Advances and Challenges in Plant Sterol Research: Fundamentals, Analysis, Applications and Production
Abstract
1. Introduction
2. Structures, Biosynthesis and Function
2.1. Sterol Nomenclature and Structures
2.2. Biosynthesis of PS and Derivatives
2.3. Functions of Sterols in Plants
2.4. Oxysterols

2.5. Disteryl Ethers
2.6. Synthetically Modified PS
3. Dietary Sources and Daily Intake
4. Absorption and Metabolism of PS and Derivatives

5. Toxicity and Safety Assessment of PS Products
6. Analysis of PS and Conjugates
6.1. Analytical Approaches for PS Analysis
6.1.1. Sample Pre-Treatment
6.1.2. Extraction of PS and Derivatives
6.1.3. Fractionation for Enrichment and Isolation of PS and Conjugates
6.1.4. Derivatization
6.1.5. Internal Standard Addition for GC-MS Analysis of Silylated PS Derivatives
6.2. Gas Chromatography (GC) Analysis of PS and PS Esters
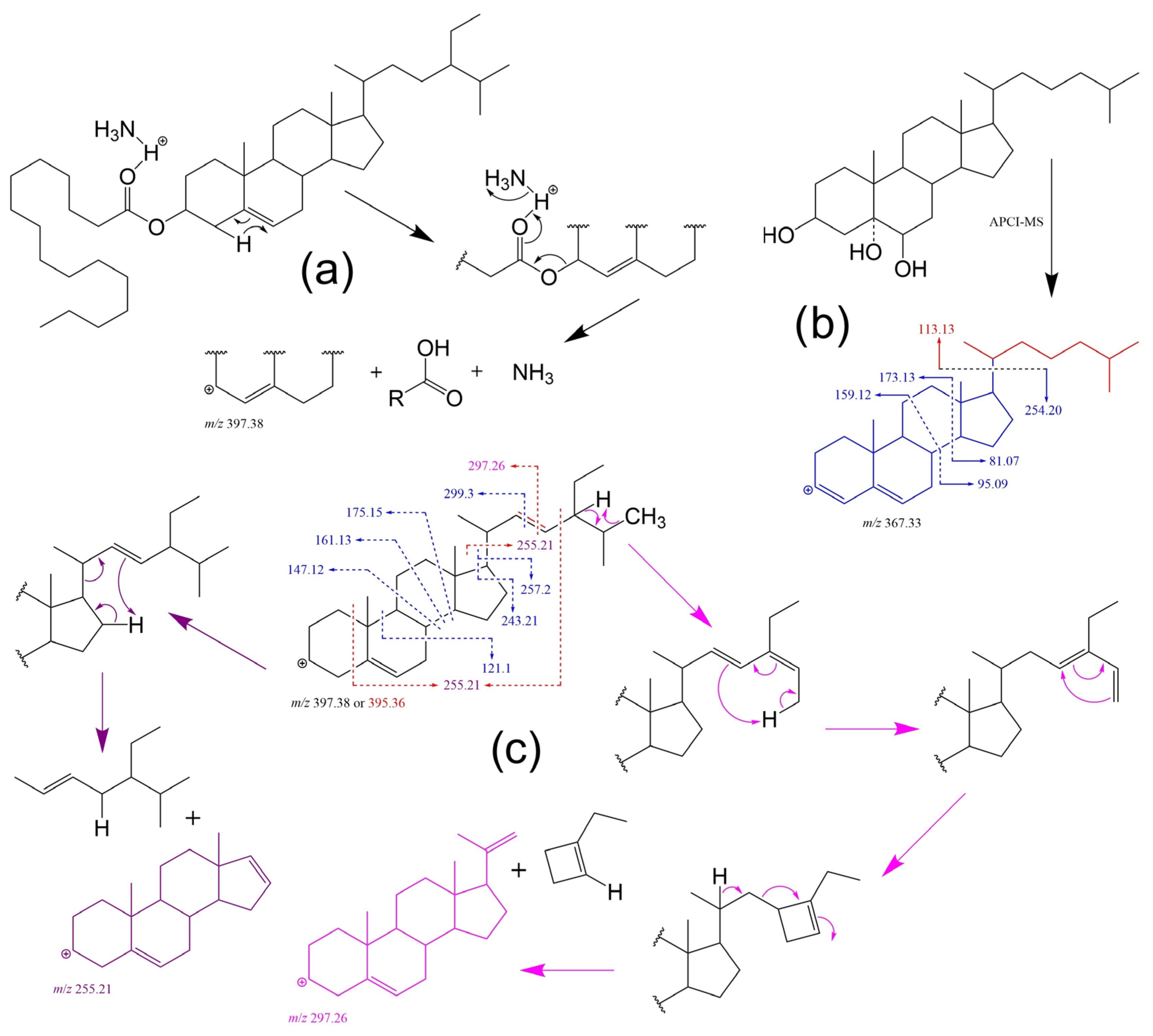
6.3. Liquid Chromatography-Mass Spectrometry (LC-MS) and Direct Injection MS(n) Approaches for the Analysis of Sterol Conjugates

6.4. Nuclear Magnetic Resonance (NMR)
6.5. X-ray Diffraction (XRD)
7. Applications of PS
7.1. Biologic Activity and Possible Pharmacological Applications
7.2. Prevention and Control of Hypercholesterolemia
7.3. Steroid Production
7.4. Other Applications
8. Production of PS
8.1. PS Mixture
8.2. Phytosterol Esters
8.3. Sitosterol
9. Final Considerations on Future Trends and Research
Author Contributions
Funding
Conflicts of Interest
References
- Burián, R. Über Sitosterin. Monatsh. Chem. 1897, 18, 551–574. [Google Scholar] [CrossRef]
- Anderson, R.J.; Shriner, R.L. The Phytosterols of Corn Oil. J. Am. Chem. Soc. 1926, 48, 2976–2986. [Google Scholar] [CrossRef]
- Anderson, R.J.; Shriner, R.L.; Burr, G.O. The Phytosterols of Wheat Germ Oil. J. Am. Chem. Soc. 1926, 48, 2987–2996. [Google Scholar] [CrossRef]
- Bloch, K. Sterol molecule: Structure, biosynthesis, and function. Steroids 1992, 57, 378–383. [Google Scholar] [CrossRef]
- Schoenheimer, R. New contributions in sterol metabolism. Science 1931, 74, 579–584. [Google Scholar] [CrossRef] [PubMed]
- Peterson, D.W. Effect of soybean sterols in the diet on plasma and liver cholesterol in chicks. Proc. Soc. Exp. Biol. Med. 1951, 78, 143–147. [Google Scholar] [CrossRef]
- Pollak, O.J. Reduction of blood cholesterol in man. Circulation 1953, 7, 702–706. [Google Scholar] [CrossRef] [PubMed]
- Moreau, R.A.; Whitaker, B.D.; Hicks, K.B. Phytosterols, phytostanols, and their conjugates in foods: Structural diversity, quantitative analysis, and health-promoting uses. Prog. Lipid Res. 2002, 41, 457–500. [Google Scholar] [CrossRef] [PubMed]
- Endo, A. A historical perspective on the discovery of statins. Proc. Jpn. Acad. Ser. B Phys. Biol. Sci. 2010, 86, 484–493. [Google Scholar] [CrossRef]
- Buț, M.-G.; Jîtcă, G.; Imre, S.; Vari, C.E.; Ősz, B.E.; Jîtcă, C.-M.; Tero-Vescan, A. The Lack of Standardization and Pharmacological Effect Limits the Potential Clinical Usefulness of Phytosterols in Benign Prostatic Hyperplasia. Plants 2023, 12, 1722. [Google Scholar] [CrossRef]
- Ulbricht, C.E. An Evidence-Based Systematic Review of Beta-Sitosterol, Sitosterol (22,23-dihydrostigmasterol, 24-ethylcholesterol) by the Natural Standard Research Collaboration. J. Diet Suppl. 2016, 13, 35–92. [Google Scholar] [CrossRef]
- Moreau, R.A. Chapter 7. Plant Sterols in Functional Foods. In Phytosterols as Functional Food Components and Nutraceuticals; Dutta, P.C., Ed.; Marcel Dekker Inc.: New York, NY, USA, 2003; pp. 317–346. ISBN 0-8247-4750-X. [Google Scholar]
- Zawistowski, J.; Jones, P. Regulatory Aspects Related to Plant Sterol and Stanol Supplemented Foods. J. AOAC Int. 2015, 98, 750–756. [Google Scholar] [CrossRef]
- Lednicer, D. Chapter 2—Sources of steroids. In Steroid Chemistry at a Glance; John Wiley & Sons Ltd.: Chichester, UK, 2011; pp. 20–26. ISBN 978-0-470-66085-0. [Google Scholar]
- Seeman, J.I. Percy Lavon Julian: A man who rose to every occasion. Proc. Natl. Acad. Sci. USA 2022, 119, e2208883119. [Google Scholar] [CrossRef]
- Das, S.; Gopishetty, S. Chapter 12—Steroids. In Industrial Microbiology; Wilson, D.B., Sahm, H., Stahmann, K.-P., Koffas, M., Eds.; Wiley-VCH: Weinheim, Germany, 2020; pp. 301–321. ISBN 978-3-527-69729-8. [Google Scholar]
- Donova, M. Microbial Steroid Production Technologies: Current Trends and Prospects. Microorganisms 2021, 10, 53. [Google Scholar] [CrossRef] [PubMed]
- Huang, F.; Zheng, M.; Shi, W.; Xiang, X.; Shi, J.; Deng, Q.; Li, W.; Wan, C. Method for Preparing Functional Edible Oil Rich in Phytosterol Esters and Diglycerides. U.S. Patent 20150289534A1, 15 October 2015. [Google Scholar]
- Imada, Y.; Takahashi, K. Process for Producing Steroidal Alcohols. U.S. Patent 4223091A, 16 September 1980. [Google Scholar]
- Kazantsev, A.V.; Savinova, T.S.; Lukashev, N.V.; Desyatkin, V.G.; Dovbnya, D.V.; Khomutov, S.M.; Sukhodolskaya, G.V.; Shutov, A.A.; Donova, M.V.; Egorova, O.V.; et al. Method of Obtaining Androst-4,9(11)-Dien-3,17-Dione from Phytosterol. RU Patent 2512076C1, 10 April 2014. [Google Scholar]
- Liu, X.Q.; Meng, H.; Yang, K. Method for Preparing Dehydroepiandrosterone by Microbial Fermentation. CN Patent 102816825B, 23 October 2013. [Google Scholar]
- Noh, S.K.; Kim, M.K.; Yoon, W.T.; Park, K.M.; Park, S.O. A Method for Preparation of Androst-4-Ene-3,17-Dione and Androsta-1,4-Diene-3,17-Dione. WO Patent 2002092830A1, 21 November 2002. [Google Scholar]
- Ritter, H.; van de Sande, R.L.; Muller, V. Liquid Fatty Component Containing Composition. U.S. Patent 6846507B1, 25 January 2005. [Google Scholar]
- Söderlind, E. New Use of Ethoxylated Phytosterols and Phytostanols. WO Patent 2003039511A1, 15 May 2003. [Google Scholar]
- Soderlind, E. Use of Ethoxylated Phytosterols and Phytostanols. U.S. Patent 20040254129A1, 16 December 2004. [Google Scholar]
- Veldhuizen, Y.S.J.; Weisbecker, R.T. Particulate Comprising Phytosterols and Food Compositions Comprising Said Creamer. WO Patent 2005074717A1, 18 August 2005. [Google Scholar]
- Glade, T.F.H.; Diaz, M.A.F.; Rojas, A.M. Phytosterol Dispersions. CA Patent 2753274C, 12 September 2017. [Google Scholar]
- Zhao, X.; Liu, X.; Meng, H.; Zeng, C.; Yang, F. Method for the Transformation and Separation of 9α-OH-AD and Methyl Esters of Phytosterols. CN Patent 110628860A, 31 December 2019. [Google Scholar]
- Chappel, J.; Saunders, C.A.; Wolf, F.R.; Cuellar, R.E. Method and Composition for Increasing Sterol Accumulation in Higher Plants. EP Patent 0480730B1, 5 March 2003. [Google Scholar]
- Charlemagne, D.; Bostyn, S.; Daguet, D. Sterol Recovering Method. WO Patent 2004111073A2, 23 December 2004. [Google Scholar]
- Czuppon, T.; Kemeny, Z.; Kovari, E.; Recseg, K. Process for Recovery of Plant Sterols from by-Product of Vegetable Oil Refining. WO Patent 2004000979, 31 December 2003. [Google Scholar]
- Hamunen, A. Process for the Isolation of Sterols and/or Wax Alcohols from Tall Oil Products. WO Patent 2003022865A1, 20 March 2003. [Google Scholar]
- Hamunen, A.; Ukkonen, K. Process for the Purification of Sterols from Hydrocarbon Extracts Using Evaporative Fractionation. WO Patent 2000064924A1, 2 November 2000. [Google Scholar]
- Higgins, J.D., III. Preparation of Sterol and Stanol-Esters. U.S. Patent 6147236A, 14 November 2000. [Google Scholar]
- Horlacher, P.; Hietsch, D.; Albiez, W.; Timmermann, F.; Beck, K. Sterol Esters Having Short-Chained Fatty Acids. WO Patent 2007101580A3, 18 October 2007. [Google Scholar]
- Hu, X.; Chen, H.; Jiang, M.; Dong, X.; Liu, C.; Wei, F.; Zhang, Y.; Huang, F. Method for Producing Plant Sterol Ester by Immobilized Whole-Cell Enzyme Catalysis in Solvent-Free System. CN Patent 101200754B, 2 June 2010. [Google Scholar]
- Huibers, D.T.A.; Robbins, A.M.; Sullivan, D.H. Method for Separating Sterols from Tall Oil. WO Patent 2000015652, 23 March 2000. [Google Scholar]
- Rohr, R.; Rohr, R.; Trujillo-Quijano, J.A. Process for Separating Unsaponifiable Valuable Products from Raw Materials. U.S. Patent 6846941B2, 25 January 2005. [Google Scholar]
- Wong, A.; Boguski, W.N. Preparation of Saturated Phytosterols. CA Patent 2267929A1, 6 October 2000. [Google Scholar]
- Wester, I.; Ekblom, J. Novel Compositions of Phytosterol and Phytostanol Fatty Acid Esters, Products Containing Them and Processes for Their Preparation. FI Patent 111513B, 15 August 2003. [Google Scholar]
- Zou, J.; Chen, Q. Increased Phytosterol Content through Overexpression of an Acyl-Coa Sterol Acyltransferase. WO Patent 2007112536A1, 11 October 2007. [Google Scholar]
- Goad, L.J.; Akihisa, T. Analysis of Sterols; Chapman & Hall: London, UK, 1997; pp. 1–314. ISBN 978-94-010-7147-5. [Google Scholar] [CrossRef]
- Ikekawa, N.; Fujimoto, Y.; Kadota, S.; Kikuchi, T. Effective separation of sterol C-24 epimers. J. Chromatogr. A 1989, 468, 91–98. [Google Scholar] [CrossRef]
- Dewick, P.M. The mevalonate and methylerythritol phosphate pathways: Terpenoids and steroids. In Medicinal Natural Products. A Biosynthetic Approach, 3rd ed.; John Wiley & Sons: Chichester, UK, 2009; pp. 187–306. ISBN 978-0-470-74168-9. [Google Scholar]
- Axelos, M.; Péaud-Lenoël, C. Steryl Glycosides. In Plant Carbohydrates I Intracellular Carbohydrates; Encyclopedia of Plant Physiology; Loewus, F.A., Tanner, W., Eds.; Springer: Berlin/Heidelberg, Germany, 1982; Volume 13, ISBN 978-3-642-68277-3. [Google Scholar] [CrossRef]
- Akiyama, H.; Ide, M.; Nagatsuka, Y.; Sayano, T.; Nakanishi, E.; Uemura, N.; Yuyama, K.; Yamaguchi, Y.; Kamiguchi, H.; Takahashi, R.; et al. Glucocerebrosidases catalyze a transgalactosylation reaction that yields a newly-identified brain sterol metabolite, galactosylated cholesterol. J. Biol. Chem. 2020, 295, 5257–5277. [Google Scholar] [CrossRef] [PubMed]
- Hirai, Y.; Haque, M.; Yoshida, T.; Yokota, K.; Yasuda, T.; Oguma, K. Unique cholesteryl glucosides in Helicobacter pylori: Composition and structural analysis. J. Bacteriol. 1995, 177, 5327–5333. [Google Scholar] [CrossRef]
- Münger, L.H.; Boulos, S.; Nyström, L. UPLC-MS/MS Based Identification of Dietary Steryl Glucosides by Investigation of Corresponding Free Sterols. Front. Chem. 2018, 6, 342. [Google Scholar] [CrossRef]
- Heinz, P.; Glomb, M.A. Characterization and Quantitation of Steryl Glycosides in Solanum melongena. J. Agric. Food Chem. 2018, 66, 11398–11406. [Google Scholar] [CrossRef]
- Akihisa, T.; Yasukawa, K.; Yamaura, M.; Ukiya, M.; Kimura, Y.; Shimizu, N.; Arai, K. Triterpene alcohol and sterol ferulates from rice bran and their anti-inflammatory effects. J. Agric. Food Chem. 2000, 48, 2313–2319. [Google Scholar] [CrossRef]
- Zhu, D.; Nyström, L. Differentiation of rice varieties using small bioactive lipids as markers. Eur. J. Lipid Sci. Technol. 2015, 117, 1578–1588. [Google Scholar] [CrossRef]
- Takagi, T.; Iida, T. Antioxidant for fats and oils from canary seed—Sterol and triterpene alcohol esters of caffeic acid. J. Am. Oil Chem. Soc. 1980, 57, 326–330. [Google Scholar] [CrossRef]
- Aladedunye, F.; Przybylski, R.; Rudzinska, M.; Klensporf-Pawlik, D. γ-Oryzanols of North American Wild Rice (Zizania palustris). J. Am. Oil Chem. Soc. 2013, 90, 1101–1109. [Google Scholar] [CrossRef]
- Kuzuyama, T.; Seto, H. Two distinct pathways for essential metabolic precursors for isoprenoid biosynthesis. Proc. Jpn. Acad. Ser. B Phys. Biol. Sci. 2012, 88, 41–52. [Google Scholar] [CrossRef]
- Ohyama, K.; Suzuki, M.; Kikuchi, J.; Saito, K.; Muranaka, T. Dual biosynthetic pathways to phytosterol via cycloartenol and lanosterol in Arabidopsis. Proc. Natl. Acad. Sci. USA 2009, 106, 725–730. [Google Scholar] [CrossRef]
- Korber, M.; Klein, I.; Daum, G. Steryl ester synthesis, storage and hydrolysis: A contribution to sterol homeostasis. Biochim. Biophys. Acta Mol. Cell Biol. Lipids. 2017, 1862, 1534–1545. [Google Scholar] [CrossRef] [PubMed]
- Lara, J.A.; Burciaga-Monge, A.; Chávez, A.; Revés, M.; Lavilla, R.; Arró, M.; Boronat, A.; Altabella, T.; Ferrer, A. Identification and Characterization of Sterol Acyltransferases Responsible for Steryl Ester Biosynthesis in Tomato. Front. Plant Sci. 2018, 9, 588. [Google Scholar] [CrossRef]
- Dyas, L.; Goad, L.J. Steryl fatty acyl esters in plants. Phytochemistry 1993, 34, 17–29. [Google Scholar] [CrossRef]
- Nes, W.D. Biosynthesis of cholesterol and other sterols. Chem. Rev. 2011, 111, 6423–6451. [Google Scholar] [CrossRef]
- Darnet, S.; Blary, A.; Chevalier, Q.; Schaller, H. Phytosterol Profiles, Genomes and Enzymes—An Overview. Front. Plant Sci. 2021, 12, 665206. [Google Scholar] [CrossRef]
- Grosjean, K.; Mongrand, S.; Beney, L.; Simon-Plas, F.; Gerbeau-Pissot, P. Differential effect of plant lipids on membrane organization: Specificities of phytosphingolipids and phytosterols. J. Biol. Chem. 2015, 290, 5810–5825. [Google Scholar] [CrossRef]
