Abstract
Zanthoxylum myriacanthum Wall. ex Hook. f., a plant belonging to the Rutaceae family and the Zanthoxylum genus, is extensively utilized for its medicinal properties and as a culinary seasoning in China and Southeast Asian countries. However, the chemical composition and biological activities of Z. myriacanthum branches and leaves remain insufficiently explored. In this study, the volatile and non-volatile components of Z. myriacanthum branches and leaves were analyzed using GC-MS and UPLC-Q-Orbitrap HRMS techniques. A total of 78 volatile compounds and 66 non-volatile compounds were identified. The volatile compounds were predominantly terpenoids and aliphatic compounds, while the non-volatile compounds were primarily flavonoids and alkaloids. The branches contained 52 volatile compounds and 33 non-volatile compounds, whereas the leaves contained 48 volatile compounds and 40 non-volatile compounds. The antioxidant activities of the methanol extracts from Z. myriacanthum branches and leaves were evaluated using ABTS and DPPH free-radical-scavenging assays, both of which demonstrated certain antioxidant activity. The methanol extract of leaves demonstrated significantly higher antioxidant activity compared to that of the branches, possibly due to the higher presence of flavonoids and phenols in the leaves, with IC50 values of 7.12 ± 0.257 μg/mL and 1.22 × 102 ± 5.01 μg/mL for ABTS and DPPH, respectively. These findings enhance our understanding of the chemical composition and antioxidant potential of Z. myriacanthum. The plant holds promise as a natural source of antioxidants for applications in pharmaceuticals, cosmetics, and functional foods. Further research can explore its broader biological activities and potential applications.
1. Introduction
Zanthoxylum myriacanthum Wall. ex Hook. f., a member of the Rutaceae family and the Zanthoxylum genus, is widely distributed in the southern and southwestern regions of China, as well as in tropical areas of Vietnam, Myanmar, India, and other Southeast Asian countries. The traditional use of the root bark, stem bark, and young leaves of this plant as herbal medicines for various ailments, including trauma, pediatric hernia, snake bites, ulcers, rheumatism, and pain, has been well documented [1,2]. Z. myriacanthum comprises an original variety and a variant, namely Z. myriacanthum var. myriacanthum and Z. myriacanthum var. pubescens, respectively [1]. Z. myriacanthum var. pubescens, commonly known as “Maqian,” is extensively employed as a food flavoring agent in China. The plant exhibits branches, leaflets, and fruits that emanate a distinctive and potent aroma due to the abundance of small oil glands [3]. Existing research has predominantly focused on the chemical composition and biological properties of the essential oil derived from Z. myriacanthum fruits. These fruits are characterized by a high essential oil content, accounting for approximately 4% of their dry weight [4,5]. The essential oil obtained from Z. myriacanthum fruits is in high demand across various industries, including food flavoring, traditional medicine, perfumery, and pharmaceuticals [5]. Previous studies have identified the major constituents of Z. myriacanthum essential oil as primarily limonene (67.06%), α-pinene (6.49%), β-myrcene (3.87%), and linalool (2.96%) [6]. Importantly, essential oil is also present in Z. myriacanthum seed coats, seeds, and whole fruits, with limonene being the primary chemical constituent, constituting 46.0%, 69.9%, and 42.8% of their respective compositions [7]. Extensive studies have demonstrated the anti-inflammatory [8], antiviral [9], and antimicrobial activities of Z. myriacanthum essential oil [6].
In contrast, limited attention has been given to the chemical constituents and biological activities of the original variety, Z. myriacanthum var. myriacanthum. Only a few studies have reported on the insecticidal activity of its volatile components. A recent study conducted an analysis of the essential oils derived from Z. myriacanthum fruit using GC-MS. The study found that dl-limonene accounted for 29.75% and sabinene for 9.76% of the essential oil composition. In the dichloromethane extract, the main components were identified as limonene (40.70%) and sabinene (16.60%). The fruit extract of Z. myriacanthum demonstrated insecticidal and repellent activities against two species of spider mites [10]. Moreover, the essential oil extracted from Z. myriacanthum exhibited insecticidal and repellent effects on three different pests, namely Tribolium castaneum, Lasioderma serricorne, and Liposcelis bostrychophila. These findings indicate that Z. myriacanthum essential oil has potential as a natural insecticide and repellent, offering valuable applications in the management of stored pests [11]. The non-volatile components of Z. myriacanthum have received limited attention, with only early literature reporting the isolation and identification of phenantridine alkaloids in Z. myriacanthum [12,13].
Therefore, the primary objective of this study was to explore the chemical composition and antioxidant activities of the branches and leaves of Z. myriacanthum var. myriacanthum, which have not been extensively investigated thus far. To achieve this goal, we employed GC-MS and UPLC-Q-Orbitrap HRMS techniques for the analysis of volatile and non-volatile components, respectively. Furthermore, the antioxidant potential of methanol extracts was assessed through DPPH and ABTS radical scavenging assays. These investigations contribute to a better understanding of the chemical constituents and potential health benefits of Z. myriacanthum. In conclusion, our study sheds light on the previously unexplored branches and leaves of Z. myriacanthum, providing valuable insights into their chemical composition and antioxidant activities. These findings pave the way for further research and the development of novel applications in the fields of medicine, functional foods, and natural product-based antioxidants. Moreover, they contribute to the overall knowledge and rational utilization of Z. myriacanthum.
2. Results
2.1. GC-MS Analysis of Volatile Components from Branches and Leaves of Z. myriacanthum
GC-MS analysis of the volatile components extracted from the branches and leaves of Z. myriacanthum led to the identification of 78 compounds, accounting for 82.91% and 87.79% of the total oil content, respectively. These compounds included 45 terpenoids, 29 aliphatic compounds, and 4 aromatic compounds. Among the volatile oil extracts from the branches, the highest proportions were observed for bicyclo[3.1.0]hexane (20.65%), terpinen-4-ol (13.34%), and γ-Terpinene (5.03%), all of which belong to the terpenoid group. Similarly, in the leaves, the highest proportions were found for D-Limonene (23.42%), caryophyllene (9.74%), and terpinen-4-ol (7.97%), also belonging to the terpenoid group. Detailed information on these volatile compounds found in the branches and leaves of Z. myriacanthum is provided in Table 1. Furthermore, the GC-MS chromatograms of volatile components extracted from the branches and leaves of Z. myriacanthum are shown in Figures S1 and S2 of the Supplementary Materials.
Table 1.
Identified constituents and composition of volatile components in Z. myriacanthum branches and leaves by GC-MS.
2.2. UPLC-Q-Orbitrap HRMS Analysis of Non-Volatile Components from Branches and Leaves of Z. myriacanthum
A comprehensive analysis using UPLC-Q-Orbitrap HRMS revealed the presence of 66 non-volatile components in the methanol extract of Z. myriacanthum branches and leaves. These compounds encompassed a variety of classes, including 25 flavonoids, 17 alkaloids, 9 fatty acids, 4 phenols, 3 phenylpropanoids, 3 esters, and 5 other compounds. For detailed information on these compounds, please refer to Table 2. The UPLC-Q-Orbitrap HRMS chromatograms illustrating the methanol extracts of Z. myriacanthum branches and leaves are presented in Figures S3–S6 of the Supplementary Materials.
