Recent Synthetic Advances on the Use of Diazo Compounds Catalyzed by Metalloporphyrins
Abstract
:1. Introduction
2. Porphyrin-Based Catalysts
3. Reactions through Unusual Strategies
4. X−H Functionalization Catalyzed by Metalloporphyrins
5. Cyclopropanation Reactions Catalyzed by Metalloporphyrins
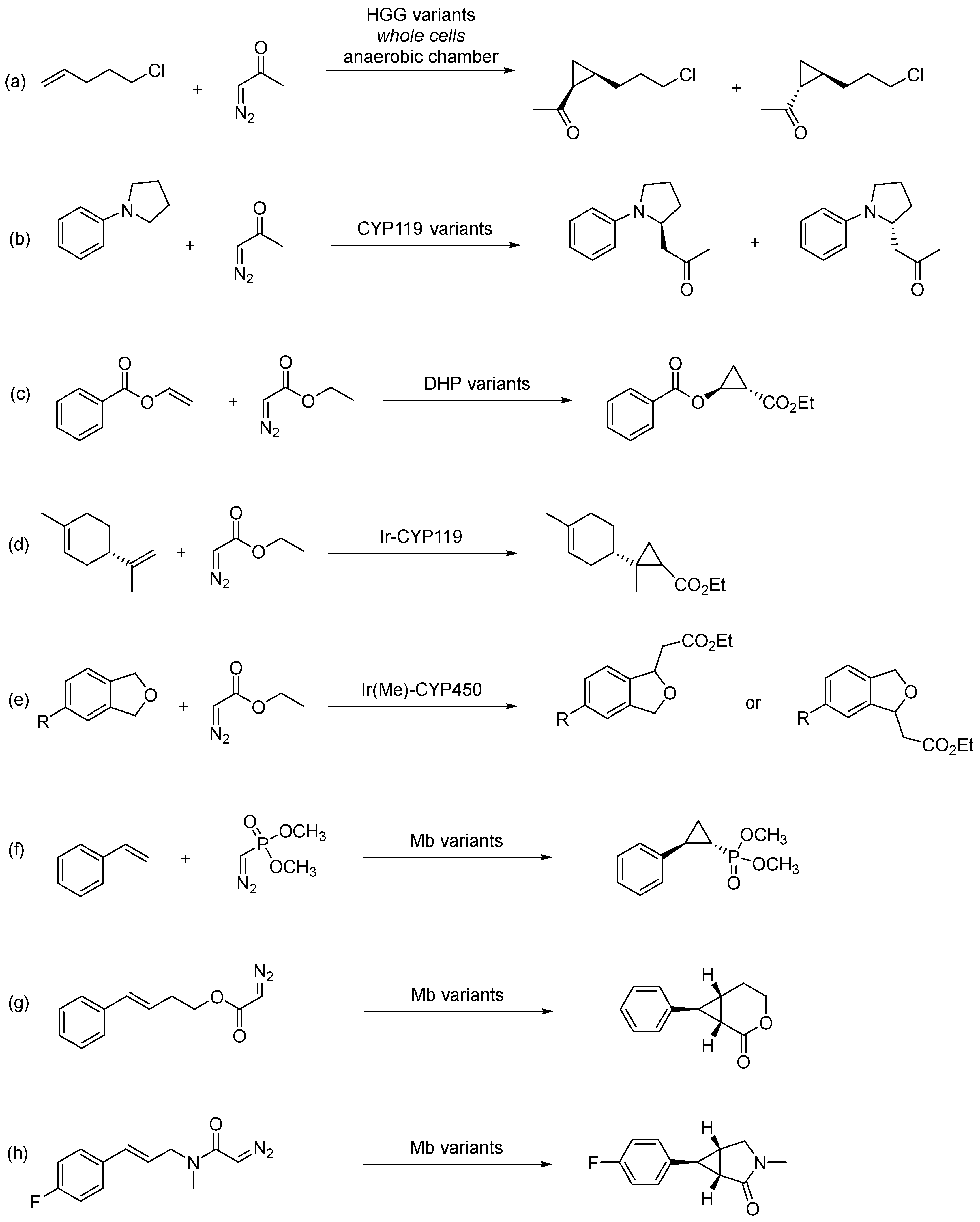
6. Catalytic Properties of Metalloenzymes and Hemoproteins
7. Final Remarks
8. Future Research Directions and Perspectives
Author Contributions
Funding
Data Availability Statement
Conflicts of Interest
Sample Availability
References
- Curtius, T. Ueber die Einwirkung von salpetriger Säure auf salzsauren Glycocolläther. Berichte Dtsch. Chem. Ges. 1883, 16, 2230–2231. [Google Scholar] [CrossRef]
- Burtoloso, A.C.B.; Momo, P.B.; Novais, G.L. Traditional and New methods for the Preparation of Diazocarbonyl Compounds. Ann. Braz. Acad. Sci. 2018, 90, 859–893. [Google Scholar] [CrossRef] [PubMed]
- Mykhailiuk, P.K.; Koenigs, R.M. Diazoacetonitrile (N 2 CHCN): A Long Forgotten but Valuable Reagent for Organic Synthesis. Chem.-Eur. J. 2020, 26, 89–101. [Google Scholar] [CrossRef] [PubMed]
- Schrock, R.R. Alkylcarbene complex of tantalum by intramolecular alpha-hydrogen abstraction. J. Am. Chem. Soc. 1974, 96, 6796–6797. [Google Scholar] [CrossRef]
- Xiang, Y.; Wang, C.; Ding, Q.; Peng, Y. Diazo Compounds: Versatile Synthons for the Synthesis of Nitrogen Heterocycles via Transition Metal-Catalyzed Cascade C–H Activation/Carbene Insertion/Annulation Reactions. Adv. Synth. Catal. 2019, 361, 919–944. [Google Scholar] [CrossRef]
- Ciszewski, Ł.W.; Rybicka-Jasińska, K.; Gryko, D. Recent developments in photochemical reactions of diazo compounds. Org. Biomol. Chem. 2019, 17, 432–448. [Google Scholar] [CrossRef]
- Candeias, N.R.; Paterna, R.; Gois, P.M.P. Homologation Reaction of Ketones with Diazo Compounds. Chem. Rev. 2016, 116, 2937–2981. [Google Scholar] [CrossRef]
- DeAngelis, A.; Panish, R.; Fox, J.M. Rh-Catalyzed Intermolecular Reactions of α-Alkyl-α-Diazo Carbonyl Compounds with Selectivity over β-Hydride Migration. Acc. Chem. Res. 2016, 49, 115–127. [Google Scholar] [CrossRef] [PubMed]
- Longevial, J.F.; Rose, C.; Poyac, L.; Clément, S.; Richeter, S. Molecular Systems Combining Porphyrinoids and N-Heterocyclic Carbenes. Eur. J. Inorg. Chem. 2021, 2021, 776–791. [Google Scholar] [CrossRef]
- Simões, M.M.Q.; Gonzaga, D.T.G.; Cardoso, M.F.C.; Forezi, L.D.S.M.; Gomes, A.T.P.C.; Da Silva, C.F.D.C.; Ferreira, V.F.; Neves, M.G.P.M.S.; Cavaleiro, J.A.S. Carbene transfer reactions catalysed by dyes of the metalloporphyrin group. Molecules 2018, 23, 792. [Google Scholar] [CrossRef] [PubMed]
- Gomes, A.T.P.C.; Forezi, L.D.S.M.; Simões, M.M.Q.; Gonzaga, D.T.; Cardoso, M.F.C.; Da Silva, F.D.C.; Neves, M.G.P.M.S.; Ferreira, V.F.; Cavaleiro, J.A.S. Carbene-Type Species in the Functionalization of Porphyrin Derivatives. Synthesis 2018, 50, 2678–2692. [Google Scholar] [CrossRef]
- Xia, Y.; Qiu, D.; Wang, J. Transition-Metal-Catalyzed Cross-Couplings through Carbene Migratory Insertion. Chem. Rev. 2017, 117, 13810–13889. [Google Scholar] [CrossRef]
- Wilkinson, A.; McNaught, A.D. The IUPAC Compendium of Chemical Terminology 2nd ed. (the “Gold Book”); Blackwell Scientific Publications: Research Triangle Park, NC, USA, 2019; ISBN 0-9678550-9-8. [Google Scholar]
