Silver CVD and ALD Precursors: Synthesis, Properties, and Application in Deposition Processes
Abstract
1. Introduction
2. Ag ALD and MOCVD: General Aspects and Requirements for Precursors
3. Silver Precursors for CVD and ALD Processes
3.1. Carboxylate Complexes
3.1.1. Complexes Without Additional Ligand
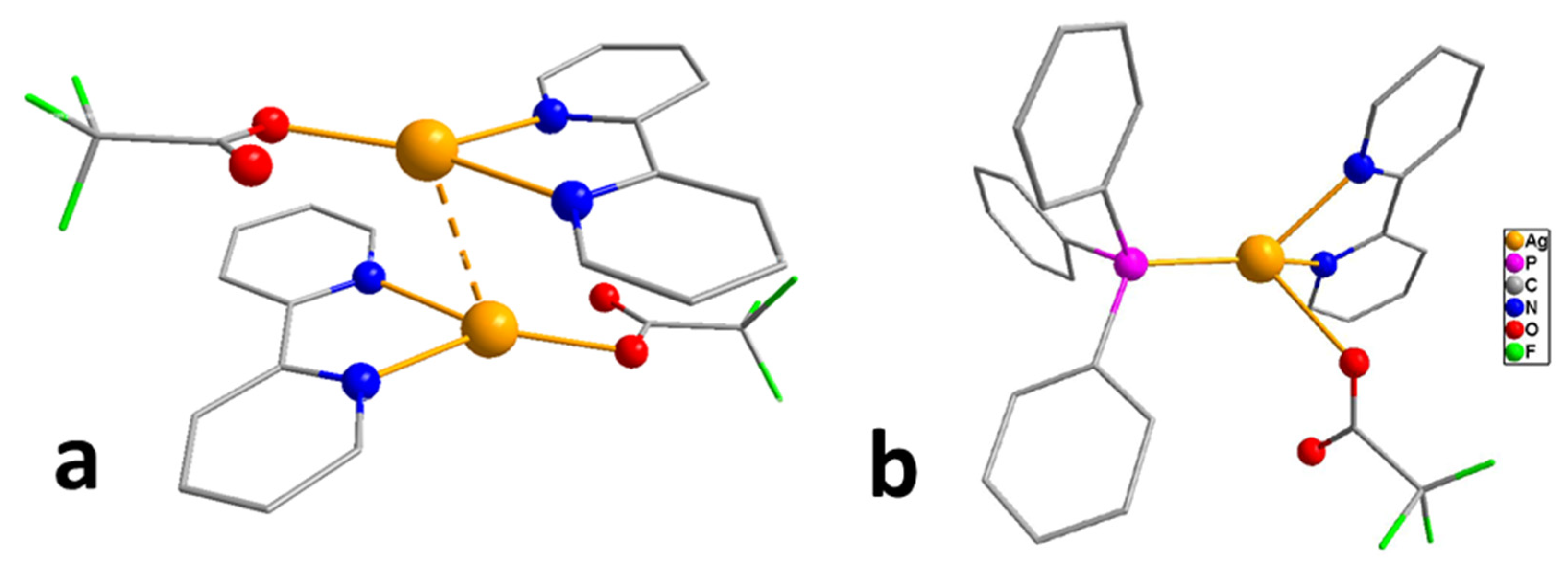
3.1.2. Silver Carboxylate Adducts
3.2. β-Diketonate Complexes
3.2.1. Complexes Without Additional Ligands
3.2.2. Beta-Diketonate Adducts
3.3. Complexes with N-Donor Anionic Ligands
3.3.1. Amidinate, Guanidinate, and Related Complexes
3.3.2. Pyrazolate Complexes
3.3.3. Amide and Diiminate Complexes
3.3.4. N-Succinimide Complexes
3.4. Other Complexes
3.4.1. Complexes with O and (O^O) Donor Anionic Ligands
3.4.2. Complexes with (N^O) Donor Anionic Ligands
3.4.3. Complexes with S-Donor Anionic Ligands
3.4.4. Complexes with P-Donor Anionic Ligands
3.5. Organometallic Compounds
3.5.1. Carbonyl and Other Small Molecules Derivatives
3.5.2. Cyclopentadienyl Derivatives
3.5.3. Alkenyl and Other Derivatives
4. Ag Film and Nanoparticle Deposition
| Ref. | Precursor | Method * | Reagent | Source/Deposition (T, °C), Substrate, Particles Sizes (nm) | Composition (XRD) and Other Characteristics |
|---|---|---|---|---|---|
| [162] | [AgCOOC2F5]n | HW-MOCVD | - | 240/280–350, titania nanotube coatings, 15–65 | AgNPs, spherical crystallite shape |
| [163] | [Ag(cod)(hfac)]2 | CW-MOCVD | H2 | 120/350, 5–20 | AgNPs, spherical crystallite shape |
| Ref. | Precursor | Method | Reagent | Source/Deposition (T, °C), Substrate, Thickness (nm), Growth Rate (nm/min) | Composition (XRD) and Other Characteristics |
| [164] | [Ag(COOC3F7)]n | AA-MOCVD (THF) | - | 160/310, glass, 90, 0.3–0.9 | Ag, 4.2 μΩ·cm |
| [Ag(PPh3)2(COOC3F7)] | 160/310, glass, 65, 0.25–0.32 | - | |||
| [79] | [Ag(PPh3)(hfac)] | AP-AACVD (THF) | -/310, glass, 306, 1.06 | Ag, 186 μΩ·cm | |
| [Ag(PPh3)(hfacNhex)] | -/310, glass, 295, 1.64 | Ag, 1.1 μΩ·cm | |||
| [Ag(PPh3)(hfacNchex)] | -/310, glass, 248, 1.91 | Ag, 167 μΩ·cm | |||
| [145] | [Ag(PEt3)PhB(CH2PPh2)3] | AA-MOCVD (THF) | -/300, glass or steel, 100, 0.5–0.6 (steel) | Ag > 85%, B-contamination, 2–3 µΩ cm | |
| [Ag(PEt3)nBuB(CH2PPh2)3] | -/500, glass or steel, 3000, 14–18 (steel) | Ag > 90%, B-contamination, 2–3 µΩ cm | |||
| [165] | [Ag(PEt3)(fod))] | DLI-MOCVD | N2/H2 | 40/250–300, SiO2/Si or TiN/Si, - | Ag = 59–99%, (F, Cl –surf. contamination), 3 μΩ cm |
| [9] | AgNO3 | AA-MOCVD (alcohols) | - | -/147–427, TiN, glass, >900 | >900 nm (2µΩ cm) |
| [161] | [Ag(cod)(hfac)]2 | CW-MOCVD | - | 60/200–250, TiN/Si, 500–720(only in case of [Ag(VTE)(hfac)]) | Ag >99%, 1.92 μΩ cm |
| [Ag(VTES)(hfac)] | -, 1.83 μΩ cm | ||||
| [93] | [Ag(amd)]4 | -/N2/H2 | 160–180/200–230, Si/SiO2, 66–67, 0.26 | Ag > 93% (N2/H2), 19.2–220 μΩ·cm | |
| [94] | [Ag(pyrrolidinato)]2 | HW-MOCVD | - | 110/140–220, SiO2, 5–156, 0.8–1.1 | Ag > 96.8%, 2.46 μΩ·cm |
| [46] | [Ag(tfpz)]3 | CW-MOCVD | -/H2 | 140/250–350, Si, 310–512, 5–8 | Ag = 56–94%, >3.6 µΩ cm |
| [141] | [Ag3{(SPiPr2)6N3}] | AA-MOCVD (Toluene) | - | -/425–525, glass | Ag + Ag2S (at 425–450 °C), Ag(111) (at 475–525 °C) |
| Ref. | Precursor | Method * | Reagent | Source/Deposition (T, °C), Substrate, Particles Sizes (nm), (Number of Cycles) | Composition (XRD) and Other Characteristics |
|---|---|---|---|---|---|
| [40] | [Ag(cod)(hfac)]2 | LI-ALD | Propanol | 50/110–150, Si or SiN, 1–10 (110 °C, 1000 cycles) 22–60 (150 °C, 1000 cycles) | Ag, spherical or truncated octahedral crystallite shape, narrow size distribution Wulff model (110 °C) |
| [7] | 130/123–128, Si(100), 10 (100 cycles), 25 (500 cycles), 48 (1000 cycles), 117 (1500 cycles) | Ag, spherical or oval crystallite shape, narrow size distribution, 0.17 Å/cycle | |||
| [166] | Tertiary butyl hydrazine | 130/105–128, Si(100), 9 (500 cycles), 18 (1000 cycles), 27 (1500 cycles) | Ag, spherical or oval crystallite shape, 0.18 Å/cycle (thin films), 0.62–10−5 Ω cm | ||
| [39] | [Ag(PMe3)(hfac)] | T-ALD | HCHO or TMA+H2O | 63–66/170–200, Al2O3, 2–19 or 1.8–2.2 | Ag, spherical, narrow size distribution |
| [16] | [Ag(PEt3)(fod)] | PE-ALD (100 W) | H2 | 100/130–140, Si, 4 (100 cycles) | Ag, spherical or oval crystallite shape, Ag content 50–75%,0.2 Å/cycle |
| [167] | PE-ALD (100 W) | 106/120, Ti, 6.8–9.6 (50 cycles) | Ag2O (no more than 10% XPS), spherical or oval crystallite shape, medical application | ||
| [168] | T-ALD | Me2NHBH3 | 96/100–120, Si, the filter of N95 mask, 16 | Ag, spherical or oval, medical application | |
| Ref. | Precursor | Method | Reagent | Source/Deposition (T, °C), Substrate, Thickness (nm), Growth Rate (nm/min) (Number of Cycles) | Composition (XRD) and Other Characteristics |
| [8] | [Ag(PEt3)(piv)] | RE-ALD | H2or H | 125/140–160, Si trenches, 40, 1.2 (100 cycles) | Ag > 70%, 6 μΩ·cm |
| [Ag(PBu3)(piv)] | 125/140–160, Si trenches | No deposition | |||
| [169] | [Ag(PEt3)(fod)] | APS-ALD | H2/N2 | -/120, rotation speed of 40 rpm, 80 (on Mo) | Ag, Volmer–Weber island growth, 3.5–10 μΩ cm |
| [41] | [Ag(tBuNHC)(hmds)] | APP-ALD | Ar+H2 | 100/120, Si or glass, 0.14 (900–1800 cycle) | Ag > 99%, 0.9 Ω/sq (resistivity: 10−5 Ωcm) |
4.1. Application of Ag Precursors in MOCVD Processes
4.2. Application of Ag Precursors in ALD Processes
5. Conclusions
Author Contributions
Funding
Institutional Review Board Statement
Informed Consent Statement
Data Availability Statement
Acknowledgments
Conflicts of Interest
References
- Minjauw, M.M.; Solano, E.; Sree, S.P.; Asapu, R.; Van Daele, M.; Ramachandran, R.K.; Heremans, G.; Verbruggen, S.W.; Lenaerts, S.; Martens, J.A.; et al. Plasma-Enhanced Atomic Layer Deposition of Silver Using Ag(fod)(PEt3) and NH3 -Plasma. Chem. Mater. 2017, 29, 7114–7121. [Google Scholar] [CrossRef]
- Adams, D.; Alford, T.; Mayer, J. Silver Metallization: Stability and Reliability; Springer: London, UK, 2008; ISBN 978-1-84800-026-1. [Google Scholar]
- Baburin, A.S.; Merzlikin, A.M.; Baryshev, A.V.; Ryzhikov, I.A.; Panfilov, Y.V.; Rodionov, I.A. Silver-based plasmonics: Golden material platform and application challenges [Invited]. Opt. Mater. Express 2019, 9, 611. [Google Scholar] [CrossRef]
- Chernousova, S.; Epple, M. Silver as antibacterial agent: Ion, nanoparticle, and metal. Angew. Chem. Int. Ed. Engl. 2013, 52, 1636–1653. [Google Scholar] [CrossRef] [PubMed]
- Li, Y.; Liao, Q.; Hou, W.; Qin, L. Silver-Based Surface Plasmon Sensors: Fabrication and Applications. Int. J. Mol. Sci. 2023, 24, 4142. [Google Scholar] [CrossRef]
- van den Bruele, F.J.; Smets, M.; Illiberi, A.; Creyghton, Y.; Buskens, P.; Roozeboom, F.; Poodt, P. Atmospheric pressure plasma enhanced spatial ALD of silver. J. Vac. Sci. Technol. A 2014, 33, 01A131. [Google Scholar] [CrossRef]
- Golrokhi, Z.; Chalker, S.; Sutcliffe, C.J.; Potter, R.J. Self-limiting atomic layer deposition of conformal nanostructured silver films. Appl. Surf. Sci. 2016, 364, 789–797. [Google Scholar] [CrossRef]
