Ecofriendly Synthesis of Magnetic Composites Loaded on Rice Husks for Acid Blue 25 Decontamination: Adsorption Kinetics, Thermodynamics, and Isotherms
Abstract
:1. Introduction
2. Results and Discussion
2.1. Characterization of Fe2O3@RH Composites
2.1.1. FTIR
2.1.2. SEM
2.1.3. pH(PZC)
2.1.4. Brunauer–Emmett–Teller (BET)
2.1.5. Thermogravimetric Analysis (TGA)
2.2. Adsorption Parameters
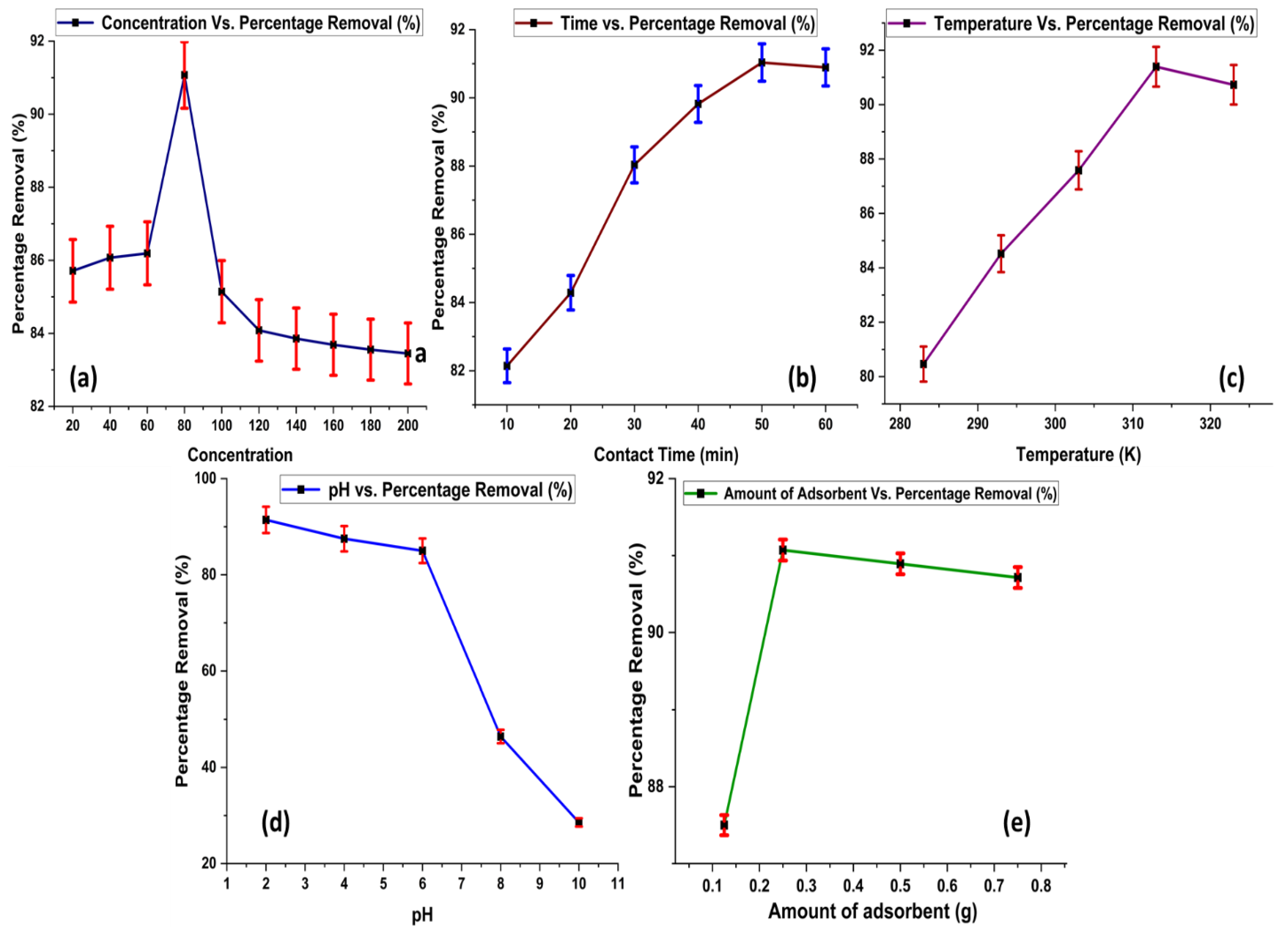
2.2.1. Effect of Initial Concentration of Acid Blue 25
2.2.2. Effect of Contact Time
2.2.3. Effect of Temperature
2.2.4. Effect of pH
2.2.5. Effect of Amount of Adsorbent
2.3. Thermodynamics
2.4. Adsorption Isotherms
2.5. Adsorption Kinetics
2.6. Desorption/Regeneration of Fe2O3@RH Composites
2.7. Adsorption Mechanism
2.8. Comparison of Present Study with Reported Data
3. Materials and Methods
3.1. Materials and Equipment
3.2. Methods
3.2.1. Preparation of Rice Husk
3.2.2. Synthesis of Fe2O3@RH Composites
3.3. Batch Experiment
3.4. Point of Zero Charge (pHPZC)
4. Conclusions
Supplementary Materials
Author Contributions
Funding
Institutional Review Board Statement
Informed Consent Statement
Data Availability Statement
Acknowledgments
Conflicts of Interest
Sample Availability
References
- Gill, A.R.; Viswanathan, K.K.; Hassan, S.J.R. The Environmental Kuznets Curve (EKC) and the environmental problem of the day. Renew. Sustain. Energy Rev. 2018, 81, 1636–1642. [Google Scholar] [CrossRef]
- Botkin, D.B.; Keller, E.A. Environmental Science: Earth as a Living Planet; John Wiley & Sons Ltd.: Hoboken, NJ, USA, 1998. [Google Scholar]
- Singh, R.L.; Singh, R.P.; Gupta, R.; Singh, R. Advances in Biological Treatment of Industrial Waste Water and Their Recycling for a Sustainable Future; Springer: Berlin/Heidelberg, Germany, 2019. [Google Scholar]
- Gong, R.; Li, M.; Yang, C.; Sun, Y.; Chen, J. Removal of cationic dyes from aqueous solution by adsorption on peanut hull. J. Hazard. Mater. 2005, 121, 247–250. [Google Scholar] [CrossRef]
- Kanwal, S.; Irfan, A.; Al-Hussain, S.A.; Sharif, G.; Mumtaz, A.; Batool, F.; Zaki, M.E.A. Fabrication of Composites of Sodium Alginate with Guar Gum and Iron Coated Activated Alumina for the Purification of Water from Direct Blue 86. Coatings 2023, 13, 103. [Google Scholar] [CrossRef]
- Kant, R. Textile dyeing industry an environmental hazard. Nat. Sci. 2012, 4, 17027. [Google Scholar] [CrossRef]
- Weldegebrieal, G.K. Synthesis method, antibacterial and photocatalytic activity of ZnO nanoparticles for azo dyes in wastewater treatment: A review. Inorg. Chem. Commun. 2020, 120, 108140. [Google Scholar] [CrossRef]
- Doble, M.; Kumar, A. Biotreatment of Industrial Effluents; Elsevier: Amsterdam, The Netherlands, 2005. [Google Scholar]
