New Succinimide–Thiazolidinedione Hybrids as Multitarget Antidiabetic Agents: Design, Synthesis, Bioevaluation, and Molecular Modelling Studies
Abstract
1. Introduction
2. Results
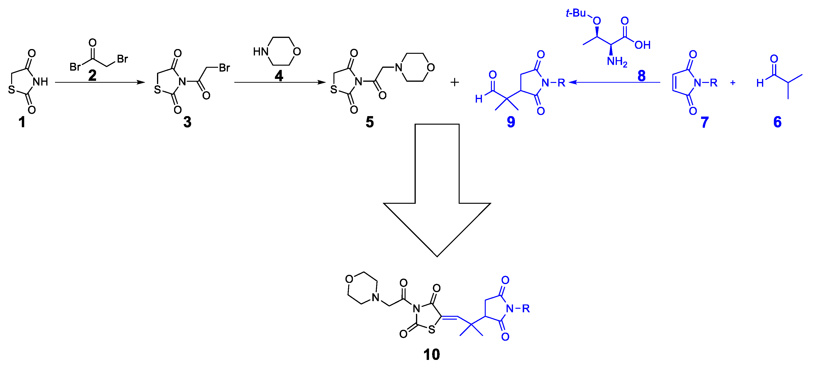
2.1. Chemistry of the Synthesized Compounds
2.2. In Vitro Antidiabetic Results
2.3. Molecular Docking on Target Proteins
2.4. Acute Oral Toxicity Study
2.5. In Vivo Antidiabetic Activity
2.6. Effect of Tested Compound on Lipid Profile
2.7. Effect of Compound 10d on Body Weight and Insulin Level
2.8. Effect of Tested Compound 10d on Liver and Renal Serum Biomarkers
3. Discussion
4. Materials and Methods
4.1. Step I: Reaction of Thiazolidinedione with Bromoacetyl bromide
4.2. Step II: Reaction of 3-(2-Bromoacetyl)thiazolidine-2,4-Dione with Morpholine
4.3. Step III: Reaction of Isobutyraldehyde with Maleimides
4.4. Step IV: Synthesis of Succinimide–Thiazolidinedione Derivatives
4.5. α-Glucosidase Inhibitory Activity
4.6. In Vitro α-Amylase Inhibitory Activity
4.7. PTP1B Assay
4.8. DPP-4 Activity Bioassay
4.9. Molecular Docking
4.10. Animals
4.11. Toxicological Screening
4.12. Selection of animals
4.13. Preparation of Animals
4.14. Calculation and Administration of Dose
4.15. Antidiabetic Activity
4.16. Animals Selection, Care, and Handling
4.17. Induction of Non-Insulin-Dependent Diabetes Mellitus (NIDDM)
4.18. Experimental Design
4.19. Insulin Level Estimation
4.20. Determination of Biochemical Parameters
5. Conclusions
Supplementary Materials
Author Contributions
Funding
Institutional Review Board Statement
Informed Consent Statement
Data Availability Statement
Acknowledgments
Conflicts of Interest
Sample Availability
References
- Tower, C.L. Diabetes mellitus. Obstet. Gynaecol. 2005, 68, 1360–1368. [Google Scholar]
- Wild, S.; Roglic, G.; Green, A.; Sicree, R.; King, H. Global prevalence of diabetes: Estimates for the year 2000 and projections for 2030. Diabetes Care 2004, 27, 1047–1053. [Google Scholar] [CrossRef]
- Liu, H.; Sridhar, V.S.; Boulet, J.; Dharia, A.; Khan, A.; Lawler, P.R.; Cherney, D.Z. Cardiorenal protection with SGLT2 inhibitors in patients with diabetes mellitus: From biomarkers to clinical outcomes in heart failure and diabetic kidney disease. Metabolism 2022, 126, 154918. [Google Scholar] [CrossRef]
- Nathan, D.M. Long-term complications of diabetes mellitus. N. Engl. J. Med. 1993, 328, 1676–1685. [Google Scholar] [CrossRef]
- Eisenbarth, G.S. Type I diabetes mellitus. N. Engl. J. Med. 1986, 314, 1360–1368. [Google Scholar] [PubMed]
- DeFronzo, R.A.; Ferrannini, E.; Groop, L.; Henry, R.R.; Herman, W.H.; Holst, J.J.; Hu, F.B.; Kahn, C.R.; Raz, I.; Shulman, G.I.; et al. Type 2 diabetes mellitus. Nat. Rev. Dis. Prim. 2015, 1, 15019. [Google Scholar] [CrossRef] [PubMed]
