Abstract
TS-1 zeolite with desirable pore structure, an abundance of acidic sites, and good thermal stability promising as a support for the selective catalytic reduction of NO with NH3 (NH3-SCR). Herein, a series of Mn–Fe/TS-1 catalysts have been synthesized, adopting tetraethylenepentamine (TEPA) as a metal complexing agent using the one-pot hydrothermal method. The introduced TEPA can not only increase the loading of active components but also prompts the formation of a hierarchical structure through decreasing the size of TS-1 nanocrystals to produce intercrystalline mesopores during the hydrothermal crystallization process. The optimized Mn–Fe/TS-1(R-2) catalyst shows remarkable NH3-SCR performance. Moreover, it exhibits excellent resistance to H2O and SO2 at low temperatures. The characterization results indicate that Mn–Fe/TS-1(R-2) possesses abundant surface Mn4+ and Fe2+ and chemisorbed oxygen, strong reducibility, and a high Brønsted acid amount. For comparison, Mn–Fe/TiO2 displays a narrower active temperature window due to its poor thermostability.
1. Introduction
Nitrogen oxides (NOx) are associated with a host of environmental issues, such as acid rain, haze, and photochemical smog, which severely endanger public health [1,2]. Selective catalytic reduction of nitrogen oxides with ammonia (NH3-SCR) is a crucial method to effectively control NOx emission [3,4]. Presently, the commercial V2O5–WO3/TiO2 (VWTi) catalyst is employed extensively for controlling NOx emissions. However, there are still many problems in the practical application of the VWTi catalyst, such as narrow temperature windows, poor high-temperature stability, the poisonousness of V2O5, and so on [5,6]. Accordingly, numerous studies have been devoted to exploiting vanadium-free NH3-SCR catalysts in recent years.
Among the frequently adopted V-free metal oxide catalysts, Mn-based catalysts have been proven to be remarkable low-temperature denitrification catalysts due to polyvalent oxidation and high redox capabilities [7,8]. However, the practical application of single-metal MnOx catalysts is restricted due to their narrow operating temperature window, and poor H2O/SO2 resistance [9,10]. Therefore, other transition metals/rare earth metal oxides serve as active components to perfect the Mn-based catalysts and improve the denitrification performance [11,12]. In recent years, Mn–Fe composite catalysts have gained extensive attention for their superior SCR activity and tolerance to SO2/H2O at low temperatures [13,14,15]. Li et al. [16] reported that Fe2O3–MnO2/TiO2 catalyst synthesized through a conventional impregnation method displayed excellent low-temperature activity in the wide temperature range of 100−325 °C and superior sulfur poisoning resistance. Additionally, Chen et al. [17] investigated La-modified TiO2 as the support of Fe–Mn/TiO2(x La) catalyst for NH3-SCR at low temperatures, revealing that La-modified Fe–Mn/TiO2(x La) catalyst enhanced SO2 resistance through an increase in Brønsted acid sites and accelerating the electron transfer between La and active components to restrain the adsorption and oxidation of SO2 on the catalyst. Nevertheless, TiO2 as a support in NH3-SCR possesses poor thermal stability and is still unsatisfactory for practical application [18].
It has been reported that silicon atoms replacing a small number of titanium atoms to form TS-1 zeolite with MFI structure can improve thermal stability and surface acidity [19]. Wang et al. [20] obtained MnOx–FeOx/TS-1 via a wet impregnation method, and the catalyst with the TS-1 support displayed superior denitration ability and H2O resistance due to the enhanced surface acidity and redox ability. Considering that NH3-SCR performance could be influenced by controlling the pore structure of the TS-1 support, a novel Fe−Mn/TS-1 catalyst with a micro-mesoporous structure was prepared using a one-pot hydrothermal synthesis method. The Fe−Mn/TS-1 catalyst showed excellent catalytic activity and H2O/SO2 resistance in a low-temperature SCR reaction. The influence of the additional quantity of metal complexing agent TEPA on NOx conversion has been investigated, and the SO2 and H2O resistance has also been explored.
2. Results and Discussion
2.1. XRD Patterns
Figure 1 displays the XRD patterns of Mn–Fe/TS-1(R-0), Mn–Fe/TS-1(R-0.5), Mn–Fe/TS-1(R-1), and Mn–Fe/TS-1(R-2). The diffraction peaks at 7.9, 8.8, 23.1, 23.8, and 24.3° are indexed to the MFI structure, meaning the addition of TEPA into the synthesis gel does not transform the phase texture of the TS-1 under hydrothermal synthesis or calcination. However, the peak intensities have been affected. He et al. [21] reported that the diffraction peak intensity increases with an increase in crystallinity. Mn–Fe/TS-1(R-0.5), Mn–Fe/TS-1(R-1), and Mn–Fe/TS-1(R-2) display lower crystallinity than Mn–Fe/TS-1(R-0), ascribed to the existence of small crystallites [22]. Furthermore, the crystalline phases of Mn and Fe species are not detected in Mn–Fe/TS-1(R-x) catalysts, indicating that the particle size of Mn and Fe species is too small to be detected; the Mn and Fe species are amorphous [23].
Figure 1.
XRD patterns of Mn–Fe/TS-1(R-0), Mn–Fe/TS-1(R-0.5), Mn–Fe/TS-1(R-1), Mn–Fe/TS-1(R-2).
2.2. FT−IR Spectroscopy
The FT−IR spectra of Mn–Fe/TS-1(R-0), Mn–Fe/TS-1(R-0.5), Mn–Fe/TS-1(R-1), and Mn–Fe/TS-1(R-2) are shown in Figure 2. All samples display infrared peaks at 1100, 960, 800, 550, and 450 cm−1. The band at 550 cm−1 is assigned to the vibration of the double five-membered ring unit and demonstrates the formation of MFI structure. The bands at 800 and 1100 cm−1 are attributed to the symmetrical and antisymmetrical stretching vibrations of Si–O–Si bonds, respectively. The band at 960 cm−1 has been used as evidence of the isomorphous substitution of Ti in the TS-1 framework [24]. Moreover, the intensity ratio of the bands at 550 and 450 cm−1 (I550/I450) has been often used to evaluate the crystallinity of MFI zeolite, which is termed as the FTIR crystallinity [25,26]. The I550/I450 ratios for the Mn–Fe/TS-1(R-0), Mn–Fe/TS-1(R-0.5), Mn–Fe/TS-1(R-1), and Mn–Fe/TS-1(R-2) are 0.66, 0.52, 0.59, and 0.54, respectively, demonstrating that Mn–Fe/TS-1 synthesized using TEPA as a metal complexing agent has low crystallinity, which is in good agreement with the XRD results.