- Ferreira, V.F. Synthesis of Heterocyclic Compounds by Carbenoid Transfer Reactions. Curr. Org. Chem. 2007, 11, 177–193. [Google Scholar] [CrossRef]
- Da Silva, F.D.C.; Jordao, A.K.; da Rocha, D.R.; Ferreira, S.B.; Cunha, A.C.; Ferreira, V.F. Recent Advances on the Synthesis of Heterocycles from Diazo Compounds. Curr. Org. Chem. 2012, 16, 224–251. [Google Scholar] [CrossRef]
- Carreras, V.; Tanbouza, N.; Ollevier, T. The Power of Iron Catalysis in Diazo Chemistry. Synthesis 2021, 53, 79–94. [Google Scholar]
- Damiano, C.; Sonzini, P.; Gallo, E. Iron catalysts with N-ligands for carbene transfer of diazo reagents. Chem. Soc. Rev. 2020, 49, 4867–4905. [Google Scholar] [CrossRef] [PubMed]
- Batista, V.F.; G A Pinto, D.C.; Silva, A.M.S. Iron: A Worthy Contender in Metal Carbene Chemistry. ACS Catal. 2020, 10, 10096–10116. [Google Scholar] [CrossRef]
- Weissenborn, M.J.; Koenigs, R.M. Iron-porphyrin Catalyzed Carbene Transfer Reactions—An Evolution from Biomimetic Catalysis towards Chemistry-inspired Non-natural Reactivities of Enzymes. ChemCatChem 2020, 12, 2171–2179. [Google Scholar] [CrossRef]
- Empel, C.; Jana, S.; Koenigs, R.M. C-H functionalization via iron-catalyzed carbene-transfer reactions. Molecules 2020, 25, 880. [Google Scholar] [CrossRef]
- Wenger, O.S. Is Iron the New Ruthenium? Chem.-Eur. J. 2019, 25, 6043–6052. [Google Scholar] [CrossRef] [PubMed]
- Empel, C.; Koenigs, R.M. Sustainable Carbene Transfer Reactions with Iron and Light. Synlett 2019, 30, 1929–1934. [Google Scholar] [CrossRef]
- Zhao, R.; Shi, L. Reactions between Diazo Compounds and Hypervalent Iodine(III) Reagents. Angew. Chem. Int. Ed. 2020, 59, 12282–12292. [Google Scholar] [CrossRef]
- Epping, R.F.J.; Vesseur, D.; Zhou, M.; de Bruin, B. Carbene Radicals in Transition-Metal-Catalyzed Reactions. ACS Catal. 2023, 13, 5428–5448. [Google Scholar] [CrossRef] [PubMed]
- Snabilié, D.D.; Meeus, E.J.; Epping, R.F.J.; He, Z.; Zhou, M.; de Bruin, B. Understanding Off-Cycle and Deactivation Pathways in Radical-Type Carbene Transfer Catalysis. Chem.-Eur. J. 2023, 29, e202300336. [Google Scholar] [CrossRef]
- Grotenhuis, C.T.; de Bruin, B. Radical-type Reactions Controlled by Cobalt: From Carbene Radical Reactivity to the Catalytic Intermediacy of Reactive o-Quinodimethanes. Synlett 2018, 29, 2238–2250. [Google Scholar]
- Dzik, W.I.; Zhang, X.P.; de Bruin, B. Redox Noninnocence of Carbene Ligands: Carbene Radicals in (Catalytic) C−C Bond Formation. Inorg. Chem. 2011, 50, 9896–9903. [Google Scholar] [CrossRef] [PubMed]
- Wang, H.; Zhou, C.Y.; Che, C.M. Cobalt-Porphyrin-Catalyzed Intramolecular Buchner Reaction and Arene Cyclopropanation of In Situ Generated Alkyl Diazomethanes. Adv. Synth. Catal. 2017, 359, 2253–2258. [Google Scholar] [CrossRef]
- Gomes, A.T.P.C.; Leão, R.A.C.; Alonso, C.M.A.; Neves, M.G.P.M.S.; Faustino, M.A.F.; Tomé, A.C.; Silva, A.M.S.; Pinheiro, S.; De Souza, M.C.B.V.; Ferreira, V.F.; et al. A new insight into the catalytic decomposition of ethyl diazoacetate in the presence of meso-tetraarylporphyrin (=5,10,15,20-tetraaryl-21H,23H-porphine) complexes. Helv. Chim. Acta 2008, 91, 2270–2283. [Google Scholar] [CrossRef]
- Gomes, A.T.P.C.; Neves, M.G.P.M.S.; Cavaleiro, J.A.S. Diazo compounds in the functionalization of porphyrin macrocycles. J. Porphyrins Phthalocyanines 2011, 15, 835–847. [Google Scholar] [CrossRef]
