M.; Hou, G.; Ramalho, R.; Himes, B.A.; Zhao, G.; Bedwell, G.J.; Byeon, I.J.; et al. Cyclophilin A stabilizes the HIV-1 capsid through a novel non-canonical binding site. Nat. Commun. 2016, 7, 10714. [Google Scholar] [CrossRef]
- Lu, M.; Hou, G.; Zhang, H.; Suiter, C.L.; Ahn, J.; Byeon, I.J.; Perilla, J.R. Dynamic allostery governs cyclophilin A-HIV capsid interplay. Proc. Natl. Acad. Sci. USA 2015, 112, 14617–14622. [Google Scholar] [CrossRef] [PubMed]
- Daito, T.; Watashi, K.; Sluder, A.; Ohashi, H.; Nakajima, S.; Borroto-Esoda, K.; Fujita, T.; Wakita, T. Cyclophilin inhibitors reduce phosphorylation of RNA-dependent protein kinase to restore expression of IFN-stimulated genes in HCV-infected cells. Gastroenterology 2014, 147, 463–472. [Google Scholar] [CrossRef]
- Han, J.; Lee, M.K.; Jang, Y.; Cho, W.J.; Kim, M. Repurposing of cyclophilin A inhibitors as broad-spectrum antiviral agents. Drug Discov. Today 2022, 27, 1895–1912. [Google Scholar] [CrossRef]
- de Wilde, A.H.; Pham, U.; Posthuma, C.C.; Snijder, E.J. Cyclophilins and cyclophilin inhibitors in nidovirus replication. Virology 2018, 522, 46–55. [Google Scholar] [CrossRef]
- Yang, H.; Jian, C.; Yang, J.; Qiao, S.; Zhao, S.; Long, Y. Cyclophilin A is upregulated in small cell lung cancer and activates ERK1/2 signal. Biochem. Biophys. Res. Commun. 2007, 361, 763–767. [Google Scholar] [CrossRef]
- Chen, S.; Zhu, B.; Yu, L. In silico comparison of gene expression levels in ten human tumor types reveals candidate genes associated with carcinogenesis. Cytogenet. Genome Res. 2006, 112, 53–59. [Google Scholar] [CrossRef]
- Lee, J. Role of cyclophilin a during oncogenesis. Arch. Pharmacal Res. 2010, 33, 181–187. [Google Scholar] [CrossRef] [PubMed]
- Li, Z.; Zhao, X.; Bai, S.; Wang, Z.; Chen, L.; Wei, Y.; Huang, C. Proteomics identification of cyclophilin a as a potential prognostic factor and therapeutic target in endometrial carcinoma. Mol. Cell. Proteom. 2008, 7, 1810–1823. [Google Scholar] [CrossRef] [PubMed]
- Obchoei, S.; Wongkhan, S.; Wongkham, C.; Li, M.; Yao, Q.; Chen, C. Cyclophilin A: Potential functions and therapeutic target for human cancer. Med. Sci. Monit. 2009, 15, Ra221–Ra232. [Google Scholar] [PubMed]
- Zhu, D.; Wang, Z.; Zhao, J.J.; Calimeri, T.; Meng, J.; Hideshima, T.; Fulciniti, M.; Kang, Y.; Ficarro, S.B.; Tai, Y.T.; et al. The Cyclophilin A-CD147 complex promotes the proliferation and homing of multiple myeloma cells. Nat. Med. 2015, 21, 572–580. [Google Scholar] [CrossRef] [PubMed]
- Naoumov, N.V. Cyclophilin inhibition as potential therapy for liver diseases. J. Hepatol. 2014, 61, 1166–1174. [Google Scholar] [CrossRef]
- Grigoryeva, E.S.; Cherdyntseva, N.V.; Karbyshev, M.S.; Volkomorov, V.V.; Stepanov, I.V.; Zavyalova, M.V.; Perelmuter, V.M.; Buldakov, M.A.; Afanasjev, S.G.; Tuzikov, S.A.; et al. Expression of cyclophilin A in gastric adenocarcinoma patients and its inverse association with local relapses and distant metastasis. Pathol. Oncol. Res. 2014, 20, 467–473. [Google Scholar] [CrossRef] [PubMed]
- Li, Z.; Min, W.; Gou, J. Knockdown of cyclophilin A reverses paclitaxel resistance in human endometrial cancer cells via suppression of MAPK kinase pathways. Cancer Chemother. Pharmacol. 2013, 72, 1001–1011. [Google Scholar] [CrossRef] [PubMed]
- Bonfils, C.; Bec, N.; Larroque, C.; Del Rio, M.; Gongora, C.; Pugnière, M.; Martineau, P. Cyclophilin A as negative regulator of apoptosis by sequestering cytochrome c. Biochem. Biophys. Res. Commun. 2010, 393, 325–330. [Google Scholar] [CrossRef]
- Brazin, K.N.; Mallis, R.J.; Fulton, D.B.; Andreotti, A.H. Regulation of the tyrosine kinase Itk by the peptidyl-prolyl isomerase cyclophilin A. Proc. Natl. Acad. Sci. USA 2002, 99, 1899–1904. [Google Scholar] [CrossRef] [PubMed]
- Sherry, B.; Yarlett, N.; Strupp, A.; Cerami, A. Identification of cyclophilin as a proinflammatory secretory product of lipopolysaccharide-activated macrophages. Proc. Natl. Acad. Sci. USA 1992, 89, 3511–3515. [Google Scholar] [CrossRef]
- Jin, Z.G.; Melaragno, M.G.; Liao, D.F.; Yan, C.; Berk, B.C. Cyclophilin A Is a Secreted Growth Factor Induced by Oxidative Stress. Circ. Res. 2000, 87, 789–796. [Google Scholar] [CrossRef]
- Andersen, H.; Jensen, O.N.; Eriksen, E.F. A proteome study of secreted prostatic factors affecting osteoblastic activity: Identification and characterisation of cyclophilin A. Eur. J. Cancer 2003, 39, 989–995. [Google Scholar] [CrossRef]
