Nanostructured Polymer-Dispersed Liquid Crystals Using a Ferroelectric Smectic A Liquid Crystal
Abstract
1. Introduction
2. Results and Discussion
3. Materials and Methods
3.1. PDLC Sample Preparation
3.2. Light Scattering Characterization of PDLC
3.3. Scanning Electron Microscopy (SEM) Observation of Polymer Matrix
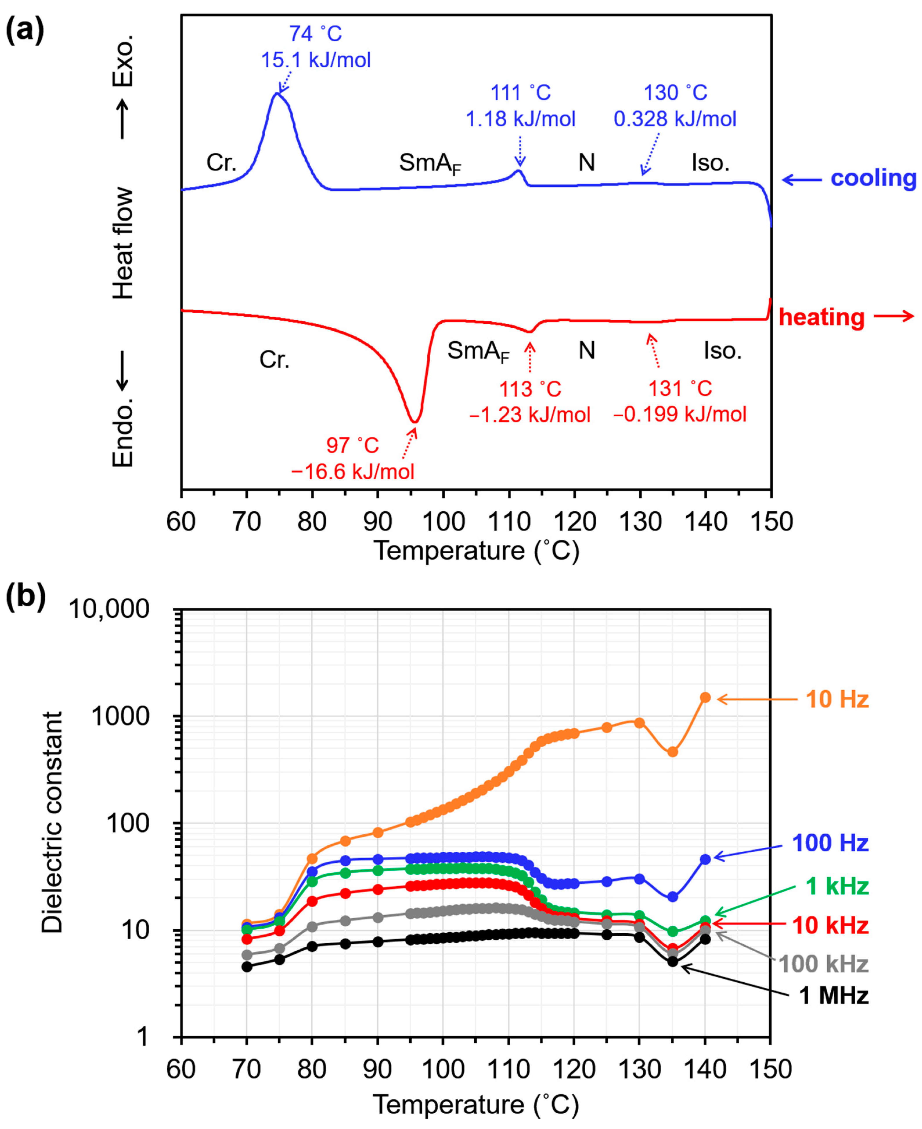
3.4. Differential Scanning Calorimetry (DSC) Measurements
3.5. Dielectric Spectroscopy of PDLC
3.6. Electro-Birefringence Effect
4. Conclusions
Supplementary Materials
Author Contributions
Funding
Institutional Review Board Statement
Informed Consent Statement
Data Availability Statement
Conflicts of Interest
References
- Kajiyama, T.; Miyamoto, A.; Kikuchi, H.; Morimura, Y. Aggregation States and Electro-optical Properties Based on Light Scattering of Polymer/(Liquid Crystal) Composite Films. Chem. Lett. 1989, 18, 813–816. [Google Scholar] [CrossRef]
- Kajiyama, T.; Kikuchi, H.; Miyamoto, A.; Moritomi, S.; Hwang, J. Aggregation States and Bistable Light Switching of (Liquid Crystalline Polymer)/(Low Molecular Weight Liquid Crystal) Mixture Systems. Chem. Lett. 1989, 18, 817–820. [Google Scholar] [CrossRef]
- Doane, J.W.; Golemme, A.; West, J.L.; Whitehead, J.B.; Wu, B.G. Polymer Dispersed Liquid Crystals for Display Application. Mol. Cryst. Liq. Cryst. 1988, 165, 511–532. [Google Scholar] [CrossRef]
- Hikmet, R.A.M.; Kemperman, H. Electrically switchable mirrors and optical components made from liquid-crystal gels. Nature 1998, 392, 476–479. [Google Scholar] [CrossRef]
- Wu, B.G.; Erdmann, J.H.; Doane, J.W. Response times and voltages for PDLC light shutters. Liq. Cryst. 1989, 5, 1453–1465. [Google Scholar] [CrossRef]
- Sheraw, C.D.; Zhou, L.; Huang, J.R.; Gundlach, D.J.; Jackson, T.N.; Kane, M.G.; Hill, I.G.; Hammond, M.S.; Campi, J.; Greening, B.K.; et al. Organic thin-film transistor-driven polymer-dispersed liquid crystal displays on flexible polymeric substrates. Appl. Phys. Lett. 2002, 80, 1088–1090. [Google Scholar] [CrossRef]
- Geis, M.W.; Lyszczarz, T.M.; Osgood, R.M.; Kimball, B.R. 30 to 50 ns liquid-crystal optical switches. Opt. Express 2010, 18, 18886–18893. [Google Scholar] [CrossRef]
- Gong, S.; Cao, Y.; Fang, X.; Wang, Y.F.; Liu, Q.Z.; Gui, H.; Shen, C.F.; Cao, X.; Kim, E.S.; Zhou, C.W. Carbon Nanotube Macroelectronics for Active Matrix Polymer-Dispersed Liquid Crystal Displays. ACS Nano 2016, 10, 10068–10074. [Google Scholar] [CrossRef]
- Oh, S.W.; Baek, J.M.; Heo, J.; Yoon, T.H. Dye-doped cholesteric liquid crystal light shutter with a polymer-dispersed liquid crystal film. Dye. Pigment. 2016, 134, 36–40. [Google Scholar] [CrossRef]
