Coffee Bean and Its Chemical Constituent Caffeine and Chlorogenic Acid as Promising Chemoprevention Agents: Updated Biological Studies against Cancer Cells
Abstract
1. Introduction
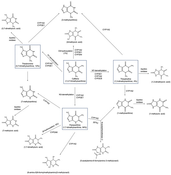
2. Biochemistry and Metabolism of Caffeine from Coffee Beans

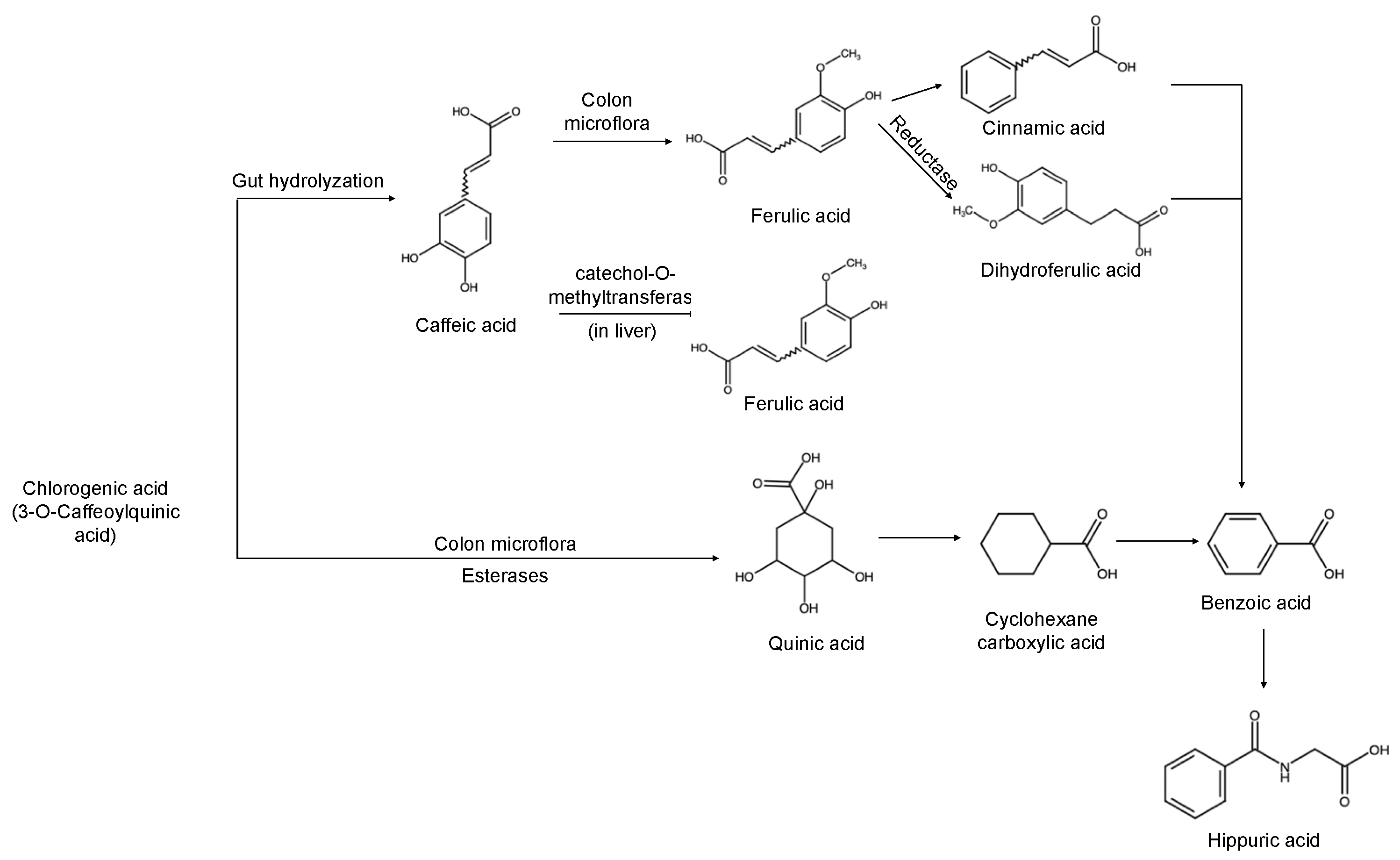
3. Biochemistry and Metabolism of Chlorogenic Acid from Coffee Beans
4. The Role of Coffee in Chemoprevention Activities on Carcinogenesis
5. The Antitumor Activities of Coffee and Its Chemical Constituent
| Compound | Concentration | In Vitro Model | Mechanism of Action | Reference |
|---|---|---|---|---|
| Chlorogenic acid | 10 µM | Human umbilical vein endothelial cells | Reduction in wound cell migration, cell invasion, hypoxia-induced tube formation | [82] |
| 25 and 50 µM | Glioma, lung cancer, colon cancer and solid tumor cell lines from hepatoma | Induction of cell differentiation, inhibition of cell proliferation, decreased expression of genes associated with poor differentiation, increased expression of key genes associated with differentiation | [83] | |
| 5 mM | Leukemia (K562 cells) | Induction of apoptotic topoisomerase−DNA complexes and generation of hydrogen peroxide | [84] | |
| 1–1000 µM | Liver cancer (HepG2 cells) | Inhibition of invasion and migration, inhibition of cell proliferation and colony formation, induction of cell death, decreased MMP2/TIMP-2, DNA methyltransferase1, ERK1/2 phosphorylation and MMP-9 expression, increased p53 and p21 | [85,86] | |
| 1–5000 µM | Lung cancer (A549 cells) | Inhibition of phorbol-12-myristate-13-acetate Stimulated invasion of A549 cells, induction of apoptosis, inhibition of cell proliferation, decreased stem cell marker related genes (CD44, NANOG, POU5F1, and SOX2), MAPK and PI3K/Akt signaling, inactivation of NF-κB, activator protein 1 and STAT3, hypoxia-induced HIF-1α protein level, transcriptional activity of HIF-1α, vascular endothelial growth factor and Bcl-2, increased Bax, Bax/Bcl-2, p38, JUN, and caspase 3 | [69,75,82,84] | |
| 20–200 µM | Irradiated plasmids | Decreased DNA single-strand breaks | [87] | |
| Caffeine | 0.5, 1, 2 mM | Prostate cancer (PC-3 and DU145 cells) | Inhibition of cell adhesion and motility and decreased cell proliferation | [88] |
| 0.1–5 mM | Breast cancer (MDA-MB-231, Tam-R, MCF-7 cells) | MDA-MB-231 cells: inhibition of cell proliferation by 40% MCF-7 cells: inhibition of cell proliferation by 80%, induction of cell death, decreased estrogen receptor, poly (ADP-ribose) polymerase cleavage, decreased cyclin D1, Akt and Bcl-xL, increased caspase 7, Tam-R cells: inhibition of cell proliferation | [49] | |
| 50–400 µM | Irradiated plasmids | Decreased DNA single-strand breaks | [87] | |
| 10–1000 mM | Liver inflammation (human hepatic stellate cells) | Decreased procollagen type Ic, alpha-smooth muscle actin expression and progression of intrahepatic induction of apoptosis, increased F-actin and cyclic adenosine monophosphate, fibrosis | [89] | |
| 0.1–4 mM | Leukemia (NB4 cells) | Bax, increase p21 and caspase 3, induction of apoptosis, inhibition of cell proliferation | [90] | |
| 2 mM | Lung cancer (HTB182 and CRL5985 cells) | Increase PUMA (CRL5985), inhibition of cell proliferation | [91] | |
| Cafestol | 1–40 µM | Renal cancer (Caki cells) | Induction of apoptosis, inhibition of proliferation, increased Bim, Bax and FADD-like IL-1β-converting enzyme)-inhibitory protein, increased caspases 2 and 3, cleavage of poly (ADP-ribose) polymerase, decreased Akt phosphorylation, Mcl-1, Bcl-xL, release of Cytochrome c and Bcl-2 | [92] |
| 40, 80, 150 µM | Leukemia (HL-60 and KG1 cells) | Decreased ROS generation and clonogenic potential, increased caspase 3, CD11b and CD15 differentiation markers, induction of apoptosis | [43] | |
| Kahweol | 1–25 µM | Human umbilical vein endothelial cells | Decreased MMP-2 expression, urokinase, cyclooxygenase-2 and monocyte chemoattractant protein-1, inhibition of tubule formation, inhibition of cell proliferation, inhibition of migration, inhibition of invasion | [93] |
| 40 µM | Liver inflammation (primary Kupffer cells and primary hepatocytes) | Decreased lipopolysaccharide-stimulated phospho-nuclear factor kappa B and signal transducer and activator of transcription 3 expression and lipopolysaccharide-induced production of interleukin 1 alpha, interleukin 1 beta, interleukin 6, and tumor necrosis factor alpha | [94] | |
