Influence of Pasteurization on Maillard Reaction in Lactose-Free Milk
Abstract
1. Introduction
2. Results and Discussion
2.1. Single-Factor Experiment on the Preparation of LFM by Lactase Hydrolysis
2.2. Orthogonal Test for the Preparation of LFM by Lactase Hydrolysis
2.3. Changes in Furosine Content
2.3.1. Changes in Furosine Content after Pasteurization
2.3.2. Changes in Furosine Content during Storage at 4 °C
2.3.3. Changes in Furosine Content during Storage at 25 °C
2.3.4. Changes in Furosine Content during Storage at 37 °C
2.4. Changes in the Content of HMF
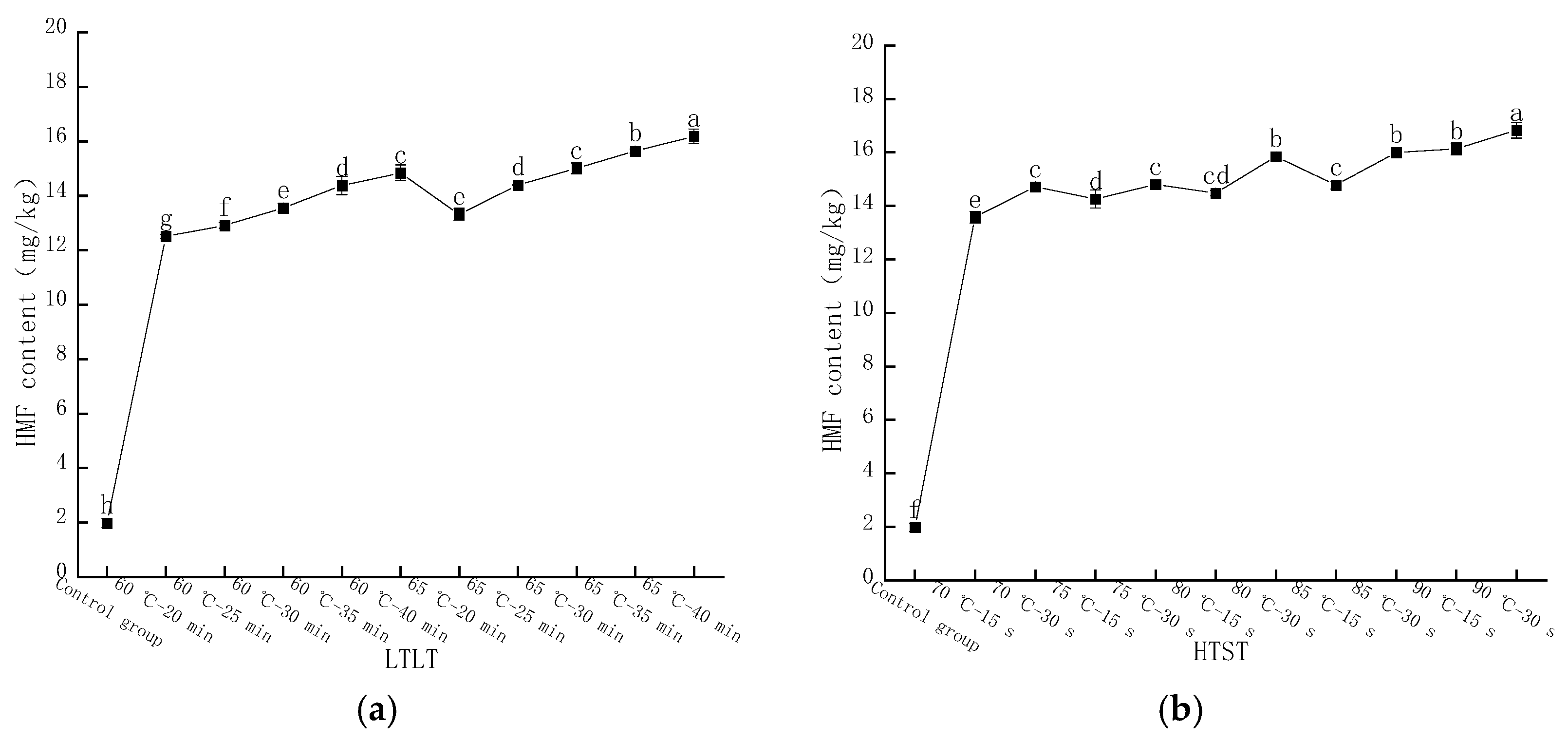
2.4.1. Changes in HMF Content after Pasteurization
2.4.2. Changes in HMF Content during Storage at 4 °C
2.4.3. Changes in HMF Content during Storage at 25 °C
2.4.4. Changes in HMF Content during Storage at 37 °C
2.5. Color Analysis
2.5.1. Changes in Color after Pasteurization
2.5.2. Color Change during Storage at 4 °C
2.5.3. Color Change during Storage at 25 °C
2.5.4. Color Change during Storage at 37 °C
2.6. Endogenous Fluorescence Spectroscopy (EFS) Analysis
2.6.1. EFS after Pasteurization
2.6.2. EFS during Storage at 4 °C
2.6.3. EFS during Storage at 25 °C
2.6.4. EFS during Storage at 37 °C
3. Materials and Methods
3.1. Materials and Instruments
3.2. Experimental Methods
3.2.1. Singe-Factor Experiment on the Preparation of LFM by Lactase Hydrolysis
3.2.2. Orthogonal Test for the Preparation of LFM by Lactase Hydrolysis
3.2.3. Lactose Analysis
3.2.4. Pasteurization of LFM
3.2.5. Analysis of Storage Conditions for LFM Samples
3.2.6. Furosine Content Analysis
3.2.7. HMF Analysis
3.2.8. Color Analysis
3.2.9. EFS Analysis
3.3. Statistical Analysis
4. Conclusions
Author Contributions
Funding
Institutional Review Board Statement
Informed Consent Statement
Data Availability Statement
Conflicts of Interest
Appendix A
| Pasteurization Conditions (°C—min) | L* | a* | b* |
|---|---|---|---|
| Control | 107.39 ± 0.85 a | 0.21 ± 0.03 a | 8.62 ± 0.83 a |
| 60–20 | 93.86 ± 0.51 hijkl | −0.44 ± 0.07 gh | 3.44 ± 0.37 fgh |
| 60–25 | 88.11 ± 0.46 n | −0.10 ± 0.07 bc | 1.88 ± 0.10 i |
| 60–30 | 90.58 ± 0.16 mn | −0.47 ± 0.01 gh | 3.56 ± 0.09 fgh |
| 60–35 | 95.48 ± 0.34 ghi | −0.26 ± 0.03 de | 3.84 ± 0.10 efg |
| 60–40 | 101.73 ± 0.61 bck | −0.69 ± 0.06 k | 5.11 ± 0.10 bc |
| 65–20 | 94.38 ± 0.74 ghij | −0.52 ± 0.03 hi | 3.55 ± 0.20 fgh |
| 65–25 | 95.41 ± 0.91 ghi | −0.03 ± 0.05 b | 3.77 ± 0.23 efg |
| 65–30 | 92.72 ± 0.47 jklm | −0.25 ± 0.02 de | 2.57 ± 0.11 hi |
| 65–35 | 95.95 ± 0.19 fghi | −0.35 ± 0.01 efg | 3.57 ± 0.07 fg |
| 65–40 | 94.76 ± 1.68 ghijk | −0.10 ± 0.07 bcj | 4.30 ± 0.53 cdef |
| Pasteurization conditions (°C—s) | L* | a* | b* |
| 70–15 | 99.61 ± 0.22 bcde | −0.80 ± 0.01 kl | 5.48 ± 0.05 b |
| 70–30 | 91.41 ± 0.35 lm | −0.38 ± 0.02 efg | 3.76 ± 0.09 efg |
| 75–15 | 98.82 ± 2.90 de | −0.43 ± 0.09 fgh | 5.29 ± 0.26 b |
| 75–30 | 98.67 ± 0.45 def | −0.31 ± 0.04 def | 4.84 ± 0.10 bcd |
| 80–15 | 92.36 ± 0.54 klm | −0.65 ± 0.02 ij | 4.71 ± 0.09 bcde |
| 80–30 | 92.53 ± 0.29 djklm | −0.29 ± 0.02 de | 2.86 ± 0.06 ghi |
| 85–15 | 96.77 ± 0.41 efg | −0.68 ± 0.09 jk | 5.47 ± 0.62 b |
| 85–30 | 99.20 ± 0.17 ce | −0.30 ± 0.02 de | 4.05 ± 0.08 def |
| 90–15 | 102.35 ± 0.70 b | −0.83 ± 0.03 l | 5.65 ± 0.24 b |
| 90–30 | 95.20 ± 0.76 ghij | −0.18 ± 0.04 cd | 4.01 ± 0.54 def |
| Pasteurization Conditions (°C—min) | Storage Time (d) | L* | a* | b* |
|---|---|---|---|---|
| 60–20 | 0 | 93.86 ± 0.51 c | −0.44 ± 0.07 a | 3.44 ± 0.37 b |
| 3 | 93.07 ± 0.31 c | −0.72 ± 0.02 c | 3.04 ± 0.04 c | |
| 6 | 98.65 ± 1.51 b | −0.68 ± 0.08 c | 4.35 ± 0.25 a | |
| 9 | 100.96 ± 1.01 a | −0.39 ± 0.02 a | 4.69 ± 0.15 a | |
| 12 | 90.63 ± 0.14 d | −0.69 ± 0.03 c | 3.65 ± 0.11 b | |
| 15 | 91.40 ± 0.27 d | −0.53 ± 0.02 b | 2.41 ± 0.09 d | |
| 60–25 | 0 | 88.11 ± 0.46 f | −0.10 ± 0.07 a | 1.88 ± 0.10 d |
| 3 | 93.41 ± 0.35 c | −0.79 ± 0.04 e | 3.62 ± 0.12 bc | |
| 6 | 95.17 ± 0.32 b | −0.45 ± 0.02 c | 3.31 ± 0.19 b | |
| 9 | 92.11 ± 0.28 d | −0.26 ± 0.02 b | 1.55 ± 0.06 d | |
| 12 | 90.49 ± 0.11 e | −0.60 ± 0.03 d | 2.82 ± 0.64 c | |
| 15 | 99.14 ± 0.24 a | −0.59 ± 0.02 d | 4.35 ± 0.08 a | |
| 60–30 | 0 | 90.58 ± 0.16 d | −0.47 ± 0.01 a | 3.56 ± 0.09 bc |
| 3 | 95.30 ± 0.20 b | −0.91 ± 0.07 d | 3.91 ± 0.05 a | |
| 6 | 98.52 ± 0.11 a | −0.57 ± 0.02 b | 2.88 ± 0.07 d | |
| 9 | 95.27 ± 0.34 b | −0.41 ± 0.03 a | 3.50 ± 0.25 c | |
| 12 | 97.41 ± 0.30 a | −0.70 ± 0.01 c | 3.45 ± 0.12 c | |
| 15 | 92.93 ± 1.49 c | −0.73 ± 0.06 c | 3.84 ± 0.27 ab | |
| 60–35 | 0 | 95.48 ± 0.34 c | −0.26 ± 0.03 a | 3.84 ± 0.10 b |
| 3 | 96.38 ± 0.33 b | −1.15 ± 0.03 d | 3.95 ± 0.10 b | |
| 6 | 98.68 ± 0.21 a | −0.76 ± 0.01 c | 3.23 ± 0.07 c | |
| 9 | 96.63 ± 0.41 b | −0.29 ± 0.03 a | 4.63 ± 0.07 a | |
| 12 | 93.47 ± 0.75 d | −0.46 ± 0.05 b | 2.86 ± 0.12 d | |
| 15 | 94.68 ± 0.51 c | −0.73 ± 0.02 c | 2.53 ± 0.11 e | |
