Imidazole: Synthesis, Functionalization and Physicochemical Properties of a Privileged Structure in Medicinal Chemistry
Abstract
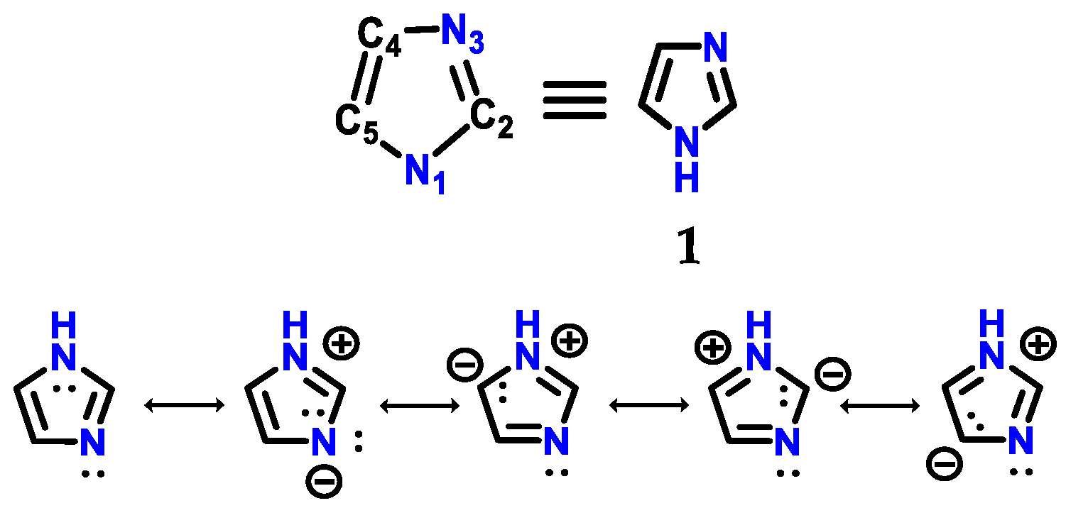
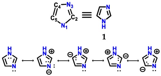
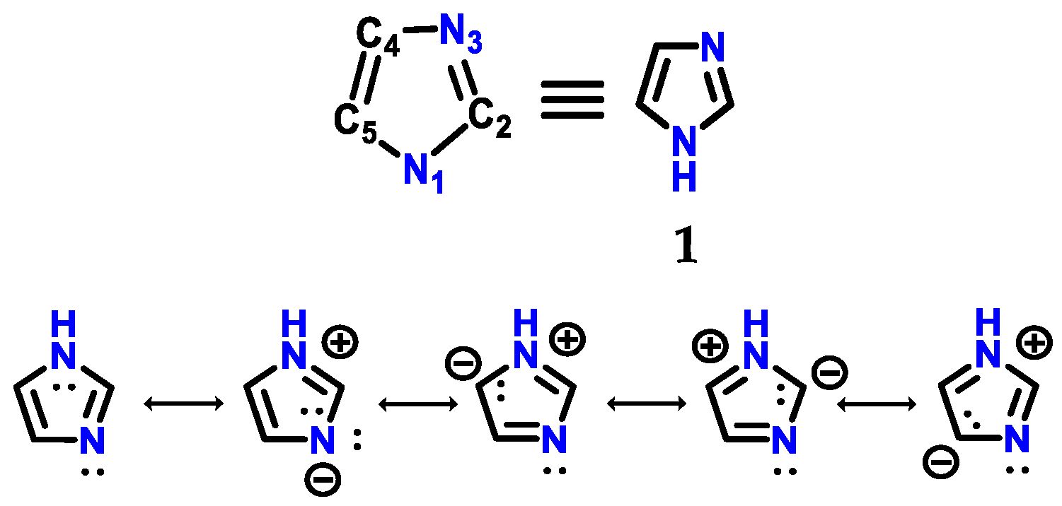
1. The Chemistry of Imidazole
2. Synthesis and Functionalization of Imidazole
2.1. Mono-Substituted Derivatives
2.2. Disubstituted Derivatives
2.3. Trisubstituted Derivatives
2.4. Tetrasubstituted Derivatives
3. Imidazole as a Privileged Structure in Medicinal Chemistry
3.1. The Catalytic Potential of Imidazole in Biological Systems
3.2. Imidazole as a Building Block in the Structure of Bioactive Molecules and Drugs
3.3. The Origin of Cimetidine as an Imidazole-Containing Drug
4. Conclusions
Author Contributions
Funding
Institutional Review Board Statement
Informed Consent Statement
Data Availability Statement
Acknowledgments
Conflicts of Interest
References
- Debus, H. Ueber Die Einwirkung Des Ammoniaks Auf Glyoxal. Ann. Chem. Pharm. 1858, 107, 199–208. [Google Scholar] [CrossRef]
- Verma, A.; Joshi, S.; Singh, D. Imidazole: Having Versatile Biological Activities. J. Chem. 2013, 1, 1–12. [Google Scholar] [CrossRef]
- Asif, M. A Mini Review: Biological Significances of Nitrogen Hetero Atom Containing Heterocyclic Compounds. Int. J. Bioorg. Chem. 2017, 2, 146–152. [Google Scholar]
- Zhao, C.; Qiao, X.; Yi, Z.; Guan, Q.; Li, W. Active Centre and Reactivity Descriptor of a Green Single Component Imidazole Catalyst for Acetylene Hydrochlorination. Phys. Chem. Chem. Phys. 2020, 22, 2849–2857. [Google Scholar] [CrossRef] [PubMed]
- Olofson, A.; Yakushijin, K.; Horne, D.A. Synthesis of Marine Sponge Alkaloids Oroidin, Clathrodin, and Dispacamides. Preparation and Transformation of 2-Amino-4, 5–Dialkoxy-4, 5–Dihydroimidazolines from 2-Aminoimidazoles. J. Org. Chem. 1998, 63, 1248–1253. [Google Scholar] [CrossRef]
- Wan, Y.; Hur, W.; Cho, C.Y.; Liu, Y.; Adrian, F.J.; Lozach, O.; Bach, S.; Mayer, T.; Fabbro, D.; Meijer, L. Synthesis and Target Identification of Hymenialdisine Analogs. Chem. Biol. 2004, 11, 247–259. [Google Scholar] [CrossRef]
- Richaud, A.; Barba-Behrens, N.; Méndez, F. Chemical Reactivity of the Imidazole: A Semblance of Pyridine and Pyrrole? Org. Lett. 2011, 13, 972–975. [Google Scholar] [CrossRef]
- Mullins, R.J.; Azman, A.M. Imidazoles. In Tetrahedron Organic Chemistry Series; Elsevier: Amsterdam, The Netherlands, 2007; Volume 26, pp. 407–433. [Google Scholar] [CrossRef]
- Stockman, R.A. Heterocyclic Chemistry. Annu. Rep. Prog. Chem. Sect. B Org. Chem. 2007, 103, 107–124. [Google Scholar] [CrossRef]
- Movellan, K.T.; Wegstroth, M.; Overkamp, K.; Leonov, A.; Becker, S.; Andreas, L.B. Imidazole–Imidazole Hydrogen Bonding in the PH-Sensing Histidine Side Chains of Influenza A M2. J. Am. Chem. Soc. 2020, 142, 2704–2708. [Google Scholar] [CrossRef]
- Kochendoerfer, G.G.; Salom, D.; Lear, J.D.; Wilk-Orescan, R.; Kent, S.B.H.; DeGrado, W.F. Total Chemical Synthesis of the Integral Membrane Protein Influenza A Virus M2: Role of Its C–Terminal Domain in Tetramer Assembly. Biochemistry 1999, 38, 11905–11913. [Google Scholar] [CrossRef]
- Sakaguchi, T.; Tu, Q.; Pinto, L.H.; Lamb, R.A. The Active Oligomeric State of the Minimalistic Influenza Virus M2 Ion Channel Is a Tetramer. Proc. Nat. Acad. Sci. USA 1997, 94, 5000–5005. [Google Scholar] [CrossRef]
- Sugrue, R.J.; Hay, A.J. Structural Characteristics of the M2 Protein of Influenza a Viruses: Evidence That It Forms a Tetrameric Channe. Virology 1991, 180, 617–624. [Google Scholar] [CrossRef]
- Sugrue, R.J.; Bahadur, G.; Zambon, M.C.; Hall-Smith, M.; Douglas, A.R.; Hay, A.J. Specific Structural Alteration of the Influenza Haemagglutinin by Amantadine. EMBO J. 1990, 9, 3469–3476. [Google Scholar] [CrossRef]
- Colvin, M.T.; Andreas, L.B.; Chou, J.J.; Griffin, R.G. Proton Association Constants of His 37 in the Influenza–A M218–60 Dimer–of-Dimers. Biochemistry 2014, 53, 5987–5994. [Google Scholar] [CrossRef]
- Bylund, D.B. Histamine. In Reference Module in Biomedical Sciences. 2017. Available online: https://scitechconnect.elsevier.com/resources/reference-module-biomedical-sciences/ (accessed on 31 December 2022). [CrossRef]