- Niskanen, A.; Hatanpää, T.; Arstila, K.; Leskelä, M.; Ritala, M. Radical-Enhanced Atomic Layer Deposition of Silver Thin Films Using Phosphine-Adducted Silver Carboxylates. Chem. Vap. Depos. 2007, 13, 408–413. [Google Scholar] [CrossRef]
- Bahlawane, N.; Premkumar, P.A.; Brechling, A.; Reiss, G.; Kohse-Höinghaus, K. Alcohol-Assisted CVD of Silver Using Commercially Available Precursors. Chem. Vap. Depos. 2007, 13, 401–407. [Google Scholar] [CrossRef]
- Szłyk, E.; Szczęsny, R.; Wojtczak, A. X-Ray structural and gas phase studies of silver(I) perfluorinated carboxylate complexes with 2,2′-bipyridyl as potential precursors for chemical vapour deposition (CVD). Dalt. Trans. 2010, 39, 1823. [Google Scholar] [CrossRef]
- Szczęsny, R.; Szłyk, E. Thermal decomposition of some silver(I) carboxylates under nitrogen atmosphere. J. Therm. Anal. Calorim. 2013, 111, 1325–1330. [Google Scholar] [CrossRef]
- Kim, H.-K.; Jeong, H.-C.; Kim, K.S.; Yoon, S.H.; Lee, S.S.; Seo, K.W.; Shim, I.-W. Preparation of silver thin films using liquid-phase precursors by metal organic chemical vapor deposition and their conversion to silver selenide films by selenium vapor deposition. Thin Solid Films 2005, 478, 72–76. [Google Scholar] [CrossRef]
- Yang, J.; Yu, F.; Chen, A.; Zhao, S.; Zhou, Y.; Zhang, S.; Sun, T.; Hu, G. Synthesis and application of silver and copper nanowires in high transparent solar cells. Adv. Powder Mater. 2022, 1, 100045. [Google Scholar] [CrossRef]
- Adams, D. Encapsulated silver for integrated circuit metallization. Mater. Sci. Eng. R Rep. 2003, 40, 207–250. [Google Scholar] [CrossRef]
- Piszczek, P.; Radtke, A. Silver Nanoparticles Fabricated Using Chemical Vapor Deposition and Atomic Layer Deposition Techniques: Properties, Applications and Perspectives: Review. In Noble and Precious Metals: Properties, Nanoscale Effects and Applications; Seehra, M.S., Bristow, A.D., Eds.; IntechOpen: Rijeka, Croatia, 2017; Chapter 9; ISBN 978-1-78923-293-6. [Google Scholar]
- Wack, S.; Lunca Popa, P.; Adjeroud, N.; Guillot, J.; Pistillo, B.R.; Leturcq, R. Large-Scale Deposition and Growth Mechanism of Silver Nanoparticles by Plasma-Enhanced Atomic Layer Deposition. J. Phys. Chem. C 2019, 123, 27196–27206. [Google Scholar] [CrossRef]
- Yaqoob, A.A.; Umar, K.; Ibrahim, M.N.M. Silver nanoparticles: Various methods of synthesis, size affecting factors and their potential applications—A review. Appl. Nanosci. 2020, 10, 1369–1378. [Google Scholar] [CrossRef]
- Madajska, K.; Dobrzańska, L.; Muzioł, T.; Szymańska, I.B. Silver ionic compounds as a source of metal carriers in the gas phase. Polyhedron 2022, 227, 116149. [Google Scholar] [CrossRef]
- Arachchilage, H.J.; Suescun, L.; Ward, C.L.; Winter, C.H. Volatile and thermally stable silver pyrazolate complexes containing N-heterocyclic carbene ligands. Polyhedron 2021, 197, 115010. [Google Scholar] [CrossRef]
- Dorovskikh, S.; Vikulova, E.; Sergeevichev, D.; Guselnikova, T.; Korolkov, I.; Fedorenko, A.; Nasimov, D.; Vasilieva, M.; Chepeleva, E.; Zherikova, K.; et al. Heterostructures Based on Noble Metal Films with Ag and Au Nanoparticles: Fabrication, Study of In Vivo Biocompatibility and Antibacterial Activity. Coatings 2023, 13, 1269. [Google Scholar] [CrossRef]
- Basova, T.V.; Vikulova, E.S.; Dorovskikh, S.I.; Hassan, A.; Morozova, N.B.; Vikulova, E.S.; Chepeleva, E.V.; Vasilieva, M.B.; Nasimov, D.A.; Maksimovskii, E.A.; et al. Noble Metals for Modern Implant Materials: MOCVD of Film Structures and Cytotoxical, Antibacterial, and Histological Studies. Mater. Des. 2021, 9, 109672. [Google Scholar] [CrossRef]
- Dorovskikh, S.I.; Vikulova, E.S.; Sergeevichev, D.S.; Guselnikova, T.Y.; Zheravin, A.A.; Nasimov, D.A.; Vasilieva, M.B.; Chepeleva, E.V.; Saprykin, A.I.; Basova, T.V.; et al. Biological Studies of New Implant Materials Based on Carbon and Polymer Carriers with Film Heterostructures Containing Noble Metals. Biomedicines 2022, 10, 2230. [Google Scholar] [CrossRef]
- Radtke, A.; Grodzicka, M.; Ehlert, M.; Muzioł, T.M.; Szkodo, M.; Bartmański, M.; Piszczek, P. Studies on Silver Ions Releasing Processes and Mechanical Properties of Surface-Modified Titanium Alloy Implants. Int. J. Mol. Sci. 2018, 19, 3962. [Google Scholar] [CrossRef] [PubMed]
- Sidorowicz, A.; Fais, G.; Desogus, F.; Loy, F.; Licheri, R.; Lai, N.; Locci, A.M.; Cincotti, A.; Orrù, R.; Cao, G.; et al. Optimization of Brilliant Blue R photocatalytic degradation by silver nanoparticles synthesized using Chlorella vulgaris. Environ. Sci. Pollut. Res. 2024, 31, 57765–57777. [Google Scholar] [CrossRef] [PubMed]
- Sidorowicz, A.; Fais, G.; Desogus, F.; Loy, F.; Licheri, R.; Lai, N.; Cao, G.; Concas, A. Eco-Friendly Photocatalytic Treatment of Dyes with Ag Nanoparticles Obtained through Sustainable Process Involving Spirulina platensis. Sustainability 2024, 16, 8758. [Google Scholar] [CrossRef]
- Prigoda, K.; Ermina, A.; Bolshakov, V.; Nazarov, D.; Ezhov, I.; Lutakov, O.; Maximov, M.; Tolmachev, V.; Zharova, Y. The Array of Si Nanowires Covered with Ag Nanoparticles by ALD: Fabrication Process and Optical Properties. Coatings 2022, 12, 1748. [Google Scholar] [CrossRef]
- Emslie, D.J.H.; Chadha, P.; Price, J.S. Metal ALD and pulsed CVD: Fundamental reactions and links with solution chemistry. Coord. Chem. Rev. 2013, 257, 3282–3296. [Google Scholar] [CrossRef]
- Igumenov, I.K.; Basova, T.V.; Belosludov, V.R. Volatile Precursors for Films Deposition: Vapor Pressure, Structure and Thermodynamics. In Application of Thermodynamics to Biological and Materials Science; INTECH Open Access Publisher: London, UK, 2011; pp. 521–546. [Google Scholar] [CrossRef]
- Utke, I.; Swiderek, P.; Höflich, K.; Madajska, K.; Jurczyk, J.; Martinović, P.; Szymańska, I.B. Coordination and organometallic precursors of group 10 and 11: Focused electron beam induced deposition of metals and insight gained from chemical vapour deposition, atomic layer deposition, and fundamental surface and gas phase studies. Coord. Chem. Rev. 2022, 458, 213851. [Google Scholar] [CrossRef]
- Grodzicki, A.; Łakomska, I.; Piszczek, P.; Szymańska, I.; Szłyk, E. Copper(I), silver(I) and gold(I) carboxylate complexes as precursors in chemical vapour deposition of thin metallic films. Coord. Chem. Rev. 2005, 249, 2232–2258. [Google Scholar] [CrossRef]
- Voorhoeve, R.J.H.; Merewether, J.W. Selective Deposition of Silver on Silicon by Reaction with Silver Fluoride Vapor. J. Electrochem. Soc. 1972, 119, 364. [Google Scholar] [CrossRef]
- Boies, A.M.; Roberts, J.T.; Girshick, S.L.; Zhang, B.; Nakamura, T.; Mochizuki, A. SiO2 coating of silver nanoparticles by photoinduced chemical vapor deposition. Nanotechnology 2009, 20, 295604. [Google Scholar] [CrossRef]