- Epping, R.F.J.; Hoeksma, M.M.; Bobylev, E.O.; Mathew, S.; de Bruin, B. Cobalt(II)–tetraphenylporphyrin-catalysed carbene transfer from acceptor–acceptor iodonium ylides via N-enolate–carbene radicals. Nat. Chem. 2022, 14, 550–557. [Google Scholar] [CrossRef]
- Che, C.-M.; Lo, V.K.-Y.; Zhou, C.-Y.; Huang, J.-S. Selective functionalisation of saturated C–H bonds with metalloporphyrin catalysts. Chem. Soc. Rev. 2011, 40, 1950–1975. [Google Scholar] [CrossRef]
- Wang, Y.; Wen, X.; Cui, X.; Zhang, X.P. Enantioselective Radical Cyclization for Construction of 5-Membered Ring Structures by Metalloradical C-H Alkylation. J. Am. Chem. Soc. 2018, 140, 4792–4796. [Google Scholar] [CrossRef] [PubMed]
- Lankelma, M.; Olivares, A.M.; de Bruin, B. [Co(TPP)]-Catalyzed Formation of Substituted Piperidines. Chem.-Eur. J. 2019, 25, 5658–5663. [Google Scholar] [CrossRef] [PubMed]
- Grotenhuis, C.T.; van den Heuvel, N.; van der Vlugt, J.I.; de Bruin, B. Catalytic Dibenzocyclooctene Synthesis via Cobalt(III)-Carbene Radical and ortho -Quinodimethane Intermediates. Angew. Chem. Int. Ed. 2018, 57, 140–145. [Google Scholar] [CrossRef] [PubMed]
- Zhou, M.; Lankelma, M.; Vlugt, J.I.; Bruin, B. Catalytic Synthesis of 8-Membered Ring Compounds via Cobalt(III)-Carbene Radicals. Angew. Chem. Int. Ed. 2020, 59, 11073–11079. [Google Scholar] [CrossRef] [PubMed]
- Zhou, M.; Wolzak, L.A.; Li, Z.; De Zwart, F.J.; Mathew, S.; De Bruin, B. Catalytic Synthesis of 1 H-2-Benzoxocins: Cobalt(III)-Carbene Radical Approach to 8-Membered Heterocyclic Enol Ethers. J. Am. Chem. Soc. 2021, 143, 20501–20512. [Google Scholar] [CrossRef] [PubMed]
- Ebner, C.; Carreira, E.M. Cyclopropanation Strategies in Recent Total Syntheses. Chem. Rev. 2017, 117, 11651–11679. [Google Scholar] [CrossRef]
- Caballero, A.; Prieto, A.; Díaz-Requejo, M.M.; Pérez, P.J. Metal-catalyzed olefin cyclopropanation with ethyl diazoacetate: Control of the diastereoselectivity. Eur. J. Inorg. Chem. 2009, 2009, 1137–1144. [Google Scholar] [CrossRef]
- Hock, K.J.; Knorrscheidt, A.; Hommelsheim, R.; Ho, J.; Weissenborn, M.J.; Koenigs, R.M. Tryptamine Synthesis by Iron Porphyrin Catalyzed C−H Functionalization of Indoles with Diazoacetonitrile. Angew. Chem. Int. Ed. 2019, 58, 3630–3634. [Google Scholar] [CrossRef]
- Wang, E.-H.; Ping, Y.-J.; Li, Z.-R.; Qin, H.; Xu, Z.-J.; Che, C.-M. Iron Porphyrin Catalyzed Insertion Reaction of N -Tosylhydrazone-Derived Carbenes into X–H (X = Si, Sn, Ge) Bonds. Org. Lett. 2018, 20, 4641–4644. [Google Scholar] [CrossRef]
- Ma, C.; Wang, S.; Sheng, Y.; Zhao, X.-L.; Xing, D.; Hu, W. Synthesis and Characterization of Donor–Acceptor Iron Porphyrin Carbenes and Their Reactivities in N–H Insertion and Related Three-Component Reaction. J. Am. Chem. Soc. 2023, 145, 4934–4939. [Google Scholar] [CrossRef] [PubMed]
- Yu, Z.; Li, G.; Zhang, J.; Liu, L. Iron-catalysed chemo- and ortho -selective C–H bond functionalization of phenols with α-aryl-α-diazoacetates. Org. Chem. Front. 2021, 8, 3770–3775. [Google Scholar] [CrossRef]
- Wang, H.X.; Wan, Q.; Low, K.H.; Zhou, C.Y.; Huang, J.S.; Zhang, J.L.; Che, C.M. Stable group 8 metal porphyrin mono- and bis(dialkylcarbene) complexes: Synthesis, characterization, and catalytic activity. Chem. Sci. 2020, 11, 2243–2259. [Google Scholar] [CrossRef]