Figure 2.
FT−IR spectra of Mn–Fe/TS-1(R-0), Mn–Fe/TS-1(R-0.5), Mn–Fe/TS-1(R-1), and Mn–Fe/TS-1(R-2).
2.3. N2 Adsorption–Desorption
The N2 adsorption–desorption isotherms of Mn–Fe/TS-1(R-0), Mn–Fe/TS-1(R-0.5), Mn–Fe/TS-1(R-1), and Mn–Fe/TS-1(R-2) are presented in Figure 3 and the textural properties of the catalysts are presented in Table 1. All of the Mn–Fe/TS-1(R-x) samples displayed standard type I isotherms in the relative pressures of p/p0 < 0.01, indicating that the samples have microporous structure. Meanwhile, an uptake in the relative pressures of 0.60 < p/p0 < 1.0 can be observed due to the intercrystalline mesopores, which is typical of the nanocrystal structure of TS-1 [27]. The hierarchical structure of the samples is conducive to enhancing the diffusion of reactant and product molecules [28]. Moreover, the Mn–Fe/TS-1(R-2) catalyst displays a higher content of active metal components (3.9 wt% Mn and 4.9 wt% Fe) than Mn–Fe/TS-1(R-0, 0.5 wt% Mn and 2 wt% Fe), which demonstrates that the suitable addition of TEPA is conducive to increasing a number of active components. Significantly, high levels of Mn and Fe in Mn–Fe/TiO2 prepared by the impregnation method can be observed, which promote most of the active ingredient loaded on the support and reduce the level of the active ingredient dispersion.
Figure 3.
N2 adsorption–desorption isotherms of Mn–Fe/TS-1(R-0), Mn–Fe/TS-1(R-0.5), Mn–Fe/TS-1(R-1), and Mn–Fe/TS-1(R-2).
Table 1.
Textural properties and elemental compositions of catalysts.
2.4. SEM Images and EDS Analysis
The morphology and particle size of Mn–Fe/TS-1(R-x) were characterized by SEM, as shown in Figure 4. The calcined Mn–Fe/TS-1(R-x) shows granular morphology with a rough surface. The particle size of Mn–Fe/TS-1(R-0) is 400–700 nm (Figure 4a). Interestingly, with the introduction of a small amount of TEPA for Mn–Fe/TS-1(R-0.5), the crystal size reduces to 200–350 nm (Figure 4b). However, upon further increasing the TEPA amount, the crystal size significantly increases again from 270–400 nm to 300–450 nm for Mn–Fe/TS-1(R-1) (Figure 4c) and Mn–Fe/TS-1(R-2) (Figure 4d), respectively. The results show that the addition of TEPA does not restrain the generation of TS-1, but influences the crystallinity of TS-1 to a certain extent in accordance with the XRD results. The EDX mapping of the Mn–Fe/TS-1(R-2) (Figure 4e) indicates that excluding Si and Ti, which constitute the framework of TS-1, Mn and Fe are also detected in the crystallite. Therefore, Mn and Fe species may be incorporated into the structure of the skeleton or cationic sites and may be highly dispersed over the catalyst [29].
Figure 4.
SEM images of Mn–Fe/TS-1(R-0) (a), Mn–Fe/TS-1(R-0.5) (b), Mn–Fe/TS-1(R-1) (c), Mn–Fe/TS-1(R-2) (d), and EDS mapping results of Mn–Fe/TS-1(R-2) (e).
2.5. XPS Analysis
The surface composition and chemical state of Mn, Fe, O, and Ti of the different catalysts were characterized by XPS (Figure 5). As shown in Figure 5a, the Mn 2p XPS spectra exhibit two main peaks, associated with Mn 2p1/2 (~653 eV) and Mn 2p3/2 (~642 eV). The Mn 2p3/2 spectra of the catalysts are de-convoluted into oxidation states of Mn2+, Mn3+, and Mn4+ which are observed at 641.3, 642.5, and 644.2 eV, respectively. Moreover, the relative ratios of Mn4+/Mnsuf for all the catalysts were calculated and the results are listed in Table 2. The Mn4+/Mnsuf values of Mn–Fe/TS-1(R-0.5) and Mn–Fe/TS-1(R-2) are significantly higher than that of others. Combined with the denitration results of the catalysts, the greater Mn4+ can accelerate the transformation of NO to NO2 and further promote the occurrence of a “fast SCR” reaction [30].
Figure 5.
Mn 2p (a), Fe 2p (b), O 1s (c), and Ti 2p (d) XPS spectra.
Table 2.
The surface compositions of the obtained samples.
The Fe 2p XPS spectra are shown in Figure 5b, and display two main peaks of Fe 2p1/2 and Fe 2p3/2. The Fe 2p3/2 peak is deconvoluted into different states of Fe consisting of Fe2+ and Fe3+ species, which appear at 710 eV and 711 eV [31], respectively. The relative ratio of Fe2+/Fesuf is increased from 8.71% (Mn–Fe/TS-1(R-0)) to 15.8% (Mn–Fe/TS-1(R-2)) with the increased addition of TEPA. Compared with Mn–Fe/TiO2 catalyst prepared by the wet impregnation method, the relative ratio of Fe2+/Fesuf over the Mn–Fe/TS-1(R-2) catalyst is higher. Therefore, the Mn–Fe/TS-1(R-2) catalyst has more active sites to accelerate the SCR reaction. The atomic concentration of the Mn–Fe/TS-1(R-2) (0.21 % Mn, 3.43 % Fe, Table 2) catalyst is lower than that of Mn–Fe/TS-1(R-0, 0.5, 1), which demonstrates that the majority of the active metal component on the surface is in the form of Mn4+ and Fe2+.
