On-Site Evaluation of Constituent Content and Functionality of Perilla frutescens var. crispa Using Fluorescence Spectra
Abstract
:1. Introduction
2. Results
2.1. Fluorescence Spectra of Perilla Leaves
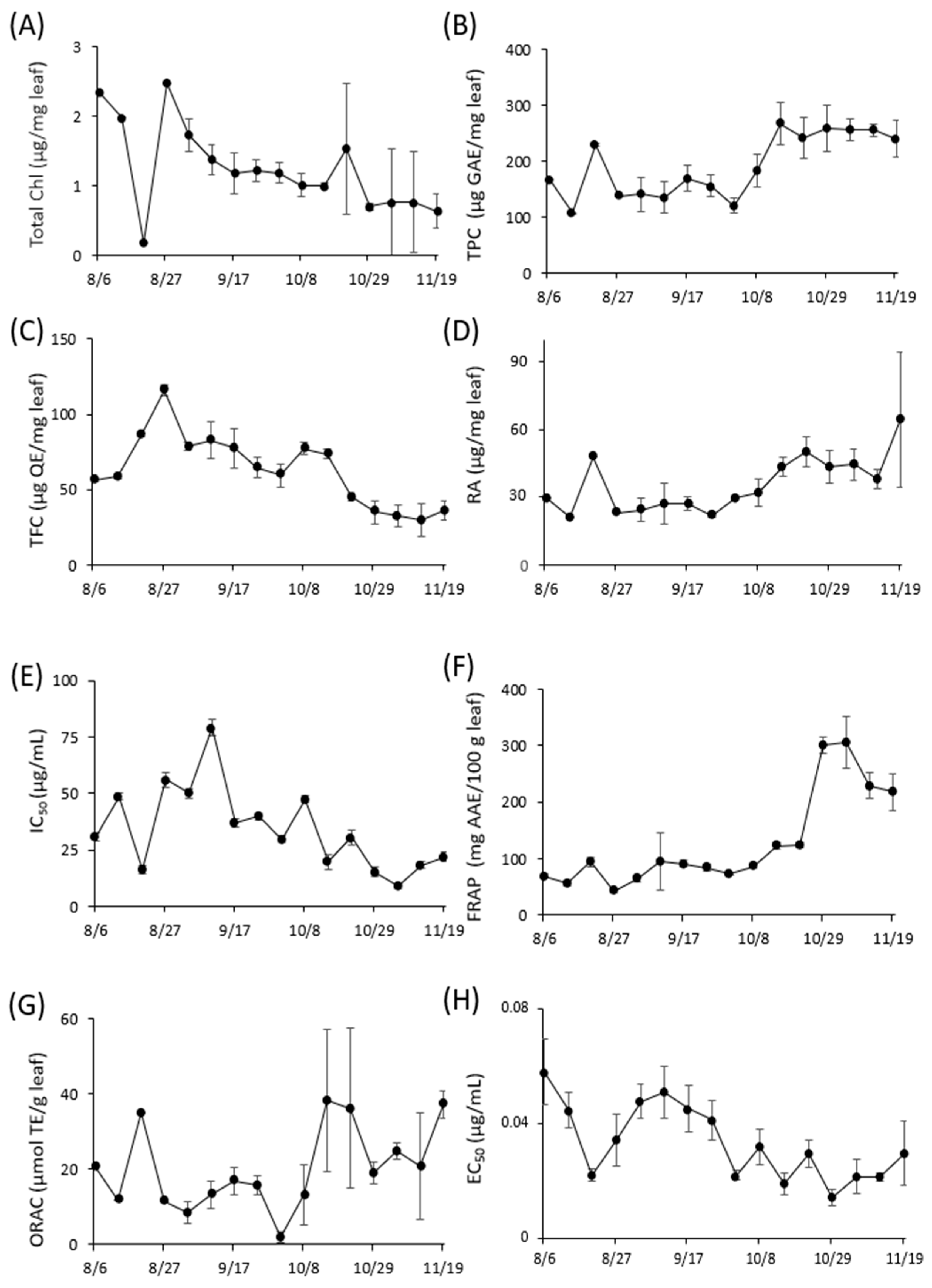
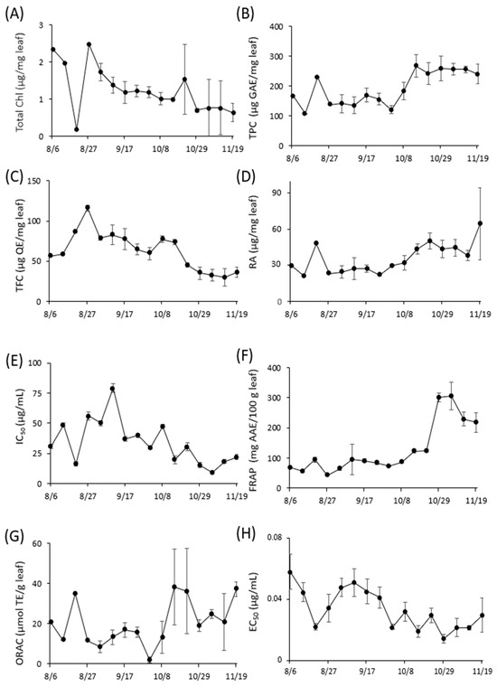
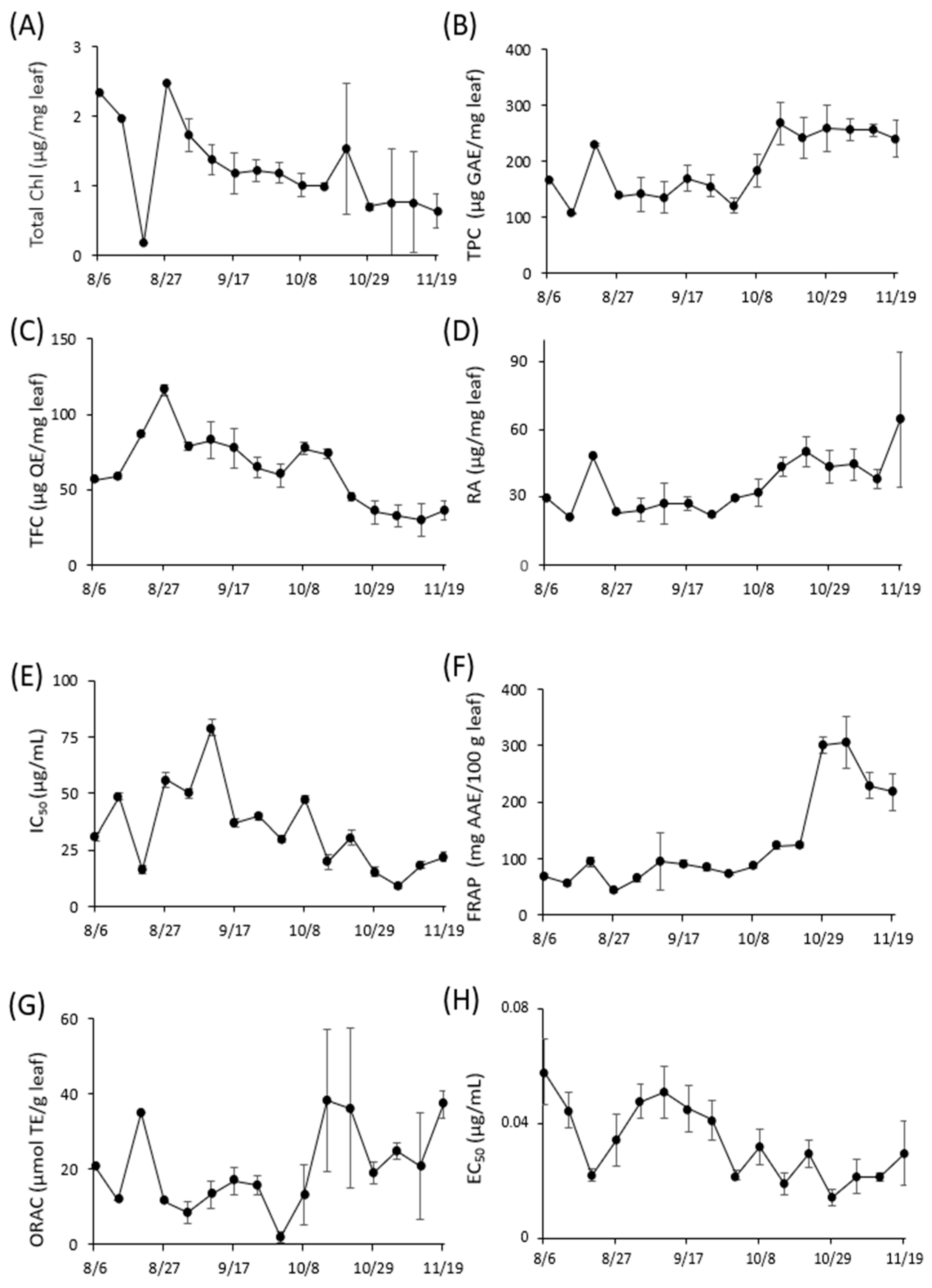
2.2. Content of Constituents and Functionality of Perilla
2.3. Full-Wavelength R2 Contour Maps for NDSI, RSI, and DSI Analyses of Perilla
2.4. Correlation Modeling of Spectral Index and Component Index in Perilla
3. Discussion
4. Materials and Methods
4.1. Chemicals and Equipment
4.2. Perilla Samples
4.3. Fluorescence Spectrum Measurement
4.4. Chlorophyll (Chl) Quantification
4.5. Total Polyphenol Content (TPC)
4.6. Total Flavonoid Content (TFC)
4.7. RA Quantification by LC-MS
4.8. Assessment of DPPH Radical Scavenging Activity [48]
4.9. Assessment of Ferric Reducing Antioxidant Power (FRAP)
4.10. Oxygen Radical Absorbance Capacity (ORAC) [51]
4.11. Evaluation of Amyloid-Beta Aggregation Inhibitory Activity Using the Automated Microliter-Scale High-Throughput Screening (MSHTS) System [16,52]
4.12. Spectrum Analysis
5. Conclusions
Supplementary Materials
Author Contributions
Funding
Institutional Review Board Statement
Informed Consent Statement
Data Availability Statement
Conflicts of Interest
Sample Availability
References
- Nakazawa, T.; Ohsawa, K. Metabolites of Orally administered Perilla frutescens extract in rats and humans. Biol. Pharm. Bull. 2000, 23, 122–127. [Google Scholar] [CrossRef] [PubMed]
- Hassan, W.; Noreen, W.; Rehman, H.; Gul, S.; Kamal, S.; Kamdem, M.; Zaman, J.; Rocha, J.B.T.B. Oxidative stress and antioxidant potential of one hundred medicinal plants. Curr. Top. Med. Chem. 2017, 17, 1336–1370. [Google Scholar] [CrossRef] [PubMed]
- Sharma, S.; Singh, S.; Singh, L. A review on medicinal plants having antioxidant potential. Indian J. Res. Pharm. Biotechnol. 2013, 1, 404–409. [Google Scholar]
- Chanda, D.; Dave, R. In vitro models for antioxidant activity evaluation and some medicinal plants possessing antioxidant properties: An overview. Afr. J. Microbiol. Res. 2009, 3, 981–996. [Google Scholar]
