Abstract
6-Bromopyridine-2-carbaldehyde (abbreviated as BPCA) is used both as a building block in supramolecular chemistry and as a ligand for transition metal catalysts and luminescent complexes. In this study, the structure and vibrational spectra of BPCA were investigated in both the room temperature neat crystalline phase and for the compound isolated in cryogenic Ar, Kr and Xe matrices. The experimental studies were complemented by quantum chemical DFT(B3LYP)/6-311++G(d,p) calculations. For the crystalline compound, infrared and Raman spectra were obtained and interpreted. Comparison of the obtained infrared spectrum of the crystal with those obtained for the isolated molecules of BPCA in the studied cryomatrices helped to conclude that the intermolecular interactions in the crystal do not significantly perturb the intramolecular vibrational potential. Structural analysis further supports the existence of weak coupling between the intermolecular interactions and the structure of the constituting molecular units in crystalline state. The intermolecular interactions in the BPCA crystal were also evaluated by means of Hirshfeld analysis, which revealed that the most important interactions are weak and of the H…N, H…O, H…H, H…Br and Br…Br types. The conformer of BPCA present in the crystal was found to correspond to the most stable form of the isolated molecule (trans), which bears stabilizing C–H…O=C and C(=O)H…N interactions. This conformer was shown to be the single conformer present in the as-deposited cryogenic matrices prepared from the room temperature gaseous compound. Broadband UV irradiation of matrix-isolated BPCA (λ ≥ 235 nm) resulted in the conversion of the trans conformer into the higher-energy cis conformer, where repulsive C–H…H–C(=O) and C=OLP…LPN (where LP designates a lone electron pair) interactions are present, and decarbonylation of the compound with formation of 2-bromopyridine (plus CO). The decarbonylation reaction was found to be more efficient in the more polarizable Xe matrix, indicating stabilization of the radicals initially formed upon breaking of the C–C(HO) and C–H (aldehyde) bonds in this medium, and testifying the occurrence of the decarbonylation reaction with involvement of radical species. TD-DFT calculations were used to access the nature of the excited states associated with the observed UV-induced reactions. As a whole, this study provides fundamental data to understand the physicochemical behavior of the compound, bridging the properties of the isolated molecule to those of the neat crystalline com-pound. Such information is of fundamental importance for the understanding of the role of BPCA in supramolecular chemistry and to potentiate its applications in synthesis and as a ligand for transition metal catalysts and luminescent complexes.
1. Introduction
6-Bromopyridine-2-carbaldehyde (abbreviated as BPCA) is used both as a building block in supramolecular chemistry and as a ligand for transition metal catalysts and luminescent complexes [1,2]. The compound has also been used in the synthesis of porphyrins [3].
From the structural point of view, BPCA appears as an interesting compound due to the following characteristics: (i) the molecule of the compound possesses an internal rotational degree of freedom (the torsion around the exocyclic C–C bond), so that different conformers can be expected to exist; (ii) the location of the aldehyde substituent at the ortho position to the pyridine nitrogen atom can be anticipated to lead to relevant conformation-dependent intramolecular interactions between these two moieties; (iii) the presence of the voluminous, strongly polarizable bromine substituent in the molecule opens expectations regarding its importance in determining fundamental characteristics of the crystal structure of the compound; (iv) the unimolecular photochemistry of the isolated molecules of the compound appears as an interesting topic to be investigated, considering the a priori possibility of occurrence of both UV-induced conformational isomerization [4,5,6] and photofragmentation reactions, specifically decarbonylation [6,7,8], pyridine ring valence isomerization [9,10,11], and Br atom extrusion [12,13]. The investigation of all these characteristics appears as a fundamental step for the detailed understanding of the physicochemical behavior of BPCA, bridging the properties of the isolated molecule to those of the neat crystalline compound and potentiating its use in supramolecular chemistry, in synthesis, and other practical applications, as those mentioned above.
The crystalline structure of BPCA is known [14], the crystals being monoclinic, space group P21/a (no. 14), with a = 6.908(2) Å, b = 6.290(4) Å, c = 15.060(6) Å, and β = 95.57(3)°, at 290 K, and four molecules per unit cell (Z = 4). In the crystal, the molecules are essentially planar (with an r.m.s. deviation of 0.006(4) Å for non-H atoms) and assume a conformation where the oxygen aldehyde atom points to the opposite direction of the nitrogen ring-atom (trans form). Molecules are linked into chains along the direction of the crystallographic b axis by weak intermolecular C–H...N hydrogen-bond-like interactions (dH…N = 2.53(6) Å; dC…N = 3.534(7) Å; ∠C–H…N = 167(4)°) and form columns along the a axis direction, where the molecules are symmetry related by a 21 screw-axis symmetry transformation, so that in adjacent layers, they are rotated by ca. 180° in relation to each other, and the nitrogen atom of a given molecule stays nearly above the center of the rings of the neighboring molecules. When viewed along the direction of the b axis, the columns formed by the stacked BPCA molecules are separated by alternate regions containing C–H...O and C–H...Br contacts (dH…O = 2.64(6) Å; dC…O = 3.482(7) Å; ∠C–H…O = 138(4)°; dH…Br = 3.24(6) Å; dC…Br = 4.033(6) Å; ∠C–H…Br = 148(5)°) (see Figure S1 in the Supporting Information) [14]. To the best of our knowledge, no other structural, vibrational or photochemical studies (either experimental or theoretical) have been reported on BPCA, although its mass spectrum (MS) and room temperature infrared (IR) spectrum are available in SpectraBase (spectrum ID: zJEhEVy4MC and 2XLMvrNG6Oo, respectively) [15].
In the present study, in order to structurally and vibrationally characterize BPCA in detail, and in particular in aiming to bridge the properties of the isolated molecule to those of the neat crystalline compound, BPCA was investigated in both the room temperature neat crystalline phase and isolated in cryogenic Ar, Kr and Xe matrices. The experimental studies were complemented by quantum chemical DFT(B3LYP)/6-311++G(d,p) calculations. For the crystalline compound, infrared and Raman spectra were obtained and interpreted, and the most important intermolecular interactions were evaluated by means of Hirshfeld analysis (which was performed using the X-ray diffraction structural data previously reported by Zhang and coworkers) [14]. The matrix-isolated molecules of the compound were also characterized structurally and vibrationally using infrared spectroscopy, and the results of the irradiation of the matrix-isolated molecules with broadband UV light (λ ≥ 235 nm) were evaluated. As described in detail below, both UV-induced conformational isomerization and decarbonylation of the compound, with formation of 2-bromopyridine (plus CO), were observed.
2. Experimental Methods
6-Bromopyridine-2-carbaldehyde was obtained commercially (purity > 97%) and used as purchased. For the study of the isolated molecules of the compound, the matrices were prepared by co-deposition of the sublimed BPCA and Ar, Kr or Xe (purity: N60, N48 and N48, respectively; all gases being obtained from Air Liquide) onto a CsI substrate assembled at the cold (15 K) tip of an APD Cryogenics DE-202A closed-cycle He-refrigerated cryostat. Absence of significant aggregates of the compound in the matrices was confirmed by inspection of the IR spectra, which do not show bands ascribable to these species. The compound was sublimed using a home-made variable temperature Knudsen cell, which was connected to the cryostat through a needle valve, both the cell and the valve nozzle being kept at room temperature (25 °C = 298.15 K) during deposition of the matrices. The temperature of the cold CsI window was measured at the sample holder using a silicon diode sensor and a temperature controller LakeShore 335 (accuracy: 0.1 K).
