New Carbamoyl Surface-Modified ZrO2 Nanohybrids for Selective Au Extraction from E-Waste
Abstract
1. Introduction
2. Results and Discussion
2.1. Selection of Trapping Ligands and Synthesis of Hybrid ZrO2 Nano-Adsorbent
2.2. Characterizations
2.3. Au and Pd Adsorption Studies
2.4. ZrO2-L6 Regeneration
2.5. Selectivity of ZrO2-L6 for Au(III) adsorption in real E-Waste Water
3. Materials and Methods
3.1. Chemicals and Reagents
3.2. Equipment and Characterization
3.3. Direct Surface Modification Process
3.4. Adsorption Experiments
4. Conclusions
Supplementary Materials
Author Contributions
Funding
Acknowledgments
Conflicts of Interest
References
- Otto, S.; Kibbe, A.; Henn, L.; Hentschke, L.; Kaiser, F.G. The economy of E-waste collection at the individual level: A practice oriented approach of categorizing determinants of E-waste collection into behavioral costs and motivation. J. Clean. Prod. 2018, 204, 33–40. [Google Scholar] [CrossRef]
- Mortada, W.I.; Hassanien, M.M.; El-Asmy, A.A. Cloud point extraction of some precious metals using Triton X-114 and a thioamide derivative with a salting-out effect. Egypt. J. Basic Appl. Sci. 2014, 1, 184–191. [Google Scholar] [CrossRef]
- Wei, W.; Cho, C.-W.; Kim, S.; Song, M.-H.; Bediako, J.K.; Yun, Y.-S. Selective recovery of Au(III), Pt(IV), and Pd(II) from aqueous solutions by liquid–liquid extraction using ionic liquid Aliquat-336. J. Mol. Liq. 2016, 216, 18–24. [Google Scholar] [CrossRef]
- Raju, B.; Kumar, J.R.; Lee, J.-Y.; Kwonc, H.-S.; Kantam, M.L.; Reddy, B.R. Separation of platinum and rhodium from chloride solutions containing aluminum, magnesium and iron using solvent extraction and precipitation methods. J. Hazard. Mater. 2012, 227, 142–147. [Google Scholar] [CrossRef] [PubMed]
- Mulwanda, J.; Dorfling, C. Recovery of dissolved platinum group metals from copper sulphate leach solutions by precipitation. Miner. Eng. 2015, 80, 50–56. [Google Scholar] [CrossRef]
- Neyestani, M.R.; Shemirani, F.; Mozaffari, S.; Alvand, M. A magnetized graphene oxide modified with 2-mercaptobenzothiazole as a selective nanosorbent for magnetic solid phase extraction of gold(III), palladium(II) and silver(I). Microchim. Acta 2017, 184, 2871–2879. [Google Scholar] [CrossRef]
- Kasaini, H.; Goto, M.; Furusaki, S. Selective separation of Pd(II), Rh(III), and Ru(III) ions from a mixed chloride solution using activated carbon pellets. Sep. Sci. Technol. 2000, 35, 1307–1327. [Google Scholar] [CrossRef]
- Ning, S.; Zhang, S.; Zhang, W.; Zhou, J.; Wang, S.; Wang, X.; Wei, Y. Separation and recovery of Rh, Ru and Pd from nitrate solution with a silica-based IsoBu-BTP/SiO2-P adsorbent. Hydrometallurgy 2020, 191, 105207. [Google Scholar] [CrossRef]
- Yang, L.; Jia, F.; Song, S. Recovery of [Au(CN)2]− from gold cyanidation with graphene oxide as adsorbent. Sep. Purif. Technol. 2017, 186, 63–69. [Google Scholar] [CrossRef]
- Wang, S.; Vincent, T.; Roux, J.-C.; Faur, C.; Guibal, E. Pd(II) and Pt(IV) sorption using alginate and algal-based beads. Chem. Eng. J. 2017, 313, 567–579. [Google Scholar] [CrossRef]
