Azomethine Ylides—Versatile Synthons for Pyrrolidinyl-Heterocyclic Compounds
Abstract
1. Introduction
2. Acyclic Unsaturated 2π-Electron Components
2.1. Intermolecular Cycloaddition Reaction of Azomethine Ylides to Acyclic Unsaturated 2π-Electron Components (Alkenes)
2.2. Nitroalkenes
2.3. α,β-Unsaturated Polarophiles
2.4. Acrylates
2.5. Intramolecular Cycloaddition Reaction of Azomethine Ylides with Acyclic Unsaturated 2π-Electron Components
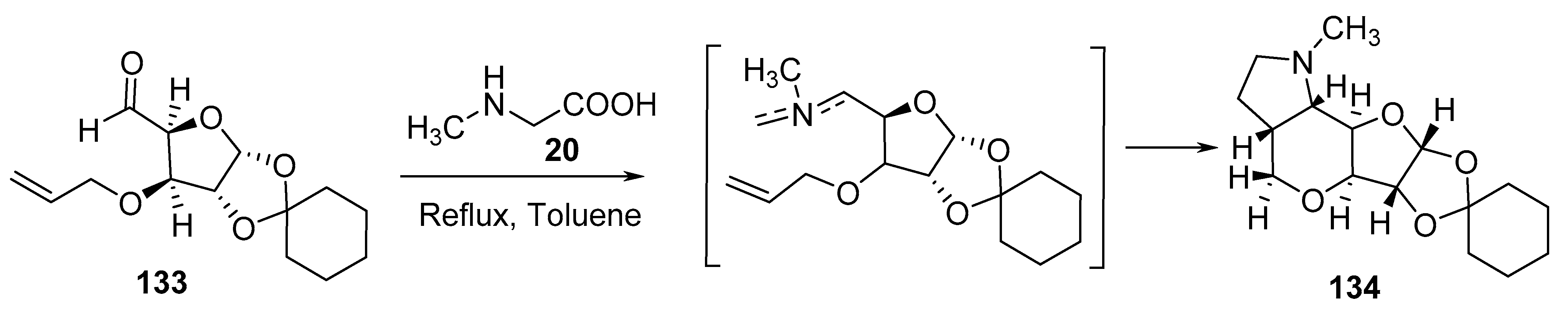
2.5.1. Acyclicunsaturated 2π-Electron Components Containing Olefinic and Aldehyde Groups
2.5.2. Acyclic Unsaturated 2π-Electron Components Containing Olefinic Linkage and Azirdine
3. Exocyclic, Unsaturated 2π-Electron Components
3.1. Cycloalkanones
3.2. Indanones and Indanediones
3.3. Fluorenes
3.4. Acenaphthenes
3.5. Tetralones
3.6. Pyrrolidine-2,5-diones
3.7. Lactones
3.8. Thiophenones
3.9. Oxazolones
3.10. Indoles
3.11. Benzofuran-2-ones
3.12. Keto-Carbazoles
3.13. Piperidones
3.14. Quinolones
3.15. Chromanones
3.16. Thiochromanones
3.17. Acridinones
3.18. Thiazolidinones
3.19. Thiazolo[3,2-a]pyrimidine-3-ones
3.20. Benzo[1,4]thiazines
4. Cyclic Unsaturated 2π-Electron Components
4.1. Non-Aromatic Cyclc 2π-Electron Components
4.1.1. Alicyclic Unsaturated 2π-Electron Components
Intermolecular Cycloaddition Reactions
- Cyclopentenone
- 1,4-Naphthoquinone
Intramolecular Cycloaddition Reactions
4.2. Aromatic Cyclic Unsaturated 2π-Electron Components
4.3. Heterocyclic Unsaturated 2π-Electron Components
4.3.1. Maleimides
4.3.2. Maleic Anhydride
4.3.3. Benzo[b]thiophene-1,1-dioxide
4.3.4. Benzo[c]isoxazole and Benzo[c]isothiazole
4.3.5. Indoles
4.3.6. Lactones
4.3.7. Chromenes
4.3.8. Coumarins
4.3.9. Chromones
4.3.10. Isatoic Anhydride
5. Conclusions and Outlook
Funding
Institutional Review Board Statement
Informed Consent Statement
Data Availability Statement
Acknowledgments
Conflicts of Interest
References
- Huisgen, R. 1,3-Dipolar Cycloaddition Chemistry; Padwa, A., Ed.; John Wiley & Sons: Hoboken, NJ, USA, 1984; Volume 1, Chapter 1; pp. 3–5. [Google Scholar]
- Rios-Gutierrez, M.; Domingo, L.R. Unravelling the mysteries of the [3+2] cycloaddition reactions. Eur. J. Org. Chem. 2019, 2019, 267–282. [Google Scholar] [CrossRef]
- William Lown, J. 1,3-Dipolar Cycloaddition Chemistry; Padwa, A., Ed.; John Wiley & Sons: Hoboken, NJ, USA, 1984; Volume 1, Chapter 6; pp. 657, 726. [Google Scholar]
- Coldham, I.; Hufton, R. Intramolecular Dipolar Cycloaddition Reactions of Azomethine Ylides. Chem. Rev. 2005, 105, 2765–2809. [Google Scholar] [CrossRef] [PubMed]
- Song, G.; Chen, D.; Su, Y.; Han, K.; Pan, C.-L.; Jia, A.; Li, X. Isolation of Azomethine Ylides and Their Complexes: Iridium(III)-Mediated Cyclization of Nitrone Substrates Containing Alkynes. Angew. Chem. Int. Ed. 2011, 50, 7791–7796. [Google Scholar] [CrossRef] [PubMed]
- Lee, D.J.; Han, H.S.; Shin, J.; Yoo, E.J. Multicomponent [5+2] Cycloaddition Reaction for the Synthesis of 1,4-Diazepines: Isolation and Reactivity of Azomethine Ylides. J. Am. Chem. Soc. 2014, 136, 11606–11609. [Google Scholar] [CrossRef]
- Molteni, G.; Silvani, A. Spiro-2-oxindoles via 1,3-dipolar cycloadditions. A decade update. Eur. J. Org. Chem. 2021, 2021, 1653–1675. [Google Scholar] [CrossRef]
- Adrio, J.; Carretero, J.C. Stereochemical diversity in pyrrolidine synthesis by catalytic asymmetric 1,3-dipolar cycloaddition of azomethine ylides. Chem. Comm. 2019, 55, 11979–11991. [Google Scholar] [CrossRef]
- Bdiri, B.; Zhao, B.-J.; Zhou, Z.-M. Recent advances in the enantioselective 1,3-dipolar cycloaddition of azomethine ylides and dipolarophiles. Tetrahedron Asymm. 2017, 28, 876–899. [Google Scholar] [CrossRef]
- Tang, S.; Zhang, X.; Sun, J.; Niu, D.; Chruma, J.J. 2-Azaallyl Anions, 2-Azaallyl Cations, 2-Azaallyl Radicals, and Azomethine Ylides. Chem. Rev. 2018, 118, 10393–10457. [Google Scholar] [CrossRef]
- Dondas, H.A.; de Gracia Retamosa, M.; Sansano, J.M. Current Trends towards the Synthesis of Bioactive Heterocycles and Natural Products Using 1,3-Dipolar Cycloadditions (1,3-DC) with Azomethine Ylides. Synthesis 2017, 49, 2819–2851. [Google Scholar] [CrossRef]
- Meyer, A.G.; Ryan, J.H. 1,3-Dipolar Cycloaddition Reactions of Azomethine Ylides with Carbonyl Dipolarophiles Yielding Oxazolidine Derivatives. Molecules 2016, 21, 935. [Google Scholar] [CrossRef]
- Fang, X.; Wang, C.-J. Catalytic asymmetric construction of spiropyrrolidines via 1,3-dipolar cycloaddition of azomethine ylides. Org. Biomol. Chem. 2018, 16, 2591–2601. [Google Scholar] [CrossRef] [PubMed]
- Arrastia, I.; Arrieta, A.; Cossio, F.P. Application of 1,3-Dipolar Reactions between Azomethine Ylides and Alkenes to the Synthesis of Catalysts and Biologically Active Compounds. Eur. J. Org. Chem. 2018, 2018, 5889–5904. [Google Scholar] [CrossRef] [PubMed]
- Wei, L.; Chang, X.; Wang, C.-J. Catalytic Asymmetric Reactions with N-Metallated Azomethine Ylides. Acc. Chem. Res. 2020, 53, 1084–1100. [Google Scholar] [CrossRef] [PubMed]
- Verma, S.; George, J.; Singh, S.; Pardasani, P.; Pardasani, R. [3+2] Cycloaddition reactions of thioisatin with thiazolidine-2-carboxylic acid: A versatile route to new heterocyclic scaffolds. Org. Med. Chem. Lett. 2011, 1, 6. [Google Scholar] [CrossRef] [PubMed]
- Lashgari, N.; Ziarani, G.M. Synthesis of heterocyclic compounds based on isatin through 1,3-dipolar cycloaddition reactions. ARKIVOC 2012, 2012, 277–320. [Google Scholar] [CrossRef]
- Padwa, A.; Pearson, W.H. (Eds.) The chemistry of heterocyclic compounds. In Synthetic Applications of 1,3-Dipolar Cycloaddition Chemistry toward Heterocycles and Natural Products; John Wiley & Sons: Hoboken, NJ, USA, 2002; Volume 59. [Google Scholar]
- Martina, K.; Tagliapietra, S.; Veselov, V.V.; Cravotto, G. Green protocols in heterocycle syntheses via 1,3-dipolar cycloadditions. Front. Chem. 2019, 7, 95. [Google Scholar] [CrossRef]
- Grafton, M.; Mansfield, A.C.; Fray, M.J. [3+2] Dipolar cycloadditions of an unstabilised azomethine ylide under continuous flow conditions. Tetrahedron Lett. 2010, 51, 1026–1029. [Google Scholar] [CrossRef]
- Boruah, M.; Konwar, D.; Sharma, S.D. KF/Al2O3 mediated 1,3-dipolar cycloaddition of azomethine ylides: A novel and convenient procedure for the synthesis of highly substituted pyrrolidines. Tetrahedron Lett. 2007, 48, 4535–4537. [Google Scholar] [CrossRef]