The matrix isolation IR spectra (in the 4000–400 cm−1 spectral range) were obtained using a Thermo Nicolet 6700 FTIR spectrometer, with 0.5 cm−1 spectral resolution. The spectrometer is equipped with a mercury cadmium telluride (MCT-B) detector and a Ge/KBr beam splitter, and was continuously purged by a stream of dry, CO2-filtered air during the experiments in order to minimize interference of atmospheric H2O and CO2. The IR spectrum of the solid crystalline compound was obtained in the attenuated total reflection mode (ATR) using a Thermo Scientific FTIR Nicolet iS5 system, with an iD7 ATR accessory (angle of incidence: 45°; crystal: diamond). The spectrum was recorded with spectral resolution of 2 cm−1, in the wavenumber range of 4000–400 cm−1, being the average of 64 scans. Raman data were obtained for the powder of the compound (after fine grinding of the crystalline material), at room temperature, in a Raman Horiba LabRam HR Evolution system, with excitation at λ = 532 nm. The spot diameter of the laser was approximately 1 µm and was focused on the sample through a 50× long-working-distance objective (numerical aperture 0.5). A laser power of ~5 mW (at the sample) was used, the final spectra being the average of 50 accumulations of individual spectra collected during 10 s, with the spectral resolution of 2.0 cm−1. The calibration of the system was performed using as reference the silicon crystal Raman peak at 520.5 cm−1. The UV–visible (UV–vis) spectrum of the compound (in ethanol solution) was recorded, in the range of 170–800 nm, at room temperature, in a 10 mm path length high-precision quartz cell, using a ScanSpec UV–vis ScanSci spectrometer, with an auxiliary Hamamatsu light source (model L10761) (integration time per point: 4 s; counts: 50).
UV irradiations of the matrices were carried out through an external KBr window of the cryostat (cut-off wavelength: 235 nm) using a high-pressure 200 W Hg(Xe) lamp (Newport, Oriel Instruments), the infrared component of the light beam being filtered by means of a water filter (path length: 9.5 cm).
3. Computational Details
The Density Functional Theory (DFT) calculations were performed with Gaussian 09 (A.02 revision) [16] using the B3LYP functional [17,18,19] and the 6-311++G(d,p) basis set [20,21,22], the optimized structures of the stationary points described in this study being confirmed to correspond to a true minimum or a first-order transition state by analysis of the corresponding Hessian matrix.
Calculated harmonic vibrational frequencies and intensities (obtained at the same level of theory) were used to simulate the spectra presented in the figures, by convolution with Lorentzian functions (full width at half maximum: 1.5 cm−1). The calculated wavenumbers were scaled down by 0.983 and 0.955, below and above 1800 cm−1, respectively, to account for the incomplete nature of the basis set, approximated theoretical method and, mostly, anharmonicity. Assignments were made with help of normal coordinate analysis calculations following the procedure first described by Schachtschneider and Mortimer [23], the chosen internal coordinates being defined as recommended by Pulay et al. [24] (see Tables S1 and S2 in the Supporting Information).
Time-dependent DFT (TD-DFT) calculations were carried out using with the long-range corrected CAM-B3LYP [25] Coulomb attenuated function (which has been shown to provide accurate vertical excitation energies for a wide variety of organic molecules) [26], together with the 6-311++G(d,p) basis set. The bulk solvent effects of ethanol were considered within the polarizable continuum model (PCM) framework, using the integral equation formalism variant (IEFPCM) [27,28].
Hirshfeld surface analysis [29,30] was undertaken using the Crystal Explorer 17.5 software [31], with the structure input file of BPCA obtained in the CIF format [14].
4. Results and Discussion
4.1. DFT Calculations: Conformers, Relative Energies and Barriers for Conformational Isomerization
The molecule of BPCA has a single conformationally relevant internal degree of freedom, which is the rotation around the exocyclic C–C bond connecting the aldehyde group to the aromatic ring. Two Cs symmetry planar conformers (cis and trans forms, represented in Figure 1) were found on the potential energy surface of the molecule. The conformers differ in energy by 17.7 kJ mol−1, with the trans form being the most stable conformer (17.1 kJ mol−1, after consideration of the zero-point correction; ΔG°(298.15 K) = 16.7 kJ mol−1), and are separated by an energy barrier of 21.0 kJ mol−1 (19.3 kJ mol−1, upon consideration of the zero-point correction; ΔG°#(298.15 K) = 21.0 kJ mol−1) in the cis→trans direction (Figure 1). The estimated room temperature gas-phase equilibrium populations of the conformers were estimated from the calculated relative Gibbs energies (ΔG°(298.15 K)) using the Boltzmann equation, and amount to 99.9% (trans) and 0.1% (cis), i.e., in these conditions, only the most stable trans conformer is significantly populated.
Figure 1.
Conformers of BPCA and potential energy profile for their interconversion through rotation about the exocyclic C–C bond, as predicted at the DFT(B3LYP)/6-311++G(d,p) level of theory. Atom numbering is indicated. Atom color code: C, grey; O, red; N, blue; Br, orange; H, cyan.
The relative energy of the two conformers is mostly dictated by interactions between the aldehyde group and both the nitrogen and hydrogen atoms’ ortho to this substituent, which are stabilizing in the most stable trans conformer (being of the C–H…O=C and C(=O)–H…N types), and are repulsive in the higher-energy cis form (C–H…H–C(=O) and C=OLP…LPN interactions, where LP designates a lone electron pair). The attractive interactions in the trans conformer shall not be classified as intramolecular hydrogen bonds, since they do not satisfy the geometric criteria for this type of interaction [32,33], with the C–H7…O and C(=O)H…N angles being exceedingly small (93.5° and 70.9°, respectively). These interactions are better described as attractive bond–dipole/bond–dipole contacts, established between the pairs of nearly anti-parallel, charge-polarized bonds [(−δ)C–H7(+δ)/(−δ)O=C(+δ)], and [(−δ)C(=O)–H(+δ)/(−δ)N–C2(+δ)]. The repulsive interactions in the less stable cis conformer also have a bond–dipole/bond–dipole component; in this case, the dipoles associated with the interacting bonds are aligned in an approximately parallel fashion.
Table 1 presents some relevant structural parameters calculated for the two conformers of BPCA. This table also shows the corresponding experimental values measured in the crystal of the compound by X-ray diffraction (XRD) [14], for comparison. The full calculated optimized geometries of the conformers (Cartesian coordinates) are provided as Supporting Information (Table S3).
Table 1.
B3LYP/6-311++G(d,p) calculated selected geometrical parameters for the two conformers of BPCA and the corresponding observed values in the crystal of the compound a.
The distinct intramolecular interactions present in the conformers of BPCA lead to different geometrical parameters of the aldehyde group and its vicinity, while the C–Br bond length is predicted by the calculations to be nearly identical in both forms (1.924 and 1.925 Å, in conformers trans and cis, respectively). The exocyclic C2–C11 bond is shorter in the most stable trans conformer than in the cis form, this being partially determined by an increased π delocalization involving the aldehyde fragment and the aromatic ring in the trans conformer, and partially due to the augmented strain resulting from the repulsive interactions that operate in the cis conformer in comparison with the attractive interactions that are present in the trans form that have been mentioned above. Being the strongest repulsive interaction present in the cis conformer, the C=OLP…LPN interaction reflects itself also in the considerably larger N–C2–C11 and C–C=O angles in this conformer (118.1 and 125.3°, respectively), compared to the trans form (115.3 and 123.7°). The increase in the N–C2–C11 and C–C=O angles in the cis conformer is mostly compensated by the reduction of the C3–C2–C11 and O=C–H angles in going from the trans to the cis form, changing from 121.6 to 119.2° and from 122.5 to 121.2°, respectively. On the other hand, in accordance with a more important π electron delocalization from the aromatic ring to the aldehyde group, the calculated C=O bond length is longer in the trans conformer than in the cis form (1.208 vs. 1.203 Å).
