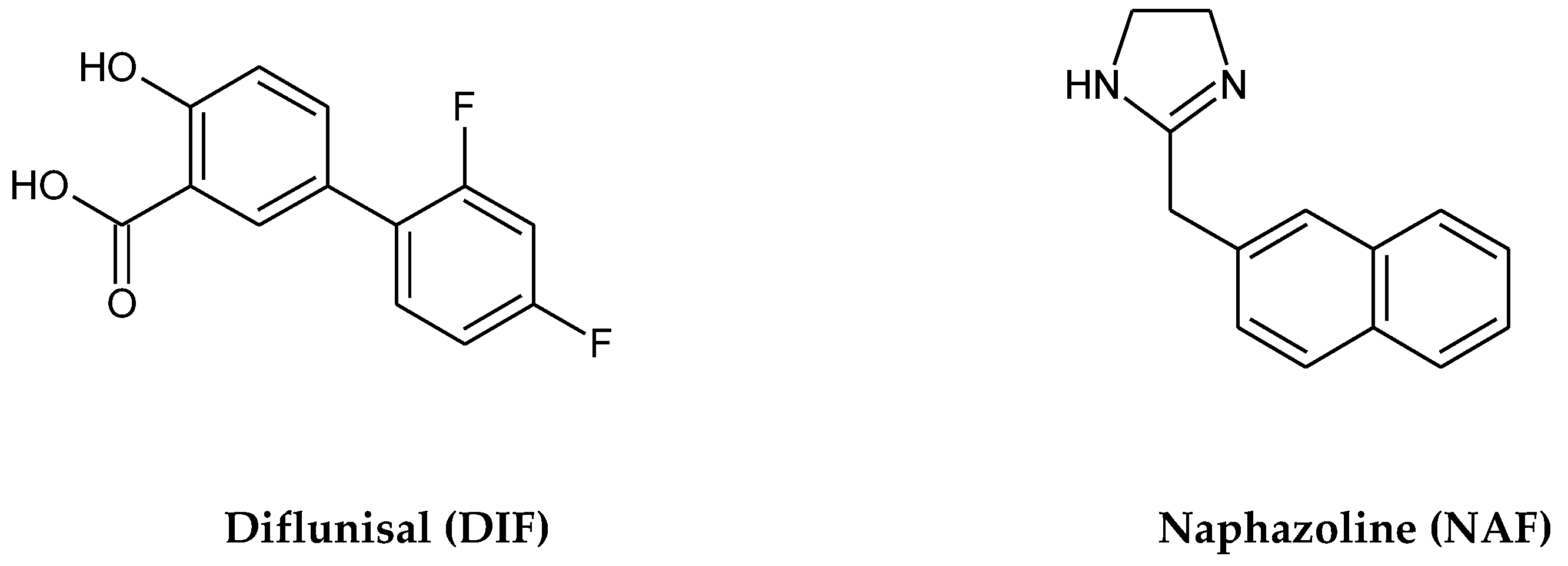
Two Small Molecule Drugs with Topical Applications, Diflunisal and Naphazoline, and Their Potentially Toxic Photodegradants: Analysis by Chemical and Biological Methods
Abstract
1. Introduction
2. Results and Discussion
2.1. Experimental Steps
2.2. UV/VIS Analysis
2.3. Parameters of LC-UV Method
2.4. Impact of pH on Photodegradation of DIF and NAF
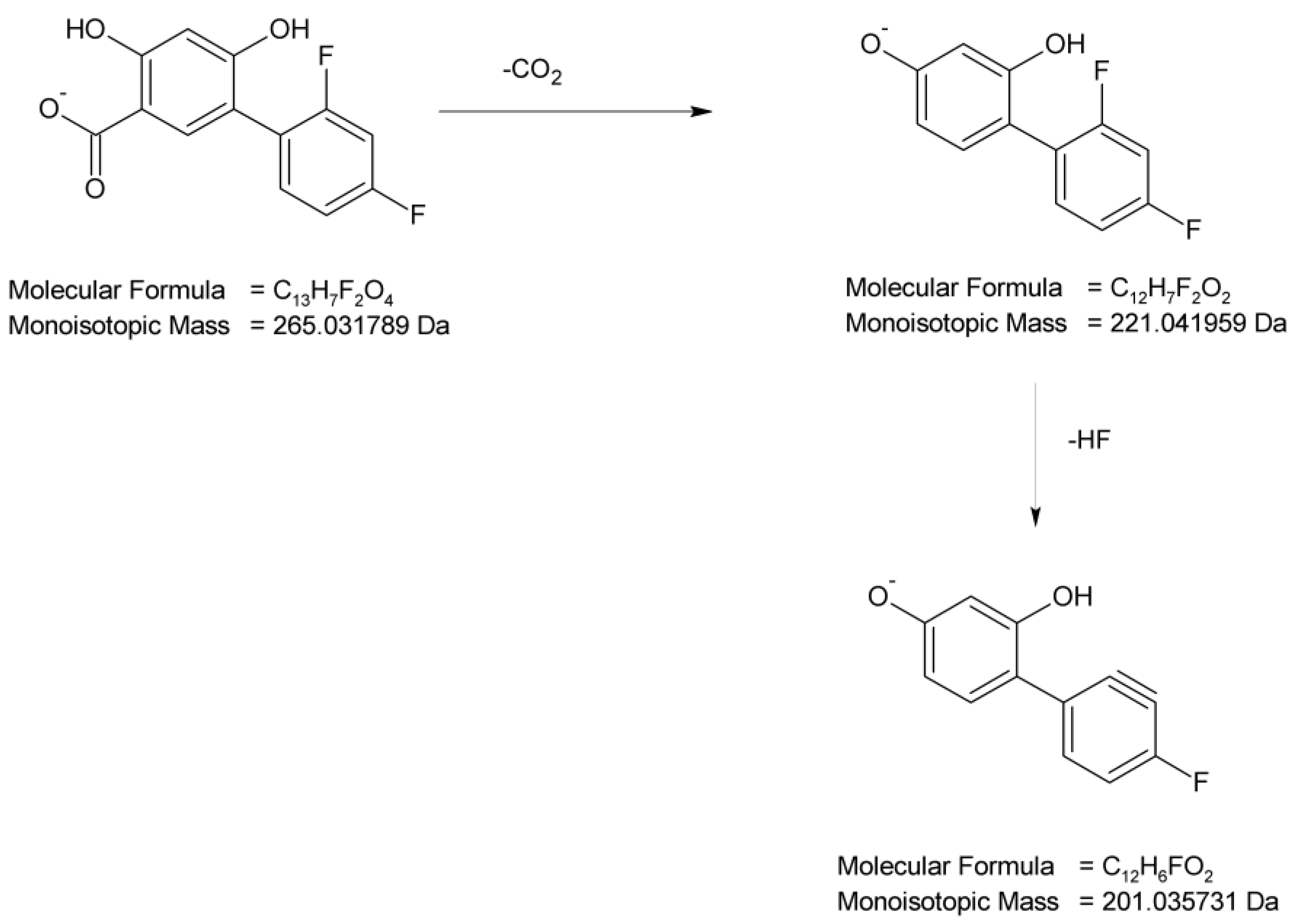
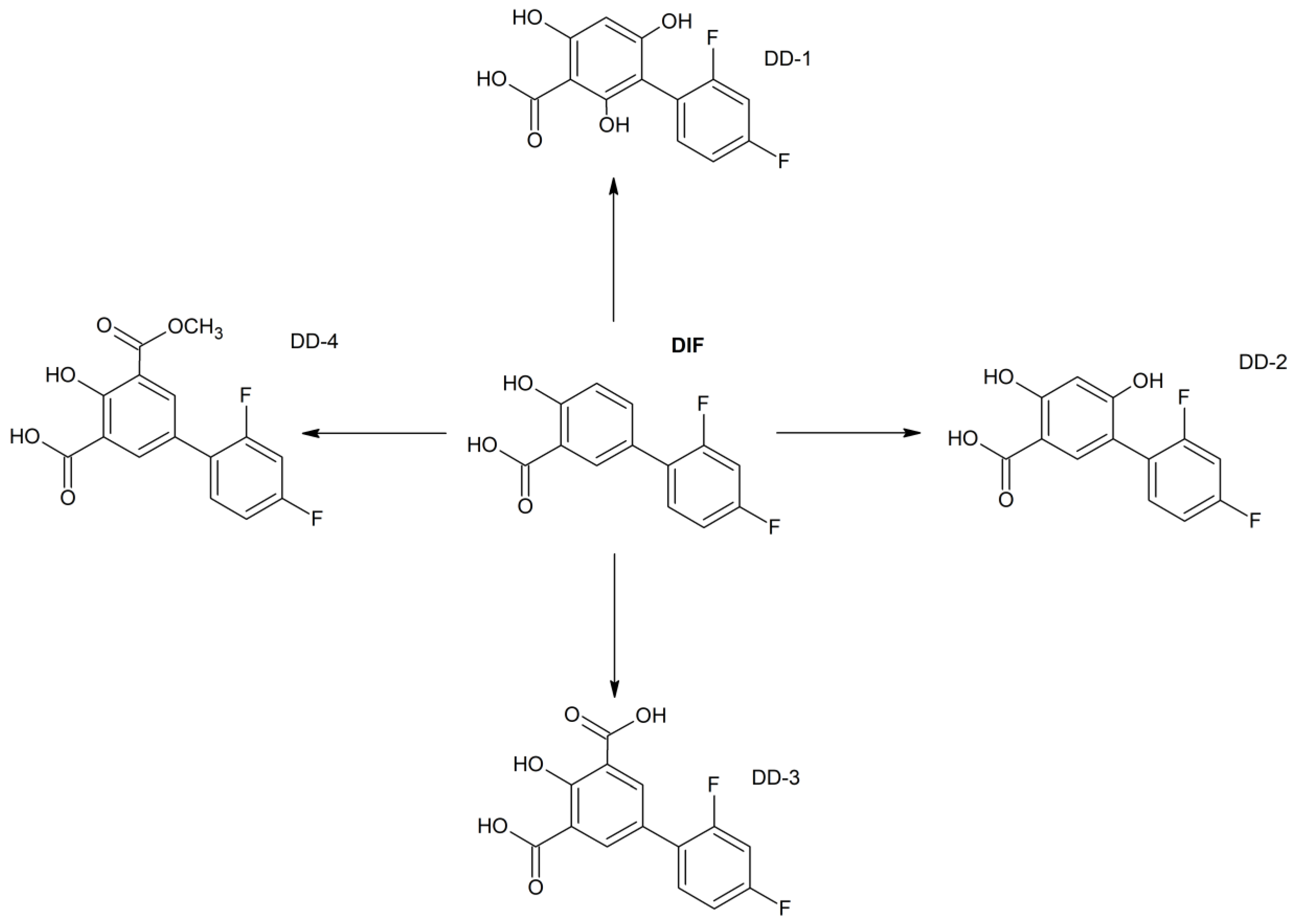
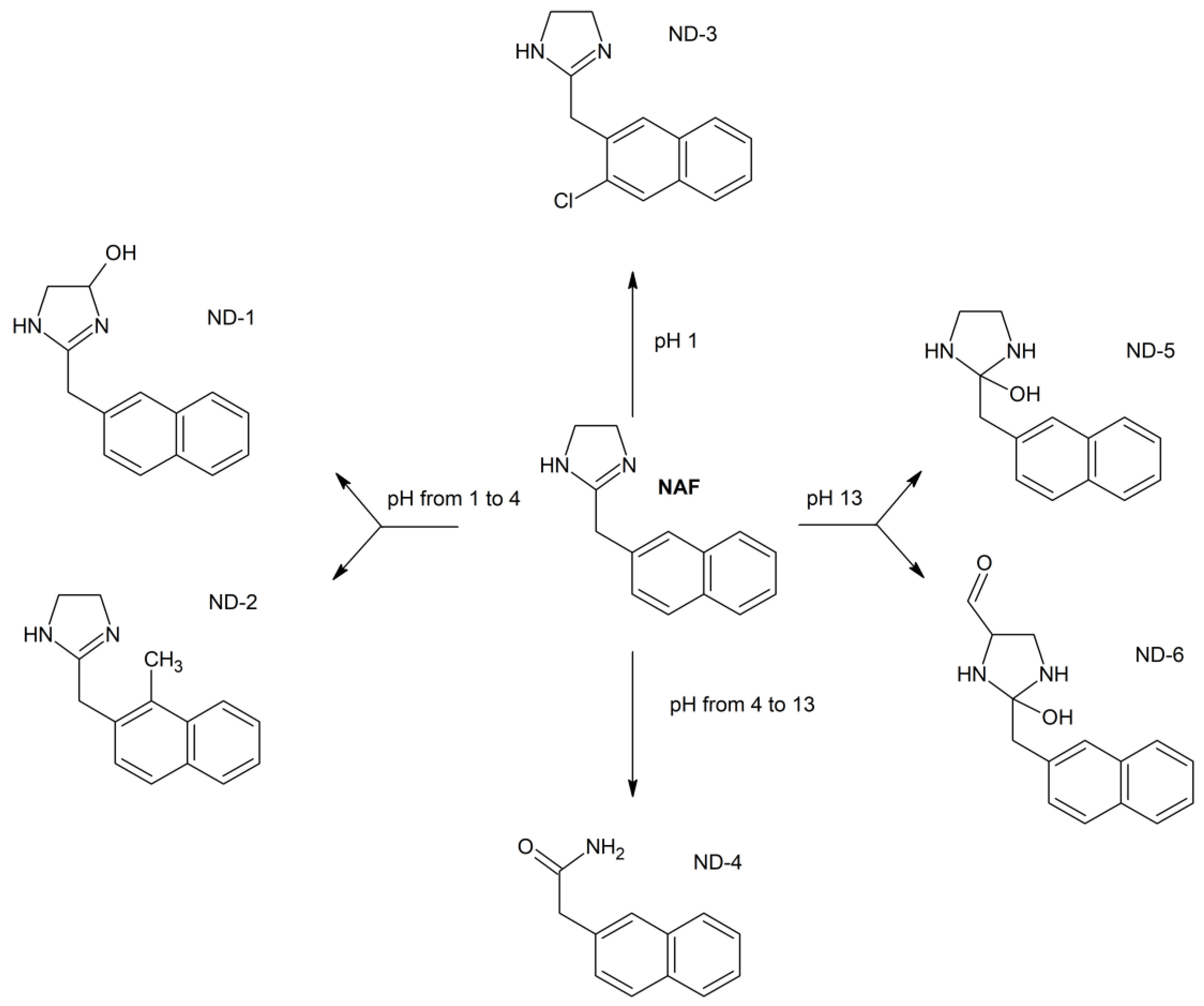
2.5. Identification of Degradation Products by LC-HRMS Method and In Silico Analysis
2.5.1. Identification of Degradation Products of DIF
2.5.2. Identification of Degradation Products of NAF
2.6. ROS Generation
2.7. In Vitro Tests
3. Materials and Methods
3.1. Materials for Chemical Tests
3.2. Percentage Photodegradation
3.3. UPLC-HRMS/MS for Identification of Degradation Products
3.4. Photodegradation of DIF and NAF in Solutions
3.5. ROS Monitoring
