Abstract
Cancer is ranked among lethal diseases globally, and the increasing number of cancer cases and deaths results from limited access to effective therapeutics. The use of plant-based medicine has been gaining interest from several researchers. Carvacrol and its isomeric compound, thymol, are plant-based extracts that possess several biological activities, such as antimalarial, anticancer, antifungal, and antibacterial. However, their efficacy is compromised by their poor bioavailability. Thus, medicinal scientists have explored the synthesis of hybrid compounds containing their pharmacophores to enhance their therapeutic efficacy and improve their bioavailability. Hence, this review is a comprehensive report on hybrid compounds containing carvacrol and its isomer, thymol, with potent anticancer and antibacterial agents reported between 2020 and 2024. Furthermore, their structural activity relationship (SAR) and recommended future strategies to further enhance their therapeutic effects will be discussed.
1. Introduction
Several processes such as dysfunctional signalling transduction, the production of genomic instability, the evasion of immune destruction, metastasis and aberrant gene expression, and angiogenesis contribute to the development of uncontrolled cell growth known as cancer [1,2]. The lack of effective therapeutics for the treatment of cancer has been a great challenge to public health systems globally [1]. The complexity of cancer treatment is a major contributing factor to the significant progress made so far in the development of anticancer agents [1,3]. Due to the limitations associated with treatment strategies, such as chemotherapy, immunotherapy, and surgery, that are used to treat cancer, more than 10 million deaths were reported in 2020 [4,5,6]. More metastatic cancer cases were reported in 2020 because early cancer diagnosis was compromised by the emergence of COVID-19 [7,8,9].
Similarly, bacterial infections are also a major burden to the public health system globally. The issue of antibiotic resistance is a risk factor that compromises the efficacy of most antibacterial drugs [10,11,12]. More than 700,000 patients die yearly due to a lack of effective treatments, with an estimated 10 million lives being lost due to antibiotic-resistant pathogens each year. Furthermore, this has the potential to put a serious strain on the global economy, as it is estimated that trillions of dollars will be lost due to antibiotic resistance by 2050 [11,12]. There is an urgent need for effective therapeutics to be developed to treat cancer and bacterial infections.
Plant-based compounds such as thymol and carvacrol (Figure 1) are being explored for the development of new medicines with limited side effects [5,13,14,15]. Fifty percent of available drugs in the market are produced from natural products [13]. Therefore, the extraction and development of natural compounds are interesting areas of research. Carvacrol and its derivatives belong to the monoterpene class of natural products [4,16]. This class of natural compounds possesses antifungal, anticancer, antioxidant, antiparkinsonian, anti-anxiety, and antibacterial activities [4,5,13,17,18,19]. They have been used in the design of hybrid compounds.
Figure 1.
Chemical structures of carvacrol (1) and thymol (2).
The concept of hybridization is an effective and exciting strategy to develop new therapeutics [20,21]. It involves forming a single-entity drug from the combination of two or more pharmacophores. This strategy is characterized by promising advantages, such as increased patient compliance, multiple targets, reduced drug–drug interaction, etc. It is a promising drug design strategy that is effective in overcoming limitations such as drug resistance and drug–drug interactions, which are common with most chemotherapeutics [20,21]. Based on the aforementioned features of hybridization, several medicinal scientists have investigated the anticancer and antibacterial activity of carvacrol and thymol when hybridized with other pharmacophores. In this review, an update on carvacrol- and thymol-based hybrid compounds developed as potential antibacterial and anticancer therapeutic agents reported between 2020 and 2024 is presented.
2. Carvacrol and Thymol Synopsis
Carvacrol (1) and thymol (2) (Figure 1) are isomeric compounds from the monoterpenoid phenol family [22]. These essential oils are extracted from several groups of aromatic plants such as the Lamiaceae family, Thymus, Satureja, Origanum, Thymbra, Lippia pepperwort, Corydothymus, and Wild bergamot [23]. They are liquid phenolic monoterpenes that exist in the mentioned aromatic plants with boiling and melting points in the range of 236–237 ℃ and 3–4 ℃, respectively. They have also been synthesized by multiple biotechnological techniques. They are very soluble in diethyl ether, acetone, and ethanol but are not soluble in water [24,25].
These isomeric compounds have been used as preservative and biomedical applications, owing to their anaesthetic, antimicrobial, antifungal, antioxidant, anti-inflammatory, anticancer activities, etc. (Figure 2). Additionally, they have been used in perfumery and cosmetics [24,25,26,27,28]. They are effective in reducing the rate of food spoilage and pathogenic bacteria growth [25,26]. The presence of a free hydroxyl group and the phenol ring contributes to the antibacterial and antioxidant activities of carvacrol and thymol [29,30].
Figure 2.
Biological activities of thymol and carvacrol.
The mechanism of action of these two aforementioned essential oils involves multi-targeting actions [31]. Therefore, their modes of action might depend on the pathogens and tumours targeted. The antibacterial action of these two isomeric compounds has been linked to their significant effects on the cytoplasmic membrane’s structural and functional characteristics (Figure 3). In essence, their mode of action is associated with the destruction of the bacteria cell membrane [29,32]. On the other hand, several studies have confirmed that the primary mechanism of action of carvacrol and thymol involves the decrease in cancer cell viability and their capability to induce apoptosis through both intrinsic and extrinsic routes (Table 1) [33,34,35,36]. Additionally, they produce more reactive oxygen species (ROS), which interrupt the DNA of cancer cells [33,34,35,36].
Figure 3.
Carvacrol and thymol’s anticancer and antibacterial mechanisms of action.
Table 1.
Mechanism of action and limitations of carvacrol and thymol.
Carvacrol and thymol are regarded as safe compounds, and they possess several biological activities. Thus, their ability to simultaneously target several cells, pathogens, strains, etc., due to their vast mechanism of action is one of the advantages these two isomeric compounds when used in health applications [27,37,38,39,40,41,42]. However, their use is compromised by several limitations, such as drug resistance, toxicity in high doses, poor solubility in water, and poor drug delivery, which lead to poor bioavailability, low stability, and high hydrophobicity [24,41,42]. The use of high concentrations of these isomeric compounds results in mutagenicity and genotoxicity. Additionally, skin and eye irritation are side effects associated with carvacrol and thymol [24]. Thus, finding an alternative approach to improve their use in health applications is an interesting topic that needs to be addressed.
The hydroxyl functional group contributes to the antibacterial activity of the two phenolic compounds. In contrast, the anticancer structural activity relationship of these two compounds is still debatable [24,42]. These compounds have been applied in several therapeutic applications, including antibacterial and anticancer treatments. However, their efficacy in both combination therapy and monotherapy is compromised by some limitations, e.g., poor bioavailability, etc. [43,44,45]. Hence, better strategies to improve their therapeutic effect are a pressing need. Thus, the development of hybrid drugs using these two isomeric compounds may result in new therapeutic agents that can overcome their shortcomings [20]. Hybrid drugs are a cocktail of drugs developed through a combination of two or more drugs into a single drug molecule with reduced toxicity, dual targets, fewer side effects, and improved biological activities [20].
