Bioactive Molecules from Myrianthus arboreus, Acer rubrum, and Picea mariana Forest Resources
Abstract
1. Introduction
2. Bioactive Molecules from Promising Forest Resources of Myrianthus arboreus, Acer rubrum, and Picea mariana
2.1. Myrianthus arboreus
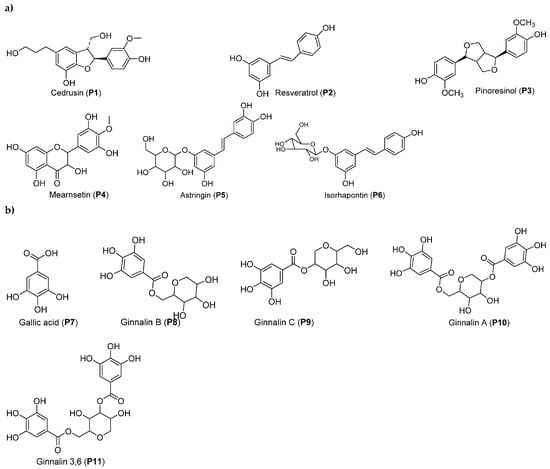
2.2. Acer rubrum
2.3. Picea mariana
3. Challenges and Opportunities for Forest Extract Valorization
Author Contributions
Funding
Acknowledgments
Conflicts of Interest
References
- García-Pérez, M.-E.; Stevanovic, T. Les polyphénols bioactifs de ressources alimentaires et forestieres: Importance pour la santé. In Chimie Pour la Transformation Durable de la Resource Lignocellulosique; Presses Universitaires de Bordeaux: Pessac, France, 2019; Volume II, ISBN 979-10-300-0326-0. [Google Scholar]
- Ahmadu, T.; Ahmad, K. An Introduction to Bioactive Natural Products and General Applications. In Bioactive Natural Products for Pharmaceutical Applications; Pal, D., Nayak, A.K., Eds.; Advanced Structured Materials; Springer International Publishing: Cham, Switzerland, 2021; pp. 41–91. ISBN 978-3-030-54027-2. [Google Scholar]
- Mondal, S.; Soumya, N.P.P.; Mini, S.; Sivan, S.K. Bioactive Compounds in Functional Food and Their Role as Therapeutics. Bioact. Compd. Health Dis. 2021, 4, 24–39. [Google Scholar] [CrossRef]
- Umezawa, T. Chemistry of Extractives. In Wood and Cellulosic Chemistry, 2nd ed.; Revised, and Expanded; CRC Press: Boca Raton, FL, USA, 2000; ISBN 978-0-8247-0024-9. [Google Scholar]
- Luca, S.V.; Macovei, I.; Bujor, A.; Miron, A.; Skalicka-Woźniak, K.; Aprotosoaie, A.C.; Trifan, A. Bioactivity of Dietary Polyphenols: The Role of Metabolites. Crit. Rev. Food Sci. Nutr. 2020, 60, 626–659. [Google Scholar] [CrossRef]
- Rahman, M.M.; Rahaman, M.S.; Islam, M.R.; Rahman, F.; Mithi, F.M.; Alqahtani, T.; Almikhlafi, M.A.; Alghamdi, S.Q.; Alruwaili, A.S.; Hossain, M.S.; et al. Role of Phenolic Compounds in Human Disease: Current Knowledge and Future Prospects. Molecules 2022, 27, 233. [Google Scholar] [CrossRef]
- Desborough, M.J.R.; Keeling, D.M. The Aspirin Story—From Willow to Wonder Drug. Br. J. Haematol. 2017, 177, 674–683. [Google Scholar] [CrossRef]
- Zhang, L.; Han, Z.; Granato, D. Chapter One—Polyphenols in Foods: Classification, Methods of Identification, and Nutritional Aspects in Human Health. In Advances in Food and Nutrition Research; Granato, D., Ed.; Application of Polyphenols in Foods and Food Models; Academic Press: Cambridge, MA, USA, 2021; Volume 98, pp. 1–33. [Google Scholar]
- Tanase, C.; Coșarcă, S.; Muntean, D. A Critical Review of Phenolic Compounds Extracted from the Bark of Woody Vascular Plants and Their Potential Biological Activity. Molecules 2019, 24, 1182. [Google Scholar] [CrossRef]
- Arisandi, R.; Ashitani, T.; Takahashi, K.; Marsoem, S.N.; Lukmandaru, G. Lipophilic Extractives of the Wood and Bark from Eucalyptus pellita F. Muell Grown in Merauke, Indonesia. J. Wood Chem. Technol. 2020, 40, 146–154. [Google Scholar] [CrossRef]
- Holmbom, B.; Eckerman, C.; Eklund, P.; Hemming, J.; Nisula, L.; Reunanen, M.; Sjöholm, R.; Sundberg, A.; Sundberg, K.; Willför, S. Knots in Trees—A New Rich Source of Lignans. Phytochem. Rev. 2003, 2, 331–340. [Google Scholar] [CrossRef]
- García-Pérez, M.-E.; Royer, M.; Herbette, G.; Desjardins, Y.; Pouliot, R.; Stevanovic, T. Picea Mariana Bark: A New Source of Trans-Resveratrol and Other Bioactive Polyphenols. Food Chem. 2012, 135, 1173–1182. [Google Scholar] [CrossRef]
- Pohleven, J.; Burnard, M.D.; Kutnar, A. Volatile Organic Compounds Emitted from Untreated and Thermaly Modified Wood—A Review. Wood Fiber Sci. 2019, 51, 231–254. [Google Scholar] [CrossRef]
- Terpenes and Terpenoids: Recent Advances; BoD-Books on Demand; InTechOpen: London, UK, 2021; ISBN 978-1-83881-916-3.