| 60–40 | 0 | 101.73 ± 0.61 a | −0.69 ± 0.06 bc | 5.11 ± 0.10 a |
| 3 | 102.63 ± 0.32 a | −1.04 ± 0.05 e | 4.76 ± 0.38 ab | |
| 6 | 93.51 ± 0.88 c | −0.88 ± 0.01 d | 4.52 ± 0.18 b | |
| 9 | 94.97 ± 0.46 b | −0.52 ± 0.03 a | 4.08 ± 0.17 c | |
| 12 | 93.36 ± 0.48 c | −0.62 ± 0.02 b | 3.12 ± 0.19 d | |
| 15 | 93.16 ± 0.57 c | −0.71 ± 0.02 c | 3.25 ± 0.10 d | |
| 65–25 | 0 | 95.41 ± 0.91 c | −0.03 ± 0.05 a | 3.77 ± 0.23 bc |
| 3 | 98.96 ± 0.29 b | −0.92 ± 0.02 d | 4.23 ± 0.24 b | |
| 6 | 102.08 ± 1.09 a | −1.00 ± 0.09 d | 5.57 ± 0.59 a | |
| 9 | 92.82 ± 1.06 d | −0.68 ± 0.04 c | 3.46 ± 0.34 c | |
| 12 | 98.57 ± 1.47 b | −0.48 ± 0.04 b | 3.64 ± 0.24 bc | |
| 15 | 96.12 ± 0.77 c | −0.66 ± 0.04 c | 3.37 ± 0.13 c | |
| 65–30 | 0 | 92.72 ± 0.47 c | −0.25 ± 0.02 a | 2.57 ± 0.11 d |
| 3 | 87.18 ± 1.30 d | −0.51 ± 0.04 c | 1.47 ± 0.29 e | |
| 6 | 92.46 ± 0.71 c | −0.64 ± 0.04 d | 3.66 ± 0.24 a | |
| 9 | 97.02 ± 0.42 b | −0.68 ± 0.04 d | 3.59 ± 0.13 ab | |
| 12 | 96.46 ± 0.71 b | −0.80 ± 0.02 e | 3.28 ± 0.06 bc | |
| 15 | 98.61 ± 0.22 a | −0.41 ± 0.03 b | 2.99 ± 0.13 c | |
| 65–35 | 0 | 95.95 ± 0.19 e | −0.35 ± 0.01 b | 3.57 ± 0.07 e |
| 3 | 99.91 ± 0.87 c | −1.17 ± 0.02 e | 5.70 ± 0.21 a | |
| 6 | 102.86 ± 0.35 b | −1.13 ± 0.02 de | 4.87 ± 0.10 c | |
| 9 | 103.82 ± 0.20 a | −1.09 ± 0.04 d | 5.35 ± 0.18 b | |
| 12 | 98.67 ± 0.12 d | −0.68 ± 0.02 c | 3.83 ± 0.06 d | |
| 15 | 94.29 ± 0.58 f | −0.24 ± 0.04 a | 2.61 ± 0.16 f | |
| 65–40 | 0 | 94.76 ± 1.68 c | −0.10 ± 0.07 a | 4.30 ± 0.53 ab |
| 3 | 95.66 ± 0.90 bc | −0.44 ± 0.03 b | 3.53 ± 0.25 cd | |
| 6 | 93.72 ± 1.05 c | −0.63 ± 0.03 c | 3.27 ± 0.24 d | |
| 9 | 98.66 ± 2.04 a | −0.66 ± 0.05 cd | 4.40 ± 0.20 a | |
| 12 | 98.26 ± 0.27 a | −0.65 ± 0.04 cd | 3.15 ± 0.15 d | |
| 15 | 97.18 ± 0.30 ab | −0.72 ± 0.02 d | 3.85 ± 0.07 bc | |
| Pasteurization conditions (°C—s) | Storage time (d) | L* | a* | b* |
| 70–15 | 0 | 99.61 ± 0.22 a | −0.80 ± 0.01 b | 5.48 ± 0.05 a |
| 3 | 95.55 ± 0.25 b | −0.84 ± 0.03 b | 4.59 ± 0.09 b | |
| 6 | 92.76 ± 2.20 cd | −0.84 ± 0.05 b | 3.48 ± 0.47 cd | |
| 9 | 94.46 ± 0.88 bc | −0.95 ± 0.06 c | 5.12 ± 0.56 ab | |
| 12 | 91.37 ± 1.13 d | −0.51 ± 0.07 a | 2.84 ± 0.53 d | |
| 15 | 96.34 ± 0.06 b | −0.43 ± 0.01 a | 3.88 ± 0.03 c | |
| 70–30 | 0 | 91.41 ± 0.35 e | −0.38 ± 0.02 b | 3.76 ± 0.09 b |
| 3 | 95.81 ± 0.62 c | −1.05 ± 0.03 f | 3.75 ± 0.13 b | |
| 6 | 93.71 ± 0.75 d | −0.65 ± 0.04 c | 2.12 ± 0.29 c | |
| 9 | 96.64 ± 0.03 b | −0.70 ± 0.02 d | 3.64 ± 0.07 b | |
| 12 | 99.12 ± 0.25 a | −0.96 ± 0.01 e | 4.56 ± 0.07 a | |
| 15 | 86.82 ± 0.08 f | −0.27 ± 0.02 a | 1.49 ± 0.07 d | |
| 75–15 | 0 | 98.82 ± 2.90 ab | −0.43 ± 0.09 b | 5.29 ± 0.26 a |
| 3 | 91.12 ± 0.06 cd | −0.77 ± 0.01 c | 2.97 ± 0.02 d | |
| 6 | 100.43 ± 1.78 a | −0.75 ± 0.08 c | 4.59 ± 0.19 b | |
| 9 | 88.64 ± 0.50 d | −0.53 ± 0.03 b | 2.90 ± 0.30 d | |
| 12 | 92.64 ± 0.39 c | −0.14 ± 0.05 a | 2.34 ± 0.55 e | |
| 15 | 96.17 ± 2.09 b | −0.44 ± 0.08 b | 3.65 ± 0.17 c | |
| 75–30 | 0 | 98.67 ± 0.45 c | −0.31 ± 0.04 a | 4.84 ± 0.10 b |
| 3 | 102.87 ± 0.06 a | −1.13 ± 0.04 e | 5.35 ± 0.12 a | |
| 6 | 96.53 ± 0.78 e | −0.78 ± 0.03 c | 3.37 ± 0.21 e | |
| 9 | 97.59 ± 0.18 d | −0.81 ± 0.03 c | 3.72 ± 0.14 d | |
| 12 | 101.67 ± 0.46 b | −1.00 ± 0.02 d | 4.48 ± 0.19 c | |
| 15 | 91.80 ± 0.39 f | −0.42 ± 0.03 b | 3.79 ± 0.12 d | |
| 80–15 | 0 | 92.36 ± 0.54 c | −0.65 ± 0.02 b | 4.71 ± 0.09 ab |
| 3 | 94.90 ± 0.26 b | −0.93 ± 0.02 d | 4.42 ± 0.06 b | |
| 6 | 94.93 ± 0.19 b | −0.74 ± 0.04 c | 4.61 ± 0.02 ab | |
| 9 | 96.99 ± 0.58 a | −0.66 ± 0.06 b | 4.88 ± 0.43 a | |
| 12 | 94.40 ± 0.55 b | −0.95 ± 0.01 d | 3.59 ± 0.13 c | |
| 15 | 89.35 ± 0.47 d | −0.35 ± 0.04 a | 1.68 ± 0.19 d | |
| 80–30 | 0 | 92.53 ± 0.29 c | −0.29 ± 0.02 a | 2.86 ± 0.06 bc |
| 3 | 91.37 ± 0.27 de | −0.54 ± 0.01 bc | 2.18 ± 0.10 d | |
| 6 | 97.05 ± 0.37 a | −0.79 ± 0.06 e | 3.49 ± 0.21 a | |
| 9 | 92.24 ± 0.19 cd | −0.69 ± 0.03 d | 3.26 ± 0.14 ab | |
| 12 | 90.48 ± 1.41 e | −0.46 ± 0.08 b | 2.11 ± 0.52 d | |
| 15 | 95.77 ± 0.05 b | −0.57 ± 0.03 c | 2.56 ± 0.04 cd | |
| 85–15 | 0 | 96.77 ± 0.41 b | −0.68 ± 0.09 c | 5.47 ± 0.62 a |
| 3 | 100.76 ± 0.51 a | −0.87 ± 0.01 d | 5.08 ± 0.36 a | |
| 6 | 92.63 ± 1.22 d | −0.91 ± 0.04 d | 3.77 ± 0.14 b | |
| 9 | 90.81 ± 0.55 e | −0.32 ± 0.02 a | 3.35 ± 0.15 b | |
| 12 | 94.04 ± 0.56 c | −0.29 ± 0.01 a | 2.67 ± 0.13 c | |
| 15 | 94.40 ± 0.06 c | −0.54 ± 0.01 b | 2.67 ± 0.03 c | |
| 85–30 | 0 | 99.20 ± 0.17 bc | −0.30 ± 0.02 a | 4.05 ± 0.08 b |
| 3 | 98.28 ± 0.41 c | −1.05 ± 0.04 f | 4.16 ± 0.15 b | |
| 6 | 89.09 ± 0.68 d | −0.56 ± 0.02 c | 2.78 ± 0.14 c | |
| 9 | 99.70 ± 0.18 b | −0.70 ± 0.03 d | 3.92 ± 0.29 b | |
| 12 | 102.41 ± 0.20 a | −0.91 ± 0.02 e | 4.70 ± 0.05 a | |
| 15 | 101.97 ± 1.65 a | −0.49 ± 0.05 b | 3.99 ± 0.14 b | |
| 90–15 | 0 | 102.35 ± 0.70 b | −0.83 ± 0.03 d | 5.65 ± 0.24 a |
| 3 | 99.34 ± 0.60 c | −0.68 ± 0.02 c | 4.99 ± 0.04 b | |
