A Comparison of the Antibacterial Efficacy of Carbohydrate Lipid-like (Thio)Ether, Sulfone, and Ester Derivatives against Paenibacillus larvae
Abstract
1. Introduction
2. Results and Discussion
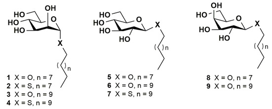
2.1. Synthesis
2.2. Efficacy of Derivatives against P. larvae
3. Materials and Methods
3.1. General
3.2. Synthesis
3.3. Biology
4. Conclusions
Author Contributions
Funding
Institutional Review Board Statement
Informed Consent Statement
Data Availability Statement
Conflicts of Interest
References
- Bailey, L.; Ball, B.V. Honey Bee Pathology; Academic Press: London, UK, 1991; pp. 53–62. [Google Scholar]
- Genersch, E.; Forsgren, E.; Pentikäinen, J.; Ashiralieva, A.; Rauch, S.; Kilwinski, J.; Fries, I. Reclassification of Paenibacillus larvae subsp. pulvifaciens and Paenibacillus larvae subsp. larvae as Paenibacillus larvae without subspecies differentiation. Int. J. Syst. Evol. Microbiol. 2006, 56, 501–511. [Google Scholar] [CrossRef]
- Hansen, H.; Brødsgaard, C.J. American foulbrood: A review of its biology, diagnosis and control. Bee World. 1999, 80, 5–23. [Google Scholar] [CrossRef]
- Yue, D.; Nordhoff, M.; Wieler, L.H.; Genersch, E. Fluorescence in situ hybridization (FISH) analysis of the interactions between honeybee larvae and Paenibacillus larvae, the causative agent of American foulbrood of honeybees (Apis mellifera). Environ. Microbiol. 2008, 10, 1612–1620. [Google Scholar] [CrossRef] [PubMed]
- Ebeling, J.; Knispel, H.; Hertlein, G.; Fünfhaus, A.; Genersch, E. Biology of Paenibacillus larvae, a deadly pathogen of honey bee larvae. Appl. Microbiol. Biotechnol. 2016, 100, 7387–7395. [Google Scholar] [CrossRef]
- Genersch, E. American Foulbrood in honeybees and its causative agent, Paenibacillus larvae. J. Invert. Pathol. 2010, 87, 87–97. [Google Scholar] [CrossRef]
- Fries, I.; Camazine, S. Implications of horizontal and vertical pathogen transmission for honeybee epidemiology. Apidologie 2001, 32, 199–214. [Google Scholar] [CrossRef]
- Lindström, A.; Korpela, S.; Fries, I. The distribution of Paenibacillus larvae spores in adult bees and honey and larval mortality, following the addition of American foulbrood disease brood or spore-contaminated honey in honey bee (Apis mellifera) colonies. J. Invertebr. Pathol. 2008, 99, 82–86. [Google Scholar] [CrossRef]
- Lindström, A.; Korpela, S.; Fries, I. Horizontal transmission of Paenibacillus larvae spores between honey bee (Apis mellifera) colonies through robbing. Apidologie 2008, 39, 515–522. [Google Scholar] [CrossRef]
- Evans, J.D. Transcriptional immune responses by honey bee larvae during invasion by the bacterial pathogen, Paenibacillus larvae. J. Invertebr. Pathol. 2004, 85, 105–111. [Google Scholar] [CrossRef]
- Chan, Q.W.T.; Melathopoulos, A.P.; Pernal, S.F.; Foster, L.J. The innate immune and systemic response in honey bees to a bacterial pathogen, Paenibacillus larvae. BMC Genom. 2009, 10, 387. [Google Scholar] [CrossRef]
- Krongdang, S.; Evans, J.; Chen, Y.; Mookhploy, W.; Chantawannakul, P. Comparative susceptibility and immune responses of Asian and European honey bees to the American foulbrood pathogen; Paenibacillus larvae. Insect Sci. 2018, 26, 831–842. [Google Scholar] [CrossRef]
- Spivak, M.; Gilliam, M. Hygienic behaviour of honey bees and its application for control of brood diseases and varroa. Part I. Hygienic behaviour and resistance to American foulbrood. Bee World 1998, 79, 124–134. [Google Scholar] [CrossRef]
