Morphology and Properties of Polylactic Acid Composites with Butenediol Vinyl Alcohol Copolymer Formed by Melt Blending
Abstract
1. Introduction
2. Results and Discussion
2.1. Morphology of PLABx Composites
2.2. Chemical Structure of PLABx Composites
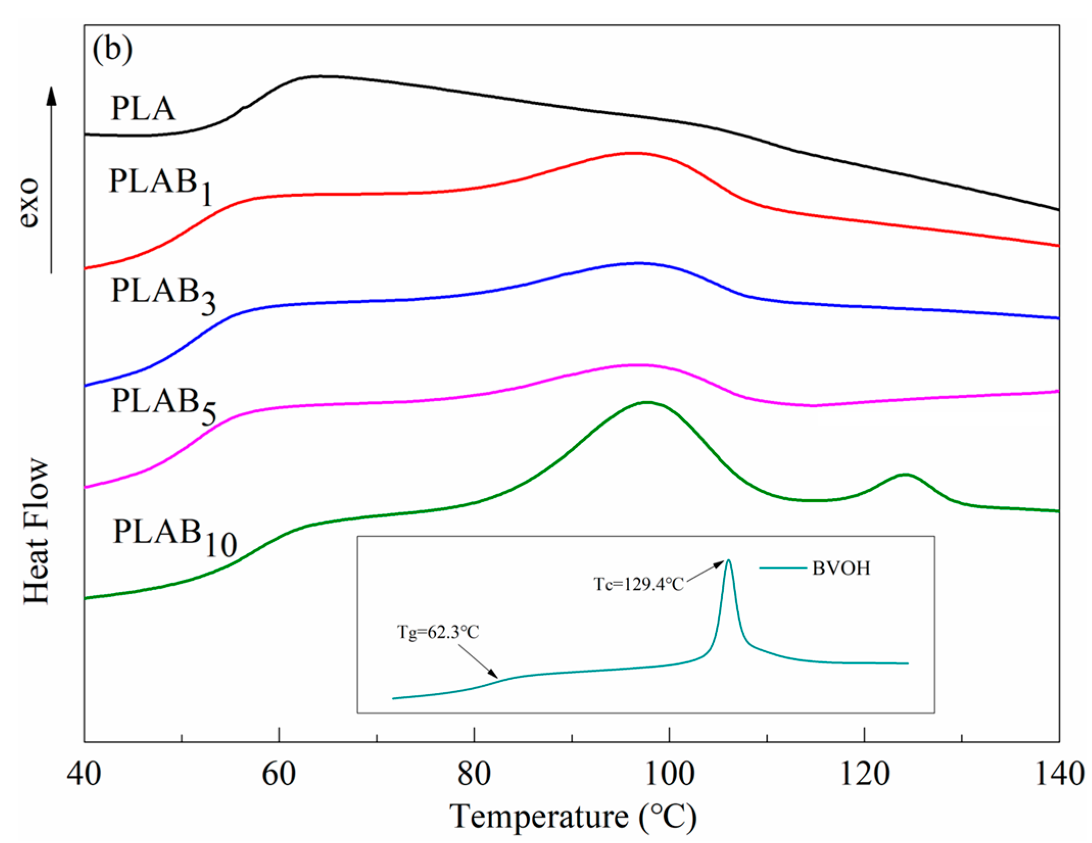
2.3. Crystallization Behavior of PLABx Composites
2.4. Thermal Stability of PLABx Composites
2.5. Tensile Property of PLABx Composites
2.6. Hydrophilicity of PLABx Composites
3. Materials and Methods
3.1. Materials
3.2. Sample Preparation
3.3. Characterization
4. Conclusions
Author Contributions
Funding
Institutional Review Board Statement
Informed Consent Statement
Data Availability Statement
Acknowledgments
Conflicts of Interest
Sample Availability
References
- Lu, L.S.; Xing, D.; Xie, Y.X.; Teh, K.S.; Zhang, B.; Chen, S.M.; Tang, Y. Electrical conductivity investigation of a nonwoven fabric composed of carbon fibers and polypropylene/polyethylene core/sheath bicomponent fibers. Mater. Des. 2016, 112, 383–391. [Google Scholar] [CrossRef]
- Murat, B.; Olgun, G. RAFT mediated grafting of poly (acrylic acid) (PAA) from polyethylene/polypropylene (PE/PP) nonwoven fabric via preirradiation. Polymer 2013, 54, 4838–4848. [Google Scholar]
- Geyer, R.; Jambeck, J.R.; Law, K.L. Production, use, and fate of all plastics ever made. Sci. Adv. 2017, 3, 1700782. [Google Scholar] [CrossRef] [PubMed]
- Jamberk, J.R.; Geyer, R.; Wilcox, C.; Siegler, T.R.; Perryman, M.; Andrady, A.; Narayan, R.; Law, K.L. Plastic waste inputs from land into the ocean. Science 2015, 347, 768–771. [Google Scholar] [CrossRef] [PubMed]
- Sardon, H.; Dove, A.P. Plastics recycling with a difference. Science 2018, 360, 380–381. [Google Scholar] [CrossRef] [PubMed]
- Malinconico, M.; Cerruti, P.; Santagata, G.; Immirzi, B. Natural polymers and additives in commodity and specialty applications: A challenge for the chemistry of future. Macromol. Symp. 2014, 337, 124–133. [Google Scholar] [CrossRef]
- Ghosh, K.; Jones, B.H. Roadmap to biodegradable plastics-current state and research needs. ACS Sustain. Chem. Eng. 2021, 9, 6170–6187. [Google Scholar] [CrossRef]
- Sun, M.T.; Lu, S.Y.; Zhao, P.F.; Feng, Z.Y.; Yu, M.H.; Han, K.Q. Scalable preparation of complete stereo-complexation polylactic acid fiber and its hydrolysis resistance. Molecules 2022, 27, 7654. [Google Scholar] [CrossRef]
- Li, S.M.; Vert, M. Biodegradation of Aliphatic Polyesters, 2nd ed.; Springer: Dordrecht, The Netherlands, 2002; pp. 43–87. [Google Scholar]
- Vert, M. Aliphatic polyesters: Great degradable polymers that cannot do everything. Biomacromolecules 2005, 6, 538–546. [Google Scholar] [CrossRef]
- Hou, G.Y.; Weng, Y.X.; Diao, X.Q.; Song, X.Y.; Zhou, Y.X.; Fu, Y. The current development situation and future development of biodegradable plastic industry. Mater. China 2022, 41, 52–65. [Google Scholar]
- Abdal-hay, A.; Hussein, K.H.; Casettari, L.; Khalil, K.A.; Hamdy, A.S. Fabrication of novel high performance ductile poly (lactic acid) nanofiber scaffold coated with poly(vinyl alcoholfor) tissue engineering applications. Mat. Sci. Eng. C Mater. 2016, 60, 143–150. [Google Scholar] [CrossRef] [PubMed]