- Tisch, R.; McDevitt, H. Insulin-dependent diabetes mellitus. Cell 1996, 85, 291–297. [Google Scholar] [CrossRef] [PubMed]
- Ginter, E.; Simko, V. Type 2 diabetes mellitus, pandemic in 21st century. Diabetes 2013, 771, 42–50. [Google Scholar]
- Sadiq, A.; Rashid, U.; Ahmad, S.; Zahoor, M.; AlAjmi, M.F.; Ullah, R.; Noman, O.M.; Ullah, F.; Ayaz, M.; Khan, I.; et al. Treating hyperglycemia from Eryngium caeruleum M. Bieb: In-vitro α-glucosidase, antioxidant, in-vivo antidiabetic and molecular docking-based approaches. Front. Chem. 2020, 8, 558641. [Google Scholar] [CrossRef]
- Bhutani, P.; Joshi, G.; Raja, N.; Bachhav, N.; Rajanna, P.K.; Bhutani, H.; Paul, A.T.; Kumar, R. US FDA approved drugs from 2015–June 2020: A perspective. J. Med. Chem. 2021, 64, 2339–2381. [Google Scholar] [CrossRef]
- Mahnashi, M.H.; Alqahtani, Y.S.; Alqarni, A.O.; Alyami, B.A.; Alqahtani, O.S.; Jan, M.S.; Hussain, F.; Islam, Z.U.; Ullah, F.; Ayaz, M.; et al. Phytochemistry, anti-diabetic and antioxidant potentials of Allium consanguineum Kunth. BMC Complement. Med. Ther. 2022, 22, 154. [Google Scholar] [CrossRef] [PubMed]
- Mahnashi, M.H.; Alqahtani, Y.S.; Alqarni, A.O.; Alyami, B.A.; Jan, M.S.; Ayaz, M.; Ullah, F.; Rashid, U.; Sadiq, A. Crude extract and isolated bioactive compounds from Notholirion thomsonianum (Royale) Stapf as multitargets antidiabetic agents: In-vitro and molecular docking approaches. BMC Complement. Med. Ther. 2021, 21, 270. [Google Scholar] [CrossRef]
- Huneif, M.A.; Alqahtani, S.M.; Abdulwahab, A.; Almedhesh, S.A.; Mahnashi, M.H.; Riaz, M.; Ur-Rahman, N.; Jan, M.S.; Ullah, F.; Aasim, M.; et al. α-Glucosidase, α-Amylase and Antioxidant Evaluations of Isolated Bioactives from Wild Strawberry. Molecules 2022, 27, 3444. [Google Scholar] [CrossRef] [PubMed]
- Alshehri, O.M.; Mahnashi, M.H.; Sadiq, A.; Zafar, R.; Jan, M.S.; Ullah, F.; Alshehri, M.A.; Alshamrani, S.; Hassan, E.E. Succinimide Derivatives as Antioxidant Anticholinesterases, Anti-α-Amylase, and Anti-α-Glucosidase: In Vitro and In Silico Approaches. Evid. Based Complement. Altern. Med. 2022, 2022, 6726438. [Google Scholar] [CrossRef] [PubMed]
- Van de Laar, F.A.; Lucassen, P.L.; Akkermans, R.P.; Van de Lisdonk, E.H.; Rutten, G.E.; Van Weel, C. Alpha-glucosidase inhibitors for type 2 diabetes mellitus. Cochrane Database Syst. Rev. 2005, 28, 154–163. [Google Scholar] [CrossRef] [PubMed]
- Van de Laar, F.A. Alpha-glucosidase inhibitors in the early treatment of type 2 diabetes. Vasc. Health Risk Manag. 2008, 4, 1189. [Google Scholar] [CrossRef]
- Weykamp, C. HbA1c: A review of analytical and clinical aspects. Ann. Lab. Med. 2013, 33, 393–400. [Google Scholar] [CrossRef] [PubMed]