- Belfaitah, A.; Isly, M.; Carboni, B. 1,3-Dipolar cycloadditions of azomethine ylides to alkenylboronic esters. Access to substituted boron analogues of β-proline and 3-hydroxypyrrolidines. Tetrahedron Lett. 2004, 45, 1969–1972. [Google Scholar] [CrossRef]
- Han, Y.; Hou, H.; Fu, Q.; Yan, C.-G. One-pot two-step tandem reactions for selective synthesis of pyrrolo[2,1-a]isoquinolines and dihydro-, tetrahydro-derivatives. Tetrahedron 2011, 67, 2313–2322. [Google Scholar] [CrossRef]
- Poomathi, N.; Mayakrishnan, S.; Muralidharan, D.; Perumal, P.T. A facile access to novel spiroxindole fused pyrrolidine and thiazolo pyrrolidine benzimidazole derivatives via 1,3-dipolar cycloaddition reaction. Tetrahedron Lett. 2015, 56, 721–726. [Google Scholar] [CrossRef]
- Dandia, A.; Jain, A.K.; Laxkar, A.K.; Bhati, D.S. A highly efficient protocol for the regio- and stereo-selective synthesis of spiro pyrrolidine and pyrrolizidine derivatives by multicomponent reaction. Tetrahedron Lett. 2013, 54, 3180–3184. [Google Scholar] [CrossRef]
- Aksenov, A.V.; Aksenov, D.A.; Arutiunov, N.A.; Aksenov, N.A.; Aleksandrova, E.V.; Zhao, Z.; Du, L.; Kornienko, A.; Rubin, M. Synthesis of Spiro [indole-3, 5′-isoxazoles] with Anticancer Activity via a Formal [4+1]-Spirocyclization of Nitroalkenes to Indoles. J. Org. Chem. 2019, 84, 7123–7137. [Google Scholar] [CrossRef] [PubMed]
- Żmigrodzka, M.; Sadowski, M.; Kras, J.; Dresler, E.; Demchuk, O.M.; Kula, K. Polar [3+2] cycloaddition between N-methyl azomethine ylide and trans-3, 3, 3-trichloro-1-nitroprop-1-ene. Sci. Radices 2022, 1, 26–35. [Google Scholar] [CrossRef]
- Żmigrodzka, M.; Dresler, E.; Hordyjewicz-Baran, Z.; Kulesza, R.; Jasiński, R. Synthesis and chemical properties of 3-alkoxycarbonylchromones and 3-alkoxalylchromones. Chem. Heter. Comp. 2017, 53, 1161–1162. [Google Scholar] [CrossRef]
- Seki, M.; Tsuruta, O.; Tatsumi, R.; Soejima, A. Synthesis and biological evaluation of pyrrolidine derivatives as novel and potent sodium channel blockers for the treatment of ischemic stroke. Bioorg. Med. Chem. Lett. 2013, 23, 4230–4234. [Google Scholar] [CrossRef]
- Sun, H.; Wang, X.; Chen, Y.; Ouyang, L.; Liu, J.; Zhang, Y. Efficient construction of highly functionalized endo’-selective spiro[pyrrolidin-2,3’-oxindoles] via a regioselective 1,3-dipolar cycloaddition reaction between 3-amino oxindoles as azomethine ylide precursors and nitroalkenes. Tetrahedron Lett. 2014, 55, 5434–5438. [Google Scholar] [CrossRef]
- Alimohammadi, K.; Sarrafi, Y.; Tajbakhsh, M.; Yeganegi, S.; Hamzehloueian, M. An experimental and theoretical investigation of the regio- and stereoselectivity of the polar [3+2] cycloaddition of azomethine ylides to nitrostyrenes. Tetrahedron 2011, 67, 1589–1597. [Google Scholar] [CrossRef]
- De Silva, N.H.; Pyreddy, S.; Blanch, E.W.; Hügel, H.M.; Maniam, S. Microwave-assisted rapid synthesis of spirooxindole-pyrrolizidine analogues and their activity as anti-amyloidogenic agents. Bioorg. Chem. 2021, 114, 105128. [Google Scholar] [CrossRef]
- Kumar, R.S.; Almansour, A.I.; Arumugam, N.; Mohammad, F.; Kotresha, D.; Menéndez, J.C. Spirooxindole-pyrrolidine heterocyclic hybrids promotes apoptosis through activation of caspase-3. Bioorg. Med. Chem. 2019, 27, 2487–2498. [Google Scholar] [CrossRef]
- Arumugam, N.; Almansour, A.I.; Kumar, R.S.; Alaqeel, S.I.; Krishna, V.S.; Sriram, D. Anti-tubercular activity of novel class of spiropyrrolidine tethered indenoquinoxaline heterocyclic hybrids. Bioorg. Chem. 2020, 99, 103799. [Google Scholar] [CrossRef] [PubMed]
- Almansour, A.I.; Arumugam, N.; Kumar, R.S.; Kotresha, D.; Manohar, T.S.; Venketesh, S. Design, synthesis and cholinesterase inhibitory activity of novel spiropyrrolidine tethered imidazole heterocyclic hybrids. Bioorg. Med. Chem. Lett. 2020, 30, 126789. [Google Scholar] [CrossRef] [PubMed]
- Arumugam, N.; Raghunathan, R. Synthesis of highly functionalized β-lactam substituted pyrroloisoquinoline and indolizinoindole system by sequential intermolecular 1,3-dipolar cycloaddition reaction and Pictet-Spengler cyclization. Tetrahedron 2010, 66, 969–975. [Google Scholar] [CrossRef]
- Wang, H.-T.; Lu, C.-D. Synthesis of 3,4-dihydropyrrolo[2,1-a]isoquinolines based on [3+2] cycloaddition initiated by Rh2(cap)4-catalyzed oxidation. Tetrahedron Lett. 2013, 54, 3015–3018. [Google Scholar] [CrossRef]
- Thangamani, A. Regiospecific synthesis and biological evaluation of spirooxindolopyrrolizidines via [3+2] cycloaddition of azomethine ylide. Eur. J. Med. Chem. 2010, 45, 6120–6126. [Google Scholar] [CrossRef]
- Kaur, A.; Singh, B.; Vyas, B.; Silakari, O. Synthesis and biological activity of 4-aryl-3-benzoyl-5-phenylspiro[pyrrolidine-2.3’-indolin]-2’-one derivatives as novel potent inhibitors of advanced glycation end product. Eur. J. Med. Chem. 2014, 79, 282–289. [Google Scholar] [CrossRef]
- Taghizadeh, M.J.; Arvinnezhad, H.; Samadi, S.; Jadidi, K.; Javidan, A.; Notash, B. Synthesis of new enantiomerically pure spirooxindolopyrrolizidines via a three-component asymmetric 1,3-dipolar cycloaddition reaction of azomethine ylides derived from isatin. Tetrahedron Lett. 2012, 53, 5148–5150. [Google Scholar] [CrossRef]
- Arun, Y.; Saranraj, K.; Balachandran, C.; Perumal, P.T. Novel spirooxindole–pyrrolidine compounds: Synthesis, anticancer and molecular docking studies. Eur. J. Med. Chem. 2014, 74, 50–64. [Google Scholar] [CrossRef]
- Arun, Y.; Bhaskar, G.; Balachandran, C.; Ignacimuthu, S.; Perumal, P.T. Facile one-pot synthesis of novel dispirooxindole-pyrrolidine derivatives and their antimicrobial and anticancer activity against A549 human lung adenocarcinoma cancer cell line. Bioorg. Med. Chem. Lett. 2013, 23, 1839–1845. [Google Scholar] [CrossRef]
- Lakshmi, N.V.; Thirumurugan, P.; Perumal, P.T. An expedient approach for the synthesis of dispiropyrrolidine bisoxindoles, spiropyrrolidine oxindoles and spiroindane-1,3-diones through 1,3-dipolar cycloaddition reactions. Tetrahedron Lett. 2010, 51, 1064–1068. [Google Scholar] [CrossRef]
- Kathirvelan, D.; Haribabu, J.; Reddy, B.S.R.; Balachandran, C.; Duraipandiyan, V. Facile and diastereoselective synthesis of 3,2’-spiropyrrolidineoxindoles derivatives, their molecular docking and antiproliferative activities. Bioorg. Med. Chem. Lett. 2015, 25, 389–399. [Google Scholar] [CrossRef] [PubMed]