The O 1 s spectra of the catalysts are deconvoluted into three peaks as shown in Figure 5c, corresponding to the lattice oxygen (represented by Oβ) at around 530 eV, surface chemisorbed oxygen (represented by Oα) at around 531 eV, and –OH (represented by Oα’) at around 532.8 eV. The surface chemisorbed oxygen is an extremely active oxygen species that plays a key role in oxidation reactions attributed to more rapid migration than the other oxygen species. Therefore, the high Oα/Osuf atomic ratio is conducive to accelerating the transformation of NO to NO2 to improve the NH3-SCR reaction performance. The relative ratio of Oα/Osuf decreases in the following order: Mn–Fe/TS-1(R-0) > Mn–Fe/TS-1(R-2) > Mn–Fe/TS-1(R-1) > Mn–Fe/TiO2> Mn–Fe/TS-1(R-0.5). Furthermore, the Oα’ peak intensity of Mn–Fe/TS-1(R-x) catalysts is stronger than that of Mn–Fe/TiO2. The results illustrate that Mn–Fe/TS-1(R-x) catalysts possess more –OH than the Mn–Fe/TiO2 catalyst, which is mainly derived from the Si–OH and Ti–OH of the TS-1 support [31].
The Ti 2p XPS spectra of all catalysts show two main peaks as shown in Figure 5d, associated with Ti 2p1/2 (~464.3 eV) and Ti 2p3/2 (~458.3 eV). The results indicate that Ti4+ is the main valence state of all catalysts [32]. The sectional Ti atoms in the TiO2 support are replaced by Si, and the binding energy of the Mn–Fe/TS-1(R-x) catalyst shifts to a high value, indicating that the introduction of Si affects the chemical environment of Ti4+ in the catalyst.
2.6. H2-TPR
The reducibility of catalysts closely correlates with the catalytic performance of the NH3-SCR reaction. Hence, H2-TPR experiments were carried out to characterize the reducibility of the catalysts and the result are displayed in Figure 6. The H2 consumption peaks are observed from 100 to 800 °C in all catalysts, which are related to the reduction process of MnOx and FeOx. Mn–Fe/TiO2 catalyst exhibits four obvious reduction peaks. The first peak at low temperatures (~281 °C) is assigned to the reduction of MnO2 to Mn2O3. The second reduction peak at around 363 °C is attributed to the reduction of Mn2O3 to Mn3O4 and Fe2O3 to Fe3O4. This reduction process is more liable to happen over reducible sites in the form of oligomeric clusters, nanoparticles, or isolated ions, while residual Mn2O3 and Fe2O3 reducing to MnO and Fe3O4 mostly occurs at relatively higher temperatures (Peak 3, 502 °C). The fourth reduction peak at high temperatures (~582 °C) belongs to the overlapping peak of Mn3O4→MnO and Fe3O4→FeO [33]. The results indicate that most Fe2O3 is reduced at lower temperatures (~363 °C), while only small amounts of remaining Fe2O3 are reduced to Fe3O4 at higher temperatures. Three obvious reduction peaks are observed in the Mn–Fe/TS-1(R-x) catalysts. The reduction peaks at around 430 °C could be ascribed to the stepwise reduction of MnO2 and Fe2O3 (MnO2→Mn2O3, Mn2O3→Mn3O4, and Fe2O3→ FeO). The reduction peak located at 530–610 °C is associated with the reduction of Mn3O4, while the high-temperature reduction peaks (590–690 °C) are related to the reduction of FeO [34]. When Si species were introduced into the TiO2 support, H2 consumption of the Mn–Fe/TS-1(R-x) catalysts was larger than that of the Mn–Fe/TiO2 catalyst (Table 3). It is worth noting that the Mn–Fe/TS-1(R-2) catalyst displays higher H2 consumption than the others, indicating that it possesses enhanced redox properties. The improved reducibility is beneficial to promote the NH3-SCR reaction.
Figure 6.
H2-TPR profiles of (a) Mn–Fe/TS-1(R-0), (b) Mn–Fe/TS-1(R-0.5), (c) Mn–Fe/TS-1(R-1), (d) Mn–Fe/TS-1(R-2), and (e) Mn–Fe/TiO2.
Table 3.
Reduction temperature peak and H2 consumption of the catalysts.
2.7. NH3-TPD
The catalyst surface acidity is a very crucial influencing factor in low-temperature SCR reactions, and the acidity of the catalysts was determined by NH3-TPD. According to previous studies [35,36], the coordinated NH3 molecules bound to Lewis acid sites is more thermally stable than the NH4+ ions fixed on Brønsted acid sites, so it could be conjectured that the desorption peak at low temperatures is assigned to NH4+ ions bound to the Brønsted acid sites, while the desorption peak at high temperatures is associated with NH3 molecules originating from the Lewis acid sites. Moreover, the area of desorption peaks is directly proportional to the acid amount and the peak position is correlated with the acid strength. As shown in Figure 7, three ammonia desorption peaks are discovered in the Mn–Fe/TiO2 catalyst; the desorption peak at low temperatures (~193 °C) is generated by the physical adsorption of NH3, the desorption peak at 200–300 °C is attributed to the Brønsted acid site, and the desorption peak at high temperatures (~518 °C) is attributed to the Lewis acid site [34]. It is worth noting that Mn–Fe/TS-1(R-x) catalysts display two desorption peaks. The desorption peak at low temperatures (<200 °C) is attributed to the physical adsorption of NH3, and the peak at high temperatures (200–400 °C) is ascribed to the Brønsted acid site [37]. Previous research indicates that the Brønsted acid site could reserve NH3 and enhance SCR reaction activity [38,39]. The amounts of different acid sites are calculated from the NH3-TPD results. As listed in Table 4, the Brønsted acid amount of Mn–Fe/TS-1(R-2) (centered at around 267 °C) is higher than those of others catalysts, which is conducive to improving the SCR reaction, indicating that the substitution of Si species into the TiO2 support can enhance the surface acidity of the catalyst and the adsorption and activation of ammonia, thus improving the catalytic activity in low-temperature SCR reactions. The acidic properties of the catalysts were also analyzed by pyridine IR spectroscopy (Figure S1 in Supplementary Materials). IR bands at ~1445 and 1540 cm −1 observed in the spectra can be attributed to pyridine adsorption related to Lewis and Brønsted acid sites, respectively. The Mn–Fe/TS-1(R-2) exhibits a higher peak area of Brønsted acid sites than the other samples, indicating that the amount of Brønsted acid sites on Mn–Fe/TS-1(R-2) catalyst was significantly increased compared with the other catalysts. This is consistent with the NH3-TPD result.
Figure 7.