- Yates, H.M.; Brook, L.A.; Sheel, D.W. Photoactive Thin Silver Films by Atmospheric Pressure CVD. Int. J. Photoenergy 2008, 2008, 1–8. [Google Scholar] [CrossRef]
- Cook, I.; Sheel, D.W.; Foster, H.A.; Varghese, S. Durability of Silver Nanoparticulate Films Within a Silica Matrix by Flame Assisted Chemical Vapour Deposition for Biocidal Applications. J. Nanosci. Nanotechnol. 2011, 11, 8337–8342. [Google Scholar] [CrossRef] [PubMed]
- Oehr, C.; Suhr, H. Deposition of silver films by plasma-enhanced chemical vapour deposition. Appl. Phys. A Solids Surf. 1989, 49, 691–696. [Google Scholar] [CrossRef]
- Liu, H.; Battiato, S.; Pellegrino, A.L.; Paoli, P.; Rossi, P.; Jiménez, C.; Malandrino, G.; Muñoz-Rojas, D. Deposition of metallic silver coatings by Aerosol Assisted MOCVD using two new silver β-diketonate adduct metalorganic precursors. Dalton Trans. 2017, 46, 10986–10995. [Google Scholar] [CrossRef] [PubMed]
- Edwards, D.A.; Mahon, M.F.; Molloy, K.C.; Ogrodnik, V. Aerosol-assisted chemical vapour deposition of silver films from adducts of functionalised silver carboxylates. J. Mater. Chem. 2003, 13, 563–570. [Google Scholar] [CrossRef]
- Panneerselvam, A.; Malik, M.A.; O’Brien, P.; Helliwell, M. The Aerosol-Assisted CVD of Silver Films from Single-Source Precursors. Chem. Vap. Depos. 2009, 15, 57–63. [Google Scholar] [CrossRef]
- Masango, S.S.; Peng, L.; Marks, L.D.; Van Duyne, R.P.; Stair, P.C. Nucleation and Growth of Silver Nanoparticles by AB and ABC-Type Atomic Layer Deposition. J. Phys. Chem. C 2014, 118, 17655–17661. [Google Scholar] [CrossRef]
- Chalker, P.R.; Romani, S.; Marshall, P.A.; Rosseinsky, M.J.; Rushworth, S.; Williams, P.A. Liquid injection atomic layer deposition of silver nanoparticles. Nanotechnology 2010, 21, 405602. [Google Scholar] [CrossRef]
- Boysen, N.; Hasselmann, T.; Karle, S.; Rogalla, D.; Theirich, D.; Winter, M.; Riedl, T.; Devi, A. An N-Heterocyclic Carbene Based Silver Precursor for Plasma-Enhanced Spatial Atomic Layer Deposition of Silver Thin Films at Atmospheric Pressure. Angew. Chem. Int. Ed. 2018, 57, 16224–16227. [Google Scholar] [CrossRef]
- Kariniemi, M.; Niinistö, J.; Hatanpää, T.; Kemell, M.; Sajavaara, T.; Ritala, M.; Leskelä, M. Plasma-Enhanced Atomic Layer Deposition of Silver Thin Films. Chem. Mater. 2011, 23, 2901–2907. [Google Scholar] [CrossRef]
- Martinović, P.; Rohdenburg, M.; Butrymowicz, A.; Sarigül, S.; Huth, P.; Denecke, R.; Szymańska, I.B.; Swiderek, P. Electron-Induced Decomposition of Different Silver(I) Complexes: Implications for the Design of Precursors for Focused Electron Beam Induced Deposition. Nanomaterials 2022, 12, 1687. [Google Scholar] [CrossRef]
- Mishra, S.; Daniele, S. Metal–Organic Derivatives with Fluorinated Ligands as Precursors for Inorganic Nanomaterials. Chem. Rev. 2015, 115, 8379–8448. [Google Scholar] [CrossRef] [PubMed]
- Hatanpää, T.; Ritala, M.; Leskelä, M. Precursors as enablers of ALD technology: Contributions from University of Helsinki. Coord. Chem. Rev. 2013, 257, 3297–3322. [Google Scholar] [CrossRef]
- Chi, Y.; Lay, E.; Chou, T.-Y.; Song, Y.-H.; Carty, A.J. Deposition of Silver Thin Films Using the Pyrazolate Complex [Ag(3,5-(CF3)2 C3HN2)]3. Chem. Vap. Depos. 2005, 11, 206–212. [Google Scholar] [CrossRef]
- Vikulova, E.; Sukhikh, T.; Barasheve, A.; Varvarinskya, E.; Ilyin, I.Y.; Shakirova, O.; Morozova, N. Synthesis and structure of complexes of Ag(I) with tris(3,5-dimethylpyrazol-1-yl)methane and β-diketones. Russ. J. Stuctural Chem. 2024, 65, 136279. [Google Scholar] [CrossRef]
- Doppelt, P.; Baum, T.H.; Ricard, L. Synthesis and Characterization of a Bis(μ-β-diketonato)bis((1,2,5,6-η)-1,5-dimethyl-1,5- cyclooctadiene)disilver Complex. An Intermediate in the Synthesis of an Isomerically Pure (beta-Diketonato)((1,2,5,6-η)-1,5-dimethyl-1,5-cyclooctadiene)copper(I) Complex. Inorg. Chem. 1996, 35, 1286–1291. [Google Scholar] [CrossRef] [PubMed]
- Bazhanova, Z.G.; Tarasov, Y.I.; Kovtun, D.M.; Boltalin, A.I.; Novosadov, B.K.; Kochikov, I. V A quantum chemical study of the structure of fluorinated silver acetate(I) monomers and dimers. J. Struct. Chem. 2010, 51, 409–418. [Google Scholar] [CrossRef]
- Olson, L.P.; Whitcomb, D.R.; Rajeswaran, M.; Blanton, T.N.; Stwertka, B.J. The Simple Yet Elusive Crystal Structure of Silver Acetate and the Role of the Ag−Ag Bond in the Formation of Silver Nanoparticles during the Thermally Induced Reduction of Silver Carboxylates. Chem. Mater. 2006, 18, 1667–1674. [Google Scholar] [CrossRef]
- Kuzmina, N.; Paramonov, S.; Ivanov, R.; Kezko, V.; Polamo, K.; Troyanov, S. Silver pivalate as a new volatile precursor for thin film deposition. Le J. Phys. IV 1999, 09, Pr8-923–Pr8-928. [Google Scholar] [CrossRef]
- Jurczyk, J.; Glessi, C.; Madajska, K.; Berger, L.; Nyrud, J.I.K.; Szymańska, I.; Kapusta, C.; Tilset, M.; Utke, I. Vacuum versus ambient pressure inert gas thermogravimetry: A study of silver carboxylates. J. Therm. Anal. Calorim. 2022, 147, 2187–2195. [Google Scholar] [CrossRef]
- Szymańska, I.; Piszczek, P.; Szczęsny, R.; Szłyk, E. Thermal and MS studies of silver(I) 2,2-dimethylbutyrate complexes with tertiary phosphines and their application for CVD of silver films. Polyhedron 2007, 26, 2440–2448. [Google Scholar] [CrossRef]
- Römbke, P.; Schier, A.; Schmidbaur, H.; Cronje, S.; Raubenheimer, H. Mono- and bimetallic gold(I) and silver(I) pentafluoropropionates and related compounds. Inorganica Chim. Acta 2004, 357, 235–242. [Google Scholar] [CrossRef]
- Jakob, A.; Rüffer, T.; Schmidt, H.; Djiele, P.; Körbitz, K.; Ecorchard, P.; Haase, T.; Kohse-Höinghaus, K.; Frühauf, S.; Wächtler, T.; et al. Disilver(I) Coordination Complexes: Synthesis, Reaction Chemistry, and Their Potential Use in CVD and Spin-Coating Processes for Silver Deposition. Eur. J. Inorg. Chem. 2010, 2010, 2975–2986. [Google Scholar] [CrossRef]
- Jakob, A.; Schmidt, H.; Djiele, P.; Shen, Y.; Lang, H. Phosphane/phosphite silver(I) carboxylates as CVD precursors. Microchim. Acta 2006, 156, 77–81. [Google Scholar] [CrossRef]
- Effendy; Marchetti, F.; Pettinari, C.; Pettinari, R.; Skelton, B.W.; White, A.H. Synthesis and structural characterization of adducts of silver(I) carboxylate salts AgX (X = CF3COO, CH3COO) with ER3 (E = P, As; R = Ph, cy, o-tolyl) and oligodentate aromatic bases derivative of 2,2′-bipyridyl, L, AgX:PR3:L (1:1:1). Inorganica Chim. Acta 2007, 360, 1451–1465. [Google Scholar] [CrossRef]
- Li, J.; Chai, G.; Wang, X. Atomic layer deposition of thin films: From a chemistry perspective. Int. J. Extrem. Manuf. 2023, 5, 032003. [Google Scholar] [CrossRef]
- Karakovskaya, K.I.; Dorovskikh, S.I.; Vikulova, E.S.; Ilyin, I.Y.; Zherikova, K.V.; Basova, T.V.; Morozova, N.B. Volatile Iridium and Platinum MOCVD Precursors: Chemistry, Thermal Properties, Materials and Prospects for Their Application in Medicine. Coatings 2021, 11, 78. [Google Scholar] [CrossRef]