Table 2.
Compounds identified in the methanol extract of Z. myriacanthum branches and leaves by UPLC-Q-Orbitrap HRMS.
2.3. Comparison of Constituents of Branches and Leaves of Z. myriacanthum
2.3.1. Comparison of Volatile Components
The comparison of volatile components between the leaves and branches of Z. myriacanthum reveals a combination of shared and distinct compounds. Table 1 offers a comprehensive summary of the chemical composition, and peak-area normalization enables the calculation of relative mass fractions. The leaves contain a total of 48 components: 12 aliphatic compounds (2, 10, 14, 19, 23, 36, 37, 38, 42, 51, 52 and 62), 3 aromatic compounds (4, 56 and 67), and 33 terpenoids (6, 8, 11, 13, 16, 22, 25, 26, 27, 28, 29, 30, 31, 34, 43, 44, 46, 47, 49, 54, 58, 59, 60, 64, 65, 66, 68, 69, 70, 72, 73 and 75). The branches contain a total of 52 components: 26 aliphatic compounds (1, 2, 3, 7, 10, 12, 14, 18, 21, 23, 24, 32, 35, 38, 39, 40, 41, 42, 45, 48, 51, 52, 55, 62, 77 and 78), 3 aromatic compounds (4, 33 and 56), and 23 terpenoids (5, 6, 8, 9, 11, 13, 15, 17, 20, 22, 25, 26, 28, 31, 46, 47, 50, 53, 57, 61, 63, 71 and 74). A comparison of the volatile components allows for the identification of both shared and distinctive compounds. The shared volatile component consists of 9 aliphatic compounds, namely 2,4-dimethylheptane (2), β-myrcene (10), 4-methyldecane (14), β-linalool (23), tetradecane (38), 2,6,11-trimethyldodecane (42), 2,6,10-trimethyltetradecane (51), heptadecane (52), and 1,6,10-dodecatrien-3-ol (62). In addition, there are 2 aromatic compounds, styrene (4) and 2,4-di-tert-butylphenol (56), and 11 terpenes: α-pinene (6), bicyclo[3.1.0]hexane (8), α-phellandrene (11), α-terpinene (13), α-terpinolen (22), trans-p-menth-2-en-1-ol (25), terpinen-4-ol (26), α-terpineol (28), piperitol (31), caryophyllene (46), and α-caryophyllene (47). The structures of these compounds can be found in Figure S7 of the Supplementary Materials. These compounds are present in both the leaves and branches, indicating their ubiquity within the plant. Additionally, each part contains specific volatile components that are unique to it. The leaves exhibit 22 exclusive terpenoids, 3 exclusive aliphatic compounds and 1 exclusive aromatic compound, while the branches possess 17 unique aliphatic compounds, 12 unique terpenoids and 1 unique aromatic compound.
This comprehensive analysis unveils both the shared and distinct volatile components present in the leaves and branches of Z. myriacanthum. Further investigation of these compounds will advance our understanding of the plant’s chemical profile and its potential applications.
2.3.2. Comparison of Non-Volatile Components
The comparison of methanol extract components in Z. myriacanthum revealed a predominant abundance of flavonoids and alkaloids, accompanied by a lesser amount of alkaloids, amino acids, phenylpropanoids, and terpenes (Table 2). Specifically, the analysis of leaves identified 40 components, including 21 flavonoids (1, 9, 11, 12, 14, 15, 17, 19, 20, 21, 22, 24, 26, 27, 29, 32, 34, 36, 40, 41 and 48), 4 alkaloids (3, 5, 23, 58), 7 fatty acids (4, 7, 8, 43, 45, 50 and 53), 3 phenols (6, 31 and 35), 2 phenylpropanoids (10 and 13), 1 ester (16), and several other compounds (46). A total of 33 non-volatile components were identified in the branches, including 6 flavonoids (28, 32, 33, 39, 41, 54), 15 alkaloids (2, 5, 23, 25, 37, 38, 42, 47, 49, 51, 52, 59, 61, 63 and 65), 4 fatty acids (7, 44, 45 and 57), 1 phenylpropanoid (30), 3 esters (16, 56 and 66), and several other compounds (19, 55, 60 and 64). The non-volatile components identified in the methanol extracts of Z. myriacanthum branches and leaves exhibited significant variations. Among these components, only 7 were shared between them. These components include kynurenic acid (5), d-(−)-quinic acid (7), 3-(benzoyloxy)-2-hydroxypropyl-β-d-glucopyranosiduronic acid (16), N-acetyltryptophan (23), diosmin (32), didymin (41), and (9Z)-5,8,11-trihydroxy-9-octadecenoic acid (45). The structures of these compounds can be found in Figure S8 of the supplementary materials. This comprehensive analysis of methanol extract components offers valuable insights into the overlapping and distinctive chemical profiles of Z. myriacanthum leaves and branches. Further investigations into these compounds will contribute to a more profound understanding of their potential biological activities and therapeutic applications.
2.4. Antioxidant Activity
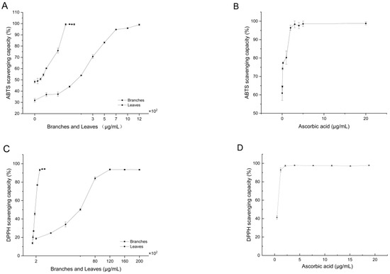
In this study, the branches and leaves of Z. myriacanthum were assessed using ABTS and DPPH radical scavenging assays, respectively, and compared to ascorbic acid standards, and Figure 1 displayed the outcomes. The results obtained from the ABTS and DPPH antioxidant assays demonstrated that the leaves of Z. myriacanthum (ABTS: 7.12 ± 0.257 μg/mL, DPPH: 1.22 × 102 ± 5.01 μg/mL) exhibited superior antioxidant activity compared to that of the branches (ABTS: 5.54 × 101 ± 4.34 μg/mL, DPPH: 2.93 × 103 ± 8.43 × 101 μg/mL), as indicated in Table 3. However, both were less potent than the antioxidant activity of ascorbic acid (ABTS: 6.12 × 10−3 ± 1.76 × 10−3 μg/mL, DPPH: 8.12 ± 4.20 × 10−2 μg/mL).
Figure 1.
The radical scavenging capacity of methanol extracts of branches and leaves of Z. myriacanthum compared with that of ascorbic acid. (A) ABTS scavenging capacity of leaves and branches, (B) ABTS scavenging capacity of ascorbic acid control, (C) DPPH scavenging capacity of leaves and branches, and (D) ABTS scavenging capacity of ascorbic acid control. Each data point represents the mean ± SD of three replicates (N = 3) at different concentrations.
Table 3.
IC50 values of the DDPH and ABTS antioxidant activities of methanol extracts of branches and leaves of Z. myriacanthum compared with those of ascorbic acid.
3. Discussion
The present study aimed to analyze the volatile and methanol-extract components of Z. myriacanthum branches and leaves and evaluate their antioxidant activity. The findings shed light on the chemical composition and potential applications of this plant.
