Research on the Electrochemical Impedance Spectroscopy Evolution of Sodium-Ion Batteries in Different States
Abstract
1. Introduction
2. Test Rig for Sodium-Ion Batteries
2.1. Sodium-Ion Batteries
2.2. Experimental Details
3. Results and Discussion
3.1. Preliminary Consistency Test
3.2. Open Circuit Voltage Testing
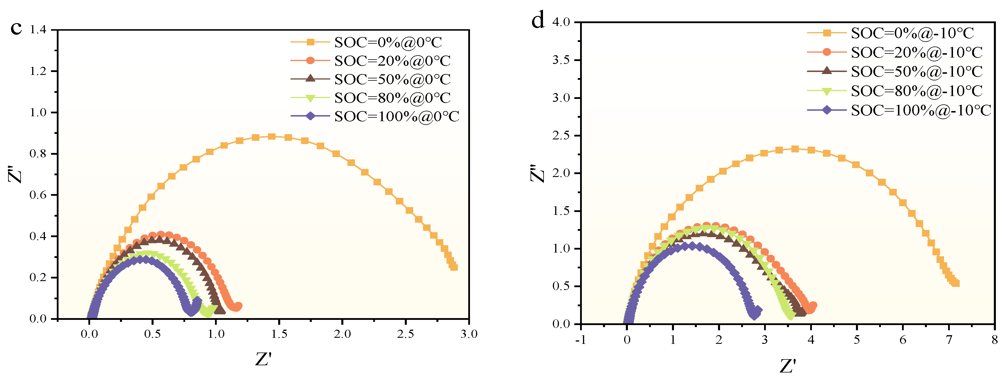
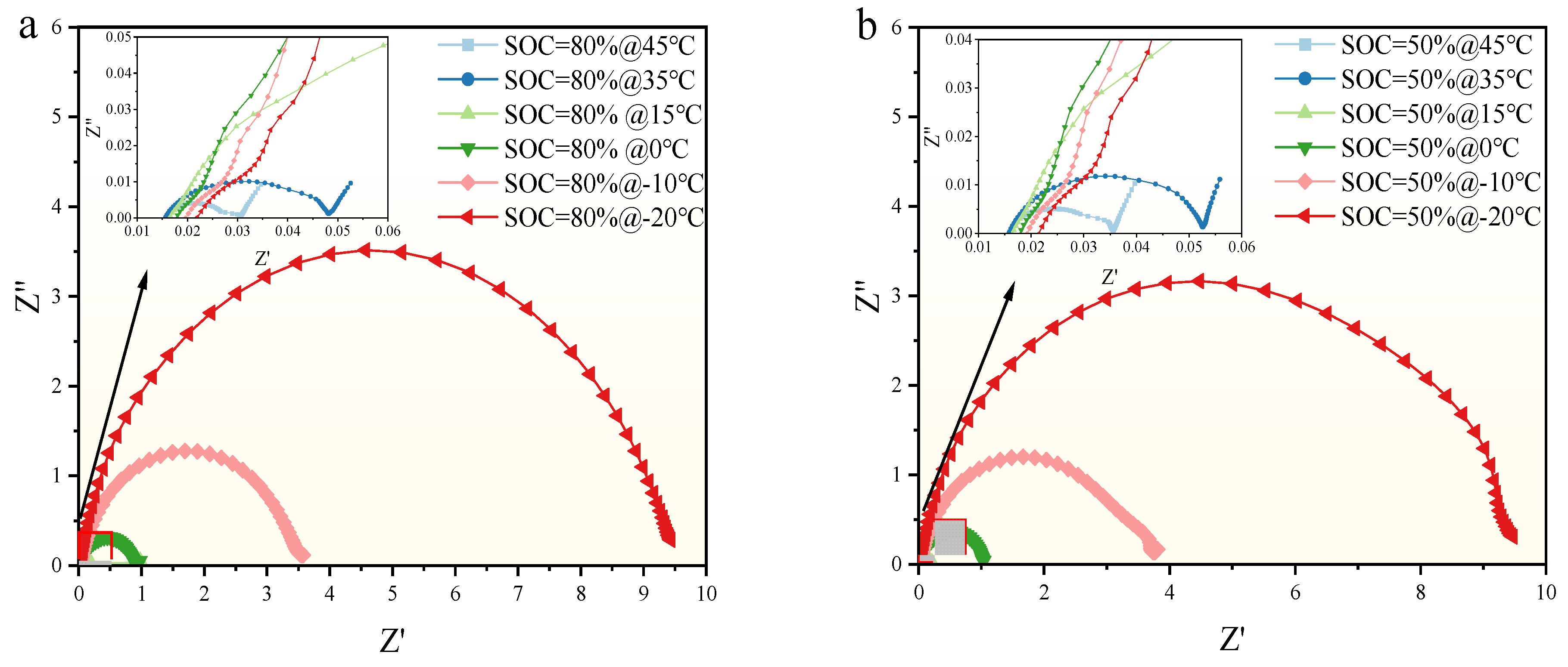
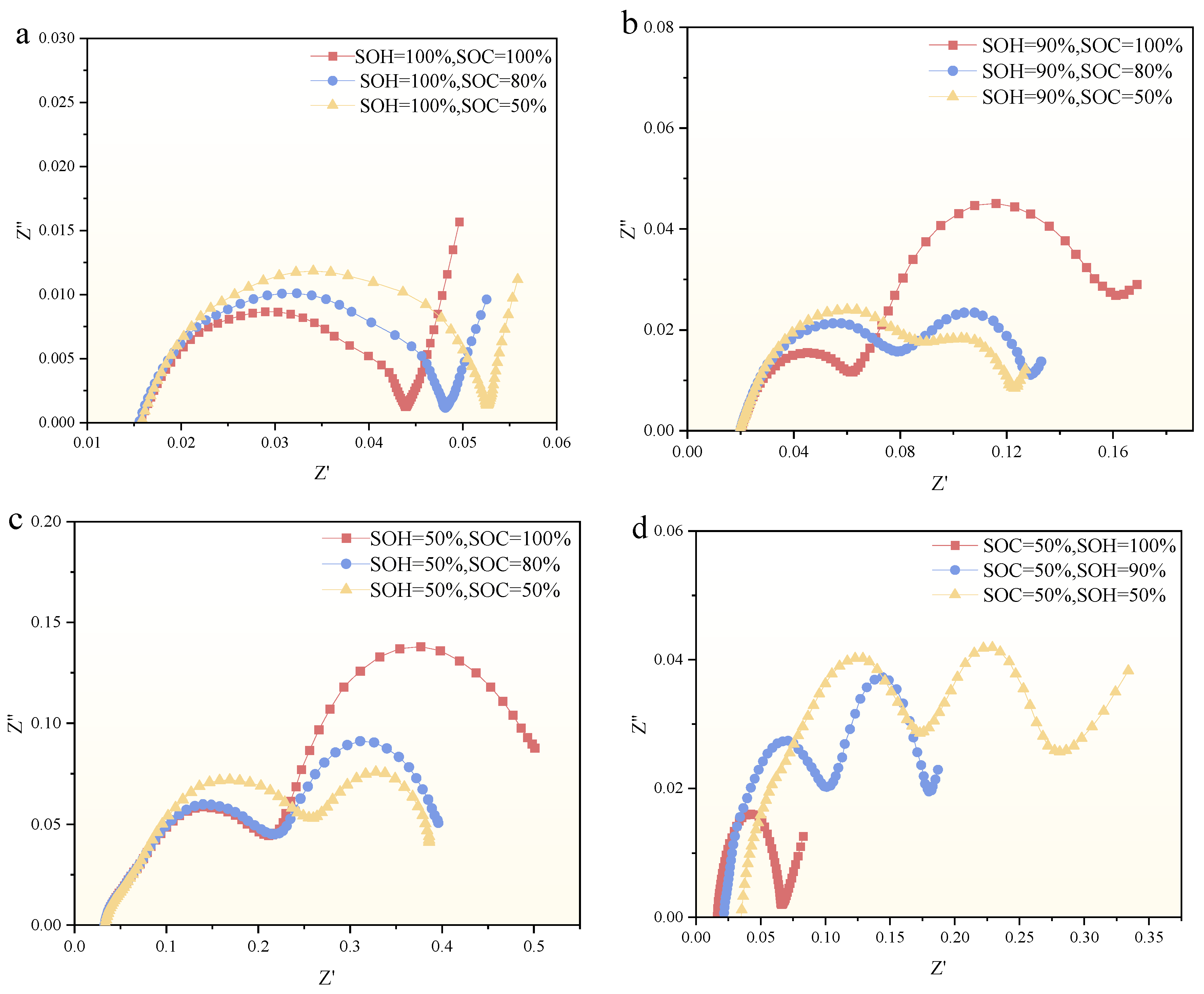
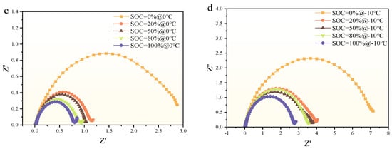
3.3. EIS Testing
3.4. Discussion
3.4.1. Output Characteristics
3.4.2. EIS Profile Evolution
3.4.3. Practical Implications and Future Work
4. Conclusions
- (1)
- The discharge capacity of SIBs is highly sensitive to temperature variations, but the sensitivity of this effect varies across temperature intervals. For example, at low temperatures (−20 °C), the available capacity significantly decreases to 800 mAh due to reduced ionic mobility and increased internal resistance. As the temperature increases to 25 °C, the discharge capacity improves markedly to 1260 mAh, indicating enhanced ion transport kinetics and lower internal resistance. However, further temperature increases to 45 °C result in a slight decline in capacity to 1209.5 mAh.
- (2)
- The OCV of SIBs is significantly influenced by temperature and SOC, and it is minimally affected by discharge current within the 0.2C to 1.0C range. A decrease in temperature leads to an increase in OCV and a strong linear relationship between SOC and OCV across various SOC and temperature conditions, which contrasts with the behavior observed in LFP batteries.
- (3)
- The EIS profile of SIB exhibits alterations to varying degrees after different cycle times, influenced not only by material aging but also by the SOC and temperatures. The ohmic impedance of SIBs is largely unaffected by SOC, with the primary influence being the SOH. The main reason is that the internal ohmic resistance (Ro) of SIBs increases with aging due to the formation and thickening of the solid electrolyte interphase (SEI) film.
Author Contributions
Funding