- Ramesh, A.; Hasegawa, H.; Sugimoto, W.; Maki, T.; Ueda, K. Adsorption of gold(III), platinum(IV) and palladium(II) onto glycine modified crosslinked chitosan resin. Bioresour. Technol. 2008, 99, 3801–3809. [Google Scholar] [CrossRef]
- Can, M.; Doğan, M.; İmamoğlu, M.; Arslan, M. Au (III) uptake by triazine polyamine polymers: Mechanism, kinetic and equilibrium studies. React. Funct. Polym. 2016, 109, 151–161. [Google Scholar] [CrossRef]
- Hu, B.; He, M.; Chen, B. Nanometer-sized materials for solid-phase extraction of trace elements. Anal. Bioanal. Chem. 2015, 407, 2685–2710. [Google Scholar] [CrossRef]
- Sarı, A.; Tüzen, M. Adsorption of silver from aqueous solution onto raw vermiculite and manganese oxide-modified vermiculite. Microporous Mesoporous Mater. 2013, 170, 155–163. [Google Scholar] [CrossRef]
- Santhosh, C.; Velmurugan, V.; Jacob, G.; Jeong, S.K.; Grace, A.N.; Bhatnagar, A. Role of nanomaterials in water treatment applications: A review. Chem. Eng. J. 2016, 306, 1116–1137. [Google Scholar] [CrossRef]
- Muhammad, Z.; Ali, F.; Sajjad, M.; Ali, N.; Bilal, M.; Shaik, M.R.; Adil, S.F.; Sharaf, M.A.; Awwad, E.M.; Khan, M. Zirconium-doped chromium IV oxide nanocomposites: Synthesis, characterization, and photocatalysis towards the degradation of organic dyes. Catalysts 2021, 11, 117. [Google Scholar] [CrossRef]
- Khan, M.; Shaik, M.R.; Khan, S.T.; Adil, S.F.; Kuniyil, M.; Khan, M.; Al-Warthan, A.A.; Siddiqui, M.R.H.; Nawaz Tahir, M. Enhanced antimicrobial activity of biofunctionalized zirconia nanoparticles. ACS Omega 2020, 5, 1987–1996. [Google Scholar] [CrossRef] [PubMed]
- Shaik, M.R.; Adil, S.F.; Kuniyil, M.; Sharif, M.; Alwarthan, A.; Siddiqui, M.R.H.; Ali, M.I.; Tahir, M.N.; Khan, M. Facile Sonochemical Preparation of Au-ZrO2 Nanocatalyst for the Catalytic Reduction of 4-Nitrophenol. Appl. Sci. 2020, 10, 503. [Google Scholar] [CrossRef]
- Trieu, Q.A.; Pellet-Rostaing, S.; Arrachart, G.; Traore, Y.; Kimbel, S.; Daniele, S. Interfacial study of surface-modified ZrO2 nanoparticles with thioctic acid for the selective recovery of palladium and gold from electronic industrial wastewater. Sep. Purif. Technol. 2020, 237, 116353. [Google Scholar] [CrossRef]
- Gys, N.; Pawlak, B.; Lufungula, L.L.; Marcoen, K.; Wyns, K.; Baert, K.; Atia, T.A.; Spooren, J.; Adriaensens, P.; Blockhuys, F. Selective Pd recovery from acidic leachates by 3-mercaptopropylphosphonic acid grafted TiO2: Does surface coverage correlate to performance? RSC Adv. 2022, 12, 36046–36062. [Google Scholar] [CrossRef]
- Turgis, R.; Leydier, A.; Arrachart, G.; Burdet, F.; Dourdain, S.; Bernier, G.; Miguirditchian, M.; Pellet-Rostaing, S. Uranium extraction from phosphoric acid using bifunctional amido-phosphonic acid ligands. Solvent Extr. Ion Exch. 2014, 32, 478–491. [Google Scholar] [CrossRef]
- Turgis, R.; Leydier, A.; Arrachart, G.; Burdet, F.; Dourdain, S.; Bernier, G.; Miguirditchian, M.; Pellet-Rostaing, S. Carbamoylalkylphosphonates for dramatic enhancement of uranium extraction from phosphates ores. Solvent Extr. Ion Exch. 2014, 32, 685–702. [Google Scholar] [CrossRef]