NH3-TPD profiles of (a) Mn–Fe/TS-1(R-0), (b) Mn–Fe/TS-1(R-0.5), (c) Mn–Fe/TS-1(R-1), (d) Mn–Fe/TS-1(R-2), and (e) Mn–Fe/TiO2.
Table 4.
Acid properties of the samples obtained from NH3-TPD.
2.8. NH3-SCR Performance
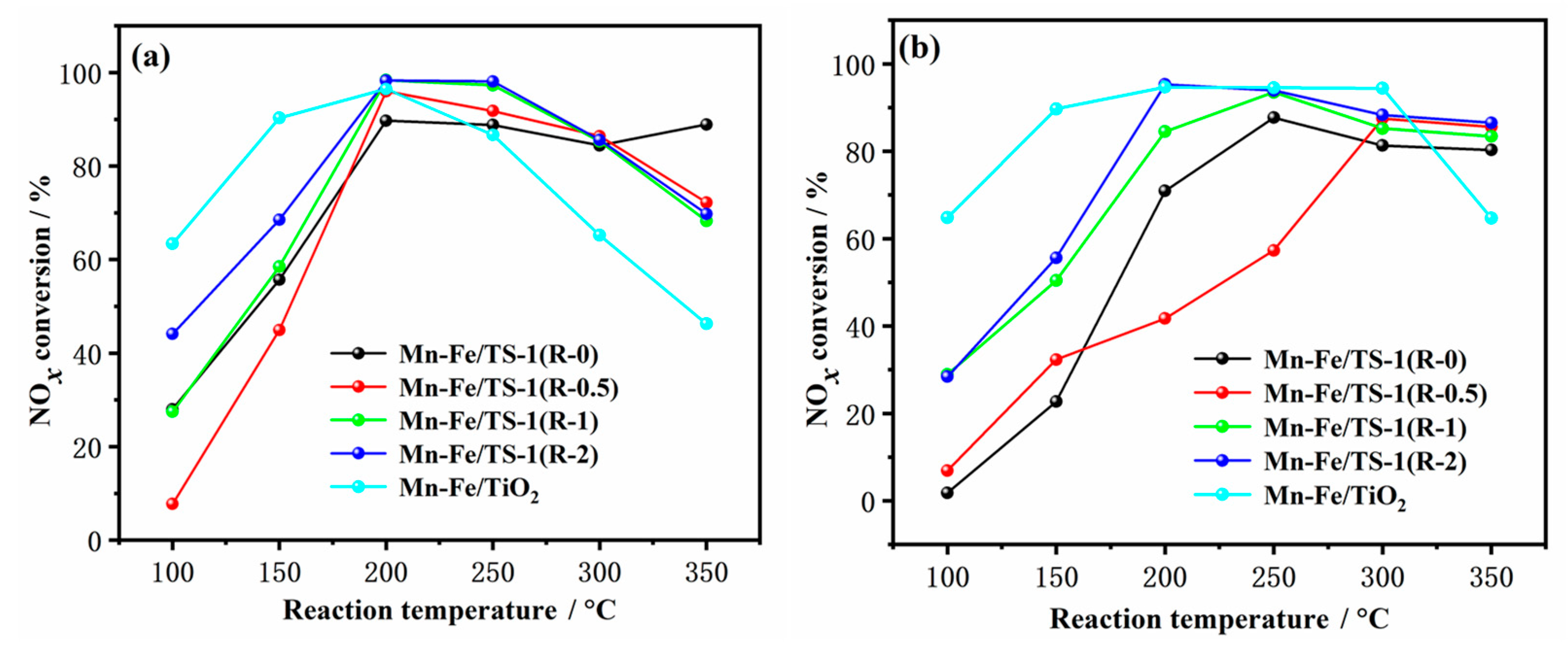
Figure 8a displays NOx conversion as a function of reaction temperature over Mn–Fe/TS-1(R-0), Mn–Fe/TS-1(R-0.5), Mn–Fe/TS-1(R-1), and Mn–Fe/TS-1(R-2) catalysts with different amounts of added TEPA. To study the influence of TS-1 support on NH3-SCR reactions, the NOx conversion over the Mn–Fe/TiO2 catalyst prepared by the wet impregnation method was also evaluated. Mn–Fe/TiO2 and Mn–Fe/TS-1(R-2) show higher NOx conversion than other catalysts at low temperatures (<200 °C). However, the NOx conversion of Mn–Fe/TiO2 decreases due to the generation of N2O and NO2 byproducts at high temperatures (when the reaction temperature increases above 250 °C) [14]. Furthermore, TiO2 support undergoes phase transition at high temperatures (>550 °C), leading to narrow temperature windows for SCR reactions. In contrast, the NH3-SCR activity of Mn–Fe/TS-1(R-x) catalysts is maintained well and only a slight decline in NOx conversion is observed at high temperatures (>250 °C) due to high thermal stability and the enhanced acidity of TS-1 support. It is worth noting that the Mn–Fe/TS-1(R-2) catalyst exhibits remarkably improved catalytic activity with more than 80% NOx conversion in a wide temperature range of 170–325 °C. Furthermore, Mn–Fe/TS-1 catalysts synthesized using the wet impregnation method were reported by Wang et al. [20], demonstrating that the optimized Mn3–Fe2/TS-1-30 can maintain steady NOx conversion efficiencies above 80% in the temperature range of 110–230 °C with a space velocity of 18,000 h−1. Meanwhile, Mn–Fe/TS-1(R-2) prepared by the one-pot hydrothermal method displays wider temperature ranges with high GHSV than the Mn3–Fe2/TS-1-30 catalyst.
Figure 8.
NOx conversion as a function of reaction temperatures over the Mn–Fe/TS-1(R-0), Mn–Fe/TS-1(R-0.5), Mn–Fe/TS-1(R-1), Mn–Fe/TS-1(R-2), and Mn–Fe/TiO2 in the absence (a) and presence of H2O and SO2 (b). Reaction conditions: 500 ppm NO, 500 ppm NH3, 5% O2, 100 ppm SO2 (when used), 5 vol % H2O (when used), and balanced with N2; the total flow rate was 100 mL/min.