- Padhi, B.S. Pollution due to synthetic dyes toxicity & carcinogenicity studies and remediation. Int. J. Environ. Sci. 2012, 3, 940–955. [Google Scholar]
- Lellis, B.; Fávaro-Polonio, C.Z.; Pamphile, J.A.; Polonio, J.C. Innovation, Effects of textile dyes on health and the environment and bioremediation potential of living organisms. BIORI 2019, 3, 275–290. [Google Scholar] [CrossRef]
- Chequer, F.M.D.; Dorta, D.J.; de Oliveira, D.P. Azo dyes and their metabolites: Does the discharge of the azo dye into water bodies represent human and ecological risks. Adv. Treat. Text. Effl. 2011, 48, 28–48. [Google Scholar]
- Pinheiro, H.M.; Touraud, E.; Thomas, O. Aromatic amines from azo dye reduction: Status review with emphasis on direct UV spectrophotometric detection in textile industry wastewaters. Dye. Pigment. 2004, 61, 121–139. [Google Scholar] [CrossRef]
- Chakrabortty, D.; Gupta, S.S. Photo-catalytic decolourisation of toxic dye with N-doped Titania: A case study with Acid Blue 25. J. Environ. Sci. 2013, 25, 1034–1043. [Google Scholar] [CrossRef]
- Kurniawan, T.A.; Chan, G.Y.; Lo, W.H.; Babel, S. Physico–chemical treatment techniques for wastewater laden with heavy metals. J. Chem. Eng. 2006, 118, 83–98. [Google Scholar] [CrossRef]
- Gupta, V.K.; Kumar, R.; Nayak, A.; Saleh, T.A.; Barakat, M.J.A. Adsorptive removal of dyes from aqueous solution onto carbon nanotubes: A review. Adv. Colloid Interface Sci. 2013, 193, 24–34. [Google Scholar] [CrossRef]
- Paredes-Quevedo, L.C.; Castellanos, N.J.; Carriazo, J.G. Influence of Porosity and Surface Area of a Modified Kaolinite on the Adsorption of Basic Red 46 (BR-46). Water Air Soil Pollut. 2021, 232, 509. [Google Scholar] [CrossRef]
- Premalal, H.G.; Ismail, H.; Baharin, A.J.P.T. Comparison of the mechanical properties of rice husk powder filled polypropylene composites with talc filled polypropylene composites. Polym. Test. 2002, 21, 833–839. [Google Scholar] [CrossRef]
- Okoro, H.K.; Alao, S.M.; Pandey, S.; Jimoh, I.; Basheeru, K.A.; Caliphs, Z.; Ngila, J.C. Recent potential application of rice husk as an eco-friendly adsorbent for removal of heavy metals. Appl. Water Sci. 2022, 12, 259. [Google Scholar] [CrossRef]
- Homagai, P.L.; Poudel, R.; Poudel, S.; Bhattarai, A. Adsorption and removal of crystal violet dye from aqueous solution by modified rice husk. Heliyon 2022, 8, e09261. [Google Scholar] [CrossRef] [PubMed]
- Zhang, H.; Luan, Q.; Tang, H.; Huang, F.; Zheng, M.; Deng, Q.; Xiang, X.; Yang, C.; Shi, J.; Zheng, C.; et al. Removal of methyl orange from aqueous solutions by adsorption on cellulose hydrogel assisted with Fe2O3 nanoparticles. Cellulose 2017, 24, 903–914. [Google Scholar] [CrossRef]