| 0.1–10 µM | Leukemia (U937 cells) | Decreased Bcl-2, Bcl-XL, Mcl-1, XIAP and Akt phosphorylation, increased JNK pathway, JNK, ROS generation and caspases 2, 3, 8, and 9, cytochrome c release, inhibition of cell proliferation, induction of apoptosis | [95] | |
| 1–200 µM | Colorectal cancer (HCT116, SW480, LoVo, HT-29 cells) | Decreased heat shock protein 70, Bcl2 and phosphorylated Akt, increased ATF3 transcription and caspase 3, poly (ADP-ribose) polymerase cleavage, induction of apoptosis | [51,96] | |
| 10–90 µM | Lung cancer (NCI-H358, NCI-H1299 cells) | Inhibition of cell proliferation, induction of apoptosis, increased p21 and Bax, decreased cyclin D1, basic transcription factor 3, ERK signaling pathway and Bcl-2, Bcl-xL | [97] |
6. The Role of Coffee in Inducing Apoptosis toward Cancer Cells
7. The Role of Coffee in Autophagy Process in Cancer Cells
8. Conclusions and Recommendations
Author Contributions
Funding
Institutional Review Board Statement
Informed Consent Statement
Data Availability Statement
Conflicts of Interest
References
- Schneider, K.A. All About Breast Cancer. In Counseling about Cancer; Wiley: Hoboken, NJ, USA, 2011; pp. 151–185. [Google Scholar]
- Ma, L.; Zhang, M.; Zhao, R.; Wang, D.; Ma, Y.; Li, A. Plant Natural Products: Promising Resources for Cancer Chemoprevention. Molecules 2021, 26, 933. [Google Scholar] [CrossRef] [PubMed]
- Kotecha, R.; Takami, A.; Espinoza, J.L. Dietary phytochemicals and cancer chemoprevention: A review of the clinical evidence. Oncotarget 2016, 7, 52517–52529. [Google Scholar] [CrossRef] [PubMed]
- Freedman, N.D.; Park, Y.; Abnet, C.C.; Hollenbeck, A.R.; Sinha, R. Association of coffee drinking with total and cause-specific mortality. N. Engl. J. Med. 2012, 366, 1891–1904. [Google Scholar] [CrossRef] [PubMed]
- Mishra, M.; Panta, R.; Miyares, M. Influence of coffee and its components on breast cancer: A review. Asian Pac. J. Trop. Dis. 2016, 6, 827–831. [Google Scholar] [CrossRef]
- Sado, J.; Kitamura, T.; Kitamura, Y.; Sobue, T.; Nishino, Y.; Tanaka, H.; Nakayama, T.; Tsuji, I.; Ito, H.; Suzuki, T.; et al. Association between coffee consumption and all-sites cancer incidence and mortality. Cancer Sci. 2017, 108, 2079–2087. [Google Scholar] [CrossRef] [PubMed]
- Andersen, L.F.; Jacobs, D.R., Jr.; Carlsen, M.H.; Blomhoff, R. Consumption of coffee is associated with reduced risk of death attributed to inflammatory and cardiovascular diseases in the Iowa Women’s Health Study. Am. J. Clin. Nutr. 2006, 83, 1039–1046. [Google Scholar] [CrossRef] [PubMed]
- Sachs, J.D.; Cordes, K.Y.; Rising, J.; Toledano, P.; Maennling, N. Ensuring Economic Viability and Sustainability of Coffee Production; Columbia Center on Sustainable Investment: New York, NY, USA, 2019. [Google Scholar]
- Gobbi, L.; Maddaloni, L.; Prencipe, S.A.; Vinci, G. Bioactive Compounds in Different Coffee Beverages for Quality and Sustainability Assessment. Beverages 2023, 9, 3. [Google Scholar] [CrossRef]
- de Melo Pereira, G.V.; de Carvalho Neto, D.P.; Júnior, A.I.M.; do Prado, F.G.; Pagnoncelli, M.G.B.; Karp, S.G.; Soccol, C.R. Chemical composition and health properties of coffee and coffee by-products. Adv. Food Nutr. Res. 2020, 91, 65–96. [Google Scholar] [PubMed]
- Cortés-Macías, E.T.; López, C.F.; Gentile, P.; Girón-Hernández, J.; López, A.F. Impact of post-harvest treatments on physicochemical and sensory characteristics of coffee beans in Huila, Colombia. Postharvest Biol. Technol. 2022, 187, 111852. [Google Scholar] [CrossRef]
- Jeszka-Skowron, M.; Sentkowska, A.; Pyrzyńska, K.; De Peña, M.P. Chlorogenic acids, caffeine content and antioxidant properties of green coffee extracts: Influence of green coffee bean preparation. Eur. Food Res. Technol. 2016, 242, 1403–1409. [Google Scholar] [CrossRef]
- Carvalho Neto, D.P.d.; Gonot-Schoupinsky, X.P.; Gonot-Schoupinsky, F.N. Coffee as a naturally beneficial and sustainable ingredient in personal care products: A systematic scoping review of the evidence. Front. Sustain. 2021, 2, 697092. [Google Scholar] [CrossRef]
- Karpinska, J.; Świsłocka, R.; Lewandowski, W. A mystery of a cup of coffee; an insight look by chemist. BioFactors 2017, 43, 621–632. [Google Scholar] [CrossRef] [PubMed]
- Awwad, S.; Issa, R.; Alnsour, L.; Albals, D.; Al-Momani, I. Quantification of Caffeine and Chlorogenic Acid in Green and Roasted Coffee Samples Using HPLC-DAD and Evaluation of the Effect of Degree of Roasting on Their Levels. Molecules 2021, 26, 7502. [Google Scholar] [CrossRef] [PubMed]
- Barcelos, R.P.; Lima, F.D.; Carvalho, N.R.; Bresciani, G.; Royes, L.F. Caffeine effects on systemic metabolism, oxidative-inflammatory pathways, and exercise performance. Nutr. Res. 2020, 80, 1–17. [Google Scholar] [CrossRef] [PubMed]
