Discovery of Ureido-Substituted 4-Phenylthiazole Derivatives as IGF1R Inhibitors with Potent Antiproliferative Properties
Abstract
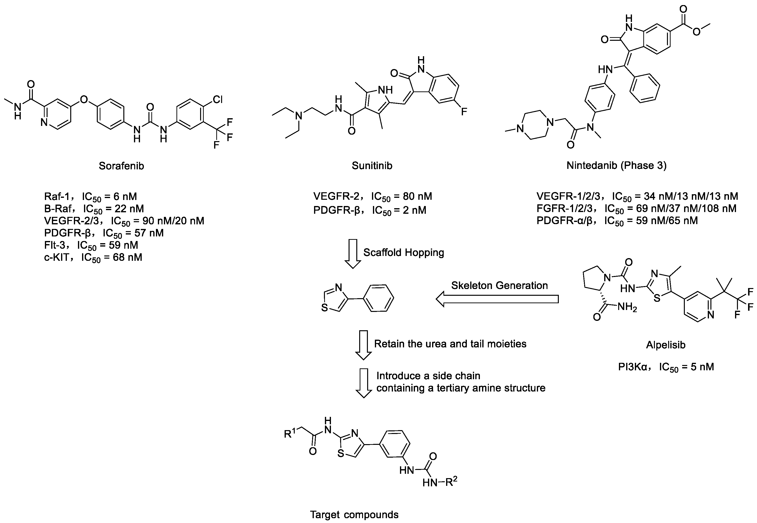
1. Introduction
2. Results and Discussion
2.1. Chemistry
2.2. Biological Evaluation
2.2.1. Preliminary Antiproliferative Activity
2.2.2. Compound 27 Inhibited the Growth of HepG2 Cells
2.2.3. Compound 27 Inhibited the Migration of HepG2 Cell
2.2.4. Compound 27 Inhibits Colony Formation in HepG2 Cells
2.2.5. Cell Cycle Analysis
2.2.6. Apoptosis Analysis
2.2.7. Protein Kinase Inhibition Activity
2.3. Molecular Docking Study
3. Materials and Methods
3.1. Chemistry
3.1.1. Synthesis of 4-(3-Nitrophenyl)thiazol-2-amine (1)
3.1.2. Synthesis of 2-Chloro-N-(4-(3-nitrophenyl)thiazol-2-yl)acetamide (2)
3.1.3. Synthesis of Compounds 3
3.1.4. Synthesis of Compounds 4
3.1.5. Synthesis of Compounds 5~30
3.2. Biology
3.2.1. In Vitro Cytotoxic Activity
3.2.2. Colony-Forming Assay
3.2.3. Scratch Migration Assay
3.2.4. Cell Cycle Experiment
3.2.5. Apoptosis Experiment
3.2.6. Kinase Assay
3.3. Molecular Docking
4. Conclusions
Supplementary Materials
Author Contributions
Funding
Institutional Review Board Statement
Informed Consent Statement
Data Availability Statement
Acknowledgments
Conflicts of Interest
References
- Tang, W.; Chen, Z.; Zhang, W.; Cheng, Y.; Zhang, B.; Wu, F.; Wang, Q.; Wang, S.; Rong, D.; Reiter, F.P.; et al. The mechanisms of sorafenib resistance in hepatocellular carcinoma: Theoretical basis and therapeutic aspects. Signal Transduct. Target. Ther. 2020, 5, 87. [Google Scholar] [CrossRef]
- Ruanglertboon, W.; Sorich, M.J.; Rowland, A.; Hopkins, A.M. Effect of early adverse events resulting in sorafenib dose adjustments on survival outcomes of advanced hepatocellular carcinoma patients. Int. J. Clin. Oncol. 2020, 25, 1672–1677. [Google Scholar] [CrossRef] [PubMed]
- Regmi, P.; Hu, H.-J.; Lv, T.-R.; Paudyal, A.; Sah, R.B.; Ma, W.-J.; Jin, Y.-W.; Li, F.-Y. Efficacy and safety of sorafenib plus hepatic arterial infusion chemotherapy for advanced hepatocellular carcinoma. Surg. Oncol. 2021, 39, 101663. [Google Scholar] [CrossRef] [PubMed]
- Nguyen, D.T.; Nguyen, D.H.; Nguyen, V.T.H. Sorafenib as first-line treatment for patients with primary hepatocellular carcinoma: An outcome evaluation. J. Int. Med Res. 2023, 51, 03000605231179928. [Google Scholar] [CrossRef]
- Llovet, J.M.; Ricci, S.; Mazzaferro, V.; Hilgard, P.; Gane, E.; Blanc, J.-F.; De Oliveira, A.C.; Santoro, A.; Raoul, J.-L.; Forner, A.; et al. Sorafenib in advanced hepatocellular carcinoma. N. Engl. J. Med. 2008, 359, 378–390. [Google Scholar] [CrossRef]
- Cheng, A.-L.; Kang, Y.-K.; Chen, Z.; Tsao, C.-J.; Qin, S.; Kim, J.S.; Luo, R.; Feng, J.; Ye, S.; Yang, T.-S.; et al. Efficacy and safety of sorafenib in patients in the Asia-Pacific region with advanced hepatocellular carcinoma: A phase III randomised, double-blind, placebo-controlled trial. Lancet Oncol. 2009, 10, 25–34. [Google Scholar] [CrossRef] [PubMed]