- Wang, H.; Richard, Y.; Wan, Q.; Zhou, C.; Che, C. Iridium(III)-Catalyzed Intermolecular C(sp 3)−H Insertion Reaction of Quinoid Carbene: A Radical Mechanism. Angew. Chem. Int. Ed. 2020, 59, 1845–1850. [Google Scholar] [CrossRef]
- Wang, Y.; Zhou, Z.; Zhao, L.; He, C.; Sun, W.; Duan, C. Ir-Porphyrin-Based Metal–Organic Framework as a Dual Metallo- and Photocatalyst for Inert Alkyl C(sp 3)−H Bond Activation and Direct Functionalization. ACS Appl. Mater. Interfaces 2021, 13, 10925–10932. [Google Scholar] [CrossRef] [PubMed]
- Wang, Y.; Cui, H.; Zhang, L.; Su, C.Y. An Acid Stable Metal-Organic Framework as an Efficient and Recyclable Catalyst for the O−H Insertion Reaction of Carboxylic Acids. ChemCatChem 2018, 10, 3901–3906. [Google Scholar] [CrossRef]
- Chen, L.; Cui, H.; Wang, Y.; Liang, X.; Zhang, L.; Su, C.-Y. Carbene insertion into N–H bonds with size-selectivity induced by a microporous ruthenium–porphyrin metal–organic framework. Dalt. Trans. 2018, 47, 3940–3946. [Google Scholar] [CrossRef] [PubMed]
- Fontana, L.A.; Almeida, M.P.; Alcântara, A.F.P.; Rigolin, V.H.; Ribeiro, M.A.; Barros, W.P.; Megiatto, J.D. Ru(II)Porphyrinate-based molecular nanoreactor for carbene insertion reactions and quantitative formation of rotaxanes by active-metal-template syntheses. Nat. Commun. 2020, 11, 6370. [Google Scholar] [CrossRef] [PubMed]
- Chen, Z.; Xie, Y.; Xuan, J. Visible Light-Mediated Cyclopropanation: Recent Progress. Eur. J. Org. Chem. 2022, 2022, e202201066. [Google Scholar] [CrossRef]
- Allouche, E.M.D.; Charette, A.B. Cyclopropanation Reactions of Semi-stabilized and Non-stabilized Diazo Compounds. Synthesis 2019, 51, 3947–3963. [Google Scholar] [CrossRef]
- Goswami, M.; de Bruin, B.; Dzik, W.I. Difluorocarbene transfer from a cobalt complex to an electron-deficient alkene. Chem. Commun. 2017, 53, 4382–4385. [Google Scholar] [CrossRef]
- Chanthamath, S.; Iwasa, S. Enantioselective Cyclopropanation of a Wide Variety of Olefins Catalyzed by Ru(II)-Pheox Complexes. Acc. Chem. Res. 2016, 49, 2080–2090. [Google Scholar] [CrossRef]
- Rioz-Martínez, A.; Oelerich, J.; Ségaud, N.; Roelfes, G. DNA-Accelerated Catalysis of Carbene-Transfer Reactions by a DNA/Cationic Iron Porphyrin Hybrid. Angew. Chem. Int. Ed. 2016, 55, 14136–14140. [Google Scholar] [CrossRef]
- Maaskant, R.V.; Polanco, E.A.; Van Lier, R.C.W.; Roelfes, G. Cationic iron porphyrins with sodium dodecyl sulphate for micellar catalysis of cyclopropanation reactions. Org. Biomol. Chem. 2020, 18, 638–641. [Google Scholar] [CrossRef]
- Carrié, D.; Roisnel, T.; Simonneaux, G. Asymmetric intermolecular cyclopropanation of alkenes and N–H insertion of aminoesters by diazoacetylferrocene catalyzed by ruthenium and iron porphyrins. Polyhedron 2021, 205, 115294. [Google Scholar] [CrossRef]
- Damiano, C.; Gallo, E. Challenging asymmetric alkene cyclopropanation by unsymmetrical diazomalonates. Chem Catal. 2022, 2, 229–231. [Google Scholar] [CrossRef]
- Damiano, C.; Gadolini, S.; Intrieri, D.; Lay, L.; Colombo, C.; Gallo, E. Iron and Ruthenium Glycoporphyrins: Active Catalysts for the Synthesis of Cyclopropanes and Aziridines. Eur. J. Inorg. Chem. 2019, 2019, 4412–4420. [Google Scholar] [CrossRef]