In the analysis of volatile components, GC-MS analysis identified a total of 78 compounds in the branches and leaves, with 45 terpenoids, 29 aliphatic compounds, and 4 aromatic compounds. The major volatile components differed between the branches and leaves, with bicyclo[3.1.0]hexane, terpinen-4-ol, and γ-Terpinene being predominant in the branches, and D-Limonene, caryophyllene, and terpinen-4-ol being major components in the leaves. The comparison between branches and leaves identified shared volatile compounds, including aliphatic compounds, aromatic compounds, and terpenoids. Additionally, each part had unique volatile components, with the leaves containing 22 exclusive terpenoids, 3 exclusive aliphatic compounds, and 1 exclusive aromatic compound, while the branches had 17 unique aliphatic compounds, 12 unique terpenoids, and 1 unique aromatic compound. Using GC-MS technology, previous studies have also identified terpenoids, such as limonene and sabinene, in Z. myriacanthum, highlighting their anti-insect activity. Similarly, this study identified terpenoids like D-limonene, as well as aliphatic and aromatic compounds [6]. The volatile components terpinen-4-ol, γ-terpinene, and D-limonene found both in branches and leaves of Z. myriacanthum have demonstrated anti-cancer, anti-inflammatory, and immunomodulatory activities in previous research. Terpinen-4-ol has been shown to enhance the effects of various chemotherapeutic and biological agents, potentially acting as an anticancer agent [67]. γ-Terpinene has demonstrated anti-inflammatory properties by reducing paw edema and inhibiting neutrophil migration and the production of pro-inflammatory cytokines [68]. D-limonene and its metabolites have been found to modulate the immune response by inhibiting the production of certain cytokines and inducing T lymphocyte death [69].
In the analysis of methanol extracts, a total of 66 compounds were identified in the branches and leaves of Z. myriacanthum, belonging to various classes such as flavonoids, alkaloids, fatty acids, phenols, phenylpropanoids, esters, and other compounds. The comparison of chemical composition between branches and leaves revealed both shared and unique compounds. Only a few components were shared between the two parts, while the majority of compounds were exclusive to either branches or leaves. Z. myriacanthum is rich in flavonoids, which have garnered attention due to their medicinal properties and effectiveness [70]. Diosmin, identified in the methanol extract of branches and leaves, possesses antioxidant activity. Administration of diosmin has been shown to reduce oxidative stress markers significantly [71]. Previous studies have indicated the antioxidant potential of Z. myriacanthum fruits. The essential oil derived from the fruits exhibited strong renal protective effects by alleviating oxidative stress in diabetic mice [8]. Additionally, the use of the supercritical fluid extraction (SFE) method to obtain extracts from Z. myriacanthum fruits showed significant antioxidant activity in DPPH and ABTS assays, with IC50 values of 26.06 and 19.90 μg/mL, respectively [72]. In this study, the antioxidant activity of methanol extracts from Z. myriacanthum branches and leaves was evaluated. The results revealed the antioxidant potential of the methanol extracts, particularly the leaf extract. This disparity may be attributed to the presence of unique active ingredients in the leaves, including 19 flavonoids and 4 phenols. The IC50 values of ABTS and DPPH assays were found to be 7.12 ± 0.257 and 1.22 × 102 ± 5.01 μg/mL, respectively. It is noteworthy that these concentrations represent the dry mass powder per 1 mL of solvent, indicating better antioxidant activity compared to the previously reported DPPH and ABTS antioxidant activities of Z. myriacanthum.
In conclusion, GC-MS and UPLC-Q-Orbitrap HRMS analyses were employed to investigate the volatile oil and methanol extracts of Z. myriacanthum branches and leaves, revealing a diverse array of compounds. The comparison between the two parts highlighted both shared and distinctive components, contributing to a better understanding of the plant’s chemical profile. Furthermore, the antioxidant activity of Z. myriacanthum leaves and branches was demonstrated, emphasizing their potential as a natural source of antioxidants. These findings provide a foundation for future studies exploring the biological activities and potential applications of Z. myriacanthum in various fields, including pharmaceuticals, cosmetics, and functional foods.
4. Materials and Methods
4.1. Plant Material and Extraction
4.1.1. Plant Material
Z. myriacanthum was collected from Yunfu, China in April 2023. The plant materials were identified by Dr. Xinger Ye, College of Traditional Chinese Medicine Resources, Guangdong Pharmaceutical University.
4.1.2. Hydro-Distillation of Volatile Components and Preparation of Methanol Extracts
Fresh branches and leaves of Z. myriacanthum weighing 50 g were finely minced and placed in 500 mL of distilled water. The mixture was then subjected to hydro-distillation using a Clevenger-type apparatus for 4 h. The resulting volatile oil was extracted using n-hexane, dried with anhydrous sodium sulfate, and stored in a brown glass bottle at a temperature of 4–6 °C until analysis.
For the preparation of methanol extracts, 1.0 g of dried branches and leaf powder from Z. myriacanthum was weighed and mixed with 50 mL of methanol. The mixture was thoroughly blended and subjected to ultrasound-assisted extraction for 30 min at a temperature of 50 °C. Subsequently, the mixture was cooled to room temperature, and any weight loss was compensated for by adding methanol. A 10 mL aliquot of the supernatant was transferred to a centrifuge tube and centrifuged at a speed of 4500 r/min for 15 min. After centrifugation, 200 μL of the supernatant was taken, diluted to 1 mL with methanol, thoroughly mixed, and filtered through a 0.22 μm filter.
4.2. The Main Chemicals and Reagents
UPLC-Q-Orbitrap HRMS analysis was conducted using the Vanquish Flex UHPLC system and Orbitrap Exploris 120 quadrupole electrostatic field orbital well high-resolution mass spectrometer from Thermo Fisher Scientific (Waltham, MA, USA). Gas chromatography-mass spectrometry (GC-MS) analysis was performed using the Agilent 8890 GC System-5977B GC/MSD from Agilent Technologies (Santa Clara, CA, USA). The absorbance measurements were recorded using the Agilent Synergy H1 multifunction microplate reader (Agilent Technologies, USA). The DFY-300C Swing Crusher was obtained from Wenling Linda Machinery Co., Ltd. (Wenling, China). The ATY 1/24 million balance was supplied by Shimadzu Enterprise Management (China) Co., Ltd. (Beijing, China). The KQ-500DE Desktop CNC Ultrasonic Cleaner was acquired from Dongguan Keqiao Ultrasonic Equipment Co., Ltd. (Dongguan, China). The following chemicals were used: n-hexane (GC-grade), 1,1-diphenyl-2-trinitrophenylhydrazine (DPPH), and 2,2′-diazo-bis(3-ethylbenzothiazole-6-sulfonic acid) (ABTS) (purity > 98%) from Alsan Biotechnology Co., Guangzhou, China; ascorbic acid from Guangzhou Chemical Reagent Factory, Guangzhou, China; analytical grade methanol purchased from Da Mao Chemical Reagent Co., Ltd., Tianjin, China; chromatography-grade acetonitrile obtained from Honeywell Trading (Shanghai) Co., Ltd., Shanghai, China; and distilled water from Watsons, Hong Kong, China.