- Yuvaraj, P.; Reddy, B.S.R. Synthesis of 3-spiropyrrolidine-3-spirooxindoles from Baylis–Hillman adducts of chromone with azomethine ylides via [3+2] cycloaddition reaction. Tetrahedron Lett. 2013, 54, 821–827. [Google Scholar] [CrossRef]
- Sarrafi, Y.; Hamzehlouian, M.; Alimohammadi, K.; Khavasi, H.R. Regioselective synthesis of novel spiroindane-1,3-diones through 1,3-dipolar cycloaddition reactions. Tetrahedron Lett. 2010, 51, 4734–4737. [Google Scholar] [CrossRef]
- Kia, Y.; Osman, H.; Kumar, R.S.; Murugaiyah, V.; Basiri, A.; Perumal, S.; Razak, I.A. A facile chemo-, regio- and stereoselective synthesis and cholinesterase inhibitory activity of spirooxindole-pyrrolizine-piperidine hybrids. Bioorg. Med. Chem. Lett. 2013, 23, 2979–2983. [Google Scholar] [CrossRef] [PubMed]
- Kia, Y.; Osman, H.; Kumar, R.S.; Murugaiyah, V.; Basiri, A.; Perumal, S.; Wahab, H.A.; Bing, C.S. Synthesis and discovery of novel piperidone-grafted mono- and bis-spirooxindole-hexahydropyrrolizines as potent cholinesterase inhibitors. Bioorg. Med. Chem. 2013, 21, 1696–1707. [Google Scholar] [CrossRef] [PubMed]
- Arumugam, N.; Periyasami, G.; Raghunathan, R.; Kamalraj, S.; Muthumary, J. Synthesis and antimicrobial activity of highly functionalised novel β-lactam grafted spiropyrrolidines and pyrrolizidines. Eur. J. Med. Chem. 2011, 46, 600–607. [Google Scholar] [CrossRef]
- Hong, B.-C.; Liu, K.-L.; Tsai, C.-W.; Liao, J.-H. Proline-mediated dimerization of cinnamaldehydes via 1,3-dipolar cycloaddition reaction with azomethine ylides. A rapid access to highly functionalized hexahydro-1H-pyrrolizine. Tetrahedron Lett. 2008, 49, 5480–5483. [Google Scholar] [CrossRef]
- Kang, T.-R.; Cheng, Y.; He, L.; Ye, J.; Liu, Q.-Z. Facile synthesis of highly functional pyrrolizidine derivatives from β,γ-unsaturated α-keto esters and proline via a tandem cycloaddition. Tetrahedron Lett. 2012, 53, 2552–2555. [Google Scholar] [CrossRef]
- Rajesh, R.; Suresh, M.; Selvam, R.; Raghunathan, R. Synthesis of acridinedione derived mono spiro-pyrrolidine/pyrrolizidine derivatives–a facile approach via intermolecular [3+2] cycloaddition reaction. Tetrahedron Lett. 2014, 55, 4047–4053. [Google Scholar] [CrossRef]
- Ramesh, E.; Kathiresan, M.; Raghunathan, R. Solvent-free microwave-assisted conversion of Baylis–Hillman adducts of ninhydrin into functionalized spiropyrrolidines/pyrrolizidines through 1,3-dipolar cycloaddition. Tetrahedron Lett. 2007, 48, 1835–1839. [Google Scholar] [CrossRef]
- Nájera, C.; de Gracia Retamosa, M.; Sansano, J.M. 1,3-Dipolar cycloadditions of azomethine ylides with chiral acrylates derived from methyl (S)- and (R)-lactate: Diastereo- and enantioselective synthesis of polysubstituted prolines. Tetrahedron Asymmetry 2006, 17, 1985–1989. [Google Scholar] [CrossRef]
- Ujjainwalla, F.; Warner, D.; Snedden, C.; Grisson, R.D.; Walsh, T.F.; Wyvratt, M.J.; Kalyani, R.N.; MacNeil, T.; Tang, R.; Weinberg, D.H.; et al. Design and syntheses of melanocortin subtype-4 receptor agonists. Part 2: Discovery of the dihydropyridazinone motif. Bioorg. Med. Chem. Lett. 2005, 15, 4023–4028. [Google Scholar] [CrossRef] [PubMed]
- Parmar, N.J.; Pansuriya, B.R.; Barad, H.A.; Kant, R.; Gupta, V.K. An improved microwave assisted one-pot synthesis, and biological investigations of some novel aryldiazenyl chromeno fused pyrrolidines. Bioorg. Med. Chem. Lett. 2012, 22, 4075–4079. [Google Scholar] [CrossRef] [PubMed]
- Purushothaman, S.; Prasanna, R.; Niranjana, P.; Raghunathan, R.; Nagaraj, S.; Rengasamy, R. Stereoselective synthesis of hexahydro-3-methyl-1-arylchromeno[3,4-b]pyrrole and its annulated heterocycles as potent antimicrobial agents for human pathogens. Bioorg. Med. Chem. Lett. 2010, 20, 7288–7291. [Google Scholar] [CrossRef] [PubMed]
- Ramesh, E.; Raghunathan, R. A facile synthesis of chromeno[4,3-b]pyrroles derived from allyl derivatives of Baylis–Hillman adducts through intramolecular 1,3-dipolar cycloaddition using ultrasonication. Tetrahedron Lett. 2008, 49, 1125–1128. [Google Scholar] [CrossRef]
- Bakthadoss, M.; Sivakumar, N.; Sivakumar, G.; Murugan, G. Highly regio- and stereoselective synthesis of tricyclic frameworks using Baylis–Hillman derivatives. Tetrahedron Lett. 2008, 49, 820–823. [Google Scholar] [CrossRef]
- Pospíšil, J.; Potáček, M. Microwave-assisted solvent-free intramolecular 1,3-dipolar cycloaddition reactions leading to hexahydrochromeno[4,3-b]pyrroles: Scope and limitations. Tetrahedron 2007, 63, 337–346. [Google Scholar] [CrossRef]
- Poornachandran, M.; Raghunathan, R. Synthesis of pyrrolo[3,4-b]pyrroles and perhydrothiazolo[3’,4’-2,3]pyrrolo[4,5-c]pyrroles. Tetrahedron 2008, 64, 6461–6474. [Google Scholar] [CrossRef]
- Poornachandran, M.; Raghunathan, R. A novel diastereoselective 1,3-dipolar cycloaddition approach to cis-fused bispyrrolidines. Tetrahedron Asymmetry 2008, 19, 2177–2183. [Google Scholar] [CrossRef]
- Kathiravan, S.; Ramesh, E.; Raghunathan, R. Synthesis of pyrrolo[2,3-a]pyrrolizine and pyrrolizine[2,3-a]pyrrolizine derived from allyl derivatives of Baylis–Hillman adducts through intramolecular 1,3-dipolar cycloaddition. Tetrahedron Lett. 2009, 50, 2389–2391. [Google Scholar] [CrossRef]
- Coldham, I.; Dobson, B.C.; Franklina, A.I.; Fletcher, S.R. Synthesis of tetracyclic indole-containing ring systems by intramolecular cycloadditions of azomethine ylides. Tetrahedron Lett. 2007, 48, 873–875. [Google Scholar] [CrossRef]
- Mishra, A.; Rastogi, N.; Batra, S. 2-(N-Allylaminomethyl)cinnamaldehydes as substrates for syntheses of aza-polycycles via intramolecular cycloaddition reactions. Tetrahedron 2012, 68, 2146–2154. [Google Scholar] [CrossRef]
- Sirisha, N.; Raghunathan, R. Stereoselective synthesis of novel glyco-pyrano pyrrolidines/pyrrolizidines/indolizidines through intramolecular [3+2] cycloaddition approach. Tetrahedron Lett. 2010, 51, 2515–2518. [Google Scholar] [CrossRef]
- Ghandi, M.; Taheri, A.; Bozcheloei, A.H.; Abbasi, A.; Kia, R. Synthesis of novel tricyclic and tetracyclic sultone scaffolds via intramolecular 1,3-dipolar cycloaddition reactions. Tetrahedron 2012, 68, 3641–3648. [Google Scholar] [CrossRef]
- Rao, J.N.S.; Raghunathan, R. One-pot sequential azide–alkyne/intramolecular azomethine ylide 1,3-dipolar cycloaddition strategy for the synthesis of carbohydrate grafted macrocycles. Tetrahedron Lett. 2015, 56, 2669–2673. [Google Scholar] [CrossRef]