- Tran, Q.T.; Tan, W.D.; Wong, W.F.; Chai, C.L. Polypharmacology of andrographolide: Beyond one molecule one target. Nat. Prod. Rep. 2021, 38, 682–692. [Google Scholar] [CrossRef]
- Makhoba, X.H.; Viegas, C., Jr.; Mosa, R.A.; Viegas, F.P.; Pooe, O.J. Potential impact of the multi-target drug approach in the treatment of some complex diseases. Drug Des. Dev. Ther. 2020, 14, 3235. [Google Scholar] [CrossRef]
- Hines, L.E.; Murphy, J.E. Potentially harmful drug–drug interactions in the elderly: A review. Am. J. Geriatr. Pharmacother. 2011, 9, 364–377. [Google Scholar] [CrossRef]
- Javed, M.A.; Jan, M.S.; Shbeer, A.M.; Al-Ghorbani, M.; Rauf, A.; Wilairatana, P.; Mannan, A.; Sadiq, A.; Farooq, U.; Rashid, U. Evaluation of pyrimidine/pyrrolidine-sertraline based hybrids as multitarget anti-Alzheimer agents: In-vitro, in-vivo, and computational studies. Biomed. Pharmacother. 2023, 159, 114239. [Google Scholar] [CrossRef] [PubMed]
- Nugent, T.C.; Bibi, A.; Sadiq, A.; Shoaib, M.; Umar, M.N.; Tehrani, F.N. Chiral picolylamines for Michael and aldol reactions: Probing substrate boundaries. Org. Biomol. Chem. 2012, 10, 9287–9294. [Google Scholar] [CrossRef] [PubMed]
- Mahnashi, M.H.; Alshahrani, M.A.; Nahari, M.H.; Hassan, S.S.; Jan, M.S.; Ayaz, M.; Ullah, F.; Alshehri, O.M.; Alshehri, M.A.; Rashid, U.; et al. In-Vitro, In-Vivo, Molecular Docking and ADMET Studies of 2-Substituted 3, 7-Dihydroxy-4H-chromen-4-one for Oxidative Stress, Inflammation and Alzheimer’s Disease. Metabolites 2022, 12, 1055. [Google Scholar] [CrossRef]
- Ahmad, G.; Rasool, N.; Rizwan, K.; Imran, I.; Zahoor, A.F.; Zubair, M.; Sadiq, A.; Rashid, U. Synthesis, in-vitro cholinesterase inhibition, in-vivo anticonvulsant activity and in-silico exploration of N-(4-methylpyridin-2-yl) thiophene-2-carboxamide analogs. Bioorganic Chem. 2019, 92, 103216. [Google Scholar] [CrossRef]
- Hussain, F.; Khan, Z.; Jan, M.S.; Ahmad, S.; Ahmad, A.; Rashid, U.; Ullah, F.; Ayaz, M.; Sadiq, A. Synthesis, in-vitro α-glucosidase inhibition, antioxidant, in-vivo antidiabetic and molecular docking studies of pyrrolidine-2, 5-dione and thiazolidine-2, 4-dione derivatives. Bioorganic Chem. 2019, 91, 103128. [Google Scholar] [CrossRef] [PubMed]
- Ceriello, A. Thiazolidinediones as anti-inflammatory and anti-atherogenic agents. Diabetes/metabolism research and reviews. 2008, 24, 14–26. [Google Scholar] [CrossRef] [PubMed]
- Alegaon, S.G.; Alagawadi, K.R. New thiazolidinedione-5-acetic acid amide derivatives: Synthesis, characterization and investigation of antimicrobial and cytotoxic properties. Med. Chem. Res. 2012, 21, 816–824. [Google Scholar] [CrossRef]
- Tilekar, K.; Shelke, O.; Upadhyay, N.; Lavecchia, A.; Ramaa, C.S. Current status and future prospects of molecular hybrids with thiazolidinedione (TZD) scaffold in anticancer drug discovery. J. Mol. Struct. 2022, 1250, 131767. [Google Scholar] [CrossRef]