- Suzuki, J.; Jin, Z.G.; Meoli, D.F.; Matoba, T.; Berk, B.C. Cyclophilin A Is Secreted by a Vesicular Pathway in Vascular Smooth Muscle Cells. Circ. Res. 2006, 98, 811–817. [Google Scholar] [CrossRef] [PubMed]
- Satoh, K.; Matoba, T.; Suzuki, J.; O’Dell, M.R.; Nigro, P.; Cui, Z.; Mohan, A.; Pan, S.; Li, L.; Jin, Z.G.; et al. Cyclophilin A mediates vascular remodeling by promoting inflammation and vascular smooth muscle cell proliferation. Circulation 2008, 117, 3088–3098. [Google Scholar] [CrossRef] [PubMed]
- Arora, K.; Gwinn, W.M.; Bower, M.A.; Watson, A.; Okwumabua, I.; MacDonald, H.R.; Bukrinsky, M.I.; Constant, S.L. Extracellular cyclophilins contribute to the regulation of inflammatory responses. J. Immunol. 2005, 175, 517–522. [Google Scholar] [CrossRef]
- Billich, A.; Winkler, G.; Aschauer, H.; Rot, A.; Peichl, P. Presence of cyclophilin A in synovial fluids of patients with rheumatoid arthritis. J. Exp. Med. 1997, 185, 975–980. [Google Scholar] [CrossRef]
- Jin, Z.G.; Lungu, A.O.; Xie, L.; Wang, M.; Wong, C.; Berk, B.C. Cyclophilin A is a proinflammatory cytokine that activates endothelial cells. Arterioscler. Thromb. Vasc. Biol. 2004, 24, 1186–1191. [Google Scholar] [CrossRef]
- Liu, L.; Li, C.; Xiang, J.; Dong, W.; Cao, Z. Over-expression and potential role of cyclophilin A in human periodontitis. J. Periodontal Res. 2013, 48, 615–622. [Google Scholar] [CrossRef]
- Yurchenko, V.; Constant, S.; Bukrinsky, M. Dealing with the family: CD147 interactions with cyclophilins. Immunology 2006, 117, 301–309. [Google Scholar] [CrossRef]
- Landskron, J.; Taskén, K. CD147 in regulatory T cells. Cell. Immunol. 2013, 282, 17–20. [Google Scholar] [CrossRef]
- Sànchez-Tilló, E.; Wojciechowska, M.; Comalada, M.; Farrera, C.; Lloberas, J.; Celada, A. Cyclophilin A is required for M-CSF-dependent macrophage proliferation. Eur. J. Immunol. 2006, 36, 2515–2524. [Google Scholar] [CrossRef]
- Satoh, K.; Nigro, P.; Matoba, T.; O’Dell, M.R.; Cui, Z.; Shi, X.; Mohan, A.; Yan, C.; Abe, J.; Illig, K.A.; et al. Cyclophilin A enhances vascular oxidative stress and the development of angiotensin I-induced aortic aneurysms. Nat. Med. 2009, 15, 649–656. [Google Scholar] [CrossRef] [PubMed]
- Soe, N.N.; Sowden, M.; Baskaran, P.; Smolock, E.M.; Kim, Y.; Nigro, P.; Berk, B.C. Cyclophilin A Is Required for Angiotensin II-Induced p47phox Translocation to Caveolae in Vascular Smooth Muscle Cells. Arterioscler. Thromb. Vasc. Biol. 2013, 33, 2147–2153. [Google Scholar] [CrossRef] [PubMed]
- Smith, W.M. Cyclosporine: A Historical Perspective on Its Role in the Treatment of Noninfectious Uveitis. J. Ocul. Pharmacol. Ther. 2017, 33, 247–262. [Google Scholar] [CrossRef] [PubMed]
- Rüegger, A.; Kuhn, M.; Lichti, H.; Loosli, H.R.; Huguenin, R.; Quiquerez, C.; von Wartburg, A. Cyclosporin A, a Peptide Metabolite from Trichoderma polysporum (Link ex Pers.) Rifai, with a remarkable immunosuppressive activity. Helv. Chim. Acta 1976, 59, 1075–1092. [Google Scholar] [CrossRef]
- Chen, T.L.; Estey, E.H.; Othus, M.; Gardner, K.M.; Markle, L.J.; Walter, R.B. Cyclosporine modulation of multidrug resistance in combination with pravastatin, mitoxantrone and etoposide for adult patients with relapsed/refractory acute myeloid leukemia: A phase 1/2 study. Leuk. Lymphoma 2013, 54, 2534–2536. [Google Scholar] [CrossRef] [PubMed]
- Chester, J.D.; Joel, S.P.; Cheeseman, S.L.; Hall, G.D.; Braun, M.S.; Perry, J.; Davis, T.; Button, C.J.; Seymour, M.T. Phase I and pharmacokinetic study of intravenous irinotecan plus oral ciclosporin in patients with fuorouracil-refractory metastatic colon cancer. J. Clin. Oncol. 2003, 21, 1125–1132. [Google Scholar] [CrossRef] [PubMed]
- Eckstein, J.W.; Fung, J. A new class of cyclosporin analogues for the treatment of asthma. Expert. Opin. Investig. Drugs 2003, 12, 647–653. [Google Scholar] [CrossRef]
- Sun, C.; Li, S.; Wang, K.; Feng, H.; Tian, C.; Liu, X.; Li, X.; Yin, X.; Wang, Y.; Wei, J.; et al. Cyclosporin A as a Source for a Novel Insecticidal Product for Controlling Spodoptera frugiperda. Toxins 2022, 14, 721. [Google Scholar] [CrossRef]
- Landras, A.; Reger de Moura, C.; Jouenne, F.; Lebbe, C.; Menashi, S.; Mourah, S. CD147 Is a Promising Target of Tumor Progression and a Prognostic Biomarker. Cancers 2019, 11, 1803. [Google Scholar] [CrossRef] [PubMed]