- Hamad, K.; Kaseem, M.; Yang, H.W.; Deri, F.; Ko, Y.G. Properties and medical applications of polylactic acid: A review. Express Polym. Lett. 2015, 9, 435–455. [Google Scholar] [CrossRef]
- Feng, J.; Sun, Y.; Song, P.; Lei, W.; Wu, Q.; Liu, L.; Yu, Y.; Wang, H. Fire-Resistant, strong, and green polymer nanocomposites based on poly (lactic acid) and core–shell nanofibrous flame retardants. ACS Sustain. Chem. Eng. 2017, 5, 7894–7904. [Google Scholar] [CrossRef]
- Ncube, L.K.; Ude, A.U.; Ogunmuyiwa, E.N.; Zulkifli, R.; Beas, I.N. Environmental Impact of Food Packaging Materials: A Review of Contemporary Development from Conventional Plastics to Polylactic Acid Based Materials. Materials 2020, 13, 4994. [Google Scholar] [CrossRef] [PubMed]
- Farah, S.; Anderson, D.G.; Langer, R. Physical and mechanical properties of PLA, and their functions in widespread applications-A comprehensive review. Adv. Drug Deliv. Rev. 2016, 107, 367–392. [Google Scholar] [CrossRef]
- Fukushima, K.; Kimura, Y. Stereocomplexed polylactides (Neo-PLA) as high-performance bio-based polymers: Their formation, properties, and application. Polym. Int. 2006, 55, 626–642. [Google Scholar] [CrossRef]
- Nofar, M.; Sacligil, D.; Carreau, P.J.; Kamal, M.R.; Heuzey, M.C. Poly (lactic acid) blends: Processing, properties and applications. Int. J. Biol. Macromol. 2019, 125, 307–360. [Google Scholar]
- Jing, Z.; Li, J.; Xiao, W.; Xu, H.; Hong, P.; Li, Y. Crystallization, rheology and mechanical properties of the blends of poly(L-lactide) with supramolecular polymers based on poly(D-lactide)–poly(ε-caprolactone-co-δ-valerolactone)-poly(D-lactide) triblock copolymers. RSC Adv. 2019, 9, 26067–26079. [Google Scholar] [CrossRef]
- Goswami, J.; Bhatnagar, N.; Mohanty, S.; Ghosh, A.K. Processing and characterization of poly (lactic acid) based bioactive composites for biomedical scaffold application. Express Polym. Lett. 2013, 7, 767–777. [Google Scholar] [CrossRef]
- Sun, M.T.; Huang, S.; Yu, M.H.; Han, K.Q. Toughening modification of polylactic acid by thermoplastic silicone polyurethane elastomer. Polymers 2021, 13, 1953. [Google Scholar] [CrossRef]
- Zhang, K.; Nagarajan, V.; Misra, M.; Mohanty, A.K. Supertoughened renewable PLA reactive multiphase blends system: Phase morphology and performance. ACS Appl. Mater. Interfaces 2014, 6, 12436–12448. [Google Scholar] [CrossRef] [PubMed]
- Dominguez-Candela, I.; Gomez-Caturla, J.; Cardona, S.C.; Lora-García, J.; Fombuena, V. Novel compatibilizers and plasticizers developed from epoxidized and maleinized chia oil in composites based on PLA and chia seed flour. Eur. Polym. J. 2022, 173, 111289. [Google Scholar] [CrossRef]
- Ji, L.; Gong, M.; Qiao, W.; Zhang, W.; Liu, Q.; Dunham, R.E.; Gu, J. A gelatin/PLA-b-PEG film of excellent gas barrier and mechanical properties. J. Polym. Res. 2018, 25, 210–221. [Google Scholar] [CrossRef]