3. Carvacrol- and Thymol-Based Hybrid Compounds with Anticancer Activity
The development of novel therapeutics using plant-based molecules is one interesting area of research for medicinal scientists due to their biologically friendly properties and the non-toxicity of plant-based molecules to normal cells [18,46]. Thus, using them for the development of hybrid drug molecules can overcome their limitations and is a promising drug design strategy. Demirbolat et al. validated the hybrid synthetic approach through the synthesis of a series of carvacrol hybrid molecules (Figure 4) [1]. The hybrid compounds’ cytotoxic effect was tested on several cancer cells, including NIH/3T3, PC-3, MCF-7, K562, A549, and SH-SY5Y [1]. The findings displayed promising percentage proliferation inhibition rates which ranged between −39.03% and 40.62% against MCF-7 cancer cell lines. However, only compound 3 with a benzene ring and sulfonamide group on the triazole moiety displayed an IC50 value of 12.8 µM, which revealed a significant cytotoxic effect when compared to that of doxorubicin (49.05 µM). The rest of the synthesized molecules were found to be inactive with IC50 values greater than 100 µM against the MCF-7 cancer cell line. Furthermore, compound 3 promoted apoptosis in a dose-dependent manner. The toxicity studies from the in-silico studies of hybrid 3 showed that the compound exhibited no tumorigenic or mutagenic effects. This compound did not display an anticancer effect against PC-3, although its isomeric partner (thymol hybrid derivatives) from the previous study by the same group [47] displayed an IC50 of 5.96 µM against the same cancer cell in vitro. Hence, further studies are recommended [1]. The SAR of these hybrids synthesized by Demirbolat et al. displayed no consistent trend. However, the results of the percentage inhibition of proliferation depicted that the introduction of the benzene ring, sulfonamide group, and halogens to the triazole moiety influenced the anticancer activity of the compound. Therefore, further structural elucidation is paramount.
Figure 4.
Chemical structure of the most active hybrid derivative 3 from the carvacrol generation synthesized by Demirbolat et al.
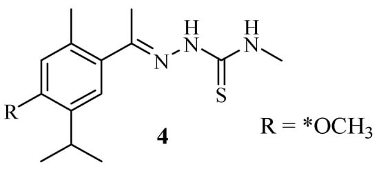
Laamari et al. synthesized thymol hybrids and evaluated their anticancer effect on four different cancer cell lines (MCF-7, A-549, MDA-MB-231, and HT-1080) [9]. Most of the synthesized compounds displayed moderate levels of cytotoxicity in comparison with those of the reference drug, with IC50 values in the range of 7.10–50 μM. The cytotoxic effect of compound 4 (a combination of thiosemicarbazone and thymol) was significant when compared to that of other compounds in the series against almost all of the selected cancer cell lines with IC50 values between 7.10 and 19 μM. Specifically, against HT-1080 cancer cells, compound 4 (Figure 5) exhibited comparable anticancer activity to that of the control drug (6.21 μM) with IC50 values of 7.10 μM. The mode of action of the compound against A-549 and HT-1080 includes the induction of early and late apoptosis via cell cycle arrest in the G2/M-phase and caspase-3/7 activation. However, in vivo results were recommended to further validate the anticancer activity of this compound. Notably, replacing the hydrogen molecule with the methyl group on the side chain of the thiosemicarbazone improved the anticancer activity of this hybrid [9].
Figure 5.
Chemical structure of hybrid 4 synthesized via a combination of thiosemicarbazone and thymol by Laamari et al.
Laamari et al. further synthesized p-methoxy thymol pyrazole hybrids via 1,3-dipolar cycloaddition methods. Four different human cancer cells used in their previous study were used to test the anticancer effect of these hybrids [9], and the same control drug was used [18]. All the compounds displayed moderate anticancer effects with IC50 values ranging from 22.17 to 62.72 µM against all selected cancer cell lines [18]. The p-methoxy thymol pyrazole hybrids showed better cytotoxic effects when compared to other thymol pyrazole hybrids. The ether group on the thymol moiety influenced the improved anticancer activity. Hence, hybrids 5a and 5b (Figure 6) were regarded as the most active compounds against the A-549 and HT-1080 cell lines. Notably, the cytotoxicity IC50 values further improved in the range of 17.28–22.17 µM and 11.40–23.79 µM with an extended incubation period against the most sensitive cell line (A-549), respectively. Therefore, the anticancer effect of these hybrid drugs was time and structure dependent. However, further validation studies are recommended [18].
Figure 6.
p-methoxythymol pyrazole hybrids 5a–b synthesized by Laamari et al.
Almalki et al. synthesized thymol hybrid compounds after they displayed good druglikeness and pharmacokinetics properties in silico [48]. The synthesized hybrids 6a–m (Figure 7) displayed significant antiproliferative results when compared to the reference drugs (doxorubicin (IC50 = 1.2 µM) and 5-fluorouracil (IC50 = 18.74 µM)) with no obvious trends when evaluated against HCT-116, MCF-7, and HepG2 cancer cell lines. The hybrids displayed selective anticancer effects on the cancer cell lines, with compounds 6b–f being the most potent compounds against MCF-7 with IC50 values in the range of 1.1–4.9 µM. Hybrids 6b and 6d inhibited the growth of HepG2 cell lines with IC50 values of 1.8 µM and 1.4 µM, respectively. Against HCT-116 cell lines, only compound 6d showed promising results with an IC50 value of 2.6 µM. These antiproliferative results were comparable to those of doxorubicin but were 15–20-fold more active than 5-fluorouracil [48]. The SAR of these hybrids revealed that the number and position of substituents influenced the anticancer effect [48]. The biological activity of the hybrids was not enhanced for the meta- and para-substituted hybrids when compared to the ortho-substituted hybrids with improved cytotoxicity. Increasing the number of substituents reduced their cytotoxic effects when compared to the monosubstituted hybrids. The introduction of a sulfone group also reduced the cytotoxic effect of the hybrids [48].
Figure 7.
Chemical structure of hybrids 6a–m synthesized by Almalki et al.
Carvacrol hybrids (Figure 7) were reported by Sisto et al. [49]. In vitro cytotoxicity tests were performed on gastric adenocarcinoma cell lines. Among seventeen carvacrol hybrid derivatives, five showed a loss of activity, as their cell viability was inferior to that of carvacrol. All the hybrids exhibited poor activity compared to that of the control drug, 5-Fluorouracil. The SAR trend was unclear. However, a direct substitution to the hydroxyl functional group of carvacrol resulted in a significant loss of biological activity (Figure 8). The introduction of the benzyl moiety specifically with 3-CH3, 4-SO2CH3, 4-CF3, and 4-SOCH3 on the meta- and para-positions improved the biological activity of the hybrid compounds. In essence, the position of the substitution influenced the activity of these hybrid derivatives. Hence, further optimization was recommended [49].
Figure 8.
SAR of the carvacrol hybrids synthesized by Sisto et al.