- Spivak, M.; Reuter, G.D. Resistance to American foulbrood disease by honey bee colonies Apis mellifera bred for hygienic behavior. Apidologie 2001, 32, 555–565. [Google Scholar] [CrossRef]
- Wilson-Rich, N.; Spivak, M.; Fefferman, N.H.; Starks, P.T. Genetic, individual, and group facilitation of disease resistance in insect societies. Ann. Rev. Entomol. 2009, 54, 405–423. [Google Scholar] [CrossRef]
- Šedivá, M.; Laho, M.; Kohútová, L.; Mojžišová, A.; Majtán, J.; Klaudiny, J. 10-HDA, a major fatty acid of royal jelly, exhibits pH dependent growth-inhibitory activity against different strains of Paenibacillus larvae. Molecules 2018, 23, 3236. [Google Scholar] [CrossRef]
- López-Uribe, M.M.; Fitzgerald, A.; Simone-Finstrom, M. Inducible versus constitutive social immunity: Examining effects of colony infection on glucose oxidase and defensin-1 production in honeybees. R. Soc. Open Sci. 2017, 4, 170224. [Google Scholar] [CrossRef]
- Fujiwara, S.; Imai, J.; Fujiwara, M.; Yaeshima, T.; Kawashima, T.; Kobayashi, K. A potent antibacterial protein in royal jelly. J. Biol. Chem. 1990, 265, 11333–11337. [Google Scholar] [CrossRef]
- Fontana, R.; Mendes, M.A.; de Souza, B.M.; Konno, K.; César, L.M.M.; Malaspina, O.; Palma, M.S. Jelleines: A family of antibacterial peptides from the royal jelly of honeybees (Apis mellifera). Peptides 2004, 25, 919–928. [Google Scholar] [CrossRef]
- Klaudiny, J.; Bachanová, K.; Kohútová, L.; Dzúrová, M.; Kopernický, J.; Majtán, J. Expression of larval jelly antimicrobial peptide defensin1 in Apis mellifera colonies. Biologia 2012, 67, 200–211. [Google Scholar] [CrossRef]
- Yatsunami, K.; Echigo, T. Antibacterial action of royal jelly. Bull. Fac. Agr. Tamagawa Univ. 1985, 25, 13–22. [Google Scholar]
- Isidorov, V.A.; Bakier, S.; Grzech, I. Gas chromatographic-mass spectrometric investigation of volatile and extractable compounds of crude royal jelly. J. Chromatogr. B 2012, 885–886, 109–116. [Google Scholar] [CrossRef]
- Melliou, E.; Chinou, I. Chemistry and bioactivity of royal jelly from Greece. J. Agric. Food Chem. 2005, 53, 8987–8992. [Google Scholar] [CrossRef]
- Bíliková, K.; Gusui, W.; Šimúth, J. Isolation of a peptide fraction from honeybee royal jelly as a potential antifoulbrood factor. Apidologie 2001, 32, 275–283. [Google Scholar] [CrossRef]
- Bachanová, K.; Klaudiny, J.; Kopernický, J.; Šimúth, J. Identification of honeybee peptide active against Paenibacillus larvae larvae through bacterial growth-inhibition assay on polyacrylamide gel. Apidologie 2002, 33, 259–269. [Google Scholar] [CrossRef]
- Bíliková, K.; Mirgorodskaya, E.; Bukovská, G.; Gobom, J.; Lehrach, H.; Šimúth, J. Towards functional proteomics of minority component of honeybee royal jelly: The effect of post-translational modifications on the antimicrobial activity of apalbumin2. Proteomics 2009, 9, 2131–2138. [Google Scholar] [CrossRef]
- Šedivá, M.; Klaudiny, J. Antimikrobiálne látky materskej kašičky. Chem. Listy 2015, 109, 755–761. [Google Scholar]
- Isidorov, W.; Witkowski, S.; Iwaniuk, P.; Zambrzycka, M.; Swiecicka, I. Royal jelly aliphatic acid contribute to antimicrobial activity of honey. J. Apic. Sci. 2018, 62, 111–120. [Google Scholar] [CrossRef]