- Šlachtová, V.; Šebela, M.; Torfs, E.; Oorts, L.; Cappoen, D.; Berka, K.; Bazgier, V.; Brulikova, L. Novel thiazolidinedione-hydroxamates as inhibitors of Mycobacterium tuberculosis virulence factor Zmp1. Eur. J. Med. Chem. 2020, 185, 111812. [Google Scholar] [CrossRef]
- Naim, M.J.; Alam, M.J.; Ahmad, S.; Nawaz, F.; Shrivastava, N.; Sahu, M.; Alam, O. Therapeutic journey of 2, 4-thiazolidinediones as a versatile scaffold: An insight into structure activity relationship. Eur. J. Med. Chem. 2017, 129, 218–250. [Google Scholar] [CrossRef]
- Huneif, M.A.; Alshehri, D.B.; Alshaibari, K.S.; Dammaj, M.Z.; Mahnashi, M.H.; Majid, S.U.; Javed, M.A.; Ahmad, S.; Rashid, U.; Sadiq, A. Design, synthesis and bioevaluation of new vanillin hybrid as multitarget inhibitor of α-glucosidase, α-amylase, PTP-1B and DPP4 for the treatment of type-II diabetes. Biomed. Pharmacother. 2022, 150, 113038. [Google Scholar] [CrossRef] [PubMed]
- Qayyum, M.I.; Ullah, S.; Rashid, U.; Mahnashi, M.H.; Alshahrani, M.M.; Ali, A.A.; Asiri, A.; Al Awadh, A.A.; Alshehri, O.M.; Sadiq, A. Design, synthesis and preclinical evaluations of (s)-2-((s)-1-benzyl-2, 5-dioxopyrrolidin-3-yl)-3-(4-isopropylphenyl)-2-methylpropanal (succ-5) as cardioprotective, hepatoprotective and lipid lowering molecule. in-vivo and in-silico approaches. Arab. J. Chem. 2022, 16, 104504. [Google Scholar] [CrossRef]
- Sadiq, A.; Nugent, T.C. Catalytic access to succinimide products containing stereogenic quaternary carbons. ChemistrySelect 2020, 5, 11934–11938. [Google Scholar] [CrossRef]
- Sadiq, A.; Mahmood, F.; Ullah, F.; Ayaz, M.; Ahmad, S.; Haq, F.U.; Khan, G.; Jan, M.S. Synthesis, anticholinesterase and antioxidant potentials of ketoesters derivatives of succinimides: A possible role in the management of Alzheimer’s. Chem. Cent. J. 2015, 9, 31. [Google Scholar] [CrossRef]
- Jan, M.S.; Shahid, M.; Ahmad, S.; Hussain, F.; Ahmad, A.; Mahmood, F.; Rashid, U.; Ullah, F.; Khan, N.; Aasim, M. Synthesis of pyrrolidine-2, 5-dione based anti-inflammatory drug: In vitro COX-2, 5-LOX inhibition and in vivo anti-inflammatory studies. Lat. Am J Pharm 2019, 38, 2287–2294. [Google Scholar]
- Bibi, A.; Shah, T.; Sadiq, A.; Khalid, N.; Ullah, F.; Iqbal, A. L-isoleucine-catalyzed michael synthesis of N-alkylsuccinimide derivatives and their antioxidant activity assessment. Russ. J. Org. Chem. 2019, 55, 1749–1754. [Google Scholar] [CrossRef]
- Sadiq, A.; Mahnashi, M.H.; Alyami, B.A.; Alqahtani, Y.S.; Alqarni, A.O.; Rashid, U. Tailoring the substitution pattern of Pyrrolidine-2, 5-dione for discovery of new structural template for dual COX/LOX inhibition. Bioorganic Chem. 2021, 112, 104969. [Google Scholar] [CrossRef] [PubMed]