- Lin, Y.-S.; Weibel, J.; Landolt, H.-P.; Santini, F.; Garbazza, C.; Kistler, J.; Rehm, S.; Rentsch, K.; Borgwardt, S.; Cajochen, C.; et al. Time to Recover From Daily Caffeine Intake. Front. Nutr. 2022, 8, 787225. [Google Scholar] [CrossRef] [PubMed]
- Jandova, Z.; Gill, S.C.; Lim, N.M.; Mobley, D.L.; Oostenbrink, C. Binding Modes and Metabolism of Caffeine. Chem. Res. Toxicol. 2019, 32, 1374–1383. [Google Scholar] [CrossRef] [PubMed]
- Lelo, A.; Kjellen, G.; Birkett, D.J.; Miners, J.O. Paraxanthine metabolism in humans: Determination of metabolic partial clearances and effects of allopurinol and cimetidine. J. Pharmacol. Exp. Ther. 1989, 248, 315–319. [Google Scholar] [PubMed]
- Nehlig, A. Interindividual Differences in Caffeine Metabolism and Factors Driving Caffeine Consumption. Pharmacol. Rev. 2018, 70, 384–411. [Google Scholar] [CrossRef]
- Tarka, S.M., Jr.; Arnaud, M.J.; Dvorchik, B.H.; Vesell, E.S. Theobromine kinetics and metabolic disposition. Clin. Pharmacol. Ther. 1983, 34, 546–555. [Google Scholar] [CrossRef]
- Labedzki, A.; Buters, J.; Jabrane, W.; Fuhr, U. Differences in caffeine and paraxanthine metabolism between human and murine CYP1A2. Biochem. Pharmacol. 2002, 63, 2159–2167. [Google Scholar] [CrossRef] [PubMed]
- Josse, A.R.; Da Costa, L.A.; Campos, H.; El-Sohemy, A. Associations between polymorphisms in the AHR and CYP1A1-CYP1A2 gene regions and habitual caffeine consumption. Am. J. Clin. Nutr. 2012, 96, 665–671. [Google Scholar] [CrossRef] [PubMed]
- Cornelis, M.C.; Kacprowski, T.; Menni, C.; Gustafsson, S.; Pivin, E.; Adamski, J.; Artati, A.; Eap, C.B.; Ehret, G.; Friedrich, N.; et al. Genome-wide association study of caffeine metabolites provides new insights to caffeine metabolism and dietary caffeine-consumption behavior. Hum. Mol. Genet. 2016, 25, 5472–5482. [Google Scholar] [CrossRef] [PubMed]
- Arnaud, M.J. Components of coffee. Caffeine Coffee Health 1993, 43, 43–95. [Google Scholar]
- Sardão, V.A.; Oliveira, P.J.; Moreno, A.J.M. Caffeine Enhances the Calcium-Dependent Cardiac Mitochondrial Permeability Transition: Relevance for Caffeine Toxicity. Toxicol. Appl. Pharmacol. 2002, 179, 50–56. [Google Scholar] [CrossRef] [PubMed]
- Ribeiro, J.A.; Sebastiao, A.M. Caffeine and adenosine. J. Alzheimer’s Dis. 2010, 20, S3–S15. [Google Scholar] [CrossRef] [PubMed]
- Gliottoni, R.C.; Meyers, J.R.; Arngrímsson, S.Á.; Broglio, S.P.; Motl, R.W. Effect of caffeine on quadriceps muscle pain during acute cycling exercise in low versus high caffeine consumers. Int. J. Sport Nutr. Exerc. Metab. 2009, 19, 150–161. [Google Scholar] [CrossRef] [PubMed]
- Monteiro, J.P.; Alves, M.G.; Oliveira, P.F.; Silva, B.M. Structure-bioactivity relationships of methylxanthines: Trying to make sense of all the promises and the drawbacks. Molecules 2016, 21, 974. [Google Scholar] [CrossRef] [PubMed]
- Orbán, C.; Vásárhelyi, Z.; Bajnok, A.; Sava, F.; Toldi, G. Effects of caffeine and phosphodiesterase inhibitors on activation of neonatal T lymphocytes. Immunobiology 2018, 223, 627–633. [Google Scholar] [CrossRef] [PubMed]
- Institute of Medicine (US) Committee on Military Nutrition Research. Caffeine for the Sustainment of Mental Task Performance: Formulations for Military Operations; National Academies Press: Washington, DC, USA, 2001. [Google Scholar]
- Meeusen, R.; Roelands, B.; Spriet, L.L. Caffeine, exercise and the brain. In Limits of Human Endurance; Karger Publishers: Basel, Switzerland, 2013; Volume 76, pp. 1–12. [Google Scholar]
- Ohta, A.; Lukashev, D.; Jackson, E.K.; Fredholm, B.B.; Sitkovsky, M. 1,3,7-trimethylxanthine (caffeine) may exacerbate acute inflammatory liver injury by weakening the physiological immunosuppressive mechanism. J. Immunol. 2007, 179, 7431–7438. [Google Scholar] [CrossRef] [PubMed]
- Kong, H.; Jones, P.P.; Koop, A.; Zhang, L.; Duff, H.J.; Chen, S.R. Caffeine induces Ca2+ release by reducing the threshold for luminal Ca2+ activation of the ryanodine receptor. Biochem. J. 2008, 414, 441–452. [Google Scholar] [CrossRef] [PubMed]
- Alasmari, F. Caffeine induces neurobehavioral effects through modulating neurotransmitters. Saudi Pharm. J. 2020, 28, 445–451. [Google Scholar] [CrossRef]
- Van Cuong, T.; Ling, L.H.; Quan, G.K.; Tiep, T.D.; Nan, X.; Qing, C.X.; Le Linh, T. Effect of roasting conditions on several chemical constituents of Vietnam Robusta coffee. Ann. Univ. Dunarea Jos Galati Fascicle VI-Food Technol. 2014, 38, 43–56. [Google Scholar]
