Catalytic Strategies for the Cycloaddition of CO2 to Epoxides in Aqueous Media to Enhance the Activity and Recyclability of Molecular Organocatalysts
Abstract
1. Introduction
2. Results
2.1. Water or No Water?
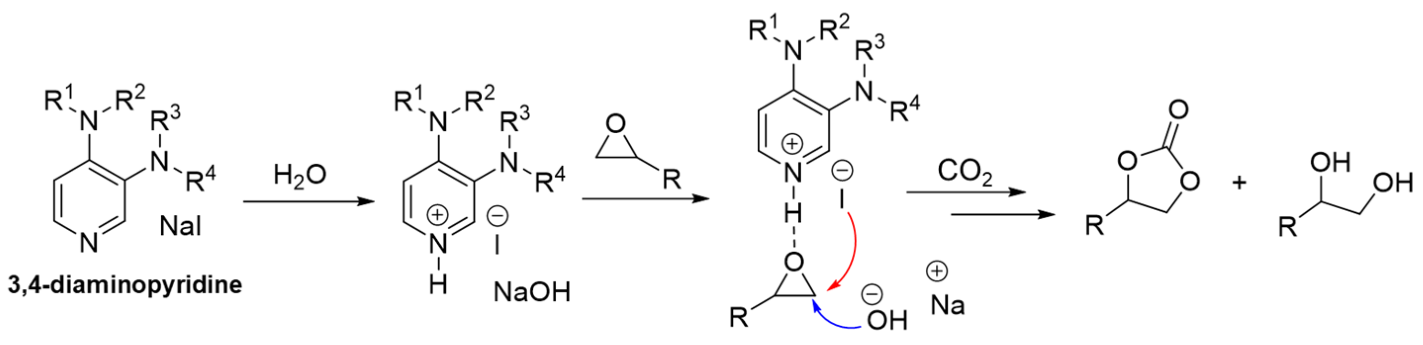
2.2. Catalytic Effect of Sub-Stoichiometric Amounts of Water
2.3. Cycloaddition of CO2 to Epoxides in Aqueous Biphasic Systems
3. Outlook and Conclusions
Funding
Data Availability Statement
Conflicts of Interest
References
- Artz, J.; Müller, T.E.; Thenert, K.; Kleinekorte, J.; Meys, R.; Sternberg, A.; Bardow, A.; Leitner, W. Sustainable Conversion of Carbon Dioxide: An Integrated Review of Catalysis and Life Cycle Assessment. Chem. Rev. 2017, 118, 434–504. [Google Scholar] [CrossRef] [PubMed]
- Dabral, S.; Schaub, T. The Use of Carbon Dioxide (CO2) as a Building Block in Organic Synthesis from an Industrial Perspective. Adv. Synth. Catal. 2019, 361, 223–246. [Google Scholar] [CrossRef]
- Song, Q.-W.; Ma, R.; Liu, P.; Zhang, K.; He, L.-N. Recent progress in CO2 conversion into organic chemicals by molecular catalysis. Green Chem. 2023, 25, 6538–6560. [Google Scholar] [CrossRef]
- Qiu, L.-Q.; Li, H.-R.; He, L.-N. Incorporating Catalytic Units into Nanomaterials: Rational Design of Multipurpose Catalysts for CO2 Valorization. Acc. Chem. Res. 2023, 56, 2225–2240. [Google Scholar] [CrossRef] [PubMed]
- Della Monica, F.; Kleij, A.W. Mechanistic guidelines in nonreductive conversion of CO2: The case of cyclic carbonates. Catal. Sci. Technol. 2020, 10, 3483–3501. [Google Scholar] [CrossRef]
- Kamphuis, A.J.; Picchioni, F.; Pescarmona, P.P. CO2-fixation into cyclic and polymeric carbonates: Principles and applications. Green Chem. 2019, 21, 406–448. [Google Scholar] [CrossRef]
- D’ Elia, V.; Kleij, A.W. Surface science approach to the heterogeneous cycloaddition of CO2 to epoxides catalyzed by site-isolated metal complexes and single atoms: A review. Green Chem. Eng. 2022, 3, 210–227. [Google Scholar] [CrossRef]
- Guo, L.; Lamb, K.J.; North, M. Recent developments in organocatalysed transformations of epoxides and carbon dioxide into cyclic carbonates. Green Chem. 2021, 23, 77–118. [Google Scholar] [CrossRef]
- Büttner, H.; Longwitz, L.; Steinbauer, J.; Wulf, C.; Werner, T. Recent Developments in the Synthesis of Cyclic Carbonates from Epoxides and CO2. Top. Curr. Chem. 2017, 375, 50. [Google Scholar] [CrossRef]
- Kessaratikoon, T.; Theerathanagorn, T.; Crespy, D.; D’Elia, V. Organocatalytic Polymers from Affordable and Readily Available Building Blocks for the Cycloaddition of CO2 to Epoxides. J. Org. Chem. 2023, 88, 4894–4924. [Google Scholar] [CrossRef]
- Song, Q.-W.; Zhou, Z.-H.; He, L.-N. Efficient, selective and sustainable catalysis of carbon dioxide. Green Chem. 2017, 19, 3707–3728. [Google Scholar] [CrossRef]
- Clegg, W.; Harrington, R.W.; North, M.; Pasquale, R. Cyclic Carbonate Synthesis Catalysed by Bimetallic Aluminium-Salen Complexes. Chem. Eur. J. 2010, 16, 6828–6843. [Google Scholar] [CrossRef] [PubMed]
- Whiteoak, C.J.; Kielland, N.; Laserna, V.; Escudero-Adán, E.C.; Martin, E.; Kleij, A.W. A Powerful Aluminum Catalyst for the Synthesis of Highly Functional Organic Carbonates. J. Am. Chem. Soc. 2013, 135, 1228–1231. [Google Scholar] [CrossRef] [PubMed]
- Yingcharoen, P.; Kongtes, C.; Arayachukiat, S.; Suvarnapunya, K.; Vummaleti, S.V.C.; Wannakao, S.; Cavallo, L.; Poater, A.; D’ Elia, V. Assessing the pKa-Dependent Activity of Hydroxyl Hydrogen Bond Donors in the Organocatalyzed Cycloaddition of Carbon Dioxide to Epoxides: Experimental and Theoretical Study. Adv. Synth. Catal. 2019, 361, 366–373. [Google Scholar] [CrossRef]
- Qing, Y.; Liu, T.; Zhao, B.; Bao, X.; Yuan, D.; Yao, Y. Cycloaddition of di-substituted epoxides and CO2 under ambient conditions catalysed by rare-earth poly(phenolate) complexes. Inorg. Chem. Front. 2022, 9, 2969–2979. [Google Scholar] [CrossRef]
- Zhou, H.; Wang, G.-X.; Zhang, W.-Z.; Lu, X.-B. CO2 Adducts of Phosphorus Ylides: Highly Active Organocatalysts for Carbon Dioxide Transformation. ACS Catal. 2015, 5, 6773–6779. [Google Scholar] [CrossRef]
- Kilic, A.; Yasar, E.; Aytar, E. Neutral boron [(L1-3)BPh2] and cationic charged boron [(L1a-3a)BPh2] complexes for chemical CO2 conversion to obtain cyclic carbonates under ambient conditions. Sustain. Energy Fuels 2019, 3, 1066–1077. [Google Scholar] [CrossRef]
- Weidlich, T.; Kamenická, B. Utilization of CO2-Available Organocatalysts for Reactions with Industrially Important Epoxides. Catalysts 2022, 12, 298. [Google Scholar] [CrossRef]
- Lam, E.; Larmier, K.; Wolf, P.; Tada, S.; Safonova, O.V.; Copéret, C. Isolated Zr Surface Sites on Silica Promote Hydrogenation of CO2 to CH3OH in Supported Cu Catalysts. J. Am. Chem. Soc. 2018, 140, 10530–10535. [Google Scholar] [CrossRef]
- Frontera, P.; Macario, A.; Ferraro, M.; Antonucci, P. Supported Catalysts for CO2 Methanation: A Review. Catalysts 2017, 7, 59. [Google Scholar] [CrossRef]
- Younas, M.; Loong Kong, L.; Bashir, M.J.K.; Nadeem, H.; Shehzad, A.; Sethupathi, S. Recent Advancements, Fundamental Challenges, and Opportunities in Catalytic Methanation of CO2. Energy Fuels 2016, 30, 8815–8831. [Google Scholar] [CrossRef]
