Theoretical Study on the Photoemission Performance of a Transmission Mode In0.15Ga0.85As Photocathode in the Near-Infrared Region
Abstract
1. Introduction
2. Results and Discussion
2.1. Geometrical Structure of In0.15Ga0.85As and Al0.63Ga0.37As
2.2. Device Design of the Transmission Mode In0.15Ga0.85As Photocathode
2.3. Band Structures and Density of States (DOS) of In0.15Ga0.85As and Al0.63Ga0.37As
2.4. Optical Properties of In0.15Ga0.85As and In0.63Ga0.37As
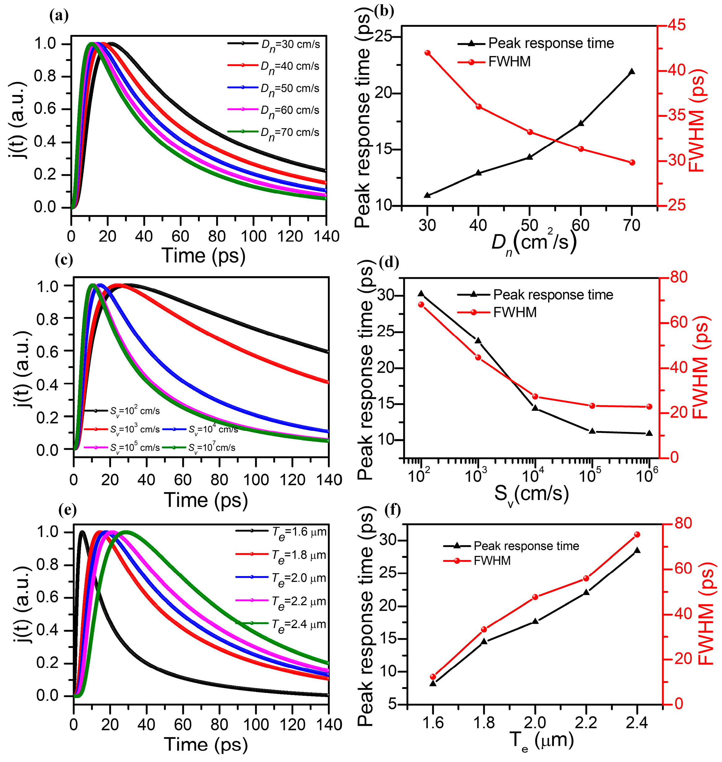
2.5. Time Response Characteristics of the In0.15Ga0.85As Photocathode
2.6. Quantum Efficiency of the In0.15Ga0.63As Photocathode
3. Methods
3.1. First Principles Calculations of In0.15Ga0.85As and Al0.63Ga0.37As
3.2. Calculation Methods for Photoemission Performance of the In0.15Ga0.85As Photocathode
4. Conclusions
Author Contributions
Funding
Institutional Review Board Statement
Informed Consent Statement
Data Availability Statement
Acknowledgments
Conflicts of Interest
Sample Availability
References
- Bae, J.K.; Cultrera, L.; Digiacomo, P.; Bazarov, I. Rugged spin-polarized electron sources based on negative electron affinity GaAs photocathode with robust Cs2Te coating. Appl. Phys. Lett. 2018, 112, 154101. [Google Scholar] [CrossRef]
- Gertman, R.; Harush, A.; Visoly-Fisher, I. Nanostructured photocathodes for infrared photodetectors and photovoltaics. J. Phys. Chem. C 2015, 119, 1683–1689. [Google Scholar] [CrossRef]
- Touach, N.; Benzaouak, A.; Toyir, J.; El Hamdouni, Y.; El Mahi, M.; Lotfi, E.M.; Labjar, N.; Kacimi, M.; Liotta, L.F. BaTiO3 functional perovskite as photocathode in microbial fuel cells for energy production and wastewater treatment. Molecules 2023, 28, 1894. [Google Scholar] [CrossRef] [PubMed]
- Wei, J.; Hu, Q.; Gao, Y.; Hao, N.; Qian, J.; Wang, K. Novel anti-interference strategy for a self-powered sensor: Mediator-free and biospecific photocathode interface. Anal. Chem. 2021, 93, 12690–12697. [Google Scholar] [CrossRef]
- Liu, L.; Zhangyang, X.; Lv, Z.; Lu, F.; Tian, J. Enhanced photoemission of field-assisted NEA AlGaN nanoporous array photocathode. Mat. Sci. Eng. B 2022, 277, 115606. [Google Scholar] [CrossRef]
- Machuca, F.; Zhi, L.; Maldonado, J.R.; Coyle, S.T.; Pianetta, P.; Pease, R. Negative electron affinity group III-nitride photocathode demonstrated as a high performance electron source. Journal of vacuum science & technology. B, Microelectronics and nanometer structures: Processing, measurement, and phenomena: An official. J. Am. Vacuum Soc. 2004, 22, 3565–3569. [Google Scholar]
- An, C.; Zhu, R.; Xu, J.; Liu, Y.; Yu, D. Quantum efficiency, intrinsic emittance, and response time measurements of a titanium nitride photocathode. Phys. Rev. Accel. Beams 2021, 24, 093401. [Google Scholar] [CrossRef]
- Wang, G.; Pandey, R.; Moody, N.A.; Batista, E.R. Degradation of alkali-based photocathodes from exposure to residual gases: A first-principles study. J. Phys. Chem. C 2017, 121, 8399–8408. [Google Scholar] [CrossRef]
- Abreu, V.J.; Skinner, W.R. Inversion of Fabry-Perot CCD images: Use in Doppler shift measurements. Appl. Opt. 1989, 28, 3382–3386. [Google Scholar] [CrossRef]