- Arnau, N.; Arredondo, Y.; Moreno-Mañas, M.; Pleixats, R.; Villarroya, M. Palladium (0)-catalyzed Allylation of 4 (5)-substituted Imidazoles, 5 (6)-substituted Benzimidazoles, Benzotriazole and 5 (6)-methylbenzotriazole. J. Heterocycl. Chem. 1995, 32, 1325–1334. [Google Scholar] [CrossRef]
- Kuzuya, M.; Noguchi, A.; Mano, E.; Okuda, T. The Structure–Reactivity–Chemoselectivity Relationship on the Reactions of 1–Unsubstituted Tautomeric 2-Pyridones with Benzyne. Bull. Chem. Soc. Jpn. 1985, 58, 1149–1155. [Google Scholar] [CrossRef]
- Katritzky, A.R.; Lagowski, J.M. Prototropic Tautomerism of Heteroaromatic Compounds: IV. Five–Membered Rings with Two or More Hetero Atoms. Adv. Heterocycl. Chem. 1963, 2, 27–81. [Google Scholar]
- Walba, H.; Isensee, R.W. Acidity Constants of Some Arylimidazoles and Their Cations. J. Org. Chem. 1961, 26, 2789–2791. [Google Scholar] [CrossRef]
- Zhu, L.; Li, G.; Luo, L.; Guo, P.; Lan, J.; You, J. Highly Functional Group Tolerance in Copper-Catalyzed N-Arylation of Nitrogen-Containing Heterocycles under Mild Conditions. J. Org. Chem. 2009, 74, 2200–2202. [Google Scholar] [CrossRef]
- Ruan, Y.; Chen, Y.; Gu, L.; Luo, Y.; Yang, Z.; He, L. Preparation of Imidazole Derivatives via Bisfunctionalization of Alkynes Catalyzed by Ruthenium Carbonyl. Synthesis 2019, 51, 3520–3528. [Google Scholar] [CrossRef]
- Chen, J.; Wang, Z.; Li, C.-M.; Lu, Y.; Vaddady, P.K.; Meibohm, B.; Dalton, J.T.; Miller, D.D.; Li, W. Discovery of Novel 2-Aryl–4–Benzoyl–Imidazoles Targeting the Colchicines Binding Site in Tubulin as Potential Anticancer Agents. J. Med. Chem. 2010, 53, 7414–7427. [Google Scholar] [CrossRef] [PubMed]
- Kuzu, B.; Tan, M.; Ekmekci, Z.; Menges, N. A Novel Fluorescent Sensor Based on Imidazole Derivative for Fe3+ Ions. J. Lumin. 2017, 192, 1096–1103. [Google Scholar] [CrossRef]
- de Toledo, I.; Grigolo, T.A.; Bennett, J.M.; Elkins, J.M.; Pilli, R.A. Modular Synthesis of Di-and Trisubstituted Imidazoles from Ketones and Aldehydes: A Route to Kinase Inhibitors. J. Org. Chem. 2019, 84, 14187–14201. [Google Scholar] [CrossRef] [PubMed]
- Shabalin, D.A.; Dunsford, J.J.; Ngwerume, S.; Saunders, A.R.; Gill, D.M.; Camp, J.E. Synthesis of 2, 4–Disubstituted Imidazoles via Nucleophilic Catalysis. Synlett. 2020, 31, 797–800. [Google Scholar]
- Fang, S.; Yu, H.; Yang, X.; Li, J.; Shao, L. Nickel-Catalyzed Construction of 2, 4-Disubstituted Imidazoles via C–C Coupling and C− N Condensation Cascade Reactions. Adv. Synth. Catal. 2019, 361, 3312–3317. [Google Scholar] [CrossRef]
- Wong, L.C.; Gehre, A.; Stanforth, S.P.; Tarbit, B. Convenient Synthesis of Highly Substituted Imidazole Derivatives. Synth. Commun. 2013, 43, 80–84. [Google Scholar] [CrossRef]
- Noriega-Iribe, E.; Díaz-Rubio, L.; Estolano-Cobián, A.; Barajas-Carrillo, V.W.; Padrón, J.M.; Salazar-Aranda, R.; Díaz–Molina, R.; García-González, V.; Chávez–Santoscoy, R.A.; Chávez, D. In Vitro and in Silico Screening of 2, 4, 5–Trisubstituted Imidazole Derivatives as Potential Xanthine Oxidase and Acetylcholinesterase Inhibitors, Antioxidant, and Antiproliferative Agents. Appl. Sci. 2020, 10, 2889. [Google Scholar] [CrossRef]
- Kalhor, M.; Seyedzade, Z.; Zarnegar, Z. (NH4) 2Ce (NO3) 6/HNO3 as a High-Performance Oxidation Catalyst for the One–Step, Solvent–Free Synthesis of Dicyano Imidazoles. Polycycl. Aromat. Compd. 2021, 41, 1506–1514. [Google Scholar] [CrossRef]
- Takashima, R.; Tsunekawa, K.; Shinozaki, M.; Suzuki, Y. Selective Synthesis of 1, 4, 5–Trisubstituted Imidazoles from α-Imino Ketones Prepared by N-Heterocyclic–Carbene–Catalyzed Aroylation. Tetrahedron 2018, 74, 2261–2267. [Google Scholar] [CrossRef]
- Bunev, A.S.; Vasiliev, M.A.; Statsyuk, V.E.; Ostapenko, G.I.; Peregudov, A.S. Synthesis of 1–Aryl-4-Tosyl-5-(Trifluoromethyl)-1H–Imidazoles. J. Fluor. Chem. 2014, 163, 34–37. [Google Scholar] [CrossRef]
- Hanoon, H.D.; Kowsari, E.; Abdouss, M.; Ghasemi, M.H.; Zandi, H. Highly Efficient and Simple Protocol for Synthesis of 2, 4, 5–Triarylimidazole Derivatives from Benzil Using Fluorinated Graphene Oxide as Effective and Reusable Catalyst. Res. Chem. Intermed. 2017, 43, 4023–4041. [Google Scholar] [CrossRef]