- Chen, G.N.; Ni, M.L.; Peng, H.Y.; Huang, F.H.; Liao, Y.G.; Wane, M.K.; Zhu, J.T.; Roy, V.A.L.; Xie, X.L. Photoinitiation and Inhibition under Monochromatic Green Light for Storage of Colored 3D Images in Holographic Polymer-Dispersed Liquid Crystals. ACS Appl. Mater. Interfaces 2017, 9, 1810–1819. [Google Scholar] [CrossRef]
- Wang, K.N.; Zheng, J.H.; Liu, Y.R.; Gao, H.; Zhuang, S.L. Electrically tunable two-dimensional holographic polymer-dispersed liquid crystal grating with variable period. Opt. Commun. 2017, 392, 128–134. [Google Scholar] [CrossRef]
- Bunning, T.J.; Natarajan, L.V.; Tondiglia, V.P.; Sutherland, R.L. Holographic polymer-dispersed liquid crystals (H-PDLCs). Annu. Rev. Mater. Sci. 2000, 30, 83–115. [Google Scholar] [CrossRef]
- Pagidi, S.; Manda, R.; Bhattacharyya, S.S.; Lee, S.G.; Song, S.M.; Lim, Y.J.; Lee, J.H.; Lee, S.H. Fast Switchable Micro-Lenticular Lens Arrays Using Highly Transparent Nano-Polymer Dispersed Liquid Crystals. Adv. Mater. Interfaces 2019, 6, 1900841. [Google Scholar] [CrossRef]
- Verbrugge, V.; de la Tocnaye, J.; Dupont, L. C-band wavelength-tunable vertical-cavity laser using a nano polymer dispersed liquid crystal material. Opt. Commun. 2003, 215, 353–359. [Google Scholar] [CrossRef]
- Levallois, C.; Verbrugge, V.; Dupont, L.; de la Tocnaye, J.L.B.; Caillaud, B.; Le Correa, A.; Dehaese, O.; Folliot, H.; Loualiche, S. 1.55-µm optically pumped tunable VCSEL based on a nano-polymer dispersive liquid crystal phase modulator. In Proceedings of the Conference on Micro-Optics, VCSELs, and Photonic Interconnects II, Strasbourg, France, 3–5 April 2006. [Google Scholar] [CrossRef][Green Version]
- Aya, S.; Le, K.V.; Araoka, F.; Ishikawa, K.; Takezoe, H. Nanosize-Induced Optically Isotropic Nematic Phase. Jpn. J. Appl. Phys. 2011, 50, 051703. [Google Scholar] [CrossRef]
- Matsumoto, S.; Houlbert, M.; Hayashi, T.; Kubodera, K. Fine droplets of liquid crystals in a transparent polymer and their response to an electric field. Appl. Phys. Lett. 1996, 69, 1044–1046. [Google Scholar] [CrossRef]
- Cho, N.H.; Nayek, P.; Lee, J.J.; Lim, Y.J.; Lee, J.H.; Lee, S.H.; Park, H.S.; Lee, H.J.; Kim, H.S. High-performance, in-plane switching liquid crystal device utilizing an optically isotropic liquid crystal blend of nanostructured liquid crystal droplets in a polymer matrix. Mater. Lett. 2015, 153, 136–139. [Google Scholar] [CrossRef]
- Lim, Y.J.; Yoon, J.H.; Yoo, H.; Song, S.M.; Manda, R.; Pagidi, S.; Lee, M.H.; Myoung, J.M.; Lee, S.H. Fast switchable field-induced optical birefringence in highly transparent polymer-liquid crystal composite. Opt. Mater. Express 2018, 8, 3698–3707. [Google Scholar] [CrossRef]