- Ahmad, A.; Ullah, F.; Sadiq, A.; Ayaz, M.; Saeed Jan, M.; Shahid, M.; Wadood, A.; Mahmood, F.; Rashid, U.; Ullah, R.; et al. Comparative cholinesterase, α-glucosidase inhibitory, antioxidant, molecular docking, and kinetic studies on potent succinimide derivatives. Drug Des. Dev. Ther. 2020, 14, 2165–2178. [Google Scholar] [CrossRef]
- Mahnashi, M.H.; Alyami, B.A.; Alqahtani, Y.S.; Alqarni, A.O.; Jan, M.S.; Hussain, F.; Zafar, R.; Rashid, U.; Abbas, M.; Tariq, M.; et al. Antioxidant Molecules Isolated from Edible Prostrate Knotweed: Rational Derivatization to Produce More Potent Molecules. Oxidative Med. Cell. Longev. 2022, 2022, 3127480. [Google Scholar] [CrossRef]
- Qayyum, M.I.; Ullah, S.; Rashid, U.; Sadiq, A.; Mahnashi, M.H.; Alshehri, O.M.; Jalal, M.M.; Alzahrani, K.J.; Halawani, I.F. Synthesis, Molecular Docking, and Preclinical Evaluation of a New Succinimide Derivative for Cardioprotective, Hepatoprotective and Lipid-Lowering Effects. Molecules 2022, 27, 6199. [Google Scholar] [CrossRef]
- Sadiq, A.; Mahnashi, M.H.; Rashid, U.; Jan, M.S.; Alshahrani, M.A.; Huneif, M.A. 3-(((1S, 3S)-3-((R)-Hydroxy (4-(trifluoromethyl) phenyl) methyl)-4-oxocyclohexyl) methyl) pentane-2, 4-dione: Design and Synthesis of New Stereopure Multi-Target Antidiabetic Agent. Molecule. 2022, 27, 3265. [Google Scholar] [CrossRef] [PubMed]
- Farooq, U.; Naz, S.; Shams, A.; Raza, Y.; Ahmed, A.; Rashid, U.; Sadiq, A. Isolation of dihydrobenzofuran derivatives from ethnomedicinal species Polygonum barbatum as anticancer compounds. Biol. Res. 2019, 52, 1. [Google Scholar] [CrossRef] [PubMed]
- Jabeen, M.; Ahmad, S.; Shahid, K.; Sadiq, A.; Rashid, U. Ursolic acid hydrazide based organometallic complexes: Synthesis, characterization, antibacterial, antioxidant, and docking studies. Front. Chem. 2018, 6, 55. [Google Scholar] [CrossRef] [PubMed]
- Ahmad, S.; Mahnashi, M.H.; Alyami, B.A.; Alqahtani, Y.S.; Ullah, F.; Ayaz, M.; Tariq, M.; Sadiq, A.; Rashid, U. Synthesis of michael adducts as key building blocks for potential analgesic drugs: In vitro, in vivo and in silico explorations. Drug Des. Dev. Ther. 2021, 15, 1299. [Google Scholar] [CrossRef]
- Nugent, T.C.; Sadiq, A.; Bibi, A.; Heine, T.; Zeonjuk, L.L.; Vankova, N.; Bassil, B.S. Noncovalent bifunctional organocatalysts: Powerful tools for contiguous quaternary-tertiary stereogenic carbon formation, scope, and origin of enantioselectivity. Chem. A Eur. J. 2012, 18, 4088–4098. [Google Scholar] [CrossRef]
- Aslam, H.; Khan, A.U.; Naureen, H.; Ali, F.; Ullah, F.; Sadiq, A. Potential application of Conyza canadensis (L) Cronquist in the management of diabetes: In vitro and in vivo evaluation. Trop. J. Pharm. Res. 2018, 17, 1287–1293. [Google Scholar] [CrossRef]