Institutional Review Board Statement
Informed Consent Statement
Data Availability Statement
Acknowledgments
Conflicts of Interest
References
- Yang, S.; Zhang, Z.; Qiu, X.; Zhong, L.; Huang, J.; Zhang, H.; Ma, J.; Meng, Q.; Zu, X.; Zhang, W. Engineering of the microstructures of enzymatic hydrolysis lignin-derived hard carbon anodes for sodium-ion batteries. Resour. Chem. Mater. 2023, 2, 245–251. [Google Scholar] [CrossRef]
- Lu, M.; Guo, R.; Li, W.; Lv, Y.; Tang, F.; Feng, W.; Liu, Z.; Han, G.-C.; Zhan, Z. Interfacial characteristics of Na2FePO4F and its carbon coated material for lithium/sodium hybrid ion battery. J. Electroanal. Chem. 2022, 922, 116772. [Google Scholar] [CrossRef]
- Shu, X.; Guo, Y.; Yang, W.; Wei, K.; Zhu, G. Life-cycle assessment of the environmental impact of the batteries used in pure electric passenger cars. Energy Rep. 2021, 7, 2302–2315. [Google Scholar] [CrossRef]
- Zhu, Y.; Liu, S.; Wei, K.; Zuo, H.; Du, R.; Shu, X. A novel based-performance degradation Wiener process model for real-time reliability evaluation of lithium-ion battery. J. Energy Storage 2022, 50, 104313. [Google Scholar] [CrossRef]
- Shu, X.; Yang, W.; Wei, K.; Qin, B.; Du, R.; Yang, B.; Garg, A. Research on capacity characteristics and prediction method of electric vehicle lithium-ion batteries under time-varying operating conditions. J. Energy Storage 2023, 58, 106334. [Google Scholar] [CrossRef]
- Shu, X.; Yang, W.; Yang, B.; Wei, K.; Punyawudho, K.; Liu, C. Research on EIS characterization and internal morphological changes of LIBs during degradation process. Eng. Fail. Anal. 2024, 155, 107764. [Google Scholar] [CrossRef]
- Perveen, T.; Siddiq, M.; Shahzad, N.; Ihsan, R.; Ahmad, A.; Shahzad, M.I. Prospects in anode materials for sodium ion batteries—A review. Renew. Sustain. Energy Rev. 2020, 119, 109549. [Google Scholar] [CrossRef]
- Zhao, R.; Zhu, L.; Cao, Y.; Ai, X.; Yang, H.X. An aniline-nitroaniline copolymer as a high capacity cathode for Na-ion batteries. Electrochem. Commun. 2012, 21, 36–38. [Google Scholar] [CrossRef]