- Atsbha, T.A.; Yoon, T.; Seongho, P.; Lee, C.-J. A review on the catalytic conversion of CO2 using H2 for synthesis of CO, methanol, and hydrocarbons. J. CO2 Util. 2021, 44, 101413. [Google Scholar] [CrossRef]
- Chandra, T.; Zebrowski, J.P. Hazards associated with laboratory scale hydrogenations. J. Chem. Health Saf. 2016, 23, 16–25. [Google Scholar] [CrossRef]
- Su, C.-C.; He, M.; Amine, R.; Chen, Z.; Sahore, R.; Dietz Rago, N.; Amine, K. Cyclic carbonate for highly stable cycling of high voltage lithium metal batteries. Energy Storage Mater. 2019, 17, 284–292. [Google Scholar] [CrossRef]
- Raj, A.; Panchireddy, S.; Grignard, B.; Detrembleur, C.; Gohy, J.F. Bio-Based Solid Electrolytes Bearing Cyclic Carbonates for Solid-State Lithium Metal Batteries. ChemSusChem 2022, 15, e202200913. [Google Scholar] [CrossRef] [PubMed]
- Ouhib, F.; Meabe, L.; Mahmoud, A.; Grignard, B.; Thomassin, J.-M.; Boschini, F.; Zhu, H.; Forsyth, M.; Mecerreyes, D.; Detrembleur, C. Influence of the Cyclic versus Linear Carbonate Segments in the Properties and Performance of CO2-Sourced Polymer Electrolytes for Lithium Batteries. ACS Appl. Polym. Mater. 2020, 2, 922–931. [Google Scholar] [CrossRef]
- Fukuoka, S.; Kawamura, M.; Komiya, K.; Tojo, M.; Hachiya, H.; Hasegawa, K.; Aminaka, M.; Okamoto, H.; Fukawa, I.; Konno, S. A novel non-phosgene polycarbonate production process using by-product CO2 as starting material. Green Chem. 2003, 5, 497–507. [Google Scholar] [CrossRef]
- Fukuoka, S.; Fukawa, I.; Adachi, T.; Fujita, H.; Sugiyama, N.; Sawa, T. Industrialization and Expansion of Green Sustainable Chemical Process: A Review of Non-phosgene Polycarbonate from CO2. Org. Proc. Res. Dev. 2019, 23, 145–169. [Google Scholar] [CrossRef]
- Maisonneuve, L.; Lamarzelle, O.; Rix, E.; Grau, E.; Cramail, H. Isocyanate-Free Routes to Polyurethanes and Poly(hydroxy Urethane)s. Chem. Rev. 2015, 115, 12407–12439. [Google Scholar] [CrossRef]
- Carré, C.; Ecochard, Y.; Caillol, S.; Avérous, L. From the Synthesis of Biobased Cyclic Carbonate to Polyhydroxyurethanes: A Promising Route towards Renewable Non-Isocyanate Polyurethanes. ChemSusChem 2019, 12, 3410–3430. [Google Scholar] [CrossRef]
- Grignard, B.; Gennen, S.; Jérôme, C.; Kleij, A.W.; Detrembleur, C. Advances in the use of CO2 as a renewable feedstock for the synthesis of polymers. Chem. Soc. Rev. 2019, 48, 4466–4514. [Google Scholar] [CrossRef] [PubMed]
- Theerathanagorn, T.; Kessaratikoon, T.; Rehman, H.U.; D’Elia, V.; Crespy, D. Polyhydroxyurethanes from Biobased Monomers and CO2: A Bridge between Sustainable Chemistry and CO2 Utilization. Chin. J. Chem. 2023, 42, 652–685. [Google Scholar] [CrossRef]
- Martínez de Sarasa Buchaca, M.; de la Cruz-Martínez, F.; Francés-Poveda, E.; Fernández-Baeza, J.; Sánchez-Barba, L.F.; Garcés, A.; Castro-Osma, J.A.; Lara-Sánchez, A. Synthesis of Nonisocyanate Poly(hydroxy)urethanes from Bis(cyclic carbonates) and Polyamines. Polymers 2022, 14, 2719. [Google Scholar] [CrossRef] [PubMed]
- Schäffner, B.; Schäffner, F.; Verevkin, S.P.; Börner, A. Organic Carbonates as Solvents in Synthesis and Catalysis. Chem. Rev. 2010, 110, 4554–4581. [Google Scholar] [CrossRef] [PubMed]
- Sathish, M.; Sreeram, K.J.; Raghava Rao, J.; Unni Nair, B. Cyclic Carbonate: A Recyclable Medium for Zero Discharge Tanning. ACS Sustain. Chem. Eng. 2016, 4, 1032–1040. [Google Scholar] [CrossRef]
- Alassmy, Y.A.; Sebakhy, K.O.; Picchioni, F.; Pescarmona, P.P. Novel non-ionic surfactants synthesised through the reaction of CO2 with long alkyl chain epoxides. J. CO2 Util. 2021, 50, 101577. [Google Scholar] [CrossRef]
- Norseeda, K.; Yingcharoen, P.; Nimnual, P.; Puchum, S.; Arayachukiat, S.; Piromchart, T.; Wagner, M.; Zipse, H.; D’ Elia, V. Discovery of a phosphonium ionic liquid phase from the reaction of trialkylphosphines and epichlorohydrin carbonate and application as a CO2-based triphasic demulsifier of crude oil. J. Mol. Struct. 2023, 1292, 136122. [Google Scholar] [CrossRef]
- Cristòfol, À.; Limburg, B.; Kleij, A.W. Expedient Dual Co/Organophotoredox Catalyzed Stereoselective Synthesis of All-Carbon Quaternary Centers. Angew. Chem. Int. Ed. 2021, 60, 15266–15270. [Google Scholar] [CrossRef] [PubMed]
- Guo, W.; Gómez, J.E.; Cristòfol, À.; Xie, J.; Kleij, A.W. Catalytic Transformations of Functionalized Cyclic Organic Carbonates. Angew. Chem. Int. Ed. 2018, 57, 13735–13747. [Google Scholar] [CrossRef]
- Barthel, A.; Saih, Y.; Gimenez, M.; Pelletier, J.D.A.; Kühn, F.E.; D’Elia, V.; Basset, J.-M. Highly integrated CO2 capture and conversion: Direct synthesis of cyclic carbonates from industrial flue gas. Green Chem. 2016, 18, 3116–3123. [Google Scholar] [CrossRef]
- Metcalfe, I.S.; North, M.; Pasquale, R.; Thursfield, A. An integrated approach to energy and chemicals production. Energy Environ. Sci. 2010, 3, 212–215. [Google Scholar] [CrossRef]
- Maina, J.W.; Pringle, J.M.; Razal, J.M.; Nunes, S.; Vega, L.; Gallucci, F.; Dumée, L.F. Strategies for Integrated Capture and Conversion of CO2 from Dilute Flue Gases and the Atmosphere. ChemSusChem 2021, 14, 1805–1820. [Google Scholar] [CrossRef] [PubMed]