3.6. In Vitro Experiments
3.7. Statistical Analysis
4. Conclusions
Author Contributions
Funding
Institutional Review Board Statement
Informed Consent Statement
Data Availability Statement
Conflicts of Interest
References
- Bashir, M.; Ahmad, J.; Salah-Ud-Din Khan, A.; Irfan, M.; Ibrahim, A.Y.; Asghar, S.; Khan, I.U.; Iqbal, M.S.; Haseeb, A.; Khalid, S.H.; et al. Nanoemulgel, an innovative carrier for diflunisal topical delivery with profound anti-inflammatory effect: In vitro and in vivo evaluation. Int. J. Nanomed. 2021, 16, 1457–1472. [Google Scholar] [CrossRef]
- Snetkov, P.; Morozkina, S.; Olekhnovich, R.; Uspenskaya, M. Diflunisal targeted delivery systems: A review. Materials 2021, 14, 6687. [Google Scholar] [CrossRef]
- Tsai, F.J.; Nelson, L.T.; Kline, G.M.; Jäger, M.; Berk, J.L.; Sekijima, Y.; Powers, E.T.; Kelly, J.W. Characterising diflunisal as a transthyretin kinetic stabilizer at relevant concentrations in human plasma using subunit exchange. Amyloid 2023, 30, 220–224. [Google Scholar] [CrossRef]