- Lewis, S.G.; Ghosh, D.; Jensen, K.L.; Finkenstadt, D.; Shabaev, A.; Lambrakos, S.G.; Liu, F.; Nie, W.; Blancon, J.C.; Zhou, L. Cesium-coated halide perovskites as a photocathode material: Modeling insights. J. Phys. Chem. Lett. 2021, 12, 6269–6276. [Google Scholar] [CrossRef]
- Tereshchenko, O.E.; Golyashov, V.A.; Rusetsky, V.S.; Kustov, D.A.; Mironov, A.V.; Demin, A.Y. Vacuum spin LED: First step towards vacuum semiconductor pintronics. Nanomaterials 2023, 13, 422. [Google Scholar] [CrossRef]
- Rusetsky, V.S.; Golyashov, V.A.; Eremeev, S.V.; Kustov, D.A.; Rusinov, I.P.; Shamirzaev, T.S.; Mironov, A.V.; Demin, A.Y.; Tereshchenko, O.E. New spin-polarized electron source based on alkali antimonide photocathode. Phys. Rev. Lett. 2022, 129, 166802. [Google Scholar] [CrossRef]
- Zou, J.; Ge, X.; Zhang, Y.; Deng, W.; Zhu, Z.; Wang, W.; Peng, X.; Chen, Z.; Chang, B. Negative electron affinity GaAs wire-array photocathodes. Opt. Express 2016, 24, 4632–4639. [Google Scholar] [CrossRef] [PubMed]
- Bazarov, I.V.; Dunham, B.M.; Li, Y.; Liu, X.; Ouzounov, D.G.; Sinclair, C.K.; Hannon, F.; Miyajima, T. Thermal emittance and response time measurements of negative electron affinity photocathodes. J. Appl. Phys. 2008, 103, 054901. [Google Scholar] [CrossRef]
- Loisch, G.; Chen, Y.; Koschitzki, C.; Qian, H.; Gross, M.; Hannah, A.; Hoffmann, A.; Kalantaryan, D.; Krasilnikov, M.; Lederer, S.; et al. Direct measurement of photocathode time response in a high-brightness photoinjector. Appl. Phys. Lett. 2022, 120, 104102. [Google Scholar] [CrossRef]
- Kusch, P.; Breuer, S.; Ramsteiner, M.; Geelhaar, L.; Riechert, H.; Reich, S. Band gap of wurtzite GaAs: A resonant Raman study. Phys. Rev. B 2012, 86, 075317. [Google Scholar] [CrossRef]
- Wang, X.; Wang, M.; Liao, Y.; Yang, L.; Ban, Q.; Zhang, X.; Wang, Z.; Zhang, S. Negative electron affinity of the GaN photocathode: A review on the basic theory, structure design, fabrication, and performance characterization. J. Mater. Chem. C 2021, 9, 13013–13040. [Google Scholar] [CrossRef]
- Yang, M.; Jin, M.; Chang, B. Spectral response of InGaAs photocathodes with different emission layers. Appl. Opt. 2016, 55, 8732–8737. [Google Scholar] [CrossRef]
- Diao, Y.; Liu, L.; Xia, S. Comparative study on electronic and optical properties for composition-tunable GaAlAs and InGaAs nanowires from first-principles calculation. Phys. E 2020, 117, 113843. [Google Scholar] [CrossRef]
- Tang, W.D.; Yang, W.Z.; Cai, Z.P.; Sun, C.D. The time response of exponential doping NEA InGaAs photocathode applied to near infrared streak cameras. Adv. Mater. Res. 2012, 415, 1403–1406. [Google Scholar] [CrossRef]
- Zhang, H.; Wang, W.; Yip, S.; Li, D.; Li, F.; Lan, C.; Wang, F.; Liu, C.; Ho, J.C. Enhanced performance of near-infrared photodetectors based on InGaAs nanowires enabled by a two-step growth method. J. Mater. Chem. C 2020, 8, 17025–17033. [Google Scholar] [CrossRef]
- Vandersmissen, R.; Merken, P. High-resolution InGaAs sensor pushing biomedical infrared optical coherence tomography. Adv. Opt. Technol. 2013, 2, 241–245. [Google Scholar] [CrossRef]