- Olthof, M.R.; Hollman, P.C.; Katan, M.B. Chlorogenic acid and caffeic acid are absorbed in humans. J. Nutr. 2001, 131, 66–71. [Google Scholar] [CrossRef]
- Zhao, Y.; Wang, J.; Ballevre, O.; Luo, H.; Zhang, W. Antihypertensive effects and mechanisms of chlorogenic acids. Hypertens. Res. 2012, 35, 370–374. [Google Scholar] [CrossRef] [PubMed]
- Nabavi, S.F.; Tejada, S.; Setzer, W.N.; Gortzi, O.; Sureda, A.; Braidy, N.; Daglia, M.; Manayi, A.; Nabavi, S.M. Chlorogenic Acid and Mental Diseases: From Chemistry to Medicine. Curr. Neuropharmacol. 2017, 15, 471–479. [Google Scholar] [CrossRef] [PubMed]
- Olthof, M.R.; Hollman, P.C.H.; Buijsman, M.N.C.P.; van Amelsvoort, J.M.M.; Katan, M.B. Chlorogenic Acid, Quercetin-3-Rutinoside and Black Tea Phenols Are Extensively Metabolized in Humans. J. Nutr. 2003, 133, 1806–1814. [Google Scholar] [CrossRef] [PubMed]
- Lee, H.N.; Kim, J.K.; Kim, J.H.; Lee, S.J.; Ahn, E.K.; Oh, J.S.; Seo, D.W. A mechanistic study on the anti-cancer activity of ethyl caffeate in human ovarian cancer SKOV-3 cells. Chem. Biol. Interact. 2014, 219, 151–158. [Google Scholar] [CrossRef] [PubMed]
- Siegel, R.L.; Miller, K.D.; Wagle, N.S.; Jemal, A. Cancer statistics, 2023. CA Cancer J Clin 2023, 73, 17–48. [Google Scholar] [CrossRef]
- Lima, C.S.; Spindola, D.G.; Bechara, A.; Garcia, D.M.; Palmeira-dos-Santos, C.; Peixoto-da-Silva, J.; Erustes, A.G.; Michelin, L.F.G.; Pereira, G.J.S.; Smaili, S.S.; et al. Cafestol, a diterpene molecule found in coffee, induces leukemia cell death. Biomed. Pharmacother. 2017, 92, 1045–1054. [Google Scholar] [CrossRef] [PubMed]
- Makino, T.; Izumi, K.; Hiratsuka, K.; Kano, H.; Shimada, T.; Nakano, T.; Kadomoto, S.; Naito, R.; Iwamoto, H.; Yaegashi, H.; et al. Anti-proliferative and anti-migratory properties of coffee diterpenes kahweol acetate and cafestol in human renal cancer cells. Sci. Rep. 2021, 11, 675. [Google Scholar] [CrossRef] [PubMed]
- Um, C.Y.; McCullough, M.L.; Guinter, M.A.; Campbell, P.T.; Jacobs, E.J.; Gapstur, S.M. Coffee consumption and risk of colorectal cancer in the Cancer Prevention Study-II Nutrition Cohort. Cancer Epidemiol. 2020, 67, 101730. [Google Scholar] [CrossRef] [PubMed]
- Mackintosh, C.; Yuan, C.; Ou, F.-S.; Zhang, S.; Niedzwiecki, D.; Chang, I.-W.; O’Neil, B.H.; Mullen, B.C.; Lenz, H.-J.; Blanke, C.D.; et al. Association of Coffee Intake With Survival in Patients With Advanced or Metastatic Colorectal Cancer. JAMA Oncol. 2020, 6, 1713–1721. [Google Scholar] [CrossRef] [PubMed]
- Tran, K.T.; Coleman, H.G.; McMenamin, Ú.C.; Cardwell, C.R. Coffee consumption by type and risk of digestive cancer: A large prospective cohort study. Br. J. Cancer 2019, 120, 1059–1066. [Google Scholar] [CrossRef]
- Tanaka, K.; Tamakoshi, A.; Sugawara, Y.; Mizoue, T.; Inoue, M.; Sawada, N.; Matsuo, K.; Ito, H.; Naito, M.; Nagata, C. Coffee, green tea and liver cancer risk: An evaluation based on a systematic review of epidemiologic evidence among the Japanese population. Jpn. J. Clin. Oncol. 2019, 49, 972–984. [Google Scholar] [CrossRef] [PubMed]
- Rosendahl, A.H.; Perks, C.M.; Zeng, L.; Markkula, A.; Simonsson, M.; Rose, C.; Ingvar, C.; Holly, J.M.P.; Jernström, H. Caffeine and Caffeic Acid Inhibit Growth and Modify Estrogen Receptor and Insulin-like Growth Factor I Receptor Levels in Human Breast Cancer. Clin. Cancer Res. 2015, 21, 1877–1887. [Google Scholar] [CrossRef] [PubMed]
- Safe, S.; Kothari, J.; Hailemariam, A.; Upadhyay, S.; Davidson, L.A.; Chapkin, R.S. Health Benefits of Coffee Consumption for Cancer and Other Diseases and Mechanisms of Action. Int. J. Mol. Sci. 2023, 24, 2706. [Google Scholar] [CrossRef] [PubMed]
- Choi, D.W.; Lim, M.S.; Lee, J.W.; Chun, W.; Lee, S.H.; Nam, Y.H.; Park, J.M.; Choi, D.H.; Kang, C.D.; Lee, S.J.; et al. The Cytotoxicity of Kahweol in HT-29 Human Colorectal Cancer Cells Is Mediated by Apoptosis and Suppression of Heat Shock Protein 70 Expression. Biomol. Ther. 2015, 23, 128–133. [Google Scholar] [CrossRef]
- Oh, S.H.; Hwang, Y.P.; Choi, J.H.; Jin, S.W.; Lee, G.H.; Han, E.H.; Chung, Y.H.; Chung, Y.C.; Jeong, H.G. Kahweol inhibits proliferation and induces apoptosis by suppressing fatty acid synthase in HER2-overexpressing cancer cells. Food Chem. Toxicol. 2018, 121, 326–335. [Google Scholar] [CrossRef]
- Bovell-Benjamin, A.C. Chapter 22—Bioactivity, Benefits and Safety of Traditional and Ethnic Foods. In Ensuring Global Food Safety; Boisrobert, C.E., Stjepanovic, A., Oh, S., Lelieveld, H.L.M., Eds.; Academic Press: San Diego, CA, USA, 2010; pp. 363–382. [Google Scholar]
