Synthesis, Structural Elucidation, and Anti-Inflammatory Activity of a Water-Soluble Derivative of Arctiin
Abstract
:1. Introduction
2. Results
2.1. Structure Elucidation of AG
2.2. Anti-Inflammatory Activity
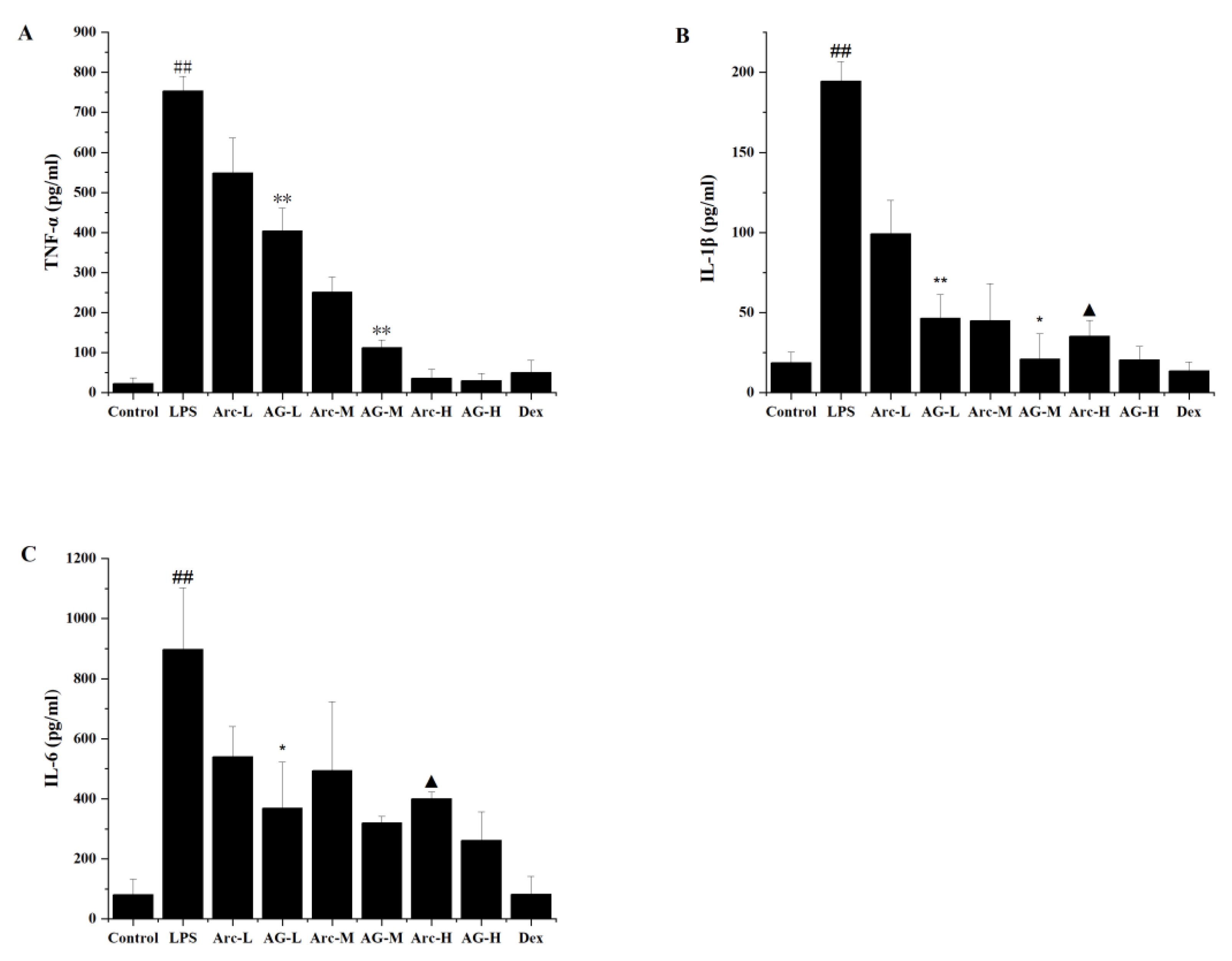
2.2.1. Effects of Arc and AG on Concentrations of IL-1β, IL-6 and TNF-α in Bronchoalveolar Lavage Fluid (BALF)
2.2.2. Effects of Arc and AG on Inflammatory Cell Accumulation in Lungs
2.2.3. Effects of Arc and AG on LPS-Induced Lung W/D Ratio
2.2.4. Effects of Arc and AG on LPS-Mediated Lung Histopathologic Changes
2.2.5. Effects of Arc and AG on LPS-Induced Myeloperoxidase (MPO) Activity
3. Materials and Methods
3.1. Apparatus and Materials
3.2. Preparation of AG
3.3. Evaluation of Anti-Inflammatory Activity
3.3.1. Animals and Experimental Design
3.3.2. Collection of BALF and Determination of TNF-α, IL-1β, and IL-6 Levels
3.3.3. Cell Counting
3.3.4. Lung Wet-to-Dry Weight (W/D) Ratio
3.3.5. Histopathologic Evaluation of the Lung Tissue
3.3.6. Pulmonary MPO Activity Assay
3.3.7. Statistical Analysis
4. Discussion
Supplementary Materials
Author Contributions
Funding
Institutional Review Board Statement
Informed Consent Statement
Data Availability Statement
Conflicts of Interest
Sample Availability
References
- Gao, Q.; Yang, M.B.; Zuo, Z. Overview of the anti-inflammatory effects, pharmacokinetic properties and clinical efficacies of arctigenin and arctiin from Arctium lappa L. Acta Pharmacol. Sin. 2018, 39, 787–801. [Google Scholar] [CrossRef]
- Park, S.Y.; Hong, S.S.; Han, X.H.; Hwang, J.S.; Lee, D.; Ro, J.S.; Hwang, B.Y. Lignans from Arctium lappa and Their Inhibition of LPS-Induced Nitric Oxide Production. Chem. Pharm. Bull. 2007, 55, 150–152. [Google Scholar] [CrossRef]
- Lee, S.; Shin, S.; Kim, H.; Han, S.; Kim, K.; Kwon, J.; Kwak, J.; Lee, C.; Ha, N.; Yim, D.; et al. Anti-inflammatory function of arctiin by inhibiting COX-2 expression via NF- B pathways. J. Inflamm. 2011, 8, 16–25. [Google Scholar] [CrossRef] [PubMed]
- Lee, J.Y.; Cho, B.J.; Park, T.W.; Psrk, B.E.; Kim, S.J.; Sim, S.S.; Kim, C.J. Dibenzylbutyrolactone Lignans from Forsythia koreana Fruits Attenuate Lipopolysaccharide-Induced Inducible Nitric Oxide Synthetase and Cyclooxygenase-2 Expressions through Activation of Nuclear Factor-kB and Mitogen-Activated Protein Kinase in RAW264.7 Cells. Biol. Pharm. Bull. 2010, 33, 1847–1853. [Google Scholar] [PubMed]
