Chemical Constituents of the Mushroom Dictyophora indusiata and Their Anti-Inflammatory Activities
Abstract
1. Introduction
2. Results
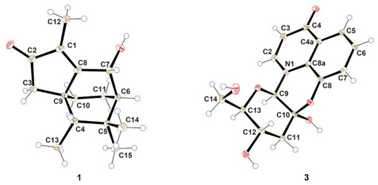
2.1. Structure Elucidation of the Isolated Compounds
2.2. Biological Activity
2.2.1. Effects of the Compounds on Cell Viability
2.2.2. Effects of the Compounds on NO Production in LPS-Stimulated BV-2 Cells
2.2.3. Effects of the Compounds on Levels of TNF-α, IL-1β, and IL-6 in LPS-Stimulated BV-2 Cells
2.2.4. Effects of the Compounds on Expressions of iNOS and p-IκB-α in LPS-Stimulated BV-2 Cells
2.3. Molecular Docking Simulation
3. Discussion
3.1. Diversity of Metabolites with Small Molecular Weights in D. indusiata
3.2. Ergostane-Type Steroids Isolated from D. indusiata and Their Anti-Inflammatory Activities
4. Materials and Methods
4.1. Fungi Material
4.2. Chemicals and Reagents
4.3. Cell Culture
4.4. General Experimental Procedures
4.5. Extraction and Isolation
4.6. In Vitro Anti-Inflammatory Assay
4.6.1. MTT Assay for the Measurement of Cell Viability
4.6.2. Measurement of Nitric Oxide and Cytokine Production
4.6.3. Western Blot Analysis
4.7. Molecular Docking
4.8. Statistical Analysis
5. Conclusions
Supplementary Materials
Author Contributions
Funding
Institutional Review Board Statement
Informed Consent Statement
Data Availability Statement
Acknowledgments
Conflicts of Interest
Sample Availability
References
- Habtemariam, S. The chemistry, pharmacology and therapeutic potential of the edible mushroom Dictyophora indusiata (Vent ex. Pers.) Fischer (Synn. Phallus indusiatus). Biomedicines 2019, 7, 98. [Google Scholar] [CrossRef]
- Wu, Q.; Dai, T.; Song, J.; Liu, X.; Song, S.; Li, L.; Liu, J.; Pugazhendhi, A.; Jacob, J.A. Effects of herbal and mushroom formulations used in traditional Chinese medicine on in vitro human cancer cell lines at the preclinical level: An empirical review of the cell killing mechanisms. Process Biochem. 2020, 94, 136–142. [Google Scholar] [CrossRef]
- Elkhateeb, W.; Daba, G.; Elnahas, M.; Thomas, P. Trametes versicolor and Dictyophora indusiata champions of medicinal mushrooms. Pharm. Res. 2020, 4, 00019. [Google Scholar] [CrossRef]
- Ker, Y.-B.; Chen, K.-C.; Peng, C.-C.; Hsieh, C.-L.; Peng, R.Y. Structural characteristics and antioxidative capability of the soluble polysaccharides present in Dictyophora indusiata (Vent. Ex Pers.) Fish Phallaceae. Evid.-Based Complement. Altern. Med. 2011, 2011, 396013. [Google Scholar] [CrossRef]
- Wang, Y.; Shi, X.; Yin, J.; Nie, S. Bioactive polysaccharide from edible Dictyophora spp.: Extraction, purification, structural features and bioactivities. Bioact. Carbohydr. Diet. Fibre 2018, 14, 25–32. [Google Scholar] [CrossRef]