- Kathiravan, S.; Vijayarajan, D.; Raghunathan, R. Novel synthesis of naphtho[2,1-b]pyrano pyrrolizidines and indolizidines through intramolecular 1,3-dipolar cycloaddition reaction. Tetrahedron Lett. 2010, 51, 3065–3070. [Google Scholar] [CrossRef]
- Pankova, A.S.; Voronin, V.V.; Kuznetsov, M.A. Intramolecular cycloaddition of N-phthalimidoaziridines to double and triple carbon–carbon bonds. Tetrahedron Lett. 2009, 50, 5990–5993. [Google Scholar] [CrossRef]
- Shishido, Y.; Ito, F.; Morita, H.; Ikunaka, M. Stereoselective synthesis of a novel 2-aza-7-oxabicyclo[3.3.0]octane as neurokinin-1 receptor antagonist. Bioorg. Med. Chem. Lett. 2007, 17, 6887–6890. [Google Scholar] [CrossRef]
- Girgis, A.S.; Farag, H.; Ismail, N.S.M.; George, R.F. Synthesis, hypnotic properties and molecular modeling studies of 1,2,7,9-tetraaza-spiro[4.5]dec-2-ene-6,8,10-triones. Eur. J. Med. Chem. 2011, 46, 4964–4969. [Google Scholar] [CrossRef]
- Girgis, A.S.; Ismail, N.S.M.; Farag, H.; El-Eraky, W.I.; Saleh, D.O.; Tala, S.R.; Katritzky, A.R. Regioselective synthesis and molecular modeling study of vasorelaxant active 7,9-dioxa-1,2-diaza-spiro[4.5]dec-2-ene-6,10-diones. Eur. J. Med. Chem. 2010, 45, 4229–4238. [Google Scholar] [CrossRef]
- Girgis, A.S.; Barsoum, F.F.; Samir, A. Regioselective synthetic approaches towards 1,2,8,9-tetraazadispiro[4.1.4.2]trideca-2,9-dien-6-ones of potential antimicrobial properties. Eur. J. Med. Chem. 2009, 44, 2447–2451. [Google Scholar] [CrossRef] [PubMed]
- Mishriky, N.; Girgis, A.S.; Hosni, H.M.; Farag, H. Regio- and stereoselective synthesis of spiro[1-benzothiepine-4(5H),3’(3H)-pyrazol]-5-ones. J. Heterocycl. Chem. 2006, 43, 1549–1556. [Google Scholar] [CrossRef]
- Hegab, M.I.; Girgis, A.S.; Ahmed-Farag, I.S. Novel regioselective synthesis of 3’H, 4H-spiro[chromene-3,2’-[1,3,4]thiadiazol]-4-one containing compounds. J. Heterocycl. Chem. 2006, 43, 1237–1242. [Google Scholar] [CrossRef]
- Sridhar, G.; Gunasundari, T.; Raghunathan, R. A greener approach for the synthesis of 1-N-methyl-(spiro[2.3’]oxindolespiro[3.2″]/spiro[2.3’]indan-1,3-dionespiro[2.2″])cyclopentanone-4-aryl pyrrolidines. Tetrahedron Lett. 2007, 48, 319–322. [Google Scholar] [CrossRef]
- George, R.F.; Ismail, N.S.M.; Stawinski, J.; Girgis, A.S. Design, synthesis and QSAR studies of dispiroindole derivatives as new antiproliferative agents. Eur. J. Med. Chem. 2013, 68, 339–351. [Google Scholar] [CrossRef]
- Jayashankaran, J.; Manian, R.D.R.S.; Venkatesan, R.; Raghunathan, R. A regioselective synthesis of dispiro[oxindole-cyclohexanone]pyrrolidines and dispiro[oxindole-hexahydroindazole]pyrrolidines by sequential 1,3-dipolar cycloaddition and annulation through a microwave induced solvent-free approach. Tetrahedron 2005, 61, 5595–5598. [Google Scholar] [CrossRef]
- Kumar, R.R.; Perumal, S.; Manju, S.C.; Bhatt, P.; Yogeeswari, P.; Sriram, D. An atom economic synthesis and antitubercular evaluation of novel spiro-cyclohexanones. Bioorg. Med. Chem. Lett. 2009, 19, 3461–3465. [Google Scholar] [CrossRef]
- Gavaskar, D.; Raghunathan, R.; Babu, A.R.S. An expedient one-pot sequential five-component synthesis of highly substituted spiro-pyrrolidine heterocycles. Tetrahedron Lett. 2014, 55, 2217–2220. [Google Scholar] [CrossRef]
- Dandia, A.; Singh, R.; Joshi, J.; Kumari, S. An eco-compatible synthesis of medicinally important novel class of trispiroheterocyclic framework using 2,2,2-trifluoroethanol as a reusable medium. J. Fluor. Chem. 2013, 156, 283–289. [Google Scholar] [CrossRef]
- Lotfy, G.; Said, M.M.; El Ashry, E.H.; El Tamany, E.H.; Al-Dhfyan, A.; Abdel Aziz, Y.M.; Barakat, A. Synthesis of new spirooxindole-pyrrolothiazole derivatives: Anti-cancer activity and molecular docking. Bioorg. Med. Chem. 2017, 25, 1514–1523. [Google Scholar] [CrossRef]
- Girgis, A.S. Regioselective synthesis of dispiro[1H-indene-2,3’-pyrrolidine-2’,3″-[3H]indole]-1,2″(1″H)-diones of potential anti-tumor properties. Eur. J. Med. Chem. 2009, 44, 91–100. [Google Scholar] [CrossRef] [PubMed]
- Girgis, A.S.; Panda, S.S.; Srour, A.M.; Farag, H.; Ismail, N.S.M.; Elgendy, M.; Abdel-Aziz, A.K.; Katritzky, A.R. Rational design, synthesis and molecular modeling studies of novel anti-oncological alkaloids against melanoma. Org. Biomol. Chem. 2015, 13, 6619–6633. [Google Scholar] [CrossRef] [PubMed]
- Prasanna, P.; Balamurugan, K.; Perumal, S.; Yogeeswari, P.; Sriram, D. A regio- and stereoselective 1,3-dipolar cycloaddition for the synthesis of novel spiro-pyrrolothiazolyloxindoles and their antitubercular evaluation. Eur. J. Med. Chem. 2010, 45, 5653–5661. [Google Scholar] [CrossRef] [PubMed]
- Wei, A.C.; Ali, M.A.; Yoon, Y.K.; Ismail, R.; Choon, T.S.; Kumar, R.S.; Arumugam, N.; Almansour, A.I.; Osman, H. Antimycobacterial activity: A facile three-component [3+2]-cycloaddition for the regioselective synthesis of highly functionalised dispiropyrrolidines. Bioorg. Med. Chem. Lett. 2012, 22, 4930–4933. [Google Scholar] [CrossRef]
- Wei, A.C.; Ali, M.A.; Yoon, Y.K.; Ismail, R.; Choon, T.S.; Kumar, R.S. A facile three-component [3+2]-cycloaddition for the regioselective synthesis of highly functionalised dispiropyrrolidines acting as antimycobacterial agents. Bioorg. Med. Chem. Lett. 2013, 23, 1383–1386. [Google Scholar] [CrossRef] [PubMed]
- Wei, A.C.; Ali, M.A.; Yoon, Y.K.; Choi, S.B.; Osman, H.; Masand, V.H.; Choon, T.S. Antimycobacterial activity and in silico study of highly functionalised dispiropyrrolidines. Med. Chem. Res. 2015, 24, 818–828. [Google Scholar] [CrossRef]
- Ali, M.A.; Ismail, R.; Choon, T.S.; Kumar, R.S.; Osman, H.; Arumugam, N.; Almansour, A.I.; Elumalai, K.; Singh, A. AChE inhibitor: A regio- and stereo-selective 1,3-dipolar cycloaddition for the synthesis of novel substituted 5,6-dimethoxy spiro[5.3’]-oxindolespiro-[6.3″]-2,3-dihydro-1H-inden-1″-one-7-(substituted aryl)-tetrahydro-1H-pyrrolo[1,2-c][1,3]thiazole. Bioorg. Med. Chem. Lett. 2012, 22, 508–511. [Google Scholar] [CrossRef]
- Ali, M.A.; Ismail, R.; Choon, T.S.; Yoon, Y.K.; Wei, A.C.; Pandian, S.; Kumar, R.S.; Osman, H.; Manogaran, E. Substituted spiro [2.3’]oxindolespiro[3.2″]-5,6-dimethoxy-indane-1″-one-pyrrolidine analogue as inhibitors of acetylcholinesterase. Bioorg. Med. Chem. Lett. 2010, 20, 7064–7066. [Google Scholar] [CrossRef]