Szostek et al. synthesized thymol–ciprofloxacin hybrids (Figure 9), which were evaluated against four cancer and one normal human cell lines [50]. The cytotoxic effects of most of the hybrids were moderate against all of the cancer cell lines. Compound 7a–b displayed a promising anticancer activity against the cancer cells with IC50 values less than 52 µM. No significant cytotoxic effect was visible on the normal human cell lines. The selective index (SI) values of hybrid 7a–b were in the range of 1.9 to 3.4, revealing insignificant anticancer activity when compared to the control drug, doxorubicin, with SI values in the range of 0.14–1.11. However, unlike doxorubicin, which displayed cytotoxicity against all of the used cell lines, including normal cells, compounds 7a and 7b were cytotoxic towards only the cancer cell lines. There was no obvious SAR trend in these compounds. Therefore, these compounds are recommended for further studies [50].
Figure 9.
Chemical structures of thymol–ciprofloxacin hybrids 7a–b synthesized by Szostek et al.
Carvacrol hybrid compounds synthesized by Mbese et al. [51] were potent anticancer compounds with IC50 values between 0.47 and 16.57 µM. Specifically, compound 8 (Figure 10) displayed significant results against MCF-7 and MCF-12A with IC50 values of 0.47 and 0.75 µM, respectively. The improved anticancer activity was attributed to the incorporation of artesunate via an ester linker into the carvacrol moiety. Hence, hybridizing carvacrol with other anticancer pharmacophores is a promising approach. However, further studies are recommended [51].
Figure 10.
Hybrid 8 synthesized by Mbese et al.
Valverde Sancho et al. synthesized hybrid compounds through the combination of carvacrol, eugenol, and cinnamic acid and tested their antibacterial and anticancer properties [52]. Among the synthesized compounds, carvacrol and thymol hybrids (9a–d) showed potent anticancer effects with LC50 values in the range of 50.39–71.95 µg/mL. Compound 9a (Figure 11), which was synthesized through a combination of thymol and benzoic acid, was the most significant anticancer agent with an LC50 value of 50.39 µg/mL. Notably, a combination of Thyme vulgaris essential oils and Cinnamomum verum extracted compounds resulted in effective therapeutic agents [52]. The SAR of these hybrids did not follow a significant trend. However, the incorporation of cinnamic acid and benzoic acid moieties into thymol and carvacrol via ester linkers improved their anticancer activity [52].
Figure 11.
Hybrids 9a–d synthesized by Valverde Sancho et al.
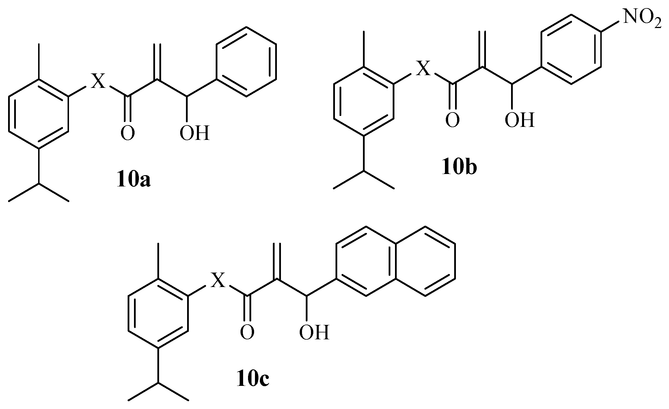
Vasconcelos et al. reported carvacrol derivatives with cytotoxic effects against SH-SY5Y and HEK-293 cancer cell lines [53]. Most of the hybrids exhibited an anticancer effect that was 10-fold more effective than carvacrol (IC50 = 374.1 µM) with IC50 values between 9.79 and 64.72 µM [53]. Notably, compounds 10a–c (Figure 12) were the most active anticancer hybrids with a selective index of more than 3.0 compared to that of carvacrol (0.93), suggesting that the derivatives have more anticancer properties compared to the parent drug. Additionally, SAR indicated that the nitro position favouring para positions and the type of halogen present were influential on the anticancer effect of these compounds. Due to its promising anticancer effect, in vivo mechanistic studies and clinical trials were suggested for compound 10c [53].
Figure 12.
Carvacrol hybrids 10a–c synthesized by Vasconcelos et al.
Interesting anticancer findings on two generations of coumarin–monoterpenes, including thymol and carvacrol moieties, were reported by Zengin et al. [54]. The cytotoxic effect of the hybrid compounds was studied using PC3, HT-29, HEK293T, and MCF-7 cell lines. The different linkers explored in these hybrids did not induce a significant trend in their anticancer activity. However, the hybridization of coumarin with monoterpenes is a promising approach to developing potent therapeutic agents. Thus, the hybrids were selective towards the cell lines, with thymol (11a) and carvacrol (11b) hybrids (Figure 13) displaying good anticancer activity after several evaluations, with 11a exhibiting an IC50 value of 2.48 μM against MCF-7 and 11b exhibiting values of 9.10, 9.40, and 12.01 μM against MCF-7, PC-3, and HT-29, respectively. The IC50 values of the compounds revealed promising anticancer activity, and they both induced apoptosis in MCF-7 and HT-29, respectively. Hence, further studies on compounds 11a and 11b are recommended [54].
Figure 13.
Thymol and carvacrol coumarin hybrids 11a–b.
Sahin et al. reported the anticancer activity of thymol hybrid compounds 12a–c (Figure 14) [55]. The compounds were screened against several cancer cells. The hybrids 12a–c were selective towards cell lines exhibiting IC50 values, revealing a superior anticancer activity to that of the control drug with some exceptions. Compound 12a with the 5-methylthiophene group (IC50 value = 7.67 μM) and 12c with the 3-bromo-5-chlorobenzylideneamino group (IC50 value = 12.39 μM) showed significant cytotoxic effects when compared to cisplatin (IC50 value = 16.27 and 19.16 μM) against PC3 and DLD-1 cancer cell lines, respectively. The structural modification displayed no cytotoxic influential trend in the hybrids’ anticancer effect [55]. Therefore, further studies on these hybrids are paramount.
Figure 14.
Chemical structure of thymol-based hybrid 12a–c synthesized by Sahin et al.
The in silico pharmacokinetic and pharmacodynamic studies of the carvacrol–aldehyde hybrid derivative 13 (Figure 15) reported by Bansal et al. displayed an anti-metastatic effect [56]. The binding affinity energy of the hybrid drug was −5.3 kcal/mol with a good interaction with metastasis-associated protein 1. It also displayed druglikeness properties according to Lipinski’s rule of five. Therefore, further studies, such as in vitro and in vivo studies, are recommended for this potent anticancer compound [56].
Figure 15.
Chemical structure of carvacrol–aldehyde derivative, 13.
Five thymol hybrids were synthesized by Yu et al., and their anticancer efficacy was evaluated on different human cancer cells: Hep G2, A549, MCF-7, and HeLa [57]. Against these human cancer cell lines, hybrid 14a–c (modified on the isopropyl side of thymol) (Figure 16) displayed significant activity (i.e., IC50 values in the range of 6.24–11.96 µM) which was comparable to that of cisplatin (IC50 values in the range of 6.20–10.95 µM). These findings reveal that the anticancer efficacy of thymol can be enhanced via modifications, promoting its application in the design of anticancer drugs [57].
Figure 16.
Chemical structures of thymol hybrid derivatives 14a–c modified by Yu et al.