The resistance to H2O and SO2 poisoning was further evaluated over the Mn–Fe/TS-1(R-x) and Mn–Fe/TiO2 catalysts, and the results are shown in Figure 8b. Previous research results show that H2O and SO2 combine with NH3 to produce NH4HSO4 with the coexistence of H2O and SO2 [28,40], and the NH4HSO4 cannot decompose below 300 °C [41]. As can be seen in Figure 8b, the NOx conversion of Mn–Fe/TS-1(R-x) markedly decreases with the introduction of H2O and SO2 at low temperatures (≤300 °C). Conversely, the inhibition effect on the NH3-SCR activity of Mn–Fe/TiO2 is less than that of Mn–Fe/TS-1(R-x) in the presence of H2O and SO2. More than 80% NOx conversion is achieved over the Mn–Fe/TiO2 catalyst at 150–300 °C, which may be ascribed to the regeneration of the acid site from NH4HSO4 on the catalyst surface. When the temperature reaches 350 °C, the NOx conversion of the Mn–Fe/TiO2 catalyst decreases to 65% due to the decomposition of NH4HSO4 covered on the surface at high temperatures (>300 °C). It is important to note that the NOx conversion of the Mn–Fe/TS-1(R-2) catalyst reaches a value above 80% at temperatures above 200 °C, indicating that the catalytic activity is less affected by the introduction of H2O and SO2. The enhanced H2O and SO2 tolerance obtained with Mn–Fe/TS-1(R-2) may be due to the addition of a suitable amount of complexing agent TEPA, which facilitates more active component loading of the TS-1 support and a micro-mesoporous structure beneficial for the adsorption and diffusion of the reactants and products. Based on the above results, titanosilicate TS-1 support with desirable pore structure and enriched isolated framework Ti species can enhance SCR activity. It is important to point out that SSZ-13 has been commonly used in NH3-SCR reactions due to its unique pore configuration and acidity properties. However, tetra-coordinated titanium-incorporated SSZ-13 zeolites show stronger Brønsted acidity and hydrothermal stability than SSZ-13 [42], indicating them as a promising SCR catalyst in the future.
3. Materials and Methods
3.1. Catalyst Preparation
The precursors of the silicon source and titanium source were tetraethylorthosilicate (99%, TEOS, innochem) and tetrabutyl orthotitanate (98%, TBOT, Aladdin), respectively. Tetraethylenepentamine (TEPA, Aladdin) was used as the complexing agent, and tetrapropyl ammonium hydroxide (25%, TPAOH, innochem) was employed as a structure-directing agent. Manganese nitrate (Mn(NO3)2•4H2O, Merck) and iron nitrate (Fe(NO3)3•9H2O, Aladdin) were employed as metal sources.
The crystal seed of TS-1 was prepared with a gel composition of 5 SiO2:0.1665 TiO2:1.5 TPAOH: 150 H2O through the following steps: First, 5.63 mL TEOS and 0.28 mL TBOT were mixed well to obtain Solution A. Later, 6.0 mL TPAOH was dissolved in 13.5 mL water to form Solution B. Solution A mixed with Solution B and stirred for 10 h to achieve a uniform gel. The resulting gel was poured into a stainless-steel autoclave for hydrothermal crystallization at 200 °C for 8 h to obtain the crystal seed of TS-1. An amount of 1.27 g Mn(NO3)2•4H2O and 2.04 g Fe(NO3)3•9H2O were dissolved in 8.5 mL water, then different amounts of TEPA (0, 0.48, 0.96, 1.92 mL) were added in the solution dropwise and stirred for 1 h. Subsequently, the crystal seed of TS-1 was added to the above solution and stirred for 1 h to acquire a uniform mixture. Then, the obtained mixture was transferred to an autoclave and statically crystallized for 40 h at 200 °C. The collected precipitate was filtered, washed with distilled water, and dried at 60 °C overnight. Finally, the product was calcinated in an air flow at 550 °C for 6 h. The molar composition of the catalyst was: 5 SiO2: 0.1665 TiO2: 1.5 TPAOH: 150 H2O: 1.0 Mn(NO3)2•4H2O: 1.0 Fe(NO3)3•9H2O: x TEPA. The product was named Mn–Fe/TS-1(R-x), where x denotes the mole ratios of TEPA/Mn (x = 0, 0.5, 1, and 2).
For comparison, Mn–Fe/TiO2 was also synthesized by an impregnation method. A total of 2.04 g Fe(NO3)3•9H2O and 1.27 g Mn(NO3)2•4H2O were dissolved in 20 mL water, then 2.1 g TiO2 (P25) was impregnated into the above solution. The resulting mixture was dried in a water bath at 80 °C to obtain a powder, and calcined under air at 500 °C for 5 h to obtain the Mn–Fe/TiO2 catalyst.
3.2. Catalyst Characterization
A Shimadzu XRD-6000 diffractometer (Shimadzu, Japan) was used to explore the crystal phase using Cu Kα radiation (λ = 0.15418 nm). Fourier transform infrared (FT-IR) spectra of the samples were recorded on a Spectrum 1 spectrometer (PE, Waltham, Mass, USA) using KBr disks. The textural properties of catalysts were investigated using N2 adsorption–desorption isotherms at 77 K on a Micromeritics ASAP 2460 (Micromeritics, Norcross, Ga, USA). The total surface area (SBET) was calculated based on the BET formula. The mesopore surface area (Smeso), micropore volume (Vmicro), and mesopore volume (Vmeso) were determined by the t-plot method. The active metal contents of the catalysts were measured by an Agilent 7500Ce (Agilent, Santa Clara, California, USA) using inductively coupled plasma mass spectrometry (ICP-MS). Morphologies and particle sizes were measured using a scanning electron microscope (Hitachi S-4300) equipped with an energy dispersive spectrometer (EDS) for analyzing the dispersion of metal oxides. Nano Measurer software (China) was used to analyze the size of crystal particles. At least 300 particles per sample were measured for confirming the average particle size. XPS spectroscopy was conducted using a Thermo ESCALAB 250Xi spectrometer (Thermo, Waltham, MA, USA) equipped with a monochromatized Al Ka X-ray source (1486.6 eV). C 1s (binding energy 284.8 eV) served as a reference. Temperature-programmed reduction with hydrogen (H2-TPR) was performed on a Micromeritics ChemiSorb 2720 analyzer. A 0.1 g sample was pretreated at 400 °C for 1 h under Ar flow, then cooled down to 40 °C. The sample was heated to 900 °C at a rate of 10 °C/min under a flow (30 mL/min) of 10 vol.% H2/Ar. NH3 temperature-programmed desorption (NH3-TPD) was analyzed by the same instruments as those used for H2-TPR. The sample (~0.1 g) was preheated in a pure Ar stream (30 mL/min) at 500 °C for 1 h and then cooled to 110 °C. The catalysts were pre-treated in 10 % NH3/He for 1 h, followed by Ar purging for 1 h. NH3 desorption was measured at a ramp of 10 °C min−1 in an Ar flow (30 mL/min) from 110 to 700 °C. The pyridine IR spectra were recorded on a Spectrum 1 spectrometer (PE, USA). The 0.02 g samples were saturated and adsorbed by pyridine at 298 K for 30 min after activization at 773 K for 1 h, and then evacuated at 373 K for 1 h.