- Lassoued, A.; Lassoued, M.S.; Dkhil, B.; Ammar, S.; Gadri, A. Synthesis, photoluminescence and Magnetic properties of iron oxide (α-Fe2O3) nanoparticles through precipitation or hydrothermal methods. Phys. E Low-Dimens. Syst. Nanostruct. 2018, 101, 212–219. [Google Scholar] [CrossRef]
- El-Sayed, S. Thermal decomposition, kinetics and combustion parameters determination for two different sizes of rice husk using TGA. Eng. Agric. Environ. Food 2019, 12, 460–469. [Google Scholar] [CrossRef]
- Wang, P.; Cao, M.; Wang, C.; Ao, Y.; Hou, J.; Qian, J. Kinetics and thermodynamics of adsorption of methylene blue by a magnetic graphene-carbon nanotube composite. Appl. Surf. Sci. 2014, 290, 116–124. [Google Scholar] [CrossRef]
- Foo, K.Y.; Hameed, B. An overview of dyes removal via activated carbon adsorption process. Desalin. Water Treat. 2011, 19, 255–274. [Google Scholar] [CrossRef]
- Hanafiah, M.A.K.M.; Ngah, W.S.W.; Zolkafly, S.H.; Teong, L.C.; Majid, Z.A.A. Acid Blue 25 adsorption on base treated Shorea dasyphylla sawdust: Kinetic, isotherm, thermodynamic and spectroscopic analysis. J. Environ. Sci. 2012, 24, 261–268. [Google Scholar] [CrossRef]
- Mangun, C.L.; Benak, K.R.; Daley, M.A.; Economy, J. Oxidation of activated carbon fibers: Effect on pore size, surface chemistry, and adsorption properties. Chem. Mater. 1999, 11, 3476–3483. [Google Scholar] [CrossRef]
- Isiuku, B.O.; Okonkwo, P.C.; Emeagwara, C.D. Batch adsorption isotherm models applied in single and multicomponent adsorption systems–a review. J. Dispers. Sci. 2021, 42, 1879–1897. [Google Scholar] [CrossRef]
- Ho, Y.S.; McKay, G. A comparison of chemisorption kinetic models applied to pollutant removal on various sorbents. Process Saf. Environ. Prot. 1998, 76, 332–340. [Google Scholar] [CrossRef]
- Nworie, F.S.; Nwabue, F.I.; Oti, W.; Mbam, E.; Nwali, B.U. Removal of methylene blue from aqueous solution using activated rice husk biochar: Adsorption isotherms, kinetics and error analysis. J. Chil. Chem. Soc. 2019, 64, 4365–4376. [Google Scholar] [CrossRef]
- Patel, H. Review on solvent desorption study from exhausted adsorbent. J. Saudi Chem. Soc. 2021, 25, 101302. [Google Scholar] [CrossRef]
- Rápó, E.; Tonk, S. Factors Affecting Synthetic Dye Adsorption; Desorption Studies: A Review of Results from the Last Five Years (2017–2021). Molecules 2021, 26, 5419. [Google Scholar] [CrossRef]
- Saroj, S.; Singh, S.V.; Mohan, D. Removal of Colour (Direct Blue 199) from Carpet Industry Wastewater Using Different Biosorbents (Maize Cob, Citrus Peel and Rice Husk). Arab. J. Sci. Eng. 2015, 40, 1553–1564. [Google Scholar] [CrossRef]
- El-Feky, H.H.; El-Sayed, G.O.; Shalabi, R.R. Removal of Acid Blue 342 from Aqueous Solution by Fe2O3/Fe3O4 Magnetic Nanocomposite. J. Appl. Sci. 2021, 6, 107–118. [Google Scholar] [CrossRef]
- Badii, K.; Ardejani, F.D.; Saberi, M.A.; Limaee, N.Y. Adsorption of Acid blue 25 dye on diatomite in aqueous solutions. Indian J. Chem. Technol. 2010, 17, 7–16. [Google Scholar]