- Komaba, S.; Murata, W.; Ishikawa, T.; Yabuuchi, N.; Ozeki, T.; Nakayama, T.; Ogata, A.; Gotoh, K.; Fujiwara, K. Electrochemical Na insertion and solid electrolyte interphase for hard-carbon electrodes and application to Na- Ion batteries. Adv. Funct. Mater. 2011, 21, 3859–3867. [Google Scholar] [CrossRef]
- Wang, Y.X.; Chou, S.L.; Liu, H.K.; Dou, S.X. Reduced graphene oxide with superior cycling stability and rate capability for sodium storage. Carbon 2013, 57, 202. [Google Scholar] [CrossRef]
- Ding, J.; Wang, H.; Li, Z.; Kohandehghan, A.; Cui, K.; Xu, Z.; Zahiri, B.; Tan, X.; Lotfabad, E.M.; Olsen, B.C.; et al. Carbon nanosheet frameworks derived from peat moss as high performance sodium ion battery anodes. ACS Nano 2013, 7, 11004–11015. [Google Scholar] [CrossRef]
- Kim, Y.; Park, Y.; Choi, A.; Choi, N.S.; Kim, J.; Lee, J.; Ryu, J.H.; Oh, S.M.; Lee, K.T. An amorphous red phosphorus/carbon anode material for sodium ion batteries. Adv. Mater. 2013, 25, 3045. [Google Scholar] [CrossRef]
- Dong, C.; Guo, L.; Li, H.; Zhang, B.; Gao, X.; Tian, F.; Qian, Y.; Wang, D.; Xu, L. Rational fabrication of CoSa/CoaS3@N-doped carbon microspheres as excellent cycling performance anode for half/full sodium ion batteries. Energy Storage Mater. 2020, 25, 679. [Google Scholar] [CrossRef]
- Zhao, X.; Jia, W.; Wu, X.; Lv, Y.; Qiu, J.; Guo, J.; Wang, X.; Jia, D.; Yan, J.; Wu, D. Ultrafine MoO3 anchored in coalbased carbon nanofibers as anode for advanced lithium-ion batteries. Carbon 2020, 156, 445–452. [Google Scholar] [CrossRef]
- Cheng, Y.; Chi, X.; Yang, J.; Liu, Y. Cost attractive hydrogel electrolyte for low temperature aqueous sodium ion batteries. J. Energy Storage 2021, 40, 102701. [Google Scholar] [CrossRef]
- Zhang, J.; Zhang, Y.-F.; Li, Y.; Ren, Y.-R.; Huang, S.; Lin, W.; Chen, W.-K. Blue-AsP monolayer as a promising anode material for lithium- and sodium-ion batteries: A DFT study. Phys. Chem. Chem. Phys. 2021, 23, 5143–5151. [Google Scholar] [CrossRef]
- Deng, D.-R.; Cui, X.-Y.; Wu, Q.-H.; Zheng, M.-S.; Dong, Q.-F. In-situ synthesis TiO2 nanosheets@rGO for ultrafast sodium ion storage at both room and low temperatures. J. Alloys Compd. 2020, 835, 155413. [Google Scholar] [CrossRef]