- Condorelli, G.G.; Malandrino, G.; Fragalà, I.L. Engineering of molecular architectures of β-diketonate precursors toward new advanced materials. Coord. Chem. Rev. 2007, 251, 1931–1950. [Google Scholar] [CrossRef]
- Ngo, S.C.; Banger, K.K.; Toscano, P.J.; Welch, J.T. Synthesis and physical and structural characterization of Ag(I) complexes supported by non-fluorinated β-diketonate and related ancillary ligands. Polyhedron 2002, 21, 1289–1297. [Google Scholar] [CrossRef]
- Evans, W.J.; Giarikos, D.G.; Josell, D.; Ziller, J.W. Synthesis and Structure of Polymeric Networks of Silver Hexafluoroacetylacetonate Complexes of THF, Toluene, and Vinyltrimethylsilane. Inorg. Chem. 2003, 42, 8255–8261. [Google Scholar] [CrossRef]
- Akhbari, K.; Morsali, A. One-Dimensional Corrugated Tape AgI Coordination Polymers Constructed of Ag−C Bonds. Cryst. Growth Des. 2007, 7, 2024–2030. [Google Scholar] [CrossRef]
- Vikulova, E.S.; Sukhikh, T.S.; Gulyaev, S.A.; Ilyin, I.Y.; Morozova, N.B. Structural Diversity of Silver Fluorinated β-Diketonates: Effect of the Terminal Substituent and Solvent. Molecules 2022, 27, 677. [Google Scholar] [CrossRef] [PubMed]
- Gulyaev, S.A.; Vikulova, E.S.; Sukhikh, T.S.; Ilyin, I.Y.; Morozova, N.B. Structures and thermal properties of silver(I) β-diketonates with bulky terminal substituents. J. Struct. Chem. 2021, 62, 1836–1845. [Google Scholar] [CrossRef]
- Partenheimer, W.; Johnson, E.H. Syntheses of some new silver olefin compounds of the type (olefin) (beta-diketonato)silver(I). Inorg. Chem. 1972, 11, 2840–2841. [Google Scholar] [CrossRef]
- Chi, K.-M.; Lu, Y.-H. MOCVD of Silver Thin Films from the (1,1,1,5,5,5-Hexafluoro-2,4-pentanedionato)-silver[bis(trimethylsilyl)acetylene] Complex. Chem. Vap. Depos. 2001, 7, 117–120. [Google Scholar] [CrossRef]
- Chi, K.-M.; Chen, K.-H.; Peng, S.-M.; Lee, G.-H. Synthesis and Characterization of (β-Diketonato)silver Vinyltriethylsilane Compounds and Their Application to CVD of Silver Thin Films. Crystal Structure of the (2,2-Dimethyl-6,6,7,7,8,8,8-heptafluoro-3,5-octanedionato)silver Vinyltriethylsilane Dimer. Organometallics 1996, 15, 2575–2578. [Google Scholar] [CrossRef]
- Chi, K.-M.; Lin, C.-T.; Peng, S.-M.; Lee, G.-H. Synthesis and Characterization of New Silver Complexes of Alkynes. Single-Crystal Structures of (1,1,1,5,5,5-Hexafluoro-2,4-pentanedionato)- (diphenylacetylene)silver and Tetrakis(1,1,1,5,5,5- hexafluoro-2,4-pentanedionato)bis(4-octyne)tetrasilver. Organometallics 1996, 15, 2660–2663. [Google Scholar] [CrossRef]
- Partenheimer, W.; Johnson, E.H.; Tayim, H.A. Olefin(β-Diketonato)Silver(I) Compounds. In Inorganic Syntheses; Wiley: Hoboken, NJ, USA, 1976; Volume 16, pp. 117–119. [Google Scholar]
- Vikulova, E.S.; Il’in, I.Y.; Sukhikh, T.S.; Artamonova, P.K.; Morozova, N.B. Complexes of Silver 1,1,1,5,5,6,6,6-Octafluorohexane-2,4-dionate with π-Donor Ligands: Synthesis, Structure, and Thermal Properties. Russ. J. Coord. Chem. 2023, 49, 743–752. [Google Scholar] [CrossRef]
- Kai-Ming, C.; Kuo-Hsien, C.; Hsiu-Chen, L.; Kuan-Jiuh, L. Synthesis and characterization of (β-diketonato)silver complexes of 7-tert-butoxynorbornadiene. Single-crystal structures of (hfac) (7-But-O-NBD)Ag and [(hfac)2(7-But-O-NBD)Ag2]n. Polyhedron 1997, 16, 2147–2154. [Google Scholar] [CrossRef]
- Bailey, A.; Corbitt, T.S.; Hampden-Smith, M.J.; Duesler, E.N.; Kodas, T.T. Synthesis and characterization of 1,1,1,5,5,5-hexafluoroacetylacetonato-(1,5-cyclooctadiene)silver(I) dimer. An unusual β-diketonate coordination mode. Polyhedron 1993, 12, 1785–1792. [Google Scholar] [CrossRef]
- Zherikova, K.V.; Vikulova, E.S.; Pishchur, D.P.; Morozova, N.B. Thermodynamic Characterization of Phase Transitions of (Hexafluoroacetylacetonato)(cyclooctadiene-1,5)silver. Russ. J. Phys. Chem. A 2024, 98, 1991–1996. [Google Scholar] [CrossRef]
- Kim, H.K.; Jeong, H.C.; Kyung, S.K.; Seok, H.Y.; Seung, S.L.; Kook, W.S.; Shim, I.W. Syntheses of Liquid Phase [(efac)Ag(P(OR)3)] Precursors and Their Application to the Preparation of Silver and Silver Selenide Thin Films. Bull. Korean Chem. Soc. 2004, 25, 1068–1070. [Google Scholar] [CrossRef]
- Yuan, Z.; Dryden, N.H.; Vittal, J.J.; Puddephatt, R.J. Chemical vapor deposition of silver. Chem. Mater. 1995, 7, 1696–1702. [Google Scholar] [CrossRef]
- Lin, W.; Warren, T.H.; Nuzzo, R.G.; Girolami, G.S. Surface-selective deposition of palladium and silver films from metal-organic precursors: A novel metal-organic chemical vapor deposition redox transmetalation process. J. Am. Chem. Soc. 1993, 115, 11644–11645. [Google Scholar] [CrossRef]
- Pellei, M.; Del Gobbo, J.; Caviglia, M.; Karade, D.V.; Gandin, V.; Marzano, C.; Noonikara Poyil, A.; Dias, H.V.R.; Santini, C. Synthesis and cytotoxicity studies of Cu(I) and Ag(I) complexes based on sterically hindered β-diketonates with different degrees of fluorination. Dalton Trans. 2023, 52, 12098–12111. [Google Scholar] [CrossRef] [PubMed]
- Edwards, D.A.; Harker, R.M.; Mahon, M.F.; Molloy, K.C. Aerosol-assisted chemical vapour deposition (AACVD) of silver films from triphenylphosphine adducts of silver β-diketonates and β-diketoiminates, including the structure of [Ag(hfac)(PPh3)]. J. Mater. Chem. 1999, 9, 1771–1780. [Google Scholar] [CrossRef]
- Xu, C.; Corbitt, T.S.; Hampden-Smith, M.J.; Kodas, T.T.; Duesler, E.N. Synthesis and characterization of Lewis-base adducts of 1,1,1,5,5,5-hexafluoroacetylacetonatosilver(I). J. Chem. Soc. Dalton Trans. 1994, 19, 2841. [Google Scholar] [CrossRef]
- Darr, J.A.; Poliakoff, M.; Blake, A.J.; Li, W.-S. Synthesis and Properties of Polyether Adducts of Hexafluoropentanedionatosilver(I). Inorg. Chem. 1998, 37, 5491–5496. [Google Scholar] [CrossRef]
- Elantabli, F.M.; Radebe, M.P.; Motswainyana, W.M.; Owaga, B.O.; El-Medani, S.M.; Ekengard, E.; Haukka, M.; Nordlander, E.; Onani, M.O. Thiophene based imino-pyridyl palladium(II) complexes: Synthesis, molecular structures and Heck coupling reactions. J. Organomet. Chem. 2017, 843, 40–47. [Google Scholar] [CrossRef]
- Boysen, N.; Philip, A.; Rogalla, D.; Karppinen, M.; Devi, A. Role of Anionic Backbone in NHC-Stabilized Coinage Metal Complexes: New Precursors for Atomic Layer Deposition. Chem.–Eur. J. 2022, 28, e202103798. [Google Scholar] [CrossRef]
- Zanotto, L.; Benetollo, F.; Natali, M.; Rossetto, G.; Zanella, P.; Kaciulis, S.; Mezzi, A. Facile Synthesis and Characterization of New β-Diketonate Silver Complexes. Single-Crystal Structures of (1,1,1,5,5,5-Hexafluoro-2,4-pentadionato)(2,2′-bipyridine)silver (I) and (1,1,1,5,5,5-Hexafluoro-2,4-pentadionato) (N, N, N ′, N ′-tetramethylethylenediamine) silver(I). Chem. Vap. Depos. 2004, 10, 207–213. [Google Scholar] [CrossRef]