In general, the calculated geometrical parameters for the trans conformer, which is also the form present in the crystal of the compound [14], do not differ considerably from the XRD experimental values, although the ring CC bonds and the C–Br bond have been predicted somewhat longer than observed. Noteworthy, the calculated angles fit very well to the experimental ones. Since the calculations were performed for the isolated molecule and the geometrical parameters are not affected by vibrational contributions, while the experimental values correspond to molecules in a crystal, subjected to intermolecular interactions, and the data are affected by vibrations, such a good correspondence between the calculated and experimentally determined geometrical parameters is an indication of the relatively small perturbations imposed by the intermolecular interactions present in the crystal of BPCA on the intramolecular potential. This indication is validated by both the spectroscopic and Hirshfeld analyses of crystalline BPCA, as it will be described in detail in Section 4.4.
An additional note shall be here made in relation to the energy barrier for conformational isomerization. In the cis→trans direction, this barrier was predicted to be 21.0 kJ mol−1 (see Figure 1), confirming that both conformers are located in well-defined minima and that at the low temperatures typical of a matrix isolation experiment (10–15 K) they cannot interconvert via the over-the-barrier process. In addition, to take place, the conformational isomerization has to involve a substantial movement of the aldehyde oxygen atom, so that the calculated isomerization barrier is certainly high enough to prevent spontaneous conversion of the cis conformer into the trans form via quantum mechanical tunneling. This means that, if the cis conformer can be generated in situ by any method, it can be expected to be stable under low temperature matrix isolation conditions, since both the over-the-barrier and tunneling-assisted processes are not accessible. As described in Section 4.3, this expectation was confirmed in the present study, with the cis conformer being produced by in situ UV excitation of the trans conformer initially trapped into the cryogenic matrices from the gas phase of the compound.
4.2. Infrared Spectra of Matrix-Isolated BPCA
Molecules of BPCA were isolated in Ar, Kr and Xe matrices as described in Section 2, the obtained spectra being presented in Figure 2, where they can be compared with the simulated IR spectrum of the trans conformer built using the B3LYP/6-311++G(d,p) calculated vibrational data (see Section 3 for details).
Figure 2.
Experimental IR spectra of BPCA isolated in Ar, Kr and Xe matrices (15 K), and simulated IR spectrum of the trans conformer of the molecule, built using the B3LYP/6-311++G(d,p) calculated vibrational data (frequencies were scaled as described in Section 3).
The calculated spectrum of the trans conformer fits very well the experimental spectra, indicating that only this form is present in the as-deposited matrices. The proposed assignments are provided in Table 2, together with the calculated potential energy distribution (PED) obtained from the performed normal coordinate analysis. Considering the very good agreement between the experimental and calculated data, the assignments are straightforward, and the following discussion focuses only on a few spectral features that deserve some additional comments.
Table 2.
Assignment of the IR spectrum of the as-deposited BPCA isolated in Ar, Kr and Xe matrices (conformer trans) and calculated PEDs a.
In the high-frequency region, the bands due to the three CH stretching ring modes are observed in the 3130–3045 cm−1 range, and those originating in the aldehyde C–H stretching mode are seen between 2860 and 2810 cm−1. As usually, the C–H stretching aldehyde mode gives rise to a complex-structured band appearing at considerably low frequencies. The multiplet profile of the band observed in all studied matrices results from matrix-site splitting (different trapping sites for the molecules) and Fermi resonance due to coupling with the first overtone of a mixed CH ring in-plane bending and ring stretching mode whose fundamental is observed in the 1440–1416 cm−1 range (calculated value: 1431 cm−1). The low frequency of the aldehyde C–H stretching mode results from the weakening of the C–H aldehyde bond due to the back-donation effect from the lone electron pair of the carbonyl oxygen atom in position trans to the bond [34,35]. Matrix-site splitting is also observed in all matrices for most of the other observed bands, and Fermi resonances also account for the complex structure exhibited by some of other bands, as it will be highlighted below. The CH stretching ring modes are of low intensity but are clearly identifiable, and their frequencies follow the usual pattern in the different matrices, decreasing going from the Ar to the Kr to the Xe matrix. It is well known that for this type of vibration, an increased polarizability of the matrix host material (Ar < Kr < Xe) slightly changes the intramolecular vibrational potential resulting in smaller force constants for the vibrational oscillators and, consequently, in a shift to lower frequency values [36].
As for the CH aldehyde stretching mode, the C=O stretching vibration (predicted at 1751 cm−1) also gives rise to a complex band in all matrices, showing matrix-site splitting features coupled to Fermi resonance, the latter noticeable by the appearance of two major groups of bands in the 1740–1715 and 1715–1700 cm−1 frequency ranges. The Fermi doublet results from the interaction of the C=O stretching fundamental with the first overtone of a vibration with major contribution of the exocyclic C–C stretching coordinate, whose fundamental is also observed as a multi-maxima feature with main maximum at around 860 cm−1 (predicted at 849 cm−1). By looking to the calculated vs. experimental spectra represented in Figure 1, it appears at first sight that the intensity of the C=O stretching band is considerably overestimated by the calculations. However, this is not the case, since the total intensity behind the complex-band profile ascribable to this mode spawns for a wide range of frequency, and it is the highest of all bands appearing in the spectrum of BPCA in all investigated matrices.
Another vibration giving rise to a clearly visible Fermi doublet, split by matrix-site effects, is the ring stretching mode, mainly localized in the C4–C5 bond and the C6–N–C6 fragment (νring2), which has component-bands in the ~1600–1570 and 1570–1550 cm−1 ranges (predicted at 1569 cm−1). According to the calculations, also contributing to the total intensity of these spectral features is the ring stretching mode (νring1) that is essentially localized in the C2–C3 and C5–C6 bonds and is predicted at 1578 cm−1, as a low IR intensity vibration (see Table 2).
The assignment of the remaining bands is straightforward, since they are all very well predicted by the calculations (see Table 2 and Figure 1). The in-plane and out-of-the-plane CH aldehyde bending modes are observed in the 1350–1340 and 1010–1000 cm−1 ranges (calculated values: 1346 and 1011 cm−1), while the exocyclic C–C coordinate contributes significantly to the vibration associated with the band observed at ca. 475–470 cm−1 (predicted 468 cm−1) as well as to the mode related with the bands observed in the 1225–1205 cm−1 range (predicted at 1220 cm−1, and appearing as a Fermi doublet via interaction with the first overtone of the in-plane ring bending mode (δring2) whose fundamental is observed around 630 cm−1; predicted at 634 cm−1), besides to the above mentioned band observed at around 860 cm–1. The C–Br stretching coordinate contributes significantly to the band-doublet observed around 710 cm−1 (calculated 706 cm−1), which is the mode with a frequency above 400 cm−1 that presents the largest PED contribution of the C–Br stretching coordinate (the mode with highest contribution from the C–Br stretching coordinate has a calculated frequency of 297 cm−1, which lies below the range of frequencies investigated).
The aldehyde torsional mode is predicted at 95 cm−1, as the lowest frequency vibration, lying in a spectral region not accessible to our infrared spectroscopy experiments. In the Raman spectrum of the crystalline BPCA, a band is observed at 79 cm−1 (see Section 4.4) that seems to be the best candidate for this torsional vibration (there is also a band in the Raman spectrum observed at 93 cm−1, but with an intensity much lower than the predicted one, and that is probably due to an intermolecular mode).