- Zhou, L.-F.; Gao, X.-W.; Du, T.; Gong, H.; Liu, L.-Y.; Luo, W.-B. Two-dimensional NbSSe as anode material for low-temperature sodium-ion batteries. Chem. Eng. J. 2022, 435, 134838. [Google Scholar] [CrossRef]
- Wang, Y.; Hou, B.; Guo, J.; Ning, Q.; Pang, W.; Wang, J.; Lü, C.; Wu, X. An Ultralong Lifespan and Low-Temperature Workable Sodium-Ion Full Battery for Stationary Energy Storage. Adv. Energy Mater. 2018, 8, 1703252. [Google Scholar] [CrossRef]
- Peng, H.-J.; Hao, G.-X.; Chu, Z.-H.; Lin, Y.-W.; Lin, X.-M.; Cai, Y.-P. Porous carbon with large surface area derived from a metal–organic framework as a lithium-ion battery anode material. RSC Adv. 2017, 7, 34104–34109. [Google Scholar] [CrossRef]
- Zhou, J.E.; Reddy, R.C.K.; Zhong, A.; Li, Y.; Huang, Q.; Lin, X.; Qian, J.; Yang, C.; Manke, I.; Chen, R. Metal-organic framework-based materials for advanced sodium storage: Development and anticipation. Adv. Mater. 2024, 36, 2312471. [Google Scholar] [CrossRef] [PubMed]
- Zhou, J.E.; Xu, Z.; Li, Y.; Lin, X.; Wu, Y.; Zeb, A.; Zhang, S. Oxygen-deficient metal-organic framework derivatives for advanced energy storage: Multiscale design, application, and future development. Coord. Chem. Rev. 2023, 494, 215348. [Google Scholar] [CrossRef]
- Ou, G.; Huang, M.; Lu, X.; Manke, I.; Yang, C.; Qian, J.; Lin, X.; Chen, R. A metal-organic framework-derived strategy for constructing synergistic N-doped carbon-encapsulated NiCoP@N-C-based anodes toward high-efficient lithium storage. Small 2024, 20, 2307615. [Google Scholar] [CrossRef] [PubMed]
- Xing, F.; Li, S.; Chen, L.; Dang, J.-S.; He, X. Construction of Naphthalene Diimide Derived Nanostructured Cathodes through Self-Assembly for High-Performance Sodium–Organic Batteries. ACS Nano 2023, 17, 21432–21442. [Google Scholar] [CrossRef]
- Zhou, Q.; Wang, L.; Li, W.; Zhao, K.; Liu, M.; Wu, Q.; Yang, Y.; He, G.; Parkin, I.P.; Shearing, P.R.; et al. Sodium Superionic Conductors (NASICONs) as Cathode Materials for Sodium-Ion Batteries. Electrochem. Energy Rev. 2021, 4, 793–823. [Google Scholar] [CrossRef]