- Zhou, B.; Weng, G.; Huang, Z.; Liu, T.; Dai, F. Arctiin Prevents LPS-Induced Acute Lung Injury via Inhibition of PI3K/AKT Signaling Pathway in Mice. Inflammation 2018, 41, 2129–2135. [Google Scholar] [CrossRef] [PubMed]
- Wu, J.G.; Wu, J.Z.; Sun, L.N.; Han, T.; Du, J.; Ye, Q.; Zhang, H.; Zhang, Y.G. Ameliorative effects of arctiin from Arctium lappa on experimental glomerulonephritis in rats. Phytomedicine 2009, 16, 1033–1041. [Google Scholar] [CrossRef] [PubMed]
- Zhou, B.; Wang, L.; Liang, Y.; Li, J.; Pan, X. Arctiin suppresses H9N2 avian influenza virus-mediated inflammation via activation of Nrf2/HO-1 signaling. BMC Complement. Med. 2021, 21, 289. [Google Scholar] [CrossRef]
- Xu, X.; Zeng, X.Y.; Cui, Y.X.; Li, Y.B.; Cheng, J.H.; Zhao, X.D.; Xu, G.H.; Ma, J.; Piao, H.N.; Jin, X.; et al. Antidepressive Effect of Arctiin by Attenuating Neuroinflammation via HMGB1/TLR4- and TNF-alpha/TNFR1-Mediated NF-kappaB Activation. ACS Chem. Neurosci. 2020, 11, 2214–2230. [Google Scholar] [CrossRef] [PubMed]
- Liu, X.; Wang, J.; Dou, P.; Zhang, X.; Ran, X.; Liu, L.; Dou, D. The Ameliorative Effects of Arctiin and Arctigenin on the Oxidative Injury of Lung Induced by Silica via TLR-4/NLRP3/TGF-beta Signaling Pathway. Oxidative Med. Cell. Longev. 2021, 2021, 5598980. [Google Scholar] [CrossRef]
- Lee, J.H.; Lee, J.Y.; Kim, T.D.; Kim, C.J. Antiasthmatic action of dibenzylbutyrolactone lignans from fruits of Forsythia viridissima on asthmatic responses to ovalbumin challenge in conscious guinea-pigs. Phytother. Res. 2011, 25, 387–395. [Google Scholar] [CrossRef] [PubMed]
- Lu, L.C. Isolation and Purification of Arctiin and Its Protective Mechanism on Vascular Endothelial Cells in Experimental Diabetes Rats; Third Military Medical University: Chongqin, China, 2007. [Google Scholar]
- Liu, J.; Zou, M.; Piao, H.; Liu, Y.; Tang, B.; Gao, Y.; Ma, N.; Cheng, G. Characterization and Pharmacokinetic Study of Aprepitant Solid Dispersions with Soluplus(R). Molecules 2015, 20, 11345–11356. [Google Scholar] [CrossRef] [PubMed]