- Wang, J.; Kou, L.; Huang, Z.; Zhao, L. One-pot preparation of MnO x impregnated cotton fibers for methylene blue dye removal. RSC Adv. 2018, 8, 21577–21584. [Google Scholar] [CrossRef]
- Zhang, H.; Wang, P.; Zhang, Y.; Cheng, B.; Zhu, R.; Li, F. Synthesis of a novel arginine-modified starch resin and its adsorption of dye wastewater. RSC Adv. 2020, 10, 41251–41263. [Google Scholar] [CrossRef] [PubMed]
- Modwi, A.; Abbo, M.A.; Hassan, E.A.; Houas, A. Effect of annealing on physicochemical and photocatalytic activity of Cu5% loading on ZnO synthesized by sol–gel method. J. Mater. Sci. Mater. Electron. 2016, 27, 12974–12984. [Google Scholar] [CrossRef]
- Yuan, Z.; Wang, J.; Wang, Y.; Liu, Q.; Zhong, Y.; Wang, Y.; Li, L.; Lincoln, S.F.; Guo, X. Preparation of a poly (acrylic acid) based hydrogel with fast adsorption rate and high adsorption capacity for the removal of cationic dyes. RSC Adv. 2019, 9, 21075–21085. [Google Scholar] [CrossRef]
- Khezami, L.; Aissa, M.A.B.; Modwi, A.; Guesmi, A.; Algethami, F.K.; Bououdina, M. Efficient removal of organic dyes by Cr-doped ZnO nanoparticles. Biomass Convers. Biorefin. 2022, 1–14. [Google Scholar] [CrossRef]
- Mahmood, T.; Saddique, M.T.; Naeem, A.; Westerhoff, P.; Mustafa, S.; Alum, A. Comparison of different methods for the point of zero charge determination of NiO. Ind. Eng. Chem. Res. 2011, 50, 10017–10023. [Google Scholar] [CrossRef]
- Gupta, V.; Nayak, A.J.C. Cadmium removal and recovery from aqueous solutions by novel adsorbents prepared from orange peel and Fe2O3 nanoparticles. J. Chem. Eng. 2012, 180, 81–90. [Google Scholar] [CrossRef]
- Sundaramurthy, S.; Srivastava, V.; Mishra, I.M. Isotherm, Thermodynamics, Desorption, and Disposal Study for the Adsorption of Catechol and Resorcinol onto Granular Activated Carbon. J. Chem. Eng. Data 2011, 56, 811–818. [Google Scholar]
- Salih, S.; Anwer, S.; Faraj, R. Biosorption of mercury from wastewater using isolated Aspergillus sp. modified 1,10 Phenanthroline: Hill isotherm model. Sci. J. Univ. Zakho 2017, 5, 288–295. [Google Scholar] [CrossRef]
- Bayuo, J.; Pelig-Ba, K.; Abukari, M. Isotherm Modeling of Lead (II) Adsorption From Aqueous Solution Using Groundnut Shell As A Low-Cost Adsorbent. IOSR J. Appl. Chem. 2018, 11, 18–23. [Google Scholar]
- Shafiq, M.; Alazba, P.; Amin, M. Kinetic and Isotherm Studies of Ni2+ and Pb2+ Adsorption from Synthetic Wastewater Using Eucalyptus camdulensis—Derived Biochar. Sustainability 2021, 13, 3785. [Google Scholar] [CrossRef]
- Oboh, I.; Aluyor, E.; Audu, T. Second-order kinetic model for the adsorption of divalent metal ions on Sida acuta leaves. Int. J. Phys. Sci. 2013, 8, 1722–1728. [Google Scholar]