- Jabeen, M.; Choudhry, M.I.; Miana, G.A.; Rahman, K.M.; Rashid, U.; Khan, H.U.; Sadiq, A. Synthesis, pharmacological evaluation and docking studies of progesterone and testosterone derivatives as anticancer agents. Steroids 2018, 136, 22–31. [Google Scholar] [CrossRef]
- Bibi, M.; Qureshi, N.A.; Sadiq, A.; Farooq, U.; Hassan, A.; Shaheen, N.; Asghar, I.; Umer, D.; Ullah, A.; Khan, F.A.; et al. Exploring the ability of dihydropyrimidine-5-carboxamide and 5-benzyl-2, 4-diaminopyrimidine-based analogues for the selective inhibition of L. major Dihydrofolate reductase. Eur. J. Med. Chem. 2021, 210, 112986. [Google Scholar] [CrossRef]
- Ortiz-Andrade, R.R.; Sánchez-Salgado, J.C.; Navarrete-Vázquez, G.; Webster, S.P.; Binnie, M.; García-Jiménez, S.; León-Rivera, I.; Cigarroa-Vázquez, P.; Villalobos-Molina, R.; Estrada-Soto, S. Antidiabetic and toxicological evaluations of naringenin in normoglycaemic and NIDDM rat models and its implications on extra-pancreatic glucose regulation. Diabetes Obes. Metab. 2008, 10, 1097–1104. [Google Scholar] [CrossRef]
- Bhat, M.; Kothiwale, S.K.; Tirmale, A.R.; Bhargava, S.Y.; Joshi, B.N. Antidiabetic properties of Azardiracta indica and Bougainvillea spectabilis: In vivo studies in murine diabetes model. Evid. Based Complement. Altern. Med. 2011, 2011, 561625. [Google Scholar] [CrossRef]
- Mahnashi, M.H.; Alyami, B.A.; Alqahtani, Y.S.; Jan, M.S.; Rashid, U.; Sadiq, A.; Alqarni, A.O. Phytochemical profiling of bioactive compounds, anti-inflammatory and analgesic potentials of Habenaria digitata Lindl.: Molecular docking based synergistic effect of the identified compounds. J. Ethnopharmacol. 2021, 273, 113976. [Google Scholar] [CrossRef] [PubMed]







| Compound | Conc (µM) | % α-Glucosidase Inhibition | IC50 (µM) | % α-Amylase Inhibition | IC50 (µM) |
|---|---|---|---|---|---|
| 10a | 500 250 125 62.5 31.25 | 79.49 ± 0.6 *** 75.58 ± 0.63 *** 72.93 ± 0.67 ** 65.44 ± 0.58 *** 54.56 ± 1.73 *** | 16.5 | 82.61 ± 0.77 *** 77.60 ± 0.80 *** 72.83 ± 0.56 ** 57.55 ± 0.77 *** 54.58 ± 0.74 *** | 21.9 |
| 10b | 500 250 125 62.5 31.25 | 79.48 ± 0.74 *** 75.62 ± 0.40 *** 70.60 ± 0.46 *** 57.68 ± 0.49 *** 51.72 ± 0.66 *** | 27.4 | 79.37 ± 0.69 *** 74.72 ± 0.51 *** 70.47 ± 0.59 *** 65.50 ± 0.71 *** 48.46 ± 0.72 *** | 21.20 |
| 10c | 500 250 125 62.5 31.25 | 81.53 ± 0.71 *** 76.58 ± 1.12 *** 71.42 ± 0.43 *** 65.08 ± 0.47 *** 62.72 ± 1.01 *** | 25.6 | 88.58 ± 1.12 ** 81.65 ± 1.34 ** 74.31 ± 2.15 ** 67.56 ± 1.73 *** 62.44 ± 0.58 *** | 28.3 |
| 10d | 500 250 125 62.5 31.25 | 88.43 ± 1.26 *** 83.83 ± 0.66 ns 77.93 ± 0.90 ns 72.26 ± 0.77 * 67.10 ± 0.95 ** | 10 | 82.33 ± 1.20 *** 76.33 ± 0.95 *** 72.67 ± 0.91 *** 70.00 ± 0.17 ** 68.60 ± 0.04 ns | 12 |