- Wang, Y.; Wen, X.; Cui, X.; Wojtas, L.; Zhang, X.P. Asymmetric Radical Cyclopropanation of Alkenes with In Situ-Generated Donor-Substituted Diazo Reagents via Co(II)-Based Metalloradical Catalysis. J. Am. Chem. Soc. 2017, 139, 1049–1052. [Google Scholar] [CrossRef] [PubMed]
- Wang, J.; Xie, J.; Cindy Lee, W.-C.; Wang, D.-S.; Zhang, X.P. Radical differentiation of two ester groups in unsymmetrical diazomalonates for highly asymmetric olefin cyclopropanation. Chem Catal. 2022, 2, 330–344. [Google Scholar] [CrossRef] [PubMed]
- Fang, Y.; Powell, J.A.; Li, E.; Wang, Q.; Perry, Z.; Kirchon, A.; Yang, X.; Xiao, Z.; Zhu, C.; Zhang, L.; et al. Catalytic reactions within the cavity of coordination cages. Chem. Soc. Rev. 2019, 48, 4707–4730. [Google Scholar] [CrossRef] [PubMed]
- Liu, X.; Qian, B.; Zhang, D.; Yu, M.; Chang, Z.; Bu, X. Recent progress in host–guest metal–organic frameworks: Construction and emergent properties. Coord. Chem. Rev. 2023, 476, 214921. [Google Scholar] [CrossRef]
- Liu, Z.; Dai, X.; Sun, Y.; Liu, Y. Organic supramolecular aggregates based on water-soluble cyclodextrins and calixarenes. Aggregate 2020, 1, 31–44. [Google Scholar] [CrossRef]
- Mouarrawis, V.; Bobylev, E.O.; de Bruin, B.; Reek, J.N.H. Controlling the Activity of a Caged Cobalt-Porphyrin-Catalyst in Cyclopropanation Reactions with Peripheral Cage Substituents. Eur. J. Inorg. Chem. 2021, 2021, 2890–2898. [Google Scholar] [CrossRef]
- Mouarrawis, V.; Bobylev, E.O.; Bruin, B.; Reek, J.N.H. A Novel M 8 L 6 Cubic Cage That Binds Tetrapyridyl Porphyrins: Cage and Solvent Effects in Cobalt-Porphyrin-Catalyzed Cyclopropanation Reactions. Chem.-Eur. J. 2021, 27, 8390–8397. [Google Scholar] [CrossRef]
- Epp, K.; Bueken, B.; Hofmann, B.J.; Cokoja, M.; Hemmer, K.; De Vos, D.; Fischer, R.A. Network topology and cavity confinement-controlled diastereoselectivity in cyclopropanation reactions catalyzed by porphyrin-based MOFs. Catal. Sci. Technol. 2019, 9, 6452–6459. [Google Scholar] [CrossRef]
- Feng, D.; Chung, W.-C.; Wei, Z.; Gu, Z.-Y.; Jiang, H.-L.; Chen, Y.-P.; Darensbourg, D.J.; Zhou, H.-C. Construction of Ultrastable Porphyrin Zr Metal–Organic Frameworks through Linker Elimination. J. Am. Chem. Soc. 2013, 135, 17105–17110. [Google Scholar] [CrossRef] [PubMed]
- Alcântara, A.F.P.; Fontana, L.A.; Rigolin, V.H.; Andrade, Y.F.S.; Ribeiro, M.A.; Barros, W.P.; Ornelas, C.; Megiatto, J.D. Olefin Cyclopropanation by Radical Carbene Transfer Reactions Promoted by Cobalt(II)/Porphyrinates: Active-Metal-Template Synthesis of [2]Rotaxanes. Angew. Chem. Int. Ed. 2018, 57, 8979–8983. [Google Scholar] [CrossRef]
- Alcântara, A.F.P.; Fontana, L.A.; Almeida, M.P.; Rigolin, V.H.; Ribeiro, M.A.; Barros, W.P.; Megiatto, J.D. Control over the Redox Cooperative Mechanism of Radical Carbene Transfer Reactions for the Efficient Active-Metal-Template Synthesis of [2]Rotaxanes. Chem.-Eur. J. 2020, 26, 7808–7822. [Google Scholar] [CrossRef] [PubMed]
- Kariyawasam, K.; Ricoux, R.; Mahy, J.-P. Recent advances in the field of artificial hemoproteins: New efficient eco-compatible biocatalysts for nitrene-, oxene- and carbene-transfer reactions. J. Porphyrins Phthalocyanines 2019, 23, 1273–1285. [Google Scholar] [CrossRef]
- Liu, Z.; Arnold, F.H. New-to-nature chemistry from old protein machinery: Carbene and nitrene transferases. Curr. Opin. Biotechnol. 2021, 69, 43–51. [Google Scholar] [CrossRef] [PubMed]
