Hydrogen and Deuterium Solubility, Diffusivity and Permeability from Sorption Measurements in the Ni33Ti39Nb28 Alloy
Abstract
1. Introduction
2. Results and Discussion
2.1. Alloy Microstructure
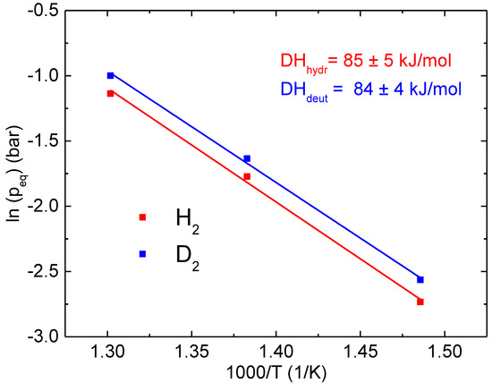
2.2. Hydrogen/Deuterium Absorption Isotherms
2.3. Hydrogen/Deuterium Absorption Kinetics and Diffusion Coefficient
2.4. Assessment of Hydrogen Isotope Permeation
3. Materials and Methods
4. Conclusions
Author Contributions
Funding
Institutional Review Board Statement
Informed Consent Statement
Data Availability Statement
Conflicts of Interest
Sample Availability
References
- Ockwig, N.W.; Nenoff, T.M. Membranes for Hydrogen Separation. Chem. Rev. 2007, 107, 4078–4110. [Google Scholar] [CrossRef] [PubMed]
- Pacheco Tanaka, D.A.; Medrano, J.A.; Viviente Sole, J.L.; Gallucci, F. Metallic membranes for hydrogen separation. In Current Trends and Future Developments on (Bio-) Membranes; Basile, A., Gallucci, F., Eds.; Elsevier: Amsterdam, The Netherlands, 2020; pp. 1–29. [Google Scholar] [CrossRef]
- Santucci, A.; Tosti, S.; Basile, A. Alternatives to palladium in membranes for hydrogen separation: Nickel,niobium and vanadium alloys, ceramic supports for metal alloys and porous glass membranes. In Handbook of Membrane Reactors; Basile, A., Ed.; Woodhead Publishing Series in Energy: Cornwall, UK, 2013; Volume 1, Chapter 4; pp. 183–217. [Google Scholar] [CrossRef]
- Suzuki, A.; Yukawa, H. A Review for Consistent Analysis of Hydrogen Permeability through Dense Metallic Membranes. Membranes 2020, 10, 120. [Google Scholar] [CrossRef] [PubMed]
- Alique, D.; Martinez-Diaz, D.; Sanz, R.; Calles, J.A. Review of supported Pd-based membranes preparation by electroless platingfor ultra-pure hydrogen production. Membranes 2018, 8, 5. [Google Scholar] [CrossRef]
- Li, H.; Caravella, A.; Xu, H.Y. Recent progress in Pd-based composite membranes. J. Mater. Chem. A 2016, 4, 14069–14094. [Google Scholar] [CrossRef]
- Dolan, M.D.; Kellam, M.E.; McLennan, K.G.; Liang, D.; Song, G. Hydrogen transport properties of several vanadium-based binary alloys. Int. J. Hydrogen Energy 2013, 38, 9794–9799. [Google Scholar] [CrossRef]
- Yukawa, H.; Nambu, T.; Matsumoto, Y. Ta-W Alloy for Hydrogen Permeable Membranes. Mater. Trans. 2011, 52, 610–613. [Google Scholar] [CrossRef]
- Nambu, T.; Shimizu, N.; Ezaki, H.; Yukawa, H.; Morinaga, M. Hydrogen permeation of pure niobium metal in highly soluble hydrogen state. J. Jpn. I. Met. 2005, 69, 841. [Google Scholar] [CrossRef]
- Steward, S.A. Review of Hydrogen Isotope Permeability through Materials; Report UCRL-53441; Lawrence Livermore National Laboratory: Livermore, CA, USA, 1983. [Google Scholar] [CrossRef]
- Hashi, K.; Ishikawa, K.; Matsuda, T.; Aoki, K. Hydrogen permeation characteristics of multi-phase Ni-Ti-Nb alloys. J. Alloys Compd. 2004, 368, 215–220. [Google Scholar] [CrossRef]
- Wipf, H. Solubility and diffusion of hydrogen in pure metals and alloys. Phys. Scr. 2001, T94, 43. [Google Scholar] [CrossRef]
- Li, X.; Liang, X.; Liu, D.; Chen, R.; Huang, F.; Wang, R.; Rettenmayr, M.; Su, Y.; Guo, J.; Fu, H. Design of (Nb, Mo)40Ti30Ni30 alloy membranes for combined enhancement of hydrogen permeability and embrittlement resistance. Sci. Rep. 2017, 7, 209. [Google Scholar] [CrossRef]
- Ishikawa, K.; Yonehara, K. Effects of tungsten addition on hydrogen absorption and permeation properties of Nb40Ti30Ni30 alloy. J. Alloys Compd. 2018, 749, 634–639. [Google Scholar] [CrossRef]