- Huber, W.W.; Rossmanith, W.; Grusch, M.; Haslinger, E.; Prustomersky, S.; Peter-Vörösmarty, B.; Parzefall, W.; Scharf, G.; Schulte-Hermann, R. Effects of coffee and its chemopreventive components kahweol and cafestol on cytochrome P450 and sulfotransferase in rat liver. Food Chem. Toxicol. 2008, 46, 1230–1238. [Google Scholar] [CrossRef]
- Ren, Y.; Wang, C.; Xu, J.; Wang, S. Cafestol and Kahweol: A Review on Their Bioactivities and Pharmacological Properties. Int. J. Mol. Sci. 2019, 20, 4238. [Google Scholar] [CrossRef]
- Tej, G.; Nayak, P.K. Mechanistic considerations in chemotherapeutic activity of caffeine. Biomed. Pharmacother. 2018, 105, 312–319. [Google Scholar] [CrossRef] [PubMed]
- Meisaprow, P.; Aksorn, N.; Vinayanuwattikun, C.; Chanvorachote, P.; Sukprasansap, M. Caffeine Induces G0/G1 Cell Cycle Arrest and Inhibits Migration through Integrin αv, β3, and FAK/Akt/c-Myc Signaling Pathway. Molecules 2021, 26, 7659. [Google Scholar] [CrossRef] [PubMed]
- Moura, T.A.; Junior, R.L.R.; Rocha, M.S. Caffeine modulates the intercalation of drugs on DNA: A study at the single molecule level. Biophys. Chem. 2021, 277, 106653. [Google Scholar] [CrossRef] [PubMed]
- Davies, D.B.; Veselkov, D.A.; Djimant, L.N.; Veselkov, A.N. Hetero-association of caffeine and aromatic drugs and their competitive binding with a DNA oligomer. Eur. Biophys. J. 2001, 30, 354–366. [Google Scholar] [CrossRef] [PubMed]
- Caini, S.; Masala, G.; Saieva, C.; Kvaskoff, M.; Savoye, I.; Sacerdote, C.; Hemmingsson, O.; Hammer Bech, B.; Overvad, K.; Tjønneland, A.; et al. Coffee, tea and melanoma risk: Findings from the European Prospective Investigation into Cancer and Nutrition. Int. J. Cancer 2017, 140, 2246–2255. [Google Scholar] [CrossRef]
- Gibbs, B.F.; Gonçalves Silva, I.; Prokhorov, A.; Abooali, M.; Yasinska, I.; Casely-Hayford, M.A.; Berger, S.M.; Fasler-Kan, E.; Sumbayev, V. Caffeine affects the biological responses of human hematopoietic cells of myeloid lineage via downregulation of the mTOR pathway and xanthine oxidase activity. Oncotarget 2015, 6, 28678. [Google Scholar] [CrossRef]
- Miwa, S.; Sugimoto, N.; Yamamoto, N.; Shirai, T.; Nishida, H.; Hayashi, K.; Kimura, H.; Takeuchi, A.; Igarashi, K.; Yachie, A.; et al. Caffeine induces apoptosis of osteosarcoma cells by inhibiting AKT/mTOR/S6K, NF-κB and MAPK pathways. Anticancer Res. 2012, 32, 3643–3649. [Google Scholar]
- Saiki, S.; Sasazawa, Y.; Imamichi, Y.; Kawajiri, S.; Fujimaki, T.; Tanida, I.; Kobayashi, H.; Sato, F.; Sato, S.; Ishikawa, K.; et al. Caffeine induces apoptosis by enhancement of autophagy via PI3K/Akt/mTOR/p70S6K inhibition. Autophagy 2011, 7, 176–187. [Google Scholar] [CrossRef]
- Chen, J.C.; Hwang, J.H. Effects of caffeine on cell viability and activity of histone deacetylase 1 and histone acetyltransferase in glioma cells. Ci Ji Yi Xue Za Zhi 2016, 28, 103–108. [Google Scholar] [CrossRef]
- Hwang, J.H.; Kim, K.J.; Ryu, S.J.; Lee, B.Y. Caffeine prevents LPS-induced inflammatory responses in RAW264.7 cells and zebrafish. Chem. Biol. Interact. 2016, 248, 1–7. [Google Scholar] [CrossRef]
- Tsikis, S.; Hoefer, L.; Bethimoutis, G.; Nicolaidou, E.; Paparizos, V.; Antoniou, C.; Chardalias, L.; Stavropoulos, G.E.; Sharma, S.; Long, B.C.; et al. Risk factors, prevalence, and site concordance of human papillomavirus in high-risk Greek men. Eur. J. Cancer Prev. 2018, 27, 514–520. [Google Scholar] [CrossRef] [PubMed]
- Gligor, O.; Clichici, S.; Moldovan, R.; Decea, N.; Vlase, A.M.; Fizeșan, I.; Pop, A.; Virag, P.; Filip, G.A.; Vlase, L.; et al. An In Vitro and In Vivo Assessment of Antitumor Activity of Extracts Derived from Three Well-Known Plant Species. Plants 2023, 12, 1840. [Google Scholar] [CrossRef] [PubMed]
- Nigra, A.D.; Teodoro, A.J.; Gil, G.A. A Decade of Research on Coffee as an Anticarcinogenic Beverage. Oxidative Med. Cell. Longev. 2021, 2021, 4420479. [Google Scholar] [CrossRef] [PubMed]
- Yamagata, K.; Izawa, Y.; Onodera, D.; Tagami, M. Chlorogenic acid regulates apoptosis and stem cell marker-related gene expression in A549 human lung cancer cells. Mol. Cell Biochem. 2018, 441, 9–19. [Google Scholar] [CrossRef]
- Chang, W.C.; Chen, C.H.; Lee, M.F.; Chang, T.; Yu, Y.M. Chlorogenic acid attenuates adhesion molecules upregulation in IL-1beta-treated endothelial cells. Eur. J. Nutr. 2010, 49, 267–275. [Google Scholar] [CrossRef] [PubMed]
- Moeenfard, M.; Cortez, A.; Machado, V.; Costa, R.; Luís, C.; Coelho, P.; Soares, R.; Alves, A.; Borges, N.; Santos, A. Anti-Angiogenic Properties of Cafestol and Kahweol Palmitate Diterpene Esters. J. Cell. Biochem. 2016, 117, 2748–2756. [Google Scholar] [CrossRef] [PubMed]