- Coelho, P.S.; Brustad, E.M.; Kannan, A.; Arnold, F.H. Olefin Cyclopropanation via Carbene Transfer Catalyzed by Engineered Cytochrome P450 Enzymes. Science 2013, 339, 307–310. [Google Scholar] [CrossRef] [PubMed]
- Schwizer, F.; Okamoto, Y.; Heinisch, T.; Gu, Y.; Pellizzoni, M.M.; Lebrun, V.; Reuter, R.; Köhler, V.; Lewis, J.C.; Ward, T.R. Artificial Metalloenzymes: Reaction Scope and Optimization Strategies. Chem. Rev. 2018, 118, 142–231. [Google Scholar] [CrossRef] [PubMed]
- Jeschek, M.; Panke, S.; Ward, T.R. Artificial Metalloenzymes on the Verge of New-to-Nature Metabolism. Trends Biotechnol. 2018, 36, 60–72. [Google Scholar] [CrossRef] [PubMed]
- Natoli, S.N.; Hartwig, J.F. Noble-Metal Substitution in Hemoproteins: An Emerging Strategy for Abiological Catalysis. Acc. Chem. Res. 2019, 52, 326–335. [Google Scholar] [CrossRef]
- Davis, H.J.; Ward, T.R. Artificial Metalloenzymes: Challenges and Opportunities. ACS Cent. Sci. 2019, 5, 1120–1136. [Google Scholar] [CrossRef]
- Kim, T.; Kassim, A.M.; Botejue, A.; Zhang, C.; Forte, J.; Rozzell, D.; Huffman, M.A.; Devine, P.N.; McIntosh, J.A. Hemoprotein-Catalyzed Cyclopropanation En Route to the Chiral Cyclopropanol Fragment of Grazoprevir. Chembiochem 2019, 20, 1129–1132. [Google Scholar] [CrossRef]
- Chen, K.; Arnold, F.H. Engineering new catalytic activities in enzymes. Nat. Catal. 2020, 3, 203–213. [Google Scholar] [CrossRef]
- Huang, J.; Liu, Z.; Bloomer, B.J.; Clark, D.S.; Mukhopadhyay, A.; Keasling, J.D.; Hartwig, J.F. Unnatural biosynthesis by an engineered microorganism with heterologously expressed natural enzymes and an artificial metalloenzyme. Nat. Chem. 2021, 13, 1186–1191. [Google Scholar] [CrossRef] [PubMed]
- Ren, X.; Fasan, R. Engineered and artificial metalloenzymes for selective C–H functionalization. Curr. Opin. Green Sustain. Chem. 2021, 31, 100494. [Google Scholar] [CrossRef] [PubMed]
- Yang, Y.; Arnold, F.H. Navigating the Unnatural Reaction Space: Directed Evolution of Heme Proteins for Selective Carbene and Nitrene Transfer. Acc. Chem. Res. 2021, 54, 1209–1225. [Google Scholar] [CrossRef] [PubMed]
- Roelfes, G. Repurposed and artificial heme enzymes for cyclopropanation reactions. J. Inorg. Biochem. 2021, 222, 111523. [Google Scholar] [CrossRef]
- Lovelock, S.L.; Crawshaw, R.; Basler, S.; Levy, C.; Baker, D.; Hilvert, D.; Green, A.P. The road to fully programmable protein catalysis. Nature 2022, 606, 49–58. [Google Scholar] [CrossRef] [PubMed]
- Gutiérrez, S.; Tomás-Gamasa, M.; Mascareñas, J.L. Organometallic catalysis in aqueous and biological environments: Harnessing the power of metal carbenes. Chem. Sci. 2022, 13, 6478–6495. [Google Scholar] [CrossRef] [PubMed]
- Kalvet, I.; Ortmayer, M.; Zhao, J.; Crawshaw, R.; Ennist, N.M.; Levy, C.; Roy, A.; Green, A.P.; Baker, D. Design of Heme Enzymes with a Tunable Substrate Binding Pocket Adjacent to an Open Metal Coordination Site. J. Am. Chem. Soc. 2023, 145, 14307–14315. [Google Scholar] [CrossRef]
- Huang, J.; Quest, A.; Cruz-Morales, P.; Deng, K.; Pereira, J.H.; Van Cura, D.; Kakumanu, R.; Baidoo, E.E.K.; Dan, Q.; Chen, Y.; et al. Complete integration of carbene-transfer chemistry into biosynthesis. Nature 2023, 617, 403–408. [Google Scholar] [CrossRef] [PubMed]