- Shaikh, R.R.; Pornpraprom, S.; D’Elia, V. Catalytic Strategies for the Cycloaddition of Pure, Diluted, and Waste CO2 to Epoxides under Ambient Conditions. ACS Catal. 2018, 8, 419–450. [Google Scholar] [CrossRef]
- von der Assen, N.; Bardow, A. Life cycle assessment of polyols for polyurethane production using CO2 as feedstock: Insights from an industrial case study. Green Chem. 2014, 16, 3272–3280. [Google Scholar] [CrossRef]
- Grim, R.G.; Ferrell Iii, J.R.; Huang, Z.; Tao, L.; Resch, M.G. The feasibility of direct CO2 conversion technologies on impacting mid-century climate goals. Joule 2023, 7, 1684–1699. [Google Scholar] [CrossRef]
- Claver, C.; Yeamin, M.B.; Reguero, M.; Masdeu-Bultó, A.M. Recent advances in the use of catalysts based on natural products for the conversion of CO2 into cyclic carbonates. Green Chem. 2020, 22, 7665–7706. [Google Scholar] [CrossRef]
- Poolwong, J.; Aomchad, V.; Del Gobbo, S.; Kleij, A.W.; D’Elia, V. Simple Halogen-Free, Biobased Organic Salts Convert Glycidol to Glycerol Carbonate under Atmospheric CO2 Pressure. ChemSusChem 2022, 15, e202200765. [Google Scholar] [CrossRef] [PubMed]
- Wu, X.; Chen, C.; Guo, Z.; North, M.; Whitwood, A.C. Metal- and Halide-Free Catalyst for the Synthesis of Cyclic Carbonates from Epoxides and Carbon Dioxide. ACS Catal. 2019, 9, 1895–1906. [Google Scholar] [CrossRef]
- Kleij, A.W. Advancing halide-free catalytic synthesis of CO2-based heterocycles. Curr. Opin. Green Sustain. Chem. 2020, 24, 72–81. [Google Scholar] [CrossRef]
- Kilic, A.; Sobay, B.; Aytar, E.; Söylemez, R. Synthesis and effective catalytic performance in cycloaddition reactions with CO2 of boronate esters versus N-heterocyclic carbene (NHC)-stabilized boronate esters. Sustain. Energy Fuels 2020, 4, 5682–5696. [Google Scholar] [CrossRef]
- North, M.; Pasquale, R.; Young, C. Synthesis of cyclic carbonates from epoxides and CO2. Green Chem. 2010, 12, 1514. [Google Scholar] [CrossRef]
- Büttner, H.; Lau, K.; Spannenberg, A.; Werner, T. Bifunctional One-Component Catalysts for the Addition of Carbon Dioxide to Epoxides. ChemCatChem 2015, 7, 459–467. [Google Scholar] [CrossRef]
- Shiels, R.A.; Jones, C.W. Homogeneous and heterogeneous 4-(N,N-dialkylamino)pyridines as effective single component catalysts in the synthesis of propylene carbonate. J. Mol. Catal. A Chem. 2007, 261, 160–166. [Google Scholar] [CrossRef]
- Subramanian, S.; Park, J.; Byun, J.; Jung, Y.; Yavuz, C.T. Highly Efficient Catalytic Cyclic Carbonate Formation by Pyridyl Salicylimines. ACS Appl. Mater. Interfaces 2018, 10, 9478–9484. [Google Scholar] [CrossRef] [PubMed]
- Natongchai, W.; Posada-Pérez, S.; Phungpanya, C.; Luque-Urrutia, J.A.; Solà, M.; D’Elia, V.; Poater, A. Enhancing the Catalytic Performance of Group I, II Metal Halides in the Cycloaddition of CO2 to Epoxides under Atmospheric Conditions by Cooperation with Homogeneous and Heterogeneous Highly Nucleophilic Aminopyridines: Experimental and Theoretical Study. J. Org. Chem. 2022, 87, 2873–2886. [Google Scholar] [CrossRef] [PubMed]
- Liu, X.; Zhang, S.; Song, Q.-W.; Liu, X.-F.; Ma, R.; He, L.-N. Cooperative calcium-based catalysis with 1,8-diazabicyclo [5.4.0]-undec-7-ene for the cycloaddition of epoxides with CO2 at atmospheric pressure. Green Chem. 2016, 18, 2871–2876. [Google Scholar] [CrossRef]
- Ema, T.; Fukuhara, K.; Sakai, T.; Ohbo, M.; Bai, F.-Q.; Hasegawa, J.-Y. Quaternary ammonium hydroxide as a metal-free and halogen-free catalyst for the synthesis of cyclic carbonates from epoxides and carbon dioxide. Catal. Sci. Technol. 2015, 5, 2314–2321. [Google Scholar] [CrossRef]
- Castro-Gómez, F.; Salassa, G.; Kleij, A.W.; Bo, C. A DFT Study on the Mechanism of the Cycloaddition Reaction of CO2 to Epoxides Catalyzed by Zn(Salphen) Complexes. Chem. Eur. J. 2013, 19, 6289–6298. [Google Scholar] [CrossRef] [PubMed]
- Ema, T.; Miyazaki, Y.; Koyama, S.; Yano, Y.; Sakai, T. A bifunctional catalyst for carbon dioxide fixation: Cooperative double activation of epoxides for the synthesis of cyclic carbonates. Chem. Commun. 2012, 48, 4489–4491. [Google Scholar] [CrossRef]
- Kisch, H.; Millini, R.; Wang, I.-J. Bifunktionelle Katalysatoren zur Synthese cyclischer Carbonate aus Oxiranen und Kohlendioxid. Chem. Ber. 1986, 119, 1090–1094. [Google Scholar] [CrossRef]
- Whiteoak, C.J.; Martin, E.; Belmonte, M.M.; Benet-Buchholz, J.; Kleij, A.W. An Efficient Iron Catalyst for the Synthesis of Five- and Six-Membered Organic Carbonates under Mild Conditions. Adv. Synth. Catal. 2012, 354, 469–476. [Google Scholar] [CrossRef]
- Alves, M.; Grignard, B.; Gennen, S.; Mereau, R.; Detrembleur, C.; Jerome, C.; Tassaing, T. Organocatalytic promoted coupling of carbon dioxide with epoxides: A rational investigation of the cocatalytic activity of various hydrogen bond donors. Catal. Sci. Technol. 2015, 5, 4636–4643. [Google Scholar] [CrossRef]
- Arayachukiat, S.; Kongtes, C.; Barthel, A.; Vummaleti, S.V.C.; Poater, A.; Wannakao, S.; Cavallo, L.; D’Elia, V. Ascorbic Acid as a Bifunctional Hydrogen Bond Donor for the Synthesis of Cyclic Carbonates from CO2 under Ambient Conditions. ACS Sustain. Chem. Eng. 2017, 5, 6392–6397. [Google Scholar] [CrossRef]