- Ong, S.G.; Ming, L.C.; Lee, K.S.; Yuen, K.H. Influence of the Encapsulation Efficiency and Size of Liposome on the Oral Bioavailability of Griseofulvin-Loaded Liposomes. Pharmaceutics 2016, 8, 25. [Google Scholar] [CrossRef] [PubMed]
- Ghosh, A.; Biswas, S.; Ghosh, T. Preparation and Evaluation of Silymarin beta-cyclodextrin Molecular Inclusion Complexes. J. Young Pharm. 2011, 3, 205–210. [Google Scholar] [CrossRef] [PubMed]
- Shome, S.; Talukdar, A.D.; Choudhury, M.D.; Bhattacharya, M.K.; Upadhyaya, H. Curcumin as potential therapeutic natural product: A nanobiotechnological perspective. J. Pharm. Pharmacol. 2016, 68, 1481–1500. [Google Scholar] [CrossRef]
- Guan, H.Y.; Zhao, D.H.; Long, J.; Lu, L.C. Preparation and in vitro evaluation of arctiin self microemulsifying drug delivery system. Chin. J. Pharm. 2015, 46, 248–253. [Google Scholar]
- Steffen, P.G.; Dressman, J.B.; Saal, C. Trends in Active Pharmaceutical Ingredient Salt Selection based on Analysis of the Orange Book Database. J. Med. Chem. 2007, 50, 6665–6672. [Google Scholar]
- Nieman, J.A.; Nair, S.K.; Heasley, S.E.; Schultz, B.L.; Zerth, H.M.; Nugent, R.A.; Chen, K.; Stephanski, K.J.; Hopkins, T.A.; Knechtel, M.L.; et al. Modifications of C-2 on the pyrroloquinoline template aimed at the development of potent herpesvirus antivirals with improved aqueous solubility. Bioorg. Med. Chem. Lett. 2010, 20, 3039–3042. [Google Scholar] [CrossRef]
- Press, N.J.; Taylor, R.J.; Fullerton, J.D.; Tranter, P.; McCarthy, C.; Keller, T.H.; Arnold, N.; Beer, D.; Brown, L.; Cheung, R.; et al. Solubility-driven optimization of phosphodiesterase-4 inhibitors leading to a clinical candidate. J. Med. Chem. 2012, 55, 7472–7479. [Google Scholar] [CrossRef]
- Furfine, E.S.; Baker, C.T.; Hale, M.R.; Reynolds, D.J.; Salisbury, J.A.; Searle, A.D.; Studenberg, S.D.; Todd, D.; Tung, R.D.; Spaltenstein, A. Preclinical pharmacology and pharmacokinetics of GW433908, a water-soluble prodrug of the human immunodeficiency virus protease inhibitor amprenavir. Antimicrob. Agents Chemother. 2004, 48, 791–798. [Google Scholar] [CrossRef]
- Vollmann, K.; Qurishi, R.; Hockemeyer, J.; Müller, C.E. Synthesis and Properties of a New Water-Soluble Prodrug of the Adenosine A2A Receptor Antagonist MSX-2. Molecules 2008, 13, 348–359. [Google Scholar] [CrossRef]
