Pollutant Photodegradation Affected by Evaporative Water Concentration in a Climate Change Scenario
Abstract
1. Introduction
2. Results and Discussion
2.1. Water Loss by Evaporation in Model Lakes
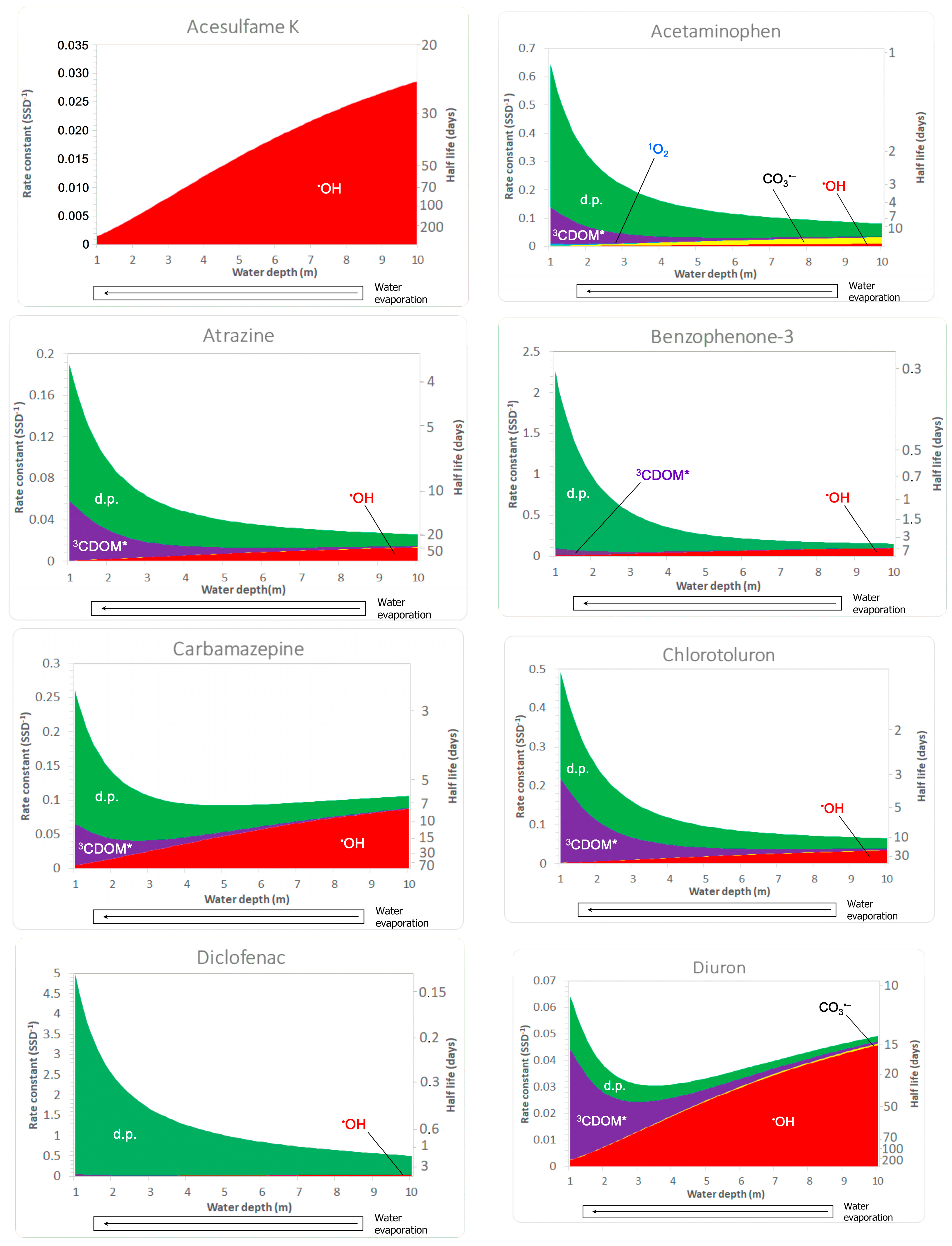
2.2. Changes in CEC Photodegradation during Evaporative Water Concentration
2.3. Possible Occurrence of Evaporative Concentration as a Consequence of Climate Change
3. Methods
3.1. APEX Software
3.2. The EdGCM Global Climate Model

4. Conclusions
Author Contributions
Funding
Institutional Review Board Statement
Informed Consent Statement
Data Availability Statement
Conflicts of Interest
References
- Richardson, S.D.; Ternes, T.A. Water analysis: Emerging contaminants and current issues. Anal. Chem. 2022, 94, 382–416. [Google Scholar] [CrossRef] [PubMed]
- Riva, F.; Zuccato, E.; Pacciani, C.; Colombo, A.; Castiglioni, S. A multi-residue analytical method for extraction and analysis of pharmaceuticals and other selected emerging contaminants in sewage sludge. Anal. Methods 2021, 13, 526–535. [Google Scholar] [CrossRef] [PubMed]
- Sanchez, W.; Egea, E. Health and environmental risks associated with emerging pollutants and novel green processes. Environ. Sci. Pollut. Res. Int. 2018, 25, 6085–6086. [Google Scholar] [CrossRef] [PubMed]
- Turner, S.W.D.; Rice, J.S.; Nelson, K.D.; Vernon, C.R.; McManamay, R.; Dickson, K.; Marston, L. Comparison of potential drinking water source contamination across one hundred U.S. cities. Nat. Commun. 2021, 12, 7254. [Google Scholar] [CrossRef] [PubMed]
- Lau, S.S.; Bokenkamp, K.; Tecza, A.; Wagner, E.D.; Plewa, M.J.; Mitch, W.A. Toxicological assessment of potable reuse and conventional drinking waters. Nat. Sustain. 2023, 6, 39–46. [Google Scholar] [CrossRef]
- Rožman, M.; Acuña, V.; Petrović, M. Effects of chronic pollution and water flow intermittency on stream biofilms biodegradation capacity. Environ. Pollut. 2018, 233, 1131–1137. [Google Scholar] [CrossRef]
- Desiante, W.L.; Minas, N.S.; Fenner, K. Micropollutant biotransformation and bioaccumulation in natural stream biofilms. Water Res. 2021, 193, 116846. [Google Scholar] [CrossRef]
- Guo, Z.; Kodikara, D.; Albi, L.S.; Hatano, Y.; Chen, G.; Yoshimura, C.; Wang, J. Photodegradation of organic micropollutants in aquatic environment: Importance, factors and processes. Water Res. 2023, 231, 118236. [Google Scholar] [CrossRef]
- Guo, Z.; Wang, T.; Chen, G.; Wang, J.; Fujii, M.; Yoshimura, C. Apparent quantum yield for photo-production of singlet oxygen in reservoirs and its relation to the water matrix. Water Res. 2023, 244, 120456. [Google Scholar] [CrossRef]