- Chen, C.; Tian, Y.; Li, F.; Hu, H.; Wang, K.; Kong, Z.; Ying, W.B.; Zhang, R.; Zhu, J. Toughening polylactic acid by a biobased poly(butylene 2,5-furandicarboxylate)-b-poly(ethylene glycol) copolymer: Balanced mechanical properties and potential biodegradability. Biomacromolecules 2021, 22, 374–385. [Google Scholar] [CrossRef] [PubMed]
- He, L.; Song, F.; Guo, Z.-W.; Zhao, X.; Yang, N.; Wang, X.-L.; Wang, Y.-Z. Toward strong and super-toughened PLA via incorporating a novel fully bio-based copolyester containing cyclic sugar. Compos. Part B Eng. 2021, 207, 108558. [Google Scholar] [CrossRef]
- Xiao, X.; Chevali, V.S.; Song, P.; Yu, B.; Yang, Y.; Wang, H. Enhanced toughness of PLLA/PCL blends using poly(d-lactide)-poly(ε-caprolactone)-poly(d-lactide) as compatibilizer. Compos. Commun. 2020, 21, 100385. [Google Scholar] [CrossRef]
- Zhu, L.J.; Liu, F.; Yu, X.M.; Gao, A.L.; Xue, L.X. Surface zwitterionization of hemocompatible poly(lactic acid) membranes for hemodiafiltration. J. Membr. Sci. 2015, 475, 469–479. [Google Scholar] [CrossRef]
- Yue, M.; Zhou, B.; Jiao, K.; Qian, X.; Xu, Z.; Teng, K.; Zhao, L.; Wang, J.; Jiao, Y. Switchable hydrophobic/hydrophilic surface of electrospun poly (L-lactide) membranes obtained by CF4 microwave plasma treatment. Appl. Surf. Sci. 2015, 327, 93–99. [Google Scholar] [CrossRef]
- Hendrick, E.; Frey, M. Increasing surface hydrophilicity in poly (lactic acid) electrospun fibers by addition of PLA-b-PEG co-polymers. J. Eng. Fiber. Fabr. 2014, 9, 153–164. [Google Scholar] [CrossRef]
- Jung, B.N.; Kang, D.H.; Shim, J.K.; Hwang, S.W. Physical and mechanical properties of plasticized butenediol vinyl alcohol copolymer/thermoplastic starch blend. J. Vinyl. Addit. Technol. 2018, 25, 109–116. [Google Scholar] [CrossRef]
- Ikehata, K.; ONishi, T.; Furui, K.; Mandai, S.; Hirano, Y.; Kanamori, Y.; Psihogios, B.; Taniguchi, R. Design and analysis of improved swelling and degradable diverting agent for multistage hydraulic fracturing. SPE Prod. Oper. 2022, 37, 414–430. [Google Scholar]
- Yu, D.Z.; Yang, Q.Q.; Zhou, X.X.; Guo, H.Y.; Li, D.W.; Li, H.X.; Deng, B.Y.; Liu, Q.S. Structure and properties of polylactic acid/butenediol vinyl alcohol copolymer blend fibers. Int. J. Biol. Macromol. 2023, 232, 123396. [Google Scholar] [CrossRef]
- Xing, J.; Ni, Q.Q.; Deng, B.Y.; Liu, Q.S. Morphology and properties of polyphenylene sulfide (PPS)/polyvinylidene fluoride (PVDF) polymer alloys by melt blending. Compos. Sci. Technol. 2016, 134, 184–190. [Google Scholar] [CrossRef]
- Cicogna, F.; Passaglia, E.; Benedettni, M.; Oberhauser, W.; Ishak, R.; Signori, F.; Coiai, S. Rosmarinic and glycyrrhetinic acid-modified layered double hydroxides as functional additives for poly (lactic acid)/poly (butylene succinate) blends. Molecules 2023, 28, 347. [Google Scholar] [CrossRef] [PubMed]
- Terzopoulou, Z.; Xanthopoulou, E.; Pardalis, N.; Pappa, C.P.; Torofias, S.; Triantafyllidis, K.S.; Bikiaris, D.N. Synthesis and characterization of poly (lactic acid) composites with organosolv lignin. Molecules 2022, 27, 8143. [Google Scholar] [CrossRef]