- Darr, J.A.; Poliakoff, M.; Li, W.-S.; Blake, A.J. Hexafluoropentanedionatosilver(I) complexes stabilised by multidentate N-donor ligands: Crystal structure of a charge-separated salt species soluble in supercritical carbon dioxide. J. Chem. Soc. Dalton Trans. 1997, 17, 2869–2874. [Google Scholar] [CrossRef]
- Vikulova, E.S.; Sukhikh, T.S.; Barysheva, A.S.; Ilyin, I.Y.; Pishchur, D.P.; Morozova, N.B. Structure and Thermal Properties of Silver Complexes with 2,2′-Bipyridine and Fluorinated β-Diketonate Ligands. J. Struct. Chem. 2024, 65, 489–503. [Google Scholar] [CrossRef]
- Tutacz, P.; Syre, R.; Hrib, C.G.; Hilfert, L.; Frenzel, N.; Burte, E.P.; Kühling, M.; Edelmann, F.T. The First Aziridinylguanidinates: New Precursors for Potentially Volatile Metal Guanidinates. Aust. J. Chem. 2014, 67, 1110. [Google Scholar] [CrossRef]
- Kurek, A.; Gordon, P.G.; Karle, S.; Devi, A.; Barry, S.T. Recent Advances Using Guanidinate Ligands for Chemical Vapour Deposition (CVD) and Atomic Layer Deposition (ALD) Applications. Aust. J. Chem. 2014, 67, 989. [Google Scholar] [CrossRef]
- Barry, S.T. Amidinates, guanidinates and iminopyrrolidinates: Understanding precursor thermolysis to design a better ligand. Coord. Chem. Rev. 2013, 257, 3192–3201. [Google Scholar] [CrossRef]
- Lim, B.S.; Rahtu, A.; Park, J.-S.; Gordon, R.G. Synthesis and Characterization of Volatile, Thermally Stable, Reactive Transition Metal Amidinates. Inorg. Chem. 2003, 42, 7951–7958. [Google Scholar] [CrossRef] [PubMed]
- Puyo, M.; Lebon, E.; Vendier, L.; Kahn, M.L.; Fau, P.; Fajerwerg, K.; Lepetit, C. Topological Analysis of Ag–Ag and Ag–N Interactions in Silver Amidinate Precursor Complexes of Silver Nanoparticles. Inorg. Chem. 2020, 59, 4328–4339. [Google Scholar] [CrossRef]
- Whitehorne, T.J.J.; Coyle, J.P.; Mahmood, A.; Monillas, W.H.; Yap, G.P.A.; Barry, S.T. Group 11 Amidinates and Guanidinates: Potential Precursors for Vapour Deposition. Eur. J. Inorg. Chem. 2011, 2011, 3240–3247. [Google Scholar] [CrossRef]
- Tong, L.; Davis, L.M.; Gong, X.; Feng, J.; Beh, E.S.; Gordon, R.G. Synthesis of volatile, reactive coinage metal 5,5-bicyclic amidinates with enhanced thermal stability for chemical vapor deposition. Dalton Trans. 2019, 48, 6709–6713. [Google Scholar] [CrossRef]
- Coyle, J.P.; Gordon, P.G.; Wells, A.P.; Mandia, D.J.; Sirianni, E.R.; Yap, G.P.A.; Barry, S.T. Thermally Robust Gold and Silver Iminopyrrolidinates for Chemical Vapor Deposition of Metal Films. Chem. Mater. 2013, 25, 4566–4573. [Google Scholar] [CrossRef]
- Mukherjee, R. Coordination chemistry with pyrazole-based chelating ligands: Molecular structural aspects. Coord. Chem. Rev. 2000, 203, 151–218. [Google Scholar] [CrossRef]
- Pettinari, C.; Tăbăcaru, A.; Galli, S. Coordination polymers and metal–organic frameworks based on poly(pyrazole)-containing ligands. Coord. Chem. Rev. 2016, 307, 1–31. [Google Scholar] [CrossRef]
- Mykhailiuk, P.K. Fluorinated Pyrazoles: From Synthesis to Applications. Chem. Rev. 2021, 121, 1670–1715. [Google Scholar] [CrossRef]
- Dias, H.V.R.; Gamage, C.S.P.; Keltner, J.; Diyabalanage, H.V.K.; Omari, I.; Eyobo, Y.; Dias, N.R.; Roehr, N.; McKinney, L.; Poth, T. Trinuclear Silver(I) Complexes of Fluorinated Pyrazolates. Inorg. Chem. 2007, 46, 2979–2987. [Google Scholar] [CrossRef]
- Ardizzoia, G.A.; La Monica, G.; Maspero, A.; Moret, M.; Masciocchi, N. Silver(I) Pyrazolates. Synthesis and X-ray and 31 P-NMR Characterization of Triphenylphosphine Complexes and Their Reactivity toward Heterocumulenes. Inorg. Chem. 1997, 36, 2321–2328. [Google Scholar] [CrossRef]
- Hitchcock, P.B.; Lappert, M.F.; Pierssens, L.J.-M. Synthesis and X-ray molecular structures of the silver(I) amides [{Ag[µ-N(SiMe3)2]}4] and [{Ag[µ-NCMe2(CH2)3CMe2]}4]. Chem. Commun. 1996, 10, 1189–1190. [Google Scholar] [CrossRef]
- Selvakumar, I.; Boysen, N.; Bürger, M.; Devi, A. In Pursuit of Next Generation N-Heterocyclic Carbene-Stabilized Copper and Silver Precursors for Metalorganic Chemical Vapor Deposition and Atomic Layer Deposition Processes. Chemistry 2023, 5, 2038–2055. [Google Scholar] [CrossRef]
- Baumer, C.; Schmidt, U.; Bund, A. Investigating the Suitability of Various Silver(I) Complexes for Use in a Cyanide-Free Silver Electrolyte. Coatings 2024, 14, 618. [Google Scholar] [CrossRef]
- Tao, X.; Li, Y.-Q.; Xu, H.-H.; Wang, N.; Du, F.-L.; Shen, Y.-Z. Synthesis and characterization of organophosphine/phosphite stabilized N-silver(I) succinimide: Crystal structure of [(Ph3P)3AgNC4H4O2]. Polyhedron 2009, 28, 1191–1195. [Google Scholar] [CrossRef]
- Tao, X.; Wang, Y.-L.; Shen, K.-C.; Shen, Y.-Z. Trimethylphosphite stabilized N-silver(I) succinimide complexes as CVD precursors. Inorg. Chem. Commun. 2011, 14, 169–171. [Google Scholar] [CrossRef]
- Tao, X.; Shen, K.; Wang, Y.-L.; Shen, Y.-Z. Lewis-Base Stabilized N -Silver(I) Succinimide Complexes: Synthesis, Crystal Structures and Their Use as CVD-Precursors. Z. Anorg. Allg. Chem. 2011, 637, 1394–1400. [Google Scholar] [CrossRef]
- Whitcomb, D.R.; Rajeswaran, M. catena -Poly[[aqua-1κ O -μ 2 -succinimidato-1:2κ 2 O:N -disilver(I)]-μ 3 -succinimidato-1:2:1′κ 3 O:N:O′]. Acta Crystallogr. Sect. E Struct. Rep. Online 2007, 63, m1179–m1181. [Google Scholar] [CrossRef]
- Stashans, A.; Castillo, D. Properties of the silver cyclic amide Ag2(C4H4NO2)2(H2O) crystal from the periodic DFT computations. J. Struct. Chem. 2014, 55, 621–628. [Google Scholar] [CrossRef]
- Perron, J.; Beauchamp, A.L. Silver complexes with succinimide as models for the interaction of silver(I) with the uracil residue. Inorg. Chem. 1984, 23, 2853–2859. [Google Scholar] [CrossRef]
- Whitcomb, D.R.; Rajeswaran, M. (2,2′-Bipyridyl-κ 2 N, N ′)(succinamidato-κ N)silver(I). Acta Crystallogr. Sect. E Struct. Rep. Online 2007, 63, m2753. [Google Scholar] [CrossRef]
- Gomes, J.F.; Garcia, A.C.; Ferreira, E.B.; Pires, C.; Oliveira, V.L.; Tremiliosi-Filho, G.; Gasparotto, L.H.S. New insights into the formation mechanism of Ag, Au and AgAu nanoparticles in aqueous alkaline media: Alkoxides from alcohols, aldehydes and ketones as universal reducing agents. Phys. Chem. Chem. Phys. 2015, 17, 21683–21693. [Google Scholar] [CrossRef]
- Macomber, R.S.; Ford, J.C.; Wenzel, J.H. The Instability of Silver Alkoxides. Synth. React. Inorg. Met. Chem. 1977, 7, 111–122. [Google Scholar] [CrossRef]
- Reisinger, A.; Trapp, N.; Krossing, I. AgOC(CF3)3: Synthesis and Applications of the First Donor-Free Silver(I) Alkoxide. Organometallics 2007, 26, 2096–2105. [Google Scholar] [CrossRef]
- Turksoy, A.; Scattolin, T.; Bouayad-Gervais, S.; Schoenebeck, F. Facile Access to AgOCF3 and Its New Applications as a Reservoir for OCF2 for the Direct Synthesis of N−CF3, Aryl or Alkyl Carbamoyl Fluorides. Chem.–Eur. J. 2020, 26, 2183–2186. [Google Scholar] [CrossRef]
- Golz, P.; Shakeri, K.; Maas, L.; Balizs, M.; Pérez-Bitrián, A.; Kemmler, H.D.; Kleoff, M.; Voßnacker, P.; Christmann, M.; Riedel, S. Silver(I) Perfluoroalcoholates: Synthesis, Structure, and their Use as Transfer Reagents. Chem.–Eur. J. 2024, 30, e202400861. [Google Scholar] [CrossRef]