- Wilhelm, M.E.; Anthofer, M.H.; Cokoja, M.; Markovits II, E.; Herrmann, W.A.; Kühn, F.E. Cycloaddition of Carbon Dioxide and Epoxides using Pentaerythritol and Halides as Dual Catalyst System. ChemSusChem 2014, 7, 1357–1360. [Google Scholar] [CrossRef]
- Hardman-Baldwin, A.M.; Mattson, A.E. Silanediol-Catalyzed Carbon Dioxide Fixation. ChemSusChem 2014, 7, 3275–3278. [Google Scholar] [CrossRef]
- Dutta, B.; Sofack-Kreutzer, J.; Ghani, A.A.; D’Elia, V.; Pelletier, J.D.A.; Cokoja, M.; Kühn, F.E.; Basset, J.-M. Nucleophile-directed selectivity towards linear carbonates in the niobium pentaethoxide-catalysed cycloaddition of CO2 and propylene oxide. Catal. Sci. Technol. 2014, 4, 1534–1538. [Google Scholar] [CrossRef]
- Martín, C.; Fiorani, G.; Kleij, A.W. Recent Advances in the Catalytic Preparation of Cyclic Organic Carbonates. ACS Catal. 2015, 5, 1353–1370. [Google Scholar] [CrossRef]
- Alves, M.; Grignard, B.; Mereau, R.; Jerome, C.; Tassaing, T.; Detrembleur, C. Organocatalyzed coupling of carbon dioxide with epoxides for the synthesis of cyclic carbonates: Catalyst design and mechanistic studies. Catal. Sci. Technol. 2017, 7, 2651–2684. [Google Scholar] [CrossRef]
- Meléndez, J.; North, M.; Villuendas, P. One-component catalysts for cyclic carbonate synthesis. Chem. Commun. 2009, 2577–2579. [Google Scholar] [CrossRef]
- Ema, T.; Miyazaki, Y.; Shimonishi, J.; Maeda, C.; Hasegawa, J.-Y. Bifunctional Porphyrin Catalysts for the Synthesis of Cyclic Carbonates from Epoxides and CO2: Structural Optimization and Mechanistic Study. J. Am. Chem. Soc. 2014, 136, 15270–15279. [Google Scholar] [CrossRef]
- Theerathanagorn, T.; Vidal-López, A.; Comas-Vives, A.; Poater, A.; D′ Elia, V. Cycloaddition of CO2 to epoxides “around water”: A strategy to apply and recycle efficient water-soluble bio-based organocatalysts in biphasic media. Green Chem. 2023, 25, 4336–4349. [Google Scholar] [CrossRef]
- Castro-Osma, J.A.; Martínez, J.; de la Cruz-Martínez, F.; Caballero, M.P.; Fernández-Baeza, J.; Rodríguez-López, J.; Otero, A.; Lara-Sánchez, A.; Tejeda, J. Development of hydroxy-containing imidazole organocatalysts for CO2 fixation into cyclic carbonates. Catal. Sci. Technol. 2018, 8, 1981–1987. [Google Scholar] [CrossRef]
- Chen, J.; Chiarioni, G.; Euverink, G.-J.W.; Pescarmona, P.P. Dyes as efficient and reusable organocatalysts for the synthesis of cyclic carbonates from epoxides and CO2. Green Chem. 2023, 25, 9744–9759. [Google Scholar] [CrossRef]
- Fiorani, G.; Guo, W.; Kleij, A.W. Sustainable conversion of carbon dioxide: The advent of organocatalysis. Green Chem. 2015, 17, 1375–1389. [Google Scholar] [CrossRef]
- Wang, L.; Zhang, G.; Kodama, K.; Hirose, T. An efficient metal- and solvent-free organocatalytic system for chemical fixation of CO2 into cyclic carbonates under mild conditions. Green Chem. 2016, 18, 1229–1233. [Google Scholar] [CrossRef]
- Whiteoak, C.J.; Nova, A.; Maseras, F.; Kleij, A.W. Merging Sustainability with Organocatalysis in the Formation of Organic Carbonates by Using CO2 as a Feedstock. ChemSusChem 2012, 5, 2032–2038. [Google Scholar] [CrossRef] [PubMed]
- Chen, Y.; Luo, R.; Xu, Q.; Jiang, J.; Zhou, X.; Ji, H. Metalloporphyrin Polymers with Intercalated Ionic Liquids for Synergistic CO2 Fixation via Cyclic Carbonate Production. ACS Sustain. Chem. Eng. 2017, 6, 1074–1082. [Google Scholar] [CrossRef]
- Whiteoak, C.J.; Gjoka, B.; Martin, E.; Belmonte, M.M.; Escudero-Adán, E.C.; Zonta, C.; Licini, G.; Kleij, A.W. Reactivity Control in Iron(III) Amino Triphenolate Complexes: Comparison of Monomeric and Dimeric Complexes. Inorg. Chem. 2012, 51, 10639–10649. [Google Scholar] [CrossRef] [PubMed]
- Lagarde, F.; Srour, H.; Berthet, N.; Oueslati, N.; Bousquet, B.; Nunes, A.; Martinez, A.; Dufaud, V. Investigating the role of SBA-15 silica on the activity of quaternary ammonium halides in the coupling of epoxides and CO2. J. CO2 Util. 2019, 34, 34–39. [Google Scholar] [CrossRef]
- Mitra, A.; Ghosh, S.; Paliwal, K.S.; Ghosh, S.; Tudu, G.; Chandrasekar, A.; Mahalingam, V. Alumina-Based Bifunctional Catalyst for Efficient CO2 Fixation into Epoxides at Atmospheric Pressure. Inorg. Chem. 2022, 61, 16356–16369. [Google Scholar] [CrossRef]
- Saengsaen, S.; Del Gobbo, S.; D’Elia, V. Exploring the potential of nanosized oxides of zinc and tin as recyclable catalytic components for the synthesis of cyclic organic carbonates under atmospheric CO2 pressure. Chem. Eng. Res. Des. 2023, 191, 630–645. [Google Scholar] [CrossRef]
- Guo, L.; Dou, R.; Wu, Y.; Zhang, R.; Wang, L.; Wang, Y.; Gong, Z.; Chen, J.; Wu, X. From Lignin Waste to Efficient Catalyst: Illuminating the Impact of Lignin Structure on Catalytic Activity of Cycloaddition Reaction. ACS Sustain. Chem. Eng. 2019, 7, 16585–16594. [Google Scholar] [CrossRef]
- Jaroonwatana, W.; Theerathanagorn, T.; Theerasilp, M.; Del Gobbo, S.; Yiamsawas, D.; D’Elia, V.; Crespy, D. Nanoparticles of aromatic biopolymers catalyze CO2 cycloaddition to epoxides under atmospheric conditions. Sustain. Energy Fuels 2021, 5, 5431–5444. [Google Scholar] [CrossRef]
- Dalko, P.I.; Moisan, L. In the Golden Age of Organocatalysis. Angew. Chem. Int. Ed. 2004, 43, 5138–5175. [Google Scholar] [CrossRef]