- Kawagishi, H.; Ishiyama, D.; Mori, H.; Sakamoto, H.; Ishiguro, Y.; Furukawa, S.; Li, J.X. Dictyophorines A and B, two stimulators of NGF-synthesis from the mushroom Dictyophora indusiata. Phytochem 1997, 45, 1203–1205. [Google Scholar] [CrossRef] [PubMed]
- Ishiyama, D.; Fukushi, Y.; Ohnishi-Kameyama, M.; Nagata, T.; Mori, H.; Inakuma, T.; Ishiguro, Y.; Li, J.; Kawagishi, H. Monoterpene-alcohols from a mushroom Dictyophora indusiata. Phytochem 1999, 50, 1053–1056. [Google Scholar] [CrossRef]
- Huang, M.; Chen, X.; Tian, H.; Sun, B.; Chen, H. Isolation and identification of antibiotic albaflavenone from Dictyophora indusiata (Vent: Pers.) Fischer. J. Chem. Res. 2011, 35, 659–660. [Google Scholar] [CrossRef]
- Zhang, Y.-F.; Xun, H.; Gao, Q.; Tang, F.; Qi, F.-F.; Sun, J. Two New Sesquiterpenoids from Dictyophora indusiata. J. Asian Nat. Prod. Res. 2022, 24, 1–7. [Google Scholar] [CrossRef]
- Lee, S.R.; Lee, D.; Lee, B.S.; Ryoo, R.; Pang, C.; Kang, K.S.; Kim, K.H. Phallac Acids A and B, New Sesquiterpenes from the Fruiting Bodies of Phallus luteus. J. Antibiot. 2020, 73, 729–732. [Google Scholar] [CrossRef]
- Lee, I.-K.; Yun, B.-S.; Han, G.; Cho, D.-H.; Kim, Y.-H.; Yoo, I.-D. Dictyoquinazols, A, B, and C, New neuroprotective compounds from the mushroom Dictyophora indusiata. J. Nat. Prod. 2002, 65, 1769–1772. [Google Scholar] [CrossRef] [PubMed]
- Sharma, V.K.; Choi, J.; Sharma, N.; Choi, M.; Seo, S.-Y. In vitro anti-tyrosinase activity of 5-(hydroxymethyl)-2-furfural isolated from Dictyophora indusiata. Phytother. Res. 2004, 18, 841–844. [Google Scholar] [CrossRef] [PubMed]
- Okin, D.; Medzhitov, R. Evolution of inflammatory diseases. Curr. Biol. 2012, 22, R733–R740. [Google Scholar] [CrossRef] [PubMed]
- Scheinfeld, N. A comprehensive review and evaluation of the side effects of the tumor necrosis factor alpha blockers etanercept, infliximab and adalimumab. J. Dermatolog. Treat. 2004, 15, 280–294. [Google Scholar] [CrossRef] [PubMed]
- Kumar, K.; Mehra, R.; Guiné, R.P.F.; Lima, M.J.; Kumar, N.; Kaushik, R.; Ahmed, N.; Yadav, A.N.; Kumar, H. Edible Mushrooms: A comprehensive review on bioactive compounds with health benefits and processing aspects. Foods 2021, 10, 2996. [Google Scholar] [CrossRef]
- Venturella, G.; Ferraro, V.; Cirlincione, F.; Gargano, M.L. Medicinal mushrooms: Bioactive compounds, use, and clinical trials. Int. J. Mol. Sci. 2021, 22, 634. [Google Scholar] [CrossRef]
- Ji, W.H.; Kim, J.; Kim, H.; Jang, W.; Kim, K.H. Mushrooms: An important source of natural bioactive compounds. Nat. Prod. Sci. 2020, 26, 118–131. [Google Scholar] [CrossRef]
- Wang, Y.; Ji, X.; Yan, M.; Chen, X.; Kang, M.; Teng, L.; Wu, X.; Chen, J.; Deng, C. Protective effect and mechanism of polysaccharide from Dictyophora indusiata on dextran sodium sulfate-induced colitis in C57BL/6 mice. Int. J. Biol. Macromol. 2019, 140, 973–984. [Google Scholar] [CrossRef]