| 6 | 95.28 ± 0.21 d | −0.56 ± 0.04 b | 4.47 ± 0.09 c | |
| 9 | 93.48 ± 0.38 e | −0.48 ± 0.13 b | 2.92 ± 0.04 d | |
| 12 | 103.60 ± 0.04 a | −0.89 ± 0.05 d | 4.30 ± 0.01 c | |
| 15 | 88.41 ± 0.84 f | −0.04 ± 0.04 a | 1.86 ± 0.42 e | |
| 90–30 | 0 | 95.20 ± 0.76 c | −0.18 ± 0.04 a | 4.01 ± 0.54 a |
| 3 | 98.03 ± 0.17 b | −0.73 ± 0.02 d | 3.30 ± 0.02 b | |
| 6 | 95.08 ± 0.29 c | −0.77 ± 0.08 d | 3.70 ± 0.44 ab | |
| 9 | 90.00 ± 0.62 e | −0.64 ± 0.03 c | 2.43 ± 0.15 c | |
| 12 | 99.24 ± 0.20 a | −0.79 ± 0.03 d | 3.84 ± 0.20 ab | |
| 15 | 92.42 ± 0.12 d | −0.55 ± 0.02 b | 1.86 ± 0.07 d |
| Pasteurization Conditions (°C—min) | Storage Time (d) | L* | a* | b* |
|---|---|---|---|---|
| 60–20 | 0 | 93.86 ± 0.51 a | −0.44 ± 0.07 a | 3.44 ± 0.37 b |
| 2 | 82.47 ± 0.89 d | −0.73 ± 0.02 b | 2.24 ± 0.16 cd | |
| 4 | 88.48 ± 1.00 b | −1.11 ± 0.10 c | 2.51 ± 0.53 c | |
| 6 | 79.38 ± 0.35 e | −0.47 ± 0.05 a | 1.83 ± 0.14 d | |
| 8 | 80.30 ± 1.64 de | −1.31 ± 0.06 d | 4.41 ± 0.32 a | |
| 10 | 84.95 ± 2.29 c | −1.14 ± 0.05 c | 3.59 ± 0.40 b | |
| 60–25 | 0 | 88.11 ± 0.46 bc | −0.10 ± 0.07 a | 1.88 ± 0.10 d |
| 2 | 95.28 ± 2.27 a | −0.44 ± 0.09 b | 3.87 ± 0.60 b | |
| 4 | 89.11 ± 2.31 b | −0.17 ± 0.07 a | 2.99 ± 0.49 c | |
| 6 | 87.83 ± 0.37 bc | −0.63 ± 0.02 c | 4.84 ± 0.14 a | |
| 8 | 85.96 ± 0.22 cd | −0.62 ± 0.04 c | 4.02 ± 0.13 b | |
| 10 | 84.18 ± 1.30 d | −0.80 ± 0.03 d | 3.50 ± 0.27 bc | |
| 60–30 | 0 | 90.58 ± 0.16 a | −0.47 ± 0.01 a | 3.56 ± 0.09 ab |
| 2 | 82.51 ± 0.33 c | −0.50 ± 0.04 a | 1.67 ± 0.02 d | |
| 4 | 84.43 ± 0.79 b | −0.90 ± 0.03 b | 2.40 ± 0.10 c | |
| 6 | 80.90 ± 0.48 d | −1.13 ± 0.03 c | 3.74 ± 0.13 a | |
| 8 | 82.64 ± 0.67 c | −0.96 ± 0.05 b | 2.59 ± 0.14 c | |
| 10 | 74.82 ± 1.22 e | −1.13 ± 0.04 c | 3.25 ± 0.51 b | |
| 60–35 | 0 | 95.48 ± 0.34 a | −0.26 ± 0.03 a | 3.84 ± 0.10 bc |
| 2 | 94.62 ± 0.28 ab | −0.27 ± 0.07 a | 4.04 ± 0.28 b | |
| 4 | 92.24 ± 0.19 c | −0.30 ± 0.01 a | 3.99 ± 0.04 b | |
| 6 | 89.18 ± 0.39 d | −0.41 ± 0.03 b | 3.55 ± 0.17 c | |
| 8 | 94.31 ± 0.36 b | −0.43 ± 0.03 b | 3.78 ± 0.08 bc | |
| 10 | 95.10 ± 0.84 ab | −1.01 ± 0.07 c | 6.13 ± 0.27 a | |
| 60–40 | 0 | 101.73 ± 0.61 a | −0.69 ± 0.06 c | 5.11 ± 0.10 a |
| 2 | 78.01 ± 0.32 cd | −0.16 ± 0.02 a | 2.01 ± 0.06 d | |
| 4 | 80.66 ± 1.45 bc | −0.70 ± 0.03 c | 2.19 ± 0.26 cd | |
| 6 | 83.43 ± 1.65 b | −0.69 ± 0.06 c | 2.58 ± 0.36 c | |
| 8 | 77.02 ± 2.86 d | −0.52 ± 0.12 b | 1.44 ± 0.52 e | |
| 10 | 83.32 ± 1.34 b | −1.09 ± 0.04 d | 3.18 ± 0.26 b | |
| 65–20 | 0 | 94.38 ± 0.74 b | −0.52 ± 0.03 a | 3.55 ± 0.20 c |
| 2 | 99.11 ± 1.06 a | −0.74 ± 0.03 c | 5.12 ± 0.28 a | |
| 4 | 87.25 ± 0.24 c | −0.53 ± 0.06 a | 3.90 ± 0.12 b | |
| 6 | 93.89 ± 1.35 b | −0.64 ± 0.03 b | 5.21 ± 0.36 a | |
| 8 | 82.70 ± 0.16 d | −0.52 ± 0.04 a | 3.16 ± 0.13 c | |
| 10 | 83.32 ± 1.15 d | −0.51 ± 0.05 a | 3.13 ± 0.22 c | |
| 65–25 | 0 | 95.41 ± 0.91 a | −0.03 ± 0.05 a | 3.77 ± 0.23 c |
| 2 | 92.68 ± 0.19 b | −0.40 ± 0.01 c | 4.06 ± 0.06 b | |
| 4 | 90.43 ± 0.09 c | −0.44 ± 0.01 cd | 3.34 ± 0.02 d | |
| 6 | 91.03 ± 0.29 c | −0.46 ± 0.02 d | 4.05 ± 0.02 b | |
| 8 | 80.57 ± 0.35 e | −0.24 ± 0.02 b | 1.27 ± 0.07 e | |
| 10 | 89.49 ± 0.23 d | −0.58 ± 0.01 e | 4.95 ± 0.15 a | |
| 65–30 | 0 | 92.72 ± 0.47 a | −0.25 ± 0.02 b | 2.57 ± 0.11 d |
| 2 | 85.40 ± 0.64 c | −0.08 ± 0.05 a | 3.33 ± 0.26 c | |
| 4 | 92.81 ± 0.87 a | −0.80 ± 0.02 d | 5.68 ± 0.20 a | |
| 6 | 85.80 ± 0.4 c | −0.47 ± 0.02 c | 3.22 ± 0.05 c | |
| 8 | 87.78 ± 0.36 b | −0.90 ± 0.03 e | 4.39 ± 0.07 b | |
| 10 | 72.09 ± 0.63 d | −0.82 ± 0.02 d | 2.77 ± 0.17 d | |
| 65–35 | 0 | 95.95 ± 0.19 c | −0.35 ± 0.01 a | 3.57 ± 0.07 c |
| 2 | 99.12 ± 0.36 a | −0.61 ± 0.02 b | 4.34 ± 0.16 b | |
| 4 | 98.04 ± 0.18 b | −0.56 ± 0.01 b | 3.43 ± 0.04 c | |
| 6 | 95.88 ± 0.50 c | −0.88 ± 0.01 c | 4.77 ± 0.28 b | |
| 8 | 82.17 ± 0.07 e | −0.54 ± 0.04 b | 2.87 ± 0.23 d | |
| 10 | 84.78 ± 1.24 d | −1.60 ± 0.09 d | 5.33 ± 0.54 a | |
| 65–40 | 0 | 94.76 ± 1.68 a | −0.10 ± 0.07 a | 4.30 ± 0.53 b |
| 2 | 85.84 ± 0.32 b | −0.55 ± 0.03 b | 3.85 ± 0.04 bc | |
| 4 | 84.19 ± 0.26 b | −0.71 ± 0.01 c | 2.98 ± 0.06 d | |
| 6 | 80.10 ± 3.13 c | −0.73 ± 0.04 c | 3.42 ± 0.30 cd | |
| 8 | 83.93 ± 0.93 b | −0.91 ± 0.11 d | 4.92 ± 0.27 a | |
| 10 | 85.54 ± 1.27 b | −1.06 ± 0.06 e | 4.25 ± 0.25 b | |
| Pasteurization conditions (°C—s) | Storage time (d) | L* | a* | b* |
| 70–15 | 0 | 99.61 ± 0.22 a | −0.80 ± 0.01 a | 5.48 ± 0.05 a |
| 2 | 91.17 ± 1.13 b | −1.05 ± 0.05 b | 4.67 ± 0.29 bc | |
| 4 | 87.78 ± 0.97 c | −0.67 ± 0.06 a | 4.20 ± 0.27 cd | |
| 6 | 82.26 ± 2.94 d | −1.21 ± 0.11 c | 4.87 ± 0.57 b | |
| 8 | 84.76 ± 0.74 d | −0.98 ± 0.06 b | 4.43 ± 0.07 bcd | |
| 10 | 76.65 ± 1.99 e | −0.80 ± 0.13 a | 4.00 ± 0.20 d | |
| 70–30 | 0 | 91.41 ± 0.35 b | −0.38 ± 0.02 b | 3.76 ± 0.09 b |
| 2 | 97.15 ± 0.24 a | −0.30 ± 0.01 a | 5.28 ± 0.19 a | |
| 4 | 83.82 ± 0.53 e | −0.31 ± 0.03 a | 2.83 ± 0.15 b | |