- Luo, W.; Ishikawa, K.; Aoki, K. High hydrogen permeability in the Nb-rich Nb–Ti–Ni alloy. J. Alloys Compd. 2006, 407, 115–117. [Google Scholar] [CrossRef]
- Papathanassopoulos, K.; Wenzl, H. Pressure-compositionisotherms of hydrogen and deuterium in vanadium filmsmeasured with a vibrating quartz microbalance. J. Phys. F. Met. Phys. 1982, 12, 1369–1381. [Google Scholar] [CrossRef]
- Manchester, F.D.; Martin, A.S.; Pitre, J.M. The H-Pd (hydrogen-palladium) system. J. Phase Equilibria Diffus. 1994, 15, 62–83. [Google Scholar] [CrossRef]
- Trequattrini, F.; Palumbo, O.; Tosti, S.; Santucci, A.; Paolone, A. Promising Isotope Effect in Pd77Ag23 for Hydrogen Separation. ChemEngineering 2021, 5, 51. [Google Scholar] [CrossRef]
- Brutti, S.; Tosti, A.; Santucci, A.; Paolone, A. Deuterium absorption properties of V85Ni15 and evidence of isotope effect. Int. J. Hydrogen Energy 2019, 44, 20145–20149. [Google Scholar] [CrossRef]
- Sicking, G. Isotope effects in metal-hydrogen systems. J. Less Common Met. 1984, 101, 169–190. [Google Scholar] [CrossRef]
- Haag, R.M.; Shipko, F.J. The Titanium-Hydrogen System. J. Am. Chem. Soc. 1956, 78, 5155–5159. [Google Scholar] [CrossRef]
- Wiswall, R.H.; Reilly, J.J. Inverse Hydrogen Isotope Effects in Some Metal Hydride Systems. Inorg. Chem. 1972, 11, 1691–1696. [Google Scholar] [CrossRef]
- Tkacz, M. Enthalpies of formation and decomposition of nickel hydride and nickel deuteride derived from (p,c,t) relationships. J. Chem. Thermodyn. 2001, 33, 891–897. [Google Scholar] [CrossRef]
- Bourgeois, N.; Crivello, J.-C.; Cenedese, P.; Paul-Boncour, V.; Joubert, J.-M. Vibration analysis of hydrogen, deuterium and tritium in metals: Consequences on the isotope effect. J. Phys. Cond. Mat. 2018, 30, 335402. [Google Scholar] [CrossRef] [PubMed]
- Paolone, A.; Tosti, S.; Santucci, A.; Palumbo, O.; Trequattrini, F. Hydrogen and Deuterium Solubility in Commercial Pd–Ag Alloys for Hydrogen Purification. ChemEngineering 2017, 1, 14. [Google Scholar] [CrossRef]
- Palumbo, O.; Trequattrini, F.; Pal, N.; Hulyalkar, M.; Sarker, S.; Chandra, D.; Flanagan, T.; Dolan, M.; Paolone, A. Hydrogen absorption properties of amorphous (Ni0.6Nb0.4−yTay)100−xZrx membranes. Prog. Nat. Sci. Mater. Int. 2017, 27, 126–131. [Google Scholar] [CrossRef]
- Zhang, J.; Li, Z.; Wu, Y.; Guo, X.; Ye, J.; Yuan, B.; Wang, S.; Jiang, L. Recent advances on the thermal destabilization of Mg-based hydrogen storage materials. RSC Adv. 2019, 9, 408. [Google Scholar] [CrossRef]
- Trequattrini, F.; Brutti, S.; Palumbo, O.; Hulyalkar, M.; Mushongera, M.T.; Ye, W.; Rashed Khan, M.; Dolan, M.; Chandra, D.; Paolone, A. Crystallization and hydrogen absorption in a Ni32Nb28Zr30Fe10 melt spun alloy and correlation with icosahedral clusters. Int. J. Hydrogen Energy 2022, 47, 10298–10307. [Google Scholar] [CrossRef]
- Crank, J. The Mathematics of Diffusion; Clarendon Press: Oxford, UK, 1975. [Google Scholar]
- Zhou, Q.; Oldenburg, C.M.; Rutqvist, J.; Birkholzer, J.T. Revisiting the fundamental analytical solutions of heat and mass transfer: The kernel of multirate and multidimensional diffusion. Water Resour. Res. 2017, 53, 9960–9979. [Google Scholar] [CrossRef]
- Caravella, A.; Hara, S.; Drioli, E.; Barbieri, G. Sieverts law pressure exponent for hydrogenpermeation through Pd-based membranes:Coupled influence of non-ideal diffusion andmulticomponent external mass transfer. Int. J. Hydrogen Energy 2013, 38, 16229–16244. [Google Scholar] [CrossRef]