- Tan, J.; Li, J.R.; Hu, Y.L. Novel and Efficient Multifunctional Periodic Mesoporous Organosilica Supported Benzotriazolium Ionic Liquids for Reusable Synthesis of 2, 4, 5-Trisubstituted Imidazoles. J. Saudi Chem. Soc. 2020, 24, 777–784. [Google Scholar] [CrossRef]
- Hilal, D.A.; Hanoon, H.D. Bronsted Acidic Ionic Liquid Catalyzed an Eco-Friendly and Efficient Procedure for Synthesis of 2, 4, 5-Trisubstituted Imidazole Derivatives under Ultrasound Irradiation and Optimal Conditions. Res. Chem. Intermed. 2020, 46, 1521–1538. [Google Scholar] [CrossRef]
- Alinezhad, H.; Tajbakhsh, M.; Maleki, B.; Pourshaban Oushibi, F. Acidic Ionic Liquid [H-NP] HSO4 Promoted One-Pot Synthesis of Dihydro–1H-Indeno [1, 2–b] Pyridines and Polysubstituted Imidazoles. Polycycl. Aromat. Compd. 2020, 40, 1485–1500. [Google Scholar] [CrossRef]
- Maleki, A.; Rahimi, J.; Valadi, K. Sulfonated Fe3O4@ PVA Superparamagnetic Nanostructure: Design, in-Situ Preparation, Characterization and Application in the Synthesis of Imidazoles as a Highly Efficient Organic–Inorganic Bronsted Acid Catalyst. Nano–Struct. Nano–Objects. 2019, 18, 100264. [Google Scholar] [CrossRef]
- Gupta, S.; Lakshman, M. Magnetic Nano Cobalt Ferrite: An Efficient Recoverable Catalyst for Synthesis of 2, 4, 5-Trisubstituted Imidazoles. J. Med. Chem. Sci. 2019, 2, 51–54. [Google Scholar]
- Kalhor, M.; Zarnegar, Z. Fe3O4/SO3H@ Zeolite-Y as a Novel Multi–Functional and Magnetic Nanocatalyst for Clean and Soft Synthesis of Imidazole and Perimidine Derivatives. RSC Adv. 2019, 9, 19333–19346. [Google Scholar] [CrossRef]
- Singh, H.; Rajput, J.K. Co (II) Anchored Glutaraldehyde Crosslinked Magnetic Chitosan Nanoparticles (MCS) for Synthesis of 2, 4, 5-trisubstituted and 1, 2, 4, 5-tetrasubstituted Imidazoles. Appl. Organomet. Chem. 2018, 32, e3989. [Google Scholar] [CrossRef]
- Wagare, D.S.; Sonone, A.; Farooqui, M.; Durrani, A. An Efficient and Green Microwave-Assisted One Pot Synthesis of Imidazothiadiazoles in PEG–400 and Water. Polycycl. Aromat. Compd. 2021, 41, 1749–1754. [Google Scholar] [CrossRef]
- Ali, M.A.E.A.A.; Abu-Dief, A.M. CuFe2O4 Nanoparticles: An Efficient Heterogeneous Magnetically Separable Catalyst for Synthesis of Some Novel Propynyl-1H–Imidazoles Derivatives. Tetrahedron 2015, 71, 2579–2584. [Google Scholar]
- Rajkumar, R.; Kamaraj, A.; Krishnasamy, K. Multicomponent, One–Pot Synthesis and Spectroscopic Studies of 1-(2–(2, 4, 5-Triphenyl-1 H-Imidazol–1–Yl) Ethyl) Piperazine Derivatives. J. Taibah Uni. Sci. 2015, 9, 498–507. [Google Scholar] [CrossRef]
- Wang, S.; Kirillova, K.; Lehto, X. Travelers’ Food Experience Sharing on Social Network Sites. J. Travel Tour. Mark. 2017, 34, 680–693. [Google Scholar] [CrossRef]
- Hosseini, S.; Kiasat, A.R.; Farhadi, A. Fe3O4@ SiO2/Bipyridinium Nanocomposite as a Magnetic and Recyclable Heterogeneous Catalyst for the Synthesis of Highly Substituted Imidazoles Via Multi–Component Condensation Strategy. Polycycl. Aromat. Compd. 2021, 41, 761–771. [Google Scholar] [CrossRef]
- Davoodnia, A.; Heravi, M.M.; Safavi–Rad, Z.; Tavakoli–Hoseini, N. Green, One-Pot, Solvent–Free Synthesis of 1, 2, 4, 5-Tetrasubstituted Imidazoles Using a Brønsted Acidic Ionic Liquid as Novel and Reusable Catalyst. Synth. Commun. 2010, 40, 2588–2597. [Google Scholar] [CrossRef]
- Safa, K.D.; Feyzi, A.; Allahvirdinesbat, M.; Sarchami, L.; Panahi, P.N. Synthesis of Novel Organosilicon Compounds Possessing Fully Substituted Imidazole Nucleus Sonocatalyzed by Fe–Cu/ZSM-5 Bimetallic Oxides. Synth. Commun. 2015, 45, 382–390. [Google Scholar] [CrossRef]
- Desai, N.C.; Maheta, A.S.; Rajpara, K.M.; Joshi, V.; Vaghani, H.V.; Satodiya, H.M. Green Synthesis of Novel Quinoline Based Imidazole Derivatives and Evaluation of Their Antimicrobial Activity. J. Saudi Chem. Soc. 2014, 18, 963–971. [Google Scholar] [CrossRef]
- Green, J.P.; Prell, G.D.; Khandelwal, J.K.; Blandina, P. Aspects of Histamine Metabolism. Agents Actions 1987, 22, 1–15. [Google Scholar] [CrossRef]
