Design of Liquid Crystal Materials Based on Palmitate, Oleate, and Linoleate Derivatives for Optoelectronic Applications
Abstract
:1. Introduction
2. Results and Discussion
2.1. Liquid Crystalline Behavior
2.2. Binary Mixtures
2.3. Optical Properties
2.4. Photophysical Properties
3. Experimental Section
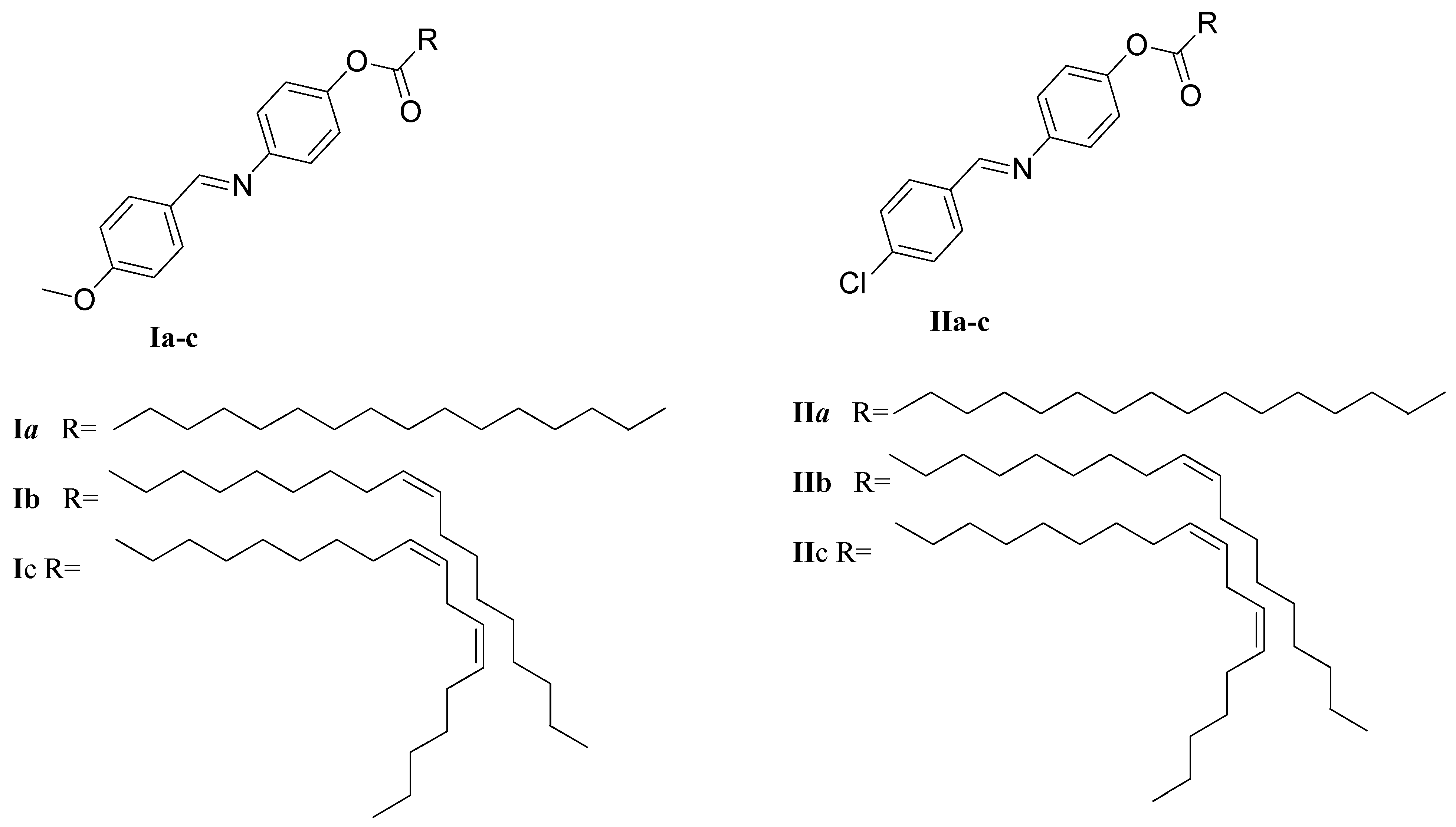
3.1. Synthesis of Materials
3.1.1. Synthesis of (4-Substituted Benzylideneamino) phenol (A)
3.1.2. Synthesis of Fatty acid Derivatives, Ia-c and IIa-c
3.2. Characterization
- Examples of characterizations
4. Conclusions
Supplementary Materials
Author Contributions
Funding
Institutional Review Board Statement
Informed Consent Statement
Data Availability Statement
Acknowledgments
Conflicts of Interest
Sample Availability
References
- De Gennes, P.-G.; Prost, J. The Physics of Liquid Crystals; Oxford University, Clarendon Press, Science: Cary, NC, USA, 1993. [Google Scholar]
- Chandrasekhar, S. Liquid Crystals; Cambridge University Press: Cambridge, UK; New York, NY, USA, 1994; Volume 49, pp. 587–588. [Google Scholar]
- Priestly, E. Introduction to Liquid Crystals; Springer Science & Business Media: Berlin, Germany, 2012. [Google Scholar]
- Kraft, A.; Reichert, A.; Kleppinger, R. Supramolecular liquid crystals with columnar mesophases through self-assembly of carboxylic acids around a tribasic core. Chem. Commun. 2000, 12, 1015–1016. [Google Scholar] [CrossRef]
- Fleischmann, E.K.; Zentel, R. Liquid-crystalline ordering as a concept in materials science: From semiconductors to stimuli-responsive devices. Angew. Chem. Int. Ed. 2013, 52, 8810–8827. [Google Scholar] [CrossRef]
- Laschat, S.; Baro, A.; Steinke, N.; Giesselmann, F.; Haegele, C.; Scalia, G.; Judele, R.; Kapatsina, E.; Sauer, S.; Schreivogel, A. Discotic liquid crystals: From tailor-made synthesis to plastic electronics. Angew. Chem. Int. Ed. 2007, 46, 4832–4887. [Google Scholar] [CrossRef]
- Tschierske, C. Development of structural complexity by liquid-crystal self-assembly. Angew. Chem. Int. Ed. 2013, 52, 8828–8878. [Google Scholar] [CrossRef]
- Rosu, C.; Maximean, D.M.; Kundu, S.; Almeida, P.L.; Danila, O. Perspectives on the electrically induced properties of electrospun cellulose/liquid crystal devices. J. Electrost. 2011, 69, 623–630. [Google Scholar] [CrossRef]
- Gilli, J.; Thiberge, S.; Manaila-Maximean, D. New aspect of the voltage/confinement ratio phase diagram for a confined homeotropic cholesteric. Mol. Cryst. Liq. Cryst. 2004, 417, 207–213. [Google Scholar] [CrossRef]