- Gonzalez-Burgos, E.; Gomez-Serranillos, M.P. Terpene Compounds in Nature: A Review of Their Potential Antioxidant Activity. Curr. Med. Chem. 2012, 19, 5319–5341. [Google Scholar] [CrossRef]
- Shehzad, A.; Islam, S.; Al-Suhaimi, E.; Lee, Y.-S. Pleiotropic Effects of Bioactive Phytochemicals (Polyphenols and Terpenes). In Functional Foods, Nutraceuticals and Natural Products; DEStech Publications Inc.: Lancaster, PA, USA, 2020; ISBN 978-1-60595-101-0. [Google Scholar]
- Czajka, M.; Fabisiak, B.; Fabisiak, E. Emission of Volatile Organic Compounds from Heartwood and Sapwood of Selected Coniferous Species. Forests 2020, 11, 92. [Google Scholar] [CrossRef]
- Bhardwaj, K.; Silva, A.S.; Atanassova, M.; Sharma, R.; Nepovimova, E.; Musilek, K.; Sharma, R.; Alghuthaymi, M.A.; Dhanjal, D.S.; Nicoletti, M.; et al. Conifers Phytochemicals: A Valuable Forest with Therapeutic Potential. Molecules 2021, 26, 3005. [Google Scholar] [CrossRef]
- Kasangana, P.B.; Stevanovic, T. Chapter 1-Studies of Pentacyclic Triterpenoids Structures and Antidiabetic Properties of Myrianthus Genus. In Studies in Natural Products Chemistry; Atta-ur-Rahman, Ed.; Bioactive Natural Products; Elsevier: Amsterdam, The Netherlands, 2021; Volume 68, pp. 1–27. [Google Scholar]
- Mamadalieva, N.Z.; Mamedov, N.A. Taxus Brevifolia a High-Value Medicinal Plant, as a Source of Taxol. In Medicinal and Aromatic Plants of North America; Máthé, Á., Ed.; Medicinal and Aromatic Plants of the World; Springer International Publishing: Cham, Switzerland, 2020; pp. 201–218. ISBN 978-3-030-44930-8. [Google Scholar]
- Karuppusamy, S.; Pullaiah, T. 6-Botany of Paclitaxel Producing Plants. In Paclitaxel; Swamy, M.K., Pullaiah, T., Chen, Z.-S., Eds.; Academic Press: Cambridge, MA, USA, 2022; pp. 155–170. ISBN 978-0-323-90951-8. [Google Scholar]
- Kazachenko, A.S.; Akman, F.; Vasilieva, N.Y.; Issaoui, N.; Malyar, Y.N.; Kondrasenko, A.A.; Borovkova, V.S.; Miroshnikova, A.V.; Kazachenko, A.S.; Al-Dossary, O.; et al. Catalytic Sulfation of Betulin with Sulfamic Acid: Experiment and DFT Calculation. Int. J. Mol. Sci. 2022, 23, 1602. [Google Scholar] [CrossRef]
- Ríos, J.L.; Máñez, S. New Pharmacological Opportunities for Betulinic Acid. Planta Med. 2018, 84, 8–19. [Google Scholar] [CrossRef]
- Neto, R.T.; Santos, S.A.O.; Oliveira, J.; Silvestre, A.J.D. Biorefinery of High Polymerization Degree Proanthocyanidins in the Context of Circular Economy. Ind. Crops Prod. 2020, 151, 112450. [Google Scholar] [CrossRef]
- Lazaridou, D.C.; Michailidis, A.; Trigkas, M. Exploring Environmental and Economic Costs and Benefits of a Forest-Based Circular Economy: A Literature Review. Forests 2021, 12, 436. [Google Scholar] [CrossRef]
- Okafor, J.C. Edible Indigenous Woody Plants in the Rural Economy of the Nigerian Forest Zone. For. Ecol. Manag. 1980, 3, 45–55. [Google Scholar] [CrossRef]
- Royer, M.; Houde, R.; Viano, Y.; Stevanovic, T. Non-Wood Forest Products Based on Extractives—A New Opportunity for the Canadian Forest Industry Part 1: Hardwood Forest Species. J. Food Res. 2012, 1, 8. [Google Scholar] [CrossRef]
- Arnason, T.; Hebda, R.J.; Johns, T. Use of Plants for Food and Medicine by Native Peoples of Eastern Canada. Can. J. Bot. 1981, 59, 2189–2325. [Google Scholar] [CrossRef]