- Borel, J.F. Comparative study of in vitro and in vivo drug effects on cell-mediated cytotoxicity. Immunology 1976, 31, 631–641. [Google Scholar] [PubMed]
- Clipstone, N.A.; Crabtree, G.R. Identification of calcineurin as a key signalling enzyme in T-lymphocyte activation. Nature 1992, 357, 695–697. [Google Scholar] [CrossRef]
- Matsuda, S.; Koyasu, S. Mechanisms of action of cyclosporine. Immunopharmacology 2000, 47, 119–125. [Google Scholar] [CrossRef]
- Green, C.J. Immunosuppression with cyclosporin A: A review. Diagn. Histopathol. 1981, 4, 157–174. [Google Scholar] [PubMed]
- Krishnamurthy, A.; Dasari, A.; Noonan, A.M.; Mehnert, J.M.; Lockhart, A.C.; Leong, S.; Capasso, A.; Stein, M.N.; Sanoff, H.K.; Lee, J.J.; et al. Phase Ib Results of the Rational Combination of Selumetinib and Cyclosporin A in Advanced Solid Tumors with an Expansion Cohort in Metastatic Colorectal Cancer. Cancer Res. 2018, 78, 5398–5407. [Google Scholar] [CrossRef] [PubMed]
- Yu, T.; Yang, Y.; Zhang, J.; He, H.; Ren, X. Circumvention of cisplatin resistance in ovarian cancer by combination of cyclosporin A and low-intensity ultrasound. Eur. J. Pharm. Biopharm. 2015, 91, 103–110. [Google Scholar] [CrossRef]
- Hojo, M.; Morimoto, T.; Maluccio, M.; Asano, T.; Morimoto, K.; Lagman, M.; Shimbo, T.; Suthanthiran, M. Cyclosporine induces cancer progression by a cell-autonomous mechanism. Nature 1999, 397, 530–534. [Google Scholar] [CrossRef]
- Guba, M.; Graeb, C.; Jauch, K.W.; Geissler, E.K. Pro- and anti-cancer effects of immunosuppressive agents used in organ transplantation. Transplantation 2004, 77, 1777–1782. [Google Scholar] [CrossRef]
- Dantal, J.; Soulillou, J.P. Immunosuppressive drugs and the risk of cancer after organ transplantation. N. Engl. J. Med. 2005, 352, 1371–1373. [Google Scholar] [CrossRef] [PubMed]
- Hofbauer, G.F.; Bouwes Bavinck, J.N.; Euvrard, S. Organ transplantation and skin cancer: Basic problems and new perspectives. Exp. Dermatol. 2010, 19, 473–482. [Google Scholar] [CrossRef] [PubMed]
- Martinez-Martinez, S.; Redondo, J. Inhibitors of the calcineurin/NFAT pathway. Curr. Med. Chem. 2004, 11, 997–1007. [Google Scholar] [CrossRef]
- Luo, C.; Luo, H.; Zheng, S.; Gui, C.; Yue, L.; Yu, C.; Sun, T.; He, P.; Chen, J.; Shen, J.; et al. Nucleocapsid protein of SARS coronavirus tightly binds to human cyclophilin A. Biochem. Biophys. Res. Commun. 2004, 321, 557–565. [Google Scholar] [CrossRef] [PubMed]
- Laurie, K.; Holcomb, D.; Kames, J.; Komar, A.A.; DiCuccio, M.; Ibla, J.C.; Kimchi-Sarfaty, C. In Silico Evaluation of Cyclophilin Inhibitors as Potential Treatment for SARS-CoV-2. Open Forum Infect. Dis. 2021, 8, ofab189. [Google Scholar] [CrossRef]
- Liu, D.; Ndongwe, T.P.; Ji, J.; Huber, A.D.; Michailidis, E.; Rice, C.M.; Ralston, R.; Tedbury, P.R.; Sarafianos, S.G. Mechanisms of Action of the Host-Targeting Agent Cyclosporin A and Direct-Acting Antiviral Agents against Hepatitis C Virus. Viruses 2023, 15, 981. [Google Scholar] [CrossRef]
- Balasubramanian, D.; Chopra, P.; Ardeshir, F. Cyclolinopeptide—An antamanide analog. FEBS Lett. 1976, 65, 69–72. [Google Scholar] [CrossRef]
- Kessler, H.; Klein, M.; Muller, A.; Wagner, K.; Bats, J.W.; Ziegler, K.; Frimmer, M. Conformational Prerequisites for the in vitro Inhibition of Cholate Uptake in Hepatocytes by Cyclic Analogues of Antamanide and Somatostatin. Angew. Chem. Int. Ed. 1986, 25, 997–999. [Google Scholar] [CrossRef]
- Benedetti, E.; Pedone, C. Cyclolinopeptide A: Inhibitor, immunosuppressor or other? J. Pept. Sci. 2005, 11, 268–272. [Google Scholar] [CrossRef]
- Wieczorek, Z.; Bengtsson, B.; Trojnar, J.; Siemion, I.Z. Immunosuppressive activity of cyclolinopeptide A. Pept. Res. 1991, 4, 275–283. [Google Scholar]
- Gaymes, T.J.; Cebrat, M.; Siemion, I.Z.; Kay, J.E. Cyclolinopeptide A (CLA) mediates its immunosuppressive activity through cyclophilin-dependent calcineurin inactivation. FEBS Lett. 1997, 418, 224–227. [Google Scholar] [CrossRef]
- Siemion, I.Z.; Cebrat, M.; Wieczorek, Z. Cyclolinopeptides and their analogs--a new family of peptide immunosuppressants affecting the calcineurin system. Arch. Immunol. Ther. Exp. 1999, 47, 143–153. [Google Scholar]