- Kagawa, N.; Iguchi, H.; Henzan, M.; Hanaoka, M. Drying the leaves of Perilla frutescens increases their content of anticancer nutraceuticals. Food Sci. Nutr. 2019, 18, 1494–1501. [Google Scholar] [CrossRef] [PubMed]
- Ghimire, B.; Yoo, Y.; Yu, C.; Kim, S.; Chung, I. Profiling volatile and phenoilic compound composition and characterization of the morphological and biological activities of Perilla frutescens Britton var. Japonica accessions. Acta Physiol. Plant. 2019, 41, 108. [Google Scholar] [CrossRef]
- Fujimoto, A.; Masuda, T. Antioxidation mechanism of Rosmarinic acid, identification of an unstable quinone derivative by the addition of odourless thiol. Food Chem. 2012, 132, 901–906. [Google Scholar] [CrossRef]
- Englberger, W.; Hadding, U.; Etschenberg, E.; Graf, E.; Leyck, S.; Winkelmann, J.; Parnham, M.J. Rosmarinic acid: A new inhibitor of complement C3-convertase with anti-inflammatory activity. Int. J. Immunopharmacol. 1998, 10, 729–737. [Google Scholar] [CrossRef]
- Hamaguchi, T.; Ono, K.; Murase, A.; Yamada, M. Phenolic compounds prevent Alzheimer’s pathology through different effects on the Amyloid-β aggregation pathway. Am. J. Pathol. 2009, 175, 2557–2565. [Google Scholar] [CrossRef]
- Gaggelli, E.; Kozlowski, H.; Valensin, D.; Valensin, G. Copper homeostasis and neurodegenerative disorders (Alzheimer’s, prion, and Parkinson’s diseases and amyotrophic lateral sclerosis). Chem. Rev. 2006, 106, 1995–2044. [Google Scholar] [CrossRef]
- Cheignon, C.; Tomas, M.; Bonnefont-Rousselot, D.; Faller, P.; Hureau, C.; Collin, F. Oxidative stress and the amyloid beta peptide in Alzheimer’s disease. Redox Biol. 2018, 14, 450–464. [Google Scholar] [CrossRef] [PubMed]
- Rajasekhar, K.; Chakrabarti, M.; Govindaraju, T. Function and toxicity of amyloid beta and recent therapeutic interventions targeting amyloid beta in Alzheimer’s disease. Chem. Commun. 2015, 51, 3434–13450. [Google Scholar] [CrossRef] [PubMed]
- Sanabria-Castro, A.; Alvarado-Echeverría, I.; Monge-Bonilla, C. Molecular pathogenesis of Alzheimer’s disease: An update. Ann. Neurosci. 2017, 24, 46–54. [Google Scholar] [CrossRef]