- Edwards, D.A.; Mahon, M.F.; Molloy, K.C.; Ogrodnik, V. Silver(I) aryloxide–triphenylphosphine complexes. An assessment of their potential as CVD precursors and the structure of [Ag(OC6H4Me-2)(PPh3)3]·2-MeC6H4OH·C6H5Me. Inorganica Chim. Acta 2003, 349, 37–44. [Google Scholar] [CrossRef]
- Akhbari, K.; Morsali, A. Structural conversion of cubane-type thallium complex to hexagon silver complex by solid-state mechanochemical reaction. Inorg. Chem. Commun. 2015, 55, 11–13. [Google Scholar] [CrossRef]
- Jakob, A.; Schmidt, H.; Walfort, B.; Rüffer, T.; Haase, T.; Kohse-Höinghaus, K.; Lang, H. Phosphane- and phosphite-silver(I) phenolates: Synthesis, characterization and their use as CVD precursors. Inorganica Chim. Acta 2011, 365, 1–9. [Google Scholar] [CrossRef]
- Roberts, G.D.; Edward, W. V The mass spectra of some silver salts. Org. Mass Spectrom. 1981, 16, 546–550. [Google Scholar] [CrossRef]
- Grochala, W.; Cyrański, M.K.; Derzsi, M.; Michałowski, T.; Malinowski, P.J.; Mazej, Z.; Kurzydłowski, D.; Koźmiński, W.; Budzianowski, A.; Leszczyński, P.J. Crystal and electronic structure, lattice dynamics and thermal properties of Ag(I)(SO3)R (R = F, CF3) Lewis acids in the solid state. Dalton Trans. 2012, 41, 2034–2047. [Google Scholar] [CrossRef]
- Dixon, S.C.; Manzi, J.A.; Powell, M.J.; Carmalt, C.J.; Parkin, I.P. Reflective Silver Thin Film Electrodes from Commercial Silver(I) Triflate via Aerosol-Assisted Chemical Vapor Deposition. ACS Appl. Nano Mater. 2018, 1, 3724–3732. [Google Scholar] [CrossRef]
- Terroba, R.; Hursthouse, M.B.; Laguna, M.; Mendia, A. Unexpected diastereoisomeric-trimers in the crystalline structure of triflatetriphenylphosphinesilver(I). Polyhedron 1999, 18, 807–810. [Google Scholar] [CrossRef]
- Bardají, M.; Crespo, O.; Laguna, A.; Fischer, A.K. Structural characterization of silver(I) complexes [Ag(O3SCF3)(L)] (L = PPh3, PPh2Me, SC4H8) and [AgLn](CF3SO3) (n = 2–4), (L = PPh3, PPh2Me). Inorganica Chim. Acta 2000, 304, 7–16. [Google Scholar] [CrossRef]
- Lettko, L.; Wood*, J.S.; Rausch*, M.D. Synthesis of (phosphine)silver(I) trifluoromethanesulfonate complexes and the molecular structure of di-μ-trifluoromethylsulfonate-(tetrakis-triphenylphosphine)disilver(I). Inorganica Chim. Acta 2000, 308, 37–44. [Google Scholar] [CrossRef]
- Zhang, Y.-Y.; Wang, Y.; Tao, X.; Wang, N.; Shen, Y.-Z. Synthesis and characterization of organophosphine/phosphite stabilized silver(I) methanesulfonates: Crystal structures of [Ph3PAgO3SCH3] and [(Ph3P)2AgO3SCH3]. Polyhedron 2008, 27, 2501–2505. [Google Scholar] [CrossRef]
- Tao, X.; Shen, K.-C.; Shen, Y.-Z. Syntheses, X-ray structures and CVD studies of trimethylphosphite stabilized silver(I) methanesulfonates. J. Organomet. Chem. 2011, 696, 2681–2684. [Google Scholar] [CrossRef]
- Tao, X.; Shen, K.-C.; Feng, M.; Tang, Q.-Y.; Fang, J.-T.; Wang, Y.-L.; Shen, Y.-Z. Trimethylphosphite stabilized disilver(I) methanedisulfonates as MOCVD precursors. Polyhedron 2011, 30, 2661–2666. [Google Scholar] [CrossRef]
- Saqib, M.; Li, S.; Gao, W.; Majeed, S.; Qi, L.; Liu, Z.; Xu, G. N-Hydroxysuccinimide as an effective chemiluminescence coreactant for highly selective and sensitive detection. Anal. Bioanal. Chem. 2016, 408, 8851–8857. [Google Scholar] [CrossRef]
- Tao, X.; Shen, K.; Tang, Q.-Y.; Feng, M.; Fang, J.-T.; Wang, Y.-L.; Shen, Y.-Z. Organophosphine/phosphite-stabilized silver(I) complexes bearing N-hydroxysuccinimide ligand: Synthesis, solid state structure and their potential use as MOCVD precursors. Appl. Organomet. Chem. 2012, 26, 67–73. [Google Scholar] [CrossRef]
- Sibiescu, D.; Mîţă, C.; Vizitiu, M.; Crudu, A.M. New complexes of silver (I) with N-hydroxy-succinimide. In Proceedings Volume 10010, Advanced Topics in Optoelectronics, Microelectronics, and Nanotechnologies VIII; SPIE: Bellingham, WA, USA, 2016; Volume 10010, p. 100100H. [Google Scholar]
- Tao, X.; Shen, K.; Tang, Q.-Y.; Feng, M.; Fang, J.-T.; Wang, Y.-L.; Shen, Y.-Z. Organophosphine/phosphite-stabilized silver(I) complexes bearing N-acetylbenzamide ligand: Synthesis, characterization and potential application in metal organic chemical vapor deposition. Appl. Organomet. Chem. 2012, 26, 323–329. [Google Scholar] [CrossRef]
- Basova, T.V.; Hassan, A.; Morozova, N.B. Chemistry of gold(I, III) complexes with organic ligands as potential MOCVD precursors for fabrication of thin metallic films and nanoparticles. Coord. Chem. Rev. 2019, 380, 58–82. [Google Scholar] [CrossRef]
- Li, Y.-L.; Qin, Q.-P.; An, Y.-F.; Liu, Y.-C.; Huang, G.-B.; Luo, X.-J.; Zhang, G.-H. Study on potential antitumor mechanism of quinoline-based silver(I) complexes: Synthesis, structural characterization, cytotoxicity, cell cycle and caspase-initiated apoptosis. Inorg. Chem. Commun. 2014, 40, 73–77. [Google Scholar] [CrossRef]
- Wu, H.; Dong, X.-W.; Liu, H.-Y.; Ma, J.-F. (Quinolin-8-ol-κ 2 N, O) (quinolin-8-olato-κ 2 N, O) silver(I). Acta Crystallogr. Sect. E Struct. Rep. Online 2006, 62, m281–m282. [Google Scholar] [CrossRef]
- Necas, M.; Foreman, M.R.S.J.; Marek, J.; Derek Woollins, J.; Novosad, J. New mixed-donor unsymmetrical P–N–P ligands and their palladium(II) complexes. New J. Chem. 2001, 25, 1256–1263. [Google Scholar] [CrossRef]
- Sarker, J.C.; Hogarth, G. Dithiocarbamate Complexes as Single Source Precursors to Nanoscale Binary, Ternary and Quaternary Metal Sulfides. Chem. Rev. 2021, 121, 6057–6123. [Google Scholar] [CrossRef]
- Ehsan, M.A.; Younas, M.; Rehman, A.; Altaf, M.; Khan, M.Y.; Al-Ahmed, A.; Ahmad, S.; Isab, A.A. Synthesis and utilization of platinum(II) dialkyldithiocarbamate precursors in aerosol assisted chemical vapor deposition of platinum thin films as counter electrodes for dye-sensitized solar cells. Polyhedron 2019, 166, 186–195. [Google Scholar] [CrossRef]
- Sharma, A.K. Thermal behaviour of metal-dithiocarbamates. Thermochim. Acta 1986, 104, 339–372. [Google Scholar] [CrossRef]
- Hussain, S.T.; Bakar, S.A.; Saima, B.; Muhammad, B. Low temperature deposition of silver sulfide thin films by AACVD for gas sensor application. Appl. Surf. Sci. 2012, 258, 9610–9616. [Google Scholar] [CrossRef]
- Ehsan, M.A.; Khaledi, H.; Tahir, A.A.; Ming, H.N.; Wijayantha, K.G.U.; Mazhar, M. Synthesis and characterization of silver diethyldithiocarbamate cluster for the deposition of acanthite (Ag2S) thin films for photoelectrochemical applications. Thin Solid Films 2013, 536, 124–129. [Google Scholar] [CrossRef]
- Tang, Q.; Yoon, S.M.; Yang, H.J.; Lee, Y.; Song, H.J.; Byon, H.R.; Choi, H.C. Selective Degradation of Chemical Bonds: from Single-Source Molecular Precursors to Metallic Ag and Semiconducting Ag2S Nanocrystals via Instant Thermal Activation. Langmuir 2006, 22, 2802–2805. [Google Scholar] [CrossRef]