- Ruchala, P.; Picur, B.; Lisowski, M.; Cierpicki, T.; Wieczorek, Z.; Siemion, I.Z. Synthesis, conformation, and immunosuppressive activity of CLX and its analogues. Biopolymers 2003, 70, 497–511. [Google Scholar] [CrossRef] [PubMed]
- Morita, H.; Shishido, A.; Matsumoto, T.; Takeya, K.; Itokawa, H.; Hirano, T.; Oka, K. A New Immunosuppressive Cyclic Nonapeptide, Cyclolinopeptide B from Linum Usitatissimum. Bioorg. Med. Chem. Lett. 1997, 7, 1269–1272. [Google Scholar] [CrossRef]
- Gaymes, T.J.; Carrett, N.J.; Patel, N.; Kay, J.E.; Siemion, I.Z. Effects of cyclolinopeptide A on T lymphocyte activation and peptidyl prolyl isomerase activity. Biochem. Soc. Trans. 1996, 24, 90S. [Google Scholar] [CrossRef]
- Evers, M.; Barrière, J.C.; Bashiardes, G.; Bousseau, A.; Carry, J.C.; Dereu, N.; Filoche, B.; Henin, Y.; Sablé, S.; Vuilhorgne, M.; et al. Synthesis of non-immunosuppressive cyclophilin-Binding cyclosporin A derivatives as potential anti-HIV-1 drugs. Bioorg. Med. Chem. Lett. 2003, 13, 4415–4419. [Google Scholar] [CrossRef] [PubMed]
- Wei, L.; Steiner, J.P.; Hamilton, G.S.; Wu, Y.Q. Synthesis and neurotrophic activity of nonimmunosuppressant cyclosporin A derivatives. Bioorg. Med. Chem. Lett. 2004, 14, 4549–4551. [Google Scholar] [CrossRef]
- Liu, S.Y.; Zhang, Q.Z.; Hu, M.Q.; Li, F.X.; Fu, J.M.; Zhu, Z.D.; Li, Q.K.; Yang, Z.; Quan, J.M. Targeting Extracellular Cyclophilin A via an Albumin-Binding Cyclosporine A Analogue. ChemMedChem 2021, 16, 3649–3652. [Google Scholar] [CrossRef]
- Hopkins, S.; Scorneaux, B.; Huang, Z.; Murray, M.G.; Wring, S.; Smitley, C.; Harris, R.; Erdmann, F.; Fischer, G.; Ribeill, Y. SCY-635, a novel nonimmunosuppressive analog of cyclosporine that exhibits potent inhibition of hepatitis C virus RNA replication in vitro. Antimicrob. Agents Chemother. 2010, 54, 660–672. [Google Scholar] [CrossRef]
- Hopkins, S.; DiMassimo, B.; Rusnak, P.; Heuman, D.; Lalezari, J.; Sluder, A.; Scorneaux, B.; Mosier, S.; Kowalczyk, P.; Ribeill, Y.; et al. The cyclophilin inhibitor SCY-635 suppresses viral replication and induces endogenous interferons in patients with chronic HCV genotype 1 infection. J. Hepatol. 2012, 57, 47–54. [Google Scholar] [CrossRef]
- Hopkins, S.; Bobardt, M.; Chatterji, U.; Garcia-Rivera, J.A.; Lim, P.; Gallay, P.A. The Cyclophilin Inhibitor SCY-635 Disrupts Hepatitis C Virus NS5A-Cyclophilin A Complexes. Antimicrob. Agents Chemother. 2012, 56, 3888–3897. [Google Scholar] [CrossRef] [PubMed]
- Rosenwirth, B.; Billich, A.; Datema, R.; Donatsch, P.; Hammerschmid, F.; Harrison, R.; Hiestand, P.; Jaksche, H.; Mayer, P.; Peichl, P.; et al. Inhibition of human immunodeficiency virus type 1 replication by SDZ NIM 811, a nonimmunosuppressive cyclosporine analog. Antimicrob. Agents Chemother. 1994, 38, 1763–1772. [Google Scholar] [CrossRef] [PubMed]
- Gaither, L.A.; Borawski, J.; Anderson, L.J.; Balabanis, K.A.; Devay, P.; Joberty, G.; Rau, C.; Schirle, M.; Bouwmeester, T.; Mickanin, C.; et al. Multiple cyclophilins involved in different cellular pathways mediate HCV replication. Virology 2010, 397, 43–55. [Google Scholar] [CrossRef]
- Ma, S.; Boerner, J.E.; TiongYip, C.; Weidmann, B.; Ryder, N.S.; Cooreman, M.P.; Lin, K. NIM811, a cyclophilin inhibitor, exhibits potent in vitro activity against hepatitis C virus alone or in combination with alpha interferon. Antimicrob. Agents Chemother. 2006, 50, 2976–2982. [Google Scholar] [CrossRef]
- Steinkasserer, A.; Harrison, R.; Billich, A.; Hammerschmid, F.; Werner, G.; Wolff, B.; Peichl, P.; Palfi, G.; Schnitzel, W.; Mlynar, E.; et al. Mode of action of SDZ NIM 811, a nonimmunosuppressive cyclosporin A analog with activity against human immunodeficiency virus type 1 (HIV-1): Interference with early and late events in HIV-1 replication. J. Virol. 1995, 69, 814–824. [Google Scholar] [CrossRef] [PubMed]
- Billich, A.; Hammerschmid, F.; Peichl, P.; Wenger, R.; Zenke, G.; Quesniaux, V.; Rosenwirth, B. Mode of action of SDZ NIM 811, a nonimmunosuppressive cyclosporin A analog with activity against human immunodeficiency virus (HIV) type 1: Interference with HIV protein-cyclophilin A interactions. J. Virol. 1995, 69, 2451–2461. [Google Scholar] [CrossRef]
- Dorfman, T.; Göttlinger, H.G. The human immunodeficiency virus type 1 capsid p2 domain confers sensitivity to the cyclophilin-binding drug SDZ NIM 811. J. Virol. 1996, 70, 5751–5757. [Google Scholar] [CrossRef]