- Pagidi, S.; Manda, R.; Bhattacharyya, S.S.; Cho, K.J.; Kim, T.H.; Lim, Y.J.; Lee, S.H. Superior electro-optics of nano-phase encapsulated liquid crystals utilizing functionalized carbon nanotubes. Compos. Part B-Eng. 2019, 164, 675–682. [Google Scholar] [CrossRef]
- Pagidi, S.; Manda, R.; Shin, H.S.; Lee, J.; Lim, Y.J.; Kim, M.; Lee, S.H. Enhanced electro-optic characteristics of polymer-dispersed nano-sized liquid crystal droplets utilizing PEDOT:PSS polymer composite. J. Mol. Liq. 2021, 322, 114959. [Google Scholar] [CrossRef]
- Pagidi, S.; Srivastava, A.; Pandey, N.; Manda, R. Reduced driving electric field of ionic salt doped nano-structured polymer dispersed liquid crystals device. J. Mol. Liq. 2024, 399, 124444. [Google Scholar] [CrossRef]
- Pagidi, S.; Park, H.; Lee, D.; Kim, M.; Lee, S.H. Nanosize-confined nematic liquid crystals at slippery interfaces of polymer composites consisting of poly (hexyl methacrylate). J. Mol. Liq. 2022, 350, 118540. [Google Scholar] [CrossRef]
- Nishikawa, H.; Shiroshita, K.; Higuchi, H.; Okumura, Y.; Haseba, Y.; Yamamoto, S.I.; Sago, K.; Kikuchi, H. A Fluid Liquid-Crystal Material with Highly Polar Order. Adv. Mater. 2017, 29, 1702354. [Google Scholar] [CrossRef]
- Yamaguchi, M.; Okumura, Y.; Nishikawa, H.; Matsukizono, H.; Kikuchi, H. Memorizable Electro-Birefringence Effect Exhibited by Transparent Liquid Crystal/Polymer Composite Materials. Adv. Electron. Mater. 2024, 10, 2400055. [Google Scholar] [CrossRef]
- Fuh, A.; Ko, T.; Li, M. Polymer Dispersed Liquid Crystal Films with Memory Characteristics. Jpn. J. Appl. Phys. 1992, 31, 3366–3369. [Google Scholar] [CrossRef]
- Date, M.; Takeuchi, Y.; Kato, K. Droplet size effect on the memory-mode operating temperature of smectic-A holographic polymer dispersed liquid crystal. J. Phys. D Appl. Phys. 1999, 32, 3164–3168. [Google Scholar] [CrossRef]
- Kikuchi, H.; Matsukizono, H.; Iwamatsu, K.; Endo, S.; Anan, S.; Okumura, Y. Fluid Layered Ferroelectrics with Global C∞v Symmetry. Adv. Sci. 2022, 9, 2202048. [Google Scholar] [CrossRef]
- Song, Y.; Deng, M.; Wang, Z.; Li, J.; Lei, H.; Wan, Z.; Xia, R.; Aya, S.; Huang, M. Emerging Ferroelectric Uniaxial Lamellar (Smectic AF) Fluids for Bistable In-Plane Polarization Memory. J. Phys. Chem. Lett. 2022, 13, 9983–9990. [Google Scholar] [CrossRef] [PubMed]
- Chen, X.; Martinez, V.; Nacke, P.; Korblova, E.; Manabe, A.; Klasen-Memmer, M.; Freychet, G.; Zhernenkov, M.; Glaser, M.; Radzihovsky, L.; et al. Observation of a uniaxial ferroelectric smectic A phase. Proc. Natl. Acad. Sci. USA 2022, 119, e2210062119. [Google Scholar] [CrossRef]
- Gibb, C.; Hobbs, J.; Nikolova, D.; Raistrick, T.; Berrow, S.; Mertelj, A.; Osterman, N.; Sebastian, N.; Gleeson, H.; Mandle, R. Spontaneous symmetry breaking in polar fluids. Nat. Commun. 2024, 15, 5845. [Google Scholar] [CrossRef]