- Deeg, K.; Eichhorn, T.; Alexie, G.; Kretschmer, N.; Andersch, K.; Bauer, R.; Efferth, T. Growth Inhibition of Human Acute Lymphoblastic CCRF-CEM Leukemia Cells by Medicinal Plants of the West-Canadian Gwich’in Native Americans. Nat. Prod. Bioprospect. 2012, 2, 35–40. [Google Scholar] [CrossRef]
- Ma, H.; Guo, H.; Liu, C.; Wan, Y.; Seeram, N.P. Protective Effects of a Red Maple (Acer rubrum) Leaves Extract on Human Keratinocytes against H2O2-Induced Oxidative Stress. FASEB J. 2018, 32, 656.33. [Google Scholar] [CrossRef]
- Bhatta, S.; Stevanovic, T.; Ratti, C. Development of polyphenols-enriched maple sugars by freeze- and vacuum drum drying technologies. In Proceedings of the IDS 2018. 21st International Drying Symposium Proceedings; Editorial Universitat Politècnica de València, Valencia, Spain, 7 September 2018; pp. 1839–1846. [Google Scholar]
- Diouf, P.N.; Tibirna, C.M.; García-Pérez, M.-E.; Royer, M.; Dubé, P.; Stevanovic, T. Structural Elucidation of Condensed Tannin from Picea Mariana Bark. J. Biomater. Nanobiotechnol. 2013, 4, 1. [Google Scholar] [CrossRef]
- Diouf, P.N.; Stevanovic, T.; Cloutier, A. Study on Chemical Composition, Antioxidant and Anti-Inflammatory Activities of Hot Water Extract from Piceamariana Bark and Its Proanthocyanidin-Rich Fractions. Food Chem. 2009, 113, 897–902. [Google Scholar] [CrossRef]
- Bobuya, P.; Ngbolondo, J.; Pierre, J.; Zwave, K.; Ashande, C.; Ridwan, M.; Ngbolua, K.-T.-N. Ethnobotanical Value of Myrianthus arboreus Used in Traditional Medicine by the Ngbaka Tribe (South-Ubangi), Democratic Republic of the Congo. Bp. Int. Res. Exact Sci. (BirEx) J. 2022, 4, 341–350. [Google Scholar] [CrossRef]
- Uprety, Y.; Asselin, H.; Dhakal, A.; Julien, N. Traditional Use of Medicinal Plants in the Boreal Forest of Canada: Review and Perspectives. J. Ethnobiol. Ethnomed. 2012, 8, 7. [Google Scholar] [CrossRef]
- Zhang, Y.; Ma, H.; Yuan, T.; Seeram, N.P. Red Maple (Acer rubrum) Aerial Parts as a Source of Bioactive Phenolics. Nat. Prod. Commun. 2015, 10, 1934578X1501000824. [Google Scholar] [CrossRef]
- Bi, W.; Gao, Y.; Shen, J.; He, C.; Liu, H.; Peng, Y.; Zhang, C.; Xiao, P. Traditional Uses, Phytochemistry, and Pharmacology of the Genus Acer (Maple): A Review. J. Ethnopharmacol. 2016, 189, 31–60. [Google Scholar] [CrossRef]
- Harley, B.K.; Dickson, R.A.; Amponsah, I.K.; Ben, I.O.; Adongo, D.W.; Fleischer, T.C.; Habtemariam, S. Flavanols and Triterpenoids from Myrianthus arboreus Ameliorate Hyperglycaemia in Streptozotocin-Induced Diabetic Rats Possibly via Glucose Uptake Enhancement and α-Amylase Inhibition. Biomed. Pharmacother. 2020, 132, 110847. [Google Scholar] [CrossRef]
- Kasangana, P.B.; Haddad, P.S.; Eid, H.M.; Nachar, A.; Stevanovic, T. Bioactive Pentacyclic Triterpenes from the Root Bark Extract of Myrianthus arboreus, a Species Used Traditionally to Treat Type-2 Diabetes. J. Nat. Prod. 2018, 81, 2169–2176. [Google Scholar] [CrossRef]
- Kasangana, P.B.; Eid, H.M.; Nachar, A.; Stevanovic, T.; Haddad, P.S. Further Isolation and Identification of Anti-Diabetic Principles from Root Bark of Myrianthus arboreus P. Beauv.: The Ethyl Acetate Fraction Contains Bioactive Phenolic Compounds That Improve Liver Cell Glucose Homeostasis. J. Ethnopharmacol. 2019, 245, 112167. [Google Scholar] [CrossRef]
- Ngounou, F.N.; Lontsi, D.; Sondengam, B.L. Myrianthinic Acid: A New Triterpenoid from Myrianthus arboreus. Phytochemistry 1988, 27, 301–303. [Google Scholar] [CrossRef]