- Babu, A.R.S.; Raghunathan, R. TiO2–silica mediated one pot three component 1,3-dipolar cycloaddition reaction: A facile and rapid synthesis of dispiro acenaphthenone/oxindole [indanedione/oxindole] pyrroloisoquinoline ring systems. Tetrahedron 2007, 63, 8010–8016. [Google Scholar] [CrossRef]
- Babu, A.R.S.; Raghunathan, R. Heteropolyacid–silica mediated [3+2] cycloaddition of azomethine ylides–a facile multicomponent one-pot synthesis of novel dispiroheterocycles. Tetrahedron Lett. 2006, 47, 9221–9225. [Google Scholar] [CrossRef]
- Jayashankaran, J.; Manian, R.D.R.S.; Raghunathan, R. A facile synthesis of novel dispiroheterocycles through solvent-free microwave-assisted [3+2] cycloaddition of azomethine ylides. Tetrahedron Lett. 2004, 45, 7303–7305. [Google Scholar] [CrossRef]
- Lanka, S.; Thennarasu, S.; Perumal, P.T. Facile synthesis of novel dispiroheterocylic derivatives through cycloaddition of azomethine ylides with acenaphthenone-2-ylidine ketones. Tetrahedron Lett. 2012, 53, 7052–7055. [Google Scholar] [CrossRef]
- Dandia, A.; Jain, A.K.; Bhati, D.S. Direct construction of novel dispiro heterocycles through 1,3-dipolar cycloaddition of azomethine ylides. Tetrahedron Lett. 2011, 52, 5333–5337. [Google Scholar] [CrossRef]
- Saravanan, P.; Pushparaj, S.; Raghunathan, R. An expedient approach for the synthesis of naphthyl dispiro pyrrolidine/pyrrolizidine through 1,3-dipolar cycloaddition reaction. Tetrahedron Lett. 2013, 54, 3449–3452. [Google Scholar] [CrossRef]
- Rajesh, R.; Raghunathan, R. Regio- and stereoselective synthesis of novel tetraspiro-bispyrrolidine and bisoxindolopyrrolidine derivatives through 1,3-dipolar cycloaddition reaction. Tetrahedron Lett. 2010, 51, 5845–5848. [Google Scholar] [CrossRef]
- Youssef, M.A.; Panda, S.S.; El-Shiekh, R.A.; Shalaby, E.M.; Aboshouk, D.R.; Fayad, W.; Fawzy, N.G.; Girgis, A.S. Synthesis and molecular modeling studies of cholinesterase inhibitor dispiro[indoline-3,2’-pyrrolidine-3’,3″-pyrrolidines]. RSC Adv. 2020, 10, 21830–21838. [Google Scholar] [CrossRef]
- Karthikeyan, K.; Kumar, P.M.S.; Doble, M.; Perumal, P.T. Synthesis, antibacterial activity evaluation and QSAR studies of novel dispiropyrrolidines. Eur. J. Med. Chem. 2010, 45, 3446–3452. [Google Scholar] [CrossRef]
- Hazra, A.; Paira, P.; Sahu, K.B.; Naskar, S.; Saha, P.; Paira, R.; Mondal, S.; Maity, A.; Luger, P.; Weber, M.; et al. Chemistry of andrographolide: Formation of novel di-spiropyrrolidino and di-spiropyrrolizidino-oxindole adducts via one-pot three-component [3+2] azomethine ylide cycloaddition. Tetrahedron Lett. 2010, 51, 1585–1588. [Google Scholar] [CrossRef]
- Barman, P.D.; Sanyal, I.; Mandal, S.B.; Banerjee, A.K. Cu(OTf)2-promoted efficient synthetic route towards glycospiro-pyrrolo[2,1-a]isoquinolines. Tetrahedron Lett. 2014, 55, 5648–5651. [Google Scholar] [CrossRef]
- Moghaddam, F.M.; Khodabakhshi, M.R.; Ghahremannejad, Z.; Foroushani, B.K.; Ng, S.W. A one-pot, three-component regiospecific synthesis of dispiropyrrolidines containing a thiophenone ring via 1,3-dipolar cycloaddition reactions of azomethine ylides. Tetrahedron Lett. 2013, 54, 2520–2524. [Google Scholar] [CrossRef]
- Arumugam, N.; Jayashankaran, J.; Manian, R.D.R.S.; Raghunathan, R. A novel access to highly functionalised β-lactams by regio- and stereoselective 1,3-dipolar cycloaddition reaction. Tetrahedron 2005, 61, 8512–8516. [Google Scholar] [CrossRef]
- Dong, H.; Song, S.; Li, J.; Xu, C.; Zhang, H.; Ouyang, L. The discovery of oxazolones-grafted spirooxindoles via three-component diversity oriented synthesis and their preliminary biological evaluation. Bioorg. Med. Chem. Lett. 2015, 25, 3585–3591. [Google Scholar] [CrossRef] [PubMed]
- Jain, R.; Sharma, K.; Kumar, D. Ionic liquid mediated 1,3-dipolar cycloaddition of azomethine ylides: A facile and green synthesis of novel dispiro heterocycles. Tetrahedron Lett. 2012, 53, 1993–1997. [Google Scholar] [CrossRef]
- Babu, A.R.S.; Raghunathan, R. Ultrasonic assisted-silica mediated [3+2] cycloaddition of azomethine ylides–a facile multicomponent one-pot synthesis of novel dispiroheterocycles. Tetrahedron Lett. 2007, 48, 6809–6813. [Google Scholar] [CrossRef]
- Babu, A.R.S.; Raghunathan, R. ZrOCl2·8H2O mediated microwave induced [3+2] cycloaddition of azomethine ylides–a facile one-pot synthesis of novel dispiroheterocycles. Tetrahedron Lett. 2007, 48, 305–308. [Google Scholar] [CrossRef]
- Lanka, S.; Thennarasu, S.; Perumal, P.T. Stoichiometry-controlled cycloaddition of azomethine ylide with dipolarophiles: Chemoselective and regioselective synthesis of bis- and tris-spirooxindole derivatives. Tetrahedron Lett. 2014, 55, 2585–2588. [Google Scholar] [CrossRef]
- Lu, L.-J.; Fu, Q.; Sun, J.; Yan, C.-G. Synthesis of complex dispirocyclopentanebisoxindoles via cycloaddition reactions of 4-dimethylamino-1-alkoxycarbonylmethylpyridinium bromides with 2-oxoindolin-3-ylidene derivatives. Tetrahedron 2014, 70, 2537–2545. [Google Scholar] [CrossRef]
- Dandia, A.; Jain, A.K.; Laxkar, A.K.; Bhati, D.S. Synthesis and stereochemical investigation of highly functionalized novel dispirobisoxindole derivatives via [3+2] cycloaddition reaction in ionic liquid. Tetrahedron 2013, 69, 2062–2069. [Google Scholar] [CrossRef]
- Ghandi, M.; Yari, A.; Rezaei, S.J.T.; Taheri, A. Synthesis of novel spiropyrrolidine/pyrrolizine-oxindole scaffolds through 1,3-dipolar cycloadditions. Tetrahedron Lett. 2009, 50, 4724–4726. [Google Scholar] [CrossRef]
- Mamari, K.A.; Ennajih, H.; Zouihri, H.; Bouhfid, R.; Ng, S.W.; Essassi, E.M. Synthesis of novel dispiro-oxindoles via 1,3-dipolar cycloaddition reactions of azomethine ylides. Tetrahedron Lett. 2012, 53, 2328–2331. [Google Scholar] [CrossRef]
- Mhiri, C.; Boudriga, S.; Askri, M.; Knorr, M.; Sriram, D.; Yogeeswari, P.; Nana, F.; Golz, C.; Strohmann, C. Design of novel dispirooxindolopyrrolidine and dispirooxindolopyrrolothiazole derivatives as potential antitubercular agents. Bioorg. Med. Chem. Lett. 2015, 25, 4308–4313. [Google Scholar] [CrossRef] [PubMed]
- Murali, K.; Sparkes, H.A.; Prasad, K.J.R. Regio- and stereoselective synthesis of dispirooxindole-pyrrolocarbazole hybrids via 1,3-dipolar cycloaddition reactions: Cytotoxic activity and SAR studies. Eur. J. Med. Chem. 2018, 143, 292–305. [Google Scholar] [CrossRef] [PubMed]
- Periyasami, G.; Raghunathan, R.; Surendiran, G.; Mathivanan, N. Regioselective synthesis and antimicrobial screening of novel ketocarbazolodispiropyrrolidine derivatives. Eur. J. Med. Chem. 2009, 44, 959–966. [Google Scholar] [CrossRef]