- Hu, N.; Chen, L.; Li, Y.; Yao, N.; Li, H.; Zhang, Z. Foam fractionation of rosmarinic acid from perilla leaves using surface-modified Al2O3 nanoparticle as frother and collector. Indust. Crop. Prod. 2023, 197, 116633. [Google Scholar] [CrossRef]
- Tokuraku, K.; Uwai, K. Aggregation-Inhibitting Composition for Amyloid β Protein. Japan Patent Kokai JP2016124865A, 11 July 2016. [Google Scholar]
- Ishigaki, Y.; Tanaka, H.; Akama, H.; Ogara, T.; Uwai, K.; Tokuraku, K. A microliter-scale high-throughput screening system with quantum-dot nanoprobes for amyloid-β aggregation inhibitors. PLoS ONE 2013, 8, e72992. [Google Scholar] [CrossRef] [PubMed]
- Asif, M. Phytochemical study of polyphenols in Perilla frutescens as an antioxidant. Avicenna J. Phytomed. 2012, 2, 169–178. [Google Scholar]
- Bano, M.; Lorente, J.; Castillo, J.; Benaventegarciaa, O.; Riao, J.; Ortuno, A.; Quirin, K.; Gerard, D. Phenolic diterpenes, flavones, and rosmarinic acid distribution during the development of leaves, flowers, stems, and roots of Rosmarinus officinalis. Antioxidant activity. J. Agric. Food Chem. 2003, 51, 4247–4253. [Google Scholar] [CrossRef]
- Horibata, A.; Matsukawa, T.; Itoh, T.; Watanabe, T.; Matsumoto, T.A. Novel cropping method for production of high functioning crops by utilizing on-site solar energy. Energy Procedia 2014, 57, 1502–1507. [Google Scholar] [CrossRef]
- Iwai, M.; Ohta, M.; Tsuchiya, H.; Suzuki, T. Enhanced accumulation of caffeic acid, rosmarinic acid and luteolin-glucoside in red perilla cultivated under red diode laser and blue LED illumination followed by UV-A irradiation. J. Funct. Foods 2010, 2, 66–70. [Google Scholar] [CrossRef]
- Zarco-Tejada, P.J.; Miller, J.R.; Morales, A.; Berjon, A.; Aguera, J. Hyperspectral indices and model simulation for chlorophyll estimation in open-canopy tree crops. J. Remote Sens. Environ. 2004, 90, 463–476. [Google Scholar] [CrossRef]
- Inoue, Y.; Sakaiya, E.; Zhu, Y.; Takahashi, W. Diagnostic mapping of canopy nitrogen content in rice based on hyperspectral measurements. Remote Sens. Environ. 2012, 126, 210–221. [Google Scholar] [CrossRef]
- Qi, H.; Zhu, B.; Kong, L.; Yang, W.; Zou, J.; Lan, Y.; Zhang, L. Hyperspectral inversion model of chlorophyll content in peanut leaves. Appl. Sci. 2020, 10, 2259. [Google Scholar] [CrossRef]