- Matsukizono, H.; Sakamoto, Y.; Okumura, Y.; Kikuchi, H. Exploring the Impact of Linkage Structure in Ferroelectric Nematic and Smectic Liquid Crystals. J. Phys. Chem. Lett. 2024, 15, 4212–4217. [Google Scholar] [CrossRef] [PubMed]
- Yamaguchi, R.; Sato, S. Memory Effects of Light Transmission Properties in Polymer-Dispersed-Liquid-Crystal (PDLC) Films. Jpn. J. Appl. Phys. 1991, 30, L616–L618. [Google Scholar] [CrossRef]
- Mucha, M. Polymer as an important component of blends and composites with liquid crystals. Prog. Polym. Sci. 2003, 28, 837–873. [Google Scholar] [CrossRef]
- Miyamoto, A.; Kikuchi, H.; Kobayashi, S.; Morimura, Y.; Kajiyama, T. Dielectric property-electrooptical effect relationships of polymer/liquid-crystal composite films. Macromolecules 1991, 24, 3915–3920. [Google Scholar] [CrossRef]
- Fukunaga, M.; Noda, Y. New technique for measuring ferroelectric and antiferroelectric hysteresis loops. J. Phys. Soc. Jpn. 2008, 77, 064706. [Google Scholar] [CrossRef]





Disclaimer/Publisher’s Note: The statements, opinions and data contained in all publications are solely those of the individual author(s) and contributor(s) and not of MDPI and/or the editor(s). MDPI and/or the editor(s) disclaim responsibility for any injury to people or property resulting from any ideas, methods, instructions or products referred to in the content. |
© 2024 by the authors. Licensee MDPI, Basel, Switzerland. This article is an open access article distributed under the terms and conditions of the Creative Commons Attribution (CC BY) license (https://creativecommons.org/licenses/by/4.0/).
Share and Cite
Yamaguchi, M.; Matsukizono, H.; Okumura, Y.; Kikuchi, H. Nanostructured Polymer-Dispersed Liquid Crystals Using a Ferroelectric Smectic A Liquid Crystal. Molecules 2024, 29, 4837. https://doi.org/10.3390/molecules29204837
Yamaguchi M, Matsukizono H, Okumura Y, Kikuchi H. Nanostructured Polymer-Dispersed Liquid Crystals Using a Ferroelectric Smectic A Liquid Crystal. Molecules. 2024; 29(20):4837. https://doi.org/10.3390/molecules29204837
Chicago/Turabian StyleYamaguchi, Masaki, Hiroyuki Matsukizono, Yasushi Okumura, and Hirotsugu Kikuchi. 2024. "Nanostructured Polymer-Dispersed Liquid Crystals Using a Ferroelectric Smectic A Liquid Crystal" Molecules 29, no. 20: 4837. https://doi.org/10.3390/molecules29204837
APA StyleYamaguchi, M., Matsukizono, H., Okumura, Y., & Kikuchi, H. (2024). Nanostructured Polymer-Dispersed Liquid Crystals Using a Ferroelectric Smectic A Liquid Crystal. Molecules, 29(20), 4837. https://doi.org/10.3390/molecules29204837