- Kanwal, S.; Joseph, T.P.; Aliya, S.; Song, S.; Saleem, M.Z.; Nisar, M.A.; Wang, Y.; Meyiah, A.; Ma, Y.; Xin, Y. Attenuation of DSS induced colitis by Dictyophora indusiata polysaccharide (DIP) via modulation of gut microbiota and inflammatory related signaling pathways. J. Func. Foods 2020, 64, 103641. [Google Scholar] [CrossRef]
- Hara, C.; Kiho, T.; Tanaka, Y.; Ukai, S. Anti-inflammatory activity and conformational behavior of a branched (1→3)-β-d-glucan from an alkaline extract of Dictyophora indusiata fisch. Carbohydr. Res. 1982, 110, 77–87. [Google Scholar] [CrossRef]
- Xie, Y.Q.; Du, X.Y.; Liu, D.; Chen, X.Q.; Li, R.T.; Zhang, Z.J. Chemical constituents from Laggera pterodonta and their anti-inflammatory activities in vitro. Phytochem. Lett. 2021, 43, 126–129. [Google Scholar] [CrossRef]
- Ablajan, N.; Zhao, B.; Wenjuan, X.; Zhao, J.; Sagdullaev, S.S.; Guoan, Z.; Aisa, H.A. Chemical components of Aconitum barbatum var. puberulum and their cytotoxic and antibacterial activities. Nat. Prod. Res. 2021, 35, 1–4. [Google Scholar] [CrossRef] [PubMed]
- Ramasamy, D.; Saraswathy, A. Vitiquinolone--a quinolone alkaloid from Hibiscus vitifolius Linn. Food Chem. 2014, 145, 970–975. [Google Scholar] [CrossRef] [PubMed]
- Shen, Y.M.; Mu, Q.Z. New Furans from Cirsium chlorolepis. Planta Med. 1990, 56, 472–474. [Google Scholar] [CrossRef] [PubMed]
- Wang, Z.W.; Li, Y.; Liu, D.H.; Mu, Y.; Dong, H.J.; Zhou, H.L.; Guo, L.P.; Wang, X. Four new phenolic constituents from the rhizomes of Gastrodia elata Blume. Nat. Prod. Res. 2019, 33, 1140–1146. [Google Scholar] [CrossRef] [PubMed]
- Bering, L.; Craven, E.J.; Sowerby Thomas, S.A.; Shepherd, S.A.; Micklefield, J. Merging enzymes with chemocatalysis for amide bond synthesis. Nat. Commun. 2022, 13, 380. [Google Scholar] [CrossRef]
- Guo, Y.; Li, X.; Wang, J.; Xu, J.; Li, N. A new alkaloid from the fruits of Celastrus orbiculatus. Fitoterapia 2005, 76, 273–275. [Google Scholar] [CrossRef]
- Weng, I.T.; Lin, Y.A.; Chen, G.Y.; Chiang, H.M.; Liu, Y.J.; Chen, C.J.; Lan, Y.H.; Lee, C.L. (-)-β-Homoarginine anhydride, a new antioxidant and tyrosinase inhibitor, and further active components from Trichosanthes truncata. Nat. Prod. Res. 2020, 34, 2262–2268. [Google Scholar] [CrossRef]
- Sadhu, S.K.; Phattanawasin, P.; Choudhuri, M.S.K.; Ohtsuki, T.; Ishibashi, M. A new lignan from Aphanamixis polystachya. J. Nat. Med. 2006, 60, 258–260. [Google Scholar] [CrossRef]
- Abdelrheem, D.A.; Rahman, A.A.; Elsayed, K.N.M.; Abd El-Mageed, H.R.; Mohamed, H.S.; Ahmed, S.A. Isolation, characterization, in vitro anticancer activity, dft calculations, molecular docking, bioactivity score, drug-likeness and admet studies of eight phytoconstituents from brown alga sargassum platycarpum. J. Mol. Struct. 2021, 1225, 129245. [Google Scholar] [CrossRef]