- Beck, J.G.; Mathieu, D.; Loudet, C.; Buchoux, S.; Dufourc, E.J. Plant sterols in “rafts”: A better way to regulate membrane thermal shocks. FASEB J. 2007, 21, 1714–1723. [Google Scholar] [CrossRef] [PubMed]
- Grandmougin-Ferjani, A.; Schuler-Muller, I.; Hartmann, M.A. Sterol Modulation of the Plasma Membrane H+-ATPase Activity from Corn Roots Reconstituted into Soybean. Lipids Plant Physiol. 1997, 113, 163–174. [Google Scholar] [CrossRef]
- Yokota, T. The structure, biosynthesis, and function of brassinosteroids. Trends Plant Sci. 1997, 2, 137–143. [Google Scholar] [CrossRef]
- Sonawane, P.D.; Pollier, J.; Panda, S.; Szymanski, J.; Massalha, H.; Yona, M.; Unger, T.; Malitsky, S.; Arendt, P.; Pauwels, L.; et al. Plant cholesterol biosynthetic pathway overlaps with phytosterol metabolism. Nat. Plants 2016, 3, 16205. [Google Scholar] [CrossRef]
- Schrick, K.; Mayer, U.; Martin, G.; Bellini, C.; Kuhnt, C.; Schmidt, J.; Jürgens, G. Interactions between sterol biosynthesis genes in embryonic development of Arabidopsis. Plant J. 2002, 31, 61–73. [Google Scholar] [CrossRef] [PubMed]
- Schrick, K.; Mayer, U.; Horrichs, A.; Kuhnt, C.; Bellini, C.; Dangl, J.; Schmidt, J.; Jürgens, G. FACKEL is a sterol C-14 reductase required for organized cell division and expansion in Arabidopsis embryogenesis. Genes Dev. 2000, 14, 1471–1484. [Google Scholar] [CrossRef]
- Luo, M.; Xiao, Y.; Li, X.; Lu, X.; Deng, W.; Li, D.; Hou, L.; Hu, M.; Li, Y.; Pei, Y. GhDET2, a steroid 5alpha-reductase, plays an important role in cotton fiber cell initiation and elongation. Plant J. 2007, 51, 419–430. [Google Scholar] [CrossRef]
- Willemsen, V.; Friml, J.; Grebe, M.; van den Toorn, A.; Palme, K.; Scheres, B. Cell polarity and PIN protein positioning in Arabidopsis require STEROL METHYLTRANSFERASE1 function. Plant Cell 2003, 15, 612–625. [Google Scholar] [CrossRef]
- Schrick, K.; Fujioka, S.; Takatsuto, S.; Stierhof, Y.D.; Stransky, H.; Yoshida, S.; Jurgens, G. A link between sterol biosynthesis, the cell wall, and cellulose in Arabidopsis. Plant J. 2004, 38, 227–243. [Google Scholar] [CrossRef]
- Schrick, K.; Debolt, S.; Bulone, V. Deciphering the molecular functions of sterols in cellulose biosynthesis. Front. Plant Sci. 2012, 3, 84. [Google Scholar] [CrossRef] [PubMed]
- Yu, L.; Fan, J.; Zhou, C.; Xu, C. Sterols are required for the coordinated assembly of lipid droplets in developing seeds. Nat. Commun. 2021, 12, 5598. [Google Scholar] [CrossRef]
- Souter, M.; Topping, J.; Pullen, M.; Friml, J.; Palme, K.; Hackett, R.; Grierson, D.; Lindsey, K. Hydra mutants of Arabidopsis are defective in sterol profiles and auxin and ethylene signaling. Plant Cell 2002, 14, 1017–1031. [Google Scholar] [CrossRef] [PubMed]
- Souter, M.A.; Pullen, M.L.; Topping, J.F.; Zhang, X.; Lindsey, K. Rescue of defective auxin-mediated gene expression and root meristem function by inhibition of ethylene signalling in sterol biosynthesis mutants of Arabidopsis. Planta 2004, 219, 773–783. [Google Scholar] [CrossRef] [PubMed]
- Griebel, T.; Zeier, J. A role for β-sitosterol to stigmasterol conversion in plant–pathogen interactions. Plant J. 2010, 63, 254–268. [Google Scholar] [CrossRef]
- Kopischke, M.; Westphal, L.; Schneeberger, K.; Clark, R.; Ossowski, S.; Wewer, V.; Fuchs, R.; Landtag, J.; Hause, G.; Dörmann, P.; et al. Impaired sterol ester synthesis alters the response of Arabidopsis thaliana to Phytophthora infestans. Plant J. 2013, 73, 456–468. [Google Scholar] [CrossRef]
- Wang, K.; Senthil-Kumar, M.; Ryu, C.-M.; Kang, L.; Mysore, K.S. Phytosterols play a key role in plant innate immunity against bacterial pathogens by regulating nutrient efflux into the apoplast. Plant Physiol. 2012, 158, 1789–1802. [Google Scholar] [CrossRef]
- Kumar, M.S.; Ali, K.; Dahuja, A.; Tyagi, A. Role of phytosterols in drought stress tolerance in rice. Plant Physiol. Biochem. 2015, 96, 83–89. [Google Scholar] [CrossRef]
- Kumar, M.S.; Mawlong, I.; Ali, K.; Tyagi, A. Regulation of phytosterol biosynthetic pathway during drought stress in rice. Plant Physiol. Biochem. 2018, 129, 11–20. [Google Scholar] [CrossRef] [PubMed]
- Posé, D.; Castanedo, I.; Borsani, O.; Nieto, B.; Rosado, A.; Taconnat, L.; Ferrer, A.; Dolan, L.; Valpuesta, V.; Botella, M.A. Identification of the Arabidopsis dry2/sqe1-5 mutant reveals a central role for sterols in drought tolerance and regulation of reactive oxygen species. Plant J. 2009, 59, 63–76. [Google Scholar] [CrossRef]
- Wagatsuma, T.; Khan, M.S.H.; Watanabe, T.; Maejima, E.; Sekimoto, H.; Yokota, T.; Nakano, T.; Toyomasu, T.; Tawaraya, K.; Koyama, H.; et al. Higher sterol content regulated by CYP51 with concomitant lower phospholipid content in membranes is a common strategy for aluminium tolerance in several plant species. J. Exp. Bot. 2014, 66, 907–918. [Google Scholar] [CrossRef] [PubMed]
- Takshak, S.; Agrawal, S.B. Alterations in metabolite profile and free radical scavenging activities of Withania somnifera leaf and root extracts under supplemental ultraviolet-B radiation. Acta Physiol. Plant. 2015, 37, 260. [Google Scholar] [CrossRef]
- Kuczyńska, A.; Cardenia, V.; Ogrodowicz, P.; Kempa, M.; Rodriguez-Estrada, M.T.; Mikołajczak, K. Effects of multiple abiotic stresses on lipids and sterols profile in barley leaves (Hordeum vulgare L.). Plant Physiol. Biochem. 2019, 141, 215–224. [Google Scholar] [CrossRef] [PubMed]
- Mishra, M.K.; Singh, G.; Tiwari, S.; Singh, R.; Kumari, N.; Misra, P. Characterization of Arabidopsis sterol glycosyltransferase TTG15/UGT80B1 role during freeze and heat stress. Plant Signal. Behav. 2015, 10, e1075682. [Google Scholar] [CrossRef] [PubMed]
- Rogowska, A.; Szakiel, A. The role of sterols in plant response to abiotic stress. Phytochem. Rev. 2020, 19, 1525–1538. [Google Scholar] [CrossRef]
- Senthil-Kumar, M.; Wang, K.; Mysore, K.S. AtCYP710A1 gene-mediated stigmasterol production plays a role in imparting temperature stress tolerance in Arabidopsis thaliana. Plant Signal. Behav. 2013, 8, e23142. [Google Scholar] [CrossRef] [PubMed]
- Valitova, J.; Renkova, A.; Mukhitova, F.; Dmitrieva, S.; Beckett, R.P.; Minibayeva, F.V. Membrane sterols and genes of sterol biosynthesis are involved in the response of Triticum aestivum seedlings to cold stress. Plant Physiol. Biochem. 2019, 142, 452–459. [Google Scholar] [CrossRef]
- Feng, S.; Belwal, T.; Li, L.; Limwachiranon, J.; Liu, X.; Luo, Z. Phytosterols and their derivatives: Potential health-promoting uses against lipid metabolism and associated diseases, mechanism, and safety issues. Compr. Rev. Food Sci. Food Saf. 2020, 19, 1243–1267. [Google Scholar] [CrossRef] [PubMed]
- Jie, F.; Yang, X.; Wu, L.; Wang, M.; Lu, B. Linking phytosterols and oxyphytosterols from food to brain health: Origins, effects, and underlying mechanisms. Crit. Rev. Food Sci. Nutr. 2022, 62, 3613–3630. [Google Scholar] [CrossRef]
- Dutta, P.C.; Przybylski, R.; Eskin, M.N.; Appelqvist, L.-A. Formation, analysis, and health effects of oxidized sterols in frying fat. In Deep Frying, 2nd ed.; Erickson, M.D., Ed.; AOCS Press: Urbana, IL, USA, 2007; pp. 111–164. ISBN 978-1-893997-92-9. [Google Scholar] [CrossRef]
- Hovenkamp, E.; Demonty, I.; Plat, J.; Lütjohann, D.; Mensink, R.P.; Trautwein, E.A. Biological effects of oxidized phytosterols: A review of the current knowledge. Prog. Lipid Res. 2008, 47, 37–49. [Google Scholar] [CrossRef]
- Hu, Y.; Huang, W.; Li, M.; Wang, M.; Zhao, Y.; Xu, T.; Zhang, L.; Lu, B.; He, Y. Metal ions accelerated phytosterol thermal degradation on Ring A & Ring B of steroid nucleus in oils. Food Res. Int. 2017, 100 Pt 2, 219–226. [Google Scholar] [CrossRef]
- Smith, L.L. Chapter IV—Initial events of autoxidation. In Cholesterol Autoxidation, 1st ed.; Springer: New York, NY, USA, 1981; pp. 125–199. ISBN 978-1-4757-9693-3. [Google Scholar] [CrossRef]
- Conchillo, A.; Cercaci, L.; Ansorena, D.; Rodriguez-Estrada, M.T.; Lercker, G.; Astiasarán, I. Levels of phytosterol oxides in enriched and nonenriched spreads: Application of a thin-layer chromatography-gas chromatography methodology. J. Agric. Food Chem. 2005, 53, 7844–7850. [Google Scholar] [CrossRef]
- Johnsson, L.; Dutta, P.C. Determination of phytosterol oxides in some food products by using an optimized transesterification method. Food Chem. 2006, 97, 606–613. [Google Scholar] [CrossRef]
- Soupas, L.; Juntunen, L.; Säynäjoki, S.; Lampi, A.M.; Piironen, V. GC-MS method for characterisation and quantification of sitostanol oxidation products. J. Am. Oil Chem. Soc. 2004, 81, 135–141. [Google Scholar] [CrossRef]
- Lengyel, J.; Rimarcík, J.; Vagánek, A.; Fedor, J.; Lukeš, V.; Klein, E. Oxidation of sterols: Energetics of C–H and O–H bond cleavage. Food Chem. 2012, 133, 1435–1440. [Google Scholar] [CrossRef]
- Martins, I.R.; Onuki, J.; Miyamoto, S.; Uemi, M. Characterization of oxyphytosterols generated by β-sitosterol ozonization. Arch. Biochem. Biophys. 2020, 689, 108472. [Google Scholar] [CrossRef]
- Johnsson, L.; Dutta, P.C. Characterization of side-chain oxidation products of sitosterol and campesterol by chromatographic and spectroscopic methods. J. Am. Oil Chem. Soc. 2003, 80, 767–776. [Google Scholar] [CrossRef]
- Johnsson, L.; Andersson, R.E.; Dutta, P.C. Side-chain autoxidation of stigmasterol and analysis of a mixture of phytosterol oxidation products by chromatographic and spectroscopic methods. J. Am. Oil Chem. Soc. 2003, 80, 777–783. [Google Scholar] [CrossRef]
- Giuffrida, F.; Destaillats, F.; Robert, F.; Skibsted, L.H.; Dionisi, F. Formation and hydrolysis of triacylglycerol and sterols epoxides: Role of unsaturated triacylglycerol peroxyl radicals. Free Radic. Biol. Med. 2004, 37, 104–114. [Google Scholar] [CrossRef]
- Derewiaka, D.; Obiedzinski, M. Phytosterol oxides content in selected thermally processed products. Eur. Food Res. Technol. 2012, 234, 703–712. [Google Scholar] [CrossRef]
- Finocchiaro, E.T.; Richardson, T. Sterol Oxides in Foodstuffs: A Review. J. Food Prot. 1983, 46, 917–925. [Google Scholar] [CrossRef]
- Soupas, L.; Huikko, L.; Lampi, A.M.; Piironen, V. Pan-frying may induce phytosterol oxidation. Food Chem. 2007, 101, 286–297. [Google Scholar] [CrossRef]
- Soupas, L.; Juntunen, L.; Lampi, A.M.; Piironen, V. Effects of sterol structure, temperature, and lipid medium on phytosterol oxidation. J. Agric. Food Chem. 2004, 52, 6485–6491. [Google Scholar] [CrossRef] [PubMed]
- Zhang, X.; Julien-David, D.; Miesch, M.; Raul, F.; Geoffroy, P.; Aoude-Werner, D.; Ennahar, S.; Marchioni, E. Quantitative analysis of beta-sitosterol oxides induced in vegetable oils by natural sunlight, artificially generated light, and irradiation. J. Agric. Food Chem. 2006, 54, 5410–5415. [Google Scholar] [CrossRef] [PubMed]
- Chaijan, M.; Panpipat, W. Instability of β-sitosteryl oleate and β-sitosterol loaded in oil-in-water emulsion. NFS J. 2020, 21, 22–27. [Google Scholar] [CrossRef]
- Kasprzak, M.; Rudzińska, M.; Kmiecik, D.; Przybylski, R.; Olejnik, A. Acyl moiety and temperature affects thermo-oxidative degradation of steryl esters. Cytotoxicity of the degradation products. Food Chem. Toxicol. 2020, 136, 111074. [Google Scholar] [CrossRef]
- Miyamoto, S.; Limam, R.S.; Inague, A.; Viviani, L.G. Electrophilic oxysterols: Generation, measurement and protein modification. Free Radic. Res. 2021, 55, 416–440. [Google Scholar] [CrossRef] [PubMed]
- Zschau, W. Bleaching of edible fats and oils IX. Legal and analytical aspects of bleaching from the working group “Technologies of industrial extraction and processing of edible fats”. Eur. J. Lipid Sci. Technol. 2001, 103, 117–122. [Google Scholar] [CrossRef]
- Schulte, E.; Weber, N. Analysis of disteryl ethers. Lipids 1987, 22, 1049–1052. [Google Scholar] [CrossRef]
- Rudzinska, M.; Przybylski, R.; Zhao, Y.Y.; Curtis, J.M. Sitosterol thermo-oxidative degradation leads to the formation of dimers, trimers and oligomers: A study using combined size exclusion chromatography/mass spectrometry. Lipids 2010, 45, 549–558. [Google Scholar] [CrossRef]
- Struijs, K.; Lampi, A.M.; Ollilainen, V.; Piironen, V. Dimer formation during the thermo-oxidation of stigmasterol. Eur. Food Res. Technol. 2010, 231, 853–863. [Google Scholar] [CrossRef]
- Zmysłowski, A.; Sitkowski, J.; Bus, K.; Ofiara, K.; Szterk, A. Synthesis and search for 3β,3′β-disteryl ethers after high-temperature treatment of sterol-rich samples. Food Chem. 2020, 329, 127132. [Google Scholar] [CrossRef]
- Zmysłowski, A.; Sitkowski, J.; Bus, K.; Michalska, K.; Szterk, A. Synthesis of Oxidized 3β,3′β-Disteryl Ethers and Search after High-Temperature Treatment of Sterol-Rich Samples. Int. J. Mol. Sci. 2021, 22, 10421. [Google Scholar] [CrossRef]