Khwaza et al. synthesized ursolic–carvacrol derivatives 15a–c (Figure 17) and evaluated them against three cancer cells, including MCF-7, MD-MBA-231, and HeLa [58]. The synthesized compounds displayed inferior anticancer results with IC50 values in the range of 51.05–64.75 μg/mL when compared to 49 μg/mL of ursolic acid. Modifying the hydroxyl group on the carvacrol moiety and the di-substitution of the hydroxyl and carboxylic groups of the ursolic acid moiety compromised the anticancer activity of the compounds [58]. Therefore, further structural elucidation is recommended. Summary of the anticancer activity, SAR, and mechanism of action of carvacrol and thymol hybrids (Table 2).
Figure 17.
Chemical structures of ursolic–carvacrol hybrid drugs 15a–c.
Table 2.
Summary of the anticancer activity, SAR, and mechanism of action of carvacrol and thymol hybrids.
4. Carvacrol/Thymol Hybrid Compounds with Antibacterial Activity
The antibacterial effects of thymol and carvacrol include microbes encased in biofilms. Their derivatives have drawn a lot of interest owing to their antibacterial, anti-HIV, antifungal, and antiviral properties [59,60]. The evaluation of the antibacterial activity of derivatives of thymol and carvacrol against a variety of bacterial strains revealed the impact of structural modifications [61]. Since thymol and carvacrol consist of hydroxyl groups and are structurally isomeric, they both exhibited comparable levels of inhibitory effects [62].
Mbese et al. synthesized carvacrol ester hybrids (Figure 18) and tested them against different bacterial strains [51]. The hybrids displayed good antibacterial activity with minimum inhibitory concentration (MIC) values in the range of 1.25–3.3 μg/mL. However, they did not induce significant antibacterial effects when compared to the parent drug (carvacrol). Moreover, compound 16 was the most active compound with MIC values in the range of 0.10–0.68 μg/mL [51]. The 4-aminoquinoline scaffold was influential in the antibacterial activity of this compound. Additionally, the modification of the hydroxyl group resulted in the compromised antibacterial activity of the hybrids. Thus, collaborating findings were reported by Ranjbar-Karimi Alireza [63]. Therefore, further studies of these carvacrol–ester hybrids are essential [51].
Figure 18.
Hybrid 16 synthesized by Mbese et al.
Thymol hybrid compounds 12a–c (shown in Figure 14) displayed improved antibacterial effects which were comparable to those of their parent drug, thymol, against E. coli with MIC values between 10.66 and 11 µM, as reported by Sahin et al. [55]. Compound 12c with two halogens was reported as the most effective drug among the synthesized hybrid drugs against the aforementioned bacterial strain. The introduction of halogens to the side chain of the benzylideneamino moiety influenced the antibacterial activity of compound 12c. Therefore, thymol hybrids are a promising lead in a new generation of antibacterial drugs [55].
Khwaza et al. synthesized several hybrid drugs (Figure 17) and evaluated their antibacterial activity against selected strains of bacteria [58]. Among the synthesized hybrids, 15a and 15b carvacrol hybrid drugs displayed remarkable antibacterial activities with MIC values of 15.63 μg/mL against Proteus vulgaris and Proteus mirabilis. Additionally, these compounds displayed comparable antibacterial activities to those of ursolic acid [58]. Ghod Elahi et al. documented that modifying the carvacrol moiety can improve the antibacterial effect [64]. Modifying carvacrol with a peptide improved its antibacterial activity against several bacteria strains, including Pseudomonas aeruginosa and Staphylococcus epidermidis, revealing promising antibacterial activity with MIC values in the range of 0.5–1 μg/mL. However, further studies are recommended [64].
Kumar et al. documented the antibacterial activity of thymol hybrid derivatives synthesized through a combination of thymol, cyclic amines, and sulfanilamides [65]. The hybrids were evaluated against several bacterial strains, including S. aureus and E. coli. Hybrids 17a–c with a cyclic amine moiety (Figure 19) displayed promising antibacterial effects against S. aureus and E. coli. Hybrids 17a and 17b showed MIC values of 12.5 μg/mL and 3.12 μg/mL, respectively, with hybrid 17c displaying an MIC value of 6.25 μg/mL against S. aureus and E. coli. The presence of the aminomethyl group was responsible for the improved antibacterial activity of these compounds. These findings suggest that thymol derivatives are potent antibacterial agents [65].
Figure 19.
Chemical structures of thymol–cyclic amine hybrid compounds 17a–c.
Patil and Pawar synthesized various thymol ether hybrids and evaluated them against four different antibacterial strains [66]. Hybrid 18 (Figure 20) displayed a high antibacterial activity with a 5 mm zone of inhibition against P. valgaries, S. aureus, and B. subtilis. However, this compound showed no significant effect against E. coli. Although the hybrids were selective towards the antibacterial strains, the introduction of the thymol moiety was responsible for the improved activity [66,67].
Figure 20.
Chemical structure of thymol ether hybrid derivative 18.
1,2,3-triazole-thymol hybrid derivatives were synthesized by Addo et al. after they displayed promising antibacterial results when evaluated against several bacterial strains [68]. Most of the synthesized compounds displayed a similar or superior antibacterial activity comparable to that of ampicillin, the control, depending on the bacterial strains used. Antibacterial studies of the compound without chlorine on the fourth position of the thymol moiety against K. pneumonia revealed that the bacterial strain developed resistance. Thus, replacing hydrogen with halogen improved the antibacterial activity of the compounds. Moreover, compound 19 (Figure 21) with a mean zone inhibition of 24.7 mm was the most active antibacterial compound among its counterparts, and it was also comparable to the control drug with a 30 mm mean zone of inhibition [68].
Figure 21.
Chemical structure of 1,2,3-triazole-thymol hybrid derivative 19.
Bhoi et al. synthesized nine benzimidazole–carvacrol hybrids and evaluated them against four different bacterial strains, such as E. coli, S. aureus, S. pyogenus, and P. aeruginosa [69]. The hybrids displayed remarkable antibacterial activities against all four strains compared to those of some of the control drugs that were used. However, they were selective towards the bacterial strains with MIC values between 12.5 and 250 µg/mL. Hybrid 20 (Figure 22) was the most active antibacterial compound with MIC values of 12.5 µg/mL (S. aureus), 25 µg/mL (E. coli), 50 µg/mL (S. pyogenus), and 25 µg/mL (P. aeruginosa), respectively [69]. The position and the nature of the substituent, e.g., the introduction of fluoroalkyl and alkyl groups on the benzimidazole moiety, influenced the antibacterial activity of the hybrids. The trend was inconsistent and depended on the type of bacterial strain used. Hybridizing natural products with azoles and the structural modification of the hybrids can result in effective antibacterial agents that can overcome resistant bacterial strains [68,69,70,71]. Summary of antibacterial activity, SAR, and mechanism of action of carvacrol and thymol hybrids is shown in Table 3.
Figure 22.
Chemical structure of benzimidazole-carvacrol hybrid derivative 20.
Table 3.
Summary of antibacterial activity, SAR, and mechanism of action of carvacrol and thymol hybrids.