4.3. UV-Induced Rotamerization in Matrix-Isolated BPCA
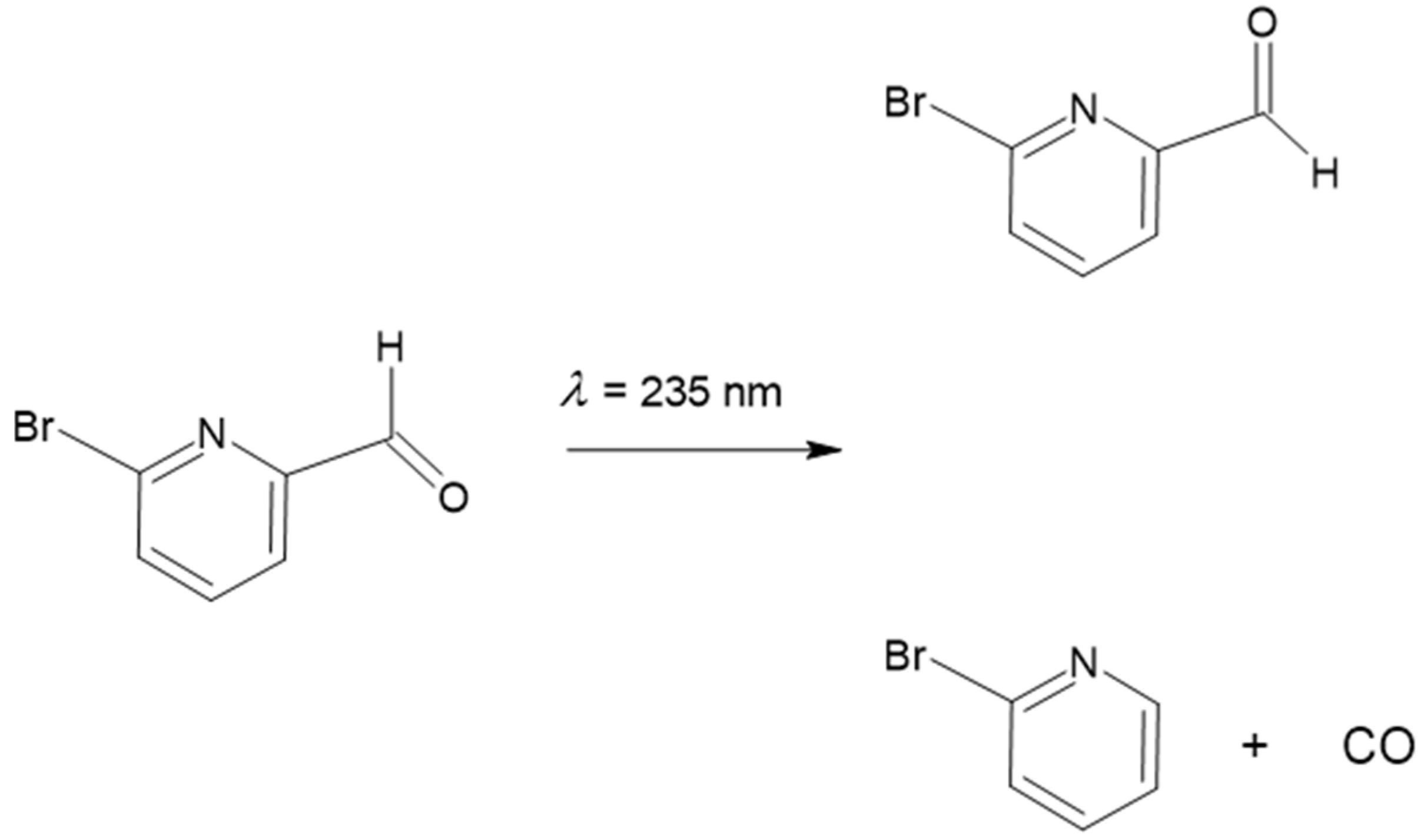
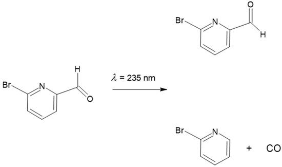
The matrix-isolated BPCA was subjected to UV radiation (λ ≥ 235 nm), as described in Section 2. The UV irradiation led to consumption of the initially deposited trans conformer and emergence of new bands in the spectra. As shown in Figure 3, the performed irradiation promoted both trans→cis BPCA conformational isomerization and decarbonylation (with production of 2-bromopyridine and CO). In the figure, the experimental IR difference spectrum obtained in the Xe matrix (irradiated matrix minus as-deposited matrix) is compared with the simulated IR difference spectrum built using the B3LYP/6-311++G(d,p) calculated spectra of the two BPCA conformers, and that of 2-bromopyridine. The results obtained in the other studied matrices (Ar and Kr) were similar, but the reactions were found to be less efficient. Under the irradiation conditions used (see Section 2), the photo-induced processes showed a low efficiency; in the most favorable case of the Xe matrix experiments, the total consumption of the reactant species was only about 5% after 180 min. of irradiation, as determined by comparing the relative intensities of the bands of the trans BPCA conformer before and after irradiation.
Figure 3.
Experimental IR difference spectrum (UV-irradiated Xe matrix minus as-deposited matrix (A), and simulated IR spectrum built using the B3LYP/6-311++G(d,p) calculated vibrational data (frequencies were scaled as described in Section 3), with bands due to BPCA conformer cis and to 2-bromopyridine pointing up and bands due to BPCA conformer trans pointing down (B). The irradiation was performed at λ ≥ 235 nm for 180 min.
The assignment of the new bands originated in the cis conformer of BPCA are given in Table 3, together with the results of the normal coordinate analysis performed for this form. As it can be seen, from the 19 modes of conformer cis predicted to give rise to intense or medium intensity (≥5 km mol−1) infrared bands above 400 cm−1, 17 were observed experimentally after UV irradiation, at frequencies matching very well the calculated ones. Once formed, the cis conformer was found to be stable in the matrices, as predicted (see discussion in Section 4.1).
Table 3.
Assignment of the IR spectrum of the photoproduced cis conformer of BPCA in Ar, Kr and Xe matrices and calculated PEDs a.
In the cis conformer, the CH stretching mode of the aldehyde group is observed at a considerably lower frequency compared to that of the trans form (2732 vs. 2847–2818 cm−1, respectively, in the Xe matrix), and it appears as a single band, indicating that in the cis form, the aldehyde CH stretching vibration is not participating in any Fermi resonance interaction (the data also show that matrix-site splitting is less significant for the photo-generated cis conformer). Because the aldehyde CH stretching vibration is shifted to a much lower frequency, the Fermi resonance that is observed in trans BPCA is removed in the cis form, since the frequency of the coupled mode is nearly the same in the two conformers (1436–1416 cm−1 in the trans conformer, and 1427 cm−1 in the cis form; Xe matrix data).
The occurrence of the decarbonylation reaction is clearly seen by the appearance of the characteristic band of carbon monoxide at 2133 cm−1 [37], while mark-bands of 2-bromopyridine are observed at 1577, 1451, 1417, 1113/1109, 1080, 1044, 760 and 703 cm−1 (Xe matrix data), matching well those predicted by the calculations for this compound at 1581/1577, 1455, 1420, 1106, 1077, 1042, 760 and 701 cm−1, respectively. Assignments in all matrices are provided in Table 4.
Table 4.
Assignment of the IR spectrum of the photoproduced 2-bromopyridine in Ar, Kr and Xe matrices and calculated PEDs a.
An interesting observation is that among the bands emerging upon irradiation, those ascribed to 2-bromopyridine are considerably broader than those assigned to the cis BPCA conformer, a result that can be explained by the fact the photoproduced 2-bromopyridine molecules have to share the original matrix-cage with CO.
The spectra of the irradiated matrices do not show any evidence of occurrence of other photo-induced reactions, in particular pyridine ring valence isomerization [9,10,11] and Br atom extrusion [12,13].