- Ngounou, F.N.; Lontsi, D.; Ayafor, J.F.; Sondengam, B.L. Arboreic Acid: A Pentacyclic Triterpenoid from Myrianthus arboreus. Phytochemistry 1987, 26, 3080–3082. [Google Scholar] [CrossRef]
- Tijani, R.O.; Molina-Tijeras, J.A.; Vezza, T.; Ruiz-Malagón, A.J.; de la Luz Cádiz-Gurrea, M.; Segura-Carretero, A.; Abiodun, O.O.; Galvez, J. Myrianthus arboreus P. Beauv Improves Insulin Sensitivity in High Fat Diet-Induced Obese Mice by Reducing Inflammatory Pathways Activation. J. Ethnopharmacol. 2022, 282, 114651. [Google Scholar] [CrossRef]
- Yaribeygi, H.; Sathyapalan, T.; Atkin, S.L.; Sahebkar, A. Molecular Mechanisms Linking Oxidative Stress and Diabetes Mellitus. Oxidative Med. Cell. Longev. 2020, 2020, e8609213. [Google Scholar] [CrossRef]
- Zhang, P.; Li, T.; Wu, X.; Nice, E.C.; Huang, C.; Zhang, Y. Oxidative Stress and Diabetes: Antioxidative Strategies. Front. Med. 2020, 14, 583–600. [Google Scholar] [CrossRef]
- Ighodaro, O.M. Molecular Pathways Associated with Oxidative Stress in Diabetes Mellitus. Biomed. Pharmacother. 2018, 108, 656–662. [Google Scholar] [CrossRef]
- Harley, B.; Dickson, R.; Fleisher, T. Antioxidant, Glucose Uptake Stimulatory, α-Glucosidase and α-Amylase Inhibitory Effects of Myrianthus arboreus Stem Bark. Nat. Prod. Chem. Res. 2017, 5, 271. [Google Scholar] [CrossRef]
- Dickson, R.; Harley, B.; Berkoh, D.; Ngala, R.; Titiloye, N.; Fleischer, T. Antidiabetic and Haematological Effect of Myrianthus arboreus P. Beauv. Stem Bark Extract in Streptozotocin-Induced Diabetic Rats. Int. J. Pharm. Sci. Res. 2016, 7, 4812–4826. [Google Scholar]
- Kasangana, P.B.; Haddad, P.S.; Stevanovic, T. Study of Polyphenol Content and Antioxidant Capacity of Myrianthus arboreus (Cecropiaceae) Root Bark Extracts. Antioxidants 2015, 4, 410–426. [Google Scholar] [CrossRef]
- Kasangana, P.B.; Nachar, A.; Eid, H.M.; Stevanovic, T.; Haddad, P.S. Root Bark Extracts of Myrianthus arboreus P. Beauv. (Cecropiaceae) Exhibit Anti-Diabetic Potential by Modulating Hepatocyte Glucose Homeostasis. J. Ethnopharmacol. 2018, 211, 117–125. [Google Scholar] [CrossRef]
- Meda, N.R.; Stevanovic, T.; Poubelle, P.E. Anhydroglucitol-Core Gallotannins from Red Maple Buds Modulate Viability of Human Blood Neutrophils. Toxicol. Vitr. 2019, 60, 76–86. [Google Scholar] [CrossRef]
- Agyare, C.; Owusu-Ansah, A.; Ossei, P.P.S.; Apenteng, J.A.; Boakye, Y.D. Wound Healing and Anti-Infective Properties of Myrianthus arboreus and Alchornea cordifolia. Med. Chem. 2014, 4, 533–539. [Google Scholar] [CrossRef]
- Seukep, J.A.; Ngadjui, B.; Kuete, V. Antibacterial Activities of Fagara macrophylla, Canarium schweinfurthii, Myrianthus arboreus, Dischistocalyx grandifolius and Tragia benthamii against Multi-Drug Resistant Gram-Negative Bacteria. SpringerPlus 2015, 4, 567. [Google Scholar] [CrossRef]
- Olonode, E.T.; Aderibigbe, A.O.; Bakre, A.G. Anti-Nociceptive Activity of the Crude Extract of Myrianthus arboreus P. Beauv (Cecropiaceae) in Mice. J. Ethnopharmacol. 2015, 171, 94–98. [Google Scholar] [CrossRef]
- Awounfack, C.F.; Mvondo, M.A.; Zingue, S.; Ateba, S.B.; Djiogue, S.; Megnekou, R.; Tantoh Ndinteh, D.; Njamen, D. Myrianthus arboreus P. Beauv (Cecropiaceae) Extracts Accelerates Sexual Maturation, and Increases Fertility Index and Gestational Rate in Female Wistar Rats. Medicines 2018, 5, 73. [Google Scholar] [CrossRef]
- Amata, I.A. Nutritive Value of the Leaves of Myrianthus arboreus: A Browse Plant. Int. J. Agric. Res. 2010, 5, 576–581. [Google Scholar] [CrossRef]