4.3. GC-MS Analysis
4.3.1. Instrumentation and Conditions
The substances in the samples were separated using an Agilent 8890 series gas chromatograph, and these substances were quantified and identified using an Agilent 5977B series mass spectrometer. The chromatographic conditions of the Agilent 8890 were as follows: The chromatographic column used was an Agilent 19091S-433UI: 0263036H column with dimensions of 30 m × 250 µm × 0.25 µm. The sample injection volume was 1 μL, and the injection port temperature was set to 250 °C. The temperature program employed was as follows: starting at 50 °C for 0 min, then ramping to 140 °C at a rate of 6 °C/min, followed by an increase to 160 °C at a rate of 2.5 °C/min, and finally reaching 240 °C at a rate of 12 °C/min, with a hold time of 5 min. The carrier gas used was high-purity helium with a flow rate of 1 mL/min, and the injection port was operated in the undivided mode. The GC column was directly connected to an Agilent 5977B series mass selective detector with an ion source for mass spectrometry analysis. The electron ionization (EI) source was utilized for ionization, with the analyte being ionized at 70 eV and 230 °C in the ion source. The scanning mass range was set from 50 to 550.
4.3.2. Data Analysis and Identification of Compounds
The raw data files were imported into Qualitative Analysis 10.0 software for further analysis. Peak integration and extraction of mass spectra were conducted using this software. The extracted mass spectra were compared against the NIST standard library for identification. Additionally, peak extraction and alignment were performed on the raw data. The identification of compounds was accomplished by combining relevant literature and utilizing online databases.
4.4. UPLC-Q-Orbitrap HRMS Analysis
4.4.1. Instrumentation and Conditions
The UPLC-Q-Orbitrap HRMS analysis was conducted using the Vanquish Flex UHPLC system coupled with the Orbitrap Exploris 120 quadrupole electrostatic field orbital well high-resolution mass spectrometer. A Hypersil GOLD C18 analytical column (100 mm × 2.1 mm, 5 µm) from Thermo Fisher Scientific was employed for separation at a temperature of 35 °C. The mobile phase consisted of acetonitrile (A) and water/formic acid 0.1% v/v (B), and a gradient elution method was applied at a flow rate of 0.3 mL/min. The gradient conditions were as follows: 95% to 80% B from 0 to 5 min, 80% to 75% B from 5 to 8 min, 75% to 5% B from 8 to 20 min, 5% B at 20–22 min, 5% to 95% B from 22 to 22.001 min, and finally 95% B from 22.001 to 25 min. The sample injection volume was 2.0 µL.
The mass spectrometer operated in both positive and negative ion modes. The MS detection parameters were optimized as follows: spray voltage of +3.5 kV for positive ion mode and −2.8 kV for negative ion mode, ion transfer tube temperature of 325 °C, sheath gas at 50 arbitrary units, AUX gas at 8 arbitrary units, sweep gas at 1 arbitrary unit, vaporizer temperature at 350 °C, RF Lens at 70%, scan range of m/z 100–1500, and a resolution of 60,000 (MS) and 15,000 (MS2). Stepped normalized collision energy (NCE) of 20%, 40%, and 60% was applied, and Orbitrap mass calibration was performed once a week to ensure accurate mass measurement.
4.4.2. Data Analysis and Identification of Compounds
The raw data files were imported into the Compound Discoverer 3.3 software for further analysis. Peak extraction and alignment of the original data were performed using the compound identification-method template. The secondary fragment spectra were matched against the mzCloud and mzVault databases. The matching results underwent filtering based on the following criteria: elimination of blank background ions, quality deviation of primary and secondary levels within 5 ppm, and a minimum mzCloud or mzVault score of 80. The filtered ions were then compared with the compound information in the database. Further analysis of the compounds was conducted by considering relevant literature and utilizing online databases such as PubChem, CNKI, and PubMed.
4.5. Antioxidant Activity
4.5.1. ABTS Radical Scavenging Assay
The 2,2′-azino-bis-3-ethylbenzthiazoline-6-sulphonic acid (ABTS) solution was prepared in advance. One milliliter of extracts from branches and leaves was mixed with one milliliter of ABTS solution. The mixture was then allowed to react at room temperature for 30 min in the dark. The absorbance at 734 nm was recorded using a microplate reader from Agilent [73,74]. The IC50 value represents the concentration of the phenolic extract required to scavenge 50% of the ABTS radicals. The ABTS radical scavenging capacity was determined using Equation (1):
where A0 represents the absorbance of the control (methanol replacing the sample), A1 represents the absorbance of the sample, and A2 represents the absorbance of the sample and ethanol without ABTS.
4.5.2. DPPH Radical Scavenging Assay
In the experiment, a 1,1-diphenyl-2-trinitrophenylhydrazine (DPPH) solution with a concentration of 0.3 mmol/L was prepared. Then, 100 μL of the DPPH solution was added to each well of a 96-well plate. Subsequently, 100 μL of different concentrations of extracts from branches and leaves were added to the wells. The reaction took place in a dark environment at room temperature for 30 min. After the reaction, the absorbance of the samples was measured at 517 nm using a microplate reader (Agilent, Shanghai, China). The IC50 value represents the concentration of the phenolic extract required to scavenge 50% of the DPPH radicals. The DPPH radical scavenging capacity was calculated using the following Equation (2):
where A0 represents the absorbance of the control (methanol replacing the sample), A1 represents the absorbance of the sample, and A2 represents the absorbance of the sample and ethanol without DPPH.
4.5.3. Statistical Analysis
All experiments were repeated three times, and the results were expressed as mean ± SD.
5. Conclusions
This study comprehensively analyzed the chemical composition and antioxidant activities of Z. myriacanthum branches and leaves using GC-MS and UPLC-Q-Orbitrap HRMS techniques. The results revealed a rich diversity of volatile and non-volatile compounds in both parts of the plant. The volatile compounds mainly consisted of terpenoids and aliphatic compounds, exhibiting distinct differences between the two plant parts. The analysis of methanol extracts identified various classes of compounds, including flavonoids, alkaloids, fatty acids, and phenols. The leaves showed significantly higher antioxidant activity compared to the branches, attributed to the presence of unique active ingredients, such as flavonoids and phenols. These findings underscore the plant’s potential as a natural antioxidant source for pharmaceuticals, cosmetics, and functional foods. Further research is warranted to explore its broader biological activities and potential applications in various industries. Overall, this study contributes to a deeper understanding of Z. myriacanthum’s therapeutic properties and encourages further investigation into its diverse potential.
Supplementary Materials
The following supporting information can be downloaded at: https://www.mdpi.com/article/10.3390/molecules28155631/s1, Figures S1 and S2: GC-MS chromatograms of Zanthoxylum myriacanthum; Figures S3–S6: UPLC-Q-Orbitrap HRMS chromatograms of Zanthoxylum myriacanthum. Figures S7 and S8: The structures of non-volatile and volatile components shared by branches and leaves of Zanthoxylum myriacanthum, respectively.
Author Contributions
Conceptualization, W.D. and Q.W.; methodology, L.D.; software, S.W. and J.L.; validation, W.D. and Y.T.; formal analysis, L.Z.; investigation, X.Y. and L.Z.; resources, W.D. and X.Y.; data curation, Y.T. and L.Z.; writing—original draft preparation, W.D. and L.Z.; writing—review and editing, W.D. and Q.W.; funding acquisition, W.D. All authors have read and agreed to the published version of the manuscript.