- Ren, X.; Couture, B.M.; Liu, N.; Lall, M.S.; Kohrt, J.T.; Fasan, R. Enantioselective Single and Dual α-C–H Bond Functionalization of Cyclic Amines via Enzymatic Carbene Transfer. J. Am. Chem. Soc. 2023, 145, 537–550. [Google Scholar] [CrossRef] [PubMed]
- Siriboe, M.G.; Vargas, D.A.; Fasan, R. Dehaloperoxidase Catalyzed Stereoselective Synthesis of Cyclopropanol Esters. J. Org. Chem. 2023, 88, 7630–7640. [Google Scholar] [CrossRef] [PubMed]
- Gu, Y.; Natoli, S.N.; Liu, Z.; Clark, D.S.; Hartwig, J.F. Site-Selective Functionalization of (sp3)C-H Bonds Catalyzed by Artificial Metalloenzymes Containing an Iridium-Porphyrin Cofactor. Angew. Chem. Int. Ed. Engl. 2019, 58, 13954–13960. [Google Scholar] [CrossRef] [PubMed]
- Liu, Z.; Huang, J.; Gu, Y.; Clark, D.S.; Mukhopadhyay, A.; Keasling, J.D.; Hartwig, J.F. Assembly and Evolution of Artificial Metalloenzymes within E. coli Nissle 1917 for Enantioselective and Site-Selective Functionalization of C─H and C═C Bonds. J. Am. Chem. Soc. 2022, 144, 883–890. [Google Scholar] [CrossRef] [PubMed]
- Ren, X.; Chandgude, A.L.; Carminati, D.M.; Shen, Z.; Khare, S.D.; Fasan, R. Highly stereoselective and enantiodivergent synthesis of cyclopropylphosphonates with engineered carbene transferases. Chem. Sci. 2022, 13, 8550–8556. [Google Scholar] [CrossRef] [PubMed]
- Carminati, D.M.; Decaens, J.; Couve-Bonnaire, S.; Jubault, P.; Fasan, R. Biocatalytic Strategy for the Highly Stereoselective Synthesis of CHF 2 -Containing Trisubstituted Cyclopropanes. Angew. Chem. Int. Ed. 2021, 60, 7072–7076. [Google Scholar] [CrossRef]
- Vargas, D.A.; Khade, R.L.; Zhang, Y.; Fasan, R. Biocatalytic Strategy for Highly Diastereo- and Enantioselective Synthesis of 2,3-Dihydrobenzofuran-Based Tricyclic Scaffolds. Angew. Chem. Int. Ed. Engl. 2019, 58, 10148–10152. [Google Scholar] [CrossRef] [PubMed]
- Carminati, D.M.; Fasan, R. Stereoselective Cyclopropanation of Electron-Deficient Olefins with a Cofactor Redesigned Carbene Transferase Featuring Radical Reactivity. ACS Catal. 2019, 9, 9683–9697. [Google Scholar] [CrossRef] [PubMed]
- Ren, X.; Liu, N.; Chandgude, A.L.; Fasan, R. An Enzymatic Platform for the Highly Enantioselective and Stereodivergent Construction of Cyclopropyl-δ-lactones. Angew. Chem. Int. Ed. 2020, 59, 21634–21639. [Google Scholar] [CrossRef]
- Ren, X.; Chandgude, A.L.; Fasan, R. Highly Stereoselective Synthesis of Fused Cyclopropane-γ-Lactams via Biocatalytic Iron-Catalyzed Intramolecular Cyclopropanation. ACS Catal. 2020, 10, 2308–2313. [Google Scholar] [CrossRef]
- Mao, R.; Wackelin, D.J.; Jamieson, C.S.; Rogge, T.; Gao, S.; Das, A.; Taylor, D.M.; Houk, K.N.; Arnold, F.H. Enantio- and Diastereoenriched Enzymatic Synthesis of 1,2,3- Polysubstituted Cyclopropanes from (Z/E)-Trisubstituted Enol Acetates. J. Am. Chem. Soc. 2023, 145, 16176–16185. [Google Scholar] [CrossRef] [PubMed]
- Zhang, R.K.; Chen, K.; Huang, X.; Wohlschlager, L.; Renata, H.; Arnold, F.H. Enzymatic assembly of carbon-carbon bonds via iron-catalysed sp3 C-H functionalization. Nature 2019, 565, 67–72. [Google Scholar] [CrossRef] [PubMed]
- Brandenberg, O.F.; Chen, K.; Arnold, F.H. Directed Evolution of a Cytochrome P450 Carbene Transferase for Selective Functionalization of Cyclic Compounds. J. Am. Chem. Soc. 2019, 141, 8989–8995. [Google Scholar] [CrossRef]
- Zhang, J.; Huang, X.; Zhang, R.K.; Arnold, F.H. Enantiodivergent α-Amino C-H Fluoroalkylation Catalyzed by Engineered Cytochrome P450s. J. Am. Chem. Soc. 2019, 141, 9798–9802. [Google Scholar] [CrossRef] [PubMed]