- Gao, N.; Han, D.; Yang, T.; Meng, Q.; Wang, X.; Liu, C.; Ge, J.; Xing, W. Hydrogen-bonded network in interfacial water confer the catalysts with high formic acid decomposition performance. Appl. Catal. B 2023, 336, 122913. [Google Scholar] [CrossRef]
- Pestana, L.R.; Hao, H.; Head-Gordon, T. Diels–Alder Reactions in Water Are Determined by Microsolvation. Nano Lett. 2019, 20, 606–611. [Google Scholar] [CrossRef]
- Kitanosono, T.; Kobayashi, S. Reactions in Water Involving the “On-Water” Mechanism. Chem. Eur. J. 2020, 26, 9408–9429. [Google Scholar] [CrossRef] [PubMed]
- Jung, Y.; Marcus, R.A. On the Theory of Organic Catalysis “on Water”. J. Am. Chem. Soc. 2007, 129, 5492–5502. [Google Scholar] [CrossRef] [PubMed]
- Lipshutz, B.H.; Ghorai, S. Organocatalysis in Water at Room Temperature with In-Flask Catalyst Recycling. Org. Lett. 2011, 14, 422–425. [Google Scholar] [CrossRef]
- Cortes-Clerget, M.; Yu, J.; Kincaid, J.R.A.; Walde, P.; Gallou, F.; Lipshutz, B.H. Water as the reaction medium in organic chemistry: From our worst enemy to our best friend. Chem. Sci. 2021, 12, 4237–4266. [Google Scholar] [CrossRef]
- Petkova, D.; Borlinghaus, N.; Sharma, S.; Kaschel, J.; Lindner, T.; Klee, J.; Jolit, A.; Haller, V.; Heitz, S.; Britze, K.; et al. Hydrophobic Pockets of HPMC Enable Extremely Short Reaction Times in Water. ACS Sustain. Chem. Eng. 2020, 8, 12612–12617. [Google Scholar] [CrossRef]
- Yu, J.-S.; Liu, Y.-L.; Tang, J.; Wang, X.; Zhou, J. Highly Efficient “On Water” Catalyst-Free Nucleophilic Addition Reactions Using Difluoroenoxysilanes: Dramatic Fluorine Effects. Angew. Chem. Int. Ed. 2014, 53, 9512–9516. [Google Scholar] [CrossRef] [PubMed]
- Kleiner, C.M.; Schreiner, P.R. Hydrophobic amplification of noncovalent organocatalysis. Chem. Commun. 2006, 4315–4317. [Google Scholar] [CrossRef] [PubMed]
- Rideout, D.C.; Breslow, R. Hydrophobic acceleration of Diels-Alder reactions. J. Am. Chem. Soc. 1980, 102, 7816–7817. [Google Scholar] [CrossRef]
- Narayan, S.; Muldoon, J.; Finn, M.G.; Fokin, V.V.; Kolb, H.C.; Sharpless, K.B. “On Water”: Unique Reactivity of Organic Compounds in Aqueous Suspension. Angew. Chem. Int. Ed. 2005, 44, 3275–3279. [Google Scholar] [CrossRef]
- Mlynarski, J.; Baś, S. Catalytic asymmetric aldol reactions in aqueous media—A 5 year update. Chem. Soc. Rev. 2014, 43, 577–587. [Google Scholar] [CrossRef]
- Maya, V.; Raj, M.; Singh, V.K. Highly Enantioselective Organocatalytic Direct Aldol Reaction in an Aqueous Medium. Org. Lett. 2007, 9, 2593–2595. [Google Scholar] [CrossRef] [PubMed]
- Sim, J.H.; Song, C.E. Water-Enabled Catalytic Asymmetric Michael Reactions of Unreactive Nitroalkenes: One-Pot Synthesis of Chiral GABA-Analogs with All-Carbon Quaternary Stereogenic Centers. Angew. Chem. Int. Ed. 2017, 56, 1835–1839. [Google Scholar] [CrossRef]
- Mukherjee, S.; Yang, J.W.; Hoffmann, S.; List, B. Asymmetric Enamine Catalysis. Chem. Rev. 2007, 107, 5471–5569. [Google Scholar] [CrossRef]
- Bertelsen, S.; Jørgensen, K.A. Organocatalysis—After the gold rush. Chem. Soc. Rev. 2009, 38, 2178–2189. [Google Scholar] [CrossRef]
- MacMillan, D.W.C. The advent and development of organocatalysis. Nature 2008, 455, 304–308. [Google Scholar] [CrossRef]
- Guo, D.; Zhu, D.; Zhou, X.; Zheng, B. Accelerating the “On Water” Reaction: By Organic–Water Interface or By Hydrodynamic Effects? Langmuir 2015, 31, 13759–13763. [Google Scholar] [CrossRef]
- Aggarwal, V.K.; Dean, D.K.; Mereu, A.; Williams, R. Rate Acceleration of the Baylis−Hillman Reaction in Polar Solvents (Water and Formamide). Dominant Role of Hydrogen Bonding, Not Hydrophobic Effects, Is Implicated. J. Org. Chem. 2001, 67, 510–514. [Google Scholar] [CrossRef]
- Rueping, M.; Theissmann, T. Asymmetric Brønsted acid catalysis in aqueous solution. Chem. Sci. 2010, 1, 473–476. [Google Scholar] [CrossRef]
- Song, C.E.; Park, S.J.; Hwang, I.-S.; Jung, M.J.; Shim, S.Y.; Bae, H.Y.; Jung, J.Y. Hydrophobic chirality amplification in confined water cages. Nat. Commun. 2019, 10, 851. [Google Scholar] [CrossRef]
- Meléndez, J.; North, M.; Pasquale, R. Synthesis of Cyclic Carbonates from Atmospheric Pressure Carbon Dioxide Using Exceptionally Active Aluminium(salen) Complexes as Catalysts. Eur. J. Inorg. Chem. 2007, 2007, 3323–3326. [Google Scholar] [CrossRef]
- Decortes, A.; Castilla, A.M.; Kleij, A.W. Salen-Complex-Mediated Formation of Cyclic Carbonates by Cycloaddition of CO2 to Epoxides. Angew. Chem. Int. Ed. 2010, 49, 9822–9837. [Google Scholar] [CrossRef]
- Cave, G.W.V.; Raston, C.L.; Scott, J.L. Recent advances in solventless organic reactions: Towards benign synthesis with remarkable versatility. Chem. Commun. 2001, 2159–2169. [Google Scholar] [CrossRef]
- Prat, D.; Hayler, J.; Wells, A. A survey of solvent selection guides. Green Chem. 2014, 16, 4546–4551. [Google Scholar] [CrossRef]
- Blackmond, D.G.; Armstrong, A.; Coombe, V.; Wells, A. Water in Organocatalytic Processes: Debunking the Myths. Angew. Chem. Int. Ed. 2007, 46, 3798–3800. [Google Scholar] [CrossRef]
- Yang, Y.; Hayashi, Y.; Fujii, Y.; Nagano, T.; Kita, Y.; Ohshima, T.; Okuda, J.; Mashima, K. Efficient cyclic carbonate synthesis catalyzed by zinc cluster systems under mild conditions. Catal. Sci. Technol. 2012, 2, 509–513. [Google Scholar] [CrossRef]