- Pernal, S.F.; Albright, R.L.; Melathopoulos, A.P. Evaluation of the shaking technique for the economic management of American foulbrood disease of honey bees (Hymenoptera: Apidae). J. Econ. Entomol. 2008, 101, 1095–1104. [Google Scholar] [CrossRef]
- Locke, B.; Low, M.; Forsgren, E. An integrated management strategy to prevent outbreaks and eliminate infection pressure of American foulbrood disease in a commercial beekeeping operation. Prev. Vet. Med. 2019, 167, 48–52. [Google Scholar] [CrossRef]
- Elzen, P.; Westervelt, D.; Causey, D.; Rivera, R.; Baxter, J.; Feldlaufer, M. Control of oxytetracycline-resistant American foulbrood with tylosin and its toxicity to honey bees (Apis mellifera). J. Apic. Res. 2002, 41, 97–100. [Google Scholar] [CrossRef]
- Alippi, A.; Albo, G.; Reynaldi, F.; De Giusti, M. In vitro and in vivo susceptibility of the honeybee bacterial pathogen Paenibacillus larvae subs. larvae to the antibiotic tylosin. Vet. Microbiol. 2005, 109, 47–55. [Google Scholar] [CrossRef]
- Miyagi, T.; Peng, C.Y.; Chuang, R.Y.; Mussen, E.C.; Spivak, M.S.; Doi, R.H. Verification of oxytetracycline-resistant American foulbrood pathogen Paenibacillus larvae in the United States. J. Invertebr. Pathol. 2000, 7, 95–96. [Google Scholar] [CrossRef]
- Evans, J.D. Diverse origins of tetracycline resistance in the honey bee bacterial pathogen Paenibacillus larvae. J. Invertebr. Pathol. 2003, 83, 46–50. [Google Scholar] [CrossRef]
- Alippi, A.M.; Albo, G.N.; Leniz, D.; Rivera, I.; Zanelli, M.; Roca, A.E. Comparative study of tylosin, erythromycin and oxytetracycline to control of American foulbrood in honey bees. J. Apic. Res. 1999, 38, 149–158. [Google Scholar] [CrossRef]
- Forsgren, E.; Locke, B.; Sircoulomb, F.; Schäfer, M.O. Bacterial diseases in honeybees. Curr. Clin. Micro. Rpt. 2018, 5, 18–25. [Google Scholar] [CrossRef]
- Mejias, E. American foulbrood and the risk in the use of antibiotics as a treatment. In Modern Beekeeping; InTech Open: London, UK, 2019; pp. 1–14. [Google Scholar] [CrossRef]
- Kuzyšinová, K.; Mudroňová, D.; Toporčák, J.; Molnár, L.; Javorský, P. Te use of probiotics, essential oils and fatty acids in the control of American foulbrood and other bee diseases. J. Apic. Res. 2016, 55, 386–395. [Google Scholar] [CrossRef]
- Alonso-Salces, R.M.; Cugnata, N.M.; Guaspari, E.; Pellegrini, M.C.; Aubone, I.; De Piano, F.G.; Antunez, K.; Fuselli, S.R. Natural strategies for the control of Paenibacillus larvae, the causative agent of American foulbrood in honey bees: A review. Apidologie 2017, 48, 387–400. [Google Scholar] [CrossRef]
- Fuselli, S.R.; Martinez, P.G.; Fuentes, G.; Alonso-Salces, R.M.; Maggi, M. Prevention and Control of American Foulbrood in South America with Essential Oils: Review. In Beekeeping—New Challenges; InTech Open: London, UK, 2019. [Google Scholar] [CrossRef]
- Daisley, B.A.; Pitek, A.P.; Chmiel, J.A.; Al, K.F.; Chernyshova, A.M.; Faragalla, K.M.; Burton, J.P.; Thompson, G.J.; Reid, G. Novel probiotic approach to counter Paenibacillus larvae infection in honey bees. ISME J. 2020, 14, 476–491. [Google Scholar] [CrossRef]
- Iorizzo, M.; Testa, B.; Lombardi, S.J.; Ganassi, S.; Ianiro, M.; Letizia, F.; Succi, M.; Tremonte, P.; Vergalito, F.; Cozzolino, A. Antimicrobial activity against Paenibacillus larvae and functional properties of Lactiplantibacillus plantarum strains: Potential benefits for honeybee health. Antibiotics 2020, 9, 442. [Google Scholar] [CrossRef]