- Panneerselvam, A.; Malik, M.A.; O’Brien, P.; Raftery, J. The CVD of silver sulfide and silver thin films from a homoleptic crystalline single-source precursor. J. Mater. Chem. 2008, 18, 3264–3269. [Google Scholar] [CrossRef]
- Crespo, O.; Brusko, V.V.; Gimeno, M.C.; Tornil, M.L.; Laguna, A.; Zabirov, N.G. Gold and Silver Complexes with the Ligands N -[Bis(isopropoxy)thiophosphoryl]thiobenzamide and N -[Bis(isopropoxy)thiophosphoryl] N ′-phenylthiourea. Eur. J. Inorg. Chem. 2004, 2004, 423–430. [Google Scholar] [CrossRef]
- Safin, D.A.; Mdluli, P.S.; Revaprasadu, N.; Ahmad, K.; Afzaal, M.; Helliwell, M.; O’Brien, P.; Shakirova, E.R.; Babashkina, M.G.; Klein, A. Nanoparticles and Thin Films of Silver from Complexes of Derivatives of N-(Diisopropylthiophosphoryl)thioureas. Chem. Mater. 2009, 21, 4233–4240. [Google Scholar] [CrossRef]
- Mothes, R.; Petzold, H.; Jakob, A.; Rüffer, T.; Lang, H. Dithiocarbamate copper(I) and silver(I) complexes: Synthesis, structure and thermal behavior. Inorganica Chim. Acta 2015, 429, 227–236. [Google Scholar] [CrossRef]
- McCain, M.N.; Schneider, S.; Salata, M.R.; Marks, T.J. Tris(phosphino)borato Silver(I) Complexes as Precursors for Metallic Silver Aerosol-Assisted Chemical Vapor Deposition. Inorg. Chem. 2008, 47, 2534–2542. [Google Scholar] [CrossRef]
- Azad Malik, M.; O’brien, P. Chapter 5. Basic Chemistry of CVD and ALD Precursors. In Chemical Vapour Deposition; Jones, A.C., Hitchman, M.L., Eds.; Royal Society of Chemistry: Cambridge, UK, 2008; pp. 207–271. ISBN 978-0-85404-465-8. [Google Scholar]
- Rabin, I.; Schulze, W. On the Formation of Silver Carbonyl Clusters in CO Droplets. J. Phys. Chem. B 2004, 108, 14575–14578. [Google Scholar] [CrossRef]
- Fernández, I.; Noonikara-Poyil, A.; Dias, H.V.R. Bonding situation in isolable silver(I) carbonyl complexes of the Scorpionates. J. Comput. Chem. 2022, 43, 796–803. [Google Scholar] [CrossRef] [PubMed]
- Dias, H.V.R.; Lovely, C.J. Carbonyl and Olefin Adducts of Coinage Metals Supported by Poly(pyrazolyl)borate and Poly(pyrazolyl)alkane Ligands and Silver Mediated Atom Transfer Reactions. Chem. Rev. 2008, 108, 3223–3238. [Google Scholar] [CrossRef] [PubMed]
- Jayaratna, N.B.; Gerus, I.I.; Mironets, R.V.; Mykhailiuk, P.K.; Yousufuddin, M.; Dias, H.V.R. Silver(I) and Copper(I) Adducts of a Tris(pyrazolyl)borate Decorated with Nine Trifluoromethyl Groups. Inorg. Chem. 2013, 52, 1691–1693. [Google Scholar] [CrossRef]
- Dias, H.V.R.; Wang, X. Silver(i) carbonyl and silver(i) ethylene complexes of a B-protected fluorinated tris(pyrazolyl)borate ligand. Dalton Trans. 2005, 18, 2985–2987. [Google Scholar] [CrossRef]
- Vanga, M.; Noonikara-Poyil, A.; Wu, J.; Dias, H.V.R. Carbonyl and Isocyanide Complexes of Copper and Silver Supported by Fluorinated Poly(pyridyl)borates. Organometallics 2022, 41, 1249–1260. [Google Scholar] [CrossRef]
- Sievers, R.; Reimann, M.; Kub, N.G.; Rupf, S.M.; Kaupp, M.; Malischewski, M. Synthesis and structural characterization of stable coinage metal (Cu, Ag, Au) cyclopentadienyl complexes. Chem. Sci. 2024, 15, 2990–2995. [Google Scholar] [CrossRef]
- Hofstee, H.K.; Boersma, J.; van der Kerk, G.J.M. Synthesis and properties of h5-cyclopentadienyl-(triphenylphosphine)silver(I). J. Organomet. Chem. 1976, 120, 313–317. [Google Scholar] [CrossRef]
- Stammler, H.-G.; Jutzi, P.; Wieland, W.; Neumann, B. (Tributylphosphine-P)[1,2,4-tris(trimethylsilyl)cyclopentadienyl]silver(I). Acta Crystallogr. Sect. C 1998, 54, IUC9800064. [Google Scholar] [CrossRef]
- Lettko, L.; Rausch, M.D. Synthesis and Characterization of Functionally Substituted Cyclopentadienyl Derivatives of Silver and Copper. Organometallics 2000, 19, 4060–4065. [Google Scholar] [CrossRef]
- Jeffries, P.M.; Wilson, S.R.; Girolami, G.S. Crystal structure of [CF3CF2C(CF3)Ag]4 and its use as a chemical vapor deposition precursor for silver films. J. Organomet. Chem. 1993, 449, 203–209. [Google Scholar] [CrossRef]
- Tyrra, W.; Naumann, D. Perfluoroorganosilver(I) compounds. J. Fluor. Chem. 2004, 125, 823–830. [Google Scholar] [CrossRef]
- Miller, W.T.J.; Snider, R.H.; Hummel, R.J. Perfluoro-1-methylpropenylsilver. J. Am. Chem. Soc. 1969, 91, 6532–6534. [Google Scholar] [CrossRef]
- Biffis, A.; Tubaro, C.; Baron, M. Silver Organometallics. In Comprehensive Organometallic Chemistry IV; Elsevier: Amsterdam, The Netherlands, 2022; pp. 32–88. [Google Scholar]
- Gao, L.; Härter, P.; Linsmeier, C.; Wiltner, A.; Emling, R.; Schmitt-Landsiedel, D. Silver metal organic chemical vapor deposition for advanced silver metallization. Microelectron. Eng. 2005, 82, 296–300. [Google Scholar] [CrossRef]
- Piszczek, P.; Lewandowska, Ż.; Radtke, A.; Jędrzejewski, T.; Kozak, W.; Sadowska, B.; Szubka, M.; Talik, E.; Fiori, F. Biocompatibility of Titania Nanotube Coatings Enriched with Silver Nanograins by Chemical Vapor Deposition. Nanomaterials 2017, 7, 274. [Google Scholar] [CrossRef]
- Sergeevichev, D.S.; Dorovskikh, S.I.; Vikulova, E.S.; Chepeleva, E.V.; Vasiliyeva, M.B.; Koretskaya, T.P.; Fedorenko, A.D.; Nasimov, D.A.; Guselnikova, T.Y.; Popovetsky, P.S.; et al. Vapor-Phase-Deposited Ag/Ir and Ag/Au Film Heterostructures for Implant Materials: Cytotoxic, Antibacterial and Histological Studies. Int. J. Mol. Sci. 2024, 25, 1100. [Google Scholar] [CrossRef]
- Edwards, D.A.; Harker, R.M.; Mahon, M.F.; Molloy, K.C. Aerosol-assisted chemical vapour deposition (AACVD) of silver films from triorganophosphine adducts of silver carboxylates, including the structure of [Ag(O2CC3F7)(PPh3)2]. Inorganica Chim. Acta 2002, 328, 134–146. [Google Scholar] [CrossRef]
- Gao, L.; Härter, P.; Linsmeier, C.; Gstöttner, J.; Emling, R.; Schmitt-Landsiedel, D. Metalorganic chemical vapor deposition of silver thin films for future interconnects by direct liquid injection system. Mater. Sci. Semicond. Process. 2004, 7, 331–335. [Google Scholar] [CrossRef]
- Golrokhi, Z.; Marshall, P.A.; Romani, S.; Rushworth, S.; Chalker, P.R.; Potter, R.J. The influence of tertiary butyl hydrazine as a co-reactant on the atomic layer deposition of silver. Appl. Surf. Sci. 2017, 399, 123–131. [Google Scholar] [CrossRef]
- Radtke, A.; Jędrzejewski, T.; Kozak, W.; Sadowska, B.; Więckowska-Szakiel, M.; Talik, E.; Mäkelä, M.; Leskelä, M.; Piszczek, P. Optimization of the Silver Nanoparticles PEALD Process on the Surface of 1-D Titania Coatings. Nanomaterials 2017, 7, 193. [Google Scholar] [CrossRef]
- Hashemi Astaneh, S.; Bhatia, H.; Nagay, B.E.; Barão, V.A.R.; Jursich, G.; Sukotjo, C.; Takoudis, C.G. Is atomic layer deposition of silver possible on N95 masks? Appl. Surf. Sci. 2022, 591, 153195. [Google Scholar] [CrossRef] [PubMed]
- Mameli, A.; van den Bruele, F.; Kessels, W.M.M.; Roozeboom, F. On the Growth of Silver Thin Films By Atmospheric-Plasma Spatial ALD. ECS Meet. Abstr. 2015, MA2015-02, 997. [Google Scholar] [CrossRef]