- Nakada, T.; Yamamura, S. Three New Metabolites of Hybrid Strain KO 0231, Derived from Penicillium citreo-viride IFO 6200 and 4692. Tetrahedron 2000, 56, 2595–2602. [Google Scholar] [CrossRef]
- Aiello, A.; Fattorusso, E.; Magno, S.; Mayol, L.; Menna, M. Isolation of two novel 5α,6α-Epoxy-7-ketosterols from the Encrusting Demospongia Oscarella lobularis. J. Nat. Prod. 1990, 53, 487–491. [Google Scholar] [CrossRef]
- Lee, D.; Lee, S.R.; Kang, K.S.; Kim, K.H. Bioactive Phytochemicals from Mulberry: Potential anti-inflammatory effects in lipopolysaccharide-stimulated RAW 264.7 macrophages. Int. J. Mol. Sci. 2021, 2, 8120. [Google Scholar] [CrossRef] [PubMed]
- Muszyńska, B.; Grzywacz-Kisielewska, A.; Kała, K.; Gdula-Argasińska, J. Anti-inflammatory properties of edible mushrooms: A review. Food Chem. 2018, 243, 373–381. [Google Scholar] [CrossRef] [PubMed]
- Deshmukh, S.K.; Verekar, S.A.; Periyasamy, G.; Ganguli, B.N. Fungi: A Potential Source of Anti-infl amatory Compounds. In Microorganisms in Sustainable Agriculture and Biotechnology; Johri, B.N., Prakash, A., Eds.; Springer: Dordrecht, The Netherlands, 2016; pp. 613–645. [Google Scholar] [CrossRef]
- Tolosa, L.; Donato, M.T.; Gómez-Lechón, M.J. General cytotoxicity assessment by means of the MTT assay. Methods Mol. Biol. 2015, 1250, 333–348. [Google Scholar] [CrossRef]
- Colasanti, M.; Persichini, T.; Menegazzi, M.; Mariotto, S.; Giordano, E.; Caldarera, C.M.; Sogos, V.; Lauro, G.M.; Suzuki, H. Induction of nitric oxide synthase mRNA expression: Suppression by exogenous nitric oxide. J. Biol. Chem. 1995, 270, 26731–26733. [Google Scholar] [CrossRef]
- Sun, J.; Zhang, X.; Broderick, M.; Fein, H. Measurement of nitric oxide production in biological systems by using Griess reaction assay. Sensors 2003, 3, 276–284. [Google Scholar] [CrossRef]
- Lee, J.-I.; Burckart, G.J. Nuclear Factor Kappa B: Important transcription factor and therapeutic target. J. Clin. Pharmacol. 1998, 38, 981–993. [Google Scholar] [CrossRef]
- Cheshire, D.R.; Åberg, A.; Andersson, G.M.K.; Andrews, G.; Beaton, H.G.; Birkinshaw, T.N.; Boughton-Smith, N.; Connolly, S.; Cook, T.R.; Cooper, A.; et al. The discovery of novel, potent and highly selective inhibitors of inducible nitric oxide synthase (iNOS). Bioorg. Med. Chem. Lett. 2011, 21, 2468–2471. [Google Scholar] [CrossRef]
- He, M.M.; Smith, A.S.; Oslob, J.D.; Flanagan, W.M.; Braisted, A.C.; Whitty, A.; Cancilla, M.T.; Wang, J.; Lugovskoy, A.A.; Yoburn, J.C.; et al. Small-Molecule Inhibition of TNF-α. Science 2005, 310, 1022–1025. [Google Scholar] [CrossRef]
- Huxford, T.; Huang, D.-B.; Malek, S.; Ghosh, G. The Crystal Structure of the IκBα/NF-κB Complex Reveals Mechanisms of NF-κB Inactivation. Cell 1998, 95, 759–770. [Google Scholar] [CrossRef]