| 6 | 86.65 ± 0.17 d | −0.79 ± 0.03 c | 3.42 ± 0.15 b | |
| 8 | 89.77 ± 0.77 c | −1.24 ± 0.03 e | 5.53 ± 0.19 a | |
| 10 | 81.55 ± 1.28 f | −0.92 ± 0.06 d | 4.78 ± 1.36 a | |
| 75–15 | 0 | 98.82 ± 2.90 a | −0.43 ± 0.09 b | 5.29 ± 0.26 b |
| 2 | 94.06 ± 1.45 b | −0.54 ± 0.04 c | 5.78 ± 0.26 a | |
| 4 | 94.08 ± 0.27 b | −0.48 ± 0.03 bc | 3.88 ± 0.06 c | |
| 6 | 89.83 ± 0.64 c | −0.05 ± 0.02 a | 3.52 ± 0.27 cd | |
| 8 | 91.60 ± 1.23 bc | −0.54 ± 0.06 c | 3.23 ± 0.31 d | |
| 10 | 78.44 ± 0.25 d | −0.57 ± 0.01 c | 1.53 ± 0.07 e | |
| 75–30 | 0 | 98.67 ± 0.45 a | −0.31 ± 0.04 a | 4.84 ± 0.10 a |
| 2 | 96.31 ± 0.07 b | −0.43 ± 0.02 c | 3.70 ± 0.01 b | |
| 4 | 94.52 ± 0.15 c | −0.62 ± 0.01 d | 4.93 ± 0.08 a | |
| 6 | 92.10 ± 0.54 d | −0.35 ± 0.03 b | 2.62 ± 0.16 d | |
| 8 | 89.39 ± 0.06 e | −0.72 ± 0.03 e | 3.75 ± 0.04 b | |
| 10 | 88.40 ± 0.28 f | −0.83 ± 0.02 f | 3.32 ± 0.12 c | |
| 80–15 | 0 | 92.36 ± 0.54 a | −0.65 ± 0.02 c | 4.71 ± 0.09 a |
| 2 | 89.12 ± 0.61 b | −0.43 ± 0.02 a | 3.70 ± 0.01 b | |
| 4 | 87.00 ± 2.54 b | −0.81 ± 0.07 d | 3.43 ± 0.50 b | |
| 6 | 79.62 ± 0.87 c | −0.48 ± 0.02 ab | 2.72 ± 0.27 c | |
| 8 | 80.47 ± 0.62 c | −0.54 ± 0.05 b | 2.36 ± 0.13 c | |
| 10 | 82.47 ± 2.46 c | −0.81 ± 0.08 d | 3.67 ± 0.58 b | |
| 80–30 | 0 | 92.53 ± 0.29 a | −0.29 ± 0.02 b | 2.86 ± 0.06 b |
| 2 | 79.19 ± 0.98 cd | −0.48 ± 0.02 d | 2.31 ± 0.22 bc | |
| 4 | 82.33 ± 0.28 b | −0.38 ± 0.01 c | 2.65 ± 0.06 bc | |
| 6 | 75.25 ± 1.72 e | −0.15 ± 0.03 a | 1.43 ± 0.34 d | |
| 8 | 78.46 ± 0.23 d | −0.73 ± 0.03 f | 2.21 ± 0.45 c | |
| 10 | 80.31 ± 0.90 c | −0.69 ± 0.02 e | 3.70 ± 0.46 a | |
| 85–15 | 0 | 96.77 ± 0.41 a | −0.68 ± 0.09 c | 5.47 ± 0.62 a |
| 2 | 85.05 ± 0.27 c | −0.52 ± 0.02 b | 3.35 ± 0.06 c | |
| 4 | 95.92 ± 1.53 a | −0.92 ± 0.02 e | 4.91 ± 0.41 ab | |
| 6 | 83.07 ± 0.27 d | −0.38 ± 0.02 a | 2.91 ± 0.10 c | |
| 8 | 84.81 ± 0.26 c | −0.82 ± 0.02 d | 4.77 ± 0.10 b | |
| 10 | 86.93 ± 0.45 b | −0.91 ± 0.02 e | 5.07 ± 0.09 ab | |
| 85–30 | 0 | 99.20 ± 0.17 a | −0.30 ± 0.02 ab | 4.05 ± 0.08 b |
| 2 | 90.75 ± 0.36 b | −0.48 ± 0.01 c | 3.92 ± 0.15 bc | |
| 4 | 84.98 ± 0.71 d | −0.38 ± 0.04 b | 3.58 ± 0.17 c | |
| 6 | 73.54 ± 0.73 e | −0.23 ± 0.02 a | 1.96 ± 0.13 d | |
| 8 | 88.03 ± 0.56 c | −0.96 ± 0.06 e | 5.17 ± 0.31 a | |
| 10 | 87.34 ± 2.20 c | −0.79 ± 0.11 d | 4.34 ± 0.44 b | |
| 90–15 | 0 | 102.35 ± 0.70 a | −0.83 ± 0.03 c | 5.65 ± 0.24 a |
| 2 | 87.90 ± 0.39 b | −0.65 ± 0.03 b | 4.61 ± 0.06 b | |
| 4 | 84.24 ± 1.13 c | −0.55 ± 0.02 a | 2.92 ± 0.30 c | |
| 6 | 82.61 ± 1.13 d | −0.86 ± 0.07 c | 4.24 ± 0.47 b | |
| 8 | 81.26 ± 0.12 de | −1.26 ± 0.07 d | 4.64 ± 0.03 b | |
| 10 | 80.59 ± 0.71 e | −0.88 ± 0.02 c | 4.67 ± 0.07 b | |
| 90–30 | 0 | 95.20 ± 0.76 a | −0.18 ± 0.04 a | 4.01 ± 0.54 b |
| 2 | 87.28 ± 0.71 b | −0.66 ± 0.02 d | 4.17 ± 0.20 b | |
| 4 | 80.00 ± 0.84 d | −0.55 ± 0.01 c | 3.42 ± 0.16 c | |
| 6 | 82.89 ± 2.05 c | −0.64 ± 0.06 d | 4.92 ± 0.08 a | |
| 8 | 78.61 ± 1.88 d | −1.04 ± 0.02 e | 3.79 ± 0.37 bc | |
| 10 | 79.28 ± 0.95 d | −0.44 ± 0.02 b | 2.52 ± 0.16 d |
| Pasteurization Conditions (°C—min) | Storage Time (d) | L* | a* | b* |
|---|---|---|---|---|
| 60–20 | 0 | 93.86 ± 0.51 a | −0.44 ± 0.07 b | 3.44 ± 0.37 c |
| 1 | 68.81 ± 1.07 bc | −1.91 ± 0.02 c | 1.65 ± 0.08 e | |
| 2 | 67.03 ± 1.46 cd | 0.36 ± 0.50 a | 4.87 ± 0.11 a | |
| 3 | 68.23 ± 1.05 bc | −1.88 ± 0.10 c | 2.38 ± 0.25 d | |
| 4 | 69.87 ± 1.77 b | −2.35 ± 0.35 cd | 4.17 ± 0.32 b | |
| 5 | 65.62 ± 1.39 d | −2.46 ± 0.24 d | 5.20 ± 0.46 a | |
| 60–25 | 0 | 88.11 ± 0.46 a | −0.10 ± 0.07 a | 1.88 ± 0.10 d |
| 1 | 72.26 ± 0.49 c | −2.35 ± 0.17 c | 2.92 ± 0.17 c | |
| 2 | 63.75 ± 1.02 e | −0.09 ± 0.09 a | 5.02 ± 0.23 a | |
| 3 | 73.29 ± 1.59 bc | −2.65 ± 0.06 d | 4.24 ± 0.37 b | |
| 4 | 74.12 ± 0.41 b | −2.55 ± 0.05 d | 3.27 ± 0.12 c | |
| 5 | 66.04 ± 0.66 d | −1.65 ± 0.06 b | 1.20 ± 0.24 e | |
| 60–30 | 0 | 90.58 ± 0.16 a | −0.47 ± 0.01 a | 3.56 ± 0.09 b |
| 1 | 64.01 ± 0.34 d | −1.73 ± 0.23 b | 0.54 ± 0.09 e | |
| 2 | 67.38 ± 0.71 c | −0.32 ± 0.10 a | 4.93 ± 0.14 a | |
| 3 | 70.01 ± 1.48 b | −2.18 ± 0.11 c | 2.08 ± 0.30 c | |
| 4 | 70.54 ± 2.04 b | −2.01 ± 0.17 c | 1.67 ± 0.08 d | |
| 5 | 61.30 ± 0.90 e | −2.10 ± 0.04 c | 2.34 ± 0.24 c | |
| 60–35 | 0 | 95.48 ± 0.34 a | −0.26 ± 0.03 b | 3.84 ± 0.10 b |
| 1 | 72.30 ± 0.50 b | −2.20 ± 0.13 d | 2.46 ± 0.08 c | |
| 2 | 65.43 ± 0.45 d | 0.15 ± 0.15 a | 4.37 ± 0.21 a | |
| 3 | 72.66 ± 0.59 b | −2.28 ± 0.10 d | 2.07 ± 0.09 d | |
| 4 | 67.40 ± 1.08 c | −2.02 ± 0.27 cd | 2.25 ± 0.34 cd | |
| 5 | 68.18 ± 0.97 c | −1.81 ± 0.19 c | 2.54 ± 0.04 c | |
| 60–40 | 0 | 101.73 ± 0.61 a | −0.69 ± 0.06 b | 5.11 ± 0.10 b |
| 1 | 67.70 ± 0.61 bc | −1.64 ± 0.08 c | 1.55 ± 0.08 c | |
| 2 | 66.00 ± 1.41 c | −0.06 ± 0.03 a | 5.82 ± 0.71 a | |
| 3 | 66.96 ± 1.56 bc | −2.00 ± 0.10 d | 1.71 ± 0.19 c | |
| 4 | 68.53 ± 0.56 b | −2.08 ± 0.10 d | 1.60 ± 0.04 c | |