- Wang, S.; Yoon, Y.C.; Sung, M.J.; Hur, H.J.; Park, J.H. Antiangiogenic properties of cafestol, a coffee diterpene, in human umbilical vein endothelial cells. Biochem. Biophys. Res. Commun. 2012, 421, 567–571. [Google Scholar] [CrossRef] [PubMed]
- Muchtaridi, M.; Lestari, D.; Khairul Ikram, N.K.; Gazzali, A.M.; Hariono, M.; Wahab, H.A. Decaffeination and Neuraminidase Inhibitory Activity of Arabica Green Coffee (Coffea arabica) Beans: Chlorogenic Acid as a Potential Bioactive Compound. Molecules 2021, 26, 3402. [Google Scholar] [CrossRef]
- Seow, L.-J.; Shamlan, S.; Seow, E.-K. Influence of roasting degrees on the antioxidant and anti-angiogenic effects of Coffea liberica. J. Food Meas. Charact. 2021, 15, 4030–4036. [Google Scholar] [CrossRef]
- Dong, S.; Kong, J.; Kong, J.; Shen, Q.; Kong, F.; Sun, W.; Zheng, L. Low Concentration of Caffeine Inhibits the Progression of the Hepatocellular Carcinoma via Akt Signaling Pathway. Anticancer Agents Med. Chem. 2015, 15, 484–492. [Google Scholar] [CrossRef] [PubMed]
- Chung, F.-L.; Wang, M.; Rivenson, A.; Iatropoulos, M.J.; Reinhardt, J.C.; Pittman, B.; Ho, C.-T.; Amin, S.G. Inhibition of lung carcinogenesis by black tea in Fischer rats treated with a tobacco-specific carcinogen: Caffeine as an important constituent. Cancer Res. 1998, 58, 4096–4101. [Google Scholar] [PubMed]
- Tsuchiya, H.; Tomita, K.; Yamamoto, N.; Mori, Y.; Asada, N. Caffeine-potentiated chemotherapy and conservative surgery for high-grade soft-tissue sarcoma. Anticance. Res. 1998, 18, 3651–3656. [Google Scholar]
- Ialongo, D.; Tudino, V.; Arpacioglu, M.; Messore, A.; Patacchini, E.; Costi, R.; Di Santo, R.; Madia, V.N. Synergistic Effects of Caffeine in Combination with Conventional Drugs: Perspectives of a Drug That Never Ages. Pharmaceuticals 2023, 16, 730. [Google Scholar] [CrossRef] [PubMed]
- Takeuchi, A.; Tsuchiya, H.; Yamamoto, N.; Hayashi, K.; Yamauchi, K.; Kawahara, M.; Miyamoto, K.; Tomita, K. Caffeine-potentiated chemotherapy for patients with high-grade soft tissue sarcoma: Long-term clinical outcome. Anticancer Res. 2007, 27, 3489–3495. [Google Scholar] [PubMed]
- de Weger, V.A.; Goel, S.; von Moos, R.; Schellens, J.H.M.; Mach, N.; Tan, E.; Anand, S.; Scott, J.W.; Lassen, U. A drug–drug interaction study to assess the effect of the CYP1A2 inhibitor fluvoxamine on the pharmacokinetics of dovitinib (TKI258) in patients with advanced solid tumors. Cancer Chemother. Pharmacol. 2018, 81, 73–80. [Google Scholar] [CrossRef] [PubMed]
- Dougherty, J.B.; Kelsen, D.; Kemeny, N.; Magill, G.; Botet, J.; Niedzwiecki, D. Advanced Pancreatic Cancer: A Phase I–II Trial of Cisplatin, High-Dose Cytarabine, and Caffeine. J. Natl. Cancer Inst. 1989, 81, 1735–1738. [Google Scholar] [CrossRef] [PubMed]
- Park, J.J.; Hwang, S.J.; Park, J.H.; Lee, H.J. Chlorogenic acid inhibits hypoxia-induced angiogenesis via down-regulation of the HIF-1α/AKT pathway. Cell. Oncol. 2015, 38, 111–118. [Google Scholar] [CrossRef] [PubMed]
- Huang, S.; Wang, L.L.; Xue, N.N.; Li, C.; Guo, H.H.; Ren, T.K.; Zhan, Y.; Li, W.B.; Zhang, J.; Chen, X.G.; et al. Chlorogenic acid effectively treats cancers through induction of cancer cell differentiation. Theranostics 2019, 9, 6745–6763. [Google Scholar] [CrossRef] [PubMed]
- Burgos-Morón, E.; Calderón-Montaño, J.M.; Orta, M.L.; Pastor, N.; Pérez-Guerrero, C.; Austin, C.; Mateos, S.; López-Lázaro, M. The coffee constituent chlorogenic acid induces cellular DNA damage and formation of topoisomerase I- and II-DNA complexes in cells. J. Agric. Food Chem. 2012, 60, 7384–7391. [Google Scholar] [CrossRef]
- Liu, H.; Hua, Y.; Zheng, X.; Shen, Z.; Luo, H.; Tao, X.; Wang, Z. Effect of coffee consumption on the risk of gastric cancer: A systematic review and meta-analysis of prospective cohort studies. PLoS ONE 2015, 10, e0128501. [Google Scholar] [CrossRef] [PubMed]
- Yan, Y.; Liu, N.; Hou, N.; Dong, L.; Li, J. Chlorogenic acid inhibits hepatocellular carcinoma in vitro and in vivo. J. Nutr. Biochem. 2017, 46, 68–73. [Google Scholar] [CrossRef] [PubMed]
- Rathod, M.A.; Patel, D.; Das, A.; Tipparaju, S.R.; Shinde, S.S.; Anderson, R.F. Inhibition of radical-induced DNA strand breaks by water-soluble constituents of coffee: Phenolics and caffeine metabolites. Free Radic. Res. 2013, 47, 480–487. [Google Scholar] [CrossRef] [PubMed]
- Pounis, G.; Tabolacci, C.; Costanzo, S.; Cordella, M.; Bonaccio, M.; Rago, L.; D’Arcangelo, D.; Di Castelnuovo, F.A.; de Gaetano, G.; Donati, M.B.; et al. Reduction by coffee consumption of prostate cancer risk: Evidence from the Moli-sani cohort and cellular models. Int. J. Cancer 2017, 141, 72–82. [Google Scholar] [CrossRef] [PubMed]