- Liu, T.; Wang, B.; Gu, X.; Wang, L.; Ling, M.; Liu, G.; Wang, D.; Zhang, S. All-climate sodium ion batteries based on the NASICON electrode materials. Nano Energy 2016, 30, 756–761. [Google Scholar] [CrossRef]
- Tian, Q.Q.; Li, X.M.; Xie, L.J.; Su, F.Y.; Yi, Z.L.; Dong, L.; Chen, C.M. Insights into the carbonization mechanism of bituminous coal-derived carbon materials for lithium-ion and sodium-ion batteries. New Carbon Mater. 2023, 38, 939–953. [Google Scholar] [CrossRef]
- Wang, C.; Thenuwara, A.C.; Luo, J.; Shetty, P.P.; McDowell, M.T.; Zhu, H.; Posada-Pérez, S.; Xiong, H.; Hautier, G.; Li, W. Extending the low-temperature operation of sodium metal batteries combining linear and cyclic ether-based electrolyte solutions. Nat. Commun. 2022, 13, 4934. [Google Scholar] [CrossRef]
- Wang, S.; Gao, F.; Tian, H.; Zhang, Y.; Pan, W. Accurate state-of-charge estimation for sodium-ion batteries based on a low-complexity model with hierarchical learning. J. Energy Storage 2024, 95, 112571. [Google Scholar] [CrossRef]
- Sun, W.; Xu, H.; Zhou, B.; Guo, Y.; Tang, Y.; Yao, W.; Yang, Z. State-of-charge estimation of sodium-ion batteries: A fusion deep learning approach. J. Energy Storage 2024, 91, 111527. [Google Scholar] [CrossRef]
- Liu, Y.; Yang, L.; Liao, R.; Hu, C.; Xiao, Y.; Wu, J.; He, C.; Zhang, Y.; Li, S. Data-driven internal temperature estimation methods for sodium-ion battery using electrochemical impedance spectroscopy. J. Energy Storage 2024, 87, 111426. [Google Scholar] [CrossRef]
- Wang, Q.; Jiang, Z.; Yu, C.; Li, L.; Li, G. Research progress of inorganic sodium ion conductors for solid-state batteries. Chin. Chem. Lett. 2024, in press. [CrossRef]
- Tyagaraj, H.B.; Marje, S.J.; Ranjith, K.S.; Hwang, S.-K.; Al Ghaferi, A.; Chodankar, N.R.; Huh, Y.S.; Han, Y.-K. Sodium-ion batteries: Charge storage mechanisms and recent advancements in diglyme-based electrolytes. J. Energy Storage 2023, 74, 109411. [Google Scholar] [CrossRef]