| 5 | 63.54 ± 0.40 d | −1.65 ± 0.03 c | 1.13 ± 0.09 c | |
| 65–20 | 0 | 94.38 ± 0.74 a | −0.52 ± 0.03 b | 3.55 ± 0.20 b |
| 1 | 64.25 ± 1.51 d | −2.39 ± 0.46 de | 1.62 ± 0.07 e | |
| 2 | 67.10 ± 0.79 c | 0.65 ± 0.25 a | 5.24 ± 0.22 a | |
| 3 | 74.37 ± 1.04 b | −2.59 ± 0.27 e | 2.42 ± 0.17 c | |
| 4 | 65.18 ± 0.90 d | −2.01 ± 0.13 cd | 1.67 ± 0.09 e | |
| 5 | 68.51 ± 0.78 c | −1.91 ± 0.04 c | 2.02 ± 0.07 d | |
| 65–25 | 0 | 95.41 ± 0.91 a | −0.03 ± 0.05 a | 3.77 ± 0.23 a |
| 1 | 67.39 ± 3.95 bc | −2.19 ± 0.17 c | 2.48 ± 0.27 b | |
| 2 | 64.94 ± 0.89 bc | −0.21 ± 0.03 a | 3.78 ± 0.28 a | |
| 3 | 68.29 ± 1.14 b | −2.60 ± 0.36 d | 2.20 ± 0.23 b | |
| 4 | 64.25 ± 1.22 c | −1.75 ± 0.10 b | 1.25 ± 0.15 c | |
| 5 | 66.67 ± 0.69 bc | −1.96 ± 0.05 bc | 2.18 ± 0.18 b | |
| 65–30 | 0 | 92.72 ± 0.47 a | −0.25 ± 0.02 a | 2.57 ± 0.11 b |
| 1 | 66.67 ± 2.50 c | −2.04 ± 0.11 d | 1.28 ± 0.13 e | |
| 2 | 64.79 ± 0.76 c | −0.07 ± 0.03 a | 3.59 ± 0.04 a | |
| 3 | 71.51 ± 0.51 b | −2.32 ± 0.26 e | 2.75 ± 0.16 b | |
| 4 | 64.88 ± 1.78 c | −1.80 ± 0.14 c | 1.53 ± 0.08 d | |
| 5 | 64.70 ± 0.62 c | −0.90 ± 0.03 b | 2.34 ± 0.11 c | |
| 65–35 | 0 | 95.95 ± 0.19 a | −0.35 ± 0.01 a | 3.57 ± 0.07 b |
| 1 | 64.40 ± 1.61 d | −2.24 ± 025 b | 1.27 ± 0.06 f | |
| 2 | 59.47 ± 1.47 e | −0.24 ± 0.09 a | 5.11 ± 0.45 a | |
| 3 | 70.82 ± 1.25 b | −2.24 ± 0.07 b | 1.87 ± 0.12 e | |
| 4 | 67.27 ± 1.56 c | −2.31 ± 0.22 b | 2.72 ± 0.27 c | |
| 5 | 66.54 ± 1.16 cd | −2.17 ± 0.20 b | 2.30 ± 0.04 d | |
| 65–40 | 0 | 94.76 ± 1.68 a | −0.10 ± 0.07 b | 4.30 ± 0.53 b |
| 1 | 66.85 ± 2.24 bc | −1.72 ± 0.05 d | 1.12 ± 0.03 d | |
| 2 | 64.36 ± 1.03 c | 0.87 ± 0.08 a | 4.89 ± 0.26 a | |
| 3 | 64.71 ± 1.17 c | −1.85 ± 0.10 e | 0.96 ± 0.28 d | |
| 4 | 64.37 ± 1.01 c | −1.55 ± 0.08 c | 1.67 ± 0.04 c | |
| 5 | 68.39 ± 0.78 b | −1.91 ± 0.04 e | 1.90 ± 0.03 c | |
| Pasteurization conditions (°C—s) | Storage time (d) | L* | a* | b* |
| 70–15 | 0 | 99.61 ± 0.22 a | −0.80 ± 0.01 b | 5.48 ± 0.05 a |
| 1 | 71.01 ± 1.27 b | −2.16 ± 0.07 d | 1.83 ± 0.12 d | |
| 2 | 65.66 ± 0.59 d | 0.19 ± 0.35 a | 2.68 ± 0.09 c | |
| 3 | 72.49 ± 1.47 b | −2.47 ± 0.07 d | 2.65 ± 0.05 c | |
| 4 | 63.32 ± 1.36 e | −1.73 ± 0.09 c | 1.24 ± 0.11 e | |
| 5 | 68.91 ± 1.23 c | −2.39 ± 0.46 d | 3.15 ± 0.08 b | |
| 70–30 | 0 | 91.41 ± 0.35 a | −0.38 ± 0.02 b | 3.76 ± 0.09 a |
| 1 | 72.35 ± 1.10 b | −2.24 ± 0.07 de | 2.39 ± 0.03 b | |
| 2 | 67.56 ± 0.76 d | 0.87 ± 0.08 a | 3.53 ± 0.26 a | |
| 3 | 69.65 ± 1.27 c | −1.97 ± 0.15 c | 1.27 ± 0.22 d | |
| 4 | 69.36 ± 0.29 c | −2.37 ± 0.21 e | 1.91 ± 0.13 c | |
| 5 | 65.22 ± 1.15 e | −2.06 ± 0.07 cd | 1.91 ± 0.04 c | |
| 75–15 | 0 | 98.82 ± 2.90 a | −0.43 ± 0.09 a | 5.29 ± 0.26 a |
| 1 | 69.77 ± 0.66 b | −2.32 ± 0.28 c | 2.18 ± 0.09 c | |
| 2 | 60.68 ± 1.52 d | −0.24 ± 0.07 a | 2.12 ± 0.10 c | |
| 3 | 68.62 ± 0.83 b | −2.15 ± 0.08 c | 1.99 ± 0.07 c | |
| 4 | 69.52 ± 0.96 b | −2.28 ± 0.08 c | 2.98 ± 0.11 b | |
| 5 | 64.51 ± 0.42 c | −1.60 ± 0.01 b | 1.35 ± 0.07 d | |
| 75–30 | 0 | 98.67 ± 0.45 a | −0.31 ± 0.04 b | 4.84 ± 0.10 b |
| 1 | 69.57 ± 0.32 b | −2.26 ± 0.05 e | 2.65 ± 0.08 c | |
| 2 | 60.60 ± 2.10 d | −0.06 ± 0.02 a | 5.82 ± 0.28 a | |
| 3 | 63.63 ± 0.75 c | −1.88 ± 0.10 d | 0.73 ± 0.14 f | |
| 4 | 68.17 ± 1.17 b | −2.15 ± 0.07 e | 2.33 ± 0.16 d | |
| 5 | 65.32 ± 1.01 c | −1.60 ± 0.07 c | 1.82 ± 0.03 e | |
| 80–15 | 0 | 92.36 ± 0.54 a | −0.65 ± 0.02 b | 4.71 ± 0.09 b |
| 1 | 72.42 ± 0.79 b | −2.10 ± 0.06 cd | 1.53 ± 0.05 d | |
| 2 | 61.03 ± 1.95 d | −0.06 ± 0.02 a | 5.82 ± 0.28 a | |
| 3 | 74.01 ± 1.76 b | −2.28 ± 0.27 d | 2.29 ± 0.10 c | |
| 4 | 69.45 ± 1.27 c | −2.17 ± 0.16 d | 2.46 ± 0.11 c | |
| 5 | 61.08 ± 0.17 d | −1.90 ± 0.03 c | 2.40 ± 0.03 c | |
| 80–30 | 0 | 92.53 ± 0.29 a | −0.29 ± 0.02 a | 2.86 ± 0.06 b |
| 1 | 71.77 ± 0.52 b | −2.36 ± 0.14 d | 2.15 ± 0.08 c | |
| 2 | 61.33 ± 1.00 d | −0.38 ± 0.47 a | 4.83 ± 0.64 a | |
| 3 | 64.69 ± 0.64 c | −1.83 ± 0.12 bc | 1.16 ± 0.09 d | |
| 4 | 65.97 ± 0.88 c | −2.14 ± 0.14 cd | 1.69 ± 0.10 c | |
| 5 | 65.71 ± 1.25 c | −1.69 ± 0.19 b | 1.74 ± 0.08 c | |
| 85–15 | 0 | 96.77 ± 0.41 a | −0.68 ± 0.09 b | 5.47 ± 0.62 a |
| 1 | 68.35 ± 0.93 b | −2.34 ± 0.13 d | 1.46 ± 0.10 d | |
| 2 | 66.05 ± 0.76 c | 0.49 ± 0.07 a | 3.54 ± 0.47 b | |
| 3 | 66.43 ± 0.84 c | −2.15 ± 0.28 d | 1.49 ± 0.04 d | |
| 4 | 67.94 ± 0.58 b | −2.32 ± 0.27 d | 2.24 ± 0.07 c | |
| 5 | 62.47 ± 0.52 d | −1.90 ± 0.03 c | 2.43 ± 0.07 c | |
| 85–30 | 0 | 99.20 ± 0.17 a | −0.30 ± 0.02 a | 4.05 ± 0.08 b |
| 1 | 74.19 ± 1.08 b | −2.58 ± 0.08 d | 4.07 ± 0.39 b | |
| 2 | 62.84 ± 2.42 e | −0.47 ± 0.12 a | 4.95 ± 0.62 a | |
| 3 | 68.79 ± 0.96 c | −2.06 ± 0.28 bc | 1.90 ± 0.05 c | |
| 4 | 66.24 ± 1.07 d | −2.18 ± 0.05 c | 2.04 ± 0.14 c | |
| 5 | 65.07 ± 0.13 d | −1.90 ± 0.03 b | 2.43 ± 0.07 c | |
| 90–15 | 0 | 102.35 ± 0.70 a | −0.83 ± 0.03 b | 5.65 ± 0.24 a |
| 1 | 62.68 ± 2.08 c | −1.84 ± 0.08 c | 1.02 ± 0.20 e | |