- Ibrahim, M.F.; Senior, S.A.; El-atawy, M.A.; El-Sadany, S.K.; Hamed, E.A. Dft calculations of 2,4,6-trinitrophenylbenzoate derivatives: Structure, ground state properties and spectral properties. J. Mol. Struct. 2011, 1006, 303–311. [Google Scholar] [CrossRef]
- Chen, K.-y. Crystal Structure, Hydrogen-Bonding Properties, and DFT Studies of 2-((2-(2-Hydroxyphenyl) benzo [d] thiazol-6-yl) methylene) malononitrile. Mol. Cryst. Liq. Cryst. 2015, 623, 285–296. [Google Scholar] [CrossRef]
- Shoji, M.; Tanaka, F. Theoretical study of hydrogen-bonded supramolecular liquid crystals. Macromolecules 2002, 35, 7460–7472. [Google Scholar] [CrossRef]
- Sundaram, S.; Jayaprakasam, R.; Dhandapani, M.; Senthil, T.; Vijayakumar, V. Theoretical (DFT) and experimental studies on multiple hydrogen bonded liquid crystals comprising between aliphatic and aromatic acids. J. Mol. Liq. 2017, 243, 14–21. [Google Scholar] [CrossRef]
- Nafee, S.S.; Hagar, M.; Ahmed, H.A.; Alhaddad, O.; El-Shishtawy, R.M.; Raffah, B.M. New two rings Schiff base liquid crystals; ball mill synthesis, mesomorphic, Hammett and DFT studies. J. Mol. Liq. 2020, 299, 112161. [Google Scholar] [CrossRef]
- El-Atawy, M.; Naoum, M.; Al-Zahrani, S.; Ahmed, H. New Nitro-Laterally Substituted Azomethine Derivatives; Synthesis, Mesomorphic and Computational Characterizations. Molecules. 2021, 26, 1927–1938. [Google Scholar] [CrossRef] [PubMed]
- Ahmed, N.H.; Saad, G.R.; Ahmed, H.A.; Hagar, M. New wide-stability four-ring azo/ester/Schiff base liquid crystals: Synthesis, mesomorphic, photophysical, and DFT approaches. RSC Adv. 2020, 10, 9643–9656. [Google Scholar] [CrossRef] [PubMed]
- Alhaddad, O.A.; Khushaim, M.S.; Gomha, S.M.; Ahmed, H.A.; Naoum, M.M. Mesophase behavior of four ring ester/azomethine/ester liquid crystals in pure and mixed states. Liq. Cryst. 2022, 49, 1395–1402. [Google Scholar] [CrossRef]
- Nafee, S.S.; Ahmed, H.A.; Hagar, M. New architectures of supramolecular H-bonded liquid crystal complexes based on dipyridine derivatives. Liq. Cryst. 2020, 47, 1811–1824. [Google Scholar] [CrossRef]
- Ahmed, H.A.; Hagar, M.; Alhaddad, O.A. Phase behavior and DFT calculations of laterally methyl supramolecular hydrogen-bonding complexes. Crystals 2019, 9, 133. [Google Scholar] [CrossRef]
- Ahmed, H.; Hagar, M.; Saad, G. Impact of the proportionation of dialkoxy chain length on the mesophase behaviour of Schiff base/ester liquid crystals; experimental and theoretical study. Liq. Cryst. 2019, 46, 1611–1620. [Google Scholar] [CrossRef]