- Miguirditchian, M.; Bernier, G.; Pacary, V.; Balaguer, C.; Sorel, C.; Berlemont, R.; Fries, B.; Bertrand, M.; Cames, B.; Leydier, A. Development of a new solvent extraction process based on butyl-1-[N, N-bis (2-ethylhexyl) carbamoyl] nonyl phosphonic acid for the selective recovery of uranium (VI) from phosphoric acid. Solvent Extr. Ion Exch. 2016, 34, 274–289. [Google Scholar] [CrossRef]
- Schmitt, C. Surface Modification of Oxide Nanoparticles Using Phosphonic Acids: Characterization, Surface Dynamics, and Dispersion in Sols and Nanocomposites. Ph.D. Thesis, Université Montpellier, Montpellier, France, 2015. [Google Scholar]
- Conary, G.; Meline, R.; Caudle, L.; Duesler, E.; Paine, R. Synthesis of bifunctional phosphonates and phosphine oxides. Structural studies of 1-N, N-diethyl-carbamoyl-2-(4-hydroxylbenzene)-ethyl phosphonic acid and diphenyl [1-(N, N-diethyl-carbamoyl)-2-(phenyl) ethyl] phosphine oxide uranyl nitrate. Inorg. Chim. Acta 1991, 189, 59–66. [Google Scholar] [CrossRef]
- Haberhauer, G.; Feigl, B.; Gerzabek, M.; Cerri, C. FT-IR spectroscopy of organic matter in tropical soils: Changes induced through deforestation. Appl. Spectrosc. 2000, 54, 221–224. [Google Scholar] [CrossRef]
- Wang, J.; Arrachart, G.; Giusti, F.; Martin-Gassin, G.; Gassin, P.-M.; Jonchere, A.; Diat, O.; Girard, O. Synthesis and Characterization of a Chromo-Extractant to the Probe Liquid–Liquid Interface in a Solvent Extraction Process. J. Phys. Chem. C 2020, 124, 10916–10923. [Google Scholar] [CrossRef]











| Group A: Mono-Carbamoyl Ligands | |||
|---|---|---|---|
| N, N-Diethyl carbamoyl methyl phosphonic acid (DECMPA) | ![]() | 195 g.mol−1 | L1 |
| N, N-Dipropyl carbamoyl methyl phosphonic acid (DPCMPA) | ![]() | 223 g.mol−1 | L2 |
| N,N-Dioctylcarbamoyl methyl phosphonic acid (DOCMPA) | ![]() | 363 g.mol−1 | L3 |
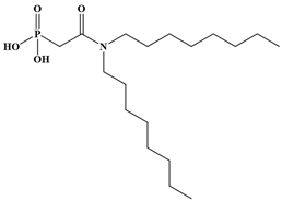
| N,N-bis(2-ethylhexyl) carbamoyl methyl phosphonic acid (DEHCMPA) | ![]() | 363 g.mol−1 | L4 |
| Group B: Di-carbamoyl ligands | |||
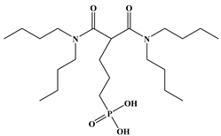
| Di-N,N-butyl carbamoyl butyl phosphonic acid (DBCBPA) | ![]() | 448 g.mol−1 | L5 |
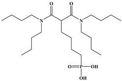
| Di-N,N-butyl carbamoyl pentyl phosphonic acid (DBCPPA) | ![]() | 462 g.mol−1 | L6 |
| Modified ZrO2-Ligand | Theoretical Weight Loss (%) | Experimental Weight Loss (%) | Grafted Density (Ln/nm2) | Phosphorus Weight (%) | Surface Area (m2/g) |
|---|---|---|---|---|---|
| ZrO2 | - | - | - | - | 52.0 ± 4.0 |
| ZrO2-L1 | 1.79 | 1.73 | 0.106 | 0.10 | 50.2 ± 0.4 |
| ZrO2-L2 | 2.20 | 1.91 | 0.102 | 0.08 | 50.7 ± 1.4 |
| ZrO2-L3 | 4.32 | 3.99 | 0.131 | 0.11 | 50.4 ± 0.7 |
| ZrO2-L4 | 4.32 | 3.94 | 0.129 | 0.11 | 50.5 ± 1.0 |
| ZrO2-L5 | 5.50 | 5.22 | 0.139 | 0.06 | 50.3 ± 0.6 |
| ZrO2-L6 | 5.75 | 5.79 | 0.150 | 0.10 | 50.4 ± 0.7 |
| Au(III) | Pd(II) | |||
|---|---|---|---|---|
| Distribution Coefficient (Kd, mL g−1) × 103 | Separation Factor (SFAu/pd) Compared to Pd | Distribution Coefficient (Kd, mL g−1) × 103 | Separation Factor (SFPd/Au) Compared to Au | |
| ZrO2 | 0.12 | 10.30 | 0.012 | 0.103 |
| ZrO2-L1 | 0.13 | 3.71 | 0.035 | 0.270 |
| ZrO2-L2 | 0.11 | 2.50 | 0.044 | 0.400 |