- Mooij, L.; Huang, W.; Droulias, S.A.; Johansson, R.; Hartmann, O.; Xin, X.; Palonen, H.; Scheicher, R.H.; Wolff, M.; Hjörvarsson, B. Influence of site occupancy on diffusion of hydrogen in vanadium. Phys. Rev. B 2017, 95, 064310. [Google Scholar] [CrossRef]
- Alimov, V.N.; Bobylev, I.V.; Busnyuk, A.O.; Notkin, M.E.; Peredistov, E.Y.; Livshits, A.I. Hydrogen transport through the tubular membranes of V-Pd alloys: Permeation, diffusion, surface processes and WGS mixture test of membrane assembly. J. Membr. Sci. 2018, 549, 428–437. [Google Scholar] [CrossRef]
- Maroni, V.A.; Van Deventer, E.H. Materials considerations in tritium handling systems. J. Nucl. Mater. 1979, 85–86, 257–269. [Google Scholar] [CrossRef]
- Palumbo, O.; Brutti, S.; Trequattrini, F.; Sarker, S.; Dolan, M.; Chandra, D.; Paolone, A. Temperature Dependence of the Elastic Modulus of (Ni0.6Nb0.4)1−xZrx Membranes: Effects of Thermal Treatments and Hydrogenation. Energies 2015, 8, 3944–3954. [Google Scholar] [CrossRef]
- Origin(Pro) 8.5; OriginLab Corporation: Northampton, MA, USA.









| Pe0 mol m−1 s−1 Pa−0.5 | Ea,p K−1 | T K | P kPa | Ref. | |
|---|---|---|---|---|---|
| Ni33Ti39Nb28, D2 | 1.86 × 10−9 | 934 | 673–768 | 100 | this work |
| Ni33Ti39Nb28, H2 | 7.34 × 10−9 | 1945 | 673–768 | 300 | this work |
| Ni33Ti39Nb28, D2 | 1.74 × 10−9 | 1113 | 673–768 | 300 | this work |
| Ni30Ti31Nb39, H2 | 4.67 × 10−6 | 3741 | 523–673 | 200–970 | [11] |
| Ni, H2 | 4.65 × 10−7 | 6640 | 650–920 | 10–100 | [10] |
| Nb, H2 | 6.30 × 10−9 | −4270 | >673 | >10 | [10] |
| Ti, H2 | 6.10 × 10−6 | 4581 | 673–950 | - | [34] |
| Ni | Nb | Ti | |
|---|---|---|---|
| wt% | 40.69 | 30.30 | 29.01 |
| at% | 33.09 | 28.07 | 38.84 |
Disclaimer/Publisher’s Note: The statements, opinions and data contained in all publications are solely those of the individual author(s) and contributor(s) and not of MDPI and/or the editor(s). MDPI and/or the editor(s) disclaim responsibility for any injury to people or property resulting from any ideas, methods, instructions or products referred to in the content. |
© 2023 by the authors. Licensee MDPI, Basel, Switzerland. This article is an open access article distributed under the terms and conditions of the Creative Commons Attribution (CC BY) license (https://creativecommons.org/licenses/by/4.0/).
Share and Cite
Palumbo, O.; Trequattrini, F.; Tosti, S.; Santucci, A.; Paolone, A. Hydrogen and Deuterium Solubility, Diffusivity and Permeability from Sorption Measurements in the Ni33Ti39Nb28 Alloy. Molecules 2023, 28, 1082. https://doi.org/10.3390/molecules28031082
Palumbo O, Trequattrini F, Tosti S, Santucci A, Paolone A. Hydrogen and Deuterium Solubility, Diffusivity and Permeability from Sorption Measurements in the Ni33Ti39Nb28 Alloy. Molecules. 2023; 28(3):1082. https://doi.org/10.3390/molecules28031082
Chicago/Turabian StylePalumbo, Oriele, Francesco Trequattrini, Silvano Tosti, Alessia Santucci, and Annalisa Paolone. 2023. "Hydrogen and Deuterium Solubility, Diffusivity and Permeability from Sorption Measurements in the Ni33Ti39Nb28 Alloy" Molecules 28, no. 3: 1082. https://doi.org/10.3390/molecules28031082
APA StylePalumbo, O., Trequattrini, F., Tosti, S., Santucci, A., & Paolone, A. (2023). Hydrogen and Deuterium Solubility, Diffusivity and Permeability from Sorption Measurements in the Ni33Ti39Nb28 Alloy. Molecules, 28(3), 1082. https://doi.org/10.3390/molecules28031082