- Pinter, F.G.; Barnes, P.J.; Lamorte, E.M.; Wall, R.L.; Leavitt, G.; Kimball, S.W. Measuring wheat senescence with a digital camera. Crop Sci. 1999, 39, 719–724. [Google Scholar]
- Basyouni, R.; Dunn, B. Use of Optical Sensors to Monitor Plant Nitrogen Status in Horticultural Plants. Available online: http://pods.dasnr.okstate.edu/docushare/dsweb/Get/Document-9045/HLA-6719web.pdf (accessed on 10 April 2023).
- Konica Minolta. Lightweight Handheld Meter for Leaves without Causing Damage to Plants. Available online: https://www.konicaminolta.com/instruments/download/catalog/color/pdf/spad502plus_catalog_eng.pdf (accessed on 17 January 2023).
- Sahoo, M.M.; Perach, O.; Shachter, A.; Gonda, I.; Porwal, A.; Dudai, N.; Herrmann, I. Spectral estimation of carnosic acid content in in vivo rosemary plants. Ind. Crops Prod. 2022, 187, 115292–115297. [Google Scholar] [CrossRef]
- Kothari, S.; Beauchamp, R.; Laliberté, E.; Cavender-Bares, J. Reflectance spectroscopy allows rapid, accurate and non-destructive estimates of functional traits from pressed leaves. Methods Ecol. Evol. 2023, 14, 385–401. [Google Scholar] [CrossRef]
- Lichtenthaler, H.K. Multi-colour fluorescence imaging of photosyntetic activityand plant stress. Photosynthetica 2021, 59, 364–380. [Google Scholar] [CrossRef]
- Lichtenthaler, H.K.; Schweinger, J. Cell wall bound ferulic acid, the major substance of the blue-green fluorescence emission of plants. J. Plant Physiol. 1997, 152, 272–282. [Google Scholar] [CrossRef]
- Zhao, Y.; Han, Q.; Ding, C.; Huang, Y.; Liao, J.; Chen, T.; Feng, S.; Zhou, L.; Zhang, Z.; Chen, Y.; et al. Effect of low temperature on chlorophyll biosynthesis and chloroplast biogenesis of rice seedlings during greening. Int. J. Mol. Sci. 2020, 19, 1390. [Google Scholar] [CrossRef]
- Lu, N.; Takagaki, M.; Yamori, W.; Kagawa, N. Flavonoid productivity optimized for green and red forms of Perilla frutescens via environmental control technologies in plant factory. J. Food Qual. 2018, 2, 4270279. [Google Scholar] [CrossRef]
- Wu, X.; Beecher, G.; Joanne, H.; Haytowitz, D.; Gebhardt, S.; Ronald, P. Lipophilic and Hydrophilic Antioxidant Capacities of Common Foods in the United States. Food Chem. 2004, 52, 4026–4037. [Google Scholar] [CrossRef]
