Montmorillonite Catalyzed Synthesis of Novel Steroid Dimers
Abstract
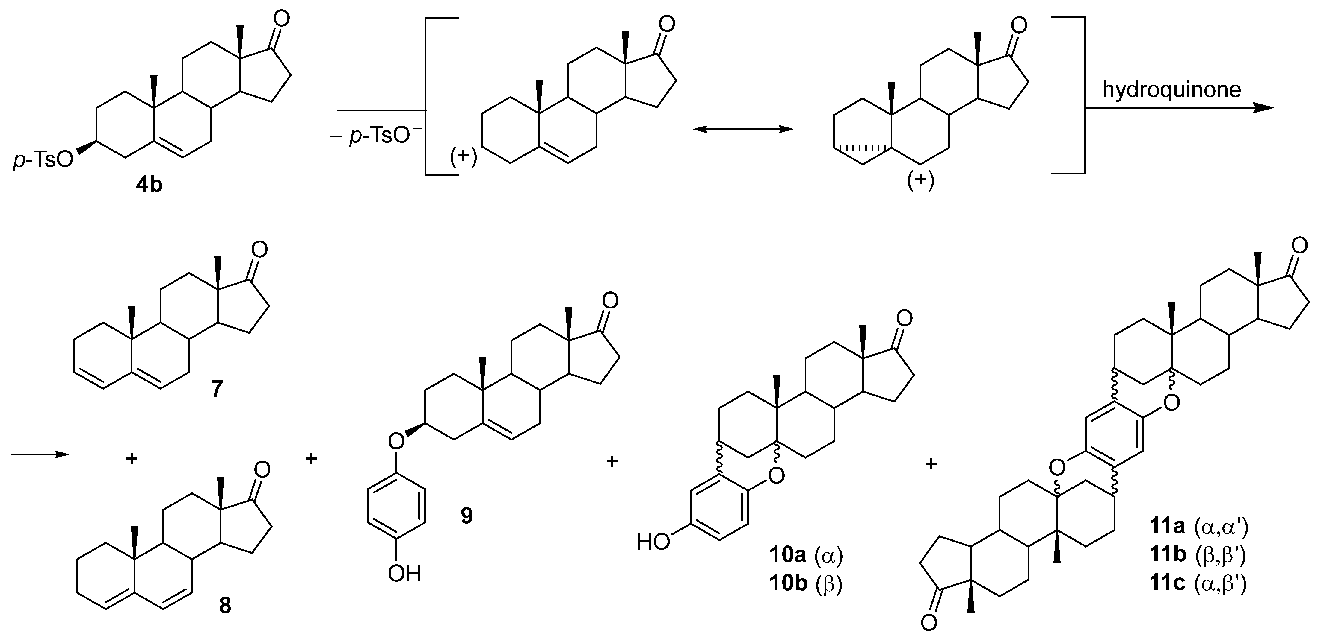
:1. Introduction


2. Results and Discussion
| Run No./ Reaction Conditions | Structure of Products | Conversion | |||
|---|---|---|---|---|---|
![]() | ![]() | ![]() | ![]() | ||
| 1: Dioxane, reflux, 24 h | 16% | <5% | - | - | 30% |
| 2: 120 °C, 5 min | 23% | 12% | 10a: <5%, 10b: <5% | 11a: 7%, 11b: 5%, 11c: 9% | 100% |
| 3: Xylenes, reflux, 3 h | 48% | 13% | 10a: <1%, 10b: <1% | 11a: <5%, 11b: 5%, 11c: 5% | 100% |
| 4: Ball mill, 48 h | 7% | 19% | 10a: <1%, 10b: <1% | 11a: <5%, 11b: <5%, 11c: 5% | 50% |
| 5: Acetone, MW, 110 °C, 6 h | 47% | 8% | 10a: <1%, 10b: <1% | 11a: <1%, 11b: <5%, 11c: 5% | 90% |
| 6: Dioxane, US, 45 °C, 12 h | 5% | - | - | - | 15% |
3. Materials and Methods
3.1. General Experimental Data
3.2. General Experimental Procedure for the Formation of All New Compounds
3.2.1. Solvent-Free Reaction of Tosylate 4b with Hydroquinone (Table 1, Run No. 2)
- Compound 7: white solid (hexane/CH2Cl2); mp 85–87 °C; Rf = 0.32 (hexane/ethyl acetate 9:1); IR (ATR) νmax 2912, 2856, 1739 cm–1; 1H NMR (CDCl3, 400 MHz) δ 5.95 (1H, d, J = 9.9 Hz, H-4), 5.63 (1H, m, H-3), 5.42 (1H, m, H-6), 2.48 (1H, dd, J = 19.2 Hz, J = 8.8 Hz, H-16β), 0.99 (3H, s, H-19), 0.93 (3H, s, H-18); 13C NMR (CDCl3, 100 MHz) δ 221.1 (C), 141.6 (C), 128.7 (CH), 125.4 (CH), 122.1 (CH), 51.9 (CH), 48.5 (CH), 47.7 (C), 35.8 (CH2), 35.3 (C), 33.7 (CH2), 31.44 (CH2), 31.41 (CH), 30.6 (CH2), 23.0 (CH2), 21.8 (CH2), 20.3 (CH2), 18.8 (CH3), 13.7 (CH3); HRMS m/z 271.2054 (calcd for C19H27O+, 271.2056).