5. Conclusions and Future Strategies
The development of new and effective antibacterial and anticancer therapeutics is urgent. Thus, the use of plant-based bioactive molecules to develop new drugs is a promising approach, as compounds extracted from traditional plants have some good features, such as reduced toxicity levels and several biological activities. Drug resistance has been a major issue in the treatment of various diseases, including cancer and bacterial infections. Thus, the number of cases and deaths is increasing due to drug resistance issues. The socio-economic burden as a result of cancer disease and bacterial infections has been projected to be a major problem in the near future. Hence, exploring sustainable strategies for drug development is crucial.
Carvacrol and thymol possess several biological activities. Hybrid drugs are promising therapeutics with unique pharmacological features, making them effective drug molecules. These two isomeric compounds are promising moieties that can be hybridized with other pharmacophores to develop antibacterial and anticancer agents with limited challenges. Some research reports have shown that the antibacterial and antioxidant activities of these isomeric compounds are attributed to their free hydroxyl group [29,30]. Hence, its modification must be avoided [51,63].
However, the site of modification for these drugs is still debatable, as most researchers are using the hydroxyl group as a site of modification. Moreover, most of the promising hybrids reported in this review were combined via the hydroxyl group to form ester linkers, and they displayed potential anticancer and antibacterial effects. Hence, in vivo studies of these compounds are crucial to validate the biological activities and the modes of action of the reported compounds. The reported compounds were selective towards some cancer cell lines and bacterial strains. Thus, the structural activity relationship trends are not consistent. However, in some compounds, the site of the substitution and the nature of the substituent influenced the biological activities of these drugs. Hence, more studies must be performed on these hybrids with more structural modifications using a wider range of cancer cell lines and bacterial strains, as well as in vivo evaluations. Although hybrid compounds are a promising and interesting approach to developing novel and effective therapeutic agents, some structural modifications have resulted in ineffective compounds. For instance, most of the hybrid compounds were characterized by high molecular weights, which sometimes violate Veber’s and Lipinski’s rule [21,72]. Thus, antibiotic hybrid drugs with molecular weights of more than 600 Da are a major concern for gram-positive bacteria, due to the possibility of non-cellular uptake through the dual membrane of the bacteria. Therefore, the molecular weights of the hybrid compounds must not be overlooked [21,72]. The modes of action of the parent drugs can be lost if the structural modifications are performed on functional groups responsible for the parent drug’s mechanism of action. Although hybrid compounds are dual-targeting drugs, hybrids can bind to one original binding site of the parent drug with the possibility of not reaching other targeting sites [72]. Thus, the type of linker and the site of attachment should be considered when developing hybrid compounds.
Author Contributions
Conceptualization, S.P. and N.S.; methodology, S.P., N.S., and B.A.A.; investigation, S.P., N.S., and B.A.A.; writing—original draft preparation, S.P. and N.S.; writing—review and editing, S.P., N.S., and B.A.A.; supervision, B.A.A.; funding acquisition, B.A.A. All authors have read and agreed to the published version of the manuscript.
Funding
The financial support of the University of Fort Hare, Sasol Foundation, South African Medical Research Foundation, National Research Foundation, and Govan Mbeki Research and Development Center for this research is hereby acknowledged. The views and opinions expressed in this manuscript are those of the authors.
Institutional Review Board Statement
Not applicable.
Informed Consent Statement
Not applicable.
Data Availability Statement
Not applicable.
Conflicts of Interest
The authors declare no conflicts of interest.
References
- Demirbolat, I.; Kulabas, N.; Gürboğa, M.; Özakpınar, Ö.B.; Çiftçi, G.; Yelekçi, K.; Jianyang, L.; Per-Johan, J.; Okzan, D.; Ayse, O.; et al. Synthesis and evaluation of antiproliferative and mPGES-1 inhibitory activities of novel carvacrol-triazole conjugates. Org. Commun. 2022, 15, 356–377. [Google Scholar] [CrossRef]
- Zielińska-Błajet, M.; Pietrusiak, P.; Feder-Kubis, J. Selected monocyclic monoterpenes and their derivatives as effective anticancer therapeutic agents. Int. J. Mol. Sci. 2021, 22, 4763. [Google Scholar] [CrossRef] [PubMed]
- Pilleron, S.; Soto-Perez-de-Celis, E.; Vignat, J.; Ferlay, J.; Soerjomataram, I.; Bray, F.; Sarfati, D. Estimated global cancer incidence in the oldest adults in 2018 and projections to 2050. Int. J. Cancer. 2021, 148, 601–608. [Google Scholar] [CrossRef] [PubMed]
- Bansal, A.; Saleh-E-In, M.M.; Kar, P.; Roy, A.; Sharma, N.R. Synthesis of Carvacrol Derivatives as Potential New Anticancer Agent against Lung Cancer. Molecules 2022, 27, 4597. [Google Scholar] [CrossRef]
- Shabani, H.; Karami, M.H.; Kolour, J.; Sayyahi, Z.; Parvin, M.A.; Soghala, S.; Baghini, S.S.; Mardasi, M.; Chopani, A.; Moulavi, P.; et al. Anticancer activity of thymoquinone against breast cancer cells: Mechanisms of action and delivery approaches. Biomed. Pharmacother. 2023, 165, 114972. [Google Scholar] [CrossRef] [PubMed]
- Thiruchenthooran, V.; Sánchez-López, E.; Gliszczyńska, A. Perspectives of the Application of Non-Steroidal Anti-Inflammatory Drugs in Cancer Therapy: Attempts to Overcome Their Unfavorable Side Effects. Cancers 2023, 15, 475. [Google Scholar] [CrossRef]