- Haas, H.L.; Sergeeva, O.A.; Selbach, O. Histamine in the Nervous System. Physiol. Rev. 2008, 88, 1183–1241. [Google Scholar] [CrossRef]
- Fox, S.W. Chemistry of the Biologically Important Imidazoles. Chem. Rev. 1943, 32, 47–71. [Google Scholar] [CrossRef]
- Gupta, R.R.; Kumar, M.; Gupta, V. Heterocyclic Chemistry: Volume II: Five-Membered Heterocycles; Springer Science & Business Media: Berlin, German, 2013; ISBN 3662077574. [Google Scholar]
- Wolfenden, R.; Snider, M.J. The Depth of Chemical Time and the Power of Enzymes as Catalysts. Acc. Chem. Res. 2001, 34, 938–945. [Google Scholar] [CrossRef]
- Liu, C.; Wang, M.; Zhang, T.; Sun, H. DNA Hydrolysis Promoted by Di–and Multi–Nuclear Metal Complexes. Coord. Chem. Rev. 2004, 248, 147–168. [Google Scholar] [CrossRef]
- Silva, V.B.; Orth, E.S. Imidazole and Catalysis: A Perffect Match. Quim. Nova. 2021, 44, 318–333. [Google Scholar]
- Schowen, K.B.; Limbach, H.-H.; Denisov, G.S.; Schowen, R.L. Hydrogen Bonds and Proton Transfer in General–Catalytic Transition-State Stabilization in Enzyme Catalysis. Biochim. Biophys. Bioenerg. 2000, 1458, 43–62. [Google Scholar] [CrossRef]
- Attwood, P.; Piggott, M.J.; Zu, X.L.; Besant, P.G. Focus on Phosphohistidine. Amino Acids 2007, 32, 145–156. [Google Scholar] [CrossRef]
- Raines, R.T. Ribonuclease a. Chem. Rev. 1998, 98, 1045–1066. [Google Scholar] [CrossRef]
- Anderson, V.E.; Ruszczycky, M.W.; Harris, M.E. Activation of Oxygen Nucleophiles in Enzyme Catalysis. Chem. Rev. 2006, 106, 3236–3251. [Google Scholar] [CrossRef]
- Matuszak, C.A.; Matuszak, A.J. Imidazole-Versatile Today, Prominent Tomorrow. J. Chem. Educ. 1976, 53, 280. [Google Scholar] [CrossRef]
- Orth, E.S.; Brandao, T.A.S.; Milagre, H.M.S.; Eberlin, M.N.; Nome, F. Intramolecular Acid− Base Catalysis of a Phosphate Diester: Modeling the Ribonuclease Mechanism. J. Am. Chem. Soc. 2008, 130, 2436–2437. [Google Scholar] [CrossRef]
- Raushel, F.M.; Holden, H.M. Phosphotriesterase: An Enzyme in Search of Its Natural Substrate. Adv. Enzymol. Relat. Areas Mol. Biol. 2000, 74, 51–93. [Google Scholar]
- Yang, W. Nucleases: Diversity of Structure, Function and Mechanism. Q. Rev. Biophys. 2011, 44, 1–93. [Google Scholar] [CrossRef]
- Lehninger, A.L.; Nelson, D.L.; Cox, M.M. Overhead Transparency Set for Lehninger Principles of Biochemistry, 4th ed.; Palgrave Mcmillan: London, UK, 2004; ISBN 071675956X. [Google Scholar]
- Hai, Y.; Christianson, D.W. Histone Deacetylase 6 Structure and Molecular Basis of Catalysis and Inhibition. Nat. Chem. Biol. 2016, 12, 741–747. [Google Scholar] [CrossRef] [PubMed]
- Lee, W.-S.; Ueno, A. A New Feature of Bifunctional Catalysis. Cyclodextrins Bearing Two Imidazole Moieties as Hydrolysis Enzyme Model. Chem. Lett. 2000, 29, 258–259. [Google Scholar] [CrossRef]
- Brown, R.S.; Clewley, R.G. Intramolecular Imidazole-Promoted General–Base Catalysis of the Hydrolysis of an Acetylimidazole. J. Org. Chem. 1987, 52, 1216–1218. [Google Scholar] [CrossRef]
- Orth, E.S.; Almeida, T.G.; Silva, V.B.; Oliveira, A.R.M.; Ocampos, F.M.M.; Barison, A. Mechanistic Insight on the Catalytic Detoxification of Paraoxon Mediated by Imidazole: Furnishing Optimum Scaffolds for Scavenging Organophosphorus Agents. J. Mol. Catal. A Chem. 2015, 403, 93–98. [Google Scholar] [CrossRef]
- Campos, R.B.; Menezes, L.R.A.; Barison, A.; Tantillo, D.J.; Orth, E.S. The Importance of Methyl Positioning and Tautomeric Equilibria for Imidazole Nucleophilicity. Eur. J. Chem. 2016, 22, 15521–15528. [Google Scholar] [CrossRef]
- Khabnadideh, S.; Rezaei, Z.; Khalafi–Nezhad, A.; Bahrinajafi, R.; Mohamadi, R.; Farrokhroz, A.A. Synthesis of N-Alkylated Derivatives of Imidazole as Antibacterial Agents. Bioorg. Med. Chem. Lett. 2003, 13, 2863–2865. [Google Scholar] [CrossRef]
- Kalaria, P.N.; Satasia, S.P.; Avalani, J.R.; Raval, D.K. Ultrasound–Assisted One-Pot Four–Component Synthesis of Novel 2-Amino-3-Cyanopyridine Derivatives Bearing 5-Imidazopyrazole Scaffold and Their Biological Broadcast. Eur. J. Med. Chem. 2014, 83, 655–664. [Google Scholar] [CrossRef]