- Lehtonen, M.; Lampi, A.-M.; Agalga, F.; Struijs, K.; Piironen, V. The effects of acyl moiety and temperature on the polymerization of sterols. Eur. J. Lipid Sci. Technol. 2011, 114, 677–686. [Google Scholar] [CrossRef]
- He, W.S.; Zhu, H.; Chen, Z.Y. Plant Sterols: Chemical and Enzymatic Structural Modifications and Effects on Their Cholesterol-Lowering Activity. J. Agric. Food Chem. 2018, 66, 3047–3062. [Google Scholar] [CrossRef]
- Ng, A.W.; Lukic, T.; Pritchard, P.H.; Wasan, K.M. Development of novel water-soluble phytostanol analogs: Disodium ascorbyl phytostanyl phosphates (FM-VP4): Preclinical pharmacology, pharmacokinetics and toxicology. Cardiovasc. Drug Rev. 2003, 21, 151–168. [Google Scholar] [CrossRef]
- Xia, X.; Ren, M.; He, W.S.; Jia, C.; Zhang, X. The preparation of phytosteryl succinyl sucrose esters and improvement of their water solubility and emulsifying properties. Food Chem. 2022, 373, 131501. [Google Scholar] [CrossRef] [PubMed]
- Folmer, B.M. Sterol surfactants: From synthesis to applications. Adv. Colloid Interface Sci. 2003, 103, 99–119. [Google Scholar] [CrossRef]
- Holmberg, K. Natural surfactants. COCIS 2001, 6, 148–159. [Google Scholar] [CrossRef]
- Madawala, S.R.P.; Andersson, R.E.; Jastrebova, J.A.; Almeida, M.; Dutta, P.C. Phytosterol and α-Lipoic Acid Conjugates: Synthesis, Free Radical Scavenging Capacity and RP-LC-MS-APCI Analysis. Polish J. Food Nutr. Sci. 2012, 62, 159–169. [Google Scholar] [CrossRef]
- Wang, Z.; Hwang, S.H.; Lim, S.S. Lipophilization of phenolic acids with phytosterols by a chemoenzymatic method to improve their antioxidant activities. Eur. J. Lipid Sci. Technol. 2015, 117, 1037–1048. [Google Scholar] [CrossRef]
- Tan, Z.; Shahidi, F. Chemoenzymatic synthesis of phytosteryl ferulates and evaluation of their antioxidant activity. J. Agric. Food Chem. 2011, 59, 12375–12383. [Google Scholar] [CrossRef]
- Rabiej-Kozioł, D.; Krzemiński, M.P.; Szydłowska-Czerniak, A. Steryl Sinapate as a New Antioxidant to Improve Rapeseed Oil Quality during Accelerated Shelf Life. Materials 2021, 14, 3092. [Google Scholar] [CrossRef]
- Schar, A.; Liphardt, S.; Nystrom, L. Enzymatic synthesis of steryl hydroxycinnamates and their antioxidant activity. Eur. J. Lipid Sci. Technol. 2017, 119, 1600267. [Google Scholar] [CrossRef]
- Rabiej-Kozioł, D.; Krzemiński, M.P.; Szydłowska-Czerniak, A. Synthesis of Steryl Hydroxycinnamates to Enhance Antioxidant Activity of Rapeseed Oil and Emulsions. Materials 2020, 13, 4536. [Google Scholar] [CrossRef]
- Tan, Z.; Shahidi, F. A novel chemoenzymatic synthesis of phytosteryl caffeates and assessment of their antioxidant activity. Food Chem. 2012, 133, 1427–1434. [Google Scholar] [CrossRef]
- Wang, S.; Ye, K.; Shu, T.; Tang, X.; Wang, X.J.; Liu, S. Enhancement of Galloylation Efficacy of Stigmasterol and β-Sitosterol Followed by Evaluation of Cholesterol-Reducing Activity. J. Agric. Food Chem. 2019, 67, 3179–3187. [Google Scholar] [CrossRef]
- Wang, H.; Jia, C.; Xia, X.; Karangwa, E.; Zhang, X. Enzymatic synthesis of phytosteryl lipoate and its antioxidant properties. Food Chem. 2018, 240, 736–742. [Google Scholar] [CrossRef]
- Ras, R.T.; Hiemstra, H.; Lin, Y.; Vermeer, M.A.; Duchateau, G.S.; Trautwein, E.A. Consumption of plant sterol-enriched foods and effects on plasma plant sterol concentrations-a meta-analysis of randomized controlled studies. Atherosclerosis 2013, 230, 336–346. [Google Scholar] [CrossRef]
- Piironen, V.; Lampi, A.-M. 1. Occurrence and Levels of Phytosterols in Foods. In Phytosterols as Functional Food Components and Nutraceuticals, 1st ed.; Dutta, P.C., Ed.; Marcel Dekker: New York, NY, USA, 2004; pp. 1–32. ISBN 0-8247-4750-X. [Google Scholar]
- Awad, A.B.; Chan, K.C.; Downie, A.C.; Fink, C.S. Peanuts as a source of β-Sitosterol, a sterol with anticancer properties. Nutr. Cancer 2000, 36, 238–241. [Google Scholar] [CrossRef]
- Duester, K.C. Avocado fruit is a rich source of beta-sitosterol. J. Am. Diet. Assoc. 2001, 101, 404–405. [Google Scholar] [CrossRef]
- D’Evoli, L.; Lucarini, M.; Gabrielli, P.; Aguzzi, A.; Lombardi-Boccia, G. Nutritional Value of Italian Pistachios from Bronte (Pistacia vera, L.), Their Nutrients, Bioactive Compounds and Antioxidant Activity. Food Nutr. Sci. 2015, 6, 1267–1276. [Google Scholar] [CrossRef]
- Chong, W.T.; Lee, Y.Y.; Tang, T.K.; Phuah, E.T. Minor Components in Edible Oil. In Recent Advances in Edible Fats and Oils Technology; Lee, Y., Tang, T.K., Phuah, E.T., Lai, O.M., Eds.; Springer: Singapore, 2022; pp. 141–187. ISBN 978-981-16-5113-7. [Google Scholar] [CrossRef]
- Behrman, E.J.; Gopalan, V. Cholesterol and plants. J. Chem. Educ. 2005, 82, 1791–1793. [Google Scholar] [CrossRef]
- Brzeska, M.; Szymczyk, K.; Szterk, A. Current Knowledge about Oxysterols: A Review. J. Food Sci. 2016, 81, R2299–R2308. [Google Scholar] [CrossRef] [PubMed]
- EFSA NDA Panel (EFSA Panel on Nutrition, Novel Foods and Food Allergens); Turck, D.; Castenmiller, J.; De Henauw, S.; Hirsch-Ernst, K.I.; Kearney, J.; Maciuk, A.; Mangelsdorf, I.; McArdle, H.J.; Naska, A.; et al. Scientific Opinion on the safety of the extension of use of plant sterol esters as a novel food pursuant to Regulation (EU) 2015/2283. EFSA J. 2020, 18, 6135. [Google Scholar] [CrossRef]
- Garcia-Llatas, G.; Mercatante, D.; López-García, G.; Rodriguez-Estrada, M.T. Oxysterols—How much do we know about food occurrence, dietary intake and absorption? Curr. Opin. Food Sci. 2021, 41, 231–239. [Google Scholar] [CrossRef]
- Menéndez-Carreño, M.; Knol, D.; Janssen, H.G. Development and validation of methodologies for the quantification of phytosterols and phytosterol oxidation products in cooked and baked food products. J. Chromatogr. A 2016, 1428, 316–325. [Google Scholar] [CrossRef] [PubMed]
- Ostlund, R.E., Jr.; McGill, J.B.; Zeng, C.M.; Covey, D.F.; Stearns, J.; Stenson, W.F.; Spilburg, C.A. Gastrointestinal absorption and plasma kinetics of soy Delta(5)-phytosterols and phytostanols in humans. Am. J. Physiol. Endocrinol. Metab. 2002, 282, E911–E916. [Google Scholar] [CrossRef]
- Kritchevsky, D.; Werthessen, N.T.; Shapiro, I.L.; Nair, P.P.; Turner, D.A. Transfer of radioactivity of cholesterol-7-a3 H to fatty acids in tissue lipids in vivo. Nature 1965, 207, 194–195. [Google Scholar] [CrossRef]
- Duchateau, G.; Cochrane, B.; Windebank, S.; Herudzinska, J.; Sanghera, D.; Burian, A.; Müller, M.; Zeitlinger, M.; Lappin, G. Absolute oral bioavailability and metabolic turnover of β-sitosterol in healthy subjects. Drug Metab. Dispos. 2012, 40, 2026–2030. [Google Scholar] [CrossRef]
- Yoshida, H.; Tada, H.; Ito, K.; Kishimoto, Y.; Yanai, H.; Okamura, T.; Ikewaki, K.; Inagaki, K.; Shoji, T.; Bujo, H.; et al. Reference Intervals of Serum Non-Cholesterol Sterols by Gender in Healthy Japanese Individuals. J. Atheroscler. Thromb. 2020, 27, 409–417. [Google Scholar] [CrossRef] [PubMed]
- Fassbender, K.; Lutjohann, D.; Dik, M.G.; Bremmer, M.; Konig, J.; Walter, S.; Liu, Y.; Letiembre, M.; von Bergmann, K.; Jonker, C. Moderately elevated plant sterol levels are associated with reduced cardiovascular risk–the LASA study. Atherosclerosis 2008, 196, 283–288. [Google Scholar] [CrossRef] [PubMed]
- Nghiem-Rao, T.H.; Tunc, I.; Mavis, A.M.; Cao, Y.; Polzin, E.M.; Firary, M.F.; Wang, X.; Simpson, P.M.; Patel, S.B. Kinetics of phytosterol metabolism in neonates receiving parenteral nutrition. Pediatr. Res. 2015, 78, 181–189. [Google Scholar] [CrossRef] [PubMed]
- Baumgartner, S.; Mensink, R.P.; Husche, C.; Lütjohann, D.; Plat, J. Effects of plant sterol- or stanol-enriched margarine on fasting plasma oxyphytosterol concentrations in healthy subjects. Atherosclerosis 2013, 227, 414–419. [Google Scholar] [CrossRef] [PubMed][Green Version]
- Husche, C.; Weingärtner, O.; Pettersson, H.; Vanmierlo, T.; Böhm, M.; Laufs, U.; Lütjohann, D. Validation of an isotope dilution gas chromatography-mass spectrometry method for analysis of 7-oxygenated campesterol and sitosterol in human serum. Chem. Phys. Lipids 2011, 164, 425–431. [Google Scholar] [CrossRef]
- Menéndez-Carreño, M.; Steenbergen, H.; Janssen, H.G. Development and validation of a comprehensive two-dimensional gas chromatography-mass spectrometry method for the analysis of phytosterol oxidation products in human plasma. Anal. Bioanal. Chem. 2012, 402, 2023–2032. [Google Scholar] [CrossRef]
- Kulig, W.; Cwiklik, L.; Jurkiewicz, P.; Rog, T.; Vattulainen, I. Cholesterol oxidation products and their biological importance. Chem. Phys. Lipids 2016, 199, 144–160. [Google Scholar] [CrossRef]
- Schött, H.F.; Luister, A.; Husche, C.; Schäfers, H.J.; Böhm, M.; Plat, J.; Lütjohann, D.; Laufs, U.; Weingärtner, O. The relationships of phytosterols and oxyphytosterols in plasma and aortic valve cusps in patients with severe aortic stenosis. Biochem. Biophys. Res. Commun. 2014, 446, 805–810. [Google Scholar] [CrossRef]
- Baumgartner, S.; Lütjohann, D.; Husche, C.; Kerksiek, A.; Groen, A.K.; Mensink, R.P.; Plat, J. Plasma oxyphytosterols most likely originate from hepatic oxidation and subsequent spill-over in the circulation. J. Steroid Biochem. Mol. Biol. 2022, 216, 106039. [Google Scholar] [CrossRef] [PubMed]
- Aringer, L.; Eneroth, P.; Nordström, L. Side chain hydroxylation of cholesterol, campesterol and beta-sitosterol in rat liver mitochondria. J. Lipid Res. 1976, 17, 263–272. [Google Scholar] [CrossRef]
- Subbiah, M.T.; Kuksis, A. Differences in metabolism of cholesterol and sitosterol following intravenous injection in rats. Biochim. Biophys. Acta 1973, 306, 95–105. [Google Scholar] [CrossRef] [PubMed]
- Salen, G.; Ahrens, E.H., Jr.; Grundy, S.M. Metabolism of beta-sitosterol in man. J. Clin. Investig. 1970, 49, 952–967. [Google Scholar] [CrossRef] [PubMed]
- Boberg, K.M.; Einarsson, K.; Björkhem, I. Apparent lack of conversion of sitosterol into C24-bile acids in humans. J. Lipid Res. 1990, 31, 1083–1088. [Google Scholar] [CrossRef] [PubMed]
- Miettinen, T.A.; Vuoristo, M.; Nissinen, M.; Järvinen, H.J.; Gylling, H. Serum, biliary, and fecal cholesterol and plant sterols in colectomized patients before and during consumption of stanol ester margarine. Am. J. Clin. Nutr. 2000, 71, 1095–1102. [Google Scholar] [CrossRef] [PubMed]
- Sudhop, T.; Sahin, Y.; Lindenthal, B.; Hahn, C.; Lüers, C.; Berthold, H.K.; von Bergmann, K. Comparison of the hepatic clearances of campesterol, sitosterol, and cholesterol in healthy subjects suggests that efflux transporters controlling intestinal sterol absorption also regulate biliary secretion. Gut 2002, 51, 860–863. [Google Scholar] [CrossRef]
- Czubayko, F.; Beumers, B.; Lammsfuss, S.; Lütjohann, D.; von Bergmann, K. A simplified micro-method for quantification of fecal excretion of neutral and acidic sterols for outpatient studies in humans. J. Lipid Res. 1991, 32, 1861–1867. [Google Scholar] [CrossRef]
- Schött, H.F.; Krautbauer, S.; Höring, M.; Liebisch, G.; Matysik, S. A Validated, Fast Method for Quantification of Sterols and Gut Microbiome Derived 5α/β-Stanols in Human Feces by Isotope Dilution LC–High-Resolution MS. Anal. Chem. 2018, 90, 8487–8494. [Google Scholar] [CrossRef]
- Sanders, D.J.; Minter, H.J.; Howes, D.; Hepburn, P.A. The safety evaluation of phytosterol esters. Part 6. The comparative absorption and tissue distribution of phytosterols in the rat. Food Chem. Toxicol. 2000, 38, 485–491. [Google Scholar] [CrossRef]
- Shafaati, M.; Marutle, A.; Pettersson, H.; Lövgren-Sandblom, A.; Olin, M.; Pikuleva, I.; Winblad, B.; Nordberg, A.; Björkhem, I. Marked accumulation of 27-hydroxycholesterol in the brains of Alzheimer’s patients with the Swedish APP 670/671 mutation. J. Lipid Res. 2011, 52, 1004–1010. [Google Scholar] [CrossRef]
- Tonello, A.; Poli, G. Serum phytosterols not only from dietary intake. Br. J. Nutr. 2006, 96, 791–792. [Google Scholar] [CrossRef]
- Bhattacharyya, A.K.; Connor, W.E.; Lin, D.S. The origin of plant sterols in the skin surface lipids in humans: From diet to plasma to skin. J. Investig. Dermatol. 1983, 80, 294–296. [Google Scholar] [CrossRef] [PubMed]
- Heverin, M.; Bogdanovic, N.; Lütjohann, D.; Bayer, T.; Pikuleva, I.; Bretillon, L.; Diczfalusy, U.; Winblad, B.; Björkhem, I. Changes in the levels of cerebral and extracerebral sterols in the brain of patients with Alzheimer’s disease. J. Lipid Res. 2004, 45, 186–193. [Google Scholar] [CrossRef] [PubMed]
- Vanmierlo, T.; Bogie, J.F.; Mailleux, J.; Vanmol, J.; Lütjohann, D.; Mulder, M.; Hendriks, J.J. Plant sterols: Friend or foe in CNS disorders? Prog. Lipid Res. 2015, 58, 26–39. [Google Scholar] [CrossRef] [PubMed]