- Compound 8: white solid; Rf = 0.36 (hexane/ethyl acetate 9:1); IR (ATR) νmax 2916, 1736, 1506 cm–1; 1H NMR (CDCl3, 400 MHz) δ 5.99 (1H, dd, J = 9.8 Hz, J = 2.5 Hz, H-4), 5.56 (1H, d, J = 9.8 Hz, H-7), 5.47 (1H, m, H-3), 0.98 (3H, s, H-19), 0.96 (3H, s, H-18); 13C NMR (CDCl3, 100 MHz) δ 220.7 (C), 142.2 (C), 129.9 (CH), 125.6 (CH), 124.7 (CH), 51.6 (CH), 49.6 (CH), 48.3 (C), 36.5 (CH), 35.8 (CH2), 34.8 (C), 34.5 (CH2), 31.6 (CH2), 25.3 (CH2), 21.5 (CH2), 20.2 (CH2), 18.4 (CH2), 18.3 (CH3), 13.8 (CH3); HRMS m/z 271.2061 (calcd for C19H27O+, 271.2056).
- Compound 10a: white solid; Rf = 0.66 (3 × hexane/ethyl acetate 74:26); IR (ATR) νmax 3325, 2927, 1737, 1241, 1206, 1190, 1153, 1077, 1053, 813, 785 cm–1; 1H NMR (CDCl3, 400 MHz) δ 6.67 (1H, d, J = 8.6 Hz, H-Ar), 6.60 (1H, dd, J = 8.6 Hz, J = 3.0 Hz, H-Ar), 6.48 (1H, d, J = 3.0 Hz, H-Ar), 4.26 (1H, bs, -OH), 2.87 (1H, m, H-3β), 2.46 (1H, dd, J = 18.9 Hz, J = 8.3 Hz, H-16β), 1.05 (3H, s, H-19), 0.88 (3H, s, H-18); 13C NMR (CDCl3, 100 MHz) δ 221.4 (C), 150.1 (C), 147.9 (C), 128.0 (C), 115.3 (CH), 114.2 (CH), 113.9 (CH), 78.5 (C), 51.2 (CH), 47.8 (C), 46.2 (CH), 42.1 (C), 35.9 (CH2), 34.4 (CH), 33.6 (CH2), 32.7 (CH), 31.8 (CH2), 31.5 (CH2), 29.41 (CH2), 29.36 (CH2), 24.8 (CH2), 21.7 (CH2), 20.0 (CH2), 16.2 (CH3), 13.8 (CH3); HRMS m/z 381.2428 (calcd for C25H33O3+, 381.2424).
- Compound 11a: white solid; Rf = 0.77 (3 × hexane/ethyl acetate 74:26); IR (ATR) νmax 2915, 2853, 1737, 1242, 1205, 1151, 1001, 813, 785 cm–1; 1H NMR (CDCl3, 400 MHz) δ 6.41 (2H, s, H-Ar), 2.85 (2H, m, H-3β), 2.46 (2H, dd, J = 18.9 Hz, J = 8.2 Hz, H-16β), 1.04 (6H, s, H-19), 0.88 (6H, s, H-18); 13C NMR (CDCl3, 100 MHz) δ 221.5 (2 × C), 148.4 (2 × C), 126.1 (2 × C), 112.8 (2 × CH), 78.1 (2 × C), 51.2 (2 × CH), 47.8 (2 × C), 46.1 (2 × CH), 42.1 (2 × C), 35.9 (2 × CH2), 34.4 (2 × CH), 33.7 (2 × CH2), 32.6 (2 × CH), 32.2 (2 × CH2), 31.6 (2 × CH2), 29.5 (2 × CH2), 29.3 (2 × CH2), 24.8 (2 × CH2), 21.7 (2 × CH2), 20.0 (2 × CH2), 16.1 (2 × CH3), 13.8 (2 × CH3); HRMS m/z 651.4408 (calcd for C44H59O4+, 651.4408).