- Hagar, M.; Ahmed, H.; El-Sayed, T.; Alnoman, R. Mesophase behavior and DFT conformational analysis of new symmetrical diester chalcone liquid crystals. J. Mol. Liq. 2019, 285, 96–105. [Google Scholar] [CrossRef]
- Alnoman, R.; Al-Nazawi, F.K.; Ahmed, H.A.; Hagar, M. Synthesis, optical, and geometrical approaches of new natural fatty acids’ esters/Schiff base liquid crystals. Molecules 2019, 24, 4293. [Google Scholar] [CrossRef]
- Hagar, M.; Ahmed, H.; Alhaddad, O. New azobenzene-based natural fatty acid liquid crystals with low melting point: Synthesis, DFT calculations and binary mixtures. Liq. Cryst. 2019, 46, 2223–2234. [Google Scholar] [CrossRef]
- Ahmed, H.; Hagar, M.; Alhaddad, O. Mesomorphic and geometrical orientation study of the relative position of fluorine atom in some thermotropic liquid crystal systems. Liq. Cryst. 2019, 1–10. [Google Scholar] [CrossRef]
- Zaki, A.A.; Ahmed, H.; Hagar, M. Impact of fluorine orientation on the optical properties of difluorophenylazophenyl benzoates liquid crystal. Mater. Chem. Phys. 2018, 216, 316–324. [Google Scholar] [CrossRef]
- Dave, J.S.; Bhatt, H.S. Synthesis of liquid crystals with lateral methyl group and study of their mesomorphic properties. Mol. Cryst. Liq. Cryst. 2012, 562, 1–9. [Google Scholar] [CrossRef]
- Thaker, B.T.; Kanojiya, J.B.; Tandel, R.S. Effects of different terminal substituents on the mesomorphic behavior of some azo-schiff base and azo-esterbased liquid crystals. Mol. Cryst. Liq Cryst. 2010, 528, 120–137. [Google Scholar] [CrossRef]
- Alamro, F.S.; Tolan, D.A.; El-Nahas, A.M.; Ahmed, H.A.; El-Atawy, M.A.; Al-Kadhi, N.S.; Aziz, S.G.; Shibl, M.F. Wide Nematogenic Azomethine/Ester Liquid Crystals Based on New Biphenyl Derivatives: Mesomorphic and Computational Studies. Molecules 2022, 27, 4150. [Google Scholar] [CrossRef] [PubMed]
- Ahmed, H.A.; Aboelnaga, A. Synthesis and mesomorphic study of new phenylthiophene liquid crystals. Liq. Cryst. 2022, 49, 804–811. [Google Scholar] [CrossRef]
- Al-Kadhi, N.S.; Alamro, F.S.; Popoola, S.A.; Gomha, S.M.; Bedowr, N.S.; Al-Juhani, S.S.; Ahmed, H.A. Novel Imidazole Liquid Crystals; Experimental and Computational Approaches. Molecules 2022, 27, 4607. [Google Scholar] [CrossRef]
- Alamro, F.S.; Al-Kadhi, N.S.; Gomha, S.M.; Popoola, S.A.; Khushaim, M.S.; Alhaddad, O.A.; Ahmed, H.A. Experimental and Theoretical Investigations of Three-Ring Ester/Azomethine Materials. Materials 2022, 15, 2312. [Google Scholar] [CrossRef]
- El-Atawy, M.; Alhaddad, O.A.; Ahmed, H.A. Experimental and geometrical structure characterizations of new synthesized laterally fluorinated nematogenic system. Liq. Cryst. 2021, 48, 2106–2116. [Google Scholar] [CrossRef]