- Albi, L.S.; Guo, Z.; Chen, G.; Yoshimura, C. Potential effect of atmospheric condition on incident light and photo-production of reactive intermediates in freshwater systems. Environ. Adv. 2023, 11, 100346. [Google Scholar] [CrossRef]
- Vione, D.; Scozzaro, A. Photochemistry of surface fresh waters in the framework of climate change. Environ. Sci. Technol. 2019, 53, 7945–7963. [Google Scholar] [CrossRef] [PubMed]
- Parker, K.M.; Mitch, W.A. Halogen radicals contribute to photooxidation in coastal and estuarine waters. Proc. Natl. Acad. Sci. USA 2016, 113, 5868–5873. [Google Scholar] [CrossRef] [PubMed]
- Mc Neill, K.; Canonica, S. Triplet state dissolved organic matter in aquatic photochemistry: Reaction mechanisms, substrate scope, and photophysical properties. Environ. Sci. Processes Impacts 2016, 18, 1381–1399. [Google Scholar] [CrossRef] [PubMed]
- Yan, S.; Liu, Y.; Lian, L.; Li, R.; Ma, J.; Zhou, H.; Song, W. Photochemical formation of carbonate radical and its reaction with dissolved organic matters. Water Res. 2019, 161, 288–296. [Google Scholar] [CrossRef] [PubMed]
- Ossola, R.; Jönsson, O.M.; Moor, K.; McNeill, K. Singlet oxygen quantum yields in environmental waters. Chem. Rev. 2021, 121, 4100–4146. [Google Scholar] [CrossRef] [PubMed]
- Vione, D.; Saglia, F.; Pelazza, C. Possible effects of changes in carbonate concentration and river flow rate on photochemical reactions in temperate aquatic environments. Molecules 2023, 28, 7072. [Google Scholar] [CrossRef] [PubMed]
- Calapez, A.R.; Elias, C.L.; Almeida, S.F.P.; Brito, A.G.; Feio, M.J. Sewage contamination under water scarcity effects on stream biota: Biofilm, grazers, and their interaction. Environ. Sci. Pollut. Res. Int. 2019, 26, 26636–26645. [Google Scholar] [CrossRef] [PubMed]
- Chun, X.; Su, R.; Liu, J.; Liang, W.; Yong, M.; Ulambadrakh, K. Climatic implications on variations of Qehan Lake in the arid regions of Inner Mongolia during the recent five decades. Environ. Monit. Assess. 2017, 189, 14. [Google Scholar] [CrossRef] [PubMed]
- Boros, E.; Kolpakova, M. A review of the defining chemical properties of soda lakes and pans: An assessment on a large geographic scale of Eurasian inland saline surface waters. PLoS ONE 2018, 13, e0202205. [Google Scholar] [CrossRef]
- Carena, L.; Terrenzio, D.; Mosley, L.M.; Toldo, M.; Minella, M.; Vione, D. Photochemical consequences of prolonged hydrological drought: A model assessment of the Lower Lakes of the Murray-Darling Basin (Southern Australia). Chemosphere 2019, 236, 124356. [Google Scholar] [CrossRef]
- Leira, M.; Cantonati, M. Effects of water-level fluctuations on lakes: An annotated bibliography. Hydrobiologia 2008, 613, 171–184. [Google Scholar] [CrossRef]