- Chen, K.; Huang, X.; Kan, S.B.J.; Zhang, R.K.; Arnold, F.H. Enzymatic construction of highly strained carbocycles. Science 2018, 360, 71–75. [Google Scholar] [CrossRef] [PubMed]
- Chen, K.; Arnold, F.H. Engineering Cytochrome P450s for Enantioselective Cyclopropenation of Internal Alkynes. J. Am. Chem. Soc. 2020, 142, 6891–6895. [Google Scholar] [CrossRef] [PubMed]
- Zhou, A.Z.; Chen, K.; Arnold, F.H. Enzymatic Lactone-Carbene C–H Insertion to Build Contiguous Chiral Centers. ACS Catal. 2020, 10, 5393–5398. [Google Scholar] [CrossRef]
- Kan, S.B.J.; Huang, X.; Gumulya, Y.; Chen, K.; Arnold, F.H. Genetically programmed chiral organoborane synthesis. Nature 2017, 552, 132–136. [Google Scholar] [CrossRef] [PubMed]
- Porter, N.J.; Danelius, E.; Gonen, T.; Arnold, F.H. Biocatalytic Carbene Transfer Using Diazirines. J. Am. Chem. Soc. 2022, 144, 8892–8896. [Google Scholar] [CrossRef] [PubMed]
- Knight, A.M.; Kan, S.B.J.; Lewis, R.D.; Brandenberg, O.F.; Chen, K.; Arnold, F.H. Diverse Engineered Heme Proteins Enable Stereodivergent Cyclopropanation of Unactivated Alkenes. ACS Cent. Sci. 2018, 4, 372–377. [Google Scholar] [CrossRef] [PubMed]
- Schaus, L.; Das, A.; Knight, A.M.; Jimenez-Osés, G.; Houk, K.N.; Garcia-Borràs, M.; Arnold, F.H.; Huang, X. Protoglobin-Catalyzed Formation of cis-Trifluoromethyl-Substituted Cyclopropanes by Carbene Transfer. Angew. Chem. Int. Ed. 2023, 62, e202208936. [Google Scholar] [CrossRef] [PubMed]
- Miller, D.C.; Lal, R.G.; Marchetti, L.A.; Arnold, F.H. Biocatalytic One-Carbon Ring Expansion of Aziridines to Azetidines via a Highly Enantioselective [1,2]-Stevens Rearrangement. J. Am. Chem. Soc. 2022, 144, 4739–4745. [Google Scholar] [CrossRef] [PubMed]
























Disclaimer/Publisher’s Note: The statements, opinions and data contained in all publications are solely those of the individual author(s) and contributor(s) and not of MDPI and/or the editor(s). MDPI and/or the editor(s) disclaim responsibility for any injury to people or property resulting from any ideas, methods, instructions or products referred to in the content. |
© 2023 by the authors. Licensee MDPI, Basel, Switzerland. This article is an open access article distributed under the terms and conditions of the Creative Commons Attribution (CC BY) license (https://creativecommons.org/licenses/by/4.0/).
Share and Cite
Simões, M.M.Q.; Cavaleiro, J.A.S.; Ferreira, V.F. Recent Synthetic Advances on the Use of Diazo Compounds Catalyzed by Metalloporphyrins. Molecules 2023, 28, 6683. https://doi.org/10.3390/molecules28186683
Simões MMQ, Cavaleiro JAS, Ferreira VF. Recent Synthetic Advances on the Use of Diazo Compounds Catalyzed by Metalloporphyrins. Molecules. 2023; 28(18):6683. https://doi.org/10.3390/molecules28186683
Chicago/Turabian StyleSimões, Mário M. Q., José A. S. Cavaleiro, and Vitor F. Ferreira. 2023. "Recent Synthetic Advances on the Use of Diazo Compounds Catalyzed by Metalloporphyrins" Molecules 28, no. 18: 6683. https://doi.org/10.3390/molecules28186683
APA StyleSimões, M. M. Q., Cavaleiro, J. A. S., & Ferreira, V. F. (2023). Recent Synthetic Advances on the Use of Diazo Compounds Catalyzed by Metalloporphyrins. Molecules, 28(18), 6683. https://doi.org/10.3390/molecules28186683

