Efficient Method of (S)-Nicotine Synthesis
Abstract
1. Introduction
2. Results and Discussion
- (i)
- synthesis of 3;
- (ii)
- reduction in 3;
- (iii)
- separation of 4 enantiomers;
- (iv)
- oxidation of the undesired (R)-4 back to 3;
- (v)
- methylation of (S)-4.
2.1. Synthesis of Myosmine (3)
2.2. Reduction in Myosmine (3) to Nornicotine (4)
2.3. Separating of Nornicotine Enantiomers
- (a)
- preparation of single diastereomeric salt of (S)-6•(R)-4 from rac-4 by fractional crystallization;
- (b)
- isolation of the pure stereoisomer (R)-4 of nornicotine from the salt, followed by regeneration of (S)-6 used;
- (c)
- regeneration of (S)-6 and 4, enriched in isomer (S), from post-crystallization liquor;
- (d)
- preparation of single diastereomeric salt (R)-6•(S)-4 from (R)-6 and enantioenriched 4, obtained at the previous step;
- (e)
- isolation of optically pure (S)-4 and regeneration of (R)-6.
2.4. Oxidation of Undesirable (R)-Nornicotine to Myosmine
2.5. Methylation of (S)-4 to Form (S)-5
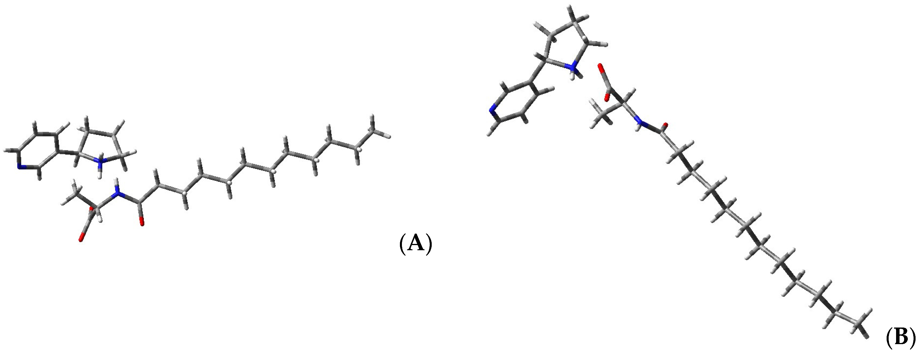
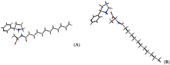
2.6. Crystal Structure of (S)-6•(R)-4 and (S)-6•(S)-4 Salts
2.7. Quantumchemical Considerations
3. Materials and Methods
3.1. General
3.2. Synthesis of Myosmine (3)
3.3. Synthesis of Racemic Nornicotine (4)
3.3.1. Chemical Synthesis of rac-4
3.3.2. Electrochemical Synthesis of rac-4
3.4. Separating of Enantiomers of 4
3.4.1. Preparation of N-Lauroyl-(S)-Alanine•(R)-Nornicotine Salt
3.4.2. Isolation of (R)-4 and Recovery of (S)-6 from (S)-6•(R)-4 Salt
3.4.3. Recovery of (S)-6 and 4 from Filtrate
3.4.4. Preparation of (R)-6•(S)-4
3.4.5. Isolation of (S)-4 and Recovery of (R)-6 from (R)-6•(S)-4
3.4.6. Recovery of (R)-6 and Nornicotine from Filtrate
3.4.7. Determination of de and ee Values by Optical Rotation Power
3.4.8. Determination of Enantiomeric Excess of 4 by NMR
3.5. Oxidation of Undesirable (R)-4 to 3
3.5.1. Chemical Oxidation of Undesirable (R)-4 to 3
3.5.2. Electrochemical Oxidation of Undesirable (R)-4 to 3
3.6. Preparation of (S)-5
3.7. X-Ray Diffraction
3.8. Total Packing Energies Calculations
3.9. DFT Calculations
4. Conclusions
Supplementary Materials
Author Contributions
Funding
Institutional Review Board Statement
Informed Consent Statement
Data Availability Statement
Acknowledgments
Conflicts of Interest
References
- Salah, S.; Sami, N.; Ali, S.; Khalid, T.-A.; Allnajar, R. Natural products as potential inhibitors of FLT3 for acute myeloid leukemia: HTVS, docking, and molecular dynamic simulation. Sci. Rad. 2023, 2, 325–346. [Google Scholar] [CrossRef]
- Li Petri, G.; Raimondi, M.V.; Spano, V.; Holl, R.; Barraja, P.; Montalbano, A. Pyrrolidine in drug discovery: A versatile scaffold for novel biologically active compounds. Top. Curr. Chem. 2021, 379, 34. [Google Scholar] [CrossRef] [PubMed]