Funding
This research was funded by the following: the Guangzhou Basic Research Program Fund Project (No. 202102020630); the Project of Yunfu 2022 Traditional Chinese Medicine (Southern Medicines) Innovation Team (Yunfu Characteristic Southern Medicines Resources Research and Comprehensive Utilization Innovation Team); the research Fund Project of Guangdong Provincial Administration of Traditional Chinese Medicine (No. 20201199); and the research Project of Online Open Course Steering Committee of Undergraduate Colleges and Universities in Guangdong Province (No. 20222ZXKC248).
Institutional Review Board Statement
Not applicable.
Informed Consent Statement
Not applicable.
Data Availability Statement
Not applicable.
Conflicts of Interest
The authors declare no conflict of interest.
Sample Availability
Not available.
References
- Editorial Committee of Flora of China, Chinese Academy of Sciences. Flora of China, 1st ed.; Science Press: Beijing, China, 1997; Volume 43, pp. 36–37. [Google Scholar]
- Dong, L.H.; Guo, J.; Zhang, H.X. Chemical Composition and Anti–Inflammatory Effects of Essential Oil of Maqian (Zanthoxylum myriacanthum var. pubescens Huang) Collected in Three Locations of Xishuangbanna, Yunnan. Nat. Prod. Res. Dev. 2017, 29, 425–430. [Google Scholar]
- Zhang, H.L.; Gan, X.Q.; Fan, Q.F.; Yang, J.J.; Zhang, P.; Hu, H.B.; Song, Q.S. Chemical constituents and anti-inflammatory activities of Maqian (Zanthoxylum myriacanthum var. pubescens) bark extracts. Sci. Rep. 2017, 7, 45805. [Google Scholar] [PubMed]
- Suksathan, R.; Trisonthi, C.; Trisonthi, P.; Wangpakapattanawong, P. Notes on spice plants in the genus Zanthoxylum (Rutaceae) in northern Thailand. Thai For. Bull. 2009, 37, 197–204. [Google Scholar]
- Sriwichai, T.; Sookwong, P.; Siddiqui, M.W.; Sommano, S.R. Aromatic profiling of Zanthoxylum myriacanthum (makwhaen) essential oils from dried fruits using different initial drying techniques. Ind. Crops Prod. 2019, 133, 284–291. [Google Scholar] [CrossRef]
- Li, R.; Yang, J.J.; Shi, Y.X.; Zhao, M.; Ji, K.L.; Zhang, P.; Xu, Y.K.; Hu, H.B. Chemical composition, antimicrobial and anti–inflammatory activities of the essential oil from Magian (Z. myriacanthum var. pubescens) in Xishuangbanna, SW China. J. Ethnopharmacol. 2014, 158, 43–48. [Google Scholar] [CrossRef]
- Wongsrisom, N.; Jinata, J.; Manosan, B.; Kuntakhoo, J.; Wankuan, S.; Sriyam, S. Anti-bacterial activities of essential oils from Mah-Khwuaen (Zanthoxylum limonella Alston). Kmutt Res. Dev. J. 2014, 37, 3–15. [Google Scholar]
- Dahab, M.; Xu, Y.K.; Hu, H.B.; Zhang, P. The essential oil of Zanthoxylum myriacanthum var. pubescens attenuates diabetic nephropathy by reducing oxidative stress and inflammation. Eur. J. Immunol. 2019, 49, P0556. [Google Scholar]
- Yang, J.; Zhao, L.; Li, R.; Yan, Y.; Yin, J.; Dai, Q.; Guo, X.; Li, W.; Li, Y.; Liu, M.; et al. In vitro and in vivo antiviral activity of Maqian (Zanthoxylum myriacanthum var. pubescens) essential oil and its major constituents against strains of influenza virus. Ind. Crops Prod. 2022, 177, 114524. [Google Scholar] [CrossRef]
- Kruewong, W.; Auamcharoen, W. Acaricidal and Repellent Activity of Zanthoxylum myriacanthum (Rutaceae) Fruit Extracts Against Tetranychus urticae and Tetranychus truncatus (Acari: Tetranychidae). J. Entomol. Sci. 2023, 58, 119–134. [Google Scholar] [CrossRef]
- Li, B.Y.; Zhang, J.W.; Zheng, Y.; Wang, D.; Wan, C.F.; Du, S.S. Insecticidal and Repellent Effects of the Essential Oils Extract from Zanthoxylum myriacanthum against Three Storage Pests. Chem. Biodivers. 2023, 20, e202200493. [Google Scholar] [CrossRef]
- Sukari, M.A.; Salim, W.S.W.; Ibrahim, N.H.; Rahmani, M.; Aimi, N.; Kitajima, M. Phenanthridine alkaloids from Zanthoxylum myriacanthum. Fitoterapia 1999, 70, 197–199. [Google Scholar] [CrossRef]
- Waterman, P.G. Alkaloids from the root bark of Zanthoxylum myriacanthum. Phytochemistry 1975, 14, 2530. [Google Scholar] [CrossRef]
- Piccinelli, A.L.; Pagano, I.; Esposito, T.; Mencherini, T.; Porta, A.; Petrone, A.M.; Gazzerro, P.; Picerno, P.; Sansone, F.; Rastrelli, L.; et al. HRMS Profile of a Hazelnut Skin Proanthocyanidin–rich Fraction with Antioxidant and Anti–Candida albicans Activities. J. Agric. Food Chem. 2016, 64, 585–595. [Google Scholar] [CrossRef]
- Xiong, Y.Z.; Zhao, Z.; Cheng, J.; Li, J.Y.; Luo, L.; Li, P.; Li, M.Q.; Liu, X. Analysis and identification of main chemical components in ethanol extract of ramie seeds based on UPLC–orbitrap–HRMS technology. Mod. Food Sci. Technol. 2022, 38, 245–255. [Google Scholar]
- Yerra, N.V.; Dadinaboyina, S.B.; Vigjna Abbaraju, L.; Kumar Talluri, M.; Reddy Thota, J. Identification and characterization of degradation products of indacaterol using liquid chromatography/mass spectrometry. Eur. J. Mass Spectrom. 2020, 26, 425–431. [Google Scholar] [CrossRef] [PubMed]
- Zhou, J.; Fang, T.F.; Li, W.; Jiang, Z.D.; Zhou, T.S.; Zhang, L.; Yu, Y.B. Widely targeted metabolomics using UPLC–QTRAP–MS/MS reveals chemical changes during the processing of black tea from the cultivar Camellia sinensis (L.) O. Kuntze cv. Huangjinya. Food Res. Int. 2022, 162, 112169. [Google Scholar] [CrossRef] [PubMed]
- Coimbra, P.P.S.; Silva-e-Silva, A.C.A.G.; Antonio, A.S.; Pereira, H.M.G.; Veiga-Junior, V.F.; Felzenszwalb, I.; Araujo-Lima, C.F.; Teodoro, A.J. Antioxidant Capacity, Antitumor Activity and Metabolomic Profile of a Beetroot Peel Flour. Metabolites 2023, 13, 277. [Google Scholar] [CrossRef]