3.3. Catalytic Test
The NH3-SCR activity was measured in a fixed-bed quartz flow tube reactor loaded with a 0.3 g catalyst. The composition of reactant gas was 500 ppm NO, 500 ppm NH3, 100 ppm SO2 (when used), 5 vol % O2, 5 vol % H2O (when used), and balance N2. The total gas flow rate was 100 mL/min and the corresponding gas hourly space velocity (GHSV) was 20,000 mL·g−1·h−1. The concentration data of NO and NO2 were monitored using an MRU OPTIMA7 flue gas analyzer. The NOx conversion of the catalyst at the steady state was calculated as follows:
4. Conclusions
A series of Mn–Fe/TS-1(R-x) catalysts have been prepared by utilizing TEPA as a metal complexing agent under hydrothermal conditions for NH3-SCR reactions. The effects of the addition amounts of TEPA on the structure and catalytic activity of the Mn–Fe/TS-1 catalysts were investigated, showing that the Mn–Fe/TS-1(R-2) catalyst displayed enhanced NH3-SCR activity at low temperatures. Moreover, the introduction of H2O/SO2 had relatively little impact on NOx conversion for the Mn–Fe/TS-1(R-2) catalyst. In contrast, Mn–Fe/TiO2 showed narrow temperature windows for SCR reactions. The introduction of TEPA could improve the dispersion and loading of the Mn4+, Fe2+, and surface chemisorbed oxygen. Furthermore, Mn–Fe/TS-1(R-2) displayed enhanced reducibility and high Brønsted acid amounts. Therefore, the addition of the appropriate amount of TEPA effectively optimized the structure of the TS-1 support and enhanced the catalytic activity.
Supplementary Materials
The following supporting information can be downloaded at: www.mdpi.com/10.3390/molecules28073068/s1, Figure S1: Pyridine FT-IR spectra of Mn-Fe/TS-1(R-0) (a), Mn-Fe/TS-1(R-0.5) (b), Mn-Fe/TS-1(R-1) (c), Mn-Fe/TS-1(R-2) (d) and Mn-Fe/TiO2 (e) at 373 K.
Author Contributions
Conceptualization, Y.M. and J.G.; data curation, W.L. and M.S.; formal analysis, Y.M., Z.L. and J.G.; funding acquisition, Z.L.; investigation, W.L., Y.S. and M.S.; methodology, Y.M.; project administration, Z.L.; resources, Z.L.; software, Y.S., Z.N., R.S. and L.W.; supervision, Y.M. and J.G.; validation, Y.M. and J.G.; visualization, W.L.; writing—original draft, Y.M.; writing—review and editing, Y.M. and J.G. All authors have read and agreed to the published version of the manuscript.
Funding
This work has been supported by the Natural Science Foundation of Heilongjiang Province (LH2022E117) and the Basic Science Research Project of Heilongjiang Provincial University, China (145109109).
Institutional Review Board Statement
Not applicable.
Informed Consent Statement
Not applicable.
Data Availability Statement
Data is available upon reasonable request from the corresponding authors.
Conflicts of Interest
The authors declare no conflict of interest.
Sample Availability
Samples of the catalysts are available from the authors.
References
- Busca, G.; Lietti, L.; Ramis, G.; Berti, F. Chemical and mechanistic aspects of the selective catalytic reduction of NOx by ammonia over oxide catalysts: A review. Appl. Catal. B-Environ. 1998, 18, 1–36. [Google Scholar] [CrossRef]
- Zhang, T.T.; Yan, L.M. Enhanced low-temperature NH3-SCR performance of Ce/TiO2 modified by Ho catalyst. Roy. Soc. Open Sci. 2019, 6, 182120. [Google Scholar] [CrossRef] [PubMed]
- Li, J.; Guo, J.X.; Shi, X.K.; Wen, X.R.; Chu, Y.H.; Yuan, S.D. Effect of aluminum on the catalytic performance and reaction mechanism of Mn/MCM-41 for NH3-SCR reaction. Appl. Surf. Sci. 2020, 534, 147592. [Google Scholar] [CrossRef]
- Pu, Y.J.; Yang, L.; Yao, C.; Jiang, W.J.; Yao, L. Low-cost Mn-Fe/SAPO-34 catalyst from natural ferromanganese ore and lithium-silicon-powder waste for efficient low-temperature NH3-SCR removal of NOx. Chemosphere 2022, 293, 133465. [Google Scholar] [CrossRef]
- Gao, Y.; Luan, T.; Lu, T.; Cheng, K.; Xu, H.M. Performance of V2O5-WO3-MoO3/TiO2 Catalyst for Selective Catalytic Reduction of NOx by NH3. Chin. J. Chem. Eng. 2013, 21, 1–7. [Google Scholar] [CrossRef]
- Zhang, S.L.; Li, H.Y.; Zhong, Q. Promotional effect of F-doped V2O5-WO3/TiO2 catalyst for NH3-SCR of NO at low-temperature. Appl. Catal. A-Gen. 2012, 435, 156–162. [Google Scholar] [CrossRef]
- Cai, S.; Zhang, D.; Zhang, L.; Huang, L.; Li, H.; Gao, R.; Shi, L.; Zhang, J. Comparative study of 3D ordered macroporous Ce0.75Zr0.2M0.05O2−δ (M = Fe, Cu, Mn, Co) for selective catalytic reduction of NO with NH3. Catal. Sci. Technol. 2014, 4, 93–101. [Google Scholar] [CrossRef]