- Teupser, D.; Baber, R.; Ceglarek, U.; Scholz, M.; Illig, T.; Gieger, C.; Holdt, L.M.; Leichtle, A.; Greiser, K.H.; Huster, D.; et al. Genetic regulation of serum phytosterol levels and risk of coronary artery disease. Circ. Cardiovasc. Genet. 2010, 3, 331–339. [Google Scholar] [CrossRef]
- Tada, H.; Nohara, A.; Inazu, A.; Sakuma, N.; Mabuchi, H.; Kawashiri, M.A. Sitosterolemia, Hypercholesterolemia, and Coronary Artery Disease. J. Atheroscler. Thromb. 2018, 25, 783–789. [Google Scholar] [CrossRef] [PubMed]
- Krawczyk, M.; Lütjohann, D.; Schirin-Sokhan, R.; Villarroel, L.; Nervi, F.; Pimentel, F.; Lammert, F.; Miquel, J.F. Phytosterol and cholesterol precursor levels indicate increased cholesterol excretion and biosynthesis in gallstone disease. Hepatology 2012, 55, 1507–1517. [Google Scholar] [CrossRef]
- Field, F.J.; Mathur, S.N. Beta-sitosterol: Esterification by intestinal acylcoenzyme A: Cholesterol acyltransferase (ACAT) and its effect on cholesterol esterification. J. Lipid Res. 1983, 24, 409–417. [Google Scholar] [CrossRef]
- Temel, R.E.; Gebre, A.K.; Parks, J.S.; Rudel, L.L. Compared with Acyl-CoA:cholesterol O-acyltransferase (ACAT) 1 and lecithin:cholesterol acyltransferase, ACAT2 displays the greatest capacity to differentiate cholesterol from sitosterol. J. Biol. Chem. 2003, 278, 47594–47601. [Google Scholar] [CrossRef]
- Tachibana, S.; Hirano, M.; Hirata, T.; Matsuo, M.; Ikeda, I.; Ueda, K.; Sato, R. Cholesterol and plant sterol efflux from cultured intestinal epithelial cells is mediated by ATP-binding cassette transporters. Biosci. Biotechnol. Biochem. 2007, 71, 1886–1895. [Google Scholar] [CrossRef]
- Field, F.J.; Born, E.; Mathur, S.N. LXR/RXR ligand activation enhances basolateral efflux of beta-sitosterol in CaCo-2 cells. J. Lipid Res. 2004, 45, 905–913. [Google Scholar] [CrossRef]
- van der Wulp, M.Y.; Verkade, H.J.; Groen, A.K. Regulation of cholesterol homeostasis. Mol. Cell. Endocrinol. 2013, 368, 1–16. [Google Scholar] [CrossRef] [PubMed]
- Kanuri, B.; Fong, V.; Patel, S.B. 24 Role of Xenosterols in Health and Disease. In Lipid Signaling and Metabolism, 1st ed.; Ntambi, J., Ed.; Academic Press: London, UK, 2020; pp. 505–519. ISBN 978-0-12-819404-1. [Google Scholar] [CrossRef]
- Taha, D.A.; Wasan, E.K.; Wasan, K.M.; Gershkovich, P. Lipid-lowering Activity of Natural and Semi-Synthetic Sterols and Stanols. J. Pharm. Pharm. Sci. 2015, 18, 344–367. [Google Scholar] [CrossRef] [PubMed]
- JECFA (Joint FAO/WHO Expert Committee on Food Additives). Phytosterols, phytostanols and their esters. In Toxicological Evaluation of Certain Food Additives; WHO Food Additives Series, 60; World Health Organization (WHO): Geneva, Switzerland, 2009; pp. 117–163. ISBN 978-92-4-166060-0. Available online: https://apps.who.int/iris/bitstream/handle/10665/44063/9789241660600_eng.pdf?sequence=1 (accessed on 28 June 2023).
- SCF (Scientific Committee on Food). Opinion of the Scientific Committee on Food on Applications for Approval of a Variety of Plant Sterol-Enriched Foods, (Expressed on 5 March 2003); Scientific Committee on Food (SCF), European Commission, Health & Consumer Protection Directorate-General, Directorate C—Scientific Opinions, C2—Management of Scientific Committees, Scientific Co-Operation and Networks, Brussels, Belgium, 2003 (SCF/CS/NF/DOS/15 ADD 2 Final). Available online: https://mobil.bfr.bund.de/cm/343/phytosterol_fazer_teriaki_puottu_march_2003.pdf (accessed on 28 June 2023).
- Noakes, M.; Clifton, P.; Ntanios, F.; Shrapnel, W.; Record, I.; McInerney, J. An increase in dietary carotenoids when consuming plant sterols or stanols is effective in maintaining plasma carotenoid concentrations. Am. J. Clin. Nutr. 2002, 75, 79–86. [Google Scholar] [CrossRef] [PubMed]
- Feng, S.; Wang, L.; Shao, P.; Sun, P.; Yang, C.S. A review on chemical and physical modifications of phytosterols and their influence on bioavailability and safety. Crit. Rev. Food. Sci. Nutr. 2022, 62, 5638–5657. [Google Scholar] [CrossRef] [PubMed]
- Fuhrmann, A.; Weingärtner, O.; Meyer, S.; Cremers, B.; Seiler-Mußler, S.; Schött, H.F.; Kerksiek, A.; Friedrichs, S.; Ulbricht, U.; Zawada, A.M.; et al. Plasma levels of the oxyphytosterol 7α-hydroxycampesterol are associated with cardiovascular events. Atherosclerosis 2018, 279, 17–22. [Google Scholar] [CrossRef] [PubMed]
- Takayasu, B.S.; Martins, I.R.; Garnique, A.M.B.; Miyamoto, S.; Machado-Santelli, G.M.; Uemi, M.; Onuki, J. Biological effects of an oxyphytosterol generated by β-Sitosterol ozonization. Arch. Biochem. Biophys. 2020, 696, 108654. [Google Scholar] [CrossRef] [PubMed]
- Aguilar, F.; Crebelli, R.; Dusemund, B.; Galtier, P.; Gilbert, J.; Gott, D.M.; Gundert-Remy, U.; König, J.; Lambré, C.; Leblanc, J.-C.; et al. Scientific Opinion on the safety of stigmasterol-rich plant sterols as food additive. EFSA J. 2012, 10, 2659. [Google Scholar] [CrossRef]
- Phillips, K.M.; Ruggio, D.M.; Ashraf-Khorassani, M. Phytosterol composition of nuts and seeds commonly consumed in the United States. J. Agric. Food Chem. 2005, 53, 9436–9445. [Google Scholar] [CrossRef]
- Muenger, L.H.; Jutzi, S.; Lampi, A.-M.; Nyström, L. Comparison of Enzymatic Hydrolysis and Acid Hydrolysis of Sterol Glycosides from Foods Rich in Delta(7)-Sterols. Lipids 2015, 50, 735–748. [Google Scholar] [CrossRef]
- Garcia-Llatas, G.; Alegría, A.; Barberá, R.; Cilla, A. Current methodologies for phytosterol analysis in foods. Microchem. J. 2021, 168, 106377. [Google Scholar] [CrossRef]
- Toivo, J.; Phillips, K.; Lampi, A.M.; Piironen, V. Determination of sterols in foods: Recovery of free, esterified, and glycosidic sterols. J. Food Compos. Anal. 2001, 14, 631–643. [Google Scholar] [CrossRef]
- Heupel, R.C. 1-Isolation and Primary Characterization of Sterols. In Analysis of Sterols and Other Biologically Significant Sterols; Nes, W.D., Parish, E.J., Eds.; Academic Press: San Diego, CA, USA, 1989; pp. 1–32. ISBN 978-0-12-515445-3. [Google Scholar] [CrossRef]
- Lampi, A.M.; Juntunen, L.; Toivo, J.; Piironen, V. Determination of thermo-oxidation products of plant sterols. J. Chromatogr. B Analyt. Technol. Biomed. Life Sci. 2002, 777, 83–92. [Google Scholar] [CrossRef] [PubMed]
- Zhang, X.; Julien-David, D.; Miesch, M.; Geoffroy, P.; Raul, F.; Roussi, S.; Aoudé-Werner, D.; Marchioni, E. Identification and quantitative analysis of beta-sitosterol oxides in vegetable oils by capillary gas chromatography-mass spectrometry. Steroids 2005, 70, 896–906. [Google Scholar] [CrossRef] [PubMed]
- Mendiara, I.; Domeño, C.; Nerín, C. Development of a fast sample treatment for the analysis of free and bonded sterols in human serum by LC-MS. J. Sep. Sci. 2012, 35, 3308–3316. [Google Scholar] [CrossRef]
- Yasui, K. Acoustic cavitation. In Acoustic Cavitation and Bubble Dynamics, (SpringerBriefs in Molecular Science: Ultrasound and Sonochemistry); Pollet, B.G., Ed.; Springer: Cham, Switzerland, 2018; pp. 1–35. ISBN 978-3-319-68237-2. [Google Scholar] [CrossRef]
- Cravotto, G.; Cintas, P. Forcing and controlling chemical reactions with ultrasound. Angew. Chem. Int. Ed. Engl. 2007, 46, 5476–5478. [Google Scholar] [CrossRef]
- Luche, J.-L.; Einhorn, C.; Einhorn, J.; Sinisterra-Gago, J.V. Organic sonochenistry: A new interpretation and its consequences. Tetrahedron Lett. 1990, 31, 4125–4128. [Google Scholar] [CrossRef]
- Folch, J.; Lees, M.; Sloane Stanley, G.H. A simple method for the isolation and purification of total lipides from animal tissues. J. Biol. Chem. 1957, 226, 497–509. [Google Scholar] [CrossRef]
- Bligh, E.G.; Dyer, W.J. A rapid method of total lipid extraction and purification. Can. J. Biochem. Physiol. 1959, 37, 911–917. [Google Scholar] [CrossRef] [PubMed]
- Ms, U.; Ferdosh, S.; Akanda, J.H.; Ghafoor, K.; Rukshana, A.H.; Ali, E.; Kamaruzzaman, B.Y.; Fauzi, M.B.; Hadijah, S.; Shaarani, S.; et al. Techniques for the extraction of phytosterols and their benefits in human health: A review. Sep. Sci. Technol. 2018, 53, 2206–2223. [Google Scholar] [CrossRef]
- Luo, H.F.; Li, Q.; Yu, S.; Badger, T.M.; Fang, N. Cytotoxic hydroxylated triterpene alcohol ferulates from rice bran. J. Nat. Prod. 2005, 68, 94–97. [Google Scholar] [CrossRef]
- McDonald, J.G.; Thompson, B.M.; McCrum, E.C.; Russell, D.W. Extraction and analysis of sterols in biological matrices by high performance liquid chromatography electrospray ionization mass spectrometry. Methods Enzymol. 2007, 432, 145–170. [Google Scholar] [CrossRef]
- Farines, M.; Cocallemen, S.; Soulier, J. Triterpene alcohols, 4-methylsterols, and 4-desmethylsterols of eggplant seed oil: A new phytosterol. Lipids 1988, 23, 349–354. [Google Scholar] [CrossRef] [PubMed]
- Azadmard-Damirchi, S.; Nemati, M.; Hesari, J.; Ansarin, M.; Fathi-Achachlouei, B. Rapid separating and enrichment of 4,4′-dimethylsterols of vegetable oils by solid-phase extraction. J. Am. Oil Chem. Soc. 2010, 87, 1155–1159. [Google Scholar] [CrossRef]
- Kornfeldt, A.; Croon, L.-B. 4-Demethyl, 4-monomethyl, and 4,4-dimethylsterols in some vegetable oils. Lipids 1981, 16, 306–314. [Google Scholar] [CrossRef]
- Kamal-Eldin, A.; Appelqvist, L.-Å.; Yousif, G.; Iskander, G.M. Seed lipids of Sesamum indicum and related wild species in Sudan. The sterols. J. Sci. Food Agric. 1992, 59, 327–334. [Google Scholar] [CrossRef]
- Hartmann, M.-A.; Benveniste, P. Plant membrane sterols: Isolation, identification, and biosynthesis. Meth. Enzymol. 1987, 148, 632–650. [Google Scholar] [CrossRef]
- Azadmard-Damirchi, S.; Dutta, P. Novel solid-phase extraction method to separate 4-desmethyl-, 4-monomethyl-, and 4,4′-dimethylsterols in vegetable oils. J. Chromatogr. A 2006, 1108, 183–187. [Google Scholar] [CrossRef]
- Phillips, K.M.; Ruggio, D.M.; Toivo, J.I.; Swank, M.A.; Simpkins, A.H. Free and esterified sterol composition of edible oils and fats. J. Food Comp. Anal. 2002, 15, 123–142. [Google Scholar] [CrossRef]
- Phillips, K.M.; Ruggio, D.M.; Bailey, J.A. Precise quantitative determination of phytosterols, stanols, and cholesterol metabolites in human serum by capillary gas-liquid chromatography. J. Chromatogr. B 1999, 732, 17–29. [Google Scholar] [CrossRef] [PubMed]
- Toivo, J.; Lampi, A.-M.; Aalto, S.; Piironen, V. Factors affecting sample preparation in the gas chromatographic determination of plant sterols in whole wheat flour. Food Chem. 2000, 68, 239–245. [Google Scholar] [CrossRef]
- Esche, R.; Barnsteiner, A.; Scholz, B.; Engel, K.H. Simultaneous Analysis of free phytosterol/phytostanol and intact phytosteryl/phytostanyl fatty acid and phenolic acid esters in cereals. J. Agric. Food Chem. 2012, 60, 5330–5339. [Google Scholar] [CrossRef] [PubMed]
- Xu, B.; You, S.; Zhou, L.; Kang, H.; Luo, D.; Ma, H.; Han, S. Simultaneous Determination of Free Phytosterols and Tocopherols in Vegetable Oils by an Improved SPE–GC–FID Method. Food Anal. Methods 2020, 13, 358–369. [Google Scholar] [CrossRef]
- Lechner, M.; Reiter, B.; Lorbeer, E. Determination of tocopherols and sterols in vegetable oils by solid-phase extraction and subsequent capillary gas chromatographic analysis. J. Chromatogr. A 1999, 857, 231–238. [Google Scholar] [CrossRef]
- Rose-Sallin, C.; Huggett, A.; Bosset, J.O.; Tabacchi, R.; Fay, L.B. Quantification of cholesterol oxidation products in milk powders using [2H7] cholesterol to monitor cholesterol autoxidation artifacts. J. Agric. Food Chem. 1995, 43, 935–941. [Google Scholar] [CrossRef]
- Griffiths, W.J.; Abdel-Khalik, J.; Crick, P.J.; Yutuc, E.; Wang, Y. New methods for analysis of oxysterols and related compounds by LC-MS. J. Steroid Biochem. Mol. Biol. 2016, 162, 4–26. [Google Scholar] [CrossRef]
- Nystrom, L.; Schar, A.; Lampi, A.M. Steryl glycosides and acylated steryl glycosides in plant foods reflect unique sterol patterns. Eur. J. Lipid Sci. Technol. 2012, 114, 656–669. [Google Scholar] [CrossRef]
- Balme, S.; Gülaçar, F.O. Rapid screening of phytosterols in orange juice by solid-phase microextraction on polyacrylate fibre derivatisation and gas chromatographic–mass spectrometric. Food Chem. 2012, 132, 613–618. [Google Scholar] [CrossRef]
- Domeño, C.; Ruiz, B.; Nerín, C. Determination of sterols in biological samples by SPME with on-fiber derivatization and GC/FID. Anal. Bioanal. Chem. 2005, 381, 1576–1583. [Google Scholar] [CrossRef] [PubMed]
- Halket, J.M.; Zaikin, V.G. Derivatization in Mass Spectrometry—1. Silylation. Eur. J. Mass Spectrom. 2003, 9, 1–21. [Google Scholar] [CrossRef] [PubMed]
- Harkin, C.; Smith, K.W.; Cruickshank, F.L.; Logan Mackay, C.; Flinders, B.; Heeren, R.M.A.; Moore, T.; Brockbank, S.; Cobice, D.F. On-tissue chemical derivatization in mass spectrometry imaging. Mass Spectrom. Rev. 2022, 41, 662–694. [Google Scholar] [CrossRef]