- Guo, Z.J.; Jiang, Q.W.; Shi, Y.M.; Li, J.; Yang, X.N.; Hou, W.; Zhou, Y.; Wang, J. Tethering Dual Hydroxyls into Mesoporous Poly(ionic liquid)s for Chemical Fixation of CO2 at Ambient Conditions: A Combined Experimental and Theoretical Study. ACS Catal. 2017, 7, 6770–6780. [Google Scholar] [CrossRef]
- Sun, J.; Ren, J.; Zhang, S.; Cheng, W. Water as an efficient medium for the synthesis of cyclic carbonate. Tetrahedron Lett. 2009, 50, 423–426. [Google Scholar] [CrossRef]
- Zhou, X.; Zhang, Y.; Yang, X.; Yao, J.; Wang, G. Hydrated Alkali Metal Halides as Efficient Catalysts for the Synthesis of Cyclic Carbonates from CO2 and Epoxides. Chin. J. Catal. 2010, 31, 765–768. [Google Scholar] [CrossRef]
- Wang, J.-Q.; Sun, J.; Cheng, W.-G.; Dong, K.; Zhang, X.-P.; Zhang, S.-J. Experimental and theoretical studies on hydrogen bond-promoted fixation of carbon dioxide and epoxides in cyclic carbonates. Phys. Chem. Chem. Phys. 2012, 14, 11021–11026. [Google Scholar] [CrossRef]
- Alassmy, Y.A.; Pescarmona, P.P. The Role of Water Revisited and Enhanced: A Sustainable Catalytic System for the Conversion of CO2 into Cyclic Carbonates under Mild Conditions. ChemSusChem 2019, 12, 3856–3863. [Google Scholar] [CrossRef]
- Bobbink, F.D.; Vasilyev, D.; Hulla, M.; Chamam, S.; Menoud, F.; Laurenczy, G.; Katsyuba, S.; Dyson, P.J. Intricacies of Cation–Anion Combinations in Imidazolium Salt-Catalyzed Cycloaddition of CO2 Into Epoxides. ACS Catal. 2018, 8, 2589–2594. [Google Scholar] [CrossRef]
- Tharun, J.; Roshan, K.R.; Kathalikkattil, A.C.; Kang, D.-H.; Ryu, H.-M.; Park, D.-W. Natural amino acids/H2O as a metal- and halide-free catalyst system for the synthesis of propylene carbonate from propylene oxide and CO2 under moderate conditions. RSC Adv. 2014, 4, 41266–41270. [Google Scholar] [CrossRef]
- Mazo, P.; Rios, L. Carbonation of Epoxidized Soybean Oil Improved by the Addition of Water. J. Am. Oil Chem. Soc. 2013, 90, 725–730. [Google Scholar] [CrossRef]
- Peña Carrodeguas, L.; Cristòfol, À.; Fraile, J.M.; Mayoral, J.A.; Dorado, V.; Herrerías, C.I.; Kleij, A.W. Fatty acid based biocarbonates: Al-mediated stereoselective preparation of mono-, di- and tricarbonates under mild and solvent-less conditions. Green Chem. 2017, 19, 3535–3541. [Google Scholar] [CrossRef]
- Longwitz, L.; Steinbauer, J.; Spannenberg, A.; Werner, T. Calcium-Based Catalytic System for the Synthesis of Bio-Derived Cyclic Carbonates under Mild Conditions. ACS Catal. 2017, 8, 665–672. [Google Scholar] [CrossRef]
- Natongchai, W.; Pornpraprom, S.; D’ Elia, V. Synthesis of Bio-Based Cyclic Carbonates Using a Bio-Based Hydrogen Bond Donor: Application of Ascorbic Acid to the Cycloaddition of CO2 to Oleochemicals. Asian J. Org. Chem. 2020, 9, 801–810. [Google Scholar] [CrossRef]
- Zipse, H.; Held, I.; Xu, S. Modular Design of Pyridine-Based Acyl-Transfer Catalysts. Synthesis 2007, 2007, 1185–1196. [Google Scholar] [CrossRef]
- D’Elia, V.; Liu, Y.; Zipse, H. Immobilized DMAP Derivatives Rivaling Homogeneous DMAP. Eur. J. Org. Chem. 2011, 2011, 1527–1533. [Google Scholar] [CrossRef]
- Tandon, R.; Unzner, T.; Nigst, T.A.; De Rycke, N.; Mayer, P.; Wendt, B.; David, O.R.P.; Zipse, H. Annelated Pyridines as Highly Nucleophilic and Lewis Basic Catalysts for Acylation Reactions. Chem. Eur. J. 2013, 19, 6435–6442. [Google Scholar] [CrossRef]
- Poolwong, J.; Del Gobbo, S.; D’Elia, V. Transesterification of dimethyl carbonate with glycerol by perovskite-based mixed metal oxide nanoparticles for the atom-efficient production of glycerol carbonate. J. Ind. Eng. Chem. 2021, 104, 43–60. [Google Scholar] [CrossRef]
- Girard, A.-L.; Simon, N.; Zanatta, M.; Marmitt, S.; Gonçalves, P.; Dupont, J. Insights on recyclable catalytic system composed of task-specific ionic liquids for the chemical fixation of carbon dioxide. Green Chem. 2014, 16, 2815–2825. [Google Scholar] [CrossRef]
- Wilhelm, M.E.; Anthofer, M.H.; Reich, R.M.; D’Elia, V.; Basset, J.-M.; Herrmann, W.A.; Cokoja, M.; Kühn, F.E. Niobium(v) chloride and imidazolium bromides as efficient dual catalyst systems for the cycloaddition of carbon dioxide and propylene oxide. Catal. Sci. Technol. 2014, 4, 1638–1643. [Google Scholar] [CrossRef]
- Valverde, D.; Porcar, R.; Lozano, P.; García-Verdugo, E.; Luis, S.V. Multifunctional Polymers Based on Ionic Liquid and Rose Bengal Fragments for the Conversion of CO2 to Carbonates. ACS Sustain. Chem. Eng. 2021, 9, 2309–2318. [Google Scholar] [CrossRef]
- Natongchai, W.; Luque-Urrutia, J.A.; Phungpanya, C.; Solà, M.; D’Elia, V.; Poater, A.; Zipse, H. Cycloaddition of CO2 to epoxides by highly nucleophilic 4-aminopyridines: Establishing a relationship between carbon basicity and catalytic performance by experimental and DFT investigations. Org. Chem. Front. 2021, 8, 613–627. [Google Scholar] [CrossRef]
- Mitra, A.; Paliwal, K.S.; Ghosh, S.; Bag, S.; Roy, A.; Chandrasekar, A.; Mahalingam, V. Diaspore as an efficient halide-free catalyst for the conversion of CO2 into cyclic carbonates. Inorg. Chem. Front. 2023, 10, 6329–6338. [Google Scholar] [CrossRef]