- Wang, J.; Wen, X.; Zhang, Y.; Zou, P.; Cheng, L.; Gan, R.; Li, X.; Liu, D.; Geng, F. Quantitative proteomic and metabolomic analysis of Dictyophora indusiata fruiting bodies during post-harvest morphological development. Food Chem. 2021, 339, 127884. [Google Scholar] [CrossRef]
- Chen, H.-Y.; Lei, J.-Y.; Li, S.-L.; Guo, L.-Q.; Lin, J.-F.; Wu, G.-H.; Lu, J.; Ye, Z.-W. Progress in biological activities and biosynthesis of edible fungi terpenoids. Crit. Rev. Food Sci. Nutr. 2022, 62, 1–23. [Google Scholar] [CrossRef] [PubMed]
- Avalos, M.; Garbeva, P.; Vader, L.; van Wezel, G.P.; Dickschat, J.S.; Ulanova, D. Biosynthesis, evolution and ecology of microbial terpenoids. Nat. Prod. Rep. 2022, 39, 249–272. [Google Scholar] [CrossRef] [PubMed]
- Chazan, J.B. L’Antsorenone, cétone sesquiterpénique de l’huile essentielle d’Elionurus tristis. In Rapport d’activité, Tananarive; Institut Français de Recherche Scientifique pour le Développement en Coopération (ORSTOM): Montpellier, France, 1969; pp. 29–31. [Google Scholar]
- Garcia, G.P.; Sutour, S.; Rabehaja, D.; Tissandié, L.; Filippi, J.-J.; Tomi, F. Essential oil of the malagasy grass Elionurus tristis Hack. contains several undescribed sesquiterpenoids. Phytochem 2019, 162, 29–38. [Google Scholar] [CrossRef] [PubMed]
- Hu, C.-L.; Xiong, J.; Li, J.-Y.; Gao, L.-X.; Wang, W.-X.; Cheng, K.-J.; Yang, G.-X.; Li, J.; Hu, J.-F. Rare sesquiterpenoids from the shed trunk barks of the critically endangered plant Abies beshanzuensis and their bioactivities. Eur. J. Org. Chem. 2016, 2016, 1832–1835. [Google Scholar] [CrossRef]
- Rueda, A.; Zubía, E.; Ortega, M.J.; Salvá, J. New Acyclic Sesquiterpenes and Norsesquiterpenes from the Caribbean Gorgonian Plexaurella grisea. J. Nat. Prod. 2001, 64, 401–405. [Google Scholar] [CrossRef] [PubMed]
- Xue, S.; Zhang, P.; Tang, P.; Wang, C.; Kong, L.; Luo, J. Acyclic Diterpene and Norsesquiterpene from the Seed of Aphanamixis polystachya. Fitoterapia 2020, 142, 104518. [Google Scholar] [CrossRef]
- Carroll, P.J.; Engelhardt, L.M.; Ghisalberti, L.; Jefferies, P.R.; Middleton, E.J.; Mori, T.A.; White, A.H. The Chemistry of Eremophila spp. XXII. New Eremane Diterpenes from E. Fraseri. Aust. J. Chem. 1985, 38, 1351. [Google Scholar] [CrossRef]
- Champagnat, P.; Bessière, J.-M.; Chezal, J.-M.; Chalchat, J.-C.; Carnat, A.-P. New Compounds from the Essential Oil of Vetiveria nigritana Roots from Mali. Flavour Fragr. J. 2007, 22, 488–493. [Google Scholar] [CrossRef]
- Filippi, J.-J. Norsesquiterpenes as Markers of Overheating in Indonesian Vetiver Oil: Norsesquiterpenes of Indonesian Vetiver Oil. Flavour Fragr. J. 2014, 29, 137–142. [Google Scholar] [CrossRef]
- McAfee, B.J.; Taylor, A. A review of the volatile metabolites of fungi found on wood substrates. Nat. Toxins 1999, 7, 283–303. [Google Scholar] [CrossRef] [PubMed]