- Mlynar, E.; Bevec, D.; Billich, A.; Rosenwirth, B.; Steinkasserer, A. The non-immunosuppressive cyclosporin A analogue SDZ NIM 811 inhibits cyclophilin A incorporation into virions and virus replication in human immunodeficiency virus type 1-infected primary and growth-arrested T cells. J. Gen. Virol. 1997, 78 Pt 4, 825–835. [Google Scholar] [CrossRef]
- Goto, K.; Watashi, K.; Murata, T.; Hishiki, T.; Hijikata, M.; Shimotohno, K. Evaluation of the anti-hepatitis C virus effects of cyclophilin inhibitors, cyclosporin A, and NIM811. Biochem. Biophys. Res. Commun. 2006, 343, 879–884. [Google Scholar] [CrossRef]
- Seizer, P.; Klingel, K.; Sauter, M.; Westermann, D.; Ochmann, C.; Schönberger, T.; Schleicher, R.; Stellos, K.; Schmidt, E.M.; Borst, O.; et al. Cyclophilin A affects inflammation, virus elimination and myocardial fibrosis in coxsackievirus B3-induced myocarditis. J. Mol. Cell. Cardiol. 2012, 53, 6–14. [Google Scholar] [CrossRef]
- Kaufmann, S.H.; Earnshaw, W.C. Induction of apoptosis by cancer chemotherapy. Exp. Cell Res. 2000, 256, 42–49. [Google Scholar] [CrossRef] [PubMed]
- Waldmeier, P.C.; Feldtrauer, J.J.; Qian, T.; Lemasters, J.J. Inhibition of the mitochondrial permeability transition by the nonimmunosuppressive cyclosporin derivative NIM811. Mol. Pharmacol. 2002, 62, 22–29. [Google Scholar] [CrossRef] [PubMed]
- Zhong, Z.; Theruvath, T.P.; Currin, R.T.; Waldmeier, P.C.; Lemasters, J.J. NIM811, a mitochondrial permeability transition inhibitor, prevents mitochondrial depolarization in small-for-size rat liver grafts. Am. J. Transplant. 2007, 7, 1103–1111. [Google Scholar] [CrossRef] [PubMed]
- Korde, A.S.; Pettigrew, L.C.; Craddock, S.D.; Pocernich, C.B.; Waldmeier, P.C.; Maragos, W.F. Protective effects of NIM811 in transient focal cerebral ischemia suggest involvement of the mitochondrial permeability transition. J. Neurotrauma 2007, 24, 895–908. [Google Scholar] [CrossRef]
- Theruvath, T.P.; Zhong, Z.; Pediaditakis, P.; Ramshesh, V.K.; Currin, R.T.; Tikunov, A.; Holmuhamedov, E.; Lemasters, J.J. Minocycline and N-methyl-4-isoleucine cyclosporin (NIM811) mitigate storage/reperfusion injury after rat liver transplantation through suppression of the mitochondrial permeability transition. Hepatology 2008, 47, 236–246. [Google Scholar] [CrossRef]
- Garbaisz, D.; Turoczi, Z.; Aranyi, P.; Fulop, A.; Rosero, O.; Hermesz, E.; Ferencz, A.; Lotz, G.; Harsanyi, L.; Szijarto, A. Attenuation of skeletal muscle and renal injury to the lower limb following ischemia-reperfusion using mPTP inhibitor NIM-811. PLoS ONE 2014, 9, e101067. [Google Scholar] [CrossRef]
- Rehman, H.; Sun, J.; Shi, Y.; Ramshesh, V.K.; Liu, Q.; Currin, R.T.; Lemasters, J.J.; Zhong, Z. NIM811 prevents mitochondrial dysfunction, attenuates liver injury, and stimulates liver regeneration after massive hepatectomy. Transplantation 2011, 91, 406–412. [Google Scholar] [CrossRef]
- He, L.; Lemasters, J.J. Regulated and unregulated mitochondrial permeability transition pores: A new paradigm of pore structure and function? FEBS Lett. 2002, 512, 1–7. [Google Scholar] [CrossRef]
- Ma-Lauer, Y.; Zheng, Y.; Malešević, M.; von Brunn, B.; Fischer, G.; von Brunn, A. Influences of cyclosporin A and non-immunosuppressive derivatives on cellular cyclophilins and viral nucleocapsid protein during human coronavirus 229E replication. Antivir. Res. 2020, 173, 104620. [Google Scholar] [CrossRef]
- Quarato, G.; D’Aprile, A.; Gavillet, B.; Vuagniaux, G.; Moradpour, D.; Capitanio, N.; Piccoli, C. The cyclophilin inhibitor alisporivir prevents hepatitis C virus–mediated mitochondrial dysfunction. Hepatology 2012, 55, 1333–1343. [Google Scholar] [CrossRef]
- Chatterji, U.; Bobardt, M.; Selvarajah, S.; Yang, F.; Tang, H.; Sakamoto, N.; Vuagniaux, G.; Parkinson, T.; Gallay, P. The isomerase active site of cyclophilin A is critical for hepatitis C virus replication. J. Biol. Chem. 2009, 284, 16998–17005. [Google Scholar] [CrossRef]
- Daelemans, D.; Dumont, J.M.; Rosenwirth, B.; Clercq, E.D.; Pannecouque, C. Debio-025 inhibits HIV-1 by interfering with an early event in the replication cycle. Antivir. Res. 2010, 85, 418–421. [Google Scholar] [CrossRef]
- Landrieu, I.; Hanoulle, X.; Bonachera, F.; Hamel, A.; Sibille, N.; Yin, Y.; Wieruszeski, J.M.; Horvath, D.; Wei, Q.; Vuagniaux, G.; et al. Structural basis for the non-immunosuppressive character of the cyclosporin A analogue Debio 025. Biochemistry 2010, 49, 4679–4686. [Google Scholar] [CrossRef] [PubMed]