- Rodríguez-Pérez, T.; Fernández, S.; Sanghvi, Y.S.; Detorio, M.; Schinazi, R.F.; Gotor, V.; Ferrero, M. Chemoenzymatic Syntheses and Anti-HIV-1 Activity of Glucose-Nucleoside Conjugates as Prodrugs. Bioconj. Chem. 2010, 21, 2239–2249. [Google Scholar] [CrossRef] [PubMed]
- O’Reilly, S.; Rowinsky, E.K. The clinical status of irinotecan (CPT-11), a novel water soluble camptothecin analogue: 1996. Crit. Rev. Oncol. Hemat. 1996, 24, 47–70. [Google Scholar] [CrossRef] [PubMed]
- Vignaroli, G.; Zamperini, C.; Dreassi, E.; Radi, M.; Angelucci, A.; Sanita, P.; Crespan, E.; Kissova, M.; Maga, G.; Schenone, S.; et al. Pyrazolo[3,4-d]pyrimidine Prodrugs: Strategic Optimization of the Aqueous Solubility of Dual Src/Abl Inhibitors. ACS Med. Chem. Lett. 2013, 4, 57–61. [Google Scholar] [CrossRef] [PubMed]
- Klimas, R.; Mikus, G. Morphine-6-glucuronide is responsible for the analgesic effect after morphine administration: A quantitative review of morphine, morphine-6-glucuronide, and morphine-3-glucuronide. Br. J. Anaesth. 2014, 113, 935–944. [Google Scholar] [CrossRef]
- Sakamoto, S.; Kusuhara, H.; Horie, K.; Takahashi, K.; Baba, T.; Ishizaki, J.; Sugiyama, Y. Identification of the transporters involved in the hepatobiliary transport and intestinal efflux of methyl 1-(3,4-dimethoxyphenyl)-3-(3-ethylvaleryl)-4-hydroxy-6,7,8-trimethoxy-2-naphthoat e (S-8921) glucuronide, a pharmacologically active metabolite of S-8921. Drug Metab. Dispos. 2008, 36, 1553–1561. [Google Scholar]
- Qing, L.S.; Peng, S.L.; Liang, J.; Ding, L.S. Astragalosidic Acid: A New Water-Soluble Derivative of Astragaloside IV Prepared Using Remarkably Simple TEMPO-Mediated Oxidation. Molecules 2017, 22, 1275. [Google Scholar] [CrossRef]
- Qing, L.S.; Chen, T.B.; Sun, W.X.; Chen, L.; Luo, P.; Zhang, Z.F.; Ding, L.S. Pharmacokinetics Comparison, Intestinal Absorption and Acute Toxicity Assessment of a Novel Water-Soluble Astragaloside IV Derivative (Astragalosidic Acid, LS-102). Eur. J. Drug Metab. Pharmacokinet. 2019, 44, 251–259. [Google Scholar] [CrossRef] [PubMed]
- Sun, W.X.; Zhang, Z.F.; Xie, J.; He, Y.; Cheng, Y.; Ding, L.S.; Luo, P.; Qing, L.S. Determination of a astragaloside IV derivative LS-102 in plasma by ultra-performance liquid chromatography-tandem mass spectrometry in dog plasma and its application in a pharmacokinetic study. Phytomedicine 2019, 53, 243–251. [Google Scholar] [CrossRef]