The decarbonylation of aromatic aldehydes has been observed frequently as a result of UV irradiation of these type of compounds under matrix isolation conditions [6,7,8,38]. The fact that the reaction was found to be more efficient in the Xe matrix indicates stabilization of the radical species initially formed upon breaking of the C–C(HO) and C–H (aldehyde) bonds, in this medium. Recombination of the radicals formed in the matrix cage originally occupied by the BPCA molecule is a very probable event, justifying the reduced efficiency of the observed decarbonylation process, in particular in the matrices made by the smaller Ar and Kr host atoms, which can better accommodate the guest molecules and generate smaller trapping cages.
Prompt recombination of radical species can also justify the fact that the Br atom extrusion reaction was not observed for the matrix-isolated compound. However, in gas phase, according to the mass spectrum of BPCA [15], which is presented and duly assigned in Figure S2 (Supporting Information), the major species resulting from the fragmentation of the BPCA molecule are the [C5NH3Br+H]+ and [C5NH3+H]+ ions, which are compatible with the occurrence of decarbonylation and decarbonylation+debromination reactions, respectively, upon electron ionization (which shall then also produce the CO, H2, H2CO and HBr neutral species, which are not detectable in the mass spectra). Observation of the [CHO]+ ion in the mass spectra of BPCA (see Figure S2) is an additional proof of the relevance of the decarbonylation reaction, while the observation of the [C4H3]+ and [C4H3–H]+ ions indicates that the fragmentation of the pyridine ring upon electron ionization also takes place and shall also lead to production of HCN and ethylene. Naturally, under matrix-isolation conditions and upon the less energetic UV irradiation (compared to electron bombardment at ~70 eV used in the mass spectrometry experiments), the pyridine fragmentation cannot take place.
The performed UV irradiation was made using broadband radiation with λ ≥ 235 nm (see Section 2). In the UV, BPCA shows absorption bands with maxima at 283.4/276.8 and 238.4 nm (in ethanol solution; Figure 4), which according to the performed TD-DFT calculations, shall be assigned mostly to the HOMO→LUMO and HOMO→LUMO+1 transitions, respectively (Table 5). The performed irradiations led to excitation to the S2 to S5 states and can be expected to allow for facile intersystem crossing to the triplet manifold, considering the existence of nine triplet states with energy below S5, where the bond cleavages leading to formation of the intermediate radical species involved in the decarbonylation of BPCA take place [39]. On the other hand, taking into account previous results for other aromatic aldehydes [4,5,6,7,8,38], the observed photo-induced trans→cis BPCA conformational isomerization occurs, much probably, in the singlet manifold (either in S1 or S0, after internal conversion).
Figure 4.
Room temperature UV–vis absorption spectrum of BPCA in ethanol solution (0.7 mM).
Table 5.
Vertical excitation energies, wavelengths, oscillator strengths and main contributions to the excited states of BPCA (trans conformer) calculated at the TD-DFT(CAM-B3LYP)6-311+G(d,p) level in ethanol.
4.4. Room Temperature IR and Raman Spectra of Crystalline BPCA and Intermolecular Interactions in the Crystal
As mentioned in the Introduction (Section 1), the structure of the BPCA crystal has already been reported [14]. The crystal belongs to the P21/a (no. 14) point group, which exhibits an inversion center, so that its IR and Raman spectra must obey the rule of mutual exclusion. These spectra (obtained for the powdered neat compound) are shown in Figure 5, where they are compared with the corresponding calculated spectra for the trans conformer (the form existing in the crystal of the compound) [14]. The infrared spectrum of the matrix-isolated trans conformer of BPCA (Xe matrix data; already presented in Figure 2) is also included in the figure for a direct comparison with the spectrum of the neat solid BPCA.
Figure 5.
Experimental room temperature IR (A) and Raman (B) spectra of crystalline neat BPCA, compared to the corresponding simulated spectra built based on the DFT(B3LYP)/6-311++G(d,p) data (C,D). The spectrum of the isolated compound in the Xe matrix at 15 K is also shown for comparison (E). The calculated frequencies were scaled as described in Section 3.
As sown in Figure 5, both IR and Raman spectra of crystalline BPCA are very well reproduced by the corresponding calculated spectra of the isolated trans conformer molecule. In addition, the infrared spectrum of the crystalline phase (which matches the one included in SpectraBase, spectrum ID 2XLMvrNG6Oo) [15] is very similar to those of the matrix-isolated molecules of the compound. These results demonstrate that the intermolecular interactions existing in the room temperature crystal of BPCA do not significantly perturb the intramolecular vibrational potential of the molecule.
The assignment of the spectra of crystalline BPCA is given in Table 6 and did not pose any particular difficulty, considering their resemblance to those predicted theoretically (and to the matrix spectra). As all other spectral regions analyzed, the region below 400 cm−1 of the Raman spectrum is also very well reproduced by the spectrum calculated for the trans conformer of BPCA, the predicted bands at 297, 271, 225, 163, 151 and 95 cm−1 having experimental counterparts observed at 301, 276, 229, 181, 167 and 79 cm−1, all of them showing a good match also regarding intensities (see Figure 5). Bands due to intermolecular modes are observed at 138, 93 and ~54 cm−1. The band at 93 cm−1 appears at a frequency very close to that predicted for the aldehyde torsional vibration, but its relative intensity is too low compared to that predicted for this mode by the calculations, which in turn is well described by the intensity of the band observed at 79 cm−1, thus justifying the proposed assignments for these two bands.
Table 6.
Assignment of the room temperature IR and Raman spectra of BPCA crystal a.
It can be seen in Table 6 that the frequencies of the bands observed in the IR and Raman spectra are very similar, i.e., for most of the vibrations, the Davydov splitting (factor group splitting) is very small (≤2 cm−1), with a maximum value of 5 cm−1 for the ring torsional mode (τring3), which implies a considerable movement of both the N atom and of the C–H bond in position para. This observation is in agreement with the conclusion, extracted from the comparison of both the structural parameters and vibrational spectra observed for the crystalline material with those of the isolated BPCA molecule (Section 4.1 and the paragraph above), that the intermolecular interactions in the BPCA crystal do not significantly perturb the intramolecular potential.
In order to better characterize the dominant intermolecular interactions in the crystal of the studied compound, the Hirshfeld surface analysis method [29,30,31] was used. Maps of the normalized contact distances, dnorm, to the calculated Hirshfeld surface (plotted on the surface itself) and the respective 2D-fingerprint plots were obtained and are shown in Figure 6. The normalized contact distances (dnorm) are calculated from the distances of a given point of the surface to the nearest atom outside, de, and inside, di, the surface, as (where rivdW are the van der Waals radii), and they allow for the identification of the most important intermolecular contacts in the crystal [29,30,31]. The 2D-fingerprint plots are used to condense the information about the different types of contacts and enable to access their relative importance [29,30,31]. In Figure 6, the percentages of the Hirshfeld surfaces assigned to the different types of contacts (de vs. di), which are shown graphically in the 2D-fingerprint plots, are also given.
Figure 6.
Three-dimensional dnorm maps on the Hirshfeld surface of the asymmetric unit cell of crystalline BPCA [14] and the corresponding 2D fingerprint plots (de vs. di), showing the most relevant types of short contacts present in the crystal. Fractional areas (in %) of the Hirshfeld surface assigned to the different intermolecular contacts are also provided in the figure, corresponding to the blue areas in the pictures.