| 2 | 58.84 ± 1.49 d | −0.29 ± 0.02 a | 3.33 ± 0.15 b | |
| 3 | 66.80 ± 1.64 b | −2.34 ± 0.29 d | 2.20 ± 0.15 c | |
| 4 | 61.17 ± 2.26 cd | −1.86 ± 0.06 c | 1.48 ± 0.07 d | |
| 5 | 68.01 ± 1.59 b | −1.72 ± 0.02 c | 1.62 ± 0.03 d | |
| 90–30 | 0 | 95.20 ± 0.76 a | −0.18 ± 0.04 b | 4.01 ± 0.54 b |
| 1 | 75.78 ± 0.37 b | −2.61 ± 0.04 f | 3.42 ± 0.48 b | |
| 2 | 68.96 ± 0.44 c | −0.32 ± 0.04 c | 5.99 ± 0.82 a | |
| 3 | 69.54 ± 0.71 c | −2.32 ± 0.08 e | 2.21 ± 0.22 c | |
| 4 | 59.10 ± 2.46 d | −1.82 ± 0.09 d | 1.02 ± 0.09 d | |
| 5 | 59.99 ± 3.97 d | 1.66 ± 0.12 a | 2.05 ± 0.11 c |
References
- Nikmaram, N.; Keener, K.M. The effects of cold plasma technology on physical, nutritional, and sensory properties of milk and milk products. Sci. Direct 2022, 154, 112729. [Google Scholar] [CrossRef]
- Wu, S.Y.; Wu, S.; Han, H.J.; Kong, F.H.; Guan, B.Y.; Zhang, X.T.; Cao, X.Y.; Kang, S.M.; Tao, D.B.; Yue, X.Q. Comparison of free amino acids in human and cow’s milk at different stages of lactation. Food Sci. 2018, 39, 129–134. [Google Scholar]
- Saini, R.K.; Keum, Y.S. Omega-3 and omega-6 polyunsaturated fatty acids: Dietary sources, metabolism, and significance. Life Sci. 2018, 203, 255–267. [Google Scholar] [CrossRef] [PubMed]
- Liang, X.; Liu, L.; Zhang, S.W.; Sun, Q.; Lv, J.P. Analysis of Physico-chemical Properties of Raw Milk of Cattle, Buffalo and Yak. Food Sci. 2013, 34, 50–54. [Google Scholar]
- Catanzaro, R.; Sciuto, M.; Marotta, F. Lactose intolerance: An update on its pathogenesis, diagnosis, and treatment. Nutr. Res. 2021, 89, 23–34. [Google Scholar] [CrossRef]
- Storhaug, C.L.; Fosse, S.K.; Fadnes, L.T. Country, regional, and global estimates for lactose malabsorption in adults: A systematic review and meta-analysis. Lancet Gastroenterol. Hepatol. 2017, 2, 738–746. [Google Scholar] [CrossRef]
- Albuquerque, T.D.; Sousa, M.D.; Silva, N. Beta-Galactosidase from Kluyveromyces lactis: Characterization, production, immobilization and applications. Int. J. Biol. Macromol. 2021, 191, 881–898. [Google Scholar] [CrossRef]
- Domg, Y.N.; Chen, W.; Zhang, H.; Gu, H.Y.; Liu, Y.; Chen, H.Q. Cumulative effect of mutations at conserved sites of GH42 family on the catalytic activity of β-galactosidase BgaB from Geobacillus stearothermophilus. Microbiol. China 2023, 50, 2532–2544. [Google Scholar]
- Voisin, M.R.; Borici-Mazi, R. Anaphylaxis to supplemental oral lactase enzyme. Allergy Asthma Clin. Immunol. 2016, 12, 66–69. [Google Scholar] [CrossRef]
- Kocabaş, D.S.; Lyne, J.; Ustunol, Z. Hydrolytic enzymes in the dairy industry: Applications, market and future perspectives. Trends Food Sci. Technol. 2022, 119, 467–475. [Google Scholar] [CrossRef]
- Singh, P.; Rao, P.S.; Sharma, V. Physico-chemical aspects of lactose hydrolysed milk system along with detection and mitigation of maillard reaction products. Trends Food Sci. Technol. 2021, 107, 57–67. [Google Scholar] [CrossRef]
- Wang, F.N.; Zhang, Y.D.; Zheng, N.; Wang, J.Q. Research progress on the determination of furosine in milk and dairy products. J. Food Saf. Qual. 2021, 12, 2304–2312. [Google Scholar]
- Huang, Y.S.; Lu, J.N.; Li, M.Y.; Li, C.; Sheng, M.Y.; Xie, M.Y. Effect of Frying Conditions on Acrylamide and 5-Hydroxymethylfurfural Formation in French fries. Food Sci. 2023, 44, 49–56. [Google Scholar]
- Niu, L.B.; Guo, H.L.; Huang, A.X. Study of inhibiting effect on 5-HMF in low-lactose milk by compounds of inhibit browning. China Dairy Ind. 2009, 37, 8–11. [Google Scholar]
- Li, W.; Zhang, X.M.; Lu, Y.; Sheng, G.Q.; Lv, J.P.; Nan, Q.X.; Chen, L.J. Browning inhibition techniques for low lactose milks. China Dairy Ind. 2004, 06, 20–23. [Google Scholar]
- Wei, M.; Chen, Y.K.; Song, X.Y.; Luo, C.H.; Pan, X.; Huang, L. Analysis of aroma components in proline Maillard reaction by solid phase microextraction. Food Res. Dev. 2018, 39, 168–172. [Google Scholar]
- Zheng, X.J.; Lin, S.L.; Nie, X.H. Effect of temperature on spectral characteristics and volatile compounds of Maillard reaction products from xylose-chicken bone hydrolysate system. Food Ferment. Ind. 2015, 41, 127–132. [Google Scholar]
- Liu, Y.; Jiang, W.; Yang, H.C.; Xiang, X.W.; Hu, S.W.; Li, S.J. Variables, characterization and preliminary application of Cadaverine/Glucose Maillard reaction. J. Chin. Inst. Food Sci. Technol. 2018, 18, 146–153. [Google Scholar]
- Wang, X.D.; Kong, Y.Z.; Zhang, Y.L.; Ariunjargal, T.; Munkhjargal, B.; Wu, H.X.; Dong, A.L.D.E. Mechanism of sterilization technology and its application in food field. China Brew. 2022, 41, 1–8. [Google Scholar]
- Lambros, S.; Alexandra, M.; Ekaterini, M. Assessment of heat treatment of various types of milk. Food Chem. 2014, 159, 293–301. [Google Scholar]
- Zhang, W.; Poojary, M.M.P.; Rauh, V. Quantitation of alpha-dicarbonyls and advanced glycation endproducts in conventional and Lactose-Hydrolyzed ultrahigh temperature milk during 1 Year of Storage. J. Agric. Food Chem. 2019, 67, 12863–12874. [Google Scholar] [CrossRef] [PubMed]