- Compound 11b: white solid; Rf = 0.66 (3 × hexane/ethyl acetate 74:26); IR (ATR) νmax 2914, 2853, 1737, 1242, 1205, 813, 785 cm–1; 1H NMR (CDCl3, 400 MHz) δ 6.43 (2H, s, H-Ar), 2.90 (2H, m, H-3α), 2.51–2.43 (4H, m, H-4α and H-16β), 1.03 (6H, s, H-19), 0.88 (6H, s, H-18); 13C NMR (CDCl3, 100 MHz) δ 221.0 (2 × C), 149.1 (2 × C), 125.4 (2 × C), 113.1 (2 × CH), 78.4 (2 × C), 51.6 (2 × CH), 47.9 (2 × C), 43.8 (2 × CH), 42.9 (2 × C), 35.9 (2 × CH2), 34.6 (2 × CH), 34.4 (2 × CH2), 32.6 (2 × CH), 31.6 (2 × CH2), 30.8 (2 × CH2), 28.7 (2 × CH2), 27.9 (2 × CH2), 27.1 (2 × CH2), 21.8 (2 × CH2), 20.6 (2 × CH2), 17.6 (2 × CH3), 13.8 (2 × CH3); HRMS m/z 651.4401 (calcd for C44H59O4+, 651.4408).
- Compound 11c: white solid; Rf = 0.71 (3 × hexane:ethyl acetate 74/26); IR (ATR) νmax 2929, 2870, 1737, 1241, 1194, 1152, 785 cm–1; 1H NMR (CDCl3, 400 MHz) δ 6.43 (2H, s, H-Ar), 2.91 (1H, m, H-3α), 2.85 (1H, m, H-3β), 1.03 (3H, s, H-19), 1.01 (3H, s, H-19′), 0.88 (s, 6H, H-18 and H-18′); 13C NMR (CDCl3, 100 MHz) δ 221.4 (C), 220.9 (C), 149.0 (C), 148.7 (C), 126.1 (C), 125.2 (C), 113.0 (CH), 112.7 (CH), 78.3 (C), 78.1 (C), 51.6 (CH), 51.2 (CH), 47.8 (2 × C), 46.1 (CH), 43.9 (CH), 42.9 (C), 42.1 (C), 35.9 (2 × CH2), 34.5 (CH), 34.4 (CH), 34.4 (CH2), 33.6 (CH2), 32.5 (2 × CH), 32.0 (CH2), 31.6 (CH2), 31.5 (CH2), 30.7 (CH2), 29.5 (CH2), 29.4 (CH2), 28.8 (CH2), 27.9 (CH2), 27.0 (CH2), 24.8 (CH2), 21.8 (CH2), 21.7 (CH2), 20.6 (CH2), 20.0 (CH2), 17.6 (CH3), 16.2 (CH3), 13.8 (2 × CH3); HRMS m/z 651.4403 (calcd for C44H59O4+, 651.4408).
3.2.2. Optimal Procedure for Preparation of Dimer 1 in the Montmorillonite K10 Catalyzed Reaction of Androst-5-en-3β-ol-17-one (4a) with Hydroquinone (Table 2, Run No. 5)
- Compound 1: colorless crystals (CH2Cl2/ethyl acetate); mp 252–254 °C; Rf = 0.50 (3 × benzene/ethyl acetate 94:6); IR (ATR) νmax 2938, 2907, 1744, 1731, 1501, 1214, 1043, 1029, 815 cm–1; 1H NMR (CDCl3, 400 MHz) δ 6.82 (4H, s, H-Ar), 5.42 (2H, m, H-6), 4.00 (2H, m, H-3α), 1.09 (6H, s, H-19), 0.91 (6H, s, H-18); 13C NMR (CDCl3, 100 MHz) δ 221.0 (2 × C), 151.8 (2 × C), 140.7 (2 × C), 121.4 (2 × CH), 117.4 (4 × CH), 77.9 (2 × CH), 51.8 (2 × CH), 50.3 (2 × CH), 47.5 (2 × C), 38.8 (2 × CH2), 37.1 (2 × CH2), 37.0 (2 × C), 35.8 (2 × CH2), 31.5 (2 × CH), 31.4 (2 × CH2), 30.8 (2 × CH2), 28.3 (2 × CH2), 21.9 (2 × CH2), 20.4 (2 × CH2), 19.4 (2 × CH3), 13.5 (2 × CH3); HRMS m/z 651.4409 (calcd for C44H59O4+, 651.4408).