- Periyasami, G.; Raghunathan, R.; Surendiran, G.; Mathivanan, N. Synthesis of novel spiropyrrolizidines as potent antimicrobial agents for human and plant pathogens. Bioorg. Med. Chem. Lett. 2008, 18, 2342–2345. [Google Scholar] [CrossRef] [PubMed]
- Kumar, R.R.; Perumal, S.; Senthilkumar, P.; Yogeeswari, P.; Sriram, D. A facile synthesis and antimycobacterial evaluation of novel spiro-pyrido-pyrrolizines and pyrrolidines. Eur. J. Med. Chem. 2009, 44, 3821–3829. [Google Scholar] [CrossRef] [PubMed]
- Basiri, A.; Abd Razik, B.M.; Ezzat, M.O.; Kia, Y.; Kumar, R.S.; Almansour, A.I.; Arumugam, N.; Murugaiyah, V. Synthesis and cholinesterase inhibitory activity study of new piperidone grafted spiropyrrolidines. Bioorg. Chem. 2017, 75, 210–216. [Google Scholar] [CrossRef] [PubMed]
- Girgis, A.S. Regioselective synthesis and stereochemical structure of anti-tumor active dispiro[3H-indole-3,2’-pyrrolidine-3’,3″-piperidine]-2(1H),4″-diones. Eur. J. Med. Chem. 2009, 44, 1257–1264. [Google Scholar] [CrossRef]
- Girgis, A.S.; Panda, S.S.; Shalaby, E.M.; Mabied, A.F.; Steel, P.J.; Hall, C.D.; Katritzky, A.R. Regioselective synthesis and theoretical studies of an anti-neoplastic fluoro-substituted dispirooxindole. RSC Adv. 2015, 5, 14780–14787. [Google Scholar] [CrossRef]
- George, R.F.; Panda, S.S.; Shalaby, E.M.; Srour, A.M.; Ahmed Farag, I.S.; Girgis, A.S. Synthesis and molecular modeling studies of indole-based antitumor agents. RSC Adv. 2016, 6, 45434–45451. [Google Scholar] [CrossRef]
- Girgis, A.S.; Panda, S.S.; Aziz, M.N.; Steel, P.J.; Hall, C.D.; Katritzky, A.R. Rational design, synthesis, and 2D-QSAR study of anti-oncological alkaloids against hepatoma and cervical carcinoma. RSC Adv. 2015, 5, 28554–28569. [Google Scholar] [CrossRef]
- Kumar, R.S.; Antonisamy, P.; Almansour, A.I.; Arumugam, N.; Periyasami, G.; Altaf, M.; Kim, H.-R.; Kwon, K.-B. Functionalized spirooxindole-indolizine hybrids: Stereoselective green synthesis and evaluation of anti-inflammatory effect involving TNF-α and nitrite inhibition. Eur. J. Med. Chem. 2018, 152, 417–423. [Google Scholar] [CrossRef] [PubMed]
- Karthikeyan, S.V.; Bala, B.D.; Raja, V.P.A.; Perumal, S.; Yogeeswari, P.; Sriram, D. A highly atom economic, chemo-, regio- and stereoselective synthesis and evaluation of spiro-pyrrolothiazoles as antitubercular agents. Bioorg. Med. Chem. Lett. 2010, 20, 350–353. [Google Scholar] [CrossRef] [PubMed]
- Lawson, S.; Arumugam, N.; Almansour, A.I.; Kumar, R.S.; Thangamani, S. Dispiropyrrolidine tethered piperidone heterocyclic hybrids with broad-spectrum antifungal activity against Candida albicans and Cryptococcus neoformans. Bioorg. Chem. 2020, 100, 103865. [Google Scholar] [CrossRef] [PubMed]
- Kumar, R.R.; Perumal, S.; Senthilkumar, P.; Yogeeswari, P.; Sriram, D. A highly atom economic, chemo-, regio- and stereoselective synthesis, and discovery of spiro-pyrido-pyrrolizines and pyrrolidines as antimycobacterial agents. Tetrahedron 2008, 64, 2962–2971. [Google Scholar] [CrossRef]
- Sivakumar, S.; Kumar, R.R.; Ali, M.A.; Choon, T.S. An atom economic synthesis and AChE inhibitory activity of novel dispiro 7-aryltetrahydro-1H-pyrrolo[1,2-c][1,3]thiazole and 4-aryloctahydroindolizine N-methylpiperidin-4-one hybrid heterocycles. Eur. J. Med. Chem. 2013, 65, 240–248. [Google Scholar] [CrossRef]
- Rajesh, S.M.; Bala, B.D.; Perumal, S. Multi-component, 1,3-dipolar cycloaddition reactions for the chemo-, regio- and stereoselective synthesis of novel hybrid spiroheterocycles in ionic liquid. Tetrahedron Lett. 2012, 53, 5367–5371. [Google Scholar] [CrossRef]
- Arumugam, N.; Almansour, A.I.; Kumar, R.S.; Kotresha, D.; Saiswaroop, R.; Venketesh, S. Dispiropyrrolidinyl-piperidone embedded indeno[1,2-b]quinoxaline heterocyclic hybrids: Synthesis, cholinesterase inhibitory activity and their molecular docking simulation. Bioorg. Med. Chem. 2019, 27, 2621–2628. [Google Scholar] [CrossRef]
- Kia, Y.; Osman, H.; Kumar, R.S.; Basiri, A.; Murugaiyah, V. Synthesis and discovery of highly functionalized mono- and bis-spiro-pyrrolidines as potent cholinesterase enzyme inhibitors. Bioorg. Med. Chem. Lett. 2014, 24, 1815–1819. [Google Scholar] [CrossRef]
- Kumar, R.S.; Ali, M.A.; Osman, H.; Ismail, R.; Choon, T.S.; Yoon, Y.K.; Wei, A.C.; Pandian, S.; Manogaran, E. Synthesis and discovery of novel hexacyclic cage compounds as inhibitors of acetylcholinesterase. Bioorg. Med. Chem. Lett. 2011, 21, 3997–4000. [Google Scholar] [CrossRef]
- Arumugam, N.; Almansour, A.I.; Kumar, R.S.; Perumal, S.; Ghabbour, H.A.; Fun, H.-K. A 1,3-dipolar cycloaddition-annulation protocol for the expedient regio-, stereo- and product-selective construction of novel hybrid heterocycles comprising seven rings and seven contiguous stereocentres. Tetrahedron Lett. 2013, 54, 2515–2519. [Google Scholar] [CrossRef]
- Kumar, R.S.; Osman, H.; Perumal, S.; Menéndez, J.C.; Ali, M.A.; Ismail, R.; Choon, T.S. A facile three-component [3+2]-cycloaddition/annulation domino protocol for the regio- and diastereoselective synthesis of novel penta- and hexacyclic cage systems, involving the generation of two heterocyclic rings and five contiguous stereocenters. Tetrahedron 2011, 67, 3132–3139. [Google Scholar] [CrossRef]
- Chandraprakash, K.; Sankaran, M.; Uvarani, C.; Shankar, R.; Ata, A.; Dallemer, F.; Mohan, P.S. A strategic approach to the synthesis of novel class of dispiroheterocyclic derivatives through 1,3 dipolar cycloaddition of azomethine ylide with (E)-3-arylidene-2,3-dihydro-8-nitro-4-quinolone. Tetrahedron Lett. 2013, 2011, 3896–3901. [Google Scholar] [CrossRef]
- Augustine, T.; Kanakam, C.C.; Vithiya, S.M.; Ramkumar, V. A facile entry into a novel class of dispiroheterocyclic framework through 1,3-dipolarcycloaddition of azomethine ylides with 3-arylidene-4-chromanones as dipolarophiles. Tetrahedron Lett. 2009, 50, 5906–5909. [Google Scholar] [CrossRef]
- Bharkavi, C.; Kumar, S.V.; Ali, M.A.; Osman, H.; Muthusubramanian, S.; Perumal, S. A facile stereoselective synthesis of dispiro-indeno pyrrolidine/pyrrolothiazole–thiochroman hybrids and evaluation of their antimycobacterial, anticancer and AchE inhibitory activities. Bioorg. Med. Chem. 2016, 24, 5873–5883. [Google Scholar] [CrossRef] [PubMed]