- Liu, J.B.; Wang, Z.Q.; Yu, Y.D.; Zhang, T.; Liu, B.Q. Optimization of preparation technology of soybean meal peptides by response surface methodology. J. Chin. Inst. Food Sci. Technol. 2021, 21, 216–223. [Google Scholar]
- Li, R.M.; Zhang, H.X.; Pan, S.K.; Ye, J.J. Process optimization and functional properties of peony seeds protein. Sci. Technol. Food Ind. 2023, 44, 197–204. [Google Scholar]
- Shan, Q.Y.; Shen, Y.M.; Zhang, M.X.; Tang, J.C.; Chen, Y.J.; Bao, J.Q. Optimization of ultrasonic-compound enzyme hydrolysis method for extracting Chinese softshell turtle oil by orthogonal experimen. Sci. Technol. Food Ind. 2022, 43, 256–264. [Google Scholar]
- Li, S.N.; Tang, S.H.; Hu, Y.; Mao, M.L.; Liu, Y. Effect of enzymatic hydrolysis of lactose combined with heat treatments on Maillard Reaction of milk. Food Sci. 2017, 38, 122–128. [Google Scholar]
- Giannetti, V.; Mariani, M.B.; Colicchia, S. Furosine as marker of quality in dried durum wheat pasta: Impact of heat treatment on food quality and security. Food Control 2021, 125, 108036. [Google Scholar] [CrossRef]
- Wei, X.X.; Xiao, G.N.; Xiong, W.; Zhao, G.S.; Chen, B.; Gong, J.Y. Effects of low heat treatments on furosine in milk simulation system. J. Chin. Inst. Food Sci. Technol. 2021, 21, 278–284. [Google Scholar]
- Hao, X.Y.; Chen, M.X.; Liu, H.M.; Zang, C.J.; Zheng, N.; Wang, J.Q. Effects of storage and transportation conditions on the furosine content in UHT milk. China Dairy Ind. 2022, 50, 31–34. [Google Scholar]
- Sunds, A.V.; Rauh, V.M.; SøRensen, J. Maillard reaction progress in UHT milk during storage at different temperature levels and cycles. Int. Dairy J. 2017, 77, 56–64. [Google Scholar] [CrossRef]
- Troise, A.D.; Buonanno, M.; Fiore, A. Evolution of protein bound Maillard reaction end-products and free Amadori compounds in low lactose milk in presence of fructosamine oxidase I. Food Chem. 2016, 212, 722–729. [Google Scholar] [CrossRef]
- Bai, Y.S.; Yang, X.J.; Li, M.; Xu, Y.Y. Study on furosine in sterilized milk products under different production processes and storage conditions. J. Food Saf. Qual. 2018, 9, 3501–3504. [Google Scholar]
- Ferrer, E.; Amparo, A.; Rosaura, F. High-performance liquid chromatographic determination of furfural compounds in infant formulas during full shelf-life. Food Chem. 2005, 89, 639–645. [Google Scholar] [CrossRef]
- Liu, X.Y.; Chen, X.L.; Lin, T.; Wang, L.; Wang, L.X.; Li, M.X.; Shao, J.L. Effects of Roasting Degree on Formation of 5-Hydroxymethylfurfural contents in coffea arabic. J. Chin. Inst. Food Sci. Technol. 2022, 22, 324–331. [Google Scholar]
- Małgorzata, C.; Renata, P.B.B.K. Evaluation of 5-hydroxymethylfurfural content in market milk products. Food Addit. Contam. Part A 2020, 37, 1135–1144. [Google Scholar]
- Gao, M.; Ge, W.P.; Zhang, X.Y.; Cui, L.L.; Qin, L.H. Study on the quantities change of the 5-Hydroxymethylfurfural in milk under the different heat treatment. Food Ind. 2012, 33, 120–123. [Google Scholar]
- Bi, R.X.; Lu, J.; Zhang, S.W.; Pang, X.Y.; Hu, C.; Yu, J.H.; Lv, J.P. Changes of Maillard reaction by-products in brown yogurt under differentd storage conditions. Food Ferment. Ind. 2021, 47, 116–124. [Google Scholar]
- Jia, H.X.; Su, M.Y.; Chen, W.L.; Liu, H.A. Research progress on Maillard Reaction indicators of infant formula Milk powde. Food Ind. 2022, 43, 176–181. [Google Scholar]
- Zhao, Y.; Li, L.Q.; Niu, P.F. Optimization of reverse-phase high-performance liquid chromatography(RP-HPLC) method for determination of 5hydroxymethylfurfural in milk. Jiangsu J. Agric. Sci. 2020, 3, 798–800. [Google Scholar]
- Cai, L.; Li, D.; Dong, Z. Change regularity of the characteristics of Maillard reaction products derived from xylose and Chinese shrimp waste hydrolysates. LWT—Food Sci. Technol. 2016, 65, 908–916. [Google Scholar] [CrossRef]
- Meng, Y.C.; He, S.S.; Li, Y.H.; Chen, J.; Shen, L.M. Study on the Maillard Reaction in milk under different heating conditions. Mod. Food Sci. Technol. 2015, 31, 158–165. [Google Scholar]
- Yang, X.Q.; Liu, X.M.; Zhou, P. Application of front-face fluorescence spectroscopy for determination of Maillard reaction in milk. Sci. Technol. Food Ind. 2012, 33, 157–160+164. [Google Scholar]
- Li, Y.; Fang, L.; Luo, C. Functional properties of the Maillard reaction products of rice protein with sugar. Food Chem. 2009, 117, 69–74. [Google Scholar] [CrossRef]
- Tan, J.N.; Yao, Y.; Wu, N.; Xu, M.S.; Zhao, Y.; Liu, H.P.; Tu, Y.G. Effect of temperature on color, physicochemical characteristics and antioxidant activities of ovalbumin-glucose system under alkaline condition. Food Sci. 2022, 43, 33–41. [Google Scholar]
- Yi, S.N.; Lu, J.; Pang, X.Y.; Hao, L.Y.; Zhang, S.W.; Lv, J.P. Effect of heat treatment on Maillard Reaction degree and volatile componentsof milk. Food Sci. 2021, 42, 9–15. [Google Scholar]