- Keller, N.P.; Turner, G.; Bennett, J.W. Fungal Secondary Metabolism—From Biochemistry to Genomics. Nat. Rev. Microbiol. 2005, 3, 937–947. [Google Scholar] [CrossRef] [PubMed]
- Zhong, J.-J.; Xiao, J.-H. Secondary Metabolites from Higher Fungi: Discovery, Bioactivity, and Bioproduction. Adv. Biochem. Eng. Biotechnol. 2009, 113, 79–150. [Google Scholar] [CrossRef] [PubMed]
- Bills, G.F.; Gloer, J.B. Biologically Active Secondary Metabolites from the Fungi. Microbiol. Spectr. 2016, 4, 1087–1119. [Google Scholar] [CrossRef]
- Schüffler, A. Secondary Metabolites of Basidiomycetes. In Physiology and Genetics, 2nd ed.; Anke, T., Schüffler, A., Eds.; Springer International Publishing: Cham, Switzerland, 2018; pp. 231–275. [Google Scholar] [CrossRef]
- Wang, Q.; Cao, R.; Zhang, Y.; Qi, P.; Wang, L.; Fang, S. Biosynthesis and Regulation of Terpenoids from Basidiomycetes: Exploration of New Research. AMB Express 2021, 11, 150. [Google Scholar] [CrossRef]
- Baby, S.; Johnson, A.J.; Govindan, B. Secondary Metabolites from Ganoderma. Phytochemistry 2015, 114, 66–101. [Google Scholar] [CrossRef]
- Ahmad, M.F. Ganoderma Lucidum: Persuasive Biologically Active Constituents and Their Health Endorsement. Biomed. Pharmacother. 2018, 107, 507–519. [Google Scholar] [CrossRef]
- Cör, D.; Knez, Ž.; Knez Hrnčič, M. Antitumour, Antimicrobial, Antioxidant and Antiacetylcholinesterase Effect of Ganoderma lucidum Terpenoids and Polysaccharides: A Review. Molecules 2018, 23, 649. [Google Scholar] [CrossRef]
- Ríos, J.-L. Chemical Constituents and Pharmacological Properties of Poria Cocos. Planta Med. 2011, 77, 681–691. [Google Scholar] [CrossRef]
- Lu, J.; Tian, J.; Zhou, L.; Meng, L.; Chen, S.; Ma, C.; Wang, J.; Liu, Z.; Li, C.; Kang, W. Phytochemistry and Biological Activities of Poria. J. Chem. 2021, 2021, 6659775. [Google Scholar] [CrossRef]
- Weete, J.D. Structure and function of sterols in fungi. Adv. Lipid Res. 1989, 23, 115–167. [Google Scholar] [CrossRef]
- Zhabinskii, V.N.; Drasar, P.; Khripach, V.A. Structure and biological activity of ergostane-type steroids from fungi. Molecules 2022, 27, 2103. [Google Scholar] [CrossRef] [PubMed]
- Weete, J.D.; Gandhi, S.R. Biochemistry and molecular biology of fungal sterols. In Biochemistry and Molecular Biology; Robert, B., George, A.M., Eds.; Springer: Berlin/Heidelberg, Germany, 1996; pp. 421–438. [Google Scholar] [CrossRef]
- Phillips, K.M.; Ruggio, D.M.; Horst, R.L.; Minor, B.; Simon, R.R.; Feeney, M.J.; Byrdwell, W.C.; Haytowitz, D.B. Vitamin D and Sterol Composition of 10 types of mushrooms from retail suppliers in the United States. J. Agric. Food Chem. 2011, 59, 7841–7853. [Google Scholar] [CrossRef]
- Shaikh, S.; Verma, H.; Yadav, N.; Jauhari, M.; Bullangowda, J. Applications of steroid in clinical practice: A Review. ISRN Anesthesiol. 2012, 2012, 985495. [Google Scholar] [CrossRef]