- Sadowski, M.; Mudyna, A.; Knap, K.; Demchuk, O.M.; Łapczuk, A. Synthesis of (Z)-N-acyl-C-(pyrid-3-yl)-nitrones. Sci. Rad. 2023, 2, 319–324. [Google Scholar] [CrossRef]
- Kras, J.; Woliński, P.; Nagatsky, R.; Demchuk, O.M.; Jasiński, R. Full regio- and stereoselective protocol for the synthesis of new nicotinoids via cycloaddition processes with the participation of trans-substituted nitroethenes: Comprehensive experimental and MEDT. Molecules 2023, 28, 3535. [Google Scholar] [CrossRef]
- Żmigrodzka, M.; Dresler, E.; Hordyjewicz-Baran, Z.; Kulesza, R.; Jasiński, R. A unique example of noncatalyzed [3+2] cycloaddition involving (2E)-3-aryl-2-nitroprop-2-enenitrites. Chem. Heterocycl. Compd. 2017, 53, 1161–1162. [Google Scholar] [CrossRef]
- Agarthimoole, R.K.; Gagan, S.; Parida, S.; Dimesh, T.K.; Karatholuvhu, M.S.; Palani, N.; Mukherjee, S. A novel approach for the synthesis of (R) and (S)-nicotine. Int. J. Org. Chem. 2022, 12, 189–199. [Google Scholar] [CrossRef]
- Felpin, F.-X.; Girard, S.; Vo-Thanh, G.; Robins, R.J.; Villieras, J.; Lebreton, J. Efficient enantiomeric synthesis of pyrrolidine and piperidine alkaloids from tobacco. J. Org. Chem. 2001, 66, 6305–6312. [Google Scholar] [CrossRef] [PubMed]
- Pogocki, D.; Ruman, T.; Danilczuk, M.; Danilczuk, M.; Celuch, M.; Wałajtys-Rode, E. Application of nicotine enantiomers, derivatives and analogues in therapy of neurodegenerative disorders. Eur. J. Pharmacol. 2007, 563, 18–39. [Google Scholar] [CrossRef]
- Holladay, M.W.; Dart, M.J.; Lynch, J.K. Neuronal nicotinic acetylcholine receptors as targets for drug discovery. J. Med. Chem. 1997, 40, 4169–4194. [Google Scholar] [CrossRef]
- Ki Hwan, K.; Lin, N.-H.; Anderson, D.J. Quantitative structure-activity relationships of nicotine analogues as neuronal nicotinic acetylcholine receptor ligands. Bioorg. Med. Chem. 1996, 4, 2211–2217. [Google Scholar] [CrossRef]
- Barreto, G.E.; Iarkov, A.; Moran, V.E. Beneficial effects of nicotine, cotinine and its metabolites as potential agents for Parkinson’s disease. Front. Aging. Neurosci. 2015, 6, 340. [Google Scholar] [CrossRef] [PubMed]
- Rao, T.S.; Adams, P.B.; Correa, L.D.; Santori, E.M.; Sacaan, A.I.; Reid, R.T.; Cosford, N.D. Pharmacological characterization of (S)-(2)-5-ethynyl-3-(1-methyl-2-pyrrolidinyl)pyridine HCl (SIB-1508Y, Altinicline) a novel nicotinic acetylcholine receptor agonist. Brain Res. 2008, 1234, 16–24. [Google Scholar] [CrossRef] [PubMed]
- The Parkinson Study Group. Randomized placebo-controlled study of the nicotic agonist SIB-1508Y in Parkinson disease. Neurology 2006, 66, 408–410. [Google Scholar] [CrossRef] [PubMed]
- NIDA. Tobacco, Nicotine, and E-Cigarettes Research Report. 2020. Available online: https://nida.nih.gov/publications/research-reports/tobacco-nicotine-e-cigarettes/what-are-treatments-tobacco-dependence (accessed on 15 October 2024).