- Ferlay, J.; Colombet, M.; Soerjomataram, I.; Parkin, D.M.; Piñeros, M.; Znaor, A.; Bray, F. Cancer statistics for the year 2020: An overview. Int. J. Cancer 2021, 149, 778–789. [Google Scholar] [CrossRef] [PubMed]
- Cao, W.; Chen, H.-D.; Yu, Y.W.; Li, N.; Chen, W.Q. Changing profiles of cancer burden worldwide and in China: A secondary analysis of the global cancer statistics 2020. Chin. Med. J. 2021, 134, 783–791. [Google Scholar] [CrossRef]
- Laamari, Y.; Bimoussa, A.; Fawzi, M.; Oubella, A.; Rohand, T.; Van Meervelt, L.; Ait Itto, M.Y.; Morjani, H.; Auhmani, A. Synthesis, crystal structure and evaluation of anticancer activities of some novel heterocyclic compounds based on thymol. J. Mol. Struct. 2023, 1278, 134906. [Google Scholar] [CrossRef]
- da Silva, A.R.P.; do Socorro Costa, M.; Araújo, N.J.S.; de Freitas, T.S.; dos Santos, A.T.L.; Gonçalves, S.A.; da Silva, V.B.; Andrade-Pinheiro, J.C.; Tahim, C.M.; Lucetti, E.C.P.; et al. Antibacterial activity and antibiotic-modifying action of carvacrol against multidrug-resistant bacteria. Adv. Sample Prep. 2023, 7, 100072. [Google Scholar] [CrossRef]
- Jia, Y.; Zhao, L. The antibacterial activity of fluoroquinolone derivatives: An update (2018–2021). Eur. J. Med. Chem. 2021, 224, 113741. [Google Scholar] [CrossRef] [PubMed]
- Bhattarai, S.; Sharma, B.K.; Subedi, N.; Ranabhat, S.; Baral, M.P. Burden of Serious Bacterial Infections and Multidrug-Resistant Organisms in an Adult Population of Nepal: A Comparative Analysis of Minimally Invasive Tissue Sampling Informed Mortality Surveillance of Community and Hospital Deaths. Clin. Infect. Dis. 2021, 73, 415–421. [Google Scholar] [CrossRef] [PubMed]
- Ali, T.; Majeed, S.T.; Majeed, R.; Bashir, R.; Mir, S.A.; Jan, I.; Bader, G.N.; Andrabi, K.I. Recent Advances in the Pharmacological Properties and Molecular Mechanisms of Carvacrol. Rev. Bras. Farmacogn. 2023, 34, 35–47. [Google Scholar] [CrossRef] [PubMed]
- Seca, A.M.L.; Pinto, D.C.G.A. Plant secondary metabolites as anticancer agents: Successes in clinical trials and therapeutic application. Int. J. Mol. Sci. 2018, 19, 263. [Google Scholar] [CrossRef] [PubMed]
- Zieli, M.; Feder, K. Monoterpenes and Their Derivatives—Recent Development in Biological and Medical Applications. Int. J. Mol. Sci. 2020, 21, 7078. [Google Scholar] [CrossRef] [PubMed]
- Bansal, A.; Sharma, N.R. Emerging Anticancer Metabolite, Carvacrol, and its Action Mechanism. Proc. Natl. Acad. Sci. India Sect. B—Biol. Sci. 2024, 1–9. [Google Scholar] [CrossRef]
- Tohidi, B.; Rahimmalek, M.; Arzani, A.; Sabzalian, M.R. Thymol, carvacrol, and antioxidant accumulation in Thymus species in response to different light spectra emitted by light-emitting diodes. Food Chem. 2020, 307, 125521. [Google Scholar] [CrossRef] [PubMed]
- Laamari, Y.; Fawzi, M.; Hachim, M.E.; Bimoussa, A.; Oubella, A.; Ketatni, E.M.; Saadi, M.; Ammari, L.E.; Ait Itto, M.Y.; Morjani, H.; et al. Synthesis, characterization and cytotoxic activity of pyrazole derivatives based on thymol. J. Mol. Struct. 2024, 1297, 136864. [Google Scholar] [CrossRef]
- Fernández-Babiano, I.; Navarro-Pérez, M.L.; Pérez-Giraldo, C.; Fernández-Calderón, M.C. Antibacterial and Antibiofilm Activity of Carvacrol against Oral Pathogenic Bacteria. Metabolites 2022, 12, 1255. [Google Scholar] [CrossRef]
- Szumilak, M.; Wiktorowska-owczarek, A. Hybrid Drugs—A Strategy for Overcoming Anticancer Drug Resistance? Molecules 2021, 26, 2601. [Google Scholar] [CrossRef]
- Singh, A.K.; Kumar, A.; Singh, H.; Sonawane, P.; Paliwal, H.; Thareja, S.; Pathak, P.; Jaremko, M.; Emwas, A.H.; Yadav, J.P. Concept of Hybrid Drugs and Recent Advancements in Anticancer Hybrids. Pharmaceuticals 2022, 15, 1071. [Google Scholar] [CrossRef] [PubMed]
- da Silva Costa, J.R.; do Vale, T.L.; da Silva, G.F.; da Silva, N.C.S.; da Silva Lima, A.; Costa-Junior, L.M.; Luz, H.R. Encapsulation of carvacrol and thymol with yeast cell wall and its repellent activity against Amblyomma sculptum and Rhipicephalus sanguineus (Sensu Lato). Exp. Appl. Acarol. 2024, 92, 555–565. [Google Scholar] [CrossRef] [PubMed]
- De Souza, R.L.; Gabrielle, A.; Dantas, B.; Melo, C.D.O.; Felício, I.M.; Oliveira, E.E. Journal of Drug Delivery Science and Technology Nanotechnology as a tool to improve the biological activity of carvacrol: A review. J. Drug Deliv. Sci. Technol. 2022, 76, 103834. [Google Scholar] [CrossRef]
- Bhojraj, N.; Kulawik, P.; Ozogul, F.; Regenstein, J.M.; Ozogul, Y. Trends in Food Science & Technology Biological activity of plant-based carvacrol and thymol and their impact on human health and food quality. Trends Food Sci. Technol. 2021, 116, 733–748. [Google Scholar] [CrossRef]
- Wang, P.; Wu, Y. Food Hydrocolloids A review on colloidal delivery vehicles using carvacrol as a model bioactive compound. Food Hydrocoll. 2021, 120, 106922. [Google Scholar] [CrossRef]
- Fonseca, L.M.; Souza, E.J.D.; Radünz, M.; Gandra, E.A.; da Rosa Zavareze, E.; Dias, A.R.G. Suitability of starch/carvacrol nanofibers as biopreservatives for minimizing the fungal spoilage of bread. Carbohydr. Polym. 2021, 252, 117166. [Google Scholar] [CrossRef] [PubMed]
- Mozafari, M.R.; Alavi, M. Main distinction between tocomosome and nano-liposome as drug delivery system: A scientific and technical point of view. Micro Nano Bio Asp. 2023, 2, 26–29. [Google Scholar] [CrossRef]
- Singh, A.; Singh, K.; Kaur, K.; Sharma, A.; Mohana, P.; Prajapati, J.; Kaur, U.; Goswami, D.; Arora, S.; Chadha, R.; et al. Discovery of triazole tethered thymol/carvacrol-coumarin hybrids as new class of α-glucosidase inhibitors with potent in vivo antihyperglycemic activities. Eur. J. Med. Chem. 2024, 263, 115948. [Google Scholar] [CrossRef]
- Chroho, M.; Rouphael, Y.; Petropoulos, S.A.; Bouissane, L. Carvacrol and Thymol Content Affects the Antioxidant and Antibacterial Activity of Origanum compactum and Thymus zygis Essential Oils. Antibiotics 2024, 13, 139. [Google Scholar] [CrossRef]