- Compound 9: colorless crystals (CH2Cl2/ethyl acetate); mp 277–279 °C; Rf = 0.48 (3 × hexane/ethyl acetate 74:26); IR (ATR) νmax 3311, 2948, 2864, 1710, 1505, 1211, 1028, 819 cm−1; 1H NMR (CDCl3/MeOD, 400 MHz) δ 6.76 (2H, d, J = 19.2 Hz, H-Ar), 6.71 (2H, d, J = 19.1 Hz, H-Ar), 5.37 (1H, m, H-6), 3.93 (1H, m, H-3α), 1.05 (3H, s, H-19), 0.87 (3H, s, H-18); 13C NMR (CDCl3/MeOD, 100 MHz) δ 221.9 (C), 150.8 (C), 150.7 (C), 140.7 (C), 121.3 (CH), 117.9 (2 × CH), 115.8 (2 × CH), 78.3 (CH), 51.7 (CH), 50.2 (CH), 47.6 (C), 38.8 (CH2), 37.0 (CH2), 36.9 (C), 35.8 (CH2), 31.4 (CH), 31.3 (CH2), 30.7 (CH2), 28.2 (CH2), 21.8 (CH2), 20.3 (CH2), 19.4 (CH3), 13.5 (CH3); HRMS m/z 381.2438 (calcd for C25H33O3+, 381.2424).
- Compound 12: colorless crystals (hexane/CH2Cl2); mp 268–269 °C; Rf = 0.45 (3 × benzene/ethyl acetate 94:6); IR (ATR) νmax 2931, 2895, 1731, 1094, 1058, 1005 cm–1; 1H NMR (CDCl3, 400 MHz) δ 5.38 (2H, m, H-6), 3.30 (2H, m, H-3α), 2.47 (2H, dd, J = 19.2 Hz, J = 8.6 Hz, H-16β), 1.04 (6H, s, H-19), 0.89 (6H, s, H-18); 13C NMR (CDCl3, 100 MHz) δ 221.2 (2 × C), 141.5 (2 × C), 120.6 (2 × CH), 76.2 (2 × CH), 51.8 (2 × CH), 50.3 (2 × CH), 47.5 (2 × C), 40.0 (2 × CH2), 37.3 (2 × CH2), 37.0 (2 × C), 35.8 (2 × CH2), 31.5 (2 × CH), 31.4 (2 × CH2), 30.8 (2 × CH2), 29.3 (2 × CH2), 21.9 (2 × CH2), 20.3 (2 × CH2), 19.4 (2 × CH3), 13.5 (2 × CH3).
- Compound 2: colorless crystals (hexane/CH2Cl2); mp 307–309 °C; Rf = 0.38 (3 × benzene/ethyl acetate 94:6); IR (ATR) νmax 2925, 1502, 1225, 1050, 1016, 809 cm–1; 1H NMR (CDCl3, 400 MHz) δ 6.82 (4H, s, H-Ar), 5.38 (2H, m, H-6), 4.43 (2H, m, H-16), 3.98 (2H, m, H-3α), 3.49 (2H, m, H-26β), 3.39 (2H, t, J = 10.9 Hz, H-26α), 1.08 (6H, s, H-19), 0.99 (6H, d, J = 6.9 Hz, H-21), 0.81 (6H, s, H-18), 0.80 (6H, d, J = 5.0 Hz, H-27); 13C NMR (CDCl3, 100 MHz) δ 151.8 (2 × C), 140.5 (2 × C), 121.9 (2 × CH), 117.4 (4 × CH), 109.3 (2 × C), 80.8 (2 × CH), 78.0 (2 × CH), 66.8 (2 × CH2), 62.1 (2 × CH), 56.5 (2 × CH), 50.1 (2 × CH), 41.6 (2 × CH), 40.3 (2 × C), 39.8 (2 × CH2), 38.8 (2 × CH2), 37.2 (2 × CH2), 37.0 (2 × C), 32.1 (2 × CH2), 31.8 (2 × CH2), 31.43 (2 × CH), 31.38 (2 × CH2), 30.3 (2 × CH), 28.8 (2 × CH2), 28.3 (2 × CH2), 20.8 (2 × CH2), 19.4 (2 × CH3), 17.1 (2 × CH3), 16.3 (2 × CH3), 14.5 (2 × CH3); HRMS m/z 903.6502 (calcd for C60H87O6+, 903.6497).
- Diosgenin derived hydroquinone mono steroidal ether: colorless crystals (hexane/CH2Cl2); mp 165–166 °C; Rf = 0.35 (hexane/ethyl acetate 88:12); IR (ATR) νmax 3309, 2929, 1507, 1210, 1046, 1012, 830 cm–1; 1H NMR (CDCl3, 400 MHz) δ 6.80 (2H, d, J = 9.0 Hz, H-Ar), 6.75 (2H, d, J = 9.0 Hz, H-Ar), 5.38 (1H, m, H-6), 4.76 (1H, bs, -OH), 4.43 (1H, m, H-16), 3.97 (1H, m, H-3α), 3.49 (1H, m, H-26β), 3.39 (1H, t, J = 10.9 Hz, H-26α), 1.07 (3H, s, H-19), 0.99 (3H, d, J = 6.9 Hz, H-21), 0.81 (3H, s, H-18), 0.80 (3H, d, J = 6.4 Hz, H-27); 13C NMR (CDCl3, 100 MHz) δ 151.6 (C), 149.8 (C), 140.5 (C), 121.9 (CH), 117.8 (CH), 116.0 (CH), 109.4 (C), 80.8 (CH), 78.3 (CH), 66.9 (CH2), 62.1 (CH), 56.5 (CH), 50.1 (CH), 41.6 (CH), 40.3 (C), 39.8 (CH2), 38.8 (CH2), 37.1 (CH2), 37.0 (C), 32.1 (CH2), 31.8 (CH2), 31.42 (CH), 31.37 (CH2), 30.3 (CH), 28.8 (CH2), 28.3 (CH2), 20.9 (CH2), 19.4 (CH3), 17.1 (CH3), 16.3 (CH3), 14.5 (CH3); HRMS m/z 507.3476 (calcd for C33H47O4+, 507.3469).