- Divi, M.K.P.; Padakandla, G.R.; Rao, M.A.N.; Katta, H.B. Process for Preparation of (R,S)-Nicotine. U.S. 8,367,837 B2, 5 February 2013. [Google Scholar]
- Arnold, M. Process for the Preparation of (R,S)-Nicotine. EP3209653B1, 6 September 2021. [Google Scholar]
- Weber, B.T.; Pan, B. Enantiomeric Separation of Racemic Nicotine by Addition of an O,O’-Disubstituted Tartaric Acid Enantiomer. U.S. 20200331883 A1, 22 October 2020. [Google Scholar]
- McCague, R.; Narasimhan, A.S. Process for Preparation of (S)-Nicotine from Myosmine. EP 3653617 B1, 28 October 2020. [Google Scholar]
- Changmei, C.; Hainan, W. Synthesic Preparation Method of (S.)-(-)Nicotine. CN 113999084 A, 1 February 2022. [Google Scholar]
- McCague, R.; Narasimhan, A.S. Process of Making (S)-Nicotine. U.S. 10,913,962 B2, 9 February 2021. [Google Scholar]
- Divi, M.K.P.; Padakandla, G.R.; Rao, M.A.N.; Katta, H.B. Process for the Preparation of (R,S)-Nicotine. U.S. 20120209006 A1, 16 August 2012. [Google Scholar]
- Demchuk, O. Method for Obtaining Nornicotine with a Predominance of one of the Enantiomers, Method for Enantiomeric Separation of Nornicotine, Method for Obtaining Nicotine or Optically Pure Nicotine, and Method for Oxidation of Nornicotine Ennantiomers to Myosmine. PL 439930 A1, 26 June 2023. [Google Scholar]
- Brandänge, S.; Lindblom, L. N-vinyl as N-H protecting group. A convenient synthesis of myosmine. Acta. Chem. Scand. 1976, 30B, 93. [Google Scholar] [CrossRef]
- Borkowski, M.; Orvalho, S.; Warszyński, P.; Demchuk, O.M.; Jarek, E.; Zawala, J. Experimental and theoretical study of adsorption of synthesized amino acid core derived surfactants at an air/water interface. Phys. Chem. Chem. Phys. 2022, 24, 3854–3864. [Google Scholar] [CrossRef]
- Yang, J.; Yang, C. Process of regeneration and recycling waste solid containing manganese oxides by oxidizion and activation. Chin. J. Environ. Eng. 2012, 6, 4203–4206. [Google Scholar]
- Farrugia, L.J. WinGX and ORTEP for Windows: An update. J. Appl. Cryst. 2012, 45, 849–854. [Google Scholar] [CrossRef]
- Gavezzotti, A. Are Crystal Structures Predictable? Acc. Chem. Res. 1994, 27, 309–314. [Google Scholar] [CrossRef]
- Gavezzotti, A.; Filippini, G. Geometry of the Intermolecular X-H.cntdot..cntdot..cntdot.Y (X, Y = N, O) Hydrogen Bond and the Calibration of Empirical Hydrogen-Bond Potentials. J. Phys. Chem. 1994, 98, 4831–4837. [Google Scholar] [CrossRef]
- Frisch, M.J.; Trucks, G.W.; Schlegel, H.B.; Scuseria, G.E.; Robb, M.A.; Cheeseman, J.R.; Scalmani, G.; Barone, V.; Petersson, G.A.; Nakatsuji, H.; et al. Gaussian 16, Revision C.01; Fox, Gaussian, Inc.: Wallingford, CT, USA, 2016. [Google Scholar]
- Kras, J.; Mikulska, M.; Allnajar, R.; Kula, K. Unsuccessful synthesis of individual 1,1-dinitroethene. Sci. Rad. 2024, 3, 9–13. [Google Scholar] [CrossRef]
- Sadowski, M.; Synkiewicz-Musialska, B.; Kula, K. (1E,3E)-1,4-Dinitro-1,3-butadiene–Synthesis, spectral characteristics and computational study based on MEDT, ADME and PASS simulation. Molecules 2024, 29, 542. [Google Scholar] [CrossRef] [PubMed]
- Woliński, P.; Kącka-Zych, A.; Wróblewska, A.; Wielgus, E.; Dolot, R.; Jasiński, R. Fully selective synthesis of spirocyclic-1,2-oxazine N-oxides via non-catalyzed hetero Diels-Alder reactions with the participation of cyanofunctionalysed conjugated nitroalkenes. Molecules 2023, 28, 4586. [Google Scholar] [CrossRef] [PubMed]