- Kumar, A.; Tumu, V.R.; Ray Chowdhury, S.; Ramana, R.R. A Green physical approach to compatibilize a bio-based poly (lactic acid)/lignin blend for better mechanical, thermal and degradation properties. Int. J. Biol. Macromol. 2019, 121, 588–600. [Google Scholar] [CrossRef]
- Sun, Y.; Ma, Z.; Xu, X.; Liu, X.; Liu, L.; Huang, G.; Liu, L.; Wang, H.; Song, P. Grafting lignin with bioderived polyacrylates for low-cost, ductile, and fully biobased poly (lactic acid) composites. ACS Sustain. Chem. Eng. 2020, 8, 2267–2276. [Google Scholar] [CrossRef]








| Samples | Tg−h (°C) | Tg−c (°C) | Tcc (°C) | ΔHcc (J/g) | Tc (°C) | ΔHc (J/g) | Tm (°C) | ΔHm (J/g) | Xc (%) |
|---|---|---|---|---|---|---|---|---|---|
| PLA | 53.8 | 57.1 | 91.4 | 5.03 | 102.7 | 0.02 | 173.1 | 14.71 | 10.41 |
| PLAB1 | 54.7 | 51.4 | 91.9 | 4.68 | 97.3 | 0.73 | 173.9 | 15.04 | 11.25 |
| PLAB3 | 59.7 | 50.3 | 96.7 | 3.99 | 97.3 | 0.64 | 176.2 | 16.81 | 14.43 |
| PLAB5 | 60.3 | 50.2 | 97.3 | 3.78 | 97.5 | 0.66 | 176.5 | 24.81 | 23.58 |
| PLAB10 | 61.2 | 54.2 | 97.6 | 3.15 | 97.9/124.2 | 1.70 | 176.5 | 28.35 | 30.11 |
| Samples | BVOH | PLA | PLAB1 | PLAB3 | PLAB5 | PLAB10 |
|---|---|---|---|---|---|---|
| T5% (°C) | 272.2 | 292.3 | 325.7 | 321.1 | 319.6 | 312.5 |
| Tmax1 (°C) | 331.4 | 348.6 | 361.6 | 359.9 | 359.7 | 353.5 |
| Tmax2 (°C) | 455.2 | - | 442.3 | 442.3 | 447.7 | 453.6 |
| Tend (°C) | 501.7 | 376.5 | 395.7 | 469.9 | 482.4 | 489.7 |
Disclaimer/Publisher’s Note: The statements, opinions and data contained in all publications are solely those of the individual author(s) and contributor(s) and not of MDPI and/or the editor(s). MDPI and/or the editor(s) disclaim responsibility for any injury to people or property resulting from any ideas, methods, instructions or products referred to in the content. |
© 2023 by the authors. Licensee MDPI, Basel, Switzerland. This article is an open access article distributed under the terms and conditions of the Creative Commons Attribution (CC BY) license (https://creativecommons.org/licenses/by/4.0/).
Share and Cite
Xing, J.; Wang, R.; Sun, S.; Shen, Y.; Liang, B.; Xu, Z. Morphology and Properties of Polylactic Acid Composites with Butenediol Vinyl Alcohol Copolymer Formed by Melt Blending. Molecules 2023, 28, 3627. https://doi.org/10.3390/molecules28083627
Xing J, Wang R, Sun S, Shen Y, Liang B, Xu Z. Morphology and Properties of Polylactic Acid Composites with Butenediol Vinyl Alcohol Copolymer Formed by Melt Blending. Molecules. 2023; 28(8):3627. https://doi.org/10.3390/molecules28083627
Chicago/Turabian StyleXing, Jian, Rongrong Wang, Shaoyang Sun, Ying Shen, Botao Liang, and Zhenzhen Xu. 2023. "Morphology and Properties of Polylactic Acid Composites with Butenediol Vinyl Alcohol Copolymer Formed by Melt Blending" Molecules 28, no. 8: 3627. https://doi.org/10.3390/molecules28083627
APA StyleXing, J., Wang, R., Sun, S., Shen, Y., Liang, B., & Xu, Z. (2023). Morphology and Properties of Polylactic Acid Composites with Butenediol Vinyl Alcohol Copolymer Formed by Melt Blending. Molecules, 28(8), 3627. https://doi.org/10.3390/molecules28083627