- Alvarado, I.; Margotta, J.W.; Aoki, M.M.; Flores, F.; Agudelo, F.; Michel, G.; Elekonich, M.M.; Abel-Santos, E. Inhibitory effect of indole analogs against Paenibacillus larvae, the causal agent of American foulbrood disease. J. Insect Sci. 2017, 17, 104. [Google Scholar] [CrossRef]
- Jonczyk-Matysiak, E.; Popiela, E.; Owczarek, B.; Hodyra-Stefaniak, K.; Switała-Jelen, K.; Łodej, N.; Kula, D.; Neuberg, J.; Migdał, P.; Baginska, N. Phages in therapy and prophylaxis of American Foulbrood-Recent implications from practical applications. Front. Microbiol. 2020, 11, 1913. [Google Scholar] [CrossRef]
- Feldlaufer, M.F.; Knox, D.A.; Lusby, W.R.; Shimanuki, H. Antimicrobial activity of fatty acids against Bacillus larvae, the causative agent of American foulbrood disease. Apidologie 1993, 24, 95–99. [Google Scholar] [CrossRef]
- Hornitzky, M. Fatty Acids—An Alternative Control Strategy for Honeyee Diseases; RIRDC: Kingston, Australia, 2003. [Google Scholar]
- Lopes, L.Q.S.; Santos, C.G.; de Almeida Vaucher, R.; Gende, G.; Raffin, R.P.; Santos, R.C.V. Evaluation of antimicrobial activity of glycerol monolaurate nanocapsules against American foulbrood disease agent and toxicity on bees. Microbiol. Pathol. 2016, 97, 183–188. [Google Scholar] [CrossRef] [PubMed]
- Monk, J.D.; Beuchat, L.R.; Hathcox, A.K. Inhibitory effects of sucrose monolaurate, alone and in combination with organic acids, on Listeria monocytogenes and Staphylococcus aureus. J. Appl. Bacteriol. 1996, 81, 7–18. [Google Scholar] [CrossRef]
- Smith, A.; Nobmann, P.; Henehan, G.; Bourke, P.; Dunne, J. Synthesis and antimicrobial evaluation of carbohydrate and polyhydroxylated non-carbohydrate fatty ester and ether derivatives. Carbohydr. Res. 2008, 343, 2557–2566. [Google Scholar] [CrossRef]
- Ferrer, M.; Soliveri, J.; Plou, F.J.; Lòpez-Cortés, N.; Reyes-Duarte, D.; Christensen, M.; Copa-Patiño, J.L.; Ballesteros, A. Synthesis of sugar esters in solvent mixtures by lipases from Thermomyces lanuginosus and Candida antarctica B and their antimicrobial properties. Enzyme Microb. Technol. 2005, 36, 391–398. [Google Scholar] [CrossRef]
- Nobmann, P.; Bourke, P.; Dunne, J.; Henehan, G. In vitro antimicrobial activity and mechanism of action of novel carbohydrate fatty acid derivatives against Staphylococcus aureus and MRSA. J. Appl. Microbiol. 2010, 108, 2152–2161. [Google Scholar] [CrossRef]
- Džubák, P.; Gurská, S.; Bogdanová, K.; Uhríková, D.; Kanjaková, N.; Combet, S.; Klunda, T.; Kolář, M.; Hajdúch, M.; Poláková, M. Antimicrobial and cytotoxic activity of (thio)alkyl hexopyranosides, nonionic glycolipid mimetics. Carbohydr. Res. 2020, 488, 107905. [Google Scholar] [CrossRef]
- Bilková, A.; Paulovičová, E.; Paulovičová, L.; Poláková, M. Antimicrobial activity of mannose-derived glycosides. Monatsh. Chem. 2015, 146, 1707–1714. [Google Scholar] [CrossRef]
- Belmessieri, D.; Gozlan, C.; Duclos, M.C.; Molinier, V.; Aubry, J.M. Synthesis, surfactant properties and antimicrobial activities of methyl glycopyranoside ethers. Eur. J. Med. Chem. 2017, 128, 98–106. [Google Scholar] [CrossRef]
- Rauch, S.; Ashiralieva, A.; Hedtke, K.; Genersch, E. Negative correlation between individual-insect-level virulence and colonylevel virulence of Paenibacillus larvae, the ethiological agent of American foulbrood of honeybees. Appl. Environ. Microbiol. 2009, 75, 3344–3347. [Google Scholar] [CrossRef]