- Hassan, Q.; Aljelehawy, A.; Maroufi, Y.; Javid, H.; Mohammadi, M.R.; Raji Mal Allah, O.; Taheri, S.V.; Mohammadzade, H. Anticancer, antineurodegenerative, antimicrobial, and antidiabetic activities of carvacrol: Recent advances and limitations for effective formulations. Nano Micro Biosyst. 2023, 2, 1–11. [Google Scholar] [CrossRef]
- Bagetta, D.; Maruca, A.; Lupia, A.; Mesiti, F.; Catalano, R.; Romeo, I.; Moraca, F.; Ambrosio, F.A.; Costa, G.; Artese, A.; et al. Mediterranean products as promising source of multi-target agents in the treatment of metabolic syndrome. Eur. J. Med. Chem. 2020, 186, 111903. [Google Scholar] [CrossRef] [PubMed]
- Encapsulated, C.; Hydrogel, G.; Jaafar, A.M.; Hasnu, N.; Zainal, Z.; Masarudin, M.J. Preparation, Characterisation and Antibacterial Activity of essential oils of Salvia officinalis growing in Morocco. Rocz. Państwowego Zakładu Hig. 2021, 74, 459–468. [Google Scholar] [CrossRef] [PubMed]
- Khan, F.; Pandey, P.; Maqsood, R.; Upadhyay, T.K. Anticancer Effects of Carvacrol in In Vitro and In Vivo Models: A Comprehensive Review. Biointerface Res. Appl. Chem. 2023, 13, 290–303. [Google Scholar] [CrossRef]
- Sampaio, L.A.; Pina, L.T.S.; Serafini, M.R.; Tavares D-dos, S.; Guimarães, A.G. Antitumor Effects of Carvacrol and Thymol: A Systematic Review. Front. Pharmacol. 2021, 12, 702487. [Google Scholar] [CrossRef] [PubMed]
- Deepa, K.V.; Venghateri, J.B.; Khajanchi, M.; Gadgil, A.; Roy, N. Cancer epidemiology literature from India: Does it reflect the reality? J. Public Health 2021, 42, E421–E427. [Google Scholar] [CrossRef]
- Ahmad, A.; Saeed, M.; Ansari, I.A. Molecular insights on chemopreventive and anticancer potential of carvacrol: Implications from solid carcinomas. J. Food Biochem. 2021, 45, 14010. [Google Scholar] [CrossRef] [PubMed]
- Churklam, W.; Chaturongakul, S.; Ngamwongsatit, B.; Aunpad, R. The mechanisms of action of carvacrol and its synergism with nisin against Listeria monocytogenes on sliced bologna sausage. Food Control 2020, 108, 106864. [Google Scholar] [CrossRef]
- Tian, L.; Wang, X.; Liu, R.; Zhang, D.; Wang, X.; Sun, R.; Gong, G. Antibacterial mechanism of thymol against Enterobacter sakazakii. Food Control 2021, 123, 107716. [Google Scholar] [CrossRef]
- Imran, M.; Aslam, M.; Alsagaby, S.A.; Saeed, F.; Ahmad, I.; Afzaal, M.; Arshad, M.U.; Abdelgawad, M.A.; E-L Gorhab, A.H.; Khames, A.; et al. Therapeutic application of carvacrol: A comprehensive review. Food Sci. Nutr. 2022, 10, 3544–3561. [Google Scholar] [CrossRef]
- Kowalczyk, A.; Przychodna, M.; Sopata, S.; Bodalska, A.; Fecka, I. Thymol and thyme essential oil—New insights into selected therapeutic applications. Molecules 2020, 25, 4125. [Google Scholar] [CrossRef]
- Hajibonabi, A.; Yekani, M.; Sharifi, S.; Nahad, J.S.; Dizaj, S.M.; Memar, M.Y. Antimicrobial activity of nanoformulations of carvacrol and thymol: New trend and applications. OpenNano 2023, 13, 100170. [Google Scholar] [CrossRef]
- Zhou, W.; Zhang, Y.; Li, R.; Peng, S.; Ruan, R.; Li, J.; Liu, W. Fabrication of caseinate stabilized thymol nanosuspensions via the ph-driven method: Enhancement in water solubility of thymol. Foods 2021, 10, 1074. [Google Scholar] [CrossRef] [PubMed]
- Jubeh, B.; Breijyeh, Z.; Karaman, R. Antibacterial prodrugs to overcome bacterial resistance. Molecules 2020, 25, 1643. [Google Scholar] [CrossRef]
- Azimi, S.; Esmaeil Lashgarian, H.; Ghorbanzadeh, V.; Moradipour, A.; Pirzeh, L.; Dariushnejad, H. 5-FU and the dietary flavonoid carvacrol: A synergistic combination that induces apoptosis in MCF-7 breast cancer cells. Med. Oncol. 2022, 39, 253. [Google Scholar] [CrossRef] [PubMed]
- Mokhtari, R.B.; Homayouni, T.S.; Baluch, N.; Morgatskaya, E.; Kumar, S.; Das, B.; Yeger, H. Combination therapy in combating cancer systematic review: Combination therapy in combating cancer background. Oncotarget 2017, 8, 38022–38043. [Google Scholar] [CrossRef] [PubMed]
- Yousef, E.H.; Abo El-Magd, N.F.; El Gayar, A.M. Carvacrol enhances anti-tumor activity and mitigates cardiotoxicity of sorafenib in thioacetamide-induced hepatocellular carcinoma model through inhibiting TRPM7. Life Sci. 2023, 324, 121735. [Google Scholar] [CrossRef]
- Kulabaş, N.; Tatar, E.; Bingöl Özakpınar, Ö.; Özsavcı, D.; Pannecouque, C.; De Clercq, E.; Kucukguzel, I. Synthesis and antiproliferative evaluation of novel 2-(4H-1,2,4-triazole-3-ylthio)acetamide derivatives as inducers of apoptosis in cancer cells. Eur. J. Med. Chem. 2016, 121, 58–70. [Google Scholar] [CrossRef]
- Almalki, A.S.A.; Nazreen, S.; Malebari, A.M.; Ali, N.M.; Elhenawy, A.A.; Alghamdi, A.A.A.; Ahmad, A.; Alfaifi, S.Y.; Alsharif, M.A.; Alam, M.M. Synthesis, and biological evaluation of 1,2,3-triazole tethered thymol-1,3,4-oxadiazole derivatives as anticancer and antimicrobial agents. Pharmaceuticals 2021, 14, 866. [Google Scholar] [CrossRef]
- Sisto, F.; Carradori, S.; Guglielmi, P.; Traversi, C.B.; Spano, M.; Sobolev, A.P.; Secci, D.; Di Marcantonio, M.C.; Haloci, E.; Grande, R.; et al. Synthesis and Biological Evaluation of Carvacrol-Based Derivatives as Dual Inhibitors of H. pylori Strains and AGS Cell Proliferation. Pharmaceuticals 2020, 13, 405. [Google Scholar] [CrossRef]
- Szostek, T.; Szulczyk, D.; Szymańska-majchrzak, J.; Koliński, M.; Kmiecik, S.; Otto-ślusarczyk, D.; Zawodnik, A.; Rajkowska, E.; Chaniewicz, K.; Struga, M.; et al. Design and Synthesis of Menthol and Thymol Derived Ciprofloxacin: Influence of Structural Modifications on the Antibacterial Activity and Anticancer Properties. Int. J. Mol. Sci. 2022, 23, 6600. [Google Scholar] [CrossRef]
- Mbese, Z.; Nell, M.; Fonkui, Y.T.; Ndinteh, D.T.; Steenkamp, V.; Aderibigbe, B.A. Hybrid Compounds Containing Carvacrol Scaffold: In Vitro Antibacterial and Cytotoxicity Evaluation. Recent Adv. Anti-Infective Drug Discov. 2022, 17, 54–68. [Google Scholar] [CrossRef] [PubMed]