- Zhang, N.; He, H.; Wang, D.; Li, Y. Challenges and opportunities for manganese oxides in low-temperature selective catalytic reduction of NOx with NH3: H2O resistance ability. J. Solid State Chem. 2020, 289, 121464. [Google Scholar] [CrossRef]
- Zhang, B.L.; Liebau, M.; Suprun, W.; Liu, B.; Zhang, S.G.; Glaser, R. Suppression of N2O formation by H2O and SO2 in the selective catalytic reduction of NO with NH3 over a Mn/Ti-Si catalyst. Catal. Sci. Technol. 2019, 9, 4759–4770. [Google Scholar] [CrossRef]
- Park, T.S.; Jeong, S.K.; Hong, S.H.; Hong, S.C. Selective catalytic reduction of nitrogen oxides with NH3 over natural manganese ore at low temperature. Ind. Eng. Chem. Res. 2001, 40, 4491–4495. [Google Scholar] [CrossRef]
- Guo, R.-t.; Sun, X.; Liu, J.; Pan, W.-g.; Li, M.-y.; Liu, S.-m.; Sun, P.; Liu, S.-w. Enhancement of the NH3-SCR catalytic activity of MnTiOx catalyst by the introduction of Sb. Appl. Catal. A-Gen. 2018, 558, 1–8. [Google Scholar] [CrossRef]
- Wu, S.G.; Zhang, L.; Wang, X.B.; Zou, W.X.; Cao, Y.; Sun, J.F.; Tang, C.J.; Gao, F.; Deng, Y.; Dong, L. Synthesis, characterization and catalytic performance of FeMnTiOx mixed oxides catalyst prepared by a CTAB-assisted process for mid-low temperature NH3-SCR. Appl. Catal. A-Gen. 2015, 505, 235–242. [Google Scholar] [CrossRef]
- Li, L.; Ji, J.; Tan, W.; Song, W.; Wang, X.; Wei, X.; Guo, K.; Zhang, W.; Tang, C.; Dong, L. Enhancing low-temperature NH3-SCR performance of Fe–Mn/CeO2 catalyst by Al2O3 modification. J. Rare. Earth. 2022, 40, 1454–1461. [Google Scholar] [CrossRef]
- Lee, T.; Bai, H. Byproduct Analysis of SO2 Poisoning on NH3-SCR over MnFe/TiO2 Catalysts at Medium to Low Temperatures. Catalysts. 2019, 9, 265. [Google Scholar] [CrossRef]
- Li, G.; Wang, B.; Wang, H.; Ma, J.; Xu, W.Q.; Li, Y.; Han, Y.; Sun, Q. Fe and/or Mn oxides supported on fly ash-derived SBA-15 for low-temperature NH3-SCR. Catal. Commun. 2018, 108, 82–87. [Google Scholar] [CrossRef]
- Mu, J.C.; Li, X.Y.; Sun, W.B.; Fan, S.Y.; Wang, X.Y.; Wang, L.; Qin, M.C.; Gan, G.Q.; Yin, Z.F.; Zhang, D.K. Enhancement of Low-Temperature Catalytic Activity over a Highly Dispersed Fe-Mn/Ti Catalyst for Selective Catalytic Reduction of NOx with NH3. Ind. Eng. Chem. Res. 2018, 57, 10159–10169. [Google Scholar] [CrossRef]
- Hou, X.X.; Chen, H.P.; Liang, Y.H.; Wei, Y.L.; Li, Z.Q. La Modified Fe-Mn/TiO2 Catalysts to Improve SO2 Resistance for NH3-SCR at Low-Temperature. Catal. Surv. Asia 2020, 24, 291–299. [Google Scholar] [CrossRef]
- Xu, G.Y.; Guo, X.L.; Cheng, X.X.; Yu, J.; Fang, B.Z. A review of Mn-based catalysts for low-temperature NH3-SCR: NOx removal and H2O/SO2 resistance. Nanoscale 2021, 13, 7052–7080. [Google Scholar] [CrossRef]
- Wang, B.; Guo, Y.; Zhu, J.; Ma, J.; Qin, Q. A review on titanosilicate-1 (TS-1) catalysts: Research progress of regulating titanium species. Coordin. Chem. Rev. 2023, 476, 214931. [Google Scholar] [CrossRef]
- Gu, J.L.; Duan, R.D.; Chen, W.B.; Chen, Y.; Liu, L.L.; Wang, X.D. Promoting Effect of Ti Species in MnOx-FeOx/Silicalite-1 for the Low-Temperature NH3-SCR Reaction. Catalysts 2020, 10, 566. [Google Scholar] [CrossRef]
- Niu, C.; Shi, X.; Liu, F.; Liu, K.; Xie, L.; You, Y.; He, H. High hydrothermal stability of Cu–SAPO-34 catalysts for the NH3-SCR of NOx. Chem. Eng. J. 2016, 294, 254–263. [Google Scholar] [CrossRef]
- Wen, C.; Wang, X.; Xu, J.; Fan, Y. Hierarchical SAPO-11 molecular sieve-based catalysts for enhancing the double-branched hydroisomerization of alkanes. Fuel 2019, 255, 115821. [Google Scholar] [CrossRef]
- Liu, J.; Song, W.; Xu, C.; Liu, J.; Zhao, Z.; Wei, Y.; Duan, A.; Jiang, G. The selective catalytic reduction of NOx over a Cu/ZSM-5/SAPO-34 composite catalyst. RSC Adv. 2015, 5, 104923–104931. [Google Scholar] [CrossRef]
- Feng, X.; Sheng, N.; Liu, Y.; Chen, X.; Chen, D.; Yang, C.; Zhou, X. Simultaneously Enhanced Stability and Selectivity for Propene Epoxidation with H2 and O2 on Au Catalysts Supported on Nano-Crystalline Mesoporous TS-1. ACS Catal. 2017, 7, 2668–2675. [Google Scholar] [CrossRef]
- Yue, M.B.; Sun, M.N.; Xie, F.; Ren, D.D. Dry-gel synthesis of hierarchical TS-1 zeolite by using P123 and polyurethane foam as template. Micropor. Mesopor. Mat. 2014, 183, 177–184. [Google Scholar] [CrossRef]
- Xue, T.; Liu, H.; Wang, Y.; Wu, H.; Wu, P.; He, M. Seed-induced synthesis of small-crystal TS-1 using ammonia as alkali source. Chinese J. Catal. 2015, 36, 1928–1935. [Google Scholar] [CrossRef]
- Raveendra, G.; Li, C.; Cheng, Y.; Meng, F.; Li, Z. Direct transformation of syngas to lower olefins synthesis over hybrid Zn–Al2O3/SAPO-34 catalysts. New. J. Chem. 2018, 42, 4419–4431. [Google Scholar] [CrossRef]