- Dave, J.S.; Menon, M. Azomesogens with a heterocyclic moiety. Bull. Mater. Sci. 2000, 23, 237–238. [Google Scholar] [CrossRef]
- Prajapati, K.; Pandya, H. Azomesogens with 1,2,4–trisubstituted benzene moiety. Bull. Mater. Sci. 2002, 25, 355–358. [Google Scholar]
- Prajapati, K.; Pandya, H. Azomesogens with methoxyethyl tail: Synthesis and characterization. J. Chem. Sci. 2005, 117, 255–261. [Google Scholar] [CrossRef]
- Uhood, J.A.; Gassim, T.; Radhy, H. Synthesis and characterization of a substituents on their liquid crystalline behavior. Molecules 2010, 15, 5620–5628. [Google Scholar]
- Ahmed, H.A.; El-Atawy, M.A.; Alamro, F.S.; Al-Kadhi, N.S.; Alhaddad, O.A.; Omar, A.Z. Mesomorphic, Computational Investigations and Dyeing Applications of Laterally Substituted Dyes. Molecules 2022, 27, 8980. [Google Scholar] [CrossRef] [PubMed]
- Yeap, G.Y.; Ha, S.T.; Lim, P.L.; Boey, P.L.; Ito, M.M.; Sanehisa, S.; Youhei, Y. Synthesis, physical and mesomorphic properties of Schiff base esters containing ortho-, meta-, and para-substituents in benzylidene-4′-alkanoyloxyanilines. Liq. Cryst. 2006, 33, 205–211. [Google Scholar] [CrossRef]
- Ha, S.-T.; Ong, L.-K.; Wong, J.P.-W.; Yeap, G.Y.; Lin, H.-C.; Ong, S.-T.; Koh, T.-M. Mesogenic Schiff’s base ether with dimethylamino end group. Phase Transit. 2009, 82, 387–397. [Google Scholar] [CrossRef]
- Bhatt, H.S.; Patel, P.D.; Dave, J.S. Study of mixed mesomorphism in binary systems of azo-ester mesogens with structurally dissimilar nonmesogenic as well as mesogenic ester homologues. Mol. Cryst. Liq. Cryst. 2013, 587, 80–91. [Google Scholar] [CrossRef]
- Naoum, M.M.; Fahmi, A.A.; Abaza, A.H.; Saad, G.R. Effect of exchange of terminal substituents on the mesophase behaviour of some azo/ester compounds. Liq. Cryst. 2014, 41, 1559–1568. [Google Scholar] [CrossRef]
- Ahmed, H.A. Mesophase stability in binary mixtures of monotropic nematogens. Liq. Cryst. 2015, 42, 70–80. [Google Scholar] [CrossRef]
- Alshabanah, L.A.; Al-Mutabagani, L.A.; Gomha, S.M.; Ahmed, H.A.; Popoola, S.A.; Shaban, M. Novel sulphonic acid liquid crystal derivatives: Experimental, computational and optoelectrical characterizations. RSC Advances 2021, 11, 27937–27949. [Google Scholar] [CrossRef]
- Kumar, A.; Varshney, D.; Prakash, J. Role of ionic contribution in dielectric behaviour of a nematic liquid crystal with variable cell thickness. J. Mol. Liq. 2020, 303, 112520. [Google Scholar] [CrossRef]