- Bhatta, S.; Ratti, C.; Poubelle, P.E.; Stevanovic, T. Nutrients, Antioxidant Capacity and Safety of Hot Water Extract from Sugar Maple (Acer saccharum M.) and Red Maple (Acer rubrum L.) Bark. Plant Foods Hum. Nutr. 2018, 73, 25–33. [Google Scholar] [CrossRef]
- Geoffroy, T.R.; Meda, N.R.; Stevanovic, T. Suitability of DPPH Spiking for Antioxidant Screening in Natural Products: The Example of Galloyl Derivatives from Red Maple Bark Extract. Anal. Bioanal. Chem. 2017, 409, 5225–5237. [Google Scholar] [CrossRef]
- Soehnlein, O.; Steffens, S.; Hidalgo, A.; Weber, C. Neutrophils as Protagonists and Targets in Chronic Inflammation. Nat. Rev. Immunol. 2017, 17, 248–261. [Google Scholar] [CrossRef]
- Meda, N.R.; Poubelle, P.E.; Stevanovic, T. Antioxidant Capacity, Phenolic Constituents and Toxicity of Hot Water Extract from Red Maple Buds. Chem. Biodivers. 2017, 14, e1700028. [Google Scholar] [CrossRef]
- González-Sarrías, A.; Li, L.; Seeram, N.P. Effects of Maple (Acer) Plant Part Extracts on Proliferation, Apoptosis and Cell Cycle Arrest of Human Tumorigenic and Non-Tumorigenic Colon Cells. Phytother. Res. 2012, 26, 995–1002. [Google Scholar] [CrossRef]
- Ma, H.; Xu, J.; DaSilva, N.A.; Wang, L.; Wei, Z.; Guo, L.; Johnson, S.L.; Lu, W.; Xu, J.; Gu, Q.; et al. Cosmetic Applications of Glucitol-Core Containing Gallotannins from a Proprietary Phenolic-Enriched Red Maple (Acer rubrum) Leaves Extract: Inhibition of Melanogenesis via down-Regulation of Tyrosinase and Melanogenic Gene Expression in B16F10 Melanoma Cells. Arch. Derm. Res. 2017, 309, 265–274. [Google Scholar] [CrossRef]
- Royer, M.; Prado, M.; García-Pérez, M.E.; Diouf, P.N.; Stevanovic, T. Study of Nutraceutical, Nutricosmetics and Cosmeceutical Potentials of Polyphenolic Bark Extracts from Canadian Forest Species. PharmaNutrition 2013, 1, 158–167. [Google Scholar] [CrossRef]
- Li, L.; Ma, H.; Liu, T.; Ding, Z.; Liu, W.; Gu, Q.; Mu, Y.; Xu, J.; Seeram, N.P.; Huang, X.; et al. Glucitol-Core Containing Gallotannins-Enriched Red Maple (Acer rubrum) Leaves Extract Alleviated Obesity via Modulating Short-Chain Fatty Acid Production in High-Fat Diet-Fed Mice. J. Funct. Foods 2020, 70, 103970. [Google Scholar] [CrossRef]
- García-Pérez, M.-E.; Royer, M.; Duque-Fernandez, A.; Diouf, P.N.; Stevanovic, T.; Pouliot, R. Antioxidant, Toxicological and Antiproliferative Properties of Canadian Polyphenolic Extracts on Normal and Psoriatic Keratinocytes. J. Ethnopharmacol. 2010, 132, 251–258. [Google Scholar] [CrossRef]
- García-Pérez, M.-E.; Allaeys, I.; Rusu, D.; Pouliot, R.; Janezic, T.S.; Poubelle, P.E. Picea Mariana Polyphenolic Extract Inhibits Phlogogenic Mediators Produced by TNF-α-Activated Psoriatic Keratinocytes: Impact on NF-ΚB Pathway. J. Ethnopharmacol. 2014, 151, 265–278. [Google Scholar] [CrossRef]
- Koushki, M.; Amiri-Dashatan, N.; Ahmadi, N.; Abbaszadeh, H.; Rezaei-Tavirani, M. Resveratrol: A Miraculous Natural Compound for Diseases Treatment. Food Sci. Nutr. 2018, 6, 2473–2490. [Google Scholar] [CrossRef]
- Francezon, N.; Meda, N.-S.-B.R.; Stevanovic, T. Optimization of Bioactive Polyphenols Extraction from Picea Mariana Bark. Molecules 2017, 22, 2118. [Google Scholar] [CrossRef]