- Maheswari, S.U.; Perumal, S.; Almansour, A.I. A facile regio- and stereoselective synthesis of novel dispirooxindolyl-[acridine-2’,3-pyrrolidine/thiapyrrolizidine]-1’-ones via 1,3-dipolar cycloaddition of azomethine ylides. Tetrahedron Lett. 2012, 53, 349–353. [Google Scholar] [CrossRef]
- Maheswari, S.U.; Perumal, S. An expedient domino three-component [3+2]-cycloaddition/annulation protocol: Regio- and stereoselective assembly of novel polycyclic hybrid heterocycles with five contiguous stereocentres. Tetrahedron Lett. 2013, 54, 7044–7048. [Google Scholar] [CrossRef]
- Toumi, A.; Boudriga, S.; Hamden, K.; Sobeh, M.; Cheurfa, M.; Askri, M.; Knorr, M.; Strohmann, C.; Brieger, L. Synthesis, antidiabetic activity and molecular docking study of rhodanine-substitued spirooxindole pyrrolidine derivatives as novel α-amylase inhibitors. Bioorg. Chem. 2021, 106, 104507. [Google Scholar] [CrossRef]
- Kumar, G.S.; Satheeshkumar, R.; Kaminsky, W.; Platts, J.; Prasad, K.J.R. A facile regioselective 1,3-dipolar cycloaddition protocol for the synthesis of new class of quinolinyl dispiro heterocycles. Tetrahedron Lett. 2014, 55, 5475–5480. [Google Scholar] [CrossRef]
- Poornachandran, M.; Raghunathan, R. Synthesis of dispirooxindolecycloalka[d]pyrimidino[2,3-b]thiazole pyrrolidine/thiapyrrolizidine ring systems. Tetrahedron 2006, 62, 11274–11281. [Google Scholar] [CrossRef]
- Lakshmi, N.V.; Tamilisai, R.; Perumal, P.T. A facile synthetic approach to novel spiro-oxindoles/acenaphthylen-1-ones containing benzo[1,4]thiazin-3-one ring via 1,3-dipolar cycloaddition. Tetrahedron Lett. 2011, 52, 5301–5307. [Google Scholar] [CrossRef]
- Santora, V.J.; Covel, J.A.; Hayashi, R.; Hofilena, B.J.; Ibarra, J.B.; Pulley, M.D.; Weinhouse, M.I.; Sengupta, D.; Duffield, J.J.; Semple, G.; et al. A new family of H3 receptor antagonists based on the natural product Conessine. Bioorg. Med. Chem. Lett. 2008, 18, 1490–1494. [Google Scholar] [CrossRef] [PubMed]
- Bhaskar, G.; Arun, Y.; Balachandran, C.; Saikumar, C.; Perumal, P.T. Synthesis of novel spirooxindole derivatives by one pot multicomponent reaction and their antimicrobial activity. Eur. J. Med. Chem. 2012, 51, 79–91. [Google Scholar] [CrossRef] [PubMed]
- Rajanarendar, E.; Ramakrishna, S.; Reddy, K.G.; Nagaraju, D.; Reddy, Y.N. A facile synthesis, anti-inflammatory and analgesic activity of isoxazolyl-2,3-dihydrospiro[benzo[f]isoindole-1,3’-indoline]-2’,4,9-triones. Bioorg. Med. Chem. Lett. 2013, 23, 3954–3958. [Google Scholar] [CrossRef]
- Huang, H.-M.; Gao, J.-R.; Hou, L.-F.; Jia, J.-H.; Han, L.; Ye, Q.; Li, Y.-J. The first iodine improved 1,3-dipolar cycloaddition: Facile and novel synthesis of 2-substituted benzo[f]isoindole-4,9-diones. Tetrahedron 2013, 69, 9033–9037. [Google Scholar] [CrossRef]
- Ma, D.; Cheng, H.; Huang, C.; Xu, L. Synthesis of the azatricyclic ACD ring system of calyciphylline A-type Daphniphyllum alkaloids via a nonstabilized azomethine ylide generated by desilylation. Tetrahedron Lett. 2015, 56, 2492–2495. [Google Scholar] [CrossRef]
- Ryan, J.H. 1,3-Dipolar cycloaddition reactions of azomethine ylides with aromatic dipolarophiles. ARKIVOC 2015, 46, 160–183. [Google Scholar] [CrossRef]
- Wales, S.M.; Rivinoja, D.J.; Gardiner, M.G.; Bird, M.J.; Meyer, A.G.; Ryan, J.H.; Hyland, C.J.T. Benzoazepine-fused isoindolines via intramolecular (3+2)-cycloadditions of azomethine ylides with dinitroarenes. Org. Lett. 2019, 21, 4703–4708. [Google Scholar] [CrossRef]
- Lee, S.; Chataigner, I.; Piettre, S.R. Facile dearomatization of nitrobenzene derivatives and other nitroarenes with N-benzyl azomethine ylide. Angew. Chem. Int. Ed. 2011, 50, 472–476. [Google Scholar] [CrossRef]
- Bastrakov, M.A.; Fedorenko, A.K.; Starosotnikov, A.M.; Shakhnes, A.K. Nitropyridines as 2π-partners in 1,3-dipolar cycloadditions with N-methyl azomethine ylide: An easy access to condensed pyrrolines. Molecules 2021, 26, 5547. [Google Scholar] [CrossRef]
- Lee, S.; Diab, S.; Queval, P.; Sebban, M.; Chataigner, I.; Piettre, S.R. Aromatic C=C bonds as dipolarophiles: Facile reactions of uncomplexed electron-deficient benzene derivatives and other aromatic rings with a non-stabilized azomethine ylide. Chem. Eur. J. 2013, 19, 7181–7192. [Google Scholar] [CrossRef]
- Bastrakov, M.A.; Starosotnikov, A.M.; Pechenkin, S.Y.; Kachala, V.V.; Glukhov, I.V.; Shevelev, S.A. Double 1,3-dipolar cycloaddition of N-methyl azomethine ylide to meta-dinitrobenzene annelated with nitrogen aromatic heterocycles. J. Heterocycl. Chem. 2010, 47, 893–896. [Google Scholar] [CrossRef]
- Semenyuk, Y.P.; Kochubei, A.S.; Morozov, P.G.; Burov, O.N.; Kletskii, M.E.; Kurbatov, S.V. [3+2] Cycloaddition reactions to indolyl- and pyrrolyl derivatives of dinitrobenzofurazan. Chem. Heterocycl. Compd. 2015, 50, 1731–1740. [Google Scholar] [CrossRef]
- Starosotnikov, A.M.; Bastrakov, M.A.; Kachala, V.V.; Fedyanin, I.V.; Shevelev, S.A.; Dalinger, I.L. Unusual pericyclic reactivity of 4-nitrobenzofuroxans in 1,3-dipolar cycloaddition with N-benzyl azomethine ylide—A new example of multiple C–C-bond forming transformations. ChemistrySelect 2018, 3, 9773–9777. [Google Scholar] [CrossRef]
- Girgis, A.S.; Stawinski, J.; Ismail, N.S.M.; Farag, H. Synthesis and QSAR study of novel cytotoxic spiro[3H-indole-3,2’(1’H)-pyrrolo[3,4-c]pyrrole]-2,3’,5’(1H,2’aH,4’H)-triones. Eur. J. Med. Chem. 2012, 47, 312–322. [Google Scholar] [CrossRef] [PubMed]
- Bharkavi, C.; Kumar, S.V.; Ali, M.A.; Osman, H.; Muthusubramanian, S.; Perumal, S. One-pot microwave assisted stereoselective synthesis of novel dihydro-2’H-spiro[indene-2,1’-pyrrolo-[3,4-c]pyrrole]-tetraones and evaluation of their antimycobacterial activity and inhibition of AChE. Bioorg. Med. Chem. Lett. 2017, 27, 3071–3075. [Google Scholar] [CrossRef]
- Nyerges, M.; Pintér, Á.; Virányi, A.; Blaskó, G.; Tőke, L. Synthesis of pyrrolo[3,4-c]quinolines by 1,5-electrocyclisation of non-stabilised azomethine ylides. Tetrahedron 2005, 61, 8199–8205. [Google Scholar] [CrossRef]
- Mondal, S.; Maity, A.; Paira, R.; Banerjee, M.; Bharitkar, Y.P.; Hazra, A.; Banerjee, S.; Mondal, N.B. Efficient synthesis of novel tetrahydropyrrolo[3’,4’:3,4]pyrrolo[2,1-a]isoquinoline derivatives via a simple and convenient MCR in aqueous micellar system. Tetrahedron Lett. 2012, 53, 6288–6291. [Google Scholar] [CrossRef]