| 10e | 500 250 125 62.5 31.25 | 86.44 ± 0.58 ** 81.08 ± 0.47 * 79.84 ± 0.30 ns 74.94 ± 1.13 ns 52.58 ± 0.63 *** | 13.2 | 92.67 ± 1.30 ns 88.58 ± 0.47 ns 82.54 ± 0.68 ns 78.20 ± 1.24 ns 73.40 ± 0.42 ns | 9.66 |
| Acarbose | 500 250 125 62.5 31.25 | 94.40 ± 0.03 85.03. ± 2.16 80.90 ± 1.11 76.44 ± 0.28 71.22 ± 0.47 | 6.80 | 93.08 ± 1.04 86.45 ± 0.90 80.58 ± 0.63 75.40 ± 0.20 70.80 ± 0.90 | 3.06 |
| Compound | Conc (µM) | PTP1B | IC50 (µM) | DPP4 | IC50 (µM) |
|---|---|---|---|---|---|
| 10a | 500 250 125 62.5 31.25 | 88.61 ± 0.43 *** 82.58 ± 0.63 *** 75.10 ± 0.60 *** 69.25 ± 1.40 *** 62.87 ± 0.85 *** | 11.99 | 87.45 ± 0.59 ** 82.49 ± 0.60*** 77.23 ± 0.44 *** 72.50 ± 0.61 *** 67.47 ± 0.46 *** | 5.38 |
| 10b | 500 250 125 62.5 31.25 | 85.32 ± 2.87 *** 77.12 ± 0.54 *** 72.79 ± 1.08 *** 65.79 ± 1.88*** 57.20 ± 0.47 *** | 16.76 | 81.30 ± 1.42 ** 75.78 ± 0.45 ** 69.44 ± 0.86 * 62.72 ± 1.89 ** 54.29 ± 2.64 ** | 20.51 |
| 10c | 500 250 125 62.5 31.25 | 79.37 ± 1.04 *** 73.37 ± 0.54 *** 69.30 ± 2.61 *** 63.42 ± 1.05 *** 53.52 ± 2.52 *** | 18.98 | 77.40 ± 1.51 *** 72.57 ± 3.84 *** 67.36 ± 0.55 *** 62.56 ± 0.95 *** 57.37 ± 1.10 *** | 12.92 |
| 10d | 500 250 125 62.5 31.25 | 89.88 ± 0.89 ns 84.54 ± 3.60 *** 79.01 ± 1.97 *** 74.68 ± 0.22 *** 71.82 ± 1.95 *** | 3.64 | 91.36 ± 1.49 ns 85.34 ± 0.55 ns 81.39 ± 2.49 ** 76.47 ± 0.52 *** 71.44 ± 2.55 *** | 4.22 |
| 10e | 500 250 125 62.5 31.25 | 83.51 ± 0.54 ** 75.76 ± 1.61 *** 67.22 ± 1.28 *** 63.51 ± 0.54 *** 56.37 ± 2.56 *** | 19.48 | 88.52 ± 2.06 ** 82.48 ± 0.60 ** 74.54 ± 1.46 ** 67.34 ± 2.63 *** 61.30 ± 1.49 *** | 14.67 |
| Ursolic acid | 500 250 125 62.5 31.25 | 94.08 ± 1.04 87.45 ± 0.90 81.58 ± 2.63 76.40 ± 3.20 71.80 ± 0.90 | 11.98 | - | - |
| Sitagliptin | 500 250 125 62.5 31.25 | - | - | 97.23 ± 0.82 92.45 ± 0.90 85.90 ± 0.60 81.00 ± 3.30 76.90 ± 1.45 | 9.72 |
| Group | Change in Body Weight (gm) | Insulin Level (Mean ±SEM) in mg/dl | |||
|---|---|---|---|---|---|
| Before Induction | After Induction | After Treatment | Initial Reading | Final Reading | |
| Control Group | 190.13 ± 1.52 | 192.24 ± 1.45 | 188.35 ± 3.65 | 0.76 ± 0.12 | 0.80 ± 0.75 |
| Diabetic | 188.30 ± 2.10 ns | 172.80 ± 1.63 ### | 146.68 ± 2.78 ### | 0.84 ± 0.26 ns | 0.26 ± 0.56 ns |
| Glibenclamide | 180.66 ± 1.67 ns | 160.52 ± 2.23 ** | 176.90 ± 4.45 *** | 0.82 ± 0.34 ns | 0.80 ± 0.16 ns |
| Comp 4 (10mg) | 191.23 ± 1.50 ns | 154.22 ± 3.62 *** | 182.43 ± 5.76 *** | 0.81 ± 0.25 ns | 0.65 ± 0.57 ns |
| Comp 4 (20mg) | 204.66 ± 3.60 *** | 171.60 ± 1.90 ns | 198.19 ± 4.66 *** | 0.76 ± 0.38 ns | 0.76 ± 0.81 ns |
| Treatment Group | AST (U/L) | ALT (U/L) | ALP (U/L) | LDH (U/L) | Urea (mg/dl) | Creatinine (mg/dl) |
|---|---|---|---|---|---|---|