- Moraski, G.C.; Thanassi, J.A.; Podos, S.D.; Pucci, M.J.; Miller, M.J. One–Step Syntheses of Nitrofuranyl Benzimidazoles That Are Active against Multidrug–Resistant Bacteria. J. Antibiot. 2011, 64, 667–671. [Google Scholar] [CrossRef]
- Lu, B.; Lu, F.; Ran, L.; Yu, K.; Xiao, Y.; Li, Z.; Dai, F.; Wu, D.; Lan, G. Self-Assembly of Natural Protein and Imidazole Molecules on Gold Nanoparticles: Applications in Wound Healing against Multi–Drug Resistant Bacteria. Int. J. Biol. Macromol. 2018, 119, 505–516. [Google Scholar] [CrossRef]
- Toja, E.; Selva, D.; Schiatti, P. 3-Alkyl-2-Aryl–3H-Naphth [1, 2–d] Imidazoles, a Novel Class of Nonacidic Antiinflammatory Agents. J. Med. Chem. 1984, 27, 610–616. [Google Scholar] [CrossRef]
- Bender, P.E.; Hill, D.; Offen, P.H.; Razgaitis, K.; Lavanchy, P.; Stringer, O.D.; Sutton, B.M.; Griswold, D.E.; DiMartino, M. 5, 6–Diaryl-2, 3–Dihydroimidazo [2, 1-b] Thiazoles: A New Class of Immunoregulatory Antiinflammatory Agents. J. Med. Chem. 1985, 28, 1169–1177. [Google Scholar] [CrossRef]
- de Gaetano, M.; Butler, E.; Gahan, K.; Zanetti, A.; Marai, M.; Chen, J.; Cacace, A.; Hams, E.; Maingot, C.; McLoughlin, A. Asymmetric Synthesis and Biological Evaluation of Imidazole-and Oxazole-Containing Synthetic Lipoxin A4 Mimetics (SLXms). Eur. J. Med. Chem. 2019, 162, 80–108. [Google Scholar] [CrossRef]
- Koh, A.; Molinaro, A.; Ståhlman, M.; Khan, M.T.; Schmidt, C.; Mannerås–Holm, L.; Wu, H.; Carreras, A.; Jeong, H.; Olofsson, L.E. Microbially Produced Imidazole Propionate Impairs Insulin Signaling through MTORC1. Cell 2018, 175, 947–961. [Google Scholar] [CrossRef]
- Adeyemi, O.S.; Eseola, A.O.; Plass, W.; Atolani, O.; Sugi, T.; Han, Y.; Batiha, G.E.; Kato, K.; Awakan, O.J.; Olaolu, T.D. Imidazole Derivatives as Antiparasitic Agents and Use of Molecular Modeling to Investigate the Structure–Activity Relationship. Parasitol. Res. 2020, 119, 1925–1941. [Google Scholar] [CrossRef]
- Gupta, P.; Hameed, S.; Jain, R. Ring-Substituted Imidazoles as a New Class of Anti-Tuberculosis Agents. Eur. J. Med. Chem. 2004, 39, 805–814. [Google Scholar] [CrossRef]
- Jeanmart, S.; Gagnepain, J.; Maity, P.; Lamberth, C.; Cederbaum, F.; Rajan, R.; Jacob, O.; Blum, M.; Bieri, S. Synthesis and Fungicidal Activity of Novel Imidazole–Based Ketene Dithioacetals. Bioorg. Med. Chem. 2018, 26, 2009–2016. [Google Scholar] [CrossRef]
- B’bhatt, H.; Sharma, S. Synthesis, Characterization, and Biological Evaluation of Some Tri-Substituted Imidazole/Thiazole Derivatives. J. Heterocycl. Chem. 2015, 52, 1126–1131. [Google Scholar] [CrossRef]
- Park, N. –H.; Shin, K.-H.; Kang, M.K. 34—Antifungal and Antiviral Agents. Pharmacol. Ther. 2017, 10, 488–503. [Google Scholar]
- Hu, D.-C.; Chen, L.-W.; Yang, Y.-X.; Liu, J.-C. Syntheses, Structures and Antioxidant Activities of Two New Cu (II) Complexes with a Benzimidazole Schiff Base Ligand. Inorg. Nano-Met. Chem. 2017. (just accepted). [Google Scholar] [CrossRef]
- Keppler, B.K.; Wehe, D.; Endres, H.; Rupp, W. Synthesis, Antitumor Activity, and x–Ray Structure of Bis (Imidazolium)(Imidazole) Pentachlororuthenate (III),(ImH) 2 (RuImCl5). Inorg. Chem. 1987, 26, 844–846. [Google Scholar] [CrossRef]
- Antonini, I.; Claudi, F.; Cristalli, G.; Franchetti, P.; Grifantini, M.; Martelli, S. Heterocyclic Quinones with Potential Antitumor Activity. 2. Synthesis and Antitumor Activity of Some Benzimidazole-4, 7–Dione Derivatives. J. Med. Chem. 1988, 31, 260–264. [Google Scholar] [CrossRef] [PubMed]
- Inoue, T.; Shimozato, O.; Matsuo, N.; Mori, Y.; Shinozaki, Y.; Lin, J.; Watanabe, T.; Takatori, A.; Koshikawa, N.; Ozaki, T. Hydrophobic Structure of Hairpin Ten-Ring Pyrrole–Imidazole Polyamides Enhances Tumor Tissue Accumulation/Retention in Vivo. Bioorg. Med. Chem. 2018, 26, 2337–2344. [Google Scholar] [CrossRef] [PubMed]
- Shalmali, N.; Ali, M.R.; Bawa, S. Imidazole: An Essential Edifice for the Identification of New Lead Compounds and Drug Development. Mini Rev. Med. Chem. 2017, 18. [Google Scholar] [CrossRef] [PubMed]
- Kondaparla, S.; Manhas, A.; Dola, V.R.; Srivastava, K.; Puri, S.K.; Katti, S.B. Design, Synthesis and Antiplasmodial Activity of Novel Imidazole Derivatives Based on 7-Chloro–4–Aminoquinoline. Bioorg. Chem. 2018, 80, 204–211. [Google Scholar] [CrossRef] [PubMed]