- Wu, Y.J.; Li, Z.H.; Li, J.Y.; Zhou, Y.; Wang, R.Y.; Chen, X.Y.; Qing, L.S.; Luo, P. Elucidation of the binding mechanism of astragaloside IV derivative with human serum albumin and its cardiotoxicity in zebrafish embryos. Front. Pharmacol. 2022, 13, 987882. [Google Scholar] [CrossRef]
- Chen, L.; Chen, X.Y.; Wang, Q.L.; Yang, S.J.; Zhou, H.; Ding, L.S.; Qing, L.S.; Luo, P. Astragaloside IV Derivative (LS-102) Alleviated Myocardial Ischemia Reperfusion Injury by Inhibiting Drp1(Ser616) Phosphorylation-Mediated Mitochondrial Fission. Front. Pharmacol. 2020, 11, 1083. [Google Scholar] [CrossRef]
- Dong, Z.; Yuan, Y. Accelerated inflammation and oxidative stress induced by LPS in acute lung injury: Iotanhibition by ST1926. Int. J. Mol. Med. 2018, 41, 3405–3421. [Google Scholar] [CrossRef] [PubMed]
- Wang, H.; Zhou, J.; Guo, X.; Li, Y.; Duan, L.; Si, X.; Zhang, L. Use of glucocorticoids in the management of immunotherapy-related adverse effects. Thorac. Cancer 2020, 11, 3047–3052. [Google Scholar] [CrossRef] [PubMed]
- Oray, M.; Samra, K.A.; Ebrahimiadib, N.; Meese, H.; Foster, C.S. Long-term side effects of glucocorticoids. Expert Opin. Drug Saf. 2016, 15, 457–465. [Google Scholar] [CrossRef] [PubMed]





| Position | δH | δC | DEPT | Position | δH | δC | DEPT |
|---|---|---|---|---|---|---|---|
| 1 | 131.68 | C | 6′ | 6.84 (7.6, d) | 120.4 | CH | |
| 2 | 6.76 (s) | 112.46 | CH | 7′ | 2.45 (m) | 36.83 | CH2 |
| 3 | 148.64 | C | 8′ | 2.59 (m) | 40.62 | CH | |
| 4 | 145.31 | C | 9′ | 178.4 | C | ||
| 5 | 6.65 (8.2, 2.0, dd) | 115.17 | CH | Glu-1″ | 4.88 (7.6, d) | 99.87 | CH |
| 6 | 6.97 (8.3, d) | 121.28 | CH | Glu-2″ | 3.20–3.28 (m) | 76.68 | CH |
| 7 | 2.80 (m) | 33.39 | CH2 | Glu-3″ | 3.20–3.28 (m) | 73.08 | CH |
| 8 | 2.73 (m) | 45.61 | CH | Glu-4″ | 3.20–3.28 (m) | 74.29 | CH |
| 9 | 3.86 (8.8, t), 4.09 (8.2, t) | 70.68 | CH2 | Glu-5″ | 3.52 (m) | 71.99 | CH |
| 1′ | 131.19 | C | Glu-6″ | 173.1 | C | ||
| 2′ | 6.68 (s) | 111.91 | CH | OCH3 | 3.71 (s) | 55.68 | CH3 |
| 3′ | 148.69 | C | OCH3 | 3.70 (s) | 55.51 | ||
| 4′ | 147.34 | C | OCH3 | 3.69 (s) | 55.45 | ||
| 5′ | 6.62 (8.4, 2.0, dd) | 113.94 | CH |
| Groups | Dose/(mg·kg−1) | Lung W/D/(%) |
|---|---|---|
| Control | - | 3.92 ± 0.06 |