- Davra, V.; Saleh, T.; Geng, K.; Kimani, S.; Mehta, D.; Kasikara, C.; Smith, B. Cyclophilin A Inhibitor Debio-025 Targets Crk, Reduces Metastasis, and Induces Tumor Immunogenicity in Breast Cancer. Mol. Cancer Res. 2020, 18, 1189–1201. [Google Scholar] [CrossRef]
- Sanglier, J.J.; Quesniaux, V.; Fehr, T.; Hofmann, H.; Mahnke, M.; Memmert, K.; Schuler, W.; Zenke, G.; Gschwind, L.; Maurer, C.; et al. Sanglifehrins A, B, C and D, novel cyclophilin-binding compounds isolated from Streptomyces sp. A92-308110. I. Taxonomy, fermentation, isolation and biological activity. J. Antibiot. 1999, 52, 466–473. [Google Scholar] [CrossRef] [PubMed]
- Fehr, T.; Kallen, J.; Oberer, L.; Sanglier, J.J.; Schilling, W. Sanglifehrins A, B, C and D, Novel Cyclophilin-binding Compounds Isolated from Streptomyces sp. A92-308110. II. Structure Elucidation, Stereochemistry and Physico-chemical Properties. J. Antibiot. 1999, 52, 474–479. [Google Scholar] [CrossRef] [PubMed]
- Zenke, G.; Strittmatter, U.; Fuchs, S.; Quesniaux, V.F.; Brinkmann, V.; Schuler, W.; Zurini, M.; Enz, A.; Billich, A.; Sanglier, J.J.; et al. Sanglifehrin A, a Novel Cyclophilin-Binding Compound Showing Immunosuppressive Activity with a New Mechanism of Action. J. Immunol. 2001, 166, 7165–7171. [Google Scholar] [CrossRef] [PubMed]
- Kallen, J.; Sedrani, R.; Zenke, G.; Wagner, J. Structure of human cyclophilin A in complex with the novel immunosuppressant sanglifehrin A at 1.6 A resolution. J. Biol. Chem. 2005, 280, 21965–21971. [Google Scholar] [CrossRef] [PubMed]
- Sedrani, R.; Kallen, J.; Martin Cabrejas, L.M.; Papageorgiou, C.D.; Senia, F.; Rohrbach, S.; Wagner, D.; Thai, B.; Jutzi Eme, A.M.; France, J.; et al. Sanglifehrin-cyclophilin interaction: Degradation work, synthetic macrocyclic analogues, X-ray crystal structure, and binding data. J. Am. Chem. Soc. 2003, 125, 3849–3859. [Google Scholar] [CrossRef] [PubMed]
- Zhang, L.H.; Liu, J.O. Sanglifehrin A, a Novel Cyclophilin-Binding Immunosuppressant, Inhibits IL-2-Dependent T Cell Proliferation at the G1 Phase of the Cell Cycle. J. Immunol. 2001, 166, 5611–5618. [Google Scholar] [CrossRef] [PubMed]
- Zhang, L.H.; Youn, H.D.; Liu, J.O. Inhibition of cell cycle progression by the novel cyclophilin ligand sanglifehrin A is mediated through the NFkappa B-dependent activation of p53. J. Biol. Chem. 2001, 276, 43534–43540. [Google Scholar] [CrossRef]
- Allen, A.; Zheng, Y.; Gardner, L.; Safford, M.; Horton, M.R.; Powell, J.D. The novel cyclophilin binding compound, sanglifehrin A, disassociates G1 cell cycle arrest from tolerance induction. J. Immunol. 2004, 172, 4797–4803. [Google Scholar] [CrossRef]
- Steinschulte, C.; Taner, T.; Thomson, A.W.; Bein, G.; Hackstein, H. Cutting edge: Sanglifehrin A, a novel cyclophilin-binding immunosuppressant blocks bioactive IL-12 production by human dendritic cells. J. Immunol. 2003, 171, 542–546. [Google Scholar] [CrossRef]
- Woltman, A.M.; Schlagwein, N.; van der Kooij, S.W.; Van Kooten, C. The Novel Cyclophilin-Binding Drug Sanglifehrin A Specifically Affects Antigen Uptake Receptor Expression and Endocytic Capacity of Human Dendritic Cells. J. Immunol. 2004, 172, 6482–6489. [Google Scholar] [CrossRef]
- Chang, C.F.; Flaxman, H.A.; Woo, C.M. Enantioselective Synthesis and Biological Evaluation of Sanglifehrin A and B and Analogs. Angew. Chem. Int. Ed. 2021, 60, 17045–17052. [Google Scholar] [CrossRef] [PubMed]
- Lee, D.; Lee, S.; Choi, J.; Song, Y.K.; Kim, M.J.; Shin, D.S.; Bae, M.A.; Kim, Y.C. Interplay among Conformation, Intramolecular Hydrogen Bonds, and Chameleonicity in the Membrane Permeability and Cyclophilin A Binding of Macrocyclic Peptide Cyclosporin O Derivatives. J. Med. Chem. 2021, 64, 8272–8286. [Google Scholar] [CrossRef] [PubMed]
- Li, J.; Chen, J.; Zhang, L.; Wang, F.; Gui, C.; Zhang, L.; Qin, Y.; Xu, Q.; Liu, H.; Nan, F.; et al. One novel quinoxaline derivative as a potent human cyclophilin A inhibitor shows highly inhibitory activity against mouse spleen cell proliferation. Bioorg. Med. Chem. 2006, 14, 5527–5534. [Google Scholar] [CrossRef] [PubMed]
- Li, J.; Zhang, J.; Chen, J.; Luo, X.; Zhu, W.; Shen, J.; Liu, H.; Shen, X.; Jiang, H. Strategy for Discovering Chemical Inhibitors of Human Cyclophilin A:? Focused Library Design, Virtual Screening, Chemical Synthesis and Bioassay. J. Comb. Chem. 2006, 8, 326–337. [Google Scholar] [CrossRef]