- Yang, C.; Zhang, H.; Zhang, L.; Zhu, A.X.; Bernards, R.; Qin, W.; Wang, C. Evolving therapeutic landscape of advanced hepatocellular carcinoma. Nat. Rev. Gastroenterol. Hepatol. 2023, 20, 203–222. [Google Scholar] [CrossRef]
- Abdelgawad, M.A.; El-Adl, K.; El-Hddad, S.S.A.; Elhady, M.M.; Saleh, N.M.; Khalifa, M.M.; Khedr, F.; Alswah, M.; Nayl, A.A.; Ghoneim, M.M.; et al. Design, molecular docking, synthesis, anticancer and anti-hyperglycemic assessments of thiazolidine-2,4-diones bearing sulfonylthiourea moieties as potent VEGFR-2 inhibitors and PPARγ agonists. Pharmaceuticals 2022, 15, 226. [Google Scholar] [CrossRef]
- Vijayan, R.S.K.; He, P.; Modi, V.; Duong-Ly, K.C.; Ma, H.; Peterson, J.R.; Dunbrack, R.L.; Levy, R.M. Conformational analysis of the DFG-out kinase motif and biochemical profiling of structurally validated type II inhibitors. J. Med. Chem. 2015, 58, 466–479. [Google Scholar] [CrossRef]
- Liu, Y.; Gray, N.S. Rational design of inhibitors that bind to inactive kinase conformations. Nat. Chem. Biol. 2006, 2, 358–364. [Google Scholar] [CrossRef]
- Fogli, S.; Porta, C.; Del Re, M.; Crucitta, S.; Gianfilippo, G.; Danesi, R.; Rini, B.I.; Schmidinger, M.O. ptimizing treatment of renal cell carcinoma with VEGFR-TKIs: A comparison of clinical pharmacology and drug-drug interactions of anti-angiogenic drugs. Cancer Treat Rev. 2020, 84, 101966. [Google Scholar] [CrossRef] [PubMed]
- Munni, Y.A.; Ali, C.; Selsi, N.J.; Sultana, M.; Hossen; Bipasha, T.H.; Rahman, M.; Uddin, N.; Hosen, S.Z.; Dash, R. Molecular simulation studies to reveal the binding mechanisms of shikonin derivatives inhibiting VEGFR-2 kinase. Comput. Biol. Chem. 2021, 90, 107414. [Google Scholar] [CrossRef] [PubMed]
- Lv, Y.; Wang, Y.; Zheng, X.; Liang, G. Reveal the interaction mechanism of five old drugs targeting VEGFR2 through computational simulations. J. Mol. Graph. Model. 2020, 96, 107538. [Google Scholar] [CrossRef] [PubMed]
- Blanc, J.; Geney, R.; Menet, C. Type II kinase inhibitors: An opportunity in cancer for rational design. Anti-Cancer Agents Med. Chem. 2013, 13, 731–747. [Google Scholar] [CrossRef] [PubMed]
- André, F.; Ciruelos, E.; Rubovszky, G.; Campone, M.; Loibl, S.; Rugo, H.S.; Iwata, H.; Conte, P.; Mayer, I.A.; Kaufman, B.; et al. Alpelisib for PIK3CA-mutated, hormone receptor–positive advanced breast cancer. N. Engl. J. Med. 2019, 380, 1929–1940. [Google Scholar] [CrossRef] [PubMed]
- Aziz, M.A.; Serya, R.A.T.; Lasheen, D.S.; Abdel-Aziz, A.K.; Esmat, A.; Mansour, A.M.; Singab, A.N.B.; Abouzid, K.A.M. Discovery of Potent VEGFR-2 inhibitors based on furopyrimidine and thienopyrimidne scaffolds as cancer targeting agents. Sci. Rep. 2016, 6, 24460. [Google Scholar] [CrossRef] [PubMed]
- Garofalo, A.; Goossens, L.; Six, P.; Lemoine, A.; Ravez, S.; Farce, A.; Depreux, P. Impact of aryloxy-linked quinazolines: A novel series of selective VEGFR-2 receptor tyrosine kinase inhibitors. Bioorganic Med. Chem. Lett. 2011, 21, 2106–2112. [Google Scholar] [CrossRef] [PubMed]