As shown in the 2D-fingerprint maps depicted in Figure 6, the shortest contacts between neighbor molecules in the BPCA crystal are longer than 2.4 Å, which means that they are not particularly short. This is in agreement with the above conclusions that the intermolecular interactions in the BPCA crystal are not strong. The strongest intermolecular interactions, which correspond to the peaks appearing in the left-down quarter of the fingerprint maps, are: (i) the H…N/N...H contact that links the BPCA molecules into chains along the direction of the b axis of the crystal via C–H...N hydrogen-bond-like interactions (dH…N = 2.53(6) Å; dC…N = 3.534(7) Å; ∠C–H…N = 167(4)°), where the para C4–H bond of the pyridine ring acts as donor (see also the dnorm map on the Hirshfeld surface corresponding to the H…N/N...H interactions shown in Figure 7, where the region corresponding to this short contacts is highlighted), (ii) the bifurcated H…O/O...H contacts (better represented as (H′)(H″)…O/(O′)(O″′)...H contacts, where the plicas distinguish different neighboring molecules) formed between the aldehyde oxygen atoms and the meta H7 hydrogen atoms (in position 3 of the pyridine ring) of neighboring molecules belonging to vicinal columns of BPCA units that are constructed along the a axis direction (see Figure S1) (dH…O = 2.64(6) Å; dC…O = 3.482(7) Å; ∠C–H…O = 138(4)°), and (iii) the H…H contacts between the stacked BPCA molecules in the columns, established specifically between the para hydrogen (H8) atoms and between the meta (H7) and aldehyde hydrogen atoms of adjacent molecules (Figure S1). The whole set of H…N/N...H, H…O/O...H and H…H interactions is associated with 40% of the total surface area of the dnorm map on the Hirshfeld surface (6.2%, 19.2% and 15.2%, respectively).
Also relevant, comprehending 27.7% of the total surface area of the dnorm map on the Hirshfeld surface, are the H…Br/Br...H contacts, in which the pyridine ring meta H9 hydrogen atoms participate (see Figure 6). These interactions are established between neighboring molecules belonging to vicinal columns of BPCA molecules defined along the a axis direction (dH…Br = 3.24(6) Å; dC…Br = 4.033(6) Å; ∠C–H…N = 148(5)°), in the inter-columns’ connecting regions that appeared alternating with the ones defined by the aldehyde moieties (see Figure S1). In these bromine-rich regions of the supramolecular architecture of the crystal, Br…Br contacts are also relevant and contribute to 5.8% of the total surface area of the dnorm map on the Hirshfeld surface, as shown in Figure 6.
In total, the most relevant contacts connecting the BPCA molecules in the crystal in the chains along the b axis direction (H…N/N...H) and those present in the two alternate distinct regions joining the columns of molecules formed along the a axis direction (H…O/O...H and H…H in the one side, and H…Br/Br...H and Br…Br in the other side) account for 74.1% of the dnorm map on the Hirshfeld surface, clearly revealing the major role of these interactions in defining the structure of the BPCA crystal. The essentially polarizability-dependent H…Br and Br…Br interactions play an important role in defining the BPCA crystal structure, and this role is similar to that of the mostly dipolarity-dependent H…O/O…H interactions in keeping the stacked columns of BPCA molecules held together. The remaining fraction (25.9%) of the dnorm map on the Hirshfeld surface is mainly associated with C…C (7.3%), H…C/C…H (6.6%) and C…N/N…C (6.5%) contacts, which are related with the staking of the BPCA molecules in the columns.
To further evaluate the strength of the whole set of intermolecular interactions in crystalline BPCA, it is interesting to compare the melting point (at 1 atm.) of the compound with those of related compounds. Along the F, Cl, Br series of 6-halogeno-pyridine-2-carbaldehydes, the fluoro-substituted compound is a liquid at normal pressure (as they are pyridine, 2-bromopyridine and pyridine-2-carbaldehyde, whose melting points are –41.6, −40.1 and −21 °C, respectively) [40], while both the chloro- and bromo-substituted derivatives are solids with melting points of 69–70 and 77–78 °C, respectively [41]. These data indicate that the presence of the more polarizable halogen substituent at position-6 of the pyridine ring leads to an increase in the strength of the intermolecular interactions in the crystals of the 6-halogeno-pyridine-2-carbaldehydes, in agreement with the Hirshfeld analysis results presented above for BPCA, which reveal the relevance of the Br-polarizability-associated interactions to stabilize the crystal structure of the compound. The effect of the halogen substitution in the pyridine ring on the melting point is synergic with the simultaneous presence of the aldehyde substituent at position-2 of the ring, since the sole presence of either the bromo or aldehyde substituent in the ortho position of the pyridine ring does not appreciably change the melting point. Nevertheless, pyridine-2-carbaldehyde has a melting point higher than 2-bromopyridine, an observation that is in agreement with the Hirshfeld analysis performed on the crystal of BPCA. In fact, while as mentioned above both the H…Br and Br…Br interactions and the H…O interactions in the crystal of BPCA play similar structural roles in keeping the stacked columns of BPCA molecules held together, the Hirshfeld analysis revealed that the latter interactions are considerably stronger.
5. Conclusions
In this study, 6-bromopyridine-2-carbaldehyde was studied both in the room temperature crystalline phase and isolated in cryogenic matrices (Ar, Kr and Xe). The main experimental technique used was infrared spectroscopy, while theoretical calculations at the DFT(B3LYP) level of approximation were also performed.
In the low-temperature matrices prepared from the room temperature gaseous compound, the isolated molecules of BPCA were shown to exist in a single conformer, trans, which could be characterized in detail vibrationally. This conformer (which is also the form present in the room temperature crystal of the compound) is stabilized by C–H…O=C and C(=O)H…N interactions that have an essentially bond–dipole/bond–dipole character. Broadband UV irradiation of the matrix-isolated BPCA (λ ≥ 235 nm) resulted in the conversion of the trans conformer into the higher-energy cis conformer, where repulsive C–H…H–C(=O) and C=OLP…LPN (where LP designates a lone electron pair) interactions are present, as well as decarbonylation of the compound with formation of 2-bromopyridine (and CO) (Figure 7). The generation of the higher-energy conformer of BPCA also allowed for its full vibrational characterization. The decarbonylation reaction was found to be more efficient in the more polarizable Xe matrix, indicating stabilization of the radicals initially formed upon breaking of the C–C(HO) and C–H (aldehyde) bonds in this medium and testifying the occurrence of the decarbonylation reaction with involvement of radical species.
TD-DFT calculations were used to access the nature of the excited states associated with the observed UV-induced reactions, showing that excitation takes place to the S2–S5 states. Subsequently, the molecule can undergo intersystem crossing to the triplet manifold (the TD-DFT calculations revealed that there are nine triplet states with energy below S5), where the bond cleavages leading to formation of the intermediate radical species involved in the decarbonylation of BPCA take place. On the other hand, the photo-induced trans→cis BPCA conformational isomerization occurs, much probably, in the singlet manifold (either in S1 or S0, after internal conversion). It was also concluded that under the used matrix-isolation conditions, no additional photo-induced reactions; in particular, pyridine ring valence isomerization and Br atom extrusion take place.
Figure 7.
Summary of the observed photochemical processes for matrix-isolated BPCA upon irradiation at λ = 235 nm.
Figure 7.
Summary of the observed photochemical processes for matrix-isolated BPCA upon irradiation at λ = 235 nm.