- Qian, Z.; Zhao, X.; Jiang, M.; Jia, W.; Zhang, C.; Wang, Y.; Li, B.; Yue, W. Downregulation of Cyclophilin A by siRNA diminishes non-small cell lung cancer cell growth and metastasis via the regulation of matrix metallopeptidase 9. BMC Cancer 2012, 12, 442. [Google Scholar] [CrossRef]
- Daum, S.; Schumann, M.; Mathea, S.; Aumüller, T.; Balsley, M.A.; Constant, S.L.; De Lacroix, B.F.A.; Kruska, F.; Braun, M.; Schiene-Fischer, C. Isoform-Specific Inhibition of Cyclophilins. Biochemistry 2009, 48, 6268–6277. [Google Scholar] [CrossRef] [PubMed]
- Sambasivarao, S.V.; Acevedo, O. Computational Insight into Small Molecule Inhibition of Cyclophilins. J. Chem. Inf. Model. 2011, 51, 475–482. [Google Scholar] [CrossRef] [PubMed]
- Yang, Y.; Moir, E.; Kontopidis, G.; Taylor, P.; Wear, M.A.; Malone, K.; Dunsmore, C.J.; Page, A.P.; Turner, N.J.; Walkinshaw, M.D. Structure-based discovery of a family of synthetic cyclophilin inhibitors showing a cyclosporin-A phenotype in Caenorhabditis elegans. Biochem. Biophys. Res. Commun. 2007, 363, 1013–1019. [Google Scholar] [CrossRef] [PubMed]
- Dunsmore, C.J.; Malone, K.J.; Bailey, K.R.; Wear, M.A.; Florance, H.; Shirran, S.; Barran, P.E.; Page, A.P.; Walkinshaw, M.D.; Turner, N.J. Design and Synthesis of Conformationally Constrained Cyclophilin Inhibitors Showing a Cyclosporin-A Phenotype in C. elegans. ChemBioChem 2011, 12, 802–810. [Google Scholar] [CrossRef]
- Gegunde, S.; Alfonso, A.; Alonso, E.; Alvariño, R.; Botana, L.M. Gracilin-Derivatives as Lead Compounds for Anti-inflammatory Effects. Cell Mol. Neurobiol. 2020, 40, 603–615. [Google Scholar] [CrossRef] [PubMed]
- Hamed, A.; Ismail, M.; El-Metwally, M.M.; Frese, M.; Stammler, H.G.; Sewald, N.; Shaaban, M. X-ray, structural assignment and molecular docking study of dihydrogeodin from Aspergillus Terreus TM8. Nat. Prod. Res. 2019, 33, 117–121. [Google Scholar] [CrossRef]
- Li, X.; Han, J.; Lee, H.W.; Yoon, Y.S.; Jin, Y.; Khadka, D.B.; Yang, S.; Kim, M.; Cho, W.J. SAR study of bisamides as cyclophilin a inhibitors for the development of host-targeting therapy for hepatitis C virus infection. Bioorg. Med. Chem. 2020, 28, 115679. [Google Scholar] [CrossRef]
- Nevers, Q.; Ruiz, I.; Ahnou, N.; Donati, F.; Brillet, R.; Softic, L.; Chazal, M.; Jouvenet, N.; Fourati, S.; Baudesson, C.; et al. Characterization of the Anti-Hepatitis C Virus Activity of New Nonpeptidic Small-Molecule Cyclophilin Inhibitors with the Potential for Broad Anti-Flaviviridae Activity. Antimicrob. Agents Chemother. 2018, 62, e00126-18. [Google Scholar] [CrossRef]
- Ahmed-Belkacem, A.; Colliandre, L.; Ahnou, N.; Nevers, Q.; Gelin, M.; Bessin, Y.; Brillet, R.; Cala, O.; Douguet, D.; Bourguet, W.; et al. Fragment-based discovery of a new family of non-peptidic small-molecule cyclophilin inhibitors with potent antiviral activities. Nat. Commun. 2016, 7, 12777. [Google Scholar] [CrossRef]
- Han, J.M.; Kim, S.M.; Kim, H.L.; Cho, H.J.; Jung, H.J. Natural Cyclophilin A Inhibitors Suppress the Growth of Cancer Stem Cells in Non-Small Cell Lung Cancer by Disrupting Crosstalk between CypA/CD147 and EGFR. Int. J. Mol. Sci. 2023, 24, 9437. [Google Scholar] [CrossRef]
- Cho, H.J.; Jung, H.J. Cyclophilin A Inhibitors Suppress Proliferation and Induce Apoptosis of MKN45 Gastric Cancer Stem-like Cells by Regulating CypA/CD147-Mediated Signaling Pathway. Int. J. Mol. Sci. 2023, 24, 4734. [Google Scholar] [CrossRef]
- Li, Q.; Moutiez, M.; Charbonnier, J.B.; Vaudry, K.; Ménez, A.; Quéméneur, E.; Dugave, C. Design of a Gag pentapeptide analogue that binds human cyclophilin A more efficiently than the entire capsid protein: New insights for the development of novel anti-HIV-1 drugs. J. Med. Chem. 2000, 43, 1770–1779. [Google Scholar] [CrossRef] [PubMed]
- Cui, M.; Huang, X.; Luo, X.; Briggs, J.M.; Ji, R.; Chen, K.; Shen, J.; Jiang, H. Molecular docking and 3D-QSAR studies on gag peptide analogue inhibitors interacting with human cyclophilin A. J. Med. Chem. 2002, 45, 5249–5259. [Google Scholar] [CrossRef]
- Pang, X.; Zhou, L.; Zhang, M.; Xie, F.; Yu, L.; Zhang, L.; Xu, L.; Zhang, X. A mathematical model for peptide inhibitor design. J. Comput. Biol. 2010, 17, 1081–1093. [Google Scholar] [CrossRef]