- Scalmani, G.; Frisch, M.J. Continuous surface charge polarizable continuum models of solvation. I. General formalism. J. Chem. Phys. 2010, 132, 114110. [Google Scholar] [CrossRef] [PubMed]
- Demchuk, O.M.; Swierczynska, W.; Pietrusiewicz, K.M.; Woznica, M.; Wojcik, D.; Frelek, J. A convenient application of the NMR and CD methodologies for determination of enantiomeric ratio and absolute configuration of chiral atropoisomeric phosphine oxides. Tetrahedron Asymmetry 2008, 19, 2339–2345. [Google Scholar] [CrossRef]
- Dolomanov, O.V.; Bourhis, L.J.; Gildea, R.J.; Howard, J.A.K.; Puschmann, H. OLEX2: A Complete Structure Solution, Refinement and Analysis Program. J. Appl. Cryst. 2009, 42, 339–341. [Google Scholar] [CrossRef]
- Sheldrick, G.M. SHELXT–Integrated space-group and crystal-structure determination. Acta Cryst. 2015, A71, 3–8. [Google Scholar] [CrossRef]
- Macrae, C.F.; Sovago, I.; Cottrell, S.J.; Galek, P.T.A.; McCabe, P.; Pidcock, E.; Platings, M.; Shields, G.P.; Stevens, J.S.; Towler, M.; et al. Mercury 4.0: From visualization to analysis, design and prediction. J. Appl. Cryst. 2020, 53, 226–235. [Google Scholar] [CrossRef]
- Frisch, M.J.; Trucks, G.W.; Schlegel, H.B.; Scuseria, G.E.; Robb, M.A.; Cheeseman, J.R.; Scalmani, G.; Barone, V.; Mennucci, B.; Petersson, G.A.; et al. Gaussian 09; Gaussian, Inc.: Wallingford, CT, USA, 2009. [Google Scholar]
- Domingo:, L.R. 1999–2024, a Quarter Century of the Parr’s Electrophilicity ω Index. Sci. Rad. 2024, 3, 157–185. [Google Scholar] [CrossRef]





| Crystal | D–H…A | D–H | H…A | D…A | <DHA | Symm. Operation |
|---|---|---|---|---|---|---|
| (S)-6•(S)-4 | N1–H1a…O1 | 0.97 | 1.67 | 2.634(4) | 172 | – |
| N1–H1b…O2# | 0.97 | 1.86 | 2.783(4) | 158 | 1 + x, y, z | |
| (S)-6•(R)-4 | N1–H1b…O1 | 1.09 | 1.61 | 2.659(6) | 159 | – |
| N1–H1a…O1# | 0.81 | 2.07 | 2.860(5) | 166 | 1 + x, y, z | |
| N1–H1a…O2# | 0.81 | 2.54 | 2.974(5) | 115 | 1 + x, y, z |
Disclaimer/Publisher’s Note: The statements, opinions and data contained in all publications are solely those of the individual author(s) and contributor(s) and not of MDPI and/or the editor(s). MDPI and/or the editor(s) disclaim responsibility for any injury to people or property resulting from any ideas, methods, instructions or products referred to in the content. |
© 2024 by the authors. Licensee MDPI, Basel, Switzerland. This article is an open access article distributed under the terms and conditions of the Creative Commons Attribution (CC BY) license (https://creativecommons.org/licenses/by/4.0/).
Share and Cite
Trotsko, N.; Miroslaw, B.; Jasiński, R.; Długosz, M.; Sadczuk, M.; Demchuk, O.M. Efficient Method of (S)-Nicotine Synthesis. Molecules 2024, 29, 5731. https://doi.org/10.3390/molecules29235731
Trotsko N, Miroslaw B, Jasiński R, Długosz M, Sadczuk M, Demchuk OM. Efficient Method of (S)-Nicotine Synthesis. Molecules. 2024; 29(23):5731. https://doi.org/10.3390/molecules29235731
Chicago/Turabian StyleTrotsko, Nazar, Barbara Miroslaw, Radomir Jasiński, Mateusz Długosz, Małgorzata Sadczuk, and Oleg M. Demchuk. 2024. "Efficient Method of (S)-Nicotine Synthesis" Molecules 29, no. 23: 5731. https://doi.org/10.3390/molecules29235731
APA StyleTrotsko, N., Miroslaw, B., Jasiński, R., Długosz, M., Sadczuk, M., & Demchuk, O. M. (2024). Efficient Method of (S)-Nicotine Synthesis. Molecules, 29(23), 5731. https://doi.org/10.3390/molecules29235731