- James, D.A.; Koya, K.; Li, H.; Chen, S.; Xia, Z.; Ying, W.; Wu, Y.; Sun, L. Conjugated Indole-Imidazole Derivatives Displaying Cytotoxicity against Multidrug Resistant Cancer Cell Lines. Bioorg. Med. Chem. Lett. 2006, 16, 5164–5168. [Google Scholar] [CrossRef]
- Özkay, Y.; Işıkdağ, İ.; İncesu, Z.; Akalın, G. Synthesis of 2–Substituted–N–[4-(1–Methyl-4, 5–Diphenyl-1H–Imidazole–2–Yl) Phenyl] Acetamide Derivatives and Evaluation of Their Anticancer Activity. Eur. J. Med. Chem. 2010, 45, 3320–3328. [Google Scholar] [CrossRef]
- Bellina, F.; Guazzelli, N.; Lessi, M.; Manzini, C. Imidazole Analogues of Resveratrol: Synthesis and Cancer Cell Growth Evaluation. Tetrahedron 2015, 71, 2298–2305. [Google Scholar] [CrossRef]
- Seo, H.J.; Park, E.-J.; Kim, M.J.; Kang, S.Y.; Lee, S.H.; Kim, H.J.; Lee, K.N.; Jung, M.E.; Lee, M.; Kim, M.-S. Design and Synthesis of Novel Arylpiperazine Derivatives Containing the Imidazole Core Targeting 5-HT2A Receptor and 5-HT Transporter. J. Med. Chem. 2011, 54, 6305–6318. [Google Scholar] [CrossRef]
- Panarese, V.; Moshirfar, M. Pilocarpine. In StatPearls; StatPearls Publishing: Tampa, FL, USA, 2021. [Google Scholar]
- Hwang, J.; Kim, D.; Park, J.S.; Park, H.J.; Shin, J.; Lee, S.K. Photoprotective Activity of Topsentin, A Bis (Indole) Alkaloid from the Marine Sponge Spongosorites Genitrix, by Regulation of COX–2 and Mir–4485 Expression in UVB-Irradiated Human Keratinocyte Cells. Mar. Drugs. 2020, 18, 87. [Google Scholar] [CrossRef]
- Gibbons, J.B.; Salvant, J.M.; Vaden, R.M.; Kwon, K.-H.; Welm, B.E.; Looper, R.E. Synthesis of Naamidine A and Selective Access to N2-Acyl–2–Aminoimidazole Analogues. J. Org. Chem. 2015, 80, 10076–10085. [Google Scholar] [CrossRef]
- Maeda, K. A New Antibiotic, Azomycin. J. Antibiot. 1953, 6, 182. [Google Scholar]
- Al–Badr, A.A.; Alodhaib, M.M. Dacarbazine. Profiles Drug Subst. Excip. Relat. Methodol. 2016, 41, 323–377. [Google Scholar] [CrossRef]
- Hempel, A.; Camerman, N.; Camerman, A.; Mastropaolo, D. Nafimidone Monohydrate: An Imidazole Anticonvulsant. Acta Crystallogr. Sect. E Struct. Rep. 2005, 61, 1387–1389. [Google Scholar] [CrossRef]
- McIlhenny, H.M.; Bettis, J.W.; Wiseman, E.H. Flumizole, a New Nonsteroidal Anti-inflammatory Agent. J. Pharm. Sci. 1975, 64, 1469–1475. [Google Scholar] [CrossRef]
- Finkelstein, W.; Isselbacher, K.J. Cimetidine. N. Engl. J. Med. 1978, 299, 992–996. [Google Scholar]
- Goa, K.L.; Wagstaff, A.J. Losartan Potassium. Drugs 1996, 51, 820–845. [Google Scholar] [CrossRef]
- Sohn, C.A. Evaluation of Ketoconazole. Clin. Pharm. 1982, 1, 217–224. [Google Scholar]
- Petit, S.; Fruit, C.; Bischoff, L. New Family of Peptidomimetics Based on the Imidazole Motif. Org. Lett. 2010, 12, 4928–4931. [Google Scholar] [CrossRef]
- Bräse, S. Privileged Scaffolds in Medicinal Chemistry: Design, Synthesis, Evaluation; Royal Society of Chemistry: London, UK, 2015; ISBN 1782622241. [Google Scholar]
- Busby, R.W.; Cai, X.; Yang, S.; Ramos, L.; Venkatarangan, L.; Shen, H.; Wax, S.; Sadeque, A.J.M.; de Colle, C. Metopimazine Is Primarily Metabolized by a Liver Amidase in Humans. Pharmacol. Res. Perspect. 2022, 10, 00903. [Google Scholar] [CrossRef]
- Heppner, D.E.; Günther, M.; Wittlinger, F.; Laufer, S.A.; Eck, M.J. Structural Basis for EGFR Mutant Inhibition by Trisubstituted Imidazole Inhibitors. J. Med. Chem. 2020, 63, 4293–4305. [Google Scholar] [CrossRef]
- Günther, M.; Juchum, M.; Kelter, G.; Fiebig, H.; Laufer, S. Lung Cancer: EGFR Inhibitors with Low Nanomolar Activity against a Therapy-resistant L858R/T790M/C797S Mutant. Angew. Chem. Int. Ed. 2016, 55, 10890–10894. [Google Scholar] [CrossRef] [PubMed]
- Lee, S.; Chung, C.Y.S.; Liu, P.; Craciun, L.; Nishikawa, Y.; Bruemmer, K.J.; Hamachi, I.; Saijo, K.; Miller, E.W.; Chang, C.J. Activity–Based Sensing with a Metal-Directed Acyl Imidazole Strategy Reveals Cell Type–Dependent Pools of Labile Brain Copper. J. Am. Chem. Soc. 2020, 142, 14993–15003. [Google Scholar] [CrossRef] [PubMed]