- Moldoveanu, S.C.; David, V. Derivatization Methods in GC and GC/MS. In Gas Chromatography—Derivatization, Sample Preparation, Application; Kusch, P., Ed.; Intech Open: London, UK, 2019; pp. 9–41. ISBN 978-1-83881-867-8. [Google Scholar] [CrossRef]
- Li, T.; Yin, Y.; Zhou, Z.; Qiu, J.; Liu, W.; Zhang, X.; He, K.; Cai, Y.; Zhu, Z.-J. Ion mobility-based sterolomics reveals spatially and temporally distinctive sterol lipids in the mouse brain. Nat. Commun. 2021, 12, 4343. [Google Scholar] [CrossRef]
- Qi, W.; Wang, Y.; Cao, Y.; Cao, Y.; Guan, Q.; Sun, T.; Zhang, L.; Guo, Y. Simultaneous Analysis of Fatty Alcohols, Fatty Aldehydes, and Sterols in Thyroid Tissues by Electrospray Ionization-Ion Mobility-Mass Spectrometry Based on Charge Derivatization. Anal. Chem. 2020, 92, 8644–8648. [Google Scholar] [CrossRef]
- ISO 12228-1:2014; Determination of Individual and Total Sterols Contents—Gas Chromatographic Method—Part 1: Animal and Vegetable Fats and Oils, Corrected Version 2015-05-15. International Organization for Standardization (ISO): Geneva, Switzerland, 2014; pp. 1–7.
- Řimnáčová, L.; Hušek, P.; Šimek, P. A new method for immediate derivatization of hydroxyl groups by fluoroalkyl chloroformates and its application for the determination of sterols and tocopherols in human serum and amniotic fluid by gas chromatography-mass spectrometry. J. Chromatogr. A 2014, 1339, 154–167. [Google Scholar] [CrossRef]
- Scholz, B.; Wocheslander, S.; Lander, V.; Engel, K.-H. On-line liquid chromatography–gas chromatography: A novel approach for the analysis of phytosterol oxidation products in enriched foods. J. Chromatogr. A 2015, 1396, 98–108. [Google Scholar] [CrossRef]
- Hailat, I.; Helleur, R.J. Direct analysis of sterols by derivatization matrix-assisted laser desorption/ionization time-of-flight mass spectrometry and tandem mass spectrometry. Rapid Commun. Mass Spectrom. 2014, 28, 149–158. [Google Scholar] [CrossRef] [PubMed]
- Boenzi, S.; Deodato, F.; Taurisano, R.; Martinelli, D.; Verrigni, D.; Carrozzo, R.; Bertini, E.; Pastore, A.; Dionisi-Vici, C.; Johnson, D.W. A New Simple and Rapid LC–ESI-MS/MS Method for Quantification of Plasma Oxysterols as Dimethylaminobutyrate Esters. Its Successful Use for the Diagnosis of Niemann–Pick Type C Disease. Clin. Chim. Acta 2014, 437, 93–100. [Google Scholar] [CrossRef]
- Roberg-Larsen, H.; Lund, K.; Vehus, T.; Solberg, N.; Vesterdal, C.; Misaghian, D.; Olsen, P.A.; Krauss, S.; Wilson, S.R.; Lundane, E. Highly Automated Nano-LC/MS-Based Approach for Thousand Cell-Scale Quantification of Side Chain-Hydroxylated Oxysterols. J. Lipid Res. 2014, 55, 1531–1536. [Google Scholar] [CrossRef] [PubMed]
- Honda, A.; Yamashita, K.; Hara, T.; Ikegami, T.; Miyazaki, T.; Shirai, M.; Xu, G.; Numazawa, M.; Matsuzaki, Y. Highly sensitive quantification of key regulatory oxysterols in biological samples by LC-ESI-MS/MS. J. Lipid Res. 2009, 50, 350–357. [Google Scholar] [CrossRef] [PubMed]
- Nzekoue, F.K.; Caprioli, G.; Ricciutelli, M.; Cortese, M.; Alesi, A.; Vittori, S.; Sagratini, G. Development of an innovative phytosterol derivatization method to improve the HPLC-DAD analysis and the ESI-MS detection of plant sterols/stanols. Food Res. Int. 2020, 131, 108998. [Google Scholar] [CrossRef] [PubMed]
- Griffiths, W.J.; Hearn, T.; Crick, P.J.; Abdel-Khalik, J.; Dickson, A.; Yutuc, E.; Wang, Y. Charge-tagging liquid chromatography-mass spectrometry methodology targeting oxysterol diastereoisomers. Chem. Phys. Lipids 2017, 207 Pt B, 69–80. [Google Scholar] [CrossRef]
- Crick, P.J.; Bentley, T.W.; Abdel-Khalik, J.; Matthews, I.; Clayton, P.T.; Morris, A.A.; Bigger, B.W.; Zerbinati, C.; Tritapepe, L.; Iuliano, L.; et al. Quantitative charge-tags for sterol and oxysterol analysis. Clin. Chem. 2015, 61, 400–411. [Google Scholar] [CrossRef]
- Adhikari, S.; Xia, Y. Thiyl Radical-Based Charge Tagging Enables Sterol Quantitation via Mass Spectrometry. Anal. Chem. 2017, 89, 12631–12635. [Google Scholar] [CrossRef]
- Xie, X.; Zhao, J.; Lin, M.; Zhang, J.L.; Xia, Y. Profiling of Cholesteryl Esters by Coupling Charge-Tagging Paternò-Büchi Reaction and Liquid Chromatography-Mass Spectrometry. Anal. Chem. 2020, 92, 8487–8496. [Google Scholar] [CrossRef] [PubMed]
- Marshall, D.L.; Criscuolo, A.; Young, R.S.E.; Poad, B.L.J.; Zeller, M.; Reid, G.E.; Mitchell, T.W.; Blanksby, S.J. Mapping Unsaturation in Human Plasma Lipids by Data-Independent Ozone-Induced Dissociation. J. Am. Soc. Mass. Spectrom. 2019, 30, 1621–1630. [Google Scholar] [CrossRef] [PubMed]
- Lognay, G.; Severin, M.; Boenke, A.; Wagstaffe, P.J. Edible fats and oils reference materials for sterols analysis particular attention to cholesterol. Part 1. Investigation of some analytical aspects by experienced laboratorios. Analyst 1992, 117, 1093–1097. [Google Scholar] [CrossRef]
- Laakso, P. Analysis of sterols from various food matrices. Eur. J. Lipid Sci. Technol. 2005, 107, 402–410. [Google Scholar] [CrossRef]
- Matysik, S.; Klünemann, H.H.; Schmitz, G. Gas chromatography-tandem mass spectrometry method for the simultaneous determination of oxysterols, plant sterols, and cholesterol precursors. Clin. Chem. 2012, 58, 1557–1564. [Google Scholar] [CrossRef] [PubMed]
- Schött, H.-F.; Lütjohann, D. Validation of an isotope dilution gas chromatography–mass spectrometry method for combined analysis of oxysterols and oxyphytosterols in serum samples. Steroids 2015, 99 Pt B, 139–150. [Google Scholar] [CrossRef]
- Ito, J.; Shimizu, N.; Kato, S.; Ogura, Y.; Nakagawa, K. Direct Separation of the Diastereomers of Cholesterol Ester Hydroperoxide Using LC-MS/MS to Evaluate Enzymatic Lipid Oxidation. Symmetry 2020, 12, 1127. [Google Scholar] [CrossRef]
- Sosińska, E.; Przybylski, R.; Hazendonk, P.; Zhao, Y.Y.; Curtis, J.M. Characterisation of non-polar dimers formed during thermo-oxidative degradation of β-sitosterol. Food Chem. 2013, 139, 464–474. [Google Scholar] [CrossRef]
- Tomono, S.; Miyoshi, N.; Ito, M.; Higashi, T.; Ohshima, H. A highly sensitive LC-ESI-MS/MS method for the quantification of cholesterol ozonolysis products secosterol-A and secosterol-B after derivatization with 2-hydrazino-1-methylpyridine. J. Chromatogr. B Analyt. Technol. Biomed. Life Sci. 2011, 879, 2802–2808. [Google Scholar] [CrossRef] [PubMed]
- Hu, Y.; Yang, G.; Huang, W.; Lai, S.; Ren, Y.; Huang, B.; Zhang, L.; Li, P.; Lu, B. Development and validation of a gas chromatography-mass spectrometry method for determination of sterol oxidation products in edible oils. RSC Adv. 2015, 5, 41259–41268. [Google Scholar] [CrossRef]
- Islam, A.; Jeong, B.-G.; Kerr, W.L.; Chun, J. Validation of phytosterol analysis by alkaline hydrolysis and trimethylsilyl derivatization coupled with gas chromatography for rice products. J. Cereal Sci. 2021, 101, 103305. [Google Scholar] [CrossRef]
- Lin, Y.; Koppenol, W.P.; Knol, D.; Vermeer, M.A.; Hiemstra, H.; Friedrichs, S.; Lütjohann, D.; Trautwein, E.A. Serum Concentration of Plant Sterol Oxidation Products (POP) Compared to Cholesterol Oxidation Products (COP) after Intake of Oxidized Plant Sterols: A Randomised, Placebo-Controlled, Double-Blind Dose–Response Pilot Study. Nutrients 2019, 11, 2319. [Google Scholar] [CrossRef]
- Menéndez-Carreño, M.; García-Herreros, C.; Astiasarán, I.; Ansorena, D. Validation of a gas chromatography-mass spectrometry method for the analysis of sterol oxidation products in serum. J. Chromatogr. B Analyt. Technol. Biomed. Life Sci. 2008, 864, 61–68. [Google Scholar] [CrossRef]
- Oliveira, L.; Freire, C.S.R.; Silvestre, A.J.D.; Cordeiro, N.; Torres, I.C.; Evtuguin, D. Steryl Glucosides from Banana Plant Musa Acuminata Colla Var Cavendish. Ind. Crops Prod. 2005, 22, 187–192. [Google Scholar] [CrossRef]
- Prinsen, P.; Gutiérrez, A.; Faulds, C.B.; del Río, J.C. Comprehensive study of valuable lipophilic phytochemicals in wheat bran. J. Agric. Food Chem. 2014, 62, 1664–1673. [Google Scholar] [CrossRef] [PubMed]
- Poole, C.F. Chapter 3 Conventional Gas Chromatography: Basic Principles and Instrumental Aspects. In Advanced Gas Chromatography in Food Analysis; Tranchida, P.Q., Ed.; CPI: Croydon, UK, 2020; pp. 83–126. ISBN 978-1-78801-575-2. [Google Scholar]
- Harvey, D.; Vouros, P. Mass Spectrometric Fragmentation of Trimethylsilyl and Related Alkylsilyl Derivatives. Mass Spec. Rev. 2020, 39, 105–211. [Google Scholar] [CrossRef]
- González-Larena, M.; García-Llatas, G.; Vidal, M.C.; Sánchez-Siles, L.M.; Barberá, R.; Lagarda, M.J. Stability of plant sterols in ingredients used in functional foods. J. Agric. Food Chem. 2011, 59, 3624–3631. [Google Scholar] [CrossRef] [PubMed]
- Rudziñska, M.; Korczak, J.; Wasowicz, E. Changes in phytosterols and their oxidation products during frying of French fries in rapeseed oil. Pol. J. Food Nutr. Sci. 2005, 55, 381–387. [Google Scholar]
- Schött, H.F.; Husche, C.; Friedrichs, S.; Miller, C.M.; McCarthy, F.O.; Laufs, U.; Plat, J.; Weingärtner, O.; Lütjohann, D. 7β-Hydroxysitosterol crosses the blood-brain barrier more favored than its substrate sitosterol in ApoE-/-mice. Steroids 2015, 99 Pt B, 178–182. [Google Scholar] [CrossRef]
- Rahier, A.; Benveniste, P. Mass spectral identification of phytosterols. In Analysis of Sterols and Other Biologically Significant Steroids; Nes, W.D., Parish, E.J., Eds.; Academic Press: San Diego, CA, USA, 1989; pp. 223–250. ISBN 978-0-12-515445-1. [Google Scholar]
- Tan, S.; Niu, Y.; Liu, L.; Su, A.; Hu, C.; Meng, Y. Development of a GC-MS/SIM method for the determination of phytosteryl esters. Food Chem. 2019, 281, 236–241. [Google Scholar] [CrossRef]
- Xu, B.C.; Zhang, L.X.; Wang, H.; Luo, D.L.; Li, P.W. Characterization and authentication of four important edible oils using free phytosterol profiles established by GC-GC-TOF/MS. Anal. Methods 2014, 6, 6860–6870. [Google Scholar] [CrossRef]
- Tranchida, P.Q.; Salivo, S.; Franchina, F.A.; Bonaccorsi, I.; Dugo, P.; Mondello, L. Qualitative and quantitative analysis of the unsaponifiable fraction of vegetable oils by using comprehensive 2D GC with dual MS/FID detection. Anal. Bioanal. Chem. 2013, 405, 4655–4663. [Google Scholar] [CrossRef] [PubMed]
- Julien-David, D.; Zhao, M.; Geoffroy, P.; Miesch, M.; Raul, F.; Aoude-Werner, D.; Ennahar, S.; Marchioni, E. Analysis of sitosteryl oleate esters in phytosterols esters enriched foods by HPLC-ESI-MS2. Steroids 2014, 84, 84–91. [Google Scholar] [CrossRef]
- Millán, L.; Sampedro, M.C.; Sánchez, A.; Delporte, C.; Van Antwerpen, P.; Goicolea, M.A.; Barrio, R.J. Liquid chromatography-quadrupole time of flight tandem mass spectrometry-based targeted metabolomic study for varietal discrimination of grapes according to plant sterols content. J. Chromatogr. A 2016, 1454, 67–77. [Google Scholar] [CrossRef] [PubMed]
- Caboni, M.F.; Iafelice, G.; Pelillo, M.; Marconi, E. Analysis of fatty acid steryl esters in tetraploid and hexaploid wheats: Identification and comparison between chromatographic methods. J. Agric. Food Chem. 2005, 53, 7465–7472. [Google Scholar] [CrossRef]
- Lembcke, J.; Ceglarek, U.; Fiedler, G.M.; Baumann, S.; Leichtle, A.; Thiery, J. Rapid quantification of free and esterified phytosterols in human serum using APPI-LC-MS/MS. J. Lipid Res. 2005, 46, 21–26. [Google Scholar] [CrossRef]
- Scholz, B.; Barnsteiner, A.; Feist, K.; Schmid, W.; Engel, K.H. Analysis of phytostanyl fatty acid esters in enriched foods via UHPLC-APCI-MS. J. Agric. Food Chem. 2014, 62, 4268–4275. [Google Scholar] [CrossRef] [PubMed]
- Ishida, N. A method for simultaneous analysis of phytosterols and phytosterol esters in tobacco leaves using non aqueous reversed phase chromatography and atmospheric pressure chemical ionization mass spectrometry detector. J. Chromatogr. A 2014, 1340, 99–108. [Google Scholar] [CrossRef] [PubMed]
- Mezine, I.; Zhang, H.; Macku, C.; Lijana, R. Analysis of plant sterol and stanol esters in cholesterol-lowering spreads and beverages using high-performance liquid chromatography-atmospheric pressure chemical ionization-mass spectroscopy. J. Agric. Food Chem. 2003, 51, 5639–5646. [Google Scholar] [CrossRef]
- Scholz, B.; Menzel, N.; Lander, V.; Engel, K.H. An approach based on ultrahigh performance liquid chromatography-atmospheric pressure chemical ionization-mass spectrometry allowing the quantification of both individual phytosteryl and phytostanyl fatty acid esters in complex mixtures. J. Chromatogr. A 2016, 1429, 218–229. [Google Scholar] [CrossRef]
- Broughton, R.; Ruíz-Lopez, N.; Hassall, K.L.; Martínez-Force, E.; Garcés, R.; Salas, J.J.; Beaudoin, F. New insights in the composition of wax and sterol esters in common and mutant sunflower oils revealed by ESI-MS/MS. Food Chem. 2018, 269, 70–79. [Google Scholar] [CrossRef]