- De Guidi, G.; Chillemi, R.; Giuffrida, S.; Condorelli, G.; Fama, M.C. Molecular mechanism of drug photosensitization Part 3. Photohemolysis sensitized by diflunisal. J. Photochem. Photobiol. B Biol. 1991, 10, 221–237. [Google Scholar] [CrossRef]
- Pignatello, R.; Ferro, M.; De Guidi, G.; Salemi, G.; Vandelli, M.A.; Guccione, S.; Geppi, M.; Forte, C.; Puglisi, G. Preparation, characterisation and photosensitivity studies of solid dispersions of diflunisal and Eudragit RS100® and RL100®. Int. J. Pharm. 2001, 218, 27–42. [Google Scholar] [CrossRef] [PubMed]
- Sortino, S.; Scaiano, J.C.; Condorelli, G. Transient photochemistry of diflunisal: Photoejection and trapping of hydrated electrons leading to the formation of phenoxy radicals, photostimulated defluorination, and cross combination reaction. J. Phys. Chem. B 1999, 103, 9279–9284. [Google Scholar] [CrossRef]
- Kuzminov, B.; Turkina, V.; Kuzminov, J. Rationale for naphazoline effects in-depth study. Curr. Issues Pharm. Med. Sci. 2018, 31, 29–33. [Google Scholar] [CrossRef]
- Sortino, S.; Giufrifrida, S.; Scaiano, J.C. Phototoxicity of naphazoline. Evidence that hydrated electrons, nitrogen-centered radicals and OH radicals trigger DNA damage: A combined photocleavage and laser flash photolysis study. Chem. Res. Toxicol. 1999, 12, 971–978. [Google Scholar] [CrossRef]
- Sortino, S.; Cosa, G.; Scaiano, J.C. pH effect on the efficiency of the photodeactivation pathways of naphazoline: A combined steady state and time resolved study. New J. Chem. 2000, 24, 159–163. [Google Scholar] [CrossRef]
- Musa, K.A.K.; Eriksson, L.A. Theoretical assessment of naphazoline redoxchemistry and photochemistry. J. Phys. Chem. B 2007, 111, 3977–3981. [Google Scholar] [CrossRef]
- Blakely, K.M.; Drucker, A.M.; Rosen, C.F. Drug-induced photosensitivity—An update: Culprit drugs, prevention and management. Drug Saf. 2019, 42, 827–847. [Google Scholar] [CrossRef] [PubMed]
- Kumar, D.K.; Sahu, A.; Wani, A.A.; Bharatam, P.V.; Chakraborti, A.K.; Giri, S.; Singh, S. Characterization of photodegradation products of bepotastine besilate and in silico evaluation of their physicochemical, absorption, distribution, metabolism, excretion and toxicity properties. J. Pharm. Sci. 2010, 109, 1883–1895. [Google Scholar]
- Shaalan, R.A.; Belal, T.S. Validated stability-indicating HPLC-DAD method for the simultaneous determination of diclofenac sodium and diflunisal in their combined dosage form. Sci. Pharm. 2013, 81, 713–731. [Google Scholar] [CrossRef] [PubMed]
- Maher, H.M. Development and validation of a stability indicating HPLC-DAD method with an optimization for the determination of diflunisal and naproxen in pharmaceutical tablets. J. Liq. Chromatogr. Relat. Technol. 2014, 37, 634–652. [Google Scholar] [CrossRef]
- Available online: https://www.drugbank.com (accessed on 15 April 2024).