- Alamro, F.S.; Ahmed, H.A.; Bedowr, N.S.; Naoum, M.M.; Mostafa, A.M.; Al-Kadhi, N.S. New Liquid Crystals Based on Terminal Fatty Chains and Polymorphic Phase Formation from Their Mixtures. Crystals 2022, 12, 350. [Google Scholar] [CrossRef]
- Varshney, D.; Kumar, A.; Prakash, J.; Meena, R.; Asokan, K. Gamma irradiation induced dielectric modulation and dynamic memory in nematic liquid crystal materials. J. Mol. Liq. 2020, 320, 114374. [Google Scholar] [CrossRef]
- Alamro, F.S.; Ahmed, H.A.; Bedowr, N.S.; Khushaim, M.S.; El-Atawy, M.A. New advanced liquid crystalline materials bearing bis-azomethine as central spacer. Polymers 2022, 14, 1256. [Google Scholar] [CrossRef] [PubMed]
- Yeap, G.-Y.; Osman, F.; Imrie, C.T. Non-symmetric dimers: Effects of varying the mesogenic linking unit and terminal substituent. Liq. Cryst. 2015, 42, 543–554. [Google Scholar] [CrossRef]
- Yeap, G.-Y.; Hng, T.-C.; Yeap, S.-Y.; Gorecka, E.; Ito, M.M.; Ueno, K.; Okamoto, M.; Mahmood, W.A.K.; Imrie, C.T. Why do non-symmetric dimers intercalate? The synthesis and characterisation of the α-(4-benzylidene-substituted-aniline-4′-oxy)-ω-(2-methylbutyl-4′-(4″-phenyl) benzoateoxy) alkanes. Liq. Cryst. 2009, 36, 1431–1441. [Google Scholar] [CrossRef]
- Imrie, C.T.; Henderson, P.A. Liquid crystal dimers and oligomers. Curr. Opin. Colloid Interface Sci. 2002, 7, 298–311. [Google Scholar] [CrossRef]
- Imrie, C.T.; Henderson, P.A. Liquid crystal dimers and higher oligomers: Between monomers and polymers. Chem. Soc. Rev. 2007, 36, 2096–2124. [Google Scholar] [CrossRef]
- Park, J.W.; Bak, C.S.; Labes, M.M. Effects of molecular complexing on the properties of binary nematic liquid crystal mixtures. J. Am. Chem. Soc. 1975, 97, 4398–4400. [Google Scholar]
- Al-Mutabagani, L.A.; Alshabanah, L.A.; Gomha, S.M.; Ahmed, H.A. Synthesis, thermal and optical characterizations of new lateral organic systems. Crystals 2021, 11, 551. [Google Scholar] [CrossRef]
- Araya, K.; Matsunaga, Y. Liquid Crystal Formation in Binary Systems. I. An Interpretation of the Phase Diagrams of the Azoxydianisole–Schiff Base Systems. Bull. Chem. Soc. Jpn. 1980, 53, 989–993. [Google Scholar]
- Griffin, A.C.; Fisher, R.F.; Havens, S.J. Effect of molecular structure on mesomorphism. 7. Enhancement of smectic-isotropic transition temperatures in binary mixtures of a new liquid crystal series: The 4-nitrophenyl 4’-n-alkoxybenzoates. J. Am. Chem. Soc. 1978, 100, 6329–6333. [Google Scholar]
- Radwan, S.S.; Sorkhoh, N.A. Lipids of n-alkane-utilizing microorganisms and their application potential. In Advances in Applied Microbiology; Academic Press: Cambridge, MA, USA, 1993; Volume 39, pp. 29–90. [Google Scholar]