- Wewer, V.; Dombrink, I.; vom Dorp, K.; Dörmann, P. Quantification of sterol lipids in plants by quadrupole time-of-flight mass spectrometry. J. Lipid Res. 2011, 52, 1039–1054. [Google Scholar] [CrossRef] [PubMed]
- Hailat, I.; Helleur, R. Identification of fatty acid steryl esters in margarine and corn using direct flow injection ESI-MSn ion trap-mass spectrometry. Int. J. Mass Spectrom. 2014, 362, 24–31. [Google Scholar] [CrossRef]
- Yang, K.; Han, X. Accurate quantification of lipid species by electrospray ionization mass spectrometry—Meet a key challenge in lipidomics. Metabolites 2011, 1, 21–40. [Google Scholar] [CrossRef] [PubMed]
- Broughton, R.; Beaudoin, F. Analysis of Free and Esterified Sterol Content and Composition in Seeds Using GC and ESI-MS/MS. Methods Mol. Biol. 2021, 2295, 179–201. [Google Scholar] [CrossRef]
- Jiang, K.; Gachumi, G.; Poudel, A.; Shurmer, B.; Bashi, Z.; El-Aneed, A. The Establishment of Tandem Mass Spectrometric Fingerprints of Phytosterols and Tocopherols and the Development of Targeted Profiling Strategies in Vegetable Oils. J. Am. Soc. Mass Spectrom. 2019, 30, 1700–1712. [Google Scholar] [CrossRef]
- Gorassini, A.; Verardo, G.; Fregolent, S.C.; Bortolomeazzi, R. Rapid determination of cholesterol oxidation products in milk powder-based products by reversed phase SPE and HPLC-APCI-MS/MS. Food Chem. 2017, 230, 604–610. [Google Scholar] [CrossRef] [PubMed]
- Poudel, A.; Gachumi, G.; Purves, R.; Badea, I.; El-Aneed, A. Determination of phytosterol oxidation products in pharmaceutical liposomal formulations and plant vegetable oil extracts using novel fast liquid chromatography—Tandem mass spectrometric methods. Anal. Chim. Acta 2022, 1194, 339404. [Google Scholar] [CrossRef]
- Rossmann, B.; Thurner, K.; Luf, W. MS–MS Fragmentation Patterns of Cholesterol Oxidation Products. Monatsh. Chem. 2007, 138, 437–444. [Google Scholar] [CrossRef]
- Decloedt, A.I.; Van Landschoot, A.; Vanhaecke, L. Fractional factorial design-based optimisation and application of an extraction and UPLC-MS/MS detection method for the quantification of phytosterols in food, feed and beverages low in phytosterols. Anal. Bioanal. Chem. 2016, 408, 7731–7744. [Google Scholar] [CrossRef]
- Millán, L.; Sampedro, M.C.; Sanchez, A.; Goicolea, M.A.; Barrio, R.J. Determination of phytosterols in oenological matrices by liquid chromatography-atmospheric pressure chemical ionization and ion-trap mass spectrometry. J. Food Compos. Anal. 2015, 42, 171–178. [Google Scholar] [CrossRef]
- Donato, P.; Micalizzi, G.; Oteri, M.; Rigano, F.; Sciarrone, D.; Dugo, P.; Mondello, L. Comprehensive lipid profiling in the Mediterranean mussel (Mytilus galloprovincialis) using hyphenated and multidimensional chromatography techniques coupled to mass spectrometry detection. Anal. Bioanal. Chem. 2018, 410, 3297–3313. [Google Scholar] [CrossRef] [PubMed]
- Murphy, R.C. CHAPTER 7 Steroids. In Tandem Mass Spectrometry of Lipids: Molecular Analysis of Complex Lipids; The Royal Society of Chemistry: Cambridge, UK, 2015; pp. 233–270. ISBN 978-1-78262-635-0. [Google Scholar]
- Nes, W.D.; Robert, A.; Norton, C.; Mabry, B. Carbon-13 NMR studies on sitosterol biosynthesized from [13C] mevalonates. Phytochemistry 1992, 31, 805–811. [Google Scholar] [CrossRef]
- Tsuda, M.; Schroepfer, G.J., Jr. Nuclear magnetic resonance spectroscopy of sterols. 13C olefinic carbon shieldings in sterols and related cyclic compounds. J. Chem. Phys. Lipids 1979, 25, 49–68. [Google Scholar] [CrossRef]
- Emmons, G.T.; Wilson, W.K.; Shroepfer, G.J. 1H and 13C NMR assignments for lanostan-3B-ol Derivatives: Revised assignments for lanosterol. Magn. Reason. Chem. 1989, 27, 1012–1024. [Google Scholar] [CrossRef]
- Greca, M.D.; Monaco, P.; Previtera, L. Stigmasterols from Typha latifólia. J. Nat. Prod. 1990, 53, 1430–1435. [Google Scholar] [CrossRef]
- Murai, T.; Jin, S.; Itoh, M.; Horie, Y.; Higashi, T.; Ikegawa, S. Analysis of steryl glucosides in rice bran-based fermented food by LC/ESI-MS/MS. Steroids 2020, 158, 108605. [Google Scholar] [CrossRef] [PubMed]
- Wilson, W.K.; Sumpter, R.M.; Warren, J.J.; Rogers, P.S.; Ruan, B.; Schroepfer, G.J., Jr. Analysis of unsaturated C27 sterols by nuclear magnetic resonance spectroscopy. J. Lipid Res. 1996, 37, 1529–1555. [Google Scholar] [CrossRef]
- Van Hoed, V.; Zyaykina, N.; De Greyt, W.; Maes, J.; Verhe, R.; Demeestere, K. Identification and occurrence of steryl glucosides in palm and soy biodiesel. J. Am. Oil Chem. Soc. 2008, 85, 701–709. [Google Scholar] [CrossRef]
- Dixit, P.; Chand, K.; Khan, M.P.; Siddiqui, J.A.; Tewari, D.; Ngueguim, F.T.; Chattopadhyay, N.; Maurya, R. Phytoceramides and acylated phytosterol glucosides from Pterospermum acerifolium Willd. seed coat and their osteogenic activity. Phytochemistry 2012, 81, 117–125. [Google Scholar] [CrossRef] [PubMed]
- McCarthy, F.O.; Chopra, J.; Ford, A.; Hogan, S.A.; Kerry, J.P.; O’Brien, N.M.; Ryan, E.; Maguire, A.R. Synthesis, isolation and characterisation of beta-sitosterol and beta-sitosterol oxide derivatives. Org. Biomol. Chem. 2005, 3, 3059–3065. [Google Scholar] [CrossRef] [PubMed]
- Shi, T.; Zhu, M.; Zhou, X.; Huo, X.; Long, Y.; Zeng, X.; Chen, Y. 1H NMR combined with PLS for the rapid determination of squalene and sterols in vegetable oils. Food Chem. 2019, 287, 46–54. [Google Scholar] [CrossRef]
- von Bonsdorff-Nikander, A.; Rantanen, J.; Christiansen, L.; Yliruusi, J. Optimizing the crystal size and habit of beta-sitosterol in suspension. AAPS Pharm. Sci. Technol. 2003, 4, E44. [Google Scholar] [CrossRef]
- Vu, P.-L.; Shin, J.-A.; Lim, C.-H.; Lee, K.-T. Lipase-Catalyzed Production of Phytosteryl Esters and Their Crystallization Behavior in Corn Oil. Food Res. Int. 2004, 37, 175–180. [Google Scholar] [CrossRef]
- Young, N.W.G.; Wassell, P. Margarines and Spreads. In Food Emulsifiers and Their Applications, 3rd ed.; Hasenhuettl, G.L., Hartel, R.W., Eds.; Springer Nature Switzerland AG: Cham, Switzerland, 2019; pp. 379–405. ISBN 978-3-030-29187-7. [Google Scholar] [CrossRef]
- Daels, E.; Foubert, I.; Guo, Z.; Thielemans, W.; Goderis, B. Phase Behavior and Polymorphism of Saturated and Unsaturated Phytosterol Esters. Molecules 2020, 25, 5727. [Google Scholar] [CrossRef]
- Bakrim, S.; Benkhaira, N.; Bourais, I.; Benali, T.; Lee, L.-H.; El Omari, N.; Sheikh, R.A.; Goh, K.W.; Ming, L.C.; Bouyahya, A. Health Benefits and Pharmacological Properties of Stigmasterol. Antioxidants 2022, 11, 1912. [Google Scholar] [CrossRef] [PubMed]
- Abeesh, P.; Guruvayoorappan, C. Preparation and characterization of beta sitosterol encapsulated nanoliposomal formulation for improved delivery to cancer cells and evaluation of its anti-tumor activities against Daltons Lymphoma Ascites tumor models. J. Drug Deliv. Sci. Technol. 2020, 70, 102832. [Google Scholar] [CrossRef]
- Karim, S.; Akhter, M.H.; Burzangi, A.S.; Alkreathy, H.; Alharthy, B.; Kotta, S.; Md, S.; Rashid, M.A.; Afzal, O.; Altamimi, A.S.A.; et al. Phytosterol-Loaded Surface Tailored Bioactive-Polymer Nanoparticles for Cancer Treatment: Optimization, in vitro Cell Viability, Antioxidant Activity, and Stability Studies. Gels 2022, 8, 219. [Google Scholar] [CrossRef]
- Kavithaa, K.; Paulpandi, M.; Ramya, S.; Ramesh, M.; Balachandar, V.; Ramasamy, K.; Narayanasamy, A. Sitosterol-fabricated chitosan nanocomplex induces apoptotic cell death through mitochondrial dysfunction in lung cancer animal model: An enhanced synergetic drug delivery system for lung cancer therapy. New J. Chem. 2021, 45, 9251–9263. [Google Scholar] [CrossRef]
- Nisha, R.; Kumar, P.; Gautam, A.K.; Bera, H.; Bhattacharya, B.; Parashar, P.; Saraf, S.A.; Saha, S. Assessments of in vitro and in vivo antineoplastic potentials of β-sitosterol-loaded PEGylated niosomes against hepatocellular carcinoma. J. Liposome Res. 2021, 31, 304–315. [Google Scholar] [CrossRef]
- Soleimanian, Y.; Goli, S.A.H.; Varshosaz, J.; Maestrelli, F. Propolis wax nanostructured lipid carrier for delivery of β-sitosterol: Effect of formulation variables on physicochemical properties. Food Chem. 2018, 260, 97–105. [Google Scholar] [CrossRef] [PubMed]
- Upadhyay, K.; Gupta, N.K.; Dixit, V.K. Development and characterization of phyto-vesicles of β-sitosterol for the treatment of androgenetic alopecia. Arch. Dermatol. Res. 2012, 304, 511–519. [Google Scholar] [CrossRef]
- Blanco-Vaca, F.; Cedó, L.; Julve, J. Phytosterols in Cancer: From Molecular Mechanisms to Preventive and Therapeutic Potentials. Curr. Med. Chem. 2019, 26, 6735–6749. [Google Scholar] [CrossRef]
- Jiang, L.; Zhao, X.; Xu, J.; Li, C.; Yu, Y.; Wang, W.; Zhu, L. The Protective Effect of Dietary Phytosterols on Cancer Risk: A Systematic Meta-Analysis. J. Oncol. 2019, 2019, 7479518. [Google Scholar] [CrossRef] [PubMed]
- Ramprasath, V.R.; Awad, A.B. Role of Phytosterols in Cancer Prevention and Treatment. J. AOAC Int. 2015, 98, 735–738. [Google Scholar] [CrossRef] [PubMed]
- Woyengo, T.; Ramprasath, V.; Jones, P. Anticancer effects of phytosterols. Eur. J. Clin. Nutr. 2009, 63, 813–820. [Google Scholar] [CrossRef]
- Bao, X.; Zhang, Y.; Zhang, H.; Xia, L. Molecular Mechanism of β-Sitosterol and its Derivatives in Tumor Progression. Front. Oncol. 2022, 12, 926975. [Google Scholar] [CrossRef]
- Nair, P.P.; Turjman, N.; Goodman, G.T.; Guidry, C.; Calkins, B.M. Diet, nutrition intake, and metabolism in populations at high and low risk for colon cancer. Metabolism of neutral sterols. Am. J. Clin. Nutr. 1984, 40 (Suppl. 4), 931–936. [Google Scholar] [CrossRef]
- Huang, J.; Xu, M.; Fang, Y.J.; Lu, M.S.; Pan, Z.Z.; Huang, W.Q.; Chen, Y.M.; Zhang, C.X. Association between phytosterol intake and colorectal cancer risk: A case-control study. Br. J. Nutr. 2017, 117, 839–850. [Google Scholar] [CrossRef]
- Normén, A.L.; Brants, H.A.; Voorrips, L.E.; Andersson, H.A.; van den Brandt, P.A.; Goldbohm, R.A. Plant sterol intakes and colorectal cancer risk in the Netherlands Cohort Study on Diet and Cancer. Am. J. Clin. Nutr. 2001, 74, 141–148. [Google Scholar] [CrossRef]
- De Stefani, E.; Boffetta, P.; Ronco, A.L.; Brennan, P.; Deneo-Pellegrini, H.; Carzoglio, J.C.; Mendilaharsu, M. Plant sterols and risk of stomach cancer: A case-control study in Uruguay. Nutr. Cancer 2000, 37, 140–144. [Google Scholar] [CrossRef]
- Mendilaharsu, M.; De Stefani, E.; Deneo-Pellegrini, H.; Carzoglio, J.; Ronco, A. Phytosterols and risk of lung cancer: A case-control study in Uruguay. Lung Cancer 1998, 21, 37–45. [Google Scholar] [CrossRef]
- Ronco, A.; De Stefani, E.; Boffetta, P.; Deneo-Pellegrini, H.; Mendilaharsu, M.; Leborgne, F. Vegetables, fruits, and related nutrients and risk of breast cancer: A case-control study in Uruguay. Nutr. Cancer 1999, 35, 111–119. [Google Scholar] [CrossRef]
- Torres-Sanchez, L.; Galvan-Portillo, M.; Wolff, M.S.; Lopez-Carrillo, L. Dietary consumption of phytochemicals and breast cancer risk in Mexican women. Public Health Nutr. 2009, 12, 825–831. [Google Scholar] [CrossRef] [PubMed]
- McCann, S.E.; Freudenheim, J.L.; Marshall, J.R.; Brasure, J.R.; Swanson, M.K.; Graham, S. Diet in the epidemiology of endometrial cancer in western New York (United States). Cancer Causes Control. 2000, 11, 965–974. [Google Scholar] [CrossRef] [PubMed]
- McCann, S.E.; Freudenheim, J.L.; Marshall, J.R.; Graham, S. Risk of human ovarian cancer is related to dietary intake of selected nutrients, phytochemicals and food groups. J. Nutr. 2003, 133, 1937–1942. [Google Scholar] [CrossRef] [PubMed]
- Bradford, P.G.; Awad, A.B. Modulation of signal transduction in cancer cells by phytosterols. BioFactors 2010, 36, 241–247. [Google Scholar] [CrossRef] [PubMed]
- Villasenor, I.M.; Angelada, J.; Canlas, A.P.; Echegoyen, D. Bioactivity Studies on β-Sitosterol and its Glucoside. Phytother. Res. 2002, 16, 417–421. [Google Scholar] [CrossRef]
- Choi, S.; Kim, K.W.; Choi, J.S.; Han, S.T.; Park, Y.I.; Lee, S.K.; Kim, J.S.; Chung, M.H. Angiogenic activity of beta-sitosterol in the ischaemia/reperfusion-damaged brain of Mongolian gerbil. Planta Med. 2002, 68, 330–335. [Google Scholar] [CrossRef]
- Gogoi, D.; Pal, A.; Chattopadhyay, P.; Paul, S.; Deka, R.C.; Mukherjee, A.K. First Report of Plant-Derived β-Sitosterol with Antithrombotic, in vivo Anticoagulant, and Thrombus-Preventing Activities in a Mouse Model. J. Nat. Prod. 2018, 81, 2521–2530. [Google Scholar] [CrossRef] [PubMed]
- Singh, K.; Gupta, R.S. Antifertility activity of β-sitosterol isolated from Barleria prionitis (L.) roots in male albino rats. Int. J. Pharm. Pharm. Sci. 2016, 8, 88–96. Available online: https://innovareacademics.in/journals/index.php/ijpps/article/view/10527 (accessed on 28 June 2023).