- Estrera, J.P.; Passmore, K.T. Transmission Mode 1.06 μm Photocathode for Night Vision and Method. U.S. Patent 5,506,402, 9 April 1996. [Google Scholar]
- Egorenkov, A.A.; Zubkov, V.I. Investigation of the quantum efficiency degradation over time for InGaAs photocathodes in hybrid devices for near infrared spectral range. J. Phys. Conf. Ser. 2021, 1799, 012007. [Google Scholar] [CrossRef]
- Cheng, H.; Duanmu, Q.; Shi, F.; Yan, L.; Feng, L.; Liu, H. Photoemission performance of transmission-mode GaAlAs/InGaAs photocathode. Optoelectron. Adv. Mater. 2012, 6, 788–792. [Google Scholar]
- Guo, J.; Chang, B.; Wang, M. Near-infrared photocathode In0.53Ga0.47As doped with zinc: A first principle study. Optik 2016, 127, 1268–1271. [Google Scholar] [CrossRef]
- Kashima, M.; Itokawa, Y.; Kanai, T.; Sato, D.; Koizumi, A.; Iijima, H.; Nishitani, T.; Honda, Y.; Amano, H.; Meguro, T. The photoemission characteristics of a NEA InGaN photocathode by simultaneously supplying Cs and O2. Appl. Surf. Sci. 2022, 599, 153882. [Google Scholar] [CrossRef]
- Wang, Z.; Zhang, Y.; Li, S.; Tang, S.; Zhang, J.; Qian, Y.; Shi, F.; Jiao, G.; Cheng, H.; Zeng, Y. Enhancement of near-infrared response of InGaAs photocathode through interaction of 1064 nm light with activated surface. Appl. Surf. Sci. 2023, 619, 156760. [Google Scholar] [CrossRef]
- Spicer, W.E.; Herrera-Gomez, A. Modern theory and applications of photocathodes. Photodetectors Power Meters 1993, 2022, 18–35. [Google Scholar]
- Lee, H.J.; Ali Gamel, M.M.; Ker, P.J.; Jamaludin, M.Z.; Wong, Y.H.; Yap, K.S.; Willmott, J.R.; Hobbs, M.J.; David, J.P.R.; Tan, C.H. Deriving the absorption coefficients of lattice mismatched InGaAs using genetic algorithm. Mat. Sci. Semicon. Proc. 2023, 153, 107135. [Google Scholar] [CrossRef]
- Guo, J.; Zhao, J.; Yang, M. Interface engineering of InGaAs/InP layer for photocathode. Optik 2020, 212, 164738. [Google Scholar] [CrossRef]
- Fisher, D.; Enstrom, R.; Escher, J.; Gossenberger, H.; Appert, J. Photoemission characteristics of transmission-mode negative electron affinity GaAs and (ln, Ga) As vapor-grown structures. IEEE T. Electron. Dev. 1974, 21, 641–649. [Google Scholar] [CrossRef]
- Hou, Y.; Wei, Y.; Yang, D.; Wang, K.; Ren, K.; Zhang, G. Enhancing the curie temperature in Cr2Ge2Te6 via Charge Doping: A first-principles study. Molecules 2023, 28, 3893. [Google Scholar] [CrossRef] [PubMed]
- Zhang, Y.; Jiao, G. Energy bandgap engineering of transmission-mode AlGaAs/GaAs photocathode. In Advances in Photodetectors-Research and Applications, 1st ed.; Chee, K., Ed.; Intech Open: London, UK, 2018; pp. 49–71. [Google Scholar]
- Schneider, P.-I.; Garcia Santiago, X.; Soltwisch, V.; Hammerschmidt, M.; Burger, S.; Rockstuhl, C. Benchmarking five global optimization approaches for nano-optical shape optimization and parameter reconstruction. ACS Photonics 2019, 6, 2726–2733. [Google Scholar] [CrossRef]
- Gong, P.; Zhou, Y.; Li, H.; Zhang, J.; Wu, Y.; Zheng, P.; Jiang, Y. Theoretical study on the aggregation and adsorption behaviors of anticancer drug molecules on graphene/graphene oxide surface. Molecules 2022, 27, 6742. [Google Scholar] [CrossRef] [PubMed]