- Downing, A.D.; Eid, H.M.; Tang, A.; Ahmed, F.; Harris, C.S.; Haddad, P.S.; Johns, T.; Arnason, J.T.; Bennett, S.A.L.; Cuerrier, A. Growth Environment and Organ Specific Variation in In-Vitro Cytoprotective Activities of Picea Mariana in PC12 Cells Exposed to Glucose Toxicity: A Plant Used for Treatment of Diabetes Symptoms by the Cree of Eeyou Istchee (Quebec, Canada). BMC Complement. Altern. Med. 2019, 19, 137. [Google Scholar] [CrossRef]
- Sheppard, J.P.; Chamberlain, J.; Agúndez, D.; Bhattacharya, P.; Chirwa, P.W.; Gontcharov, A.; Sagona, W.C.J.; Shen, H.; Tadesse, W.; Mutke, S. Sustainable Forest Management beyond the Timber-Oriented Status Quo: Transitioning to Co-Production of Timber and Non-Wood Forest Products—A Global Perspective. Curr. For. Rep. 2020, 6, 26–40. [Google Scholar] [CrossRef]
- Francezon, N.; Stevanovic, T. Integrated Process for the Production of Natural Extracts from Black Spruce Bark. Ind. Crops Prod. 2017, 108, 348–354. [Google Scholar] [CrossRef]
- Valencia-Avilés, E.; García-Pérez, M.E.; Garnica-Romo, M.G.; de Dios Figueroa-Cárdenas, J.; Paciulli, M.; Martinez-Flores, H.E. Chemical Composition, Physicochemical Evaluation and Sensory Analysis of Yogurt Added with Extract of Polyphenolic Compounds from Quercus crassifolia Oak Bark. Funct. Foods Health Dis. 2022, 12, 502–517. [Google Scholar] [CrossRef]
- Rocha-Guzmán, N.E.; Gallegos-Infante, J.A.; González-Laredo, R.F.; Harte, F.; Medina-Torres, L.; Ochoa-Martínez, L.A.; Soto-García, M. Effect of High-Pressure Homogenization on the Physical and Antioxidant Properties of Quercus Resinosa Infusions Encapsulated by Spray-Drying. J. Food Sci. 2010, 75, N57–N61. [Google Scholar] [CrossRef]
- Valencia Avilés, E. Efecto de la Adición de Aceite Vegetal y Nanocápsulas de un Extracto Polifenólico de Corteza de Quercus crassifolia a un Yogurt Medidos en Hámsteres Dislipidémicos. Ph.D Thesis, Universidad Michoacana de San Nicolás de Hidalgo, Michoacán, Mexico, 2019. [Google Scholar]
- Chaurasia, S.; Pati, R.K.; Padhi, S.S.; Jensen, J.M.K.; Gavirneni, N. Achieving the United Nations Sustainable Development Goals-2030 through the Nutraceutical Industry: A Review of Managerial Research and the Role of Operations Management. Decis. Sci. 2022, 53, 630–645. [Google Scholar] [CrossRef]
- Valencia-Avilés, E.; Martínez-Flores, H.-E.; García-Pérez, M.; Meléndez-Herrera, E.; García-Pérez, M.-E. Investigation of the Antibacterial Activity and Subacute Toxicity of a Quercus crassifolia Polyphenolic Bark Extract for Its Potential Use in Functional Foods. J. Food Sci. 2019, 84, 1692–1702. [Google Scholar] [CrossRef]
- Alonso-Esteban, J.I.; Carocho, M.; Barros, D.; Velho, M.V.; Heleno, S.; Barros, L. Chemical Composition and Industrial Applications of Maritime Pine (Pinus pinaster Ait.) Bark and Other Non-Wood Parts. Rev. Environ. Sci. Biotechnol. 2022, 21, 583–633. [Google Scholar] [CrossRef]
- Jones, H.S.; Papageorgiou, M.; Gordon, A.; Ehtesham; Javed, Z.; Wells, L.K.; Greetham, S.; Doyle, B.; Hayes, N.; Rigby, A.; et al. Physiologically Relevant Screening of Polyphenol-Rich Commercial Preparations for Bioactivity in Vascular Endothelial Cells and Application to Healthy Volunteers: A Viable Workflow and a Cautionary Tale. Biochem. Pharmacol. 2020, 173, 113754. [Google Scholar] [CrossRef]
- Oliff, H.; Blumenthal, M. Scientific and Clinical Monograph for Pycnogenol. 2019 Updated 2019. Available online: https://www.pycnogenol.com/fileadmin/pdf/ABC_Pycnogenol_Monograph_2019.pdf (accessed on 16 December 2022).