- Greuter, T.; Alexander, J.A.; Straumann, A.; Katzka, D.A. Diagnostic and therapeutic long-term management of eosinophilic esophagitis- current concepts and perspectives for steroid use. Clin. Transl. Gastroenterol. 2018, 9, e212. [Google Scholar] [CrossRef]
- Fan, H.; Morand, E.F. Targeting the side effects of steroid therapy in autoimmune diseases: The role of GILZ. Discov. Med. 2012, 13, 123–133. [Google Scholar]
- Duecker, F.L.; Reuß, F.; Heretsch, P. Rearranged ergostane-type natural products: Chemistry, biology, and medicinal aspects. Org. Biomol. Chem. 2019, 17, 1624–1633. [Google Scholar] [CrossRef]
- Veverka, V.; Baker, T.; Redpath, N.T.; Carrington, B.; Muskett, F.W.; Taylor, R.J.; Lawson, A.D.G.; Henry, A.J.; Carr, M.D. Conservation of functional sites on Interleukin-6 and implications for evolution of dignaling complex assembly and therapeutic intervention. J. Biol. Chem. 2012, 287, 40043–40050. [Google Scholar] [CrossRef]
- Kurien, B.T.; Scofield, R.H. Western blotting. Methods 2006, 38, 283–293. [Google Scholar] [CrossRef]
- Madhavi Sastry, G.; Adzhigirey, M.; Day, T.; Annabhimoju, R.; Sherman, W. Protein and ligand preparation: Parameters, protocols, and influence on virtual screening enrichments. J. Comput. Aided Mol. Des. 2013, 27, 221–234. [Google Scholar] [CrossRef] [PubMed]
- Friesner, R.A.; Banks, J.L.; Murphy, R.B.; Halgren, T.A.; Klicic, J.J.; Mainz, D.T.; Repasky, M.P.; Knoll, E.H.; Shelley, M.; Perry, J.K.; et al. Glide: A new approach for rapid, accurate docking and scoring. 1. Method and Assessment of Docking Accuracy. J. Med. Chem. 2004, 47, 1739–1749. [Google Scholar] [CrossRef] [PubMed]
- Sherman, W.; Day, T.; Jacobson, M.P.; Friesner, R.A.; Farid, R. Novel procedure for modeling ligand/receptor induced fit effects. J. Med. Chem. 2006, 49, 534–553. [Google Scholar] [CrossRef] [PubMed]







| Compound 1 | Compound 2 | Compound 3 | Compound 4 | ||||||||
|---|---|---|---|---|---|---|---|---|---|---|---|
| no | δC | δH, multi., J | no | δC | δH, multi., J | no | δC | δH, multi., J | no | δC | δH, multi., J |
| 1 | 132.9 | 1 | 206.8 | 2 | 143.3 | 8.03, d, 7.5 | 1 | 30.3 | 2.12, s | ||
| 2 | 208.4 | 2 | 129.3 | 5.88, s | 3 | 110.5 | 6.14, d, 7.5 | 2 | 207.9 | ||
| 3 | 44.7 | 2.08, 1.86, d, 18.0 | 3 | 193.5 | 4 | 177.4 | 3 | 37.5 | 2.66, t, 6.0 | ||
| 4 | 43.6 | 1.14, m | 4 | 44.9 | 4a | 126.5 | 4 | 31.4 | 2.92, t, 6.0 | ||
| 5 | 34.0 | 5 | 54.8 | 2.25, d, 11.0 | 5 | 117.9 | 7.68, dd, 9.0, 1.5 | 5 | 200.1 | ||
| 6 | 46.8 | 1.36, m | 6 | 28.5 | 1.34, s | 6 | 124.4 | 7.28, t, 9.0 | 6 | 134.3 | |
| 7 | 65.1 | 4.82, s | 7 | 29.4 | 1.26, s | 7 | 118.8 | 7.24, dd, 9.0, 1.5 | 7 | 139.1 | 7.23, d, 11.5 |
| 8 | 181.5 | 1′ | 41.4 | 8 | 143.4 | 8 | 122.0 | 6.58, d, 15.0, 11.5 | |||