- Bai, H.; Zhu, X.; Ao, H.; He, G.; Xiao, H.; Chen, Y. Advances in sodium-ion batteries at low-temperature: Challenges and strategies. J. Energy Chem. 2024, 90, 518–539. [Google Scholar] [CrossRef]
- Laufen, H.; Klick, S.; Ditler, H.; Quade, K.L.; Mikitisin, A.; Blömeke, A.; Schütte, M.; Wasylowski, D.; Sonnet, M.; Henrich, L.; et al. Multi-method characterization of acommercial 1.2 Ah sodium-ion battery cell indicates drop-in potential. Cell Rep. Phys. Sci. 2024, 5, 101945. [Google Scholar] [CrossRef]








| Item | Value |
|---|---|
| Available capacity Ah | 1.25 |
| AC internal resistance (mΩ) | ≤1.6 |
| Weight (g) | 40.1 |
| Operating voltage range | 4.2–2.0 |
| Available temperature range for charging (°C) | 0–45 |
| Available temperature range for discharge (°C) | −20–50 |
| Continuous charging/discharging current | 1.5C |
| Nominal Voltage(V) | 3.1 |
| Specifications | Units | Values |
|---|---|---|
| Charging/Discharging equipment | ||
| Measuring range of voltage | V | 0–10 |
| Measuring range of currents | A | 0~20 |
| Sample rate | Hz | 1 |
| Response time | mS | 10 |
| Potential increments | mV | 0.1 |
| Temperature chamber | ||
| Adjustable temperature range | °C | −40–80 |
| Temperature rise rate | °C/min | 0.1 |
| Volume of temperature chamber | L | 60 |
| Electrochemical workstation | ||
| Measuring range of voltage | V | −10–10 |
| Max. continuous current | mA | 250 |
| Bandwidths | MHz | 1 |
| Potential increments | mV | 0.1 |
| Minimum Sample Interval | us | 1 |
| Bias current | pA | ≤10 |
| Maximum sampling rate | MHz | 1 |
| Update rate | MHz | 10 |
| Max. data length | K | 16,384 |
| Accuracy of added potential | mV | ±1 |
| ACV Frequency Range | kHz | 0.1–10 |
| Item | Bat. 1 | Bat. 2 | Bat. 3 | Bat. 4 | Bat. 5 | Bat. 6 |
|---|---|---|---|---|---|---|
| Rated voltage (V) | 3.12 | 3.11 | 3.11 | 3.09 | 3.13 | 3.11 |
| Available capacity (Ah) | 1.251 | 1.250 | 1.249 | 1.260 | 1.250 | 1.251 |
| Charge capacity (Ah) | 1.256 | 1.256 | 1.249 | 1.259 | 1.258 | 1.260 |
| Weight (g) | 40.23 | 40.23 | 40.13 | 40.33 | 40.22 | 40.24 |