- Yoshioka, S.; Stella, V.J. pH and pH-rate profiles. In Stability of Drugs and Dosage Forms; Kluwer Academic Publications: New York, NY, USA, 2002; pp. 80–97. [Google Scholar]
- Kounaris Fuziki, M.E.; Ribas, L.S.; Tusset, A.M.; Brackmann, R.; Dos Santos, O.A.A.; Gonçalves Lenzi, G. Pharmaceutical compounds photolysis: pH influence. Heliyon 2023, 9, e13678. [Google Scholar] [CrossRef]
- Ali, A.; Farooq, U.; Ahmed, M.; Athar, M.M.; Nadeem, K.; Murtaza, G. Stability indicating UHPLC-PDA assay for simultaneous determination of antazoline hydrochloride and naphazoline hydrochloride in ophthalmic formulations. Acta Chim. Slov. 2017, 64, 332–341. [Google Scholar] [CrossRef]
- Huang, T.; Chen, N.; Wang, D.; Lai, Y.; Cao, Z. A validated stability-indicating HPLC method for the simultaneous determination of pheniramine maleate and naphazoline hydrochloride in pharmaceutical formulations. Chem. Cent. J. 2014, 8, 7. [Google Scholar] [CrossRef] [PubMed]
- Available online: https://www.organic-chemistry.org/prog/peo/tox.html (accessed on 20 April 2024).
- Available online: https://toxtree.sourceforge.net/ (accessed on 20 April 2024).
- Organization for Economic Co-Operation and Development. Guidelines for the Testing of Chemicals. In Test Guideline No 495: Reactive Oxygen Species (ROS) Assay for Photoreactivity; OECD Publishing: Paris, France, 2019. [Google Scholar]
- Onoue, S.; Suzuki, G.; Kato, M.; Hirota, M.; Nishida, H.; Kitagaki, M.; Kouzuki, H.; Yamada, S. Non-animal photosafety assessment approaches for cosmetics based on the photochemical and photobiochemical properties. Toxicol. In Vitro 2013, 27, 2316–2324. [Google Scholar] [CrossRef]
- Seto, Y.; Inoue, R.; Kato, M.; Yamada, S.; Onoue, S. Photosafety assessments on pirfenidone: Photochemical, photobiological and pharmacokinetic characterization. J. Photochem. Photobiol. B Biol. 2013, 120, 44–51. [Google Scholar] [CrossRef] [PubMed]
- The International Council for Harmonisation of Technical Requirements for Pharmaceuticals for Human Use (ICH). Validation of Analytical Procedures: Text and Methodology Q2(R1); ICH: Geneva, Switzerland, 2005. [Google Scholar]
- Bhangare, D.; Rajput, N.; Jadav, T.; Kumar Sahu, A.; Tekade, R.K.; Sengupta, P. Systematic strategies for degradation kinetic study of pharmaceuticals: An issue of utmost importance concerning current stability analysis practices. J. Anal. Sci. Technol. 2022, 13, 7. [Google Scholar] [CrossRef]
- The International Council for Harmonisation of Technical Requirements for Pharmaceuticals for Human Use. ICH Topic Q1B Photostability Testing of New Active Substances and Medicinal Products; ICH: Geneva, Switzerland, 1998. [Google Scholar]