- Bracchini, L.; Dattilo, A.M.; Hull, V.; Loiselle, S.A.; Martini, S.; Rossi, C.; Santinelli, C.; Seritti, A. The bio-optical properties of CDOM as descriptor of lake stratification. J. Photochem. Photobiol. B 2006, 85, 145–149. [Google Scholar] [CrossRef] [PubMed]
- Andersen, M.R.; Kragh, T.; Sand-Jensen, K. Extreme diel dissolved oxygen and carbon cycles in shallow vegetated lakes. Proc. Biol. Sci. 2017, 284, 20171427. [Google Scholar] [CrossRef] [PubMed]
- Vione, D. A test of the potentialities of the APEX software (Aqueous Photochemistry of Environmentally occurring Xenobiotics). Modelling the photochemical persistence of the herbicide cycloxydim in surface waters, based on literature kinetic data. Chemosphere 2014, 99, 272–275. [Google Scholar] [CrossRef] [PubMed]
- Lastre-Acosta, A.M.; Barberato, B.; Parizi, M.P.S.; Teixeira, A.C.S.C. Direct and indirect photolysis of the antibiotic enoxacin: Kinetics of oxidation by reactive photo-induced species and simulations. Environ. Sci. Pollut. Res. 2019, 26, 4337–4347. [Google Scholar] [CrossRef] [PubMed]
- Vione, D. A critical view of the application of the APEX software (Aqueous Photochemistry of Environmentally-occurring Xenobiotics) to predict photoreaction kinetics in surface freshwaters. Molecules 2020, 25, 9. [Google Scholar] [CrossRef] [PubMed]
- Oren, A. Halophilic microbial communities and their environments. Curr. Opin. Biotechnol. 2015, 33, 119–124. [Google Scholar] [CrossRef] [PubMed]
- Nakatani, N.; Hashimoto, N.; Shindo, H.; Yamamoto, M.; Kikkawa, M.; Sakugawa, H. Determination of photoformation rates and scavenging rate constants of hydroxyl radicals in natural waters using an automatic light irradiation and injection system. Anal. Chim. Acta 2007, 581, 260–267. [Google Scholar] [CrossRef] [PubMed]
- Wang, A.; Hu, C.; Qu, J.; Yang, M.; Liu, H.; Ru, J.; Qi, R.; Sun, J. Phototransformation of nitrobenzene in the Songhua River: Kinetics and photoproduct analysis. J. Environ. Sci. 2008, 20, 787–795. [Google Scholar] [CrossRef]
- Bonnemoy, F.; Lavédrine, B.; Boulkamh, A. Influence of UV irradiation on the toxicity of phenylurea herbicides using Microtox test. Chemosphere 2004, 54, 1183–1187. [Google Scholar] [CrossRef]
- Amine-Khodja, A.; Boulkamh, A.; Boule, P. Photochemical behaviour of phenylurea herbicides. Photochem. Photobiol. Sci. 2004, 3, 145–156. [Google Scholar] [CrossRef]
- Rashki, A.; Kaskaoutis, D.G.; Goudie, A.S.; Kahn, R.A. Dryness of ephemeral lakes and consequences for dust activity: The case of the Hamoun drainage basin, southeastern Iran. Sci. Total Environ. 2013, 463–464, 552–564. [Google Scholar] [CrossRef]
- DeNicola, E.; Aburizaiza, O.S.; Siddique, A.; Khwaja, H.; Carpenter, D.O. Climate change and water scarcity: The case of Saudi Arabia. Ann. Glob. Health 2015, 81, 342–353. [Google Scholar] [CrossRef]