- Hare, D.J.; New, E.J.; de Jonge, M.D.; McColl, G. Imaging Metals in Biology: Balancing Sensitivity, Selectivity and Spatial Resolution. Chem. Soc. Rev. 2015, 44, 5941–5958. [Google Scholar] [CrossRef] [PubMed]
- Xiao, G.; Fan, Q.; Wang, X.; Zhou, B. Huntington Disease Arises from a Combinatory Toxicity of Polyglutamine and Copper Binding. Proc. Nati. Acad. Sci. USA 2013, 110, 14995–15000. [Google Scholar] [CrossRef]
- Fox, J.H.; Kama, J.A.; Lieberman, G.; Chopra, R.; Dorsey, K.; Chopra, V.; Volitakis, I.; Cherny, R.A.; Bush, A.I.; Hersch, S. Mechanisms of Copper Ion Mediated Huntington’s Disease Progression. PLoS ONE 2007, 2, e334. [Google Scholar] [CrossRef] [PubMed]
- Desai, V.; Kaler, S.G. Role of Copper in Human Neurological Disorders. Am. J. Clin. Nutr. 2008, 88, 855S–858S. [Google Scholar] [CrossRef]
- Savelieff, M.G.; Nam, G.; Kang, J.; Lee, H.J.; Lee, M.; Lim, M.H. Development of Multifunctional Molecules as Potential Therapeutic Candidates for Alzheimer’s Disease, Parkinson’s Disease, and Amyotrophic Lateral Sclerosis in the Last Decade. Chem. Rev. 2019, 119, 1221–1322. [Google Scholar] [CrossRef]
- Tong, L.; Pav, S.; White, D.M.; Rogers, S.; Crane, K.M.; Cywin, C.L.; Brown, M.L.; Pargellis, C.A. A Highly Specific Inhibitor of Human P38 MAP Kinase Binds in the ATP Pocket. Nat. Struct. Biol. 1997, 4, 311–316. [Google Scholar] [CrossRef]
- Wang, Z.; Canagarajah, B.J.; Boehm, J.C.; Kassisà, S.; Cobb, M.H.; Young, P.R.; Abdel–Meguid, S.; Adams, J.L.; Goldsmith, E.J. Structural Basis of Inhibitor Selectivity in MAP Kinases. Structure 1998, 6, 1117–1128. [Google Scholar] [CrossRef]
- Peifer, C.; Abadleh, M.; Bischof, J.; Hauser, D.; Schattel, V.; Hirner, H.; Knippschild, U.; Laufer, S. 3, 4–Diaryl-Isoxazoles and–Imidazoles as Potent Dual Inhibitors of P38α Mitogen Activated Protein Kinase and Casein Kinase 1δ. J. Med. Chem. 2009, 52, 7618–7630. [Google Scholar] [CrossRef]
- Takle, A.K.; Brown, M.J.B.; Davies, S.; Dean, D.K.; Francis, G.; Gaiba, A.; Hird, A.W.; King, F.D.; Lovell, P.J.; Naylor, A. The Identification of Potent and Selective Imidazole–Based Inhibitors of B–Raf Kinase. Bioorg. Med. Chem. Lett. 2006, 16, 378–381. [Google Scholar] [CrossRef]
- Niculescu-Duvaz, D.; Niculescu–Duvaz, I.; Suijkerbuijk, B.M.J.M.; Ménard, D.; Zambon, A.; Nourry, A.; Davies, L.; Manne, H.A.; Friedlos, F.; Ogilvie, L. Novel Tricyclic Pyrazole BRAF Inhibitors with Imidazole or Furan Central Scaffolds. Bioorg. Med. Chem. 2010, 18, 6934–6952. [Google Scholar] [CrossRef]
- Niculescu–Duvaz, D.; Niculescu-Duvaz, I.; Suijkerbuijk, B.M.J.M.; Ménard, D.; Zambon, A.; Davies, L.; Pons, J.-F.; Whittaker, S.; Marais, R.; Springer, C.J. Potent BRAF Kinase Inhibitors Based on 2, 4, 5–Trisubstituted Imidazole with Naphthyl and Benzothiophene 4–Substituents. Bioorg. Med. Chem. 2013, 21, 1284–1304. [Google Scholar] [CrossRef]
- Ali, E.M.H.; El-Telbany, R.F.A.; Abdel-Maksoud, M.S.; Ammar, U.M.; Mersal, K.I.; Zaraei, S.-O.; El-Gamal, M.I.; Choi, S.-I.; Lee, K.-T.; Kim, H.-K. Design, Synthesis, Biological Evaluation, and Docking Studies of Novel (Imidazol-5-Yl) Pyrimidine–Based Derivatives as Dual BRAFV600E/P38α Inhibitors. Eur. J. Med. Chem. 2021, 215, 113277. [Google Scholar] [CrossRef]
- Youssif, B.G.M.; Gouda, A.M.; Moustafa, A.H.; Abdelhamid, A.A.; Gomaa, H.A.M.; Kamal, I.; Marzouk, A.A. Design and Synthesis of New Triarylimidazole Derivatives as Dual Inhibitors of BRAFV600E/P38α with Potential Antiproliferative Activity. J. Mol. Struct. 2022, 1253, 132218. [Google Scholar] [CrossRef]
- Akdis, C.A.; Simons, F.E.R. Histamine Receptors Are Hot in Immunopharmacology. Eur J. Pharmacol. 2006, 533, 69–76. [Google Scholar] [CrossRef]
- Thangam, E.B.; Jemima, E.A.; Singh, H.; Baig, M.S.; Khan, M.; Mathias, C.B.; Church, M.K.; Saluja, R. The Role of Histamine and Histamine Receptors in Mast Cell–Mediated Allergy and Inflammation: The Hunt for New Therapeutic Targets. Front. Immunol. 2018, 9, 1873. [Google Scholar] [CrossRef]
- Hill, S.J.; Ganellin, C.R.; Timmerman, H.; Schwartz, J.C.; Shankley, N.P.; Young, J.M.; Schunack, W.; Levi, R.; Haas, H.L. International Union of Pharmacology. XIII. Classification of Histamine Receptors. Pharmacol. Rev. 1997, 49, 253–278. [Google Scholar]