- Zafar, S.; Khalid, N.; Daud, M.; Mirza, M. Kinetic Studies of the Adsorption of Thorium Ions onto Rice Husk from Aqueous Media: Linear and Nonlinear Approach. Nucleus 2015, 52, 14–19. [Google Scholar]
- Abbas, M. Application of Used Tea Leaves for Multi Functions. Eur. Acad. Res. 2014, 2, 8660–8690. [Google Scholar]
- Yu, T.; Liang, S.; Shang, X. In Kinetic and thermodynamic study of Am(III) sorption on Na-bentonite: Comparison of linear and non-linear methods. Indian J. Chem. Technol. 2017, 24, 123–133. [Google Scholar]
- Benmessaoud, A.; Djamel, N.; Mekatel, E.H.; Samira, A. A Comparative Study of the Linear and Non-Linear Methods for Determination of the Optimum Equilibrium Isotherm for Adsorption of Pb2+ Ions onto Algerian Treated Clay. Iran. J. Chem. Chem. Eng. 2020, 39, 153. [Google Scholar]












| Fe2O3@RH Composites (Before Adsorption) | ||||||
|---|---|---|---|---|---|---|
| Surface Area (m2/g) | SF-Method Micropore Volume (cc/g) | HK-Method Micropore Volume (cc/g) | SF-Method Pore Diameter (nm) | SF-Method Pore Diameter (Å) | HK-Method Pore Diameter (nm) | HK-Method Pore Diameter (Å) |
| 107.18 | 0.047 | 0.049 | 0.4522 | 4.522 | 0.432 | 4.32 |
| Thermodynamics Model | Acid Blue 25 Dye | ||
|---|---|---|---|
| Parameters | Temp. (°C) | Temp. (K) | Fe2O3@RH Composites |
| ΔG° (KJ/mol) | 10 | 283 | 0.4563 |
| 20 | 293 | −0.2144 | |
| 30 | 303 | −0.8667 | |
| 40 | 313 | −1.9592 | |
| 50 | 323 | −1.8032 | |
| ΔH° (KJ/mol) | Calculated from slope | 18.330 | |
| ΔS° (J/K*mol) | Calculated from intercept | 63.353 | |
| R2 | 0.92 | ||
| Isothermal Models | Acid Blue 25 Dye (Linear Form) | Acid Blue 25 Dye (Nonlinear Form) |
|---|---|---|
| Freundlich | Fe2O3@RH Composites | Fe2O3@RH Composites |
| KF (mg/g) | 1.719 | 2.12 |
| 1/n | 0.851 | 0.77 |
| R2 | 0.942 | 0.96 |
| Langmuir | Fe2O3@RH Composites | Fe2O3@RH Composites |
| RL | 0.913 | - |
| qm (mg/g) | 529.10 | 92.68 |
| KL | 0.0024 | 0.0159 |
| R2 | 0.96 | 0.97 |
| Dubinin–Radushkevich | Fe2O3@RH Composites | Fe2O3@RH Composites |
| qmDR (mg/g) | 22.462 | 1061.33 |
| KDR (mol2/kJ2) | 3.82E-06 | −1.40 |
| R2 | 0.8 | 0.96 |
| E (KJ/mol) | 361.79 | - |
| Temkin | Fe2O3@RH Composites | Fe2O3@RH Composites |
| KT | 0.37 | 0.3738 |
| R2 | 0.92 | 0.921 |
| BT (J/mol) | 11.69 | RT/BT = 11.691 |
| Kinetic Models | Acid Blue 25 Dye (Linear Form) | Acid Blue 25 Dye (Nonlinear Form) |
|---|---|---|
| Pseudo-first-order | Fe2O3@RH Composites | Fe2O3@RH Composites |
| K1 (g/mg.min) | −0.003 | 0.24 |
| qe1 (mg/g) | 3.30E6 | 14.25 |
| R2 | 0.9 | 0.99 |
| Pseudo-second-order | Fe2O3@RH Composites (Type I) | Fe2O3@RH Composites |
| K2 (g/mg.min) | 0.072 | 0.0473 |
| qe2 (mg/g) | 14.72 | 14.82 |
| R2 | 0.999 | 0.99 |
| Pseudo-second-order | Fe2O3@RH Composites (Type II) | Fe2O3@RH Composites |