- Shim, S.G.; Jun, D.W.; Kim, E.K.; Saeed, W.K.; Lee, K.N.; Lee, H.L.; Lee, O.Y.; Choi, H.S.; Yoon, B.C. Caffeine attenuates liver fibrosis via defective adhesion of hepatic stellate cells in cirrhotic model. J. Gastroenterol. Hepatol. 2013, 28, 1877–1884. [Google Scholar] [CrossRef] [PubMed]
- Safa, M.; Bashash, D.; Hamidpoor, M. Induction of cell death and decreased cell proliferation in acute promyelocytic leukemia cells (NB4) by caffeine. Sci. J. Iran. Blood Transfus Organ 2016, 12, 331–339. [Google Scholar]
- Wang, X.; Lim, L.-T. Chapter 27—Physicochemical Characteristics of Roasted Coffee. In Coffee in Health and Disease Prevention; Preedy, V.R., Ed.; Academic Press: San Diego, CA, USA, 2015; pp. 247–254. [Google Scholar]
- Choi, M.J.; Park, E.J.; Oh, J.H.; Min, K.J.; Yang, E.S.; Kim, Y.H.; Lee, T.J.; Kim, S.H.; Choi, Y.H.; Park, J.W.; et al. Cafestol, a coffee-specific diterpene, induces apoptosis in renal carcinoma Caki cells through down-regulation of anti-apoptotic proteins and Akt phosphorylation. Chem. Biol. Interact. 2011, 190, 102–108. [Google Scholar] [CrossRef]
- Cárdenas, C.; Quesada, A.R.; Medina, M.A. Anti-angiogenic and anti-inflammatory properties of kahweol, a coffee diterpene. PLoS ONE 2011, 6, e23407. [Google Scholar] [CrossRef]
- Seo, H.Y.; Kim, M.K.; Lee, S.H.; Hwang, J.S.; Park, K.G.; Jang, B.K. Kahweol Ameliorates the Liver Inflammation through the Inhibition of NF-κB and STAT3 Activation in Primary Kupffer Cells and Primary Hepatocytes. Nutrients 2018, 10, 863. [Google Scholar] [CrossRef] [PubMed]
- Oh, J.H.; Lee, J.T.; Yang, E.S.; Chang, J.S.; Lee, D.S.; Kim, S.H.; Choi, Y.H.; Park, J.W.; Kwon, T.K. The coffee diterpene kahweol induces apoptosis in human leukemia U937 cells through down-regulation of Akt phosphorylation and activation of JNK. Apoptosis 2009, 14, 1378–1386. [Google Scholar] [CrossRef] [PubMed]
- Park, G.H.; Song, H.M.; Jeong, J.B. Kahweol from Coffee Induces Apoptosis by Upregulating Activating Transcription Factor 3 in Human Colorectal Cancer Cells. Biomol. Ther. 2017, 25, 337–343. [Google Scholar] [CrossRef] [PubMed]
- Jeon, J.S.; Kim, H.T.; Jeong, I.H.; Hong, S.R.; Oh, M.S.; Park, K.H.; Shim, J.H.; Abd El-Aty, A.M. Determination of chlorogenic acids and caffeine in homemade brewed coffee prepared under various conditions. J. Chromatogr. B Anal. Technol. Biomed. Life Sci. 2017, 1064, 115–123. [Google Scholar] [CrossRef]
- Park, J.B. Isolation and quantification of major chlorogenic acids in three major instant coffee brands and their potential effects on H2O2-induced mitochondrial membrane depolarization and apoptosis in PC-12 cells. Food Funct. 2013, 4, 1632–1638. [Google Scholar] [CrossRef] [PubMed]
- Kim, H.G.; Hwang, Y.P.; Han, E.H.; Choi, J.H.; Kwon, K.-i.; Chung, Y.C.; Jeong, M.H.; Jeong, T.C.; Kang, W.; Jeong, H.G. The coffee diterpene kahweol inhibits metastasis by modulating expressions of MMPs and VEGF via STAT3 inactivation. Food Chem. 2012, 133, 1521–1529. [Google Scholar] [CrossRef]
- Sen, A.; Papadimitriou, N.; Lagiou, P.; Perez-Cornago, A.; Travis, R.C.; Key, T.J.; Murphy, N.; Gunter, M.; Freisling, H.; Tzoulaki, I.; et al. Coffee and tea consumption and risk of prostate cancer in the European Prospective Investigation into Cancer and Nutrition. Int. J. Cancer 2019, 144, 240–250. [Google Scholar] [CrossRef] [PubMed]
- Mhaidat, N.M.; Alzoubi, K.H.; Al-Azzam, S.I.; Alsaad, A.A. Caffeine inhibits paclitaxel-induced apoptosis in colorectal cancer cells through the upregulation of Mcl-1 levels. Mol. Med. Rep. 2014, 9, 243–248. [Google Scholar] [CrossRef] [PubMed]
- Xu, H.; Wang, L.; Shi, B.; Hu, L.; Gan, C.; Wang, Y.; Xiang, Z.; Wang, X.; Sheng, J. Caffeine inhibits the anticancer activity of paclitaxel via down-regulation of α-tubulin acetylation. Biomed. Pharmacother. 2020, 129, 110441. [Google Scholar] [CrossRef] [PubMed]
- Saunders, D.E.; Lawrence, W.D.; Christensen, C.; Wappler, N.L.; Ruan, H.; Deppe, G. Paclitaxel-induced apoptosis in MCF-7 breast-cancer cells. Int. J. Cancer 1997, 70, 214–220. [Google Scholar] [CrossRef]
- Mizushima, N. Autophagy: Process and function. Genes. Dev. 2007, 21, 2861–2873. [Google Scholar] [CrossRef] [PubMed]
- Van Limbergen, J.; Stevens, C.; Nimmo, E.R.; Wilson, D.C.; Satsangi, J. Autophagy: From basic science to clinical application. Mucosal Immunol. 2009, 2, 315–330. [Google Scholar] [CrossRef]
- Udristioiu, A.; Nica-Badea, D. Autophagy dysfunctions associated with cancer cells and their therapeutic implications. Biomed. Pharmacother. 2019, 115, 108892. [Google Scholar] [CrossRef] [PubMed]