- Pan, F.; Wen, B.; Luo, X.; Wang, C.; Wang, X.; Guan, X.; Xu, Y.; Dang, W.; Zhang, M. Influence of refining processes on the bioactive composition, in vitro antioxidant capacity, and their correlation of perilla seed oil. J. Food Sci. 2020, 85, 1160–1166. [Google Scholar] [CrossRef] [PubMed]
- Huang, S.; Miao, O.; Yuan, F.; Cao, O.; Ye, O.; Victoria, O.; Bareth, G. In-Season Diagnosis of Rice Nitrogen Status Using Proximal Fluorescence Canopy Sensor at Different Growth Stages. Remote Sens. 2019, 11, 1847. [Google Scholar] [CrossRef]
- Mediavilla, M.; Parra, M.R.-G.; Sánchez, C.; Apaolaza, L.H.; Pariente, F.; Lorenzo, E. Fluorescent enzymatic assay for direct total polyphenol determination in food-related samples. Talanta 2022, 247, 123576–123585. [Google Scholar] [CrossRef] [PubMed]
- Hunt, L.; Klem, K.; Lhotáková, Z.; Vosolsob, S.; Oravec, M.; Urban, O.; Špunda, V.; Albrechtová, J. Light and CO2 Modulate the Accumulation and Localization of Phenolic Compounds in Barley Leaves. Antioxidants 2021, 10, 385. [Google Scholar] [CrossRef] [PubMed]
- Vidot, K.; Guyot, S.; Maury, C.; Siret, R.; Lahaye, M. Data set on hydroxycinnamic acid ester analysis from the cell walls of apples and grapes. Data Brief 2020, 28, 104870. [Google Scholar] [CrossRef]
- Wua, D.; Chena, J.; Lua, B.; Xionga, L.; Hea, Y.; Zhanga, Y. Application of near infrared spectroscopy for the rapid determination of antioxidant activity of bamboo leaf extract. Food Chem. 2012, 135, 2147–2156. [Google Scholar] [CrossRef]
- Hua-Qing, Y.; Ji-Chun, Y.; Xue-Bo, Y. Ratiometric Fluorescence Sensing and Real-Time Detection of Water in Organic Solvents with One-Pot Synthesis of Ru@MIL-101(Al)–NH2. Anal. Chem. 2017, 89, 13434–13440. [Google Scholar]
- Linghua, M.; Yves, F.L.; Emile, M.; Gaydou, B.L. Antioxidant Activities of Polyphenols Extracted from Perilla frutescens Varieties. Molecules 2009, 14, 133–140. [Google Scholar]
- Pascale, T.; Jean-Luc, V.; Geneviève, C. Secondary Metabolite Localization by Autofluorescence in Living Plant Cells. Molecules 2015, 20, 5024–5037. [Google Scholar]