3.2.3. Optimal Procedure for Preparation of Dimer 12 in the Montmorillonite K10 Catalyzed Reaction of Androst-5-en-3β-ol-17-one (4a) (Table 2, Run No. 8)
3.2.4. Optimal Procedure for Preparation of Dimer 1 in the Montmorillonite K10 Catalyzed Reaction of Tosylate 4b with Hydroquinone (Table 3, Run No. 3)
4. Conclusions
Supplementary Materials
Author Contributions
Funding
Data Availability Statement
Acknowledgments
Conflicts of Interest
Sample Availability
References
- Li, Y.; Dias, J.R. Dimeric and oligomeric steroids. Chem. Rev. 1997, 97, 283–304. [Google Scholar] [CrossRef] [PubMed]
- Nahar, L.; Sarker, S.D. Steroid Dimers—Chemistry and Applications in Drug Design and Delivery; John Wiley & Sons: Chichester, UK, 2012; ISBN 978-1-119-97284-6. [Google Scholar]
- Nahar, L.; Sarker, S.D.; Turner, A.B. A review on synthetic and natural steroid dimers: 1997–2006. Curr. Med. Chem. 2007, 14, 1349–1370. [Google Scholar] [CrossRef] [PubMed]
- Nahar, L.; Sarker, S.D. A review on steroid dimers: 2011–2019. Steroids 2020, 164, 108736. [Google Scholar] [CrossRef] [PubMed]
- Banerji, J.; Chatterjee, A.; Itoh, Y.; Kikuchi, T. New steroid alkaloids from Chonemorpha macrophylla G. don (Chonemorpha fragrans Moon Alston). Indian J. Chem. 1973, 11, 1056–1057, ISSN/ISBN 0019-5103. [Google Scholar]
- D’Auria, M.V.; Giannini, C.; Zampella, A.; Minale, L.; Debitus, C.; Roussakis, C. Crellastatin A: A Cytotoxic Bis-Steroid Sulfate from the Vanuatu Marine Sponge Crella sp. J. Org. Chem. 1998, 63, 7382–7388. [Google Scholar] [CrossRef]
- Pettit, G.R.; Kamano, Y.; Dufresne, G.; Inoue, M.; Christie, N.; Schmidt, K.M.; Doubek, D.L. Isolation and structure of the unusual Indian Ocean Cephalodiscus gilchristi components, cephalostatins 5 and 6. Can. J. Chem. 1989, 67, 1509–1513. [Google Scholar] [CrossRef]
- Fuzukawa, S.; Matsunaga, S.; Fusetani, N. Ritterazine A, a highly cytotoxic dimeric steroidal alkaloid, from the tunicate Ritterella tokioka. J. Org. Chem. 1994, 59, 6164–6166. [Google Scholar] [CrossRef]
- LaCour, T.G.; Guo, C.; Bhandaru, S.; Boyd, M.R.; Fuchs, P.L. Interphylal product splicing: The first total syntheses of cephalostatin 1, the North hemisphere of ritterazine G, and the highly active hybrid analogue, ritterostatin GN1N1. J. Am. Chem. Soc. 1998, 120, 692–697. [Google Scholar] [CrossRef]
- Shi, Y.; Jia, L.; Xiao, Q.; Lan, Q.; Tang, X.; Wang, D.; Li, M.; Ji, Y.; Zhou, T.; Tian, W. A Practical Synthesis of Cephalostatin 1. Chem. Asian J. 2011, 6, 786–790. [Google Scholar] [CrossRef]
- Jautelat, R.; Müller-Fahrnow, A.; Winterfeldt, E. A novel oxidative cleavage of the steroidal skeleton. Chem. Eur. J. 1999, 5, 1226–1233. [Google Scholar] [CrossRef]
- Iglesias-Arteaga, M.A.; Morzycki, J.W. Cephalostatins and ritterazines. In The Alkaloids, Chemistry and Biology; Knölker, H.-J., Ed.; Academic Press: Cambridge, MA, USA, 2013; Volume 72, pp. 153–279. [Google Scholar] [CrossRef]
- Ganesan, A. The dimeric steroid-pyrazine marine alkaloids: Challenges for isolation, synthesis, and biological studies. Angew. Chem. Int. Ed. Engl. 1996, 35, 611–615. [Google Scholar] [CrossRef]
- Gryszkiewicz-Wojtkielewicz, A.; Jastrzębska, I.; Morzycki, J.W.; Romanowska, D.B. Approaches towards the synthesis of cephalostatins, ritterazines and saponins from Ornithogalum saundersiae—New natural products with cytostatic activity. Curr. Org. Chem. 2003, 7, 1257–1277. [Google Scholar] [CrossRef]