- Poláková, M.; Beláňová, M.; Petruš, L.; Mikušová, K. Synthesis of alkyl and cycloalkyl α-D-mannopyranosides and derivatives thereof and their evaluation in the mycobacterial mannosyltransferase assay. Carbohydr. Res. 2010, 345, 1339–1347. [Google Scholar] [CrossRef]
- Okuma, K.; Hirabayashi, S.; Ono, M.; Shioji, K.; Matsuyama, H.; Bestmann, H.J. An efficient synthesis of (R)-(+)-recifeiolide and related macrolides by using enantiomerically pure (R)-(−)-5-methyl-2,2,2-triphenyl-1,2λ5-oxaphospholane. Tetrahedron 1998, 54, 4243–4250. [Google Scholar] [CrossRef]
- Hartmann, M.; Betz, P.; Sun, Y.; Gorb, S.N.; Lindhorst, T.K.; Krueger, A. Saccharide-Modified Nanodiamond Conjugates for the Efficient Detection and Removal of Pathogenic Bacteria. Chem. Eur. J. 2012, 18, 6485–6492. [Google Scholar] [CrossRef]
- Elsaidi, H.R.; Paszkiewicz, E.; Bundle, D.R. Synthesis of a 1,3 β-glucan hexasaccharide designed to target vaccines to the dendritic cell receptor, Dectin-1. Carbohydr. Res. 2015, 408, 96–106. [Google Scholar] [CrossRef]
- Poláková, M.; Horák, R.; Šesták, S.; Holková, I. Synthesis of modified d-mannose core derivatives and their impact on GH38 α-mannosidases. Carbohydr Res. 2016, 428, 62–71. [Google Scholar] [CrossRef]
- Monrad, R.N.; Pipper, C.B.; Madsen, R. Synthesis of Calystegine A(3) from Glucose by the Use of Ring-Closing Metathesis. Eur. JOC 2009, 20, 3387–3395. [Google Scholar] [CrossRef]
- Nobuo, T.; Izumi, O.; Shigeki, Y.; Junzo, N. Regioselective ring opening of benzylidene acetal protecting group(s) of hexopyranoside derivatives by DIBAL-H. Carbohydr. Res. 2008, 343, 2675–2679. [Google Scholar] [CrossRef]
- Martinez, P.; Cugnata, N.; Alonso-Salces, R.; Arredondo, D.; Antúnez, K.; Castro, R.; Fuselli, S. Short communication: Natural molecules for the control of Paenibacillus larvae, causal agent of American foulbrood in honey bees (Apis mellifera L.). Span. J. Agric. Res. 2019, 17, e05SC01. [Google Scholar] [CrossRef]
- Sun, C.Q.; O’Connor, C.J.; Roberton, A.M. Antibacterial actions of fatty acids and monoglycerides against Helicobacter pylori. FEMS Immunol. Microbiol. 2003, 36, 9–17. [Google Scholar] [CrossRef]
- Skřivanová, E.; Marounek, M. Influence of pH on antimicrobial activity of organic acids against rabbit enteropathogenic strain of Escherichia coli. Folia Microbiol. 2007, 52, 70–72. [Google Scholar] [CrossRef]
- Belmessieri, D.; Gozlan, C.; Duclos, M.C.; Dumitrescu, O.; Lina, G.; Redl, A.; Duguet, N.; Lemaire, M. Dodecyl sorbitan ethers as antimicrobials against Gram-positive bacteria. Bioorg. Med. Chem. Lett. 2017, 27, 4660–4663. [Google Scholar] [CrossRef]
- Szabó, L.Z.; Hanrahan, D.J.; Jones, E.M.; Martin, E.; Pemberton, J.E.; Polt, R. Preparation of S-glycoside surfactants and cysteine thioglycosides using minimally competent Lewis acid catalysis. Carbohydr Res. 2016, 3, 4221–4224. [Google Scholar] [CrossRef]
- Yamamoto, N.; Obora, Y.; Ishii, Y. Iridium-catalyzed oxidative methyl esterification of primary alcohols and diols with methanol. J. Org. Chem. 2011, 76, 2937–2941. [Google Scholar] [CrossRef]
- Dingman, D.W.; Stahly, D.P. Medium promoting sporulation of Bacillus larvae and metabolism of medium components. Appl. Environ. Microbiol. 1983, 46, 860–869. [Google Scholar] [CrossRef]