| K2 (g/mg.min) | 0.043157516 | - |
| qe2 (mg/g) | −1.555209953 | - |
| R2 | 0.88 | - |
| Pseudo-second-order | Fe2O3@RH Composites (Type III) | Fe2O3@RH Composites |
| K2 (g/mg.min) | 0.1667 | - |
| qe2 (mg/g) | 9.458 | - |
| R2 | 0.87 | - |
| Pseudo-second-order | Fe2O3@RH Composites (Type IV) | Fe2O3@RH Composites |
| K2 (g/mg.min) | 0.128 | - |
| qe2 (mg/g) | 10.72 | - |
| R2 | 0.87 | - |
| Elovich | Fe2O3@RH Composites | Fe2O3@RH Composites |
| α | 268539.7755 | 266024.169 |
| β | 1.142857143 | 1.141 |
| R2 | 0.96 | 0.99 |
| Intraparticle Diffusion | Fe2O3@RH Composites | Fe2O3@RH Composites |
| C | 12.09 | 1.11 |
| Kdiff | 0.33 | 5.38 |
| R2 | 0.94 | 0.93 |
Disclaimer/Publisher’s Note: The statements, opinions and data contained in all publications are solely those of the individual author(s) and contributor(s) and not of MDPI and/or the editor(s). MDPI and/or the editor(s) disclaim responsibility for any injury to people or property resulting from any ideas, methods, instructions or products referred to in the content. |
© 2023 by the authors. Licensee MDPI, Basel, Switzerland. This article is an open access article distributed under the terms and conditions of the Creative Commons Attribution (CC BY) license (https://creativecommons.org/licenses/by/4.0/).
Share and Cite
Batool, F.; Kanwal, S.; Kanwal, H.; Noreen, S.; Hodhod, M.S.; Mustaqeem, M.; Sharif, G.; Naeem, H.K.; Zahid, J.; Gaafar, A.-R.Z. Ecofriendly Synthesis of Magnetic Composites Loaded on Rice Husks for Acid Blue 25 Decontamination: Adsorption Kinetics, Thermodynamics, and Isotherms. Molecules 2023, 28, 7124. https://doi.org/10.3390/molecules28207124
Batool F, Kanwal S, Kanwal H, Noreen S, Hodhod MS, Mustaqeem M, Sharif G, Naeem HK, Zahid J, Gaafar A-RZ. Ecofriendly Synthesis of Magnetic Composites Loaded on Rice Husks for Acid Blue 25 Decontamination: Adsorption Kinetics, Thermodynamics, and Isotherms. Molecules. 2023; 28(20):7124. https://doi.org/10.3390/molecules28207124
Chicago/Turabian StyleBatool, Fozia, Samia Kanwal, Hafsa Kanwal, Sobia Noreen, Mohamed S. Hodhod, Muhammad Mustaqeem, Gulnaz Sharif, Hafiza Komal Naeem, Javeria Zahid, and Abdel-Rhman Z. Gaafar. 2023. "Ecofriendly Synthesis of Magnetic Composites Loaded on Rice Husks for Acid Blue 25 Decontamination: Adsorption Kinetics, Thermodynamics, and Isotherms" Molecules 28, no. 20: 7124. https://doi.org/10.3390/molecules28207124
APA StyleBatool, F., Kanwal, S., Kanwal, H., Noreen, S., Hodhod, M. S., Mustaqeem, M., Sharif, G., Naeem, H. K., Zahid, J., & Gaafar, A.-R. Z. (2023). Ecofriendly Synthesis of Magnetic Composites Loaded on Rice Husks for Acid Blue 25 Decontamination: Adsorption Kinetics, Thermodynamics, and Isotherms. Molecules, 28(20), 7124. https://doi.org/10.3390/molecules28207124