- Lee, S.; LaCour, T.G.; Fuchs, P.L. Chemistry of trisdecacyclic pyrazine antineoplastics: The cephalostatins and ritterazines. Chem. Rev. 2009, 109, 2275–2314. [Google Scholar] [CrossRef] [PubMed]
- Davis, A.P. Cholaphanes et al.; steroids as structural components in molecular engineering. Chem. Soc. Rev. 1993, 22, 243–253. [Google Scholar] [CrossRef]
- Bonar-Law, R.P.; Davis, A.P. Synthesis of steroidal cyclodimers from cholic acid; a molecular framework with potential for recognition and catalysis. J. Chem. Soc. Chem. Commun. 1989, 15, 1050–1052. [Google Scholar] [CrossRef]
- Joachimiak, R.; Paryzek, Z. Synthesis and alkaline metal ion binding ability of new steroid dimers derived from cholic and lithocholic acids. J. Inclusion Phenom. Macrocycl. Chem. 2004, 49, 127–132. [Google Scholar] [CrossRef]
- Virtanen, E.; Kolehmainen, E. Use of bile acids in pharmacological and supramolecular applications. Eur. J. Org. Chem. 2004, 16, 3385–3399. [Google Scholar] [CrossRef]
- Vazquez-Chavez, J.; Aguilar-Granda, A.; Iglesias Arteaga, M.A. Synthesis and characterization of a fluorescent steroid dimer linked through C-19 by a 1,4-Bis(phenylethynyl)phenylene fragment. Steroids 2022, 187, 109098. [Google Scholar] [CrossRef]
- Czajkowska, D.; Morzycki, J.W. Synthesis of cholaphanes by ring closing metathesis. Tetrahedron Lett. 2007, 48, 2851–2855. [Google Scholar] [CrossRef]
- Jurášek, M.; Džubák, P.; Sedlák, D.; Dvořáková, H.; Hajdúch, M.; Bartůnĕk, P.; Drašar, P. Preparation, preliminary screening of new types of steroid conjugates and their activities on steroid receptors. Steroids 2013, 78, 356–361. [Google Scholar] [CrossRef]
- Guthrie, J.P.; Cossar, J.; Darson, B.A. A water soluble dimeric steroid with catalytic properties. Rate enhancements from hydrophobic binding. Can. J. Chem. 1986, 64, 2456–2469. [Google Scholar] [CrossRef]
- Chattopadhyay, P.; Pandey, P.S. Synthesis and binding ability of bile acid-based receptors for recognition of flavin analogues. Tetrahedron 2006, 62, 8620–8624. [Google Scholar] [CrossRef]
- Janout, V.; Staina, I.V.; Bandyopadhyay, P.; Regen, S.L. Evidence for an umbrella mechanism of bilayer transport. J. Am. Chem. Soc. 2001, 123, 9926–9927. [Google Scholar] [CrossRef]
- Fournier, D.; Poirier, D. Estradiol dimers as a new class of steroid sulfatase reversible inhibitors. Bioorg. Med. Chem. Lett. 2009, 19, 693–696. [Google Scholar] [CrossRef] [PubMed]
- Opsenica, D.; Pocsfalvi, G.; Juranić, Z.; Tinant, B.; Declercq, J.-P.; Kyle, D.E.; Milhous, W.K.; Šolaja, B.A. Cholic acid derivatives as 1,2,4,5-tetraoxane carriers: Structure and antimalarial and antiproliferative activity. J. Med. Chem. 2000, 43, 3274–3282. [Google Scholar] [CrossRef]
- Moser, B.R. Review of cytotoxic cephalostatins and ritterazines: Isolation and synthesis. J. Nat. Prod. 2008, 71, 487–491. [Google Scholar] [CrossRef] [PubMed]
- Jurášek, M.; Černohorská, M.; Řehulka, J.; Spiwok, V.; Sulimenko, T.; Dráberová, E.; Darmostuk, M.; Gurská, S.; Frydrych, I.; Buriánová, R.; et al. Estradiol dimer inhibits tubulin polymerization and microtubule dynamics. J. Steroid Biochem. Mol. Biol. 2018, 183, 68–79. [Google Scholar] [CrossRef]