- Georgiou, D.; Toutountzoglou, V.; Muir, K.W.; Hadjipavlou-Litina, D.; Elemes, Y. Synthesis of sulfur containing dihydro-pyrrolo derivatives and their biological evaluation as antioxidants. Bioorg. Med. Chem. 2012, 20, 5103–5109. [Google Scholar] [CrossRef]
- Quiroga, J.; Gálvez, J.; Pérez, A.; Valencia, A.; Abonia, R.; Insuasty, B. Catalyst free three-component synthesis of (±)-pyrazolylpyrrolopyrroles by 1,3-dipolar cycloaddition reaction. Tetrahedron Lett. 2011, 52, 5471–5473. [Google Scholar] [CrossRef]
- Belskaya, N.P.; Bakulev, V.A.; Deryabina, T.G.; Subbotina, J.O.; Kodess, M.I.; Dehaen, W.; Toppet, S.; Robeyns, K.; Meervelt, L.V. 3-Alkylsulfanyl-2-arylazo-3-(pyrrolidin-1-yl)-acrylonitriles as masked 1,3-dipoles. Tetrahedron 2009, 65, 7662–7672. [Google Scholar] [CrossRef]
- Malatesti, N.; Boa, A.N.; Clark, S.; Westwood, R. 1,3-Dipolar cycloaddition reactions of benzo[b]thiophene 1,1-dioxide with azomethine ylides. Tetrahedron Lett. 2006, 47, 5139–5142. [Google Scholar] [CrossRef]
- Konstantinova, L.S.; Bastrakov, M.A.; Starosotnikov, A.M.; Glukhov, I.V.; Lysov, K.A.; Rakitin, O.A.; Shevelev, S.A. 4,6-Dinitrobenzo[c]isothiazole: Synthesis and 1,3-dipolar cycloaddition to azomethine ylide. Mendeleev Commun. 2010, 20, 353–354. [Google Scholar] [CrossRef]
- Roy, S.; Kishbaugh, T.L.S.; Jasinski, J.P.; Gribble, G.W. 1,3-Dipolar cycloaddition of 2- and 3-nitroindoles with azomethine ylides. A new approach to pyrrolo[3,4-b]indoles. Tetrahedron Lett. 2007, 48, 1313–1316. [Google Scholar] [CrossRef]
- Rao, J.N.S.; Raghunathan, R. An expedient diastereoselective synthesis of pyrrolidinyl spirooxindoles fused to sugar lactone via [3+2] cycloaddition of azomethine ylides. Tetrahedron Lett. 2012, 53, 854–858. [Google Scholar] [CrossRef]
- Prasanna, R.; Purushothaman, S.; Raghunathan, R. Synthesis of glucosylspiro-oxindole derivatives via one-pot three-component cycloaddition of azomethine ylides. Tetrahedron Lett. 2014, 55, 6631–6634. [Google Scholar] [CrossRef]
- Rao, J.N.S.; Raghunathan, R. An expedient synthesis of pyrrolidinyl spirooxindole grafted 3-nitrochromanes through 1,3-dipolar cycloaddition reaction of azomethine ylides. Tetrahedron Lett. 2013, 54, 6568–6573. [Google Scholar] [CrossRef]
- Rao, J.N.S.; Raghunathan, R. A facile synthesis of glyco 3-nitrochromane hybrid pyrrolidinyl spiro heterocycles via [3+2] cycloaddition of azomethine ylides. Tetrahedron Lett. 2015, 56, 2276–2279. [Google Scholar] [CrossRef]
- Korotaev, V.Y.; Barkov, A.Y.; Moshkin, V.S.; Matochkina, E.G.; Kodess, M.I.; Sosnovskikh, V. Ya. Highly diastereoselective 1,3-dipolar cycloaddition of nonstabilized azomethine ylides to 3-nitro-2-trihalomethyl-2H-chromenes: Synthesis of 1-benzopyrano[3,4-c]pyrrolidines. Tetrahedron 2013, 69, 8602–8608. [Google Scholar] [CrossRef]
- Virányi, A.; Marth, G.; Dancsó, A.; Blaskó, G.; Tőke, L.; Nyerges, M. 3-Nitrochromene derivatives as 2π components in 1,3-dipolar cycloadditions of azomethine ylides. Tetrahedron 2006, 62, 8720–8730. [Google Scholar] [CrossRef]
- Moshkin, V.S.; Sosnovskikh, V.Y.; Röschenthaler, G.-V. Synthesis of benzopyranopyrrolidines via 1,3-dipolar cycloaddition of nonstabilized azomethine ylides with 3-substituted coumarins. Tetrahedron 2013, 69, 5884–5892. [Google Scholar] [CrossRef]
- Moshkin, V.S.; Sosnovskikh, V.Y.; Slepukhin, P.A.; Röschenthaler, G.-V. 1,3-Dipolar cycloadditions of nonstabilised azomethine ylides at 3-substituted coumarins: Synthesis of 1-benzopyrano[3,4-c]pyrrolidines. Mendeleev Commun. 2012, 22, 29–31. [Google Scholar] [CrossRef]
- Ghandi, M.; Taheri, A.; Abbasi, A. A facile synthesis of chromeno[3,4-c]spiropyrrolidine-oxindoles via 1,3-dipolar cycloadditions. Tetrahedron 2010, 66, 6744–6748. [Google Scholar] [CrossRef]
- Potowski, M.; Golz, C.; Strohmann, C.; Antonchick, A.P.; Waldmann, H. Biology-oriented synthesis of benzopyrano[3,4-c]pyrrolidines. Bioorg. Med. Chem. 2015, 23, 2895–2903. [Google Scholar] [CrossRef]
- Sosnovskikh, V.Y.; Kornev, M.Y.; Moshkin, V.S.; Buev, E.M. Substituted chromones in [3+2] cycloadditions with nonstabilized azomethine ylides: Synthesis of 1-benzopyrano[2,3-c]pyrrolidines and 1-benzopyrano[2,3-c:3,4-c’]dipyrrolidines. Tetrahedron 2014, 70, 9253–9261. [Google Scholar] [CrossRef]
- Oliveira, U.; Guillermo, A.; Repetto, E.; Vega, D.R.; Varela, O. Synthesis of Enantiomeric Polyhydroxyalkylpyrrolidines from 1,3-Dipolar Cycloadducts. Evaluation as Inhibitors of a β-Galactofuranosidase. J. Org. Chem. 2016, 81, 4179–4189. [Google Scholar] [CrossRef] [PubMed]
- D’Souza, A.M.; Spiccia, N.; Basutto, J.; Jokisz, P.; Wong, L.S.-M.; Meyer, A.G.; Holmes, A.B.; White, J.M.; Ryan, J.H. 1,3-Dipolar cycloaddition-decarboxylation reactions of an azomethine ylide with isatoic anhydrides: Formation of novel benzodiazepinones. Org. Lett. 2011, 13, 486–489. [Google Scholar] [CrossRef] [PubMed]













































































































































Disclaimer/Publisher’s Note: The statements, opinions and data contained in all publications are solely those of the individual author(s) and contributor(s) and not of MDPI and/or the editor(s). MDPI and/or the editor(s) disclaim responsibility for any injury to people or property resulting from any ideas, methods, instructions or products referred to in the content. |
© 2023 by the authors. Licensee MDPI, Basel, Switzerland. This article is an open access article distributed under the terms and conditions of the Creative Commons Attribution (CC BY) license (https://creativecommons.org/licenses/by/4.0/).
Share and Cite
Panda, S.S.; Aziz, M.N.; Stawinski, J.; Girgis, A.S. Azomethine Ylides—Versatile Synthons for Pyrrolidinyl-Heterocyclic Compounds. Molecules 2023, 28, 668. https://doi.org/10.3390/molecules28020668
Panda SS, Aziz MN, Stawinski J, Girgis AS. Azomethine Ylides—Versatile Synthons for Pyrrolidinyl-Heterocyclic Compounds. Molecules. 2023; 28(2):668. https://doi.org/10.3390/molecules28020668
Chicago/Turabian StylePanda, Siva S., Marian N. Aziz, Jacek Stawinski, and Adel S. Girgis. 2023. "Azomethine Ylides—Versatile Synthons for Pyrrolidinyl-Heterocyclic Compounds" Molecules 28, no. 2: 668. https://doi.org/10.3390/molecules28020668
APA StylePanda, S. S., Aziz, M. N., Stawinski, J., & Girgis, A. S. (2023). Azomethine Ylides—Versatile Synthons for Pyrrolidinyl-Heterocyclic Compounds. Molecules, 28(2), 668. https://doi.org/10.3390/molecules28020668