- Schewe, J.; Heinke, J.; Gerten, D.; Haddeland, I.; Arnell, N.W.; Clark, D.B.; Dankers, R.; Eisner, S.; Fekete, B.M.; Colón-González, F.J.; et al. Multimodel assessment of water scarcity under climate change. Proc. Natl. Acad. Sci. USA 2014, 111, 3245–3250. [Google Scholar] [CrossRef] [PubMed]
- Chandler, M.A.; Sohl, L.E.; Zhou, J.; Sieber, R. EdGCM: Research Tools for Training the Climate Change Generation. In AGU Fall Meeting Abstracts; American Geophysical Union: Washington, DC, USA, 2011; p. ED14B-03. [Google Scholar]
- Allan, R.P.; Barlow, M.; Byrne, M.P.; Cherchi, A.; Douville, H.; Fowler, H.J.; Gan, T.Y.; Pendergrass, A.G.; Rosenfeld, D.; Swann, A.L.S.; et al. Advances in understanding large-scale responses of the water cycle to climate change. Ann. N. Y. Acad. Sci. 2020, 1472, 49–75. [Google Scholar] [CrossRef]
- Dore, M.H. Climate change and changes in global precipitation patterns: What do we know? Environ. Int. 2005, 31, 1167–1181. [Google Scholar] [CrossRef]
- Ali, S.; Ghosh, N.C.; Singh, R. Evaluating best evaporation estimate model for water surface evaporation in semi-arid region, India. Hydrol. Process. 2008, 22, 1093–1106. [Google Scholar] [CrossRef]
- Chen, Y.; Li, Z.; Fan, Y.; Wang, H.; Deng, H. Progress and prospects of climate change impacts on hydrology in the arid region of northwest China. Environ. Res. 2015, 139, 11–19. [Google Scholar] [CrossRef] [PubMed]
- Fuhr, H. The rise of the Global South and the rise in carbon emissions. Third World Q. 2021, 42, 2724–2746. [Google Scholar] [CrossRef]
- Froitzheim, N.; Majka, J.; Zastrozhnov, D. Methane release from carbonate rock formations in the Siberian permafrost area during and after the 2020 heat wave. Proc. Natl. Acad. Sci. USA 2021, 118, e2107632118. [Google Scholar] [CrossRef]
- Kohnert, K.; Serafimovich, A.; Metzger, S.; Hartmann, J.; Sachs, T. Strong geologic methane emissions from discontinuous terrestrial permafrost in the Mackenzie Delta, Canada. Sci. Rep. 2017, 7, 5828. [Google Scholar] [CrossRef] [PubMed]
- Shan, W.; Xu, Z.; Guo, Y.; Zhang, C.; Hu, Z.; Wang, Y. Geological methane emissions and wildfire risk in the degraded permafrost area of the Xiao Xing’an Mountains, China. Sci. Rep. 2020, 10, 21297. [Google Scholar] [CrossRef] [PubMed]
- Ninu Krishnan, M.V.; Prasanna, M.V.; Vijith, H. Trend characteristics of rainy days and evaporation at a tropical rainforest region in East Malaysia, Borneo. Earth Sci. Res. J. 2020, 24, 305–315. [Google Scholar]
- Climate Change: Atmospheric Carbon Dioxide. Available online: https://www.climate.gov/news-features/understanding-climate/climate-change-atmospheric-carbon-dioxide (accessed on 19 April 2024).