- Ke, J.P.; Dai, W.T.; Zheng, W.J.; Wu, H.Y.; Hua, F.; Hu, F.L.; Chu, G.X.; Bao, G.H. Two Pairs of Isomerically New Phenylpropanoidated Epicatechin Gallates with Neuroprotective Effects on H2O2–Injured SH–SY5Y Cells from Zijuan Green Tea and Their Changes in Fresh Tea Leaves Collected from Different Months and Final Product. J. Agric. Food Chem. 2019, 67, 4831–4838. [Google Scholar] [CrossRef] [PubMed]
- Xu, H.R.; Niu, H.B.; He, B.S.; Cui, C.; Li, Q.; Bi, K.S. Comprehensive qualitative ingredient profiling of Chinese herbal formula Wu–Zhu–Yu decoction via a mass defect and fragment filtering approach using high resolution mass spectrometry. Molecules 2016, 21, 664. [Google Scholar] [CrossRef] [PubMed]
- Wang, F.Y.; Zhang, Q.Q.; Lu, Z.W.; Wang, Q.; Wang, M.L.; Liu, Y.H.; Fu, S.; Gao, X.Y.; Tang, X.D. Identification of chemical constituents in traditional Chinese medicine formula using HPLC coupled with linear ion trap–Orbitrap MS from high doses of medicinal materials to equivalent doses of formula: Study on Xiang–Sha–Liu–Jun–Zi–Jia–Jian granules. J. Sep. Sci. 2016, 39, 1619–1627. [Google Scholar] [CrossRef]
- Charalambous, D.; Eliades, N.H.; Christoforou, M.; Kakouri, E.; Kanakis, C.; Tarantilis, P.A.; Pantelidou, M. Chemical Characterization, Antioxidant and Antimicrobial Properties of Different Types of Tissue of Cedrus brevifolia Henry Extracts. Molecules 2022, 27, 2717. [Google Scholar] [CrossRef] [PubMed]
- De Rosso, M.; Tonidandel, L.; Larcher, R.; Nicolini, G.; Dalla Vedova, A.; De Marchi, F.; Gardiman, M.; Giust, M.; Flamini, R. Identification of new flavonols in hybrid grapes by combined liquid chromatography–mass spectrometry approaches. Food Chem. 2014, 163, 244–251. [Google Scholar] [CrossRef]
- Zuniga-Lopez, M.C.; Maturana, G.; Campmajo, G.; Saurina, J.; Nunez, O. Determination of Bioactive Compounds in Sequential Extracts of Chia Leaf (Salvia hispanica L.) Using UHPLC–HRMS (Q–Orbitrap) and a Global Evaluation of Antioxidant In Vitro Capacity. Antioxidants 2021, 10, 1151. [Google Scholar] [CrossRef] [PubMed]
- Castaldo, L.; Narvaez, A.; Izzo, L.; Graziani, G.; Ritien, A. In vitro bioaccessibility and antioxidant activity of coffee silverskin polyphenolic extract and characterization of bioactive compounds using UHPLC–Q–Orbitrap HRMS. Molecules 2020, 25, 2132. [Google Scholar] [CrossRef] [PubMed]
- Sharif, S.; Nabais, P.; Melo, M.J.; Conceicao Oliveir, M. Traditional yellow dyes used in the 21st century in central Iran: The knowledge of master dyers revealed by HPLC–DAD and UHPLC–HRMS/MS. Molecules 2020, 25, 908. [Google Scholar] [CrossRef]
- Zhang, C.T.; Ma, Y.L.; Zhao, Y.X.; Hong, Y.Q.; Cai, S.B.; Pang, M.J. Phenolic composition, antioxidant and pancreatic lipase inhibitory activities of Chinese sumac (Rhus chinensis Mill.) fruits extracted by different solvents and interaction between myricetin–3–O–rhamnoside and quercetin–3–O–rhamnoside. Int. J. Food Sci. Technol. 2018, 53, 1045–1053. [Google Scholar] [CrossRef]
- Wang, Y.F.; Vorsa, N.; Harrington, P.B.; Chen, P. Nontargeted Metabolomic Study on Variation of Phenolics in Different Cranberry Cultivars Using UPLC–IM—HRMS. J. Agric. Food Chem. 2018, 66, 12206–12216. [Google Scholar] [CrossRef]
- Stander, M.A.; Van Wyk, B.; Taylor, M.J.C.; Long, H.S. Analysis of Phenolic Compounds in Rooibos Tea (Aspalathus linearis) with a Comparison of Flavonoid–Based Compounds in Natural Populations of Plants from Different Regions. J. Agric. Food Chem. 2017, 65, 10270–10281. [Google Scholar] [CrossRef]
- Hao, C.Y.; Yu, Y.T.; Zhang, X.T.; Dong, G.Q.; Liu, Y.; Chen, S. Nontarget metabolites of rhizomes of edible sacred lotus provide new insights into rhizome browning. J. Food Qual. 2022, 2022, 3943052. [Google Scholar] [CrossRef]
- Regueiro, J.; Sanchez-Gonzalez, C.; Vallverdu-Queralt, A.; Simal-Gandara, J.; Lamuela-Raventos, R.; Izquierdo-Pulido, M. Comprehensive identification of walnut polyphenols by liquid chromatography coupled to linear ion trap–Orbitrap mass spectrometry. Food Chem. 2014, 152, 340–348. [Google Scholar] [CrossRef]
- Mansour, A.; Celano, R.; Mencherini, T.; Picerno, P.; Piccinelli, A.L.; Foudil-Cherif, Y.; Csupor, D.; Rahili, G.; Yahi, N.; Nabavi, S.M.; et al. A new cineol derivative, polyphenols and norterpenoids from Saharan myrtle tea (Myrtus nivellei): Isolation, structure determination, quantitative determination and antioxidant activity. Fitoterapia 2017, 119, 32–39. [Google Scholar] [CrossRef] [PubMed]
- Jerman Klen, T.; Golc Wondra, A.; Vrhovsek, U.; Mozetic Vodopivec, B. Phenolic Profiling of Olives and Olive Oil Process–Derived Matrices Using UPLC–DAD–ESI–QTOF–HRMS Analysis. J. Agric. Food Chem. 2015, 63, 3859–3872. [Google Scholar] [CrossRef] [PubMed]
- Uysal, S.; Gevrenova, R.; Sinan, K.; Bayarslan, A.U.; Altunoglu, Y.C.; Zheleva-Dimitrova, D.; Ak, G.; Baloglu, M.C.; Etienne, O.K.; Lobine, D.; et al. New perspectives into the chemical characterization of Sida acuta Burm. f. extracts with respect to its anti–cancer, antioxidant and enzyme inhibitory effects. Process Biochem. 2021, 105, 91–101. [Google Scholar] [CrossRef]
- He, C.M.; Cheng, Z.H.; Chen, D.F. Qualitative and quantitative analysis of flavonoids in Sophora tonkinensis by LC/MS and HPLC. Chin. J. Nat. Med. 2013, 11, 690–698. [Google Scholar] [CrossRef] [PubMed]
- Yang, L.; Li, A.P.; Chen, M.; Yan, Y.; Liu, Y.T.; Li, K.; Jia, J.P.; Qin, X.M. Comprehensive investigation of mechanism and effective ingredients of Fangji Huangqi Tang by serum pharmacochemistry and network pharmacology. Biomed. Chromatogr. 2020, 34, e4785. [Google Scholar] [CrossRef]
- Zhong, J.Y.; Ren, D.B.; Shang, Y.; Huang, S.C.; Li, Y.; Hu, Y.D.; Yi, L.Z. Targeted identification of glycosylated flavones and isomers in green tea through integrated ion–filtering strategy and mass–fragmentation characteristics based on the UPLC–Q–Orbitrap–MS/MS platform. Food Chem. 2022, 377, 131901. [Google Scholar] [CrossRef]