- Jiang, H.; Qi, C.; Wang, Z.; Zou, B.; Yang, S. Naturally Occurring α-Amino Acid Catalyzed Coupling of Carbon Dioxide with Epoxides to Afford Cyclic Carbonates. Synlett 2007, 2007, 0255–0258. [Google Scholar] [CrossRef]
- Gilli, P.; Pretto, L.; Bertolasi, V.; Gilli, G. Predicting Hydrogen-Bond Strengths from Acid−Base Molecular Properties. The pKaSlide Rule: Toward the Solution of a Long-Lasting Problem. Acc. Chem. Res. 2009, 42, 33–44. [Google Scholar] [CrossRef]
- Wang, Z.; Wang, Y.; Xie, Q.; Fan, Z.; Shen, Y. Aliphatic carboxylic acid as a hydrogen-bond donor for converting CO2 and epoxide into cyclic carbonate under mild conditions. New J. Chem. 2021, 45, 9403–9408. [Google Scholar] [CrossRef]
- Santiago, R.; Hernández, E.; Moya, C.; Vela, S.; Navarro, P.; Palomar, J. Fatty alcohol/water reaction-separation platform to produce propylene carbonate from captured CO2 using a hydrophobic ionic liquid. Sep. Purif. Technol. 2021, 275, 119143. [Google Scholar] [CrossRef]
- Wang, J.; Zhang, Y. Boronic Acids as Hydrogen Bond Donor Catalysts for Efficient Conversion of CO2 into Organic Carbonate in Water. ACS Catal. 2016, 6, 4871–4876. [Google Scholar] [CrossRef]
- Jaroonwatana, W.; D’Elia, V.; Crespy, D. Hydrophobically-enhanced “on water” cycloaddition of CO2 to long-chain terminal epoxides. Chem. Commun. 2022, 58, 11535–11538. [Google Scholar] [CrossRef]
- Zhao, Y.; Landfester, K.; Crespy, D. CO2 responsive reversible aggregation of nanoparticles and formation of nanocapsules with an aqueous core. Soft Matter 2012, 8, 11687–11696. [Google Scholar] [CrossRef]
- Fowler, C.I.; Jessop, P.G.; Cunningham, M.F. Aryl Amidine and Tertiary Amine Switchable Surfactants and Their Application in the Emulsion Polymerization of Methyl Methacrylate. Macromolecules 2012, 45, 2955–2962. [Google Scholar] [CrossRef]
- Liu, F.; Gu, Y.; Xin, H.; Zhao, P.; Gao, J.; Liu, M. Multifunctional Phosphonium-Based Deep Eutectic Ionic Liquids: Insights into Simultaneous Activation of CO2 and Epoxide and Their Subsequent Cycloaddition. ACS Sustain. Chem. Eng. 2019, 7, 16674–16681. [Google Scholar] [CrossRef]
- Zhang, Z.; Fan, F.; Xing, H.; Yang, Q.; Bao, Z.; Ren, Q. Efficient Synthesis of Cyclic Carbonates from Atmospheric CO2 Using a Positive Charge Delocalized Ionic Liquid Catalyst. ACS Sustain. Chem. Eng. 2017, 5, 2841–2846. [Google Scholar] [CrossRef]
- Wu, K.; Su, T.; Hao, D.; Liao, W.; Zhao, Y.; Ren, W.; Deng, C.; Lü, H. Choline chloride-based deep eutectic solvents for efficient cycloaddition of CO2 with propylene oxide. Chem. Commun. 2018, 54, 9579–9582. [Google Scholar] [CrossRef] [PubMed]
- Hyde, A.M.; Zultanski, S.L.; Waldman, J.H.; Zhong, Y.-L.; Shevlin, M.; Peng, F. General Principles and Strategies for Salting-Out Informed by the Hofmeister Series. Org. Proc. Res. Dev. 2017, 21, 1355–1370. [Google Scholar] [CrossRef]
- Okur, H.I.; Hladílková, J.; Rembert, K.B.; Cho, Y.; Heyda, J.; Dzubiella, J.; Cremer, P.S.; Jungwirth, P. Beyond the Hofmeister Series: Ion-Specific Effects on Proteins and Their Biological Functions. J. Phys. Chem. B 2017, 121, 1997–2014. [Google Scholar] [CrossRef] [PubMed]
- Hunter, S.J.; Cornel, E.J.; Mykhaylyk, O.O.; Armes, S.P. Effect of Salt on the Formation and Stability of Water-in-Oil Pickering Nanoemulsions Stabilized by Diblock Copolymer Nanoparticles. Langmuir 2020, 36, 15523–15535. [Google Scholar] [CrossRef] [PubMed]
- Li, H.; Ren, F.Y.; Li, H.R.; He, L.N. Modification of ricinoleic acid based nonisocyanate polyurethane using polyamine containing polyhedral oligomeric silsesquioxane. Polym. Eng. Sci. 2023, 63, 1507–1515. [Google Scholar] [CrossRef]
- Zhang, W.; Wang, T.; Zheng, Z.; Quirino, R.L.; Xie, F.; Li, Y.; Zhang, C. Plant oil-based non-isocyanate waterborne poly(hydroxyl urethane)s. Chem. Eng. J. 2023, 452, 138965. [Google Scholar] [CrossRef]
- Akhdar, A.; Onida, K.; Vu, N.D.; Grollier, K.; Norsic, S.; Boisson, C.; D’Agosto, F.; Duguet, N. Thermomorphic Polyethylene-Supported Organocatalysts for the Valorization of Vegetable Oils and CO2. Adv. Sustain. Syst. 2020, 5, 2000218. [Google Scholar] [CrossRef]
- Perez-Sena, W.Y.; Eränen, K.; Kumar, N.; Estel, L.; Leveneur, S.; Salmi, T. New insights into the cocatalyst-free carbonation of vegetable oil derivatives using heterogeneous catalysts. J. CO2 Util. 2022, 57, 101879. [Google Scholar] [CrossRef]
- Aomchad, V.; Cristòfol, À.; Della Monica, F.; Limburg, B.; D’Elia, V.; Kleij, A.W. Recent progress in the catalytic transformation of carbon dioxide into biosourced organic carbonates. Green Chem. 2021, 23, 1077–1113. [Google Scholar] [CrossRef]
- Chang, T.; Yan, X.; Li, Y.; Hao, Y.; Fu, X.; Liu, X.; Panchal, B.; Qin, S.; Zhu, Z. Quaternary ammonium immobilized PAMAM as efficient catalysts for conversion of carbon dioxide. J. CO2 Util. 2022, 58, 101913. [Google Scholar] [CrossRef]
- Shi, Z.; Su, Q.; Ying, T.; Tan, X.; Deng, L.; Dong, L.; Cheng, W. Ionic liquids with multiple active sites supported by SBA-15 for catalyzing conversion of CO2 into cyclic carbonates. J. CO2 Util. 2020, 39, 101162. [Google Scholar] [CrossRef]