- Phatangare, N.; Deshmukh, K.; Murade, V.; Naikwadi, P.; Hase, D.; Chavhan, M.; Velis, H. Isolation and characterization of β-sitosterol from Justicia gendarussa burm. F.-An anti-inflammatory compound. Int. Pharmac. Phytochem. Res. 2017, 9, 1280–1287. [Google Scholar] [CrossRef]
- Kim, S.-J. The Ameliorative Effect of β-sitosterol on DNCB-induced Atopic Dermatitis in Mice. Biomed. Sci. Lett. 2017, 23, 303–309. [Google Scholar] [CrossRef]
- Sudeep, H.V.; Venkatakrishna, K.; Amrutharaj, B.; Anitha; Shyamprasad, K. A phytosterol-enriched saw palmetto supercritical CO2 extract ameliorates testosterone-induced benign prostatic hyperplasia by regulating the inflammatory and apoptotic proteins in a rat model. BMC Complement. Altern. Med. 2019, 19, 270. [Google Scholar] [CrossRef]
- Ramalingam, S.; Packirisamy, M.; Karuppiah, M.; Vasu, G.; Gopalakrishnan, R.; Gothandam, K.; Thiruppathi, M. Effect of β-sitosterol on glucose homeostasis by sensitization of insulin resistance via enhanced protein expression of PPRγ and glucose transporter 4 in high fat diet and streptozotocin-induced diabetic rats. Cytotechnology 2020, 72, 357–366. [Google Scholar] [CrossRef]
- Plat, J.; Hendrikx, T.; Bieghs, V.; Jeurissen, M.L.; Walenbergh, S.M.; van Gorp, P.J.; De Smet, E.; Konings, M.; Vreugdenhil, A.C.; Guichot, Y.D.; et al. Protective role of plant sterol and stanol esters in liver inflammation: Insights from mice and humans. PLoS ONE 2014, 9, e110758. [Google Scholar] [CrossRef]
- Fraile, L.; Crisci, E.; Córdoba, L.; Navarro, M.A.; Osada, J.; Montoya, M. Immunomodulatory properties of beta-sitosterol in pig immune responses. Int. Immunopharmacol. 2012, 13, 316–321. [Google Scholar] [CrossRef] [PubMed]
- Gumede, N.M.; Lembede, B.W.; Brooksbank, R.L.; Erlwanger, K.H.; Chivandi, E. β-Sitosterol Shows Potential to Protect Against the Development of High-Fructose Diet-Induced Metabolic Dysfunction in Female Rats. J. Med. Food. 2020, 23, 367–374. [Google Scholar] [CrossRef] [PubMed]
- Adebiyi, O.E.; Olayemi, F.O.; Olopade, J.O.; Tan, N.-H. β-sitosterol enhances motor coordination, attenuates memory loss and demyelination in a vanadium-induced model of experimental neurotoxicity. Pathophysiology 2018, 26, 21–29. [Google Scholar] [CrossRef] [PubMed]
- Kurano, M.; Hasegawa, K.; Kunimi, M.; Hara, M.; Yatomi, Y.; Teramoto, T.; Tsukamoto, K. Sitosterol prevents obesity-related chronic inflammation. Biochim. Biophys. Acta Mol. Cell. Biol. Lipids 2018, 1863, 191–198. [Google Scholar] [CrossRef]
- Babu, S.; Krishnan, M.; Rajagopal, P.; Periyasamy, V.; Veeraraghavan, V.; Govindan, R.; Jayaraman, S. Beta-sitosterol attenuates insulin resistance in adipose tissue via IRS-1/Akt mediated insulin signaling in high fat diet and sucrose induced type-2 diabetic rats. Eur. J. Pharmacol. 2020, 873, 173004. [Google Scholar] [CrossRef] [PubMed]
- Cui, S.; Jiang, H.; Chen, L.; Xu, J.; Sun, W.; Sun, H.; Xie, Z.; Xu, Y.; Yang, F.; Liu, W.; et al. Design, synthesis and evaluation of wound healing activity for β-sitosterols derivatives as potent Na+/K+-ATPase inhibitors. Bioorg. Chem. 2020, 98, 103150. [Google Scholar] [CrossRef]
- Genser, B.; Silbernagel, G.; De Backer, G.; Bruckert, E.; Carmena, R.; Chapman, M.J.; Deanfield, J.; Descamps, O.S.; Rietzschel, E.R.; Dias, K.C.; et al. Plant sterols and cardiovascular disease: A systematic review and meta-analysis. Eur. Heart J. 2012, 33, 444–451. [Google Scholar] [CrossRef]
- Lottenberg, A.M.; Bombo, R.P.; Ilha, A.; Nunes, V.S.; Nakandakare, E.R.; Quintão, E.C. Do clinical and experimental investigations support an antiatherogenic role for dietary phytosterols/stanols? IUBMB Life 2012, 64, 296–306. [Google Scholar] [CrossRef]
- Ras, R.T.; Geleijnse, J.M.; Trautwein, E.A. LDL-cholesterol-lowering effect of plant sterols and stanols across different dose ranges: A meta-analysis of randomised controlled studies. Br. J. Nutr. 2014, 112, 214–219. [Google Scholar] [CrossRef] [PubMed]
- Ras, R.T.; van der Schouw, Y.T.; Trautwein, E.A.; Sioen, I.; Dalmeijer, G.W.; Zock, P.L.; Beulens, J.W. Intake of phytosterols from natural sources and risk of cardiovascular disease in the European Prospective Investigation into Cancer and Nutrition-the Netherlands (EPIC-NL) population. Eur. J. Prev. Cardiol. 2015, 22, 1067–1075. [Google Scholar] [CrossRef] [PubMed]
- Juste, C.; Gérard, P. Cholesterol-to-Coprostanol Conversion by the Gut Microbiota: What We Know, Suspect, and Ignore. Microorganisms 2021, 9, 1881. [Google Scholar] [CrossRef]
- Mattson, F.H.; Grundy, S.M.; Crouse, J.R. Optimizing the effect of plant sterols on cholesterol absorption in man. Am. J. Clin. Nutr. 1982, 35, 697–700. [Google Scholar] [CrossRef]
- Carden, T.J.; Hang, J.; Dussault, P.H.; Carr, T.P. Dietary Plant Sterol Esters Must Be Hydrolyzed to Reduce Intestinal Cholesterol Absorption in Hamsters. J. Nutr. 2015, 145, 1402–1407. [Google Scholar] [CrossRef] [PubMed]
- Lei, L.; Wang, X.; Huang, W.; Liu, Y.; Zheng, F.; Ma, K.Y.; Li, Y.M.; Wang, L.; Man, S.W.; Zhang, C. Cholesterol side chain analogs but not its ether analogs possess cholesterol-lowering activity. Food Funct. 2015, 6, 630–634. [Google Scholar] [CrossRef]
- Wang, X.; Huang, W.; Lei, L.; Liu, Y.; Ma, K.Y.; Li, Y.M.; Wang, L.; Huang, Y.; Chen, Z.Y. Blockage of hydroxyl group partially abolishes the cholesterol-lowering activity of β-sitosterol. J. Funct. Foods. 2015, 12, 199–207. [Google Scholar] [CrossRef]
- Chung, D.W.; Kim, W.D.; Noh, S.K.; Dong, M.S. Effects of hydrophilic and lipophilic beta-sitosterol derivatives on cholesterol absorption and plasma cholesterol levels in rats. J. Agric. Food Chem. 2008, 56, 6665–6670. [Google Scholar] [CrossRef]
- Dumolt, J.H.; Rideout, T.C. The lipid-lowering effects and associated mechanisms of dietary phytosterol supplementation. Curr. Pharmaceut. Des. 2017, 23, 5077–5085. [Google Scholar] [CrossRef]
- Amiot, M.J.; Knol, D.; Cardinault, N.; Nowicki, M.; Bott, R.; Antona, C.; Borel, P.; Bernard, J.P.; Duchateau, G.; Lairon, D. Phytosterol ester processing in the small intestine: Impact on cholesterol availability for absorption and chylomicron cholesterol incorporation in healthy humans. J. Lipid Res. 2011, 52, 1256–1264. [Google Scholar] [CrossRef] [PubMed]
- Batth, R.; Nicolle, C.; Cuciurean, I.S.; Simonsen, H.T. Biosynthesis and Industrial Production of Androsteroids. Plants 2020, 9, 1144. [Google Scholar] [CrossRef] [PubMed]
- Donova, M.V. Microbiotechnologies for steroid production. Microbiol. Aust. 2018, 39, 126–129. [Google Scholar] [CrossRef]
- Fernández-Cabezón, L.; Galán, B.; García, J.L. New Insights on Steroid Biotechnology. Front. Microbiol. 2018, 9, 958. [Google Scholar] [CrossRef] [PubMed]
- Szentirmai, A. Microbial physiology of side chain degradation of sterols. J. Ind. Microbiol. 1990, 6, 101–106. [Google Scholar] [CrossRef]
- Lo, C.K.; Pan, C.P.; Liu, W.H. Production of testosterone from phytosterol using a single-step microbial transformation by a mutant of Mycobacterium sp. J. Ind. Microbiol. Biotechnol. 2002, 28, 280–283. [Google Scholar] [CrossRef] [PubMed]
- Eisa, M.; El-Refai, H.; Amin, M. Single step biotransformation of corn oil phytosterols to boldenone by a newly isolated Pseudomonas aeruginosa. Biotechnol. Rep. 2016, 11, 36–43. [Google Scholar] [CrossRef] [PubMed][Green Version]
- Commission Regulation (EU) No 739/2013 of 30 July 2013 Amending Annex II to Regulation (EC) No 1333/2008 of the European Parliament and of the Council as Regards the Use of Stigmasterol-Rich Plant Sterols as a Stabiliser in Ready-to-Freeze Alcoholic Cocktails, and the Annex to Commission Regulation (EU) No 231/2012 as Regards Specifications for Stigmasterol-Rich Plant Sterols Food Additive. Available online: http://eur-lex.europa.eu/legal-content/EN/TXT/PDF/?uri=CELEX:32013R0739&from=DE (accessed on 28 June 2023).