- Khan, M.T.; Almohammedi, A.; Kazim, S.; Ahmad, S. Electrical methods to elucidate charge transport in hybrid perovskites thin films and devices. Chem. Rec. 2020, 20, 452–465. [Google Scholar] [CrossRef]
- Khan, M.T. Unraveling the impact of graphene nanostructures passivation on the electrical properties of the perovskite solar cell. Mater. Sci. Semicond. Process. 2023, 153, 107172. [Google Scholar] [CrossRef]
- Jacquemin, D.; Laurent, A.D.; Perpète, E.A.; André, J.-M. An Ab Initio Simulation of the UV/Visible Spectra of N-Benzylideneaniline Dyes. Int. J. Quantum Chem. 2009, 109, 3506–3515. [Google Scholar] [CrossRef]
- Ebara, N. Benzylideneaniline. I. Structure and Ultraviolet Absorption Spectrum of Benzylideneaniline. Bull. Chem. Soc. Jpn. 1960, 33, 534–539. [Google Scholar]
- Almohammedi, A.; Khan, M.T.; Benghanem, M.; Aboud, S.W.; Shkir, M.; AlFaify, S. Elucidating the impact of PbI2 on photophysical and electrical properties of poly(3-hexythiophene). Mater. Sci. Semicond. Process. 2020, 120, 105272. [Google Scholar] [CrossRef]
- Khan, M.T.; Shkir, M.; Alhouri, B.; Almohammedi, A.; Ismail, Y.A. Modulation of optical, photophysical and electrical properties of poly(3-hexylthiophene) via Gd:CdS nanoparticles. Optik 2022, 260, 169092. [Google Scholar] [CrossRef]
- Khan, M.T.; Bajpai, M.; Kaur, A.; Dhawan, S.; Chand, S. Electrical, optical and hole transport mechanism in thin films of poly (3-octylthiophene-co-3-hexylthiophene): Synthesis and characterization. Synth. Met. 2010, 160, 1530–1534. [Google Scholar] [CrossRef]
- Deng, X.; Wen, X.; Zheng, J.; Young, T.; Lau, C.F.J.; Kim, J.; Green, M.; Huang, S.; Ho-Baillie, A. Dynamic study of the light soaking effect on perovskite solar cells by in-situ photoluminescence microscopy. Nano Energy 2018, 46, 356–364. [Google Scholar] [CrossRef]
- Khan, M.T.; Almohammedi, A.; Shkir, M.; Aboud, S.W. Effect of Ag2S nanoparticles on optical, photophysical and electrical properties of P3HT thin films. Luminescence 2021, 36, 761–768. [Google Scholar] [CrossRef] [PubMed]
Disclaimer/Publisher’s Note: The statements, opinions and data contained in all publications are Solely those of the individual author(s) and contributor(s) and not of MDPI and/or the editor(s). MDPI and/or the editor(s) disclaim responsibility for any injury to people or property resulting from any ideas, methods, instructions or products referred to in the content. |











| Compound | X | TCr-SmA | ∆HCr-SmA | TSmA-I | ∆HSmA-I | ∆TSmA | ∆S/R |
|---|---|---|---|---|---|---|---|
| Ia | CH3O | 89.9 | 32.93 | 88.8 * | 2.69 | 9.8 * | 0.89 |