- Xu, Z.; Liu, K.; Huang, H.; Zhang, Y.; Long, Z.; Tong, M.; Chen, G. Quaternization-induced catalyst-free synthesis of viologen-linked ionic polyacetylenes towards heterogeneous catalytic CO2 fixation. J. Mater. Chem. A 2022, 10, 5540–5549. [Google Scholar] [CrossRef]
- Zhang, J.; Li, X.; Zhu, Z.; Chang, T.; Fu, X.; Hao, Y.; Meng, X.; Panchal, B.; Qin, S. Hydroxylamino-Anchored Poly(Ionic Liquid)s for CO2 Fixation into Cyclic Carbonates at Mild Conditions. Adv. Sustain. Syst. 2020, 5, 2000133. [Google Scholar] [CrossRef]
- Chen, Y.; Luo, R.; Bao, J.; Xu, Q.; Jiang, J.; Zhou, X.; Ji, H. Function-oriented ionic polymers having high-density active sites for sustainable carbon dioxide conversion. J. Mater. Chem. A 2018, 6, 9172–9182. [Google Scholar] [CrossRef]
- Chen, G.; Zhang, Y.; Xu, J.; Liu, X.; Liu, K.; Tong, M.; Long, Z. Imidazolium-based ionic porous hybrid polymers with POSS-derived silanols for efficient heterogeneous catalytic CO2 conversion under mild conditions. Chem. Eng. J. 2020, 381, 122765. [Google Scholar] [CrossRef]
- Zhang, B.; Jiang, Z.; Zhou, X.; Lu, S.; Li, J.; Liu, Y.; Li, C. The Synthesis of Chiral Isotetronic Acids with Amphiphilic Imidazole/Pyrrolidine Catalysts Assembled in Oil-in-Water Emulsion Droplets. Angew. Chem. Int. Ed. 2012, 51, 13159–13162. [Google Scholar] [CrossRef]









| Entry | R | Catalyst (mol%) | H2O (mol%) | T, P (°C), (bar) | Time (h) | Yield 1 (%) | Select. (%) | Ref. |
|---|---|---|---|---|---|---|---|---|
| 1 | -CH3 | TBAI (0.5) | 33 | 125, 20 | 1 | 95 | 88 | [113] |
| 2 | -CH3 | TBAI (0.5) | - | 125, 20 | 1 | 27 | 26 | [113] |
| 3 | -CH3 | PPh3BuI (0.5) | 33 | 125, 20 | 1 | 100 | 95 | [113] |
| 4 | -CH3 | PPh3BuI (0.5) | - | 125, 20 | 1 | 25 | 24 | [113] |
| 5 | -CH3 | NaI (1) | - | 120, 20 | 1 | 8 | >99 | [114] |
| 6 | -CH3 | NaI·2H2O (1) | - | 120, 20 | 1 | 94 | >99 | [114] |
| 7 | -CH3 | TBAI (1) | 14 | 45, 10 | 18 | 55 | >99 | [116] |
| 8 | -CH3 | PPNI (1) | 14 | 45, 10 | 18 | 59 | >99 | [116] |
| 9 | -Ph | MgI2 (1)/ Aminopyridine 2 (2) | - | 60, 1 | 12 | 77 | 99 | [55] |
| 10 | -Ph | NaI (1)/ aminopyridine (2) | - | 60, 1 | 12 | 61 | 93 | [55] |
| 11 | -Ph | NaI (1) | 10 | 60, 1 | 12 | - | - | [55] |
| 12 | -Ph | NaI (1)/ aminopyridine (2) | 1–10 | 60, 1 | 12 | ~80 | 88 | [55] |
| 13 | -CH2Cl | ImI 3 (5) | - | 50, 1 | 3 | 62 | - | [117] |
| 14 | -CH2Cl | ImI (5) | 5 | 50, 1 | 3 | 65 | - | [117] |
| 15 | -CH2Cl | TBAI (5) | - | 50, 1 | 3 | 36 | - | [117] |
| 16 | -CH2Cl | TBAI (5) | 5 | 50, 1 | 3 | 68 | - | [117] |
| 17 | -CH3 | His 4 (0.44) | - | 120, 12 | 3 | - | - | [118] |
| 18 | -CH3 | His (0.44) | 13 | 120, 12 | 3 | 90 | 91 | [118] |

| Entry | Water/Epoxide (v/v) | Surfactant | Conversion (%) | Selectivity (%) |
|---|---|---|---|---|
| 1 | - | - | 3 | 100 |
| 2 | 0.005 | - | 5 | 100 |
| 3 | 8 | - | 3 | 45 |
| 4 | 8 | SDS | 2 | 50 |
| 5 | 8 | DDA | 87 | ≥99 |
| 6 | 8 | TEA | 3 | 100 |

| Entry | H2O (mL) | Epoxide/Water (v/v) | Salt Additive a | Time (h) | Conversion (%) | Selectivity (%) |
|---|---|---|---|---|---|---|
| 1 | - | ∞ | - | 24 | 15 | 88 |
| 2 | 0.1 | 12 | - | 24 | 83 | 99 |
| 3 | 0.5 | 2.4 | - | 24 | 99 | 99 |
| 4 | 0.8 | 1.5 | - | 24 | 99 | 98 |
| 5 | 1.0 | 1.2 | - | 24 | 89 | 96 |
| 6 | 2.0 | 0.6 | - | 24 | 4 | 41 |
| 7 | 0.5 | 2.4 | - | 12 | 35 | 94 |
| 8 | 0.5 | 2.4 | KI | 12 | 87 | 98 |
| 9 | 0.5 | 2.4 | KOAc | 12 | 99 | 97 |
| 10 | 0.5 | 2.4 | NaCl | 12 | 77 | 97 |
| 11 | 0.5 | 2.4 | LiCl | 12 | 30 | 91 |
| 12 | 0.5 | 2.4 | NaI | 12 | 28 | 74 |
| 13 | 0.5 | 2.4 | LiClO4 | 12 | 7 | 26 |
| 14 b | - | 2.4 | Seawater | 12 | 99 | 99 |
Disclaimer/Publisher’s Note: The statements, opinions and data contained in all publications are solely those of the individual author(s) and contributor(s) and not of MDPI and/or the editor(s). MDPI and/or the editor(s) disclaim responsibility for any injury to people or property resulting from any ideas, methods, instructions or products referred to in the content. |
© 2024 by the authors. Licensee MDPI, Basel, Switzerland. This article is an open access article distributed under the terms and conditions of the Creative Commons Attribution (CC BY) license (https://creativecommons.org/licenses/by/4.0/).
Share and Cite
Tangyen, N.; Natongchai, W.; D’Elia, V. Catalytic Strategies for the Cycloaddition of CO2 to Epoxides in Aqueous Media to Enhance the Activity and Recyclability of Molecular Organocatalysts. Molecules 2024, 29, 2307. https://doi.org/10.3390/molecules29102307
Tangyen N, Natongchai W, D’Elia V. Catalytic Strategies for the Cycloaddition of CO2 to Epoxides in Aqueous Media to Enhance the Activity and Recyclability of Molecular Organocatalysts. Molecules. 2024; 29(10):2307. https://doi.org/10.3390/molecules29102307
Chicago/Turabian StyleTangyen, Niracha, Wuttichai Natongchai, and Valerio D’Elia. 2024. "Catalytic Strategies for the Cycloaddition of CO2 to Epoxides in Aqueous Media to Enhance the Activity and Recyclability of Molecular Organocatalysts" Molecules 29, no. 10: 2307. https://doi.org/10.3390/molecules29102307
APA StyleTangyen, N., Natongchai, W., & D’Elia, V. (2024). Catalytic Strategies for the Cycloaddition of CO2 to Epoxides in Aqueous Media to Enhance the Activity and Recyclability of Molecular Organocatalysts. Molecules, 29(10), 2307. https://doi.org/10.3390/molecules29102307