For the crystalline compound, infrared and Raman spectra were obtained and interpreted. Comparison of the obtained infrared spectrum of the crystal with those obtained for the isolated molecules of BPCA in the studied cryomatrices helped to conclude that the intermolecular interactions in the crystal do not significantly perturb the intramolecular vibrational potential. The existence of weak coupling between the intermolecular interactions and the structure of the constituting molecular units in crystalline state was also supported by the performed structural analysis and through Hirshfeld analysis. This latter revealed that the most important interactions in the BPCA crystal are weak and of the H…N, H…O, H…H, H…Br and Br…Br types, and indicated that the essentially polarizability-dependent H…Br and Br…Br interactions in the crystal of BPCA play a relevant role in stabilizing the crystal, which is similar to that of the mostly dipolarity-dependent H…O/O…H interactions, and that is mostly to ensure the stacked columns of BPCA molecules (formed along the direction of the crystallographic axis (a)) held together. The Hirshfeld analysis also indicated that, even though the H…Br and Br…Br interactions and the H…O interactions play similar structural roles in the crystal of BPCA, the latter interactions are considerably stronger, a result that is in consonance with the melting point data for the series of 6-halogeno-pyridine-2-carbaldehydes and the parent related compounds, pyridine, 2-bromopyridine and pyridine-2-carbaldehyde.
As a whole, this study provided fundamental data to understand the physicochemical behavior of the compound, bridging the properties of the isolated molecule to those of the neat crystal-line compound. Such information is of fundamental importance for the understanding of the role of BPCA in supramolecular chemistry and to potentiate its applications in synthesis and as a ligand for transition metal catalysts and luminescent complexes.
Supplementary Materials
The following supporting information can be downloaded at: https://www.mdpi.com/article/10.3390/molecules28041673/s1; Figure S1, different views of the packing for crystalline BPCA; Figure S2, the mass spectrum of BPCA, with peak assignments; Tables S1 and S2, the definition of the symmetry coordinates used in the BPCA and 2-bromopyridine normal coordinate analysis, respectively; Table S3, the DFT(B3LYP)/6-311++G(d,p) Cartesian coordinates for the optimized structures of the trans and cis conformers of BPCA.
Author Contributions
A.L.B.B.: spectroscopic and photochemical experiments, DFT calculations, structural, spectroscopic and photochemical data analysis; S.L.: spectroscopic and photochemical experiments, DFT calculations, structural, spectroscopic and photochemical data analysis; G.O.I.: TD-DFT calculations, normal coordinate analysis, Hirshfeld analysis; R.F.: conceptualization, data analysis, writing of the preliminary version of the manuscript, funding acquisition. All authors have read and agreed to the published version of the manuscript.
Funding
This work has been developed within the framework of the research project PTDC/QUI-QFI/1880/2020, funded by the Portuguese Science Foundation (“Fundação para a Ciência e a Tecnologia”; FCT). The CQC-IMS is supported by FCT through projects UI0313B/QUI/2020, UI0313P/QUI/2020 and LA/P/0056/2020 (national funds).
Acknowledgments
The authors acknowledge the Laboratory for Advanced Computing at University of Coimbra (LCA-UC; https://www.uc.pt/lca, accessed on 15 January 2023) for providing computing resources and Coimbra LaserLab (CLL) for experimental facilities.
Conflicts of Interest
The authors declare no conflict of interest.
References
- Li, X.; Gibb, C.L.D.; Kuebel, M.E.; Gibb, B.C. Two New ligands for Carbonic Anhydrase Mimicry. Tetrahedron 2001, 57, 1175–1182. [Google Scholar] [CrossRef]
- Orita, A.; Nakano, T.; Yokoyama, T.; Babu, G.; Otera, J. Double Elimination Protocol for Access to Pyridine-Containing Arylene-Ethynylenes. Chem. Lett. 2004, 33, 1298–1299. [Google Scholar] [CrossRef]
- Yamada, Y.; Tanaka, K. Metal-Induced Structural Switching of a Folded Quinone-Sandwiched Porphyrin. J. Inorg. Organomet. Polym. 2013, 23, 180–185. [Google Scholar] [CrossRef]
- Doddipatla, S.; Ferreira, G.I.; Gülseven Sıdır, Y.; Nunes, C.M.; Fausto, R. Breaking and Formation of Intramolecular Hydrogen Bonds in Dihydroxybenzaldehydes through UV-Induced Conformational Changes in a Low-Temperature Matrix. J. Phys. Chem. A 2022, 126, 8645–8657. [Google Scholar] [CrossRef]
- Brito, A.L.B.; Roque, J.P.L.; Sıdır, İ.; Fausto, R. Low-Temperature Infrared Spectra and Ultraviolet-Induced Rotamerization of 5-Chlorosalicylaldehyde. J. Phys. Chem. A 2022, 126, 5148–5159. [Google Scholar] [CrossRef]
- Ogruc Ildiz, G.; Konarska, J.; Fausto, R. UV-induced Conformational Isomerization and Photochemistry of 3-Chloro-4-methoxybenzaldehyde in Cryogenic Inert Matrices. J. Chem. Phys. 2019, 151, 104303. [Google Scholar] [CrossRef]
- Ogruc Ildiz, G.; Konarska, J.; Fausto, R. Structural Transformations of 3-Fluoro and 3-Fluoro-4-methoxy Benzaldehydes under Cryogenic Conditions: A Computational and Low Temperature Infrared Spectroscopy Investigation. Chem. Phys. 2018, 508, 7–19. [Google Scholar] [CrossRef]
- Cluyts, K.; Sharma, A.; Kuş, N.; Schoon, K.; Fausto, R. Matrix Isolation Infrared Spectroscopic Study of 4-Pyridinecarboxaldehyde and of its UV-induced Photochemistry. Spectrochim. Acta Part A Mol. Biomol. Spectrosc. 2017, 171, 207–212. [Google Scholar] [CrossRef]
- Lopes, S.; Gómez-Zavaglia, A.; Fausto, R. Low Temperature IR Spectroscopy and Photochemistry of Matrix-isolated a-Pyridil. J. Photochem. Photobiol. A Chem. 2008, 200, 169–180. [Google Scholar] [CrossRef]
- Hees, U.; Vogelbacher, U.-J.; Michels, G.; Regitz, M. Antiaromatic Compounds—24. Steric Effects on Valence Isomerizations in the Dewar Pyridine/Azaprismane/Pyridine System. Tetrahedron 1989, 45, 3115–3130. [Google Scholar] [CrossRef]
- Zhong, D.; Diau, E.W.-G.; Bernhardt, T.M.; De Feyter, S.; Roberts, J.D.; Zewail, A.H. Direct Observation of the Femtosecond Nonradiative Dynamics of Azulene in a Molecular Beam: The Anomalous Behavior in the Isolated Molecule. Chem. Phys. Lett. 1998, 298, 9785–9788. [Google Scholar]
- Han, K.-L.; He, G.-Z. Photochemistry of Aryl Halides: Photodissociation Dynamics. J. Photochem. Photobiol. C Photochem. Rev. 2007, 8, 55–66. [Google Scholar] [CrossRef]
- Liu, Y.-J.; Persson, P.; Lunell, S. Theoretical Study of the Fast Photodissociation Channels of the Monohalobenzenes. J. Phys. Chem. A 2004, 108, 2339–2345. [Google Scholar] [CrossRef]
- Zhang, H.-X.; Qin, D.-B.; Jing, L.-H.; Gua, S.-J.; Mao, Z.-H. 6-Bromopyridine-2-carbaldehyde. Acta Cryst. E Struct. Rep. 2006, 62, o1715–o1716. [Google Scholar] [CrossRef]
- John Wiley & Sons, Inc. SpectraBase. Available online: https://spectrabase.com/ (accessed on 2 January 2023).