- Czajkowska-Szczykowska, D.; Rodríguez-Molina, B.; Magaña-Vergara, N.E.; Santillan, R.; Morzycki, J.W.; Garcia-Garibay, M.A. Macrocyclic Molecular Rotors with Bridged Steroidal Frameworks. J. Org. Chem. 2012, 77, 9970–9978. [Google Scholar] [CrossRef] [PubMed]
- Lino, R.; Kinbara, K.; Bryant, Z. Introduction: Molecular Rotors. Chem. Rev. 2020, 120, 1–4. [Google Scholar] [CrossRef]
- Tomkiel, A.M.; Kowalski, J.; Płoszyńska, J.; Siergiejczyk, L.; Łotowski, Z.; Sobkowiak, A.; Morzycki, J.W. Electrochemical synthesis of glycoconjugates from activated sterol derivatives. Steroids 2014, 82, 60–67. [Google Scholar] [CrossRef]
- Hunter, A.C.; Collins, C.; Dodd, H.T.; Dedi, C.; Koussoroplis, S.-J. Transformation of a series of saturated isomeric steroidal diols by Aspergillus tamarii KITA reveals a precise stereochemical requirement for entrance into the lactonization pathway. J. Steroid Biochem. Mol. Biol. 2010, 122, 352–358. [Google Scholar] [CrossRef]
- Shimizu, S.; Hagiwara, K.; Itoh, H.; Inoue, M. Unified total synthesis of five bufadienolides. Org. Lett. 2020, 22, 8652–8657. [Google Scholar] [CrossRef] [PubMed]
- Yang, Y.; Haino, T.; Usui, S.; Fukazawa, Y. Shielding effect of ether C-O bond obtained from proton chemical shifts of 4-oxa-5α- and 4-oxa-5β-androstan-17-ones. Tetrahedron 1996, 52, 2325–2336. [Google Scholar] [CrossRef]
- Lloyd, L. Handbook of Industrial Catalysts; Springer: New York, NY, USA, 2011; pp. 181–182. [Google Scholar] [CrossRef]
- Kaneda, K. Cation-exchanged montmorillonites as solid acid catalysts for organic synthesis. Synlett 2007, 7, 0999–1015. [Google Scholar] [CrossRef]
- Bhongale, P.; Joshi, S.; Mali, N. A comprehensive review on catalytic O-alkylation of phenol and hydroquinone. Catal. Rev. 2023, 65, 455–500. [Google Scholar] [CrossRef]
- Lu, B.; Li, L.-J.; Li, T.-S.; Li, J.-L. Montmorillonite clay catalysis. Part 13. 1 Etherification of cholesterol catalysed by montmorillonite K-10. J. Chem. Res. Synop. 1998, 9, 604–605. [Google Scholar] [CrossRef]
- Li, T.; Li, H.; Guo, J.; Jin, T. Montmorillonite clay catalysis I: An efficient and convenient procedure for preparation of 5(6)/5′(6′)-unsaturated 3β-disteryl ethers. Synth. Commun. 1996, 26, 2497–2502. [Google Scholar] [CrossRef]
- Kowalski, J.; Morzycki, J.W.; Sobkowiak, A.; Wilczewska, A.Z. Unusual electrochemical oxidation of cholesterol. Steroids 2008, 73, 543–548. [Google Scholar] [CrossRef]
- Zmysłowski, A.; Sitkowski, J.; Bus, K.; Ofiara, K.; Szterk, A. Synthesis and search for 3β,3′β-disteryl ethers after high-temperature treatment of sterol-rich samples. Food Chem. 2020, 329, 127132. [Google Scholar] [CrossRef]
- Dhingra, N.; Bhardwaj, T.R.; Mehta, N.; Mukhopadhyay, T.; Kumar, A.; Kumar, M. Synthesis, antiproliferative activity, acute toxicity and assessment of the antiandrogenic activities of new androstane derivatives. Arch. Pharm. Res. 2011, 34, 1055–1063. [Google Scholar] [CrossRef]
- Shuping, W.; Zhiqin, J.; Heting, L.; Li, Y.; Daixun, Z. Sensitized photooxygenation of cholesterol and pseudocholesterol derivatives via singlet oxygen. Molecules 2001, 6, 52–60. [Google Scholar] [CrossRef]
- Wallis, P.J.; Gates, W.P.; Patti, A.F.; Scott, J.L.; Teoh, E. Assessing and improving the catalytic activity of K-10 montmorillonite. Green Chem. 2007, 9, 980–986. [Google Scholar] [CrossRef]