- Peng, C.; Yan, R.; Peng, H.; Mi, Y.; Liang, J.; Liu, W.; Wang, X.; Song, G.; Wu, P.; Liu, F. One-pot synthesis of layered mesoporous ZSM-5 plus Cu ion-exchange: Enhanced NH3-SCR performance on Cu-ZSM-5 with hierarchical pore structures. J. Hazard. Mater. 2020, 385, 121593. [Google Scholar] [CrossRef]
- Zhou, X.; Chen, Z.; Guo, Z.; Yang, H.; Shao, J.; Zhang, X.; Zhang, S. One-pot hydrothermal synthesis of dual metal incorporated CuCe-SAPO-34 zeolite for enhancing ammonia selective catalytic reduction. J. Hazard. Mater. 2021, 405, 124177. [Google Scholar] [CrossRef]
- Yan, R.; Lin, S.; Li, Y.; Liu, W.; Mi, Y.; Tang, C.; Wang, L.; Wu, P.; Peng, H. Novel shielding and synergy effects of Mn-Ce oxides confined in mesoporous zeolite for low temperature selective catalytic reduction of NOx with enhanced SO2/H2O tolerance. J. Hazard. Mater. 2020, 396, 122592. [Google Scholar] [CrossRef]
- Chang, H.; Zhang, T.; Dang, H.; Chen, X.; You, Y.; Schwank, J.W.; Li, J. Fe2O3@SiTi core–shell catalyst for the selective catalytic reduction of NOx with NH3: Activity improvement and HCl tolerance. Catal. Sci. Technol. 2018, 8, 3313–3320. [Google Scholar] [CrossRef]
- Yan, Q.; Chen, S.; Zhang, C.; Wang, Q.; Louis, B. Synthesis and catalytic performance of Cu1Mn0.5Ti0.5O mixed oxide as low-temperature NH3-SCR catalyst with enhanced SO2 resistance. Appl. Catal. B-Environ. 2018, 238, 236–247. [Google Scholar] [CrossRef]
- Gao, Y.; Luan, T.; Zhang, S.; Jiang, W.; Feng, W.; Jiang, H. Comprehensive Comparison between Nanocatalysts of Mn−Co/TiO2 and Mn−Fe/TiO2 for NO Catalytic Conversion: An Insight from Nanostructure, Performance, Kinetics, and Thermodynamics. Catalysts 2019, 9, 175. [Google Scholar] [CrossRef]
- Lin, L.-Y.; Lee, C.-Y.; Zhang, Y.-R.; Bai, H. Aerosol-assisted deposition of Mn-Fe oxide catalyst on TiO2 for superior selective catalytic reduction of NO with NH3 at low temperatures. Catal. Commun. 2018, 111, 36–41. [Google Scholar] [CrossRef]
- Zhang, D.; Zhang, L.; Shi, L.; Fang, C.; Li, H.; Gao, R.; Huang, L.; Zhang, J. In situ supported MnOx–CeOx on carbon nanotubes for the low-temperature selective catalytic reduction of NO with NH3. Nanoscale 2013, 5, 1127–1136. [Google Scholar] [CrossRef]
- Lee, T.; Bai, H. Metal Sulfate Poisoning Effects over MnFe/TiO2 for Selective Catalytic Reduction of NO by NH3 at Low Temperature. Ind. Eng. Chem. Res. 2018, 57, 4848–4858. [Google Scholar] [CrossRef]
- Peng, Y.; Wang, D.; Li, B.; Wang, C.; Li, J.; Crittenden, J.; Hao, J. Impacts of Pb and SO2 Poisoning on CeO2–WO3/TiO2–SiO2 SCR Catalyst. Environ. Sci. Technol. 2017, 51, 11943–11949. [Google Scholar] [CrossRef]
- Wang, D.; Zhang, L.; Kamasamudram, K.; Epling, W.S. In Situ-DRIFTS Study of Selective Catalytic Reduction of NOx by NH3 over Cu-Exchanged SAPO-34. ACS Catal. 2013, 3, 871–881. [Google Scholar] [CrossRef]
- Gong, J.; Narayanaswamy, K.; Rutland, C.J. Heterogeneous Ammonia Storage Model for NH3–SCR Modeling. Ind. Eng. Chem. Res. 2016, 55, 5874–5884. [Google Scholar] [CrossRef]
- Han, L.; Cai, S.; Gao, M.; Hasegawa, J.-y.; Wang, P.; Zhang, J.; Shi, L.; Zhang, D.J.C.R. Selective catalytic reduction of NO x with NH3 by using novel catalysts: State of the art and future prospects. Chem. Rev. 2019, 119, 10916–10976. [Google Scholar] [CrossRef]
- Liang, J.; Mi, Y.; Song, G.; Peng, H.; Li, Y.; Yan, R.; Liu, W.; Wang, Z.; Wu, P.; Liu, F. Environmental benign synthesis of Nano-SSZ-13 via FAU trans-crystallization: Enhanced NH3-SCR performance on Cu-SSZ-13 with nano-size effect. J. Hazard. Mater. 2020, 398, 122986. [Google Scholar] [CrossRef] [PubMed]
- Han, L.; Wen, C.; Wu, Z.; Wang, J.; Chang, L.; Feng, G.; Zhang, R.; Kong, D.; Liu, J. Density functional theory investigations into the structures and acidity properties of Ti-doped SSZ-13 zeolite. Micropor. Mesopor. Mat. 2017, 237, 132–139. [Google Scholar] [CrossRef]
Disclaimer/Publisher’s Note: The statements, opinions and data contained in all publications are solely those of the individual author(s) and contributor(s) and not of MDPI and/or the editor(s). MDPI and/or the editor(s) disclaim responsibility for any injury to people or property resulting from any ideas, methods, instructions or products referred to in the content. |
© 2023 by the authors. Licensee MDPI, Basel, Switzerland. This article is an open access article distributed under the terms and conditions of the Creative Commons Attribution (CC BY) license (https://creativecommons.org/licenses/by/4.0/).