- Frisch, M.J.; Trucks, G.W.; Schlegel, H.B.; Scuseria, G.E.; Robb, M.A.; Cheeseman, J.R.; Scalmani, G.; Barone, V.; Mennucci, B.; Hratchian, H.P.; et al. Gaussian 09 (Revision A.02); Gaussian, Inc.: Wallingford, CT, USA, 2016. [Google Scholar]
- Becke, A.D. Density-Functional Exchange-Energy Approximation with Correct Asymptotic Behavior. Phys. Rev. A 1988, 38, 3098–3100. [Google Scholar] [CrossRef]
- Lee, C.; Yang, W.; Parr, R.G. Development of the Colle-Salvetti Correlation-Energy Formula into a Functional of the Electron Density. Phys. Rev. B Condens. Matter 1988, 37, 785–789. [Google Scholar] [CrossRef]
- Vosko, S.H.; Wilk, L.; Nusair, M. Accurate Spin-Dependent Electron Liquid Correlation Energies for Local Spin Density Calculations: A Critical Analysis. Can. J. Phys. 1980, 58, 1200–1211. [Google Scholar] [CrossRef]
- McLean, A.D.; Chandler, G.S. Contracted Gaussian Basis Sets for Molecular Calculations. I. Second Row Atoms, Z = 11–18. J. Chem. Phys. 1980, 72, 5639. [Google Scholar] [CrossRef]
- Clark, T.; Chandrasekhar, J.; Spitznagel, G.W.; Schleyer, P.V.R. Efficient Diffuse Function-Augmented Basis Sets for Anion Calculations. III. The 3-21+G Basis Set for First-Row Elements, Li-F. J. Comput. Chem. 1883, 4, 294–301. [Google Scholar] [CrossRef]
- Frisch, M.J.; Pople, J.; Binkley, J.S. Self-Consistent Molecular Orbital Methods 25. Supplementary Functions for Gaussian Basis Sets. J. Chem. Phys. 1984, 80, 3265–3269. [Google Scholar] [CrossRef]
- Schachtschneider, J.H.; Mortimer, F.S. Vibrational Analysis of Polyatomic Molecules; VI. FORTRAN IV Programs for Solving the Vibrational Secular Equation and for the Least-Squares Refinement of Force Constants. Project No. 31450. Structural Interpretation of Spectra; Shell Development Co.: Emeryville, CA, USA, 1969. [Google Scholar]
- Pulay, P.; Fogarasi, G.; Pang, F.; Boggs, J.E. Systematic Ab Initio Gradient Calculation of Molecular Geometries, Force Constants, and Dipole Moment Derivatives. J. Am. Chem. Soc. 1979, 101, 2550–2560. [Google Scholar] [CrossRef]
- Yanai, T.; Tew, D.P.; Handy, N.C. A New Hybrid Exchange-Correlation Functional Using the Coulomb-Attenuating Method (CAM-B3LYP). Chem. Phys. Lett. 2004, 393, 51–57. [Google Scholar] [CrossRef]
- Jaquemin, D.; Perpète, E.A.; Scuseria, G.E.; Ciofini, I.; Adamo, C. TD-DFT Performance for the Visible Absorption Spectra of Organic Dyes: Conventional versus Long-Range Hybrids. J. Chem. Theory Comput. 2008, 4, 123–135. [Google Scholar] [CrossRef] [PubMed]
- Miertus, C.; Scrocco, E.; Tomasi, J. Electrostatic Interaction of a Solute with a Continuum. A Direct Utilizaion of Ab initio Molecular Potentials for the Prevision of Solvent Effects. J. Chem. Phys. 1981, 55, 117–129. [Google Scholar] [CrossRef]
- Tomasi, J.; Mennucci, B.; Cammi, R. Quantum Mechanical Continuum Solvation Models. Chem. Rev. 2005, 105, 2999–3094. [Google Scholar] [CrossRef]
- Spackman, M.A.; Byrom, P.G. A Novel Definition of a Molecule in a Crystal. Chem. Phys. Lett. 1997, 267, 215–220. [Google Scholar] [CrossRef]
- Spackman, M.A.; Jayatilaka, D. Hirshfeld Surface Analysis. CrystEngComm 2009, 11, 19–32. [Google Scholar] [CrossRef]
- Wolff, S.K.; Grimwood, D.J.; McKinnon, J.J.; Turner, M.J.; Jayatilaka, D.; Spackman, M.A. Crystal Explorer 17.5; University of Western Australia: Crawley, Australia, 2013. [Google Scholar]
- Arunan, E.; Desiraju, G.R.; Klein, R.A.; Sadlej, J.; Scheiner, S.; Alkorta, I.; Clary, D.C.; Crabtree, R.H.; Dannenberg, J.J.; Hobza, P.; et al. Definition of the hydrogen bond (IUPAC Recommendations 2011). Pure Appl. Chem. 2011, 83, 1637–1641. [Google Scholar] [CrossRef]
- Shahi, A.; Arunan, E. Why are Hydrogen Bonds Directional? J. Chem. Sci. 2016, 128, 1571–1577. [Google Scholar] [CrossRef]
- Fausto, R.; de Carvalho, L.A.E.B.; Teixeira-Dias, J.J.C.; Ramos, M.N. The s-cis and s-trans Conformers of Formic, Thioformic and Dithioformic Acids: An Ab Initio Study. J. Chem. Soc. Faraday Trans. 2 1989, 85, 1945–1962. [Google Scholar] [CrossRef]
- Chandra, A.K.; Nguyen, M.T.; Zeegers-Huyskens, T. Density Functional Calculations on Simple Carbonyl Bases: Protonation and Hydrogen Bond Formation with Water. Chem. Phys. 2000, 255, 149–163. [Google Scholar] [CrossRef]
- Dinu, D.F.; Podewitz, M.; Grothe, H.; Loerting, T.; Liedl, K.R. Decomposing Anharmonicity and Mode-coupling from Matrix Effects in the IR Spectra of Matrix-isolated Carbon Dioxide and Methane. Phys. Chem. Chem. Phys. 2020, 22, 17932–17947. [Google Scholar] [CrossRef] [PubMed]
- Abe, H.; Yamada, K.M.T. Infrared Spectra of Carbon Monoxide in Kr and Xe Matrices: Shifts of the Vibrational Line Positions. Struct. Chem. 2003, 14, 211–215. [Google Scholar] [CrossRef]
- Kuş, N.; Reva, I.; Fausto, R. Photoisomerization and Photochemistry of Matrix-Isolated 3-Furaldehyde. J. Phys. Chem. A 2010, 114, 12427–12436. [Google Scholar] [CrossRef]
- Shemesh, D.; Lan, Z.; Gerber, R.B. Dynamics of Triplet-State Photochemistry of Pentanal: Mechanisms of Norrish I, Norrish II, and H Abstraction Reactions. J. Phys. Chem. A 2013, 117, 11711–11724. [Google Scholar] [CrossRef]
- Zalat, O.A.; Elsayed, M.A. A Study on Microwave Removal of Pyridine from Wastewater. J. Environ. Chem. Eng. 2013, 1, 137–143. [Google Scholar] [CrossRef]
- Sauer, J.D. The Synthesis of Heteromacrocycles Containing the 2,6-Pyridine Moiety; Louisiana State University and Agricultural & Mechanical College, Historical Dissertations and Theses: Baton Rouge, LA, USA, 1976; pp. 138–139. Available online: https://digitalcommons.lsu.edu/gradschool_disstheses/2938 (accessed on 7 December 2022).
Disclaimer/Publisher’s Note: The statements, opinions and data contained in all publications are solely those of the individual author(s) and contributor(s) and not of MDPI and/or the editor(s). MDPI and/or the editor(s) disclaim responsibility for any injury to people or property resulting from any ideas, methods, instructions or products referred to in the content. |
© 2023 by the authors. Licensee MDPI, Basel, Switzerland. This article is an open access article distributed under the terms and conditions of the Creative Commons Attribution (CC BY) license (https://creativecommons.org/licenses/by/4.0/).