- Pang, X.; Zhang, M.; Zhou, L.; Xie, F.; Lu, H.; He, W.; Jiang, S.; Yu, L.; Zhang, X. Discovery of a potent peptidic cyclophilin A inhibitor Trp-Gly-Pro. Eur. J. Med. Chem. 2011, 46, 1701–1705. [Google Scholar] [CrossRef]
- Demange, L.; Moutiez, M.; Dugave, C. Synthesis and evaluation of Glyψ(PO2R-N)Pro-containing pseudopeptides as novel inhibitors of the human cyclophilin hCyp-18. J. Med. Chem. 2002, 45, 3928–3933. [Google Scholar] [CrossRef]
- Wang, H.C.; Kim, K.; Bakhtiar, R.; Germanas, J.P. Structure-Activity Studies of Ground- and Transition-State Analogue Inhibitors of Cyclophilin. J. Med. Chem. 2001, 44, 2593–2600. [Google Scholar] [CrossRef]
- Dantal, J.; Hourmant, M.; Cantarovich, D.; Giral, M.; Blancho, G.; Dreno, B.; Soulillou, J.P. Effect of long-term immunosuppression in kidney-graft recipients on cancer incidence: Randomised comparison of two cyclosporin regimen. Lancet 1998, 351, 623–628. [Google Scholar] [CrossRef]
- Muellenhoff, M.W. KJ Cyclosporine and skin cancer: An international dermatologic perspective over 25 years of experience. A comprehensive review and pursuit to define safe use of cyclosporine in dermatology. J. Dermatol. Treat. 2012, 23, 290–304. [Google Scholar] [CrossRef] [PubMed]
- Euvrard, S.; Kanitakis, J.; Claudy, A. Skin cancers after organ transplantation. N. Engl. J. Med. 2003, 348, 1681–1691. [Google Scholar] [CrossRef] [PubMed]
- Choi, K.J.; Piao, Y.J.; Lim, M.J.; Kim, J.H.; Ha, J.; Choe, W.; Kim, S.S. Overexpressed cyclophilin A in cancer cells renders resistance to hypoxia- and cisplatin-induced cell death. Cancer Res. 2007, 67, 3654–3662. [Google Scholar] [CrossRef]
- Chen, S.; Zhang, M.; Ma, H.; Saiyin, H.; Shen, S.; Xi, J.; Wan, B.; Yu, L. Oligo-microarray analysis reveals the role of cyclophilin A in drug resistance. Cancer Chemother. Pharmacol. 2008, 61, 459–469. [Google Scholar] [CrossRef] [PubMed]
- Zhao, X.; Zhou, K.; Jing, L.; Zhang, L.; Peng, G.; Li, Y.; Ye, L.; Li, J.; Fan, H.; Li, Y.; et al. Treatment of T-cell large granular lymphocyte leukemia with cyclosporine A: Experience in a Chinese single institution. Leuk. Res. 2013, 37, 547–551. [Google Scholar] [CrossRef] [PubMed]
- Middleton, G.; Brown, S.; Lowe, C.; Maughan, T.; Gwyther, S.; Oliver, A.; Richman, S.; Blake, D.; Napp, V.; Marshall, H.; et al. A randomised phase III trial of the pharmacokinetic biomodulation of irinotecan using oral ciclosporin in advanced colorectal cancer: Results of the Panitumumab, Irinotecan & Ciclosporin in COLOrectal cancer therapy trial (PICCOLO). Eur. J. Cancer 2013, 49, 3507–3516. [Google Scholar]
- Murren, J.R.; Ganpule, S.; Sarris, A.; Durivage, H.; Davis, C.; Makuch, R.; Handschumacher, R.E.; Marsh, J.C. A phase II trial of cyclosporin A in the treatment of refractory metastatic colorectal cancer. Am. J. Clin. Oncol. 1991, 14, 208–210. [Google Scholar] [CrossRef] [PubMed]
- Wang, C.; Zheng, C.; Wang, H.; Zhang, L.; Liu, Z.; Xu, P. The state of the art of PROTAC technologies for drug discovery. Eur. J. Med. Chem. 2022, 235, 114290. [Google Scholar] [CrossRef]
- Rodriguez-Bussey, I.G.; Doshi, U.; Hamelberg, D. Enhanced molecular dynamics sampling of drug target conformations. Biopolymers 2016, 105, 35–42. [Google Scholar] [CrossRef]
- Zhang, M.; Dai, C.; Zhu, H.; Chen, S.; Wu, Y.; Li, Q.; Zeng, X.; Wang, W.; Zuo, J.; Zhou, M.; et al. Cyclophilin A promotes human hepatocellular carcinoma cell metastasis via regulation of MMP3 and MMP9. Mol. Cell Biochem. 2011, 357, 387–395. [Google Scholar] [CrossRef]
- Hakim, S.; Craig, J.M.; Koblinski, J.E.; Clevenger, C.V. Inhibition of the Activity of Cyclophilin A Impedes Prolactin Receptor-Mediated Signaling, Mammary Tumorigenesis, and Metastases. iScience 2020, 23, 101581. [Google Scholar] [CrossRef]
Disclaimer/Publisher’s Note: The statements, opinions and data contained in all publications are solely those of the individual author(s) and contributor(s) and not of MDPI and/or the editor(s). MDPI and/or the editor(s) disclaim responsibility for any injury to people or property resulting from any ideas, methods, instructions or products referred to in the content. |
© 2024 by the authors. Licensee MDPI, Basel, Switzerland. This article is an open access article distributed under the terms and conditions of the Creative Commons Attribution (CC BY) license (https://creativecommons.org/licenses/by/4.0/).