- Nijat, D.; Abdulla, R.; Liu, G.; Luo, Y.; Aisa, H.A. Identification and quantification of Meiguihua oral solution using liquid chromatography combined with hybrid quadrupole–orbitrap and triple quadrupole mass spectrometers. J. Chromatogr. B 2020, 1139, 121992. [Google Scholar] [CrossRef]
- Zhong, J.S.; Huang, Y.Y.; Ding, W.J.; Wu, X.F.; Wan, J.Z.; Luo, H.B. Chemical constituents of Aloe barbadensis Miller and their inhibitory effects on phosphodiesterase–4D. Fitoterapia 2013, 91, 159–165. [Google Scholar] [CrossRef]
- Pagliari, S.; Cannavacciuolo, C.; Celano, R.; Carabetta, S.; Russo, M.; Labra, M.; Campone, L. Valorisation, Green Extraction Development, and Metabolomic Analysis of Wild Artichoke By–Product Using Pressurised Liquid Extraction UPLC–HRMS and Multivariate Data Analysis. Molecules 2022, 27, 7157. [Google Scholar] [CrossRef]
- Yu, F.J.; Qian, H.; Zhang, J.Y.; Sun, J.; Ma, Z.G. Simultaneous quantification of eight organic acid components in Artemisia capillaris Thunb (Yinchen) extract using high–performance liquid chromatography coupled with diode array detection and high–resolution mass spectrometry. J. Food Drug Anal. 2018, 26, 788–795. [Google Scholar] [CrossRef]
- Navarro-Hoyos, M.; Arnaez-Serrano, E.; Quesada-Mora, S.; Azofeifa-Cordero, G.; Wilhelm-Romero, K.; Quiros-Fallas, M.I.; Alvarado-Corella, D.; Vargas-Huertas, F.; Sanchez-Kopper, A. HRMS Characterization, Antioxidant and Cytotoxic Activities of Polyphenols in Malus domestica Cultivars from Costa Rica. Molecules 2021, 26, 7367. [Google Scholar] [CrossRef]
- Kritikou, E.; Kalogiouri, N.P.; Kolyvira, L.; Thomaidis, N.S. Target and suspect HRMS metabolomics for the determination of functional ingredients in 13 varieties of olive leaves and drupes from Greece. Molecules 2020, 25, 4889. [Google Scholar] [CrossRef]
- He, C.M.; Huang, W.B.; Xue, X.M.; Liang, Z.K.; Ye, H.; Li, K.P.; Yuan, X.J. UPLC–MS fingerprints, phytochemicals and quality evaluation of flavonoids from Abrus precatorius leaves. J. Food Compos. Anal. 2022, 110, 104585. [Google Scholar] [CrossRef]
- Tian, F.; He, X.; Sun, J.; Liu, X.; Zhang, Y.; Cao, H.; Wu, M.; Ma, Z. Simultaneous quantitative analysis of nine constituents in six Chinese medicinal materials from Citrus genus by high–performance liquid chromatography and high–resolution mass spectrometry combined with chemometric methods. J. Sep. Sci. 2020, 43, 736–747. [Google Scholar] [CrossRef] [PubMed]
- Fan, Z.F.; Wang, Y.D.; Yang, M.L.; Cao, J.X.; Khan, A.; Cheng, G.G. UHPLC–ESI–HRMS/MS analysis on phenolic compositions of different E Se tea extracts and their antioxidant and cytoprotective activities. Food Chem. 2020, 318, 126512. [Google Scholar] [CrossRef] [PubMed]
- Chiriac, E.R.; Chitescu, C.L.; Borda, D.; Lupoae, M.; Gird, C.E.; Geana, E.; Blaga, G.; Boscencu, R. Comparison of the polyphenolic profile of Medicago sativa L. and Trifolium pratense L. sprouts in different germination stages using the UHPLC–Q exactive hybrid quadrupole Orbitrap high–resolution mass spectrometry. Molecules 2020, 25, 2321. [Google Scholar] [CrossRef]
- Xiao, X.; Ren, W.; Zhang, N.; Bing, T.; Liu, X.J.; Zhao, Z.W.; Shangguan, D.H. Comparative study of the chemical constituents and bioactivities of the extracts from fruits, leaves and root barks of Lycium barbarum. Molecules 2019, 24, 1585. [Google Scholar] [CrossRef] [PubMed]
- Gao, X.X.; Wang, N.; Jia, J.P.; Wang, P.Y.; Zhang, A.R.; Qin, X.M. Chemical profiling of Dingkun Dan by ultra High performance liquid chromatography Q exactive orbitrap high resolution mass spectrometry. J. Pharmaceut. Biomed. 2020, 177, 112732. [Google Scholar] [CrossRef] [PubMed]
- Fu, L.; Sun, Y.Q.; Ding, L.; Wang, Y.Y.; Gao, Z.; Wu, Z.; Wang, S.M.; Li, W.; Bi, Y.F. Mechanism evaluation of the interactions between flavonoids and bovine serum albumin based on multi–spectroscopy, molecular docking and Q–TOF HR–MS analyses. Food Chem. 2016, 203, 150–157. [Google Scholar] [CrossRef]
- Xu, L.; Xu, J.; Zhong, K.; Shang, Z.; Wang, F.; Wang, R.; Zhang, L.; Zhang, J.; Liu, B. Analysis of non–volatile chemical constituents of menthae haplocalycis herba by ultra–high performance liquid chromatography–high resolution mass spectrometry. Molecules 2017, 22, 1756. [Google Scholar] [CrossRef]
- Ma, T.C.; Lin, J.P.; Gan, A.; Sun, Y.X.; Sun, Y.; Wang, M.S.; Wan, M.Q.; Yan, T.X.; Jia, Y. Qualitative and quantitative analysis of the components in flowers of Hemerocallis citrina Baroni by UHPLC–Q–TOF–MS/MS and UHPLC–QQQ–MS/MS and evaluation of their antioxidant activities. J. Food Compos. Anal. 2023, 120, 105329. [Google Scholar] [CrossRef]
- Ockey, D.A.; Dotson, J.L.; Struble, M.E.; Stults, J.T.; Bourell, J.H.; Clark, K.R.; Gadek, T.R. Structure–activity relationships by mass spectrometry: Identification of novel MMP–3 inhibitors. Bioorg. Med. Chem. 2004, 12, 37–44. [Google Scholar] [CrossRef] [PubMed]
- Li, B.H.; Fu, Y.J.; Xi, H.; Liu, S.; Zhao, W.D.; Li, P.; Fan, W.; Wang, D.Z.; Sun, S.H. Untargeted Metabolomics Using UHPLC–HRMS Reveals Metabolic Changes of Fresh–Cut Potato during Browning Process. Molecules 2023, 28, 3375. [Google Scholar] [CrossRef] [PubMed]
- Tkalec, Z.; Codling, G.; Tratnik, J.S.; Mazej, D.; Klanova, J.; Horvat, M.; Kosjek, T. Suspect and non–targeted screening–based human biomonitoring identified 74 biomarkers of exposure in urine of Slovenian children. Environ. Pollut. 2022, 313, 120091. [Google Scholar] [CrossRef]