- Peterson, D.L.; Aber, J.D.; Matson, P.A.; Card, D.H.; Swanberg, N.; Wessman, C.; Spanner, M. Remote sensing of forest canopy and leaf biochemical contents. Remote Sens. Environ. 1988, 24, 85–108. [Google Scholar] [CrossRef]
- Tommaso, J.; Lawrence, A.C.; Micol, R.; Andreas, B.; Sergio, C.; Neville, D.; Milton, H.; Alasdair, M.A.; Elizabeth, M.M.; Uwe, R.; et al. Comparison of Sun-Induced Chlorophyll Fluorescence Estimates Obtained from Four Portable Field Spectroradiometers. Remote Sens. 2016, 8, 122. [Google Scholar]
- Pora, R.; Thompsonand, W.; Kriedemann, P. Determination of accurate extinction coefficients and simultaneous equations for assaying chlorophylls a and b extracted with four different solvents: Verification of the concentration of chlorophyll standards by atomic absorption spectroscopy. Biochim. Biophys. Acta 1989, 975, 384–394. [Google Scholar] [CrossRef]
- Singleton, V.L.; Orthofer, R.; Lamuela-Raventos, R.M. Analysis of total phenols and other oxidationn substrates and antioxidants by means of Folin-Ciocalteu reagent. Polyphen. Flavonoids 1999, 299, 152–178. [Google Scholar]
- Ricardo, G.W.; Antonio, S. Analysis of propolis: Some parameters and procedures for chemical quality control. J. Apicult. Res. 1998, 37, 99–105. [Google Scholar]
- Shimada, K.; Fujikawa, K.; Yahara, K.; Nakamura, T. Antioxidative properties of xanthan on the autoxidation of soybean oil in cyclodextrin emulsion. J. Agric. Food Chem. 1992, 40, 945–948. [Google Scholar] [CrossRef]
- Oyaizu, M. Studies on the product of browning reaction prepared from glucose amine. Jpn. J. Nutr. 1986, 44, 307–315. [Google Scholar] [CrossRef]
- Dasgupta, S.; Pandya, M.; Patel, N. Study on antioxidant activities of some less utilized edible fruits. Technol. Innov. Pharm. Res. 2001, 5, 24–32. [Google Scholar]
- Ou, B.; Hampsch-Woodill, M.; Prior, R.L. Information development and validation of an improved oxygen radical absorbance capacity assay using fluorescein as the fluorescent probe. J. Agric. Food Chem. 2001, 10, 4619–4626. [Google Scholar] [CrossRef]
- Sasaki, R.; Tainaka, R.; Ando, Y.; Hashi, Y.; Deepak, H.V.; Suga, Y.; Murai, Y.; Anetai, M.; Monde, K.; Ohta, K.; et al. An Automated Microliter-Scale High-Throughput Screening System (MSHTS) for Real-Time Monitoring of Protein Aggregation Using Quantum-Dot Nanoprobes. Sci. Rep. 2019, 9, 2587. [Google Scholar] [CrossRef]