- Valverde Sancho, J.; Carreño Amate, C.; Caparrós Pérez, M.-d.M.; Santana Méridas, O.; Julio, L.F. Biological Activity of Hybrid Molecules Based on Major Constituents of Cinnammomun verum and Thymus vulgaris Essential Oils. Life 2023, 13, 499. [Google Scholar] [CrossRef] [PubMed]
- Vasconcelos, A.; Xavier, F.; Castro, A.; Lima, M.; Terceiro, L.; Silva, F.; Vasconcellos, M.L.; Dantas, B.B.; Barbosa, A.M.; Duarte, S.S.; et al. Synthesis and Analysis of Carvacrol-Derived Morita-Baylis-Hillman Adducts as Potential Anticancer Agents. J. Braz. Chem. Soc. 2024, 35, 20240022. [Google Scholar] [CrossRef]
- Zengin Kurt, B.; Celebi, G.; Ozturk Civelek, D.; Angeli, A.; Akdemir, A.; Sonmez, F.; Supuran, C.T. Tail-Approach-Based Design and Synthesis of Coumarin-Monoterpenes as Carbonic Anhydrase Inhibitors and Anticancer Agents. ACS Omega 2023, 8, 5787–5807. [Google Scholar] [CrossRef] [PubMed]
- Sahin, D.; Kepekci, R.A.; Türkmenoğlu, B.; Akkoc, S. Biological evaluations and computational studies of newly synthesized thymol-based Schiff bases as anticancer, antimicrobial and antioxidant agents. J. Biomol. Struct. Dyn. 2023, 1–15. [Google Scholar] [CrossRef] [PubMed]
- Bansal, A.; Kaushik, V.; Sharma, N.R. Synthesis and in silico anti-metastatic evaluation of carvacrol derivative, 2-hydroxy-6-isopropyl-3-methylbenzalehyde. Mater. Today Proc. 2022, 57, 739–747. [Google Scholar] [CrossRef]
- Yu, Y.; Liu, Y.; Shi, R.; Zhang, D.; Li, C.; Shi, J. Bioorganic Chemistry New thymol and isothymol derivatives from Eupatorium fortune and their cytotoxic effects. Bioorg. Chem. 2020, 98, 103644. [Google Scholar] [CrossRef]
- Khwaza, V.; Oyedeji, O.O.; Oselusi, S.O.; Morifi, E.; Nwamadi, M.; Tantoh Ndinteh, D.; Ramushu, P.; Matsebatlela, T.; Aderibigbe, B.A. Synthesis of Ester-Linked Ursolic Acid-Based Hybrid Compounds: Potential Antibacterial and Anticancer Agents. Chem. Biodivers. 2023, 20, 202300034. [Google Scholar] [CrossRef] [PubMed]
- Najafloo, R.; Behyari, M.; Imani, R.; Nour, S. A mini-review of Thymol incorporated materials: Applications in antibacterial wound dressing. J. Drug Deliv. Sci. Technol. 2020, 60, 101904. [Google Scholar] [CrossRef]
- Rajput, J.D.; Bagul, S.D.; Pete, U.D.; Zade, C.M.; Padhye, S.B.; Bendre, R.S. Perspectives on medicinal properties of natural phenolic monoterpenoids and their hybrids. Mol. Divers. 2018, 22, 225–245. [Google Scholar] [CrossRef]
- Zhong, H.; Mu, B.; Yan, P.; Jing, Y.; Hui, A.; Wang, A. A comparative study on surface/interface mechanism and antibacterial properties of different hybrid materials prepared with essential oils active ingredients and palygorskite. Colloids Surfaces A Physicochem. Eng. Asp. 2021, 618, 126455. [Google Scholar] [CrossRef]
- Shinde, P.; Agraval, H.; Srivastav, A.K.; Yadav, U.C.S.; Kumar, U. Physico-chemical characterization of carvacrol loaded zein nanoparticles for enhanced anticancer activity and investigation of molecular interactions between them by molecular docking. Int. J. Pharm. 2020, 588, 119795. [Google Scholar] [CrossRef] [PubMed]
- Ranjbar-Karimi Alireza, R.P.; Poorfreidoni, A. Incorporation of Fluorinated Pyridine in the Side Chain of 4-Aminoquinolines: Synthesis, Characterization and Antibacterial Activity. Drug Res. 2018, 68, 17–22. [Google Scholar] [CrossRef] [PubMed]
- Ghod Elahi, M.; Hekmati, M.; Esmaeili, D.; Ziarati, P.; Yousefi, M. Antibacterial Activity of Modified Carvacrol against Staphylococcus epidermidis and Pseudomonas aeruginosa. Nov. Clin. Med. 2022, 1, 192–196. [Google Scholar] [CrossRef]
- Kumar, A.; Mahapatra, M.; Kumar, S.; Nath, R. Design, molecular docking, and antimicrobial assessment of newly synthesized phytochemical thymol Mannich base derivatives. J. Mol. Struct. 2021, 244, 130908. [Google Scholar] [CrossRef]
- Patil, J.U.; Patil, P.N.; Pawar, N.S. Synthesis and Antibacterial Activity of Thymyl Ethers. Chem. Proc. 2022, 8, 57. [Google Scholar] [CrossRef]
- Marinelli, L.; Di Stefano, A.; Cacciatore, I. Carvacrol and its derivatives as antibacterial agents. Phytochem. Rev. 2018, 17, 903–921. [Google Scholar] [CrossRef]
- Addo, J.K.; Owusu-Ansah, E.; Dayie, N.T.K.D.; Cheseto, X.; Torto, B. Synthesis of 1,2,3-triazole-thymol derivatives as potential antimicrobial agents. Heliyon 2022, 8, e10836. [Google Scholar] [CrossRef]
- Bhoi, R.T.; Rajput, J.D.; Bendre, R.S. An efficient synthesis of rearranged new biologically active benzimidazoles derived from 2-formyl carvacrol. Res. Chem. Intermed. 2022, 48, 401–422. [Google Scholar] [CrossRef]
- Kachur, K.; Suntres, Z. The antibacterial properties of phenolic isomers, carvacrol and thymol. Crit. Rev. Food Sci. Nutr. 2020, 60, 3042–3053. [Google Scholar] [CrossRef]
- Boye, A.; Addo, J.K.; Acheampong, D.O.; Thomford, A.K.; Asante, E.; Amoaning, R.E.; Kuma, D.N. The hydroxyl moiety on carbon one (C1) in the monoterpene nucleus of thymol is indispensable for anti-bacterial effect of thymol. Heliyon 2020, 6, e03492. [Google Scholar] [CrossRef]
- Alkhzem, A.H.; Woodman, T.J.; Blagbrough, I.S. Design and synthesis of hybrid compounds as novel drugs and medicines. RSC Adv. 2022, 12, 19470–19484. [Google Scholar] [CrossRef] [PubMed]
Disclaimer/Publisher’s Note: The statements, opinions and data contained in all publications are solely those of the individual author(s) and contributor(s) and not of MDPI and/or the editor(s). MDPI and/or the editor(s) disclaim responsibility for any injury to people or property resulting from any ideas, methods, instructions or products referred to in the content. |
© 2024 by the authors. Licensee MDPI, Basel, Switzerland. This article is an open access article distributed under the terms and conditions of the Creative Commons Attribution (CC BY) license (https://creativecommons.org/licenses/by/4.0/).





