| Compound | Φd.p. (mol E−1) | Reaction Rate Constants (M−1 s−1) | |||
|---|---|---|---|---|---|
| k°OH | kCO₃°‾ | k1O2 | k3CDOM* | ||
| Acesulfame K | Negligible | 5.9 × 109 | Negligible | 2.8 × 104 | Negligible |
| Acetaminophen 1 | 4.6 × 10−2 | 1.9 × 109 | 3.8 × 108 | 3.7 × 107 | 1.6 × 109 |
| Atrazine | 1.6 × 10−2 | 2.7 × 109 | 4 × 106 | Negligible | 7.15 × 108 |
| Benzophenone-3 | 3.1 × 10−5 | 2.0 × 1010 | Negligible | 2.0 × 105 | 1.1 × 109 |
| Carbamazepine | 7.8 × 10−4 | 1.8 × 1010 | Negligible | 1.9 × 105 | 7.5 × 108 |
| Chlortoluron | 3 × 10−2 | 6.9 × 109 | 1.7 × 107 | Negligible | 2.7 × 109 |
| Diclofenac | 9.4 × 10−2 | 9.3 × 109 | Negligible | 1.3 × 107 | 6.4 × 108 |
| Diuron | 1.25 × 10−2 | 9.45 × 109 | 8.3 × 106 | Negligible | 5.2 × 108 |
| Fenuron | 6 × 10−3 | 7 × 109 | 6.0 × 106 | Negligible | 2.0 × 109 |
| Glutathione | Negligible | 3.5 × 109 | 5.3 × 106 | 2.4 × 106 | 6.7 × 108 |
| Ibuprofen | 0.33 | 1.0 × 1010 | Negligible | 6.0 × 104 | 4.5 × 107 |
| Nitrobenzene | 5.7 × 10−3 | 3.9 × 109 | Negligible | Negligible | 1.1 × 108 |
| Propanil | 0.16 | 7.0 × 109 | 1.4 × 107 | 7.1 × 104 | 1 × 107 |
| Sertraline | 0.95 | 2 × 1010 | 2 × 108 | 1.3 × 106 | 7 × 109 |
| Compound | Effect of Water Evaporation on Photodegradation Rates |
|---|---|
| Acesulfame K | Decrease |
| Acetaminophen | Increase |
| Atrazine | Increase |
| Benzophenone-3 | Increase |
| Carbamazepine | Increase if water depth reduces to less than one third |
| Chlortoluron | Increase |
| Diclofenac | Increase |
| Diuron | Little change |
| Fenuron | Increase if water depth reduces to less than one half |
| Glutathione | Increase if water depth reduces to less than one half |
| Ibuprofen | Increase |
| Nitrobenzene | Increase |
| Propanil | Mainly decrease |
| Sertraline | Increase |
Disclaimer/Publisher’s Note: The statements, opinions and data contained in all publications are solely those of the individual author(s) and contributor(s) and not of MDPI and/or the editor(s). MDPI and/or the editor(s) disclaim responsibility for any injury to people or property resulting from any ideas, methods, instructions or products referred to in the content. |
© 2024 by the authors. Licensee MDPI, Basel, Switzerland. This article is an open access article distributed under the terms and conditions of the Creative Commons Attribution (CC BY) license (https://creativecommons.org/licenses/by/4.0/).
Share and Cite
Rosso, A.; Vione, D. Pollutant Photodegradation Affected by Evaporative Water Concentration in a Climate Change Scenario. Molecules 2024, 29, 2655. https://doi.org/10.3390/molecules29112655
Rosso A, Vione D. Pollutant Photodegradation Affected by Evaporative Water Concentration in a Climate Change Scenario. Molecules. 2024; 29(11):2655. https://doi.org/10.3390/molecules29112655
Chicago/Turabian StyleRosso, Arianna, and Davide Vione. 2024. "Pollutant Photodegradation Affected by Evaporative Water Concentration in a Climate Change Scenario" Molecules 29, no. 11: 2655. https://doi.org/10.3390/molecules29112655
APA StyleRosso, A., & Vione, D. (2024). Pollutant Photodegradation Affected by Evaporative Water Concentration in a Climate Change Scenario. Molecules, 29(11), 2655. https://doi.org/10.3390/molecules29112655