| Compound | P. larvae CCM 4483 (a) | P. larvae CCM 4486 (b) | |||
|---|---|---|---|---|---|
| MIC (µM) | MIC (µg/mL) | MIC (µM) | MIC (µg/mL) | ||
| 1 | C10Man | 400 | 128.2 | 200 | 64.1 |
| 2 | SC10Man | 100 | 33.6 | 50 | 16.8 |
| 3 | C12Man | 25 | 8.7 | 25 | 8.7 |
| 4 | SC12Man | 25 | 9.1 | 12.5 | 4.6 |
| 5 | C10Glc | 800 | 256.3 | 800 | 256.3 |
| 22 | SC10Glc | 400 | 134.6 | 400 | 134.6 |
| 6 | C12Glc | 100 | 34.8 | 50 | 17.4 |
| 7 | SC12Glc | 50 | 18.2 | 25 | 9.1 |
| 8 | C10Gal | 800 | 256.4 | 400 | 128.2 |
| 9 | C12Gal | 800 | 278.8 | 800 | 278.8 |
| 18 | SO2C10Man | 400 | 147.4 | 400 | 147.4 |
| 19 | SO2C12Man | 100 | 39.7 | 50 | 19.8 |
| 20 | SO2C10Glc | 800 | 294.8 | 400 | 147.4 |
| 21 | SO2C12Glc | 100 | 39.7 | 50 | 19.8 |
| 37 | ManC10acid | >6400 | >2242.6 | >6400 | >2242.6 |
| 38 | ManC12acid | >6400 | >2242.1 | >6400 | >2242.1 |
| 39 | Man10-HDA | >6400 | >2229.7 | >6400 | >2229.7 |
| 40 | GlcC10acid | >6400 | >2242.6 | >6400 | >2242.6 |
| 41 | GlcC12acid | >6400 | >2422.1 | >6400 | >2422.1 |
| 42 | Glc10-HDA | >6400 | >2229.7 | >6400 | >2229.7 |
| 49 | MeMan6-Dod | 25 | 9.1 | 25 | 9.1 |
| 50 | MeMan6-Lau | 50 | 18.8 | 50 | 18.8 |
| 51 | MeGlc6-Dod | 25 | 9.1 | 25 | 9.1 |
| 52 | MeGlc6-Lau | 50 | 18.8 | 50 | 18.8 |
| 23 | Monomethyl sebacate | 6400 | 1384.1 | 6400 | 1384.1 |
| 27 | 10-HDA | 6400 | 1192 | 6400 | 1192 |
| Sebacic acid | 6400 | 1294.4 | 6400 | 1294.4 | |
| Lauric acid | 50 | 10 | 50 | 10 | |
| Monolaurin | 50 | 13.7 | 25 | 6.9 | |
| Ciprofloxacin | <0.25 | <0.1 | <0.25 | <0.1 | |
| Tylosin tartrate | <0.25 | <0.3 | <0.25 | <0.3 | |
Disclaimer/Publisher’s Note: The statements, opinions and data contained in all publications are solely those of the individual author(s) and contributor(s) and not of MDPI and/or the editor(s). MDPI and/or the editor(s) disclaim responsibility for any injury to people or property resulting from any ideas, methods, instructions or products referred to in the content. |
© 2023 by the authors. Licensee MDPI, Basel, Switzerland. This article is an open access article distributed under the terms and conditions of the Creative Commons Attribution (CC BY) license (https://creativecommons.org/licenses/by/4.0/).
Share and Cite
Šamšulová, V.; Šedivá, M.; Kóňa, J.; Klaudiny, J.; Poláková, M. A Comparison of the Antibacterial Efficacy of Carbohydrate Lipid-like (Thio)Ether, Sulfone, and Ester Derivatives against Paenibacillus larvae. Molecules 2023, 28, 2516. https://doi.org/10.3390/molecules28062516
Šamšulová V, Šedivá M, Kóňa J, Klaudiny J, Poláková M. A Comparison of the Antibacterial Efficacy of Carbohydrate Lipid-like (Thio)Ether, Sulfone, and Ester Derivatives against Paenibacillus larvae. Molecules. 2023; 28(6):2516. https://doi.org/10.3390/molecules28062516
Chicago/Turabian StyleŠamšulová, Veronika, Mária Šedivá, Juraj Kóňa, Jaroslav Klaudiny, and Monika Poláková. 2023. "A Comparison of the Antibacterial Efficacy of Carbohydrate Lipid-like (Thio)Ether, Sulfone, and Ester Derivatives against Paenibacillus larvae" Molecules 28, no. 6: 2516. https://doi.org/10.3390/molecules28062516
APA StyleŠamšulová, V., Šedivá, M., Kóňa, J., Klaudiny, J., & Poláková, M. (2023). A Comparison of the Antibacterial Efficacy of Carbohydrate Lipid-like (Thio)Ether, Sulfone, and Ester Derivatives against Paenibacillus larvae. Molecules, 28(6), 2516. https://doi.org/10.3390/molecules28062516