- Durant, G.J.; Ganellin, C.R.; Parsons, M.E. Chemical Differentiation of Histamine H1–and H2-Receptor Agonists. J. Med. Chem. 1975, 18, 905–909. [Google Scholar] [CrossRef]
- Reggio, P.; Topiol, S.; Weinstein, H. Molecular Determinants for the Agonist Activity of 2-Methylhistamine and 4-Methylhistamine at H2-Receptors. J. Med. Chem. 1986, 29, 2412–2415. [Google Scholar] [CrossRef]
- Ganellin, R. 1980 Award in medicinal chemistry. Medicinal chemistry and dynamic structure-activity analysis in the discovery of drugs acting at histamine H2 receptors. J. Med. Chem. 1981, 24, 913–920. [Google Scholar] [CrossRef] [PubMed]
- Lima, L.M.; Barreiro, E.J. Bioisosterism: A Useful Strategy for Molecular Modification and Drug Design. Curr. Med. Chem. 2005, 12, 23–49. [Google Scholar] [CrossRef] [PubMed]
- Barreiro, E.J.; Kümmerle, A.E.; Fraga, C.A.M. The Methylation Effect in Medicinal Chemistry. Chem. Rev. 2011, 111, 5215–5246. [Google Scholar] [CrossRef] [PubMed]
- Prout, K.; Critchley, S.R.; Ganellin, C.R.; Mitchell, R.C. Crystal and Molecular Structure of the Histamine H 2–Receptor Antagonists, N–Methyl-N′–{2-[(5-Methylimidazol–4–Yl) Methylthio] Ethyl} Thiourea (Metiamide) and N–{2-[(Imidazol–4–Yl) Methylthio] Ethyl}-N′–Methylthiourea (Thiaburimamide). J. Chem. Soc. Perkin. Trans. 2 1977, 68–75. [Google Scholar] [CrossRef]
- Wermuth, C.G. The Practice of Medicinal Chemistry; Academic Press: Cambridge, MA, USA, 2011; ISBN 0080568777. [Google Scholar]
- Patrick, G.L. An Introduction to Medicinal Chemistry; Oxford University Press: New York, NY, USA, 2013; ISBN 0199697396. [Google Scholar]
- Brimblecombe, R.W.; Duncan, W.A.M.; Durant, G.J.; Emmett, J.C.; Ganellin, C.R.; Leslie, G.B.; Parsons, M.E. Characterization and Development of Cimetidine as a Histamine H2-Receptor Antagonist. Gastroenterology 1978, 74, 339–347. [Google Scholar] [CrossRef]
- Figueiredo, J.M.; de A Câmara, C.; Amarante, E.G.; Miranda, A.L.P.; Santos, F.M.; Rodrigues, C.R.; Fraga, C.A.M.; Barreiro, E.J. Design and Synthesis of Novel Potent Antinociceptive Agents: Methyl-Imidazolyl N–Acylhydrazone Derivatives. Bioorg. Med. Chem. 2000, 8, 2243–2248. [Google Scholar] [CrossRef]
- Dewar, M.J.S.; Zoebisch, E.G.; Healy, E.F.; Stewart, J.J.P. Development and Use of Quantum Mechanical Molecular Models. 76. AM1: A New General Purpose Quantum Mechanical Molecular Model. J. Am. Chem. Soc. 1985, 107, 3902–3909. [Google Scholar] [CrossRef]











































Disclaimer/Publisher’s Note: The statements, opinions and data contained in all publications are solely those of the individual author(s) and contributor(s) and not of MDPI and/or the editor(s). MDPI and/or the editor(s) disclaim responsibility for any injury to people or property resulting from any ideas, methods, instructions or products referred to in the content. |
© 2023 by the authors. Licensee MDPI, Basel, Switzerland. This article is an open access article distributed under the terms and conditions of the Creative Commons Attribution (CC BY) license (https://creativecommons.org/licenses/by/4.0/).
Share and Cite
Tolomeu, H.V.; Fraga, C.A.M. Imidazole: Synthesis, Functionalization and Physicochemical Properties of a Privileged Structure in Medicinal Chemistry. Molecules 2023, 28, 838. https://doi.org/10.3390/molecules28020838
Tolomeu HV, Fraga CAM. Imidazole: Synthesis, Functionalization and Physicochemical Properties of a Privileged Structure in Medicinal Chemistry. Molecules. 2023; 28(2):838. https://doi.org/10.3390/molecules28020838
Chicago/Turabian StyleTolomeu, Heber Victor, and Carlos Alberto Manssour Fraga. 2023. "Imidazole: Synthesis, Functionalization and Physicochemical Properties of a Privileged Structure in Medicinal Chemistry" Molecules 28, no. 2: 838. https://doi.org/10.3390/molecules28020838
APA StyleTolomeu, H. V., & Fraga, C. A. M. (2023). Imidazole: Synthesis, Functionalization and Physicochemical Properties of a Privileged Structure in Medicinal Chemistry. Molecules, 28(2), 838. https://doi.org/10.3390/molecules28020838