- Yadav, A.; Yadav, M.; Mishra, S. A review on drug stability. Int. J. Sci. Res. Arch. 2023, 9, 474–485. [Google Scholar] [CrossRef]
- The International Council for Harmonisation of Technical Requirements for Pharmaceuticals for Human Use. ICH Topic Q1A(R2) Stability Testing of New Active Substances and Products; ICH: Geneva, Switzerland, 2003. [Google Scholar]
- Api, A.M.; Belsito, D.; Bruze, M.; Cadby, P.; Calow, P.; Dagli, M.L.; Dekant, W.; Ellis, G.; Fryer, A.D.; Fukayama, M.; et al. Criteria for the Research Institute for Fragrance Materials, Inc. (RIFM) safety evaluation process for fragrance ingredients. Food Chem. Toxicol. 2016, 82, S1–S19. [Google Scholar] [CrossRef] [PubMed]
- Roberts, D.W.; Aptula, A.; Schultz, T.W.; Shen, J.; Api, A.M.; Bhatia, S.; Kromidas, L. A practical guidance for Cramer class determination. Regul. Toxicol. Pharmacol. 2015, 73, 971–984. [Google Scholar] [CrossRef] [PubMed]
- Hegazy, A.M.; Batubara, A.S.; Abdelgawad, M.A.; El-Sherbiny, M.; Ghoneim, M.M.; Ahmed, A.M.; Gamal, M. Recommended and verified stability indicating GC–MS procedures for green separation of quaternary mixture of naphazoline, ephedrine, methylparaben, and naphazoline impurity. Microchem. J. 2022, 183, 108058. [Google Scholar] [CrossRef]
- Available online: https://www.thermofisher.com/order/catalog/product/L3224 (accessed on 15 May 2023).
- Masson-Meyers, D.; Bumah, V.V.; Enwemeka, C.S. A comparison of four methods for determining viability in human dermal fibroblasts irradiated with blue light. J. Pharm. Biomed. Anal. 2016, 79, 15–22. [Google Scholar] [CrossRef] [PubMed]
- Lejwoda, K.; Gumieniczek, A.; Filip, A.; Naumczuk, B. The study on timolol and its potential phototoxicity using chemical, in silico and in vitro methods. Pharmaceuticals 2024, 17, 98. [Google Scholar] [CrossRef]

























| Parameter | DIF | NAF |
|---|---|---|
| Linearity range (µg/mL) | 20–120 | 10–100 |
| Slope (mean ± SD, n = 5) | 0.0393 ± 0.00011 | 0.0509 ± 0.00025 |
| Intercept (mean ± SD, n = 5) | −0.0838 ± 0.00551 | −0.0226 ± 0.00632 |
| R2 (mean ± SD, n = 5) | 0.999 ± 0.0001 | 0.999 ± 0.0003 |
| LOD (µg/mL) | 0.46 | 0.41 |
| LOQ (µg/mL) | 1.39 | 1.24 |
| % Recovery (mean ± SD, n = 9) | 99.5 ± 1.14 | 99.3 ± 1.84 |
| % RSD for within-day precision (n = 3) | 1.08 | 1.53 |
| % RSD for between-day precision (n = 9) | 2.37 | 2.12 |
| pH | Degradation [%] and R2 | k [s−1] | t0.1 [min] | t0.5 [min] | ||||||
|---|---|---|---|---|---|---|---|---|---|---|
| DIF | NAF | DIF | NAF | DIF | NAF | DIF | NAF | |||
| 1 | 99.05 | 0.9712 | 96.47 | 0.9913 | 6.9 × 10−3 | 4.8 × 10−3 | 0.32 | 0.36 | 1.67 | 2.39 |
| 4 | 91.08 | 0.9924 | 96.15 | 0.8849 | 2.5 × 10−3 | 5.8 × 10−3 | 0.69 | 0.31 | 4.56 | 2.01 |