- Angelini, P.; Girometta, C.; Tirillini, B.; Moretti, S.; Covino, S.; Cipriani, M.; D’Ellena, E.; Angeles, G.; Federici, E.; Savino, E.; et al. A comparative study of the antimicrobial and antioxidant activities of Inonotus hispidus fruit and their mycelia extracts. Int. J. Food Prop. 2019, 22, 768–783. [Google Scholar] [CrossRef]
- Ming, Q.L.; Dong, X.; Wu, S.J.; Zhu, B.; Jia, M.; Zheng, C.J.; Rahman, K.; Han, T.; Qin, L.P. UHPLC–HRMSn analysis reveals the dynamic metabonomic responses of Salvia miltiorrhiza hairy roots to polysaccharide fraction from Trichoderma atroviride. Biomolecules 2019, 9, 541. [Google Scholar] [CrossRef]
- Mohammadi, M.; Kharazian, N. Untargeted metabolomics study and identification of potential biomarkers in the six sections of the genus Stachys L. (Lamiaceae) using HPLC–MQ–API–MS/MS. Phytochem. Anal. 2022, 33, 915–942. [Google Scholar] [CrossRef]
- Onghena, M.; Van Hoeck, E.; Van Loco, J.; Ibanez, M.; Cherta, L.; Portoles, T.; Pitarch, E.; Hernandez, F.; Lemiere, F.; Covaci, A. Identification of substances migrating from plastic baby bottles using a combination of low–resolution and high–resolution mass spectrometric analysers coupled to gas and liquid chromatography. J. Mass Spectrom. 2015, 50, 1234–1244. [Google Scholar] [CrossRef]
- Chen, Y.; Chen, P.; Wang, Y.; Yang, C.; Wu, X.; Wu, C.; Luo, L.; Wang, Q.; Niu, C.; Yao, J. Structural characterization and anti–inflammatory activity evaluation of chemical constituents in the extract of Trifolium repens L. J. Food Biochem. 2019, 43, e12981. [Google Scholar] [CrossRef]
- Radman, S.; Cizmek, L.; Babic, S.; Cikos, A.; Coz-Rakovac, R.; Jokic, S.; Jerkovic, I. Bioprospecting of Less–Polar Fractions of Ericaria crinita and Ericaria amentacea: Developmental Toxicity and Antioxidant Activity. Mar. Drugs 2022, 20, 57. [Google Scholar] [CrossRef]
- Kildgaard, S.; Mansson, M.; Dosen, I.; Klitgaard, A.; Frisvad, J.C.; Larsen, T.O.; Nielsen, K.F. Accurate dereplication of bioactive secondary metabolites from marine–derived fungi by UHPLC–DAD–QTOFMS and a MS/HRMS library. Mar. Drugs 2014, 12, 3681–3705. [Google Scholar] [CrossRef] [PubMed]
- Yu, L.; Hu, X.L.; Xu, R.R.; Ba, Y.Y.; Chen, X.Q.; Wang, X.; Cao, B.; Wu, X. Amide alkaloids characterization and neuroprotective properties of Piper nigrum L.: A comparative study with fruits, pericarp, stalks and leaves. Food Chem. 2022, 368, 130832. [Google Scholar] [CrossRef] [PubMed]
- Lago, M.A.; Ackerman, L.K. Identification of print–related contaminants in food packaging. Food Addit. Contam. A 2016, 33, 518–529. [Google Scholar] [CrossRef]
- Dwiwibangga, Y.; Safitri, A.; Fatchiyah, F. Profiling of phytochemical compounds of east java red rice bran has the high–value biological activities as antioxidant and antidiabetic. Indones. J. Chem. 2022, 22, 1304–1320. [Google Scholar] [CrossRef]
- Jia, W.; Wang, X.; Wu, X.X.; Shi, L. Monitoring contamination of perchlorate migrating along the food chain to dairy products poses risks to human health. Food Chem. 2022, 374, 131633. [Google Scholar] [CrossRef] [PubMed]
- Shapira, S.; Pleban, S.; Kazanov, D.; Tirosh, P.; Arber, N. Terpinen–4–ol: A novel and promising therapeutic agent for human gastrointestinal cancers. PLoS ONE 2016, 11, e0156540. [Google Scholar] [CrossRef]
- Ramalho, T.R.O.; Pacheco de Oliveira, M.T.; Lima, A.L.A.; Bezerra–Santos, C.R.; Piuvezam, M.R. Gamma–Terpinene Modulates Acute Inflammatory Response in Mice. Planta Med. 2015, 81, 1248–1254. [Google Scholar] [CrossRef]
- Lappas, C.M.; Lappas, N.T. D–Limonene modulates T lymphocyte activity and viability. Cell. Immunol. 2012, 279, 30–41. [Google Scholar] [CrossRef]
- Huwait, E.; Mobashir, M. Potential and Therapeutic Roles of Diosmin in Human Diseases. Biomedicines 2022, 10, 1076. [Google Scholar] [CrossRef]
- Rehman, M.U.; Tahir, M.; Quaiyoom Khan, A.; Khan, R.; Lateef, A.; Hamiza, O.O.; Ali, F.; Sultana, S. Diosmin protects against trichloroethylene–induced renal injury in Wistar rats: Plausible role of p53, Bax and caspases. Br. J. Nutr. 2013, 110, 699–710. [Google Scholar] [CrossRef]
- Nadon, S.; Leksawasdi, N.; Jantanasakulwong, K.; Rachtanapun, P.; Ruksiriwanich, W.; Sommano, S.R.; Khaneghah, A.M.; Castagnini, J.M.; Barba, F.J.; Phimolsiripol, Y. Antioxidant and Antimicrobial Properties and GC-MS Chemical Compositions of Makwaen Pepper (Zanthoxylum myriacanthum) Extracted Using Supercritical Carbon Dioxide. Plants 2023, 12, 2211. [Google Scholar] [CrossRef] [PubMed]
- Liu, G.Y.; Zhu, W.Q.; Zhang, J.; Song, D.D.; Zhuang, L.W.; Ma, Q.; Yang, X.; Liu, X.F.; Zhang, J.X.; Zhang, H.J.; et al. Antioxidant capacity of phenolic compounds separated from tea seed oil in vitro and in vivo. Food Chem. 2022, 371, 131122. [Google Scholar] [CrossRef] [PubMed]
- Almeida, D.; Pinto, D.; Santos, J.; Vinha, A.F.; Palmeira, J.; Ferreira, H.N.; Rodrigues, F.; Oliveira, M.; Beatriz, P.P. Hardy kiwifruit leaves (Actinidia arguta): An extraordinary source of value–added compounds for food industry. Food Chem. 2018, 259, 113–121. [Google Scholar] [CrossRef] [PubMed]
Disclaimer/Publisher’s Note: The statements, opinions and data contained in all publications are solely those of the individual author(s) and contributor(s) and not of MDPI and/or the editor(s). MDPI and/or the editor(s) disclaim responsibility for any injury to people or property resulting from any ideas, methods, instructions or products referred to in the content. |
© 2023 by the authors. Licensee MDPI, Basel, Switzerland. This article is an open access article distributed under the terms and conditions of the Creative Commons Attribution (CC BY) license (https://creativecommons.org/licenses/by/4.0/).