| 9 | 45.2 | 2′ | 132.9 | 5.72, dd, 10.0, 1.0 | 8a | 127.0 | 9 | 152.4 | 6.37, d, 15.0 | ||
| 10 | 25.4 | 1.91, 0.98, m | 3′ | 135.1 | 5.56, dd, 10.0, 1.0 | 9 | 85.0 | 5.40, s | 10 | 70.0 | |
| 11 | 16.6 | 1.78, 1.58, m | 4′ | 66.2 | 10 | 93.1 | 11 | 30.2 | 1.24, s | ||
| 12 | 8.5 | 1.69, s | 5′ | 35.3 | 1.61, 1.40, m | 11 | 43.7 | 2.64, dd, 11.5, 5.0; 1.85, dd, 13.0, 6.0 | 12 | 12.0 | 1.79, s |
| 13 | 11.6 | 0.86, d, 7.0 | 6′ | 34.3 | 1.92, 1.74, m | 12 | 63.2 | 3.59, m | 13 | 30.2 | 1.24, s |
| 14 | 30.3 | 0.94, s, 1.5 | 7′ | 29.9 | 1.28, s | 13 | 82.8 | 3.48, m | |||
| 15 | 25.2 | 0.94, s, 1.5 | 8′ | 29.5 | 1.10, s | 14 | 60.9 | 3.65, d, 11.5; 3.42, overlap | |||
| 7-OH | 5.19, d, 6.0 | 4′-OH | 4.55, s | ||||||||
| Compounds | Pro-Inflammatory Mediators (IC50 in µM) | |||
|---|---|---|---|---|
| NO | TNF-α | IL-1β | IL-6 | |
| 1 | 46.3 ± 1.35 | 34.5 ± 2.1 | >100 | 77.57 ± 4.43 |
| 3 | 89.12 ± 8.54 | 11.9 ± 1.25 | >100 | 46.34 ± 2.34 |
| 4 | 62.15 ± 4.64 | >100 | >100 | >100 |
| 11 | >100 | 86.2 ± 6.33 | >100 | 58.43 ± 2.23 |
| 15 | 42.41 ± 3.44 | 65.5 ± 1.45 | >100 | 49.43 ± 2.15 |
| 16 | 66.12 ± 4.38 | >100 | >100 | 13.53 ± 1.46 |
| 17 | 10.86 ± 0.73 | >100 | 23.9 ± 1.48 | >100 |
Disclaimer/Publisher’s Note: The statements, opinions and data contained in all publications are solely those of the individual author(s) and contributor(s) and not of MDPI and/or the editor(s). MDPI and/or the editor(s) disclaim responsibility for any injury to people or property resulting from any ideas, methods, instructions or products referred to in the content. |
© 2023 by the authors. Licensee MDPI, Basel, Switzerland. This article is an open access article distributed under the terms and conditions of the Creative Commons Attribution (CC BY) license (https://creativecommons.org/licenses/by/4.0/).
Share and Cite
Zhang, Y.; Xun, H.; Gao, Q.; Qi, F.; Sun, J.; Tang, F. Chemical Constituents of the Mushroom Dictyophora indusiata and Their Anti-Inflammatory Activities. Molecules 2023, 28, 2760. https://doi.org/10.3390/molecules28062760
Zhang Y, Xun H, Gao Q, Qi F, Sun J, Tang F. Chemical Constituents of the Mushroom Dictyophora indusiata and Their Anti-Inflammatory Activities. Molecules. 2023; 28(6):2760. https://doi.org/10.3390/molecules28062760
Chicago/Turabian StyleZhang, Yingfang, Hang Xun, Quan Gao, Feifei Qi, Jia Sun, and Feng Tang. 2023. "Chemical Constituents of the Mushroom Dictyophora indusiata and Their Anti-Inflammatory Activities" Molecules 28, no. 6: 2760. https://doi.org/10.3390/molecules28062760
APA StyleZhang, Y., Xun, H., Gao, Q., Qi, F., Sun, J., & Tang, F. (2023). Chemical Constituents of the Mushroom Dictyophora indusiata and Their Anti-Inflammatory Activities. Molecules, 28(6), 2760. https://doi.org/10.3390/molecules28062760