- Ebitani, K.; Kawabata, T.; Nagashima, K.; Mizugaki, T.; Kaneda, K. Simple and clean synthesis of 9,9-bis[4-(2-hydroxyethoxy)phenyl]fluorene from the aromatic alkylation of phenoxyethanol with fluoren-9-one catalysed by titanium cation-exchanged montmorillonite. Green Chem. 2000, 2, 157–160. [Google Scholar] [CrossRef]
- Joseph, T.; Shanbhag, G.V.; Halligudi, S.B. Copper(II) ion-exchanged montmorillonite as catalyst for the direct addition of N-H bond to CC triple bond. J. Mol. Catal. A Chem. 2005, 236, 139–144. [Google Scholar] [CrossRef]





| Run No./ Reaction Conditions | Structure of Products | Conversion | ||||
|---|---|---|---|---|---|---|
![]() | ![]() | ![]() | ![]() | ![]() | ||
| 1 a: K10 (120 °C; 0.5 g) | 14% | 17% | 1% | 26% | 10% | 80% |
| 2 a: K10 (120 °C; 1 g) | 19% | 11% | 1% | 26% | 9% | 80% |
| 3 b: K10 (120 °C; 0.5 g) | 15% | 13% | 1% | 27% | 12% | 95% |
| 4 b: K10 (200 °C; 0.5 g) | 36% | 8% | <5% | 12% | 16% | 80% |
| 5 b: K10 (280 °C; 0.5 g) | 28% | 12% | <5% | 7% | 23% | 90% |
| 6 b: K10 (400 °C; 0.5 g) | 19% | 17% | 1% | 22% | 6% | 80% |
| 7 b: H+-K10 (280 °C; 0.5 g) | 26% | 16% | <5% | 12% | 13% | 95% |
| 8 c: H+-K10 (280 °C; 0.5 g) | 13% | 7% | - | 57% | 1% | 99% |
| 9 b: Ti4+-K10 (280 °C; 0.5 g) | 40% | 18% | - | 22% | 1% | 95% |
| 10 b: Cu2+-K10 (120 °C; 0.5 g) | 33% | 12% | - | 9% | 12% | 95% |
| Run No./ Reaction Conditions | Structure of Products | Conversion | |||
|---|---|---|---|---|---|
![]() | ![]() | ![]() | ![]() | ||
| 1 a: 4b, K10 (280 °C; 300 mg), r.t., 4 days | 22% | 19% | 1% | 15% | 80% |
| 2 a: 4b, K10 (500 °C; 300 mg), r.t., 3 days | 21% | 14% | 1% | 23% | 100% |
| 3 a: 4b, Ti4+-K10 (280 °C; 300 mg), r.t., 3 days | 28% | 19% | - | 31% | 100% |
| 4 b: 6b, K10 (280 °C; 50 mg), r.t., 5 days | 17% | - | - | 32% | 70% |
| 5 b: 6b, K10 (500 °C; 50 mg), r.t., 3 days | 10% | - | - | 67% | 100% |
| 6 b: 6b, Ti4+-K10 (500 °C; 50 mg), r.t., 3 days | 23% | - | - | 42% | 80% |
Disclaimer/Publisher’s Note: The statements, opinions and data contained in all publications are solely those of the individual author(s) and contributor(s) and not of MDPI and/or the editor(s). MDPI and/or the editor(s) disclaim responsibility for any injury to people or property resulting from any ideas, methods, instructions or products referred to in the content. |
© 2023 by the authors. Licensee MDPI, Basel, Switzerland. This article is an open access article distributed under the terms and conditions of the Creative Commons Attribution (CC BY) license (https://creativecommons.org/licenses/by/4.0/).
Share and Cite
Tomkiel, A.M.; Majewski, A.D.; Siergiejczyk, L.; Morzycki, J.W. Montmorillonite Catalyzed Synthesis of Novel Steroid Dimers. Molecules 2023, 28, 7068. https://doi.org/10.3390/molecules28207068
Tomkiel AM, Majewski AD, Siergiejczyk L, Morzycki JW. Montmorillonite Catalyzed Synthesis of Novel Steroid Dimers. Molecules. 2023; 28(20):7068. https://doi.org/10.3390/molecules28207068
Chicago/Turabian StyleTomkiel, Aneta M., Adam D. Majewski, Leszek Siergiejczyk, and Jacek W. Morzycki. 2023. "Montmorillonite Catalyzed Synthesis of Novel Steroid Dimers" Molecules 28, no. 20: 7068. https://doi.org/10.3390/molecules28207068
APA StyleTomkiel, A. M., Majewski, A. D., Siergiejczyk, L., & Morzycki, J. W. (2023). Montmorillonite Catalyzed Synthesis of Novel Steroid Dimers. Molecules, 28(20), 7068. https://doi.org/10.3390/molecules28207068