| ZrO2-L3 | 0.90 | 16.40 | 0.055 | 0.061 |
| ZrO2-L4 | 0.93 | 15.80 | 0.059 | 0.063 |
| ZrO2-L5 | 1.27 | 18.14 | 0.070 | 0.055 |
| ZrO2-L6 | 2.46 | 37.85 | 0.065 | 0.026 |
| Adsorbent | Adsorption of Au(III) Equilibrium Isotherm Models | |||||
|---|---|---|---|---|---|---|
| Langmuir Isotherm | Freundlich Isotherm | |||||
| qmax Capacity (mg/g) | Affinity Constant kl (L/g) | R2 Correlation Coefficient | Kf Freundlich Constant (mg/g) | n Heterogeneity Coefficient (g/L) | R2 Correlation Coefficient | |
| ZrO2-L6 | 6.54 | 0.1804 | 0.9892 | 1.65 | 2.89 | 0.9014 |
| Kinetic Model | The Equilibrium Rate Constant (K) | qe (mg/g) | R2 |
|---|---|---|---|
| pseudo-first order | 0.0108 | 2.607 | 0.7565 |
| pseudo-second order | 0.0247 | 4.771 | 0.9985 |
| Entry | Nano-Material | N% | C% | H% | S% |
|---|---|---|---|---|---|
| 1 | Commercial ZrO2 | 0.01 | 0.43 | 0.18 | 0.20 |
| 2 | As-prepared ZrO2-L6 | 0.33 | 3.70 | 0.68 | 0.18 |
| 3 | ZrO2-L6—5 cycles Adsorption/Stripping | 0.58 | 3.82 | 0.43 | 0.51 |
| 4 | Commercial ZrO2-NaOH | n.d | 0.63 | 0.18 | n.d |
| 5 | ZrO2-L6—5 cycles Adsorption/Stripping/NaOH (0.1 M) | 0.04 | 5.83 | 0.21 | n.d |
| 6 | ZrO2-L6—5 cycles Adsorption/Stripping/Na2CO3 (0.1 M) | 0.04 | 2.50 | 0.39 | n.d |
| Metal | C0 (mg kg−1) | Kd (ml g−1) × 103 | SF(Au, M) |
|---|---|---|---|
| Au | 10 | 1.820 | - |
| Pd | 6 | 0.004 | 455 |
| Cu | 7918 | 0.002 | 910 |
| Ni | 200 | 0.002 | 910 |
| Fe | 540 | 0.007 | 260 |
Disclaimer/Publisher’s Note: The statements, opinions and data contained in all publications are solely those of the individual author(s) and contributor(s) and not of MDPI and/or the editor(s). MDPI and/or the editor(s) disclaim responsibility for any injury to people or property resulting from any ideas, methods, instructions or products referred to in the content. |
© 2023 by the authors. Licensee MDPI, Basel, Switzerland. This article is an open access article distributed under the terms and conditions of the Creative Commons Attribution (CC BY) license (https://creativecommons.org/licenses/by/4.0/).
Share and Cite
Asaad, S.; Hamandi, M.; Arrachart, G.; Pellet-Rostaing, S.; Kimbel, S.; Daniele, S. New Carbamoyl Surface-Modified ZrO2 Nanohybrids for Selective Au Extraction from E-Waste. Molecules 2023, 28, 2219. https://doi.org/10.3390/molecules28052219
Asaad S, Hamandi M, Arrachart G, Pellet-Rostaing S, Kimbel S, Daniele S. New Carbamoyl Surface-Modified ZrO2 Nanohybrids for Selective Au Extraction from E-Waste. Molecules. 2023; 28(5):2219. https://doi.org/10.3390/molecules28052219
Chicago/Turabian StyleAsaad, Sarah, Marwa Hamandi, Guilhem Arrachart, Stéphane Pellet-Rostaing, Serge Kimbel, and Stéphane Daniele. 2023. "New Carbamoyl Surface-Modified ZrO2 Nanohybrids for Selective Au Extraction from E-Waste" Molecules 28, no. 5: 2219. https://doi.org/10.3390/molecules28052219
APA StyleAsaad, S., Hamandi, M., Arrachart, G., Pellet-Rostaing, S., Kimbel, S., & Daniele, S. (2023). New Carbamoyl Surface-Modified ZrO2 Nanohybrids for Selective Au Extraction from E-Waste. Molecules, 28(5), 2219. https://doi.org/10.3390/molecules28052219