| 7 | 30.35 | 0.8285 | 28.54 | 0.7933 | 4.6 × 10−4 | 9.2 × 10−5 | 3.79 | 19.02 | 25.05 | 125.54 |
| 10 | 52.45 | 0.9282 | 26.03 | 0.9871 | 6.9 × 10−4 | 2.3 × 10−5 | 2.53 | 76.09 | 16.71 | 502.17 |
| 13 | 97.87 | 0.7272 | 14.74 | 0.9196 | 4.1 × 10−3 | 4.6 × 10−5 | 0.42 | 38.04 | 2.78 | 251.09 |
| Compound | 49 kJ/m2 | 234 kJ/m2 | 675 kJ/m2 | 1350 kJ/m2 | 2025 kJ/m2 | 2700 kJ/m2 |
|---|---|---|---|---|---|---|
| Singlet oxygen 1O2 | ||||||
| DIF | 16 | 54 | 103 | 143 | 176 | 455 |
| NAF | 11 | 45 | 120 | 238 | 365 | 480 |
| Quinine | 98 | 156 | 282 | 319 | 401 | 493 |
| Benzocaine | −13 | −10 | −9 | −8 | −3 | 10 |
| Superoxide anion O2− | ||||||
| DIF | 12 | 34 | 36 | 89 | 143 | 174 |
| NAF | 18 | 31 | 66 | 81 | 107 | 179 |
| Quinine | 81 | 127 | 133 | 148 | 179 | 221 |
| Benzocaine | −13 | −13 | −11 | −8 | −6 | 2 |
Disclaimer/Publisher’s Note: The statements, opinions and data contained in all publications are solely those of the individual author(s) and contributor(s) and not of MDPI and/or the editor(s). MDPI and/or the editor(s) disclaim responsibility for any injury to people or property resulting from any ideas, methods, instructions or products referred to in the content. |
© 2024 by the authors. Licensee MDPI, Basel, Switzerland. This article is an open access article distributed under the terms and conditions of the Creative Commons Attribution (CC BY) license (https://creativecommons.org/licenses/by/4.0/).
Share and Cite
Lejwoda, K.; Gumieniczek, A.; Filip, A.; Naumczuk, B. Two Small Molecule Drugs with Topical Applications, Diflunisal and Naphazoline, and Their Potentially Toxic Photodegradants: Analysis by Chemical and Biological Methods. Molecules 2024, 29, 4122. https://doi.org/10.3390/molecules29174122
Lejwoda K, Gumieniczek A, Filip A, Naumczuk B. Two Small Molecule Drugs with Topical Applications, Diflunisal and Naphazoline, and Their Potentially Toxic Photodegradants: Analysis by Chemical and Biological Methods. Molecules. 2024; 29(17):4122. https://doi.org/10.3390/molecules29174122
Chicago/Turabian StyleLejwoda, Karolina, Anna Gumieniczek, Agata Filip, and Beata Naumczuk. 2024. "Two Small Molecule Drugs with Topical Applications, Diflunisal and Naphazoline, and Their Potentially Toxic Photodegradants: Analysis by Chemical and Biological Methods" Molecules 29, no. 17: 4122. https://doi.org/10.3390/molecules29174122
APA StyleLejwoda, K., Gumieniczek, A., Filip, A., & Naumczuk, B. (2024). Two Small Molecule Drugs with Topical Applications, Diflunisal and Naphazoline, and Their Potentially Toxic Photodegradants: Analysis by Chemical and Biological Methods. Molecules, 29(17), 4122. https://doi.org/10.3390/molecules29174122