- Rohdewald, P.J. Pycnogenol, French Maritime Bark Extract. Encycl. Diet. Suppl. 2005, 1, 545–553. [Google Scholar]
- D’Andrea, G. Pycnogenol: A Blend of Procyanidins with Multifaceted Therapeutic Applications? Fitoterapia 2010, 81, 724–736. [Google Scholar] [CrossRef]
- Gulati, O.P. Pycnogenol® in Chronic Venous Insufficiency and Related Venous Disorders. Phytother. Res. 2014, 28, 348–362. [Google Scholar] [CrossRef]
- Sahebkar, A. A Systematic Review and Meta-Analysis of the Effects of Pycnogenol on Plasma Lipids. J. Cardiovasc. Pharm. Ther. 2014, 19, 244–255. [Google Scholar] [CrossRef]
- Gulati, O.P. Pycnogenol® in Metabolic Syndrome and Related Disorders. Phytother. Res. 2015, 29, 949–968. [Google Scholar] [CrossRef]
- Borzeleca, J.; Burdok, G.; Thomas, J. Opinion of Expert Panel on the Generally Recognized as Safe (GRAS) Status of French Maritime Pine Bark Extract (Pycnogenol®) as a Flavouring Agent; Horphag Research: Meyrin, Switzerland, 2004. [Google Scholar]
- Segal, L.; Penman, M.; Piriou, Y. Evaluation of the Systemic Toxicity and Mutagenicity of OLIGOPIN®, Procyanidolic Oligomers (OPC) Extracted from French Maritime Pine Bark Extract. Toxicol. Rep. 2018, 5, 531–541. [Google Scholar] [CrossRef]
- Grether-Beck, S.; Marini, A.; Jaenicke, T.; Krutmann, J. French Maritime Pine Bark Extract (Pycnogenol®) Effects on Human Skin: Clinical and Molecular Evidence. Ski. Pharmacol. Physiol. 2016, 29, 13–17. [Google Scholar] [CrossRef]
- Segger, D.; Schönlau, F. Supplementation with Evelle® Improves Skin Smoothness and Elasticity in a Double-blind, Placebo-controlled Study with 62 Women. J. Dermatol. Treat. 2004, 15, 222–226. [Google Scholar] [CrossRef]
- Hoang, H.T.; Moon, J.-Y.; Lee, Y.-C. Natural Antioxidants from Plant Extracts in Skincare Cosmetics: Recent Applications, Challenges and Perspectives. Cosmetics 2021, 8, 106. [Google Scholar] [CrossRef]
- González-García, S.; Bonnesoeur, V.; Pizzi, A.; Feijoo, G.; Moreira, M.T. Comparing Environmental Impacts of Different Forest Management Scenarios for Maritime Pine Biomass Production in France. J. Clean. Prod. 2014, 64, 356–367. [Google Scholar] [CrossRef]
- Mathela, M.; Bargali, H.; Sharma, M.; Sharma, R.; Kumar, A. Brainstorming on the Future of the Highly Threatened Medicinal Plants of the Western Himalaya, India. Curr. Sci. 2020, 118, 1485–1486. [Google Scholar] [CrossRef]
- Senkoro, A.M.; Talhinhas, P.; Simões, F.; Batista-Santos, P.; Shackleton, C.M.; Voeks, R.A.; Marques, I.; Ribeiro-Barros, A.I. The Genetic Legacy of Fragmentation and Overexploitation in the Threatened Medicinal African Pepper-Bark Tree, Warburgia Salutaris. Sci. Rep. 2020, 10, 19725. [Google Scholar] [CrossRef]
- Atanasov, A.G.; Zotchev, S.B.; Dirsch, V.M.; Supuran, C.T. Natural Products in Drug Discovery: Advances and Opportunities. Nat. Rev. Drug Discov. 2021, 20, 200–216. [Google Scholar] [CrossRef]





| Molecule Name | Classification | Extract Type | Plant Tissue | Bioactivity | Ref. |
|---|---|---|---|---|---|
| Epicatechin | Flavonoid | Ethyl acetate fraction (EtOAc) of 70% ethanolic extract. | Stem bark | All compounds, except euscaphic acid, inhibited the in vitro action of α-amylase. Euscaphic acid stimulated the glucose uptake in C2C12 cells. Epigallocatechin, dulcisflavan, tormentic acid, and arjunolic acid showed hypoglycaemic and anti-hyperlipidaemic activities in treptozotocin (STZ)-induced diabetic rats. Dulcisflavan was considered the most active compound and an appropriate substrate for further drug development. | [38] |
| Epigallocatechin | Flavonoid | ||||