| Index | NDSI | RSI | DSI | |||||||||
|---|---|---|---|---|---|---|---|---|---|---|---|---|
| λ | i | j | R2 | λ | i | j | R2 | λ | i | j | R2 | |
| (nm) | (nm) | (nm) | (nm) | (nm) | (nm) | (nm) | (nm) | (nm) | ||||
| Constituents | ||||||||||||
| Total Chl | 300 | 738 | 712 | 0.60 | 300 | 738 | 712 | 0.62 | 300 | 749 | 712 | 0.49 |
| TPC | 540 | 718.5 | 715.5 | 0.55 | 385 | 433.5 | 417 | 0.57 | 270 | 715 | 693 | 0.49 |
| TFC | 495 | 622 | 608 | 0.55 | 450 | 612 | 583.5 | 0.65 | 475 | 540 | 529 | 0.58 |
| RA | 340 | 738.5 | 701 | 0.71 | 340 | 738.5 | 701 | 0.70 | 330 | 656.5 | 644.5 | 0.71 |
| Functionality | ||||||||||||
| DPPH | 300 | 772 | 593 | 0.48 | 330 | 719.5 | 716 | 0.59 | 330 | 719.5 | 716 | 0.63 |
| FRAP | 365 | 749.5 | 741 | 0.68 | 365 | 749.5 | 741 | 0.69 | 475 | 540 | 534.5 | 0.70 |
| ORAC | 320 | 772 | 593 | 0.48 | 320 | 486.5 | 476 | 0.47 | 255 | 451 | 440.5 | 0.42 |
| Aβ | 285 | 728 | 706.5 | 0.50 | 285 | 728 | 706.5 | 0.52 | 320 | 741 | 729 | 0.51 |
| NDSI | RSI | DSI | ||||
|---|---|---|---|---|---|---|
| Regression Line | R2 | Regression Line | R2 | Regression Line | R2 | |
| Constituents | ||||||
| Total Chl (µg/mg) | Chl = 8.6 × NDSI300[738.0, 712.0] + 1.2 | 0.60 | Chl = 4.3 × RSI300[738.0, 712.0] − 3.1 | 0.62 | Chl = 0.040 × DSI300[749.0, 712.0] + 1.4 | 0.49 |
| TPC (µg GAE/mg) | TPC = –6500 × NDSI540[718.5, 715.5] + 320 | 0.55 | TPC = 1600 × RSI385[433.5, 417.0] − 1400 | 0.57 | TPC = 3.7 × DSI270[715.0, 693.0] + 170 | 0.49 |
| TFC (µg QE/mg) | TFC = –1200 × NDSI495[622.0, 608.0] + 5.9 | 0.55 | TFC = 510 × RSI450[612.0, 583.5] − 510 | 0.65 | TFC = –8.7 × DSI475[540.0, 529.0] + 81 | 0.58 |
| RA (µg/mg) | RA = –4.1 × NDSI340[738.5, 701.0] + 0.64 | 0.71 | RA = –1.9 × RSI340[738.0, 701.0] + 2.5 | 0.70 | RA = –0.042 × DSI330[656.5, 644.0] + 0.36 | 0.71 |
| Functionality | ||||||
| DPPH (µg/mL) | IC50 = 82 × NDSI300[772.0, 593.0] + 56 | 0.48 | IC50 = 391 × RSI330[719.5, 716.0] − 353 | 0.59 | IC50 = 3.7 × DSI330[719.5, 716.0] + 35 | 0.63 |