| Control Group | 96.24 ± 2.53 | 52.66 ± 3.25 | 145.43 ± 1.73 | 852.33 ± 5.83 | 48.22 ± 2.44 | 0.34 ± 0.12 |
| Diabetic | 555.52 ± 4.80 ### | 366.70 ± 4.58 ### | 612.35 ± 4.43 ### | 1536.43 ± 6.90 ### | 122.56 ± 3.46 ### | 0.80 ± 0.03 ns |
| Glibenclamide | 80.36 ± 2.12 *** | 76.23 ± 2.13 *** | 124.42 ± 2.35 *** | 826.21 ± 5.60 *** | 42.45 ± 2.21 *** | 0.44 ± 0.04 ns |
| 10d (10mg) | 123.40 ± 3.70 *** | 136.80 ± 2.15 *** | 184.43 ± 3.83 *** | 930.11 ± 4.26 *** | 75.26 ± 2.44 *** | 0.51 ± 0.57 ns |
| 10d (20mg) | 94.32 ± 2.30 *** | 60.42 ± 2.20 *** | 122.80 ± 2.00 *** | 850.53 ± 4.41 *** | 51.53 ± 2.23 *** | 0.42 ± 0.31 ns |
Disclaimer/Publisher’s Note: The statements, opinions and data contained in all publications are solely those of the individual author(s) and contributor(s) and not of MDPI and/or the editor(s). MDPI and/or the editor(s) disclaim responsibility for any injury to people or property resulting from any ideas, methods, instructions or products referred to in the content. |
© 2023 by the authors. Licensee MDPI, Basel, Switzerland. This article is an open access article distributed under the terms and conditions of the Creative Commons Attribution (CC BY) license (https://creativecommons.org/licenses/by/4.0/).
Share and Cite
Huneif, M.A.; Mahnashi, M.H.; Jan, M.S.; Shah, M.; Almedhesh, S.A.; Alqahtani, S.M.; Alzahrani, M.J.; Ayaz, M.; Ullah, F.; Rashid, U.; et al. New Succinimide–Thiazolidinedione Hybrids as Multitarget Antidiabetic Agents: Design, Synthesis, Bioevaluation, and Molecular Modelling Studies. Molecules 2023, 28, 1207. https://doi.org/10.3390/molecules28031207
Huneif MA, Mahnashi MH, Jan MS, Shah M, Almedhesh SA, Alqahtani SM, Alzahrani MJ, Ayaz M, Ullah F, Rashid U, et al. New Succinimide–Thiazolidinedione Hybrids as Multitarget Antidiabetic Agents: Design, Synthesis, Bioevaluation, and Molecular Modelling Studies. Molecules. 2023; 28(3):1207. https://doi.org/10.3390/molecules28031207
Chicago/Turabian StyleHuneif, Mohammed A., Mater H. Mahnashi, Muhammad Saeed Jan, Muhammad Shah, Sultan A. Almedhesh, Seham M. Alqahtani, Mohammad Jamaan Alzahrani, Muhammad Ayaz, Farhat Ullah, Umer Rashid, and et al. 2023. "New Succinimide–Thiazolidinedione Hybrids as Multitarget Antidiabetic Agents: Design, Synthesis, Bioevaluation, and Molecular Modelling Studies" Molecules 28, no. 3: 1207. https://doi.org/10.3390/molecules28031207
APA StyleHuneif, M. A., Mahnashi, M. H., Jan, M. S., Shah, M., Almedhesh, S. A., Alqahtani, S. M., Alzahrani, M. J., Ayaz, M., Ullah, F., Rashid, U., & Sadiq, A. (2023). New Succinimide–Thiazolidinedione Hybrids as Multitarget Antidiabetic Agents: Design, Synthesis, Bioevaluation, and Molecular Modelling Studies. Molecules, 28(3), 1207. https://doi.org/10.3390/molecules28031207