| LPS | - | 5.02 ± 0.08 ## |
| Arc-L | 10 | 4.84 ± 0.38 |
| AG-L | 10 | 4.73 ± 0.28 |
| Arc-M | 20 | 4.51 ± 0.17 |
| AG-M | 20 | 4.47 ± 0.5 * |
| Arc-H | 40 | 4.32 ± 0.07 |
| AG-H | 50 | 4.29 ± 0.07 |
| Dex | 5 | 4.2 ± 0.12 |
| Groups | Neutrophil Infiltration | Interstitial Edema | Hemorrhage | Congestion | Scores |
|---|---|---|---|---|---|
| Control | 0 | 0 | 0 | 0 | 0 |
| LPS | 3 | 3 | 4 | 3 | 13 |
| Arc-L | 2 | 2 | 2.5 | 3 | 9.5 |
| AG-L | 2.5 | 2 | 2.5 | 2 | 9 |
| Arc-M | 2 | 1 | 2 | 2 | 7 |
| AG-M | 2.5 | 0 | 2 | 2 | 6.5 |
| Arc-H | 1 | 1.5 | 2 | 2 | 6.5 |
| AG-H | 0.5 | 0 | 0 | 1 | 1.5 |
| Dex | 1 | 1 | 2 | 1 | 5 |
Disclaimer/Publisher’s Note: The statements, opinions and data contained in all publications are solely those of the individual author(s) and contributor(s) and not of MDPI and/or the editor(s). MDPI and/or the editor(s) disclaim responsibility for any injury to people or property resulting from any ideas, methods, instructions or products referred to in the content. |
© 2023 by the authors. Licensee MDPI, Basel, Switzerland. This article is an open access article distributed under the terms and conditions of the Creative Commons Attribution (CC BY) license (https://creativecommons.org/licenses/by/4.0/).
Share and Cite
Xu, X.; Huang, X.; Zheng, Y.; Wang, X.; Xie, J.; Liu, S.; Guo, K. Synthesis, Structural Elucidation, and Anti-Inflammatory Activity of a Water-Soluble Derivative of Arctiin. Molecules 2023, 28, 1789. https://doi.org/10.3390/molecules28041789
Xu X, Huang X, Zheng Y, Wang X, Xie J, Liu S, Guo K. Synthesis, Structural Elucidation, and Anti-Inflammatory Activity of a Water-Soluble Derivative of Arctiin. Molecules. 2023; 28(4):1789. https://doi.org/10.3390/molecules28041789
Chicago/Turabian StyleXu, Xia, Xiaofeng Huang, Yuedan Zheng, Xiaoling Wang, Jing Xie, Sha Liu, and Kun Guo. 2023. "Synthesis, Structural Elucidation, and Anti-Inflammatory Activity of a Water-Soluble Derivative of Arctiin" Molecules 28, no. 4: 1789. https://doi.org/10.3390/molecules28041789
APA StyleXu, X., Huang, X., Zheng, Y., Wang, X., Xie, J., Liu, S., & Guo, K. (2023). Synthesis, Structural Elucidation, and Anti-Inflammatory Activity of a Water-Soluble Derivative of Arctiin. Molecules, 28(4), 1789. https://doi.org/10.3390/molecules28041789