| Dulcisflavan | Flavonoid | ||||
| Euscaphic acid | ursane-type triterpenoids | ||||
| Tormentic acid | ursane-type triterpenoids | ||||
| Arjunolic acid | oleanane-type pentacyclic triterpenoid | ||||
| 3β-O-trans-feruloyl-2α,19α-dihydroxyurs-12-en-28-oic acid (H1) | ursene-type pentacyclic triterpene | Ethyl acetate fraction (EtOAc) of 95% ethanolic extract. | Root bark | All compounds decreased in vitro the activity of hepatocellular glucose-6-phosphatase (G6Pase) and activated glycogen synthase via the phosphorylation of glycogen synthase kinase-3. The compound (H3) and isoorientin were determined to be the most potent in modulating glucose homeostasis in liver cells. | [39,40] |
| 2α-acetoxy-3β-O-trans-feruloyl-19α-hydroxyurs-12-en-28-oic acid (H3) | ursene-type pentacyclic triterpene | ||||
| ursolic acid | pentacyclic triterpene | ||||
| isoorientin | C-glycosylflavone | ||||
| orientin | C-glycosylflavone | ||||
| 3,4-dihydroxybenzaldehyde | phenolic aldehyde | ||||
| 3β,6β-dihydroxyolean-12-en-29-oic acid (myrianthinic acid) | pentacyclic triterpene | Ethyl acetate fraction (EtOAc) of methanolic extract. | Stem bark | - | [41,42] |
| 2β/3β, 24-trihydroxy-olean-12-en-28-oic acid (arboreic acid) | oleanane-type triterpenoid | ||||
| protocatechuic acid | phenolic acid | 70% methanolic extract (MAL) | Leaves | MAL administration significantly reduced body weight gain, basal glycemia, and insulin resistance in mice receiving a high-fat diet (HFD). MAL significantly downregulated the mRNA expression of IL-6, IL-1β, and TNF-α, known as obesity-associated inflammatory markers. MAL improved the altered expression of adipokines (leptin and adiponectin) in obese mice. | [43] |
| methylumbelliferone fucopyranoside | hydroxycoumarin | ||||
| tectoridin | glycosyloxyisoflavone | ||||
| vanillic acid | phenolic acid | ||||
| medicagenic acid | triterpenoid | ||||
| brahmic acid | pentacyclic triterpenoid | ||||
| arjunolic acid | oleanane-type pentacyclic triterpenoid |
Disclaimer/Publisher’s Note: The statements, opinions and data contained in all publications are solely those of the individual author(s) and contributor(s) and not of MDPI and/or the editor(s). MDPI and/or the editor(s) disclaim responsibility for any injury to people or property resulting from any ideas, methods, instructions or products referred to in the content. |
© 2023 by the authors. Licensee MDPI, Basel, Switzerland. This article is an open access article distributed under the terms and conditions of the Creative Commons Attribution (CC BY) license (https://creativecommons.org/licenses/by/4.0/).
Share and Cite
García-Pérez, M.-E.; Kasangana, P.-B.; Stevanovic, T. Bioactive Molecules from Myrianthus arboreus, Acer rubrum, and Picea mariana Forest Resources. Molecules 2023, 28, 2045. https://doi.org/10.3390/molecules28052045
García-Pérez M-E, Kasangana P-B, Stevanovic T. Bioactive Molecules from Myrianthus arboreus, Acer rubrum, and Picea mariana Forest Resources. Molecules. 2023; 28(5):2045. https://doi.org/10.3390/molecules28052045
Chicago/Turabian StyleGarcía-Pérez, Martha-Estrella, Pierre-Betu Kasangana, and Tatjana Stevanovic. 2023. "Bioactive Molecules from Myrianthus arboreus, Acer rubrum, and Picea mariana Forest Resources" Molecules 28, no. 5: 2045. https://doi.org/10.3390/molecules28052045
APA StyleGarcía-Pérez, M.-E., Kasangana, P.-B., & Stevanovic, T. (2023). Bioactive Molecules from Myrianthus arboreus, Acer rubrum, and Picea mariana Forest Resources. Molecules, 28(5), 2045. https://doi.org/10.3390/molecules28052045