- Zhang, Z.-H.; Wu, H.-M.; Deng, S.-N.; Cai, X.-Y.; Yao, Y.; Mwenda, M.C.; Wang, J.-Y.; Cai, D.; Chen, Y. Design, synthesis, and anticancer activities of novel 2-amino-4-phenylthiazole scaffold containing amide moieties. J. Chem. 2018, 2018, 4301910. [Google Scholar] [CrossRef]
- Lyseng-Williamson, K.; Jarvis, B. Imatinib. Drugs 2001, 61, 1765–1774. [Google Scholar] [CrossRef] [PubMed]
- Muller, B. Imatinib and its successors—How modern chemistry has changed drug development. Curr. Pharm. Des. 2009, 15, 120–133. [Google Scholar] [CrossRef]
- Wang, C.; Dong, J.; Zhang, Y.; Wang, F.; Gao, H.; Li, P.; Wang, S.; Zhang, J. Design, synthesis and biological evaluation of biphenyl urea derivatives as novel VEGFR-2 inhibitors. MedChemComm 2013, 4, 1434–1438. [Google Scholar] [CrossRef]
- Zhang, Z.-H.; Zeng, B.-F.; Song, Z.-X.; Yang, Y.-Y.; Zhang, K.-Y.; Du, X.; Zhang, L.-L.; Cai, D. Synthesis and biological evaluation of new thiazolyl-urea derivatives as potential dual C-RAF/FLT3 inhibitors. Med. Chem. Res. 2022, 31, 1862–1874. [Google Scholar] [CrossRef]
- Zhang, Z.; Chen, Y.; Wu, H.; Cui, B.; Xiong, W.; Lin, T.; Lin, R.; Yu, G. Design, Synthesis, and Biological Evaluation of Novel 2-Amino-4-phenylthiazole Derivatives as c-Met Inhibitors. Chin. J. Org. Chem. 2018, 38, 2648. [Google Scholar] [CrossRef]
- Zhang, Z.; Chen, Y.; Chai, B.; Yang, X.; Cai, X.; Cui, B.; You, S. Synthesis, anticancer and antibacterial activities of novel 2-Amino-4-phenylthiazole derivatives containing amide moiety. Chin. J. Org. Chem. 2017, 37, 2377. [Google Scholar] [CrossRef]
- Degorce, S.L.; Boyd, S.; Curwen, J.O.; Ducray, R.; Halsall, C.T.; Jones, C.D.; Lach, F.; Lenz, E.M.; Pass, M.; Pass, S.; et al. Discovery of a Potent, selective, orally bioavailable, and efficacious novel 2-(pyrazol-4-ylamino)-pyrimidine inhibitor of the insulin-like growth factor-1 receptor (IGF-1R). J. Med. Chem. 2016, 59, 4859–4866. [Google Scholar] [CrossRef]










| Compound | HuH-7 | HepG2 | ||
|---|---|---|---|---|
| 1 μM | 5 μM | 1 μM | 5 μM | |
| 5 | 25.38 | 64.17 | 43.43 | 69.48 |
| 6 | 50.38 | 63.72 | 58.06 | 71.66 |
| 7 | 29.30 | 74.46 | 39.74 | 74.99 |
| 8 | 26.22 | 61.54 | 39.59 | 69.42 |
| 9 | 35.88 | 70.02 | 34.71 | 70.79 |
| 10 | 62.24 | 62.24 | 53.24 | 71.43 |
| 11 | 74.68 | 73.75 | 70.23 | 72.28 |
| 12 | 75.10 | 75.49 | 75.25 | 74.38 |
| 13 | 73.42 | 74.03 | 72.06 | 71.89 |
| 14 | 74.03 | 75.33 | 71.43 | 70.68 |
| 15 | 24.83 | 74.20 | 76.47 | 76.60 |
| 16 | 48.34 | 73.38 | 70.05 | 70.68 |
| 17 | 32.88 | 69.88 | 42.80 | 69.91 |
| 18 | 42.40 | 80.07 | 38.13 | 74.47 |
| 19 | 10.52 | 67.52 | 11.78 | 73.56 |
| 20 | 61.94 | 62.24 | 50.42 | 77.30 |
| 21 | 61.92 | 62.31 | 72.69 | 71.37 |
| 22 | 35.60 | 69.18 | 42.26 | 70.40 |
| 23 | 38.22 | 70.21 | 38.93 | 70.00 |
| 24 | 42.70 | 59.22 | 31.94 | 70.57 |
| 25 | 40.37 | 80.80 | 39.26 | 74.47 |
| 26 | 24.59 | 71.62 | 34.91 | 71.96 |
| 27 | 39.53 | 70.84 | 39.47 | 71.13 |
| 28 | 39.25 | 70.63 | 41.13 | 70.25 |
| 29 | 30.82 | 68.65 | 37.65 | 70.89 |