- Matheson, A.; Dalkas, G.; Clegg, P.S.; Euston, S.R. Phytosterol-based edible oleogels: A novel way of replacing saturated fat in food. Nutr. Bull. 2018, 43, 189–194. [Google Scholar] [CrossRef]
- Marangoni, A.G.; Garti, N. 1. An Overview of the Past, Present, and Future of Organogels. In Edible Oleogels: Structure and Health Implications; Marangoni, A.G., Garti, N., Eds.; AOCS Press: Urbana, IL, USA, 2011; pp. 1–18. ISBN 978-0-9830791-1-8. [Google Scholar]
- Bot, A.; Agterof, W.G.M. Structuring of edible oils by mixtures of γ-oryzanol with β-sitosterol or related phytosterols. J. Am. Oil Chem. Soc. 2006, 83, 513–521. [Google Scholar] [CrossRef]
- Chen, X.W.; Sun, S.; Yang, G.L.; Ma, C.G. Engineering Phytosterol-Based Oleogels for Potential Application as Sustainable Petrolatum Replacement. RSC Adv. 2020, 10, 244–252. [Google Scholar] [CrossRef]
- Li, L.; Wan, W.; Cheng, W.; Liu, G.; Han, L. Oxidatively stable curcumin-loaded oleogels structured by β-sitosterol and lecithin: Physical characteristics and release behaviour in vitro. Int. J. Food Sci. Technol. 2019, 54, 2502–2510. [Google Scholar] [CrossRef]
- Yang, D.X.; Chen, X.W.; Yang, X.Q. Phytosterol-based oleogels self-assembled with monoglyceride for controlled volatile release. J. Sci. Food Agric. 2018, 98, 582–589. [Google Scholar] [CrossRef] [PubMed]
- Inamdar, Y.M. Preparation and Evaluation of Beta Sitosterol Nanogel: A Carrier Design for Targeted Drug Delivery System. Asian J. Pharm. Res. Dev. 2018, 6, 81–87. [Google Scholar] [CrossRef]
- Zhang, Y.; Sun, C.; Wang, C.; Jankovic, K.E.; Dong, Y. Lipids and Lipid Derivatives for RNA Delivery. Chem. Rev. 2021, 121, 12181–12277. [Google Scholar] [CrossRef] [PubMed]
- Eygeris, Y.; Patel, S.; Jozic, A.; Sahay, G. Deconvoluting Lipid Nanoparticle Structure for Messenger RNA Delivery. Nano Lett. 2020, 20, 4543–4549. [Google Scholar] [CrossRef] [PubMed]
- Djekic, L.; Čalija, B.; Micov, A.; Tomic, M.; Stepanovic-Petrovic, R. Topical hydrogels with escin β-sitosterol phytosome and escin: Formulation development and in vivo assessment of antihyperalgesic activity. Drug Dev. Res. 2019, 80, 921–932. [Google Scholar] [CrossRef] [PubMed]
- Hiruta, Y.; Hattori, Y.; Kawano, K.; Obata, Y.; Maitani, Y. Novel ultra-deformable vesicles entrapped with bleomycin and enhanced to penetrate rat skin. J. Control. Release. 2006, 113, 146–154. [Google Scholar] [CrossRef]
- Munawar, M.; Khan, M.S.; Saeed, M.; Younas, U.; Farag, M.R.; Di Cerbo, A.; El-Shall, N.; Loschi, A.R.; Dhama, K.; Alagawany, M. Phytosterol: Nutritional significance, health benefits, and its uses in poultry and livestock nutrition. Anim. Biotechnol. 2022, 1–10. [Google Scholar] [CrossRef] [PubMed]
- Wong, A. Chemical and microbiological considerations of phytosterols and their relative efficacies in functional foods for the lowering of serum cholesterol levels in humans: A review. J. Funct. Foods 2014, 6, 60–72. [Google Scholar] [CrossRef]
- Zawistowski, J. 17. Tangible health benefits of phytosterol functional foods. In Functional Food Product Development; Smith, J., Charter, E., Eds.; John Wiley & Sons: Chichester, UK, 2010; pp. 362–387. ISBN 978-1-4051-7876-1. [Google Scholar]
- Nzekoue, F.K.; Khamitova, G.; Angeloni, S.; Sempere, A.N.; Tao, J.; Maggi, F.; Xiao, J.; Sagratini, G.; Vittori, S.; Caprioli, G. Spent coffee grounds: A potential commercial source of phytosterols. Food Chem. 2020, 325, 126836. [Google Scholar] [CrossRef] [PubMed]
- Kalogeropoulos, N.; Chiou, A.; Pyriochou, V.; Peristeraki, A.; Karathanos, V.T. Bioactive phytochemicals in industrial tomatoes and their processing byproducts. LWT Food Sci. Technol. 2012, 49, 213–216. [Google Scholar] [CrossRef]
- Özdestan, Ö.; Erol, T.; Acar, B. Phytosterols in rice bran and usage of rice bran in food industry. In Proceedings of the 9th Baltic Conference on Food Science and Technology “Food for Consumer Well-Being” FOODBALT 2014 Conference Proceedings, Jelgava, Latvia, 8–9 May 2014; pp. 24–27. [Google Scholar]
- Kreps, F.; Burčová, Z.; Jablonský, M.; Ház, A.; Frecer, V.; Kyselka, J.; Schmidt, Š.; Šurina, I.; Filip, V. Bioresource of Antioxidant and Potential Medicinal Compounds from Waste Biomass of Spruce. ACS Sustain. Chem. Eng. 2017, 5, 8161–8170. [Google Scholar] [CrossRef]
- Da Silva, A.C.; Jorge, N. Bioactive compounds of oils extracted from fruits seeds obtained from agroindustrial waste. Eur. J. Lipid Sci. Technol. 2017, 119, 1600024. [Google Scholar] [CrossRef]
- Attard, T.M.; McElroy, C.R.; Rezende, C.A.; Polikarpov, I.; Clark, J.H.; Hunt, A.J. Sugarcane waste as a valuable source of lipophilic molecules. Ind. Crops Prod. 2015, 76, 95–103. [Google Scholar] [CrossRef]
- Rodrigues, P.F.; Evtyugin, D.D.; Evtuguin, D.V.; Prates, A. Extractives profiles in the production of sulphite dissolving pulp from Eucalyptus globulus wood. J. Wood Chem. Technol. 2018, 38, 397–408. [Google Scholar] [CrossRef]
- Evtyugin, D.D.; Prates, A.; Domingues, M.R.; Casal, S.; Evtuguin, D.V. New method for isolating β-sitosterol from bleaching effluent of sulphite pulp mill. Food Bioprod. Process. 2023, 140, 151–159. [Google Scholar] [CrossRef]
- Fernandes, P.; Cabral, J.M. Phytosterols: Applications and recovery methods. Bioresour. Technol. 2007, 98, 2335–2350. [Google Scholar] [CrossRef] [PubMed]
- Venkatramesh, M.; Karunanandaa, B.; Sun, B.; Gunter, C.A.; Boddupalli, S.; Kishore, G.M. Expression of a Streptomyces 3-hydroxysteroid oxidase gene in oilseeds for converting phytosterols to phytostanols. Phytochemistry 2003, 62, 39–46. [Google Scholar] [CrossRef] [PubMed]
- Schaeffer, A.; Bronner, R.; Benveniste, P.; Schaller, H. The ratio of campesterol to sitosterol that modulates growth in Arabidopsis is controlled by STEROL METHYLTRANSFERASE 2;1. Plant J. 2001, 25, 605–615. [Google Scholar] [CrossRef] [PubMed]
- Shimada, T.L.; Ueda, T.; Hara-Nishimura, I. Excess sterol accumulation affects seed morphology and physiology in Arabidopsis thaliana. Plant Signal. Behav. 2021, 16, 1872217. [Google Scholar] [CrossRef] [PubMed]
- Stymne, S.; Schaller, H. Involvement of the phospholipid sterol acyltransferase1 in plant sterol homeostasis and leaf senescence. Plant Physiol. 2010, 152, 107–119. [Google Scholar] [CrossRef]
- Takemoto, T.; Kusano, G.; Yamamoto, N. Studies on the constituents of Cimicifuga spp. I. Constituents of Cimicifuga acerina. (1). Yakugaku Zasshi 1966, 86, 1006–1010. [Google Scholar] [CrossRef] [PubMed][Green Version]
- Le Goff, M.; Le Ferrec, E.; Mayer, C.; Mimouni, V.; Lagadic-Gossmann, D.; Schoefs, B.; Ulmann, L. Microalgal carotenoids and phytosterols regulate biochemical mechanisms involved in human health and disease prevention. Biochimie 2019, 167, 106–118. [Google Scholar] [CrossRef] [PubMed]
- Martinez-Nieto, L.; Moreno-Romero, M.V. Sterolic composition of the unsaponifiable fraction of oil of avocado of several varieties. Grasas Aceites 1994, 45, 402–403. [Google Scholar] [CrossRef][Green Version]
- Srividya, N.; Heidorn, D.B.; Lange, B.M. Rapid purification of gram quantities of β-sitosterol from a commercial phytosterol mixture. BMC Res. Notes 2014, 7, 182. [Google Scholar] [CrossRef] [PubMed]
- Randhir, A.; Laird, D.W.; Maker, G.; Trengove, R.; Moheimani, N.R. Microalgae: A potential sustainable commercial source of sterols. Algal Res. 2020, 46, 101772. [Google Scholar] [CrossRef]
- Tabas, I. 3. Oxysterols in atherosclerosis. In Biochemistry of Lipids, Lipoproteins and Membranes, 5th ed.; Vance, D.E., Vance, J.E., Eds.; Elsevier: Amsterdam, The Netherlands, 2008; pp. 588–592. ISBN 978-0-444-53219-0. [Google Scholar]
- Borel, P.; Desmarchelier, C. Bioavailability of fat-soluble vitamins and phytochemicals in humans: Effects of genetic variation. Annu. Rev. Nutr. 2018, 38, 69–96. [Google Scholar] [CrossRef] [PubMed]
- Morand, C.; Tomás-Barberán, F.A. Contribution of plant food bioactives in promoting health effects of plant foods: Why look at interindividual variability? Eur. J. Nutr. 2019, 58, 13–19. [Google Scholar] [CrossRef] [PubMed]
- Moses, T.; Pollier, J.; Thevelein, J.M.; Goossens, A. Bioengineering of plant (tri)terpenoids: From metabolic engineering of plants to synthetic biology in vivo and in vitro. New Phytol. 2013, 200, 27–43. [Google Scholar] [CrossRef] [PubMed]
- Ferrer, A.; Altabella, T.; Arró, M.; Boronat, A. Emerging roles for conjugated sterols in plants. Prog. Lipid Res. 2017, 67, 27–37. [Google Scholar] [CrossRef] [PubMed]
- Jones, P.J.H.; Abumweis, S.S. Phytosterols as functional food ingredients: Linkages to cardiovascular disease and cancer. Curr. Opin. Clin. Nutr. Metab. Care. 2009, 12, 147–151. [Google Scholar] [CrossRef] [PubMed]
- Cuevas-Tena, M.; Bermúdez, J.D.; Silvestre, R.L.Á.; Alegría, A.; Lagarda, M.J. Impact of colonic fermentation on sterols after the intake of a plant sterol-enriched beverage: A randomized, double-blind crossover trial. Clin. Nutr. 2019, 38, 1549–1560. [Google Scholar] [CrossRef] [PubMed]
- Nzekoue, F.K.; Henle, T.; Caprioli, G.; Sagratini, G.; Hellwig, M. Food Protein Sterylation: Chemical Reactions between Reactive Amino Acids and Sterol Oxidation Products under Food Processing Conditions. Foods 2020, 9, 1882. [Google Scholar] [CrossRef] [PubMed]
- Lin, X.; Ma, L.; Racette, S.B.; Anderson Spearie, C.L.; Ostlund, R.E., Jr. Phytosterol glycosides reduce cholesterol absorption in humans. Am. J. Physiol. Gastrointest. Liver. Physiol. 2009, 296, G931–G935. [Google Scholar] [CrossRef] [PubMed]
- AOAC International, Official Methods of Analysis. Appendix K: Guidelines for Dietary Supplements and Botanicals; 2019; pp. 1–32. Available online: http://www.eoma.aoac.org/appk.pdf (accessed on 28 June 2023).
- Khamis, M.M.; Adamko, D.J.; El-Aneed, A. Strategies and challenges in method development and validation for the absolute quantification of endogenous biomarker metabolites using liquid chromatography-tandem mass spectrometry. Mass Spectrom. Rev. 2021, 40, 31–52. [Google Scholar] [CrossRef] [PubMed]
- Meesters, R.J.; Voswinkel, S. Bioanalytical Method Development and Validation: From the USFDA 2001 to the USFDA 2018 Guidance for Industry. J. Appl. Bioanal. 2018, 4, 67–73. [Google Scholar] [CrossRef]
- Sumner, L.W.; Amberg, A.; Barrett, D.; Beale, M.H.; Beger, R.; Daykin, C.A.; Fan, T.W.; Fiehn, O.; Goodacre, R.; Griffin, J.L.; et al. Proposed minimum reporting standards for chemical analysis Chemical Analysis Working Group (CAWG) Metabolomics Standards Initiative (MSI). Metabolomics 2007, 3, 211–221. [Google Scholar] [CrossRef] [PubMed]








| Source a | PS Range in FW (mg/100 g) a |
|---|---|
| Vegetable oils | 60–2600 |
| Milling products | 130–586 |
| Margarines | 40–411 |
| Nuts | 22–220 |
| Cereals | 35–121 |
| Bakery products | 39–90 |
| Fruits and berries | 1–75 |
| Vegetables | 4–43 |
| Estimated non-vegetarian daily intake b | 0.2–0.3 g/day |
| Recommended daily intake c | 2.0 g/day |
| Property | Active Compound(s) | Main Feature | Ref. |
|---|---|---|---|
| Analgesic | β-Sitosterol and β-sitosteryl-β-d-glucoside from leaves of Mentha cordifolia Opiz. | 300% increase in pain tolerance for sitosterol | [315] |
| Androgenetic alopecia | β-Sitosterol phyto-vesicles 1 | Maximum hair follicle density after 21 days | [299] |
| Angiogenic | β-Sitosterol from A. Vera | Enhanced new vessel formation in gerbil brains | [316] |
| Anticoagulant | Soybean-derived sitosterol | Inhibited k-carrageen-induced thrombus formation | [317] |
| Antifertility | β-sitosterol from roots of Barleria prionitis | Suppression of spermatogenesis: potential male contraceptive | [318] |
| Anti-inflammatory | Sitosterol from Justicia gendarussa Burm F. | Potent activity via histamine, serotonin, bradykinin and prostaglandin release | [319] |
| Atopic Dermatitis (AD) | β-sitosterol 2 | AD clinical symptoms such as eczematous erythema and dryness | [320] |
| Benign prostatic hyperplasia | β-sitosterol 2 enriched saw palmetto oil | Inhibition of COX-2 and NF-κB expression. | [321] |
| Glucose homeostasis | β-Sitosterol from the unripe fruits of Coccinia grandis | Enhanced protein expression of PPARγ and glucose transporter 4 | [322] |
| Hepatic inflammation | Sterol/stanol esters | Reduced inflammatory response in liver | [323] |
| Immunomodulatory | Inmunicín MAYMO® 3 | Dentritic cell activation and up regulation of IFN-α | [324] |
| Metabolic syndrome | β-sitosterol 2 | Decreased plasma insulin concentration and increased insulin sensitivity | [325] |
| Neuroprotective | β-sitosterol isolated from G. carpinifolia | Myelo-protective activities; enhanced cognition and improved motor co-ordination | [326] |
| Obesity-related chronic inflammation | High-fat diet with PS mixture 4 | Negative correlation between sitosterol and IL-6 and TNF-α serum levels | [327] |
| Type-2 diabetes management | β-sitosterol 2 | Attenuated serine phosphorylation of IRS-1 in adipose tissue | [328] |
| Wound healing | Synthetic sitosterol derivative 5 | Inhibitory activity on Na+/K+-ATPase; substantially improved healing. | [329] |
Disclaimer/Publisher’s Note: The statements, opinions and data contained in all publications are solely those of the individual author(s) and contributor(s) and not of MDPI and/or the editor(s). MDPI and/or the editor(s) disclaim responsibility for any injury to people or property resulting from any ideas, methods, instructions or products referred to in the content. |
© 2023 by the authors. Licensee MDPI, Basel, Switzerland. This article is an open access article distributed under the terms and conditions of the Creative Commons Attribution (CC BY) license (https://creativecommons.org/licenses/by/4.0/).
Share and Cite
Evtyugin, D.D.; Evtuguin, D.V.; Casal, S.; Domingues, M.R. Advances and Challenges in Plant Sterol Research: Fundamentals, Analysis, Applications and Production. Molecules 2023, 28, 6526. https://doi.org/10.3390/molecules28186526
Evtyugin DD, Evtuguin DV, Casal S, Domingues MR. Advances and Challenges in Plant Sterol Research: Fundamentals, Analysis, Applications and Production. Molecules. 2023; 28(18):6526. https://doi.org/10.3390/molecules28186526
Chicago/Turabian StyleEvtyugin, Dmitry D., Dmitry V. Evtuguin, Susana Casal, and Maria Rosário Domingues. 2023. "Advances and Challenges in Plant Sterol Research: Fundamentals, Analysis, Applications and Production" Molecules 28, no. 18: 6526. https://doi.org/10.3390/molecules28186526
APA StyleEvtyugin, D. D., Evtuguin, D. V., Casal, S., & Domingues, M. R. (2023). Advances and Challenges in Plant Sterol Research: Fundamentals, Analysis, Applications and Production. Molecules, 28(18), 6526. https://doi.org/10.3390/molecules28186526