- Yang, Z.J.; Chee, C.E.; Huang, S.; Sinicrope, F.A. The role of autophagy in cancer: Therapeutic implications. Mol. Cancer Ther. 2011, 10, 1533–1541. [Google Scholar] [CrossRef] [PubMed]
- Kim, Y.C.; Guan, K.-L. mTOR: A pharmacologic target for autophagy regulation. J. Clin. Investig. 2015, 125, 25–32. [Google Scholar] [CrossRef] [PubMed]
- Rabanal-Ruiz, Y.; Otten, E.G.; Korolchuk, V.I. mTORC1 as the main gateway to autophagy. Essays Biochem. 2017, 61, 565–584. [Google Scholar] [CrossRef]
- Lin, Y.; Jiang, M.; Chen, W.; Zhao, T.; Wei, Y. Cancer and ER stress: Mutual crosstalk between autophagy, oxidative stress and inflammatory response. Biomed. Pharmacother. 2019, 118, 109249. [Google Scholar] [CrossRef] [PubMed]
- Rahman, M.A.; Ahmed, K.R.; Haque, F.; Park, M.N.; Kim, B. Recent Advances in Cellular Signaling Interplay between Redox Metabolism and Autophagy Modulation in Cancer: An Overview of Molecular Mechanisms and Therapeutic Interventions. Antioxidants 2023, 12, 428. [Google Scholar] [CrossRef] [PubMed]
- Sinha, R.A.; Farah, B.L.; Singh, B.K.; Siddique, M.M.; Li, Y.; Wu, Y.; Ilkayeva, O.R.; Gooding, J.; Ching, J.; Zhou, J.; et al. Caffeine stimulates hepatic lipid metabolism by the autophagy-lysosomal pathway in mice. Hepatology 2014, 59, 1366–1380. [Google Scholar] [CrossRef]
- Pietrocola, F.; Malik, S.A.; Mariño, G.; Vacchelli, E.; Senovilla, L.; Chaba, K.; Niso-Santano, M.; Maiuri, M.C.; Madeo, F.; Kroemer, G. Coffee induces autophagy in vivo. Cell Cycle 2014, 13, 1987–1994. [Google Scholar] [CrossRef] [PubMed]
- Li, Y.F.; Ouyang, S.H.; Tu, L.F.; Wang, X.; Yuan, W.L.; Wang, G.E.; Wu, Y.P.; Duan, W.J.; Yu, H.M.; Fang, Z.Z.; et al. Caffeine Protects Skin from Oxidative Stress-Induced Senescence through the Activation of Autophagy. Theranostics 2018, 8, 5713–5730. [Google Scholar] [CrossRef] [PubMed]
- Erzurumlu, Y.; Çataklı, D.; Doğan, H.K.; Aydoğdu, E. Caffeine May Improve the Chemotherapeutic Effect of Docetaxel by Inducing UPR and Autophagy in Breast Cancer Cells. FABAD J. Pharm. Sci. 2023, 48, 91–104. [Google Scholar] [CrossRef]
- Liu, H.; Song, J.; Zhou, Y.; Cao, L.; Gong, Y.; Wei, Y.; Yang, H.; Tang, L. Methylxanthine derivatives promote autophagy in gastric cancer cells targeting PTEN. Anticancer Drugs 2019, 30, 347–355. [Google Scholar] [CrossRef]
- Benvenuto, M.; Albonici, L.; Focaccetti, C.; Ciuffa, S.; Fazi, S.; Cifaldi, L.; Miele, M.T.; De Maio, F.; Tresoldi, I.; Manzari, V.; et al. Polyphenol-Mediated Autophagy in Cancer: Evidence of In Vitro and In Vivo Studies. Int. J. Mol. Sci. 2020, 21, 6635. [Google Scholar] [CrossRef]

Disclaimer/Publisher’s Note: The statements, opinions and data contained in all publications are solely those of the individual author(s) and contributor(s) and not of MDPI and/or the editor(s). MDPI and/or the editor(s) disclaim responsibility for any injury to people or property resulting from any ideas, methods, instructions or products referred to in the content. |
© 2024 by the authors. Licensee MDPI, Basel, Switzerland. This article is an open access article distributed under the terms and conditions of the Creative Commons Attribution (CC BY) license (https://creativecommons.org/licenses/by/4.0/).
Share and Cite
Aborziza, M.; Amalia, R.; Zuhrotun, A.; Ikram, N.K.K.; Novitasari, D.; Muchtaridi, M. Coffee Bean and Its Chemical Constituent Caffeine and Chlorogenic Acid as Promising Chemoprevention Agents: Updated Biological Studies against Cancer Cells. Molecules 2024, 29, 3302. https://doi.org/10.3390/molecules29143302
Aborziza M, Amalia R, Zuhrotun A, Ikram NKK, Novitasari D, Muchtaridi M. Coffee Bean and Its Chemical Constituent Caffeine and Chlorogenic Acid as Promising Chemoprevention Agents: Updated Biological Studies against Cancer Cells. Molecules. 2024; 29(14):3302. https://doi.org/10.3390/molecules29143302
Chicago/Turabian StyleAborziza, Mohamed, Riezki Amalia, Ade Zuhrotun, Nur Kusaira Khairul Ikram, Dhania Novitasari, and Muchtaridi Muchtaridi. 2024. "Coffee Bean and Its Chemical Constituent Caffeine and Chlorogenic Acid as Promising Chemoprevention Agents: Updated Biological Studies against Cancer Cells" Molecules 29, no. 14: 3302. https://doi.org/10.3390/molecules29143302
APA StyleAborziza, M., Amalia, R., Zuhrotun, A., Ikram, N. K. K., Novitasari, D., & Muchtaridi, M. (2024). Coffee Bean and Its Chemical Constituent Caffeine and Chlorogenic Acid as Promising Chemoprevention Agents: Updated Biological Studies against Cancer Cells. Molecules, 29(14), 3302. https://doi.org/10.3390/molecules29143302