| 30 | 36.51 | 74.68 | 36.35 | 72.78 |
| Sorafenib | 21.28 | 78.48 | 31.45 | 71.01 |
| Compound | HepG2 | QGY7703 | SMMC-7721 | Huh-7 | PLC | MCF7 |
|---|---|---|---|---|---|---|
| 13 | 1.41 ± 0.43 | 3.44 ± 0.37 | 1.91 ± 0.22 | 1.68 ± 0.37 | 2.05 ± 0.26 | 2.32 ± 0.78 |
| 20 | 1.68 ± 0.48 | 1.73 ± 0.58 | 2.81 ± 0.49 | 1.37 ± 0.29 | 2.31 ± 0.38 | 0.98 ± 0.70 |
| 21 | 1.73 ± 0.70 | 1.01 ± 0.16 | 1.20 ± 0.07 | 1.78 ± 1.04 | 2.24 ± 0.77 | 1.54 ± 0.13 |
| 25 | 1.56 ± 0.55 | 2.39 ± 0.42 | 0.90 ± 0.32 | 1.96 ± 0.83 | 2.04 ± 0.69 | 1.88 ± 0.50 |
| 27 | 0.62 ± 0.34 | 1.54 ± 0.49 | 1.44 ± 0.23 | 1.52 ± 0.57 | 2.05 ± 0.16 | 2.17 ± 0.27 |
| 28 | 1.62 ± 0.76 | 2.58 ± 0.34 | 2.35 ± 0.77 | 2.45 ± 0.35 | 3.55 ± 0.54 | 2.32 ± 0.22 |
| Sorafenib | 1.62 ± 0.27 | 1.08 ± 0.21 | 1.31 ± 0.12 | 1.56 ± 0.22 | 1.01 ± 0.30 | 0.47 ± 0.12 |
| Protein | % Inhibition at 10 μM | ||
|---|---|---|---|
| n = 1 | n = 2 | Average | |
| VEGFR1 | 10.23 | 13.50 | 11.86 |
| VEGFR2 | −7.34 | 6.75 | −0.30 |
| VEGFR3 | −1.73 | −7.59 | −4.66 |
| c-KIT | −27.23 | −16.31 | −21.77 |
| B-Raf | −1.72 | −0.81 | −1.27 |
| FLT3 | −9.89 | −18.78 | −14.34 |
| Raf-1 | 6.84 | 5.43 | 6.14 |
| PDGFRα | −9.22 | −7.77 | −8.50 |
| PDGFRβ | 15.95 | 7.49 | 11.72 |
| IGF1R | 79.52 | 74.16 | 76.84 |
| EGFR | 26.52 | 22.20 | 24.36 |
Disclaimer/Publisher’s Note: The statements, opinions and data contained in all publications are solely those of the individual author(s) and contributor(s) and not of MDPI and/or the editor(s). MDPI and/or the editor(s) disclaim responsibility for any injury to people or property resulting from any ideas, methods, instructions or products referred to in the content. |
© 2024 by the authors. Licensee MDPI, Basel, Switzerland. This article is an open access article distributed under the terms and conditions of the Creative Commons Attribution (CC BY) license (https://creativecommons.org/licenses/by/4.0/).
Share and Cite
Tian, Y.; An, N.; Li, W.; Tang, S.; Li, J.; Wang, H.; Su, R.; Cai, D. Discovery of Ureido-Substituted 4-Phenylthiazole Derivatives as IGF1R Inhibitors with Potent Antiproliferative Properties. Molecules 2024, 29, 2653. https://doi.org/10.3390/molecules29112653
Tian Y, An N, Li W, Tang S, Li J, Wang H, Su R, Cai D. Discovery of Ureido-Substituted 4-Phenylthiazole Derivatives as IGF1R Inhibitors with Potent Antiproliferative Properties. Molecules. 2024; 29(11):2653. https://doi.org/10.3390/molecules29112653
Chicago/Turabian StyleTian, Yuan, Ni An, Wenru Li, Shixin Tang, Jiqi Li, He Wang, Rongjian Su, and Dong Cai. 2024. "Discovery of Ureido-Substituted 4-Phenylthiazole Derivatives as IGF1R Inhibitors with Potent Antiproliferative Properties" Molecules 29, no. 11: 2653. https://doi.org/10.3390/molecules29112653
APA StyleTian, Y., An, N., Li, W., Tang, S., Li, J., Wang, H., Su, R., & Cai, D. (2024). Discovery of Ureido-Substituted 4-Phenylthiazole Derivatives as IGF1R Inhibitors with Potent Antiproliferative Properties. Molecules, 29(11), 2653. https://doi.org/10.3390/molecules29112653