- Yokogawa, T.; Yamazaki, C.; Hara, M. Effect of Maillard reaction on the quality of clarified butter, ghee. J. Nat. Med. 2023, 77, 230–237. [Google Scholar] [CrossRef] [PubMed]
- Chiku, K. Research on Structural transformation of oligosaccharides under heat treatment. Bull. Appl. Glycosci. 2023, 13, 45–52. [Google Scholar] [CrossRef]
- Shen, Y.; Dong, Q.; Yu, Z. The effects of free radicals and metal ion on milk protein β-lactoglobulin (BLG) glyco-oxidation. Int. J. Food Sci. Technol. 2023, 58, 3073–3084. [Google Scholar] [CrossRef]
- Poojary, M.M.; Lund, M.N. Chemical stability of proteins in foods: Oxidation and the Maillard Reaction. Annu. Rev. Food Sci. Technol. 2022, 13, 35–58. [Google Scholar] [CrossRef] [PubMed]
- Wang, Z.H.; Liu, D.Y.; Zheng, J.C.; Xie, Y.T.; Han, J.C.; Wang, Y.N. Preparation and emulsifying properties of Maillard Reaction products of soybean protein isolate under high hydrostatic pressure. Sci. Technol. Food Ind. 2021, 42, 49–58. [Google Scholar]
- Chen, L.; Haoran, X.; Zhiyan, C. Comparative studies on the physicochemical properties of peanut protein isolate–polysaccharide conjugates prepared by ultrasonic treatment or classical heating. Food Res. Int. 2014, 57, 1–7. [Google Scholar]
- Zhang, Y.Y.; Huang, X.; Yan, D.Y.; Zhao, W.J.; Hao, J.X.; Liu, J.G. Preparation and properties of sodium caseinate-oat β-glucan conjugatesobtained by the Maillard reaction. Fine Chem. 2022, 39, 1901–1907. [Google Scholar]
- Li, Z.C.; Xu, M.F.; Xiang, M.X.; Cheng, X.F. Research on the Structural Differences of the Casein from Milk by Pasteurization and Ultrahigh Temperature Sterilization. J. South China Agric. Univ. 2013, 34, 192–196. [Google Scholar]
- Wang, L.; Lv, J.L.; Wang, S. Analysis of reducing sugar in yogurt by pre-column derivatization HPLC. China Dairy Ind. 2014, 42, 55–58. [Google Scholar]
- Song, H.M.; Lu, J.; Lv, J.P.; Zhao, W.L.; Li, D.H.; Zhu, Y.M. Evaluation of the degree of heating and flavor change of milk based on electronic nose and electronic tongue. China Dairy Ind. 2016, 44, 12–15. [Google Scholar]
- Yazdi, S.R.; Corredig, M. Heating of milk alters the binding of curcumin to casein micelles. A fluorescence spectroscopy study. Food Chem. 2012, 132, 1143–1149. [Google Scholar] [CrossRef] [PubMed]
















| Number | A: Hydrolysis Temperature (°C) | B: Lactase Addition (%) | C: Hydrolysis Time (h) | Lactose Hydrolysis Rate (%) |
|---|---|---|---|---|
| 1 | 1 | 1 | 1 | 59.96 |
| 2 | 2 | 1 | 2 | 80.14 |
| 3 | 3 | 1 | 3 | 79.78 |
| 4 | 1 | 2 | 2 | 79.74 |
| 5 | 2 | 2 | 3 | 91.28 |
| 6 | 3 | 2 | 1 | 91.25 |
| 7 | 1 | 3 | 3 | 92.38 |
| 8 | 2 | 3 | 1 | 92.58 |
| 9 | 3 | 3 | 2 | 92.64 |
| K1 | 219.88 | 232.08 | 243.79 | |
| K2 | 262.27 | 264 | 252.52 | ∑759.76 |
| K3 | 277.6 | 263.67 | 263.44 | |
| k1 | 73.29 | 77.36 | 81.26 | |
| k2 | 87.42 | 88 | 84.17 | |
| k3 | 92.53 | 87.89 | 87.81 | |
| R | 19.24 | 10.64 | 6.55 |
| Level | Considerations | ||
|---|---|---|---|
| A: Hydrolysis Temperature (°C) | B: Lactase Addition (%) | C: Hydrolysis Time (h) | |
| 1 | 36 | 0.02 | 1.5 |
| 2 | 37 | 0.025 | 2 |
| 3 | 38 | 0.03 | 2.5 |
| Number | Time (min) | Mobile Phase A (%) | Mobile Phase B (%) | Flow Rates (mL/min) |
|---|---|---|---|---|
| 1 | 0 | 100 | 0 | 1 |
| 2 | 16 | 86.8 | 13.2 | 1 |
| 3 | 16.5 | 0 | 100 | 1 |
| 4 | 25 | 100 | 0 | 1 |
| 5 | 30 | 100 | 0 | 1 |
Disclaimer/Publisher’s Note: The statements, opinions and data contained in all publications are solely those of the individual author(s) and contributor(s) and not of MDPI and/or the editor(s). MDPI and/or the editor(s) disclaim responsibility for any injury to people or property resulting from any ideas, methods, instructions or products referred to in the content. |
© 2023 by the authors. Licensee MDPI, Basel, Switzerland. This article is an open access article distributed under the terms and conditions of the Creative Commons Attribution (CC BY) license (https://creativecommons.org/licenses/by/4.0/).
Share and Cite
Bi, H.; Wang, Y.; Guo, Y.; Liao, Z.; Na, Z. Influence of Pasteurization on Maillard Reaction in Lactose-Free Milk. Molecules 2023, 28, 7105. https://doi.org/10.3390/molecules28207105
Bi H, Wang Y, Guo Y, Liao Z, Na Z. Influence of Pasteurization on Maillard Reaction in Lactose-Free Milk. Molecules. 2023; 28(20):7105. https://doi.org/10.3390/molecules28207105
Chicago/Turabian StyleBi, Haixin, Yingbin Wang, Yujuan Guo, Ziyan Liao, and Zhiguo Na. 2023. "Influence of Pasteurization on Maillard Reaction in Lactose-Free Milk" Molecules 28, no. 20: 7105. https://doi.org/10.3390/molecules28207105
APA StyleBi, H., Wang, Y., Guo, Y., Liao, Z., & Na, Z. (2023). Influence of Pasteurization on Maillard Reaction in Lactose-Free Milk. Molecules, 28(20), 7105. https://doi.org/10.3390/molecules28207105