| Ib | CH3O | 41.9 | 35.78 | 62.0 | 2.98 | 20.1 | 1.07 |
| Ic | CH3O | 38.0 | 37.23 | 65.7 | 2.20 | 27.7 | 0.78 |
| IIa | Cl | 93.6 | 40.37 | 95.8 | 2.34 | 2.2 | 0.76 |
| IIb | Cl | 75.7 | 38.03 | 91.6 | 2.71 | 15.9 | 0.89 |
| IIc | Cl | 66.1 | 32.33 | 73.0 | 1.65 | 6.9 | 0.57 |
| Films | Eg (eV) | A | τ1 (ps) | B1 | τ2 (ps) | B2 | τavg (ps) | χ2 |
|---|---|---|---|---|---|---|---|---|
| Ia | 3.95 | 734 | 630 | 0.81 | 465 | 0.19 | 598 | 1.84 |
| Ib | 4.01 | 1288 | 560 | 0.73 | 514 | 0.27 | 548 | 1.20 |
| Ic | 4.06 | 946 | 518 | 0.79 | 517 | 0.21 | 518 | 1.72 |
| IIa | 3.95 | 751 | 996 | 0.82 | 420 | 0.18 | 892 | 1.21 |
| IIb | 4.02 | 913 | 535 | 0.80 | 519 | 0.20 | 532 | 1.18 |
| IIc | 4.05 | 979 | 526 | 0.77 | 512 | 0.23 | 523 | 1.67 |
Disclaimer/Publisher’s Note: The statements, opinions and data contained in all publications are solely those of the individual author(s) and contributor(s) and not of MDPI and/or the editor(s). MDPI and/or the editor(s) disclaim responsibility for any injury to people or property resulting from any ideas, methods, instructions or products referred to in the content. |
© 2023 by the authors. Licensee MDPI, Basel, Switzerland. This article is an open access article distributed under the terms and conditions of the Creative Commons Attribution (CC BY) license (https://creativecommons.org/licenses/by/4.0/).
Share and Cite
Al-Zahrani, S.A.; Khan, M.T.; Jevtovic’, V.; Masood, N.; Jeilani, Y.A.; Ahmed, H.A. Design of Liquid Crystal Materials Based on Palmitate, Oleate, and Linoleate Derivatives for Optoelectronic Applications. Molecules 2023, 28, 1744. https://doi.org/10.3390/molecules28041744
Al-Zahrani SA, Khan MT, Jevtovic’ V, Masood N, Jeilani YA, Ahmed HA. Design of Liquid Crystal Materials Based on Palmitate, Oleate, and Linoleate Derivatives for Optoelectronic Applications. Molecules. 2023; 28(4):1744. https://doi.org/10.3390/molecules28041744
Chicago/Turabian StyleAl-Zahrani, Salma A., Mohd Taukeer Khan, Violeta Jevtovic’, Najat Masood, Yassin Aweis Jeilani, and Hoda A. Ahmed. 2023. "Design of Liquid Crystal Materials Based on Palmitate, Oleate, and Linoleate Derivatives for Optoelectronic Applications" Molecules 28, no. 4: 1744. https://doi.org/10.3390/molecules28041744
APA StyleAl-Zahrani, S. A., Khan, M. T., Jevtovic’, V., Masood, N., Jeilani, Y. A., & Ahmed, H. A. (2023). Design of Liquid Crystal Materials Based on Palmitate, Oleate, and Linoleate Derivatives for Optoelectronic Applications. Molecules, 28(4), 1744. https://doi.org/10.3390/molecules28041744