- Eisenbraun, E.T.; Klaver, A.; Patel, Z.; Nuesca, G.; Kaloyeros, A.E. Low temperature metalorganic chemical vapor deposition of conformal silver coatings for applications in high aspect ratio structures. J. Vac. Sci. Technol. B Microelectron. Nanom. Struct. Process. Meas. Phenom. 2001, 19, 585–588. [Google Scholar] [CrossRef]
- Piszczek, P.; Szlyk, E.; Chaberski, M.; Taeschner, C.; Leonhardt, A.; Bala, W.; Bartkiewicz, K. Characterization of Silver Trimethylacetate Complexes with Tertiary Phosphines as CVD Precursors of Thin Silver Films. Chem. Vap. Depos. 2005, 11, 53–59. [Google Scholar] [CrossRef]
- Zhao, H.; Liu, L.; Lin, X.; Dai, J.; Liu, S.; Fei, T.; Zhang, T. Proton-Conductive Gas Sensor: A New Way to Realize Highly Selective Ammonia Detection for Analysis of Exhaled Human Breath. ACS Sens. 2019, 5, 346–352. [Google Scholar] [CrossRef]
- Křenek, T.; Kovářík, T.; Pola, M.; Jakubec, I.; Bezdička, P.; Bastl, Z.; Pokorná, D.; Urbanová, M.; Galíková, A.; Pola, J. Enhancement of thermal stability of silver(I) acetylacetonate by platinum(II) acetylacetonate. Thermochim. Acta 2013, 554, 1–7. [Google Scholar] [CrossRef]
- Szymańska, I.B. Influence of the gas phase composition on the properties of bimetallic Ag/Cu nanomaterials obtained via chemical vapor deposition. Polyhedron 2013, 65, 82–88. [Google Scholar] [CrossRef]
- Duan, Y.; Rani, S.; Zhang, Y.; Ni, C.; Newberg, J.T.; Teplyakov, A. V Silver Deposition onto Modified Silicon Substrates. J. Phys. Chem. C 2017, 121, 7240–7247. [Google Scholar] [CrossRef]
- Hasselmann, T.; Misimi, B.; Boysen, N.; Zanders, D.; Wree, J.-L.; Rogalla, D.; Haeger, T.; Zimmermann, F.; Brinkmann, K.O.; Schädler, S.; et al. Silver Thin-Film Electrodes Grown by Low-Temperature Plasma-Enhanced Spatial Atomic Layer Deposition at Atmospheric Pressure. Adv. Mater. Technol. 2023, 8, 2200796. [Google Scholar] [CrossRef]
- Paez-Ornelas, J.I.; Takeuchi, N.; Guerrero-Sánchez, J. Towards understanding the first half-ALD cycle of Ag growth: Adsorption and dissociation of silver(I) acetamidinates on the Ag(110) surface. Phys. Chem. Chem. Phys. 2024, 26, 7468–7474. [Google Scholar] [CrossRef]






















| Adducts with π-donor ligands | |||||
| Q = cyclic π-donors | L = β-diketonates | Q = acyclic π-donors | L = β-diketonates | ||
![]() | cod | hfac, tfac, ofhac | diphenylacetylene | hfac | |
![]() | nbd | hfac | ![]() | BTMSA | hfac, ttfac, btfac, fod |
![]() | 7-Bu’-O-nbd | hfac, ttfac, btfac, fod, tfac | ![]() | VTES | hfac, fod, tfac, ofhac |
| Adducts with P-donor ligands | |||||
| Q = phosphines | L = β-diketonates | Q = phosphites | L = β-diketonates | ||
| PMe3, PEt3 | hfac, fod | P(OMe)3 | hfac, tfac, efac | ||
| PBu3 | thd, tmod | P(OEt)3, | hfac, tfac | ||
| PPh3 | hfac, tfac, fod *, thd, tmod, acac | P(OiPr)3 | hfac, tfac | ||
| Adducts with S-donor or with O-donor ligands | Adducts with carbene ligands | ||||
| Q = S-donors or O-donors | L = β-diketonates | Q = Carbene | L = β-diketonates | ||
| 1,4-oxathiane, SMe2, SEt2, SnPr2, SnBu2 | hfac | ![]() | tBuNHC | hfac, fod, acac, dmm | |
| CH3O(CH2CH2O)mCH3 (m =2–4) | |||||
| Adducts with N-donor ligands | |||||
| Q = aromatic N-donors | L = β-diketonates | Q = aliphatic N-donors | L = β-diketonates | ||
![]() | bipy | hfac, tfac, hfbac | ![]() | tmeda | hfac |
![]() | HC(3,5-Me2pz)3 | hfac, tack | ![]() | trimen | |
![]() | pmdien | ||||
![]() | phen | hfac | ![]() | hmten | |
| Monosubstituted aryloxide anion | Neutral ligand | Trisubstituted aryloxide anion | Neutral ligand | |||||||
![]() | R = H | 3PPh3 (phenol co-crystallizate) | ![]() | R = Cl | 2PPh3 | |||||
| R = Me | 2PPh3 (o-cresol co-crystallizate) | R = (CH3)2NCH2 | ||||||||
| R = CHO or Cl | PnBu3, 2PnBu | |||||||||
| R = CN | PnBu3, 2PnBu, P(OMe)3 | |||||||||
| R = NO2 | PnBu3, 2PnBu, P(OMe)3, 2P(OMe)3, P(OCH2CF3)3 | |||||||||
| Sulfonate complexes | ||||||||||
| Sulfonato anion * | Sulfonate anion | neutral ligand | Disulfonate anion | Neutral ligand | ||||||
![]() | ![]() | PPh3, P(OMe)3, P(OEt)3 2PPh3, 2P(OMe)3, 2P(OEt)3 3PPh3, 3P(OEt)3 | ![]() | P(OMe)3, 2P(OMe)3, 3P(OMe)3 | ||||||
| N-hydroxysuccinimide complexes | N-acetylbenzamide complexes | Oxyquinolinate complexes | ||||||||
| Anion | Neutral ligand | Anion | Neutral ligand | Anion | Neutral ligand | |||||
![]() | PPh3, 2PPh3, P(OMe)3, 2P(OMe)3, P(OEt)3, 2P(OEt)3 | ![]() | PPh3, P(OEt)3, 2P(OEt)3, 3P(OEt)3, | ![]() | P(OMe)3, 2P(OMe)3, 3P(OMe)3 | |||||
| β-Ketoiminate complexes | Dioxoimidodiphosphinate complex | |||||||||
| Anion | Anion abbreviation | Neutral ligand | Anion * | Abbreviation | ||||||
![]() | R1= R2 = CF3, R3 = R-hexyl or cyclohexyl R1= R2 = tBu, R3 = H R1= R2 = R3 = Me | hfacNhex or hfacNchex Nthd NacacMe | PPh3 | ![]() | TROIP | |||||
| PPh3, PnBu | ||||||||||
| PPh3, PnBu,tBuNHC | ||||||||||
| Ditiocarbamates complexes | β-mercaptoenones complexes | Dithioimidodiphosphinate complex * | N-(thiophosphoryl)thiourea | |||||||
| Anion | Neutral ligand | Anion | Neutral ligand | Anion | Neutral ligand | |||||
![]() | R = R′ = CH2=CH-CH2 | PPh3 | ![]() | R1 = R2 = tBu | PPh3, PBu3 | ![]() | ![]() | PPh3 | ||
| R1 = tBu, R2 = iBu | ||||||||||
Disclaimer/Publisher’s Note: The statements, opinions and data contained in all publications are solely those of the individual author(s) and contributor(s) and not of MDPI and/or the editor(s). MDPI and/or the editor(s) disclaim responsibility for any injury to people or property resulting from any ideas, methods, instructions or products referred to in the content. |
© 2024 by the authors. Licensee MDPI, Basel, Switzerland. This article is an open access article distributed under the terms and conditions of the Creative Commons Attribution (CC BY) license (https://creativecommons.org/licenses/by/4.0/).
Share and Cite
Vikulova, E.S.; Dorovskikh, S.I.; Basova, T.V.; Zheravin, A.A.; Morozova, N.B. Silver CVD and ALD Precursors: Synthesis, Properties, and Application in Deposition Processes. Molecules 2024, 29, 5705. https://doi.org/10.3390/molecules29235705
Vikulova ES, Dorovskikh SI, Basova TV, Zheravin AA, Morozova NB. Silver CVD and ALD Precursors: Synthesis, Properties, and Application in Deposition Processes. Molecules. 2024; 29(23):5705. https://doi.org/10.3390/molecules29235705
Chicago/Turabian StyleVikulova, Evgeniia S., Svetlana I. Dorovskikh, Tamara V. Basova, Aleksander A. Zheravin, and Natalya B. Morozova. 2024. "Silver CVD and ALD Precursors: Synthesis, Properties, and Application in Deposition Processes" Molecules 29, no. 23: 5705. https://doi.org/10.3390/molecules29235705
APA StyleVikulova, E. S., Dorovskikh, S. I., Basova, T. V., Zheravin, A. A., & Morozova, N. B. (2024). Silver CVD and ALD Precursors: Synthesis, Properties, and Application in Deposition Processes. Molecules, 29(23), 5705. https://doi.org/10.3390/molecules29235705




