| AC impedance (mΩ) | 15.1 | 15.5 | 15.4 | 14.8 | 14.9 | 15.3 |
| Item | −20 °C | −10 °C | 0 °C | 15 °C | 25 °C | 35 °C | 45 °C | |
|---|---|---|---|---|---|---|---|---|
| Capacity | Bat 1 | 800.5 | 820.7 | 1040.5 | 1180.5 | 1260.7 | 1200.3 | 1220.4 |
| Bat 2 | 800.8 | 822.2 | 1043.3 | 1182.7 | 1262.5 | 1201.0 | 1201.6 | |
| Bat 3 | 800.7 | 821.8 | 1041.7 | 1181.8 | 1261.0 | 1201.3 | 1206.5 | |
| Average capacity (mAh) | 800.7 | 821.6 | 1041.8 | 1181.6 | 1261.4 | 1200.9 | 1209.5 | |
Disclaimer/Publisher’s Note: The statements, opinions and data contained in all publications are solely those of the individual author(s) and contributor(s) and not of MDPI and/or the editor(s). MDPI and/or the editor(s) disclaim responsibility for any injury to people or property resulting from any ideas, methods, instructions or products referred to in the content. |
© 2024 by the authors. Licensee MDPI, Basel, Switzerland. This article is an open access article distributed under the terms and conditions of the Creative Commons Attribution (CC BY) license (https://creativecommons.org/licenses/by/4.0/).
Share and Cite
Shu, X.; Li, Y.; Yang, B.; Wang, Q.; Punyawudho, K. Research on the Electrochemical Impedance Spectroscopy Evolution of Sodium-Ion Batteries in Different States. Molecules 2024, 29, 4963. https://doi.org/10.3390/molecules29204963
Shu X, Li Y, Yang B, Wang Q, Punyawudho K. Research on the Electrochemical Impedance Spectroscopy Evolution of Sodium-Ion Batteries in Different States. Molecules. 2024; 29(20):4963. https://doi.org/10.3390/molecules29204963
Chicago/Turabian StyleShu, Xiong, Yongjing Li, Bowen Yang, Qiong Wang, and Konlayutt Punyawudho. 2024. "Research on the Electrochemical Impedance Spectroscopy Evolution of Sodium-Ion Batteries in Different States" Molecules 29, no. 20: 4963. https://doi.org/10.3390/molecules29204963
APA StyleShu, X., Li, Y., Yang, B., Wang, Q., & Punyawudho, K. (2024). Research on the Electrochemical Impedance Spectroscopy Evolution of Sodium-Ion Batteries in Different States. Molecules, 29(20), 4963. https://doi.org/10.3390/molecules29204963