| FRAP (mg AEE/100 g) | FRAP = 3200 × NDSI365[749.5, 741.0] + 330 | 0.68 | FRAP = 1800 × RSI365[749.5, 741.0] − 1500 | 0.69 | FRAP = 60 × DSI475[540.0, 534.5] + 68 | 0.70 |
| ORAC (µmol TE/g) | ORAC = 1200 × NDSI320[772.0, 593.0] + 30 | 0.49 | ORAC = 590 × RSI320[486.5, 476.0] − 560 | 0.47 | ORAC = 25 × DSI320[451.0, 440.5] + 16 | 0.42 |
| Aβ (µg/mL) | EC50 = 0.37 × NDSI285[728.0, 706.5] − 0.030 | 0.50 | EC50 = 0.18 × RSI285[728.0, 706.5] − 0.15 | 0.52 | EC50 = 0.020 × DSI320[741.0, 729.0] − 0.035 | 0.51 |
Disclaimer/Publisher’s Note: The statements, opinions and data contained in all publications are solely those of the individual author(s) and contributor(s) and not of MDPI and/or the editor(s). MDPI and/or the editor(s) disclaim responsibility for any injury to people or property resulting from any ideas, methods, instructions or products referred to in the content. |
© 2023 by the authors. Licensee MDPI, Basel, Switzerland. This article is an open access article distributed under the terms and conditions of the Creative Commons Attribution (CC BY) license (https://creativecommons.org/licenses/by/4.0/).
Share and Cite
Sano, H.; Kawaguchi, S.; Iimori, T.; Kuragano, M.; Tokuraku, K.; Uwai, K. On-Site Evaluation of Constituent Content and Functionality of Perilla frutescens var. crispa Using Fluorescence Spectra. Molecules 2023, 28, 7199. https://doi.org/10.3390/molecules28207199
Sano H, Kawaguchi S, Iimori T, Kuragano M, Tokuraku K, Uwai K. On-Site Evaluation of Constituent Content and Functionality of Perilla frutescens var. crispa Using Fluorescence Spectra. Molecules. 2023; 28(20):7199. https://doi.org/10.3390/molecules28207199
Chicago/Turabian StyleSano, Hidemichi, Satoru Kawaguchi, Toshifumi Iimori, Masahiro Kuragano, Kiyotaka Tokuraku, and Koji Uwai. 2023. "On-Site Evaluation of Constituent Content and Functionality of Perilla frutescens var. crispa Using Fluorescence Spectra" Molecules 28, no. 20: 7199. https://doi.org/10.3390/molecules28207199
APA StyleSano, H., Kawaguchi, S., Iimori, T., Kuragano, M., Tokuraku, K., & Uwai, K. (2023). On-Site Evaluation of Constituent Content and Functionality of Perilla frutescens var. crispa Using Fluorescence Spectra. Molecules, 28(20), 7199. https://doi.org/10.3390/molecules28207199