- Guo, J.; Chang, B.; Jin, M.; Yang, M.; Wang, H.; Wang, M.; Huang, J.; Zhou, L.; Zhang, Y. Theoretical study on electronic and optical properties of In0.53Ga0.47As (100) β2 (2 × 4) surface. Appl. Surf. Sci. 2014, 288, 238–243. [Google Scholar] [CrossRef]
- Maldonado, J.R.; Pianetta, P.; Dowell, D.H.; Corbett, J.; Park, S.; Schmerge, J.; Trautwein, A.; Clay, W. Experimental verification of the 3-step model of photoemission for energy spread and emittance measurements of copper and CsBr-coated copper photocathodes suitable for free electron laser applications. Appl. Phys. Lett. 2012, 101, 231103. [Google Scholar] [CrossRef]
- Antypas, G.A.; James, L.W.; Uebbing, J.J. Operation of III-V semiconductor photocathodes in the semitransparent mode. J. Appl. Phys. 1970, 41, 2888–2894. [Google Scholar] [CrossRef]
- Aulenbacher, K.; Schuler, J.; Harrach, D.; Reichert, E.; Röthgen, J.; Subashev, A.; Tioukine, V.; Yashin, Y. Pulse response of thin III/V semiconductor photocathodes. J. Appl. Phys. 2002, 92, 7536–7543. [Google Scholar] [CrossRef]
- Zhao, J.; Chang, B.; Xiong, Y.; Zhang, Y. Spectral transmittance and module structure fitting for transmission-mode GaAs photocathodes. Chin. Phys. B 2011, 20, 047810. [Google Scholar] [CrossRef]
- Jin, M.; Chen, X.; Hao, G.; Chang, B.; Cheng, H. Research on quantum efficiency for reflection-mode InGaAs photocathodes with thin emission layer. Appl. Opt. 2015, 54, 8332–8838. [Google Scholar] [CrossRef]
- Yu, X.; Du, Y.; Chang, B.; Ge, Z.; Wang, H. Study on the electronic structure and optical properties of different Al constituent Ga1−xAlx As. Optik 2013, 124, 4402–4405. [Google Scholar] [CrossRef]
- Guo, J.; Jin, M.; Chang, B.; Shi, F.; Wang, H.; Wang, M. Electronic structure and optical properties of bulk In0.53Ga0.47As for near-infrared photocathode. Optik 2015, 126, 1061–1065. [Google Scholar] [CrossRef]
- Yu, X.; Ge, Z.; Chang, B.; Wang, M. First principles calculations of the electronic structure and optical properties of (001), (011) and (111) Ga0.5Al0.5As surfaces. Mat. Sci. Semicon. Proc. 2013, 16, 1813–1820. [Google Scholar] [CrossRef]
- Jin, M.; Chang, B.; Cheng, H.; Zhao, J.; Yang, M.; Chen, X.; Hao, G. Research on quantum efficiency of transmission-mode InGaAs photocathode. Optik 2014, 125, 2395–2399. [Google Scholar] [CrossRef]
- Hirori, H.; Shinokita, K.; Shirai, M.; Tani, S.; Kadoya, Y.; Tanaka, K. Extraordinary carrier multiplication gated by a picosecond electric field pulse. Nat. Commun. 2011, 2, 594. [Google Scholar] [CrossRef] [PubMed]
- Sun, Q.; Xu, X.; An, Y.; Cao, X.; Liu, H.; Tian, J.; Dong, G.; Guo, H.; Li, Y. Numerical study on time response characteristics of InP/InGaAs/InP infrared photocathode. Infrared Laser Eng. 2013, 42, 3163–3167. [Google Scholar]







| Parameter | Value | Description | References |
|---|---|---|---|
| Dn (cm2/s) | 30–70 | Electron diffusion coefficient | This work |
| Sv (m/s) | 102–106 | Back interface recombination velocity | This work |
| Te (μm) | 1.6–2.4 | Thickness of the emission layer | This work |
| α (cm−1) | 2.16 × 104 (at 1064 nm) | Absorption coefficient of the emission layer | This work |
| β (cm−1) | 1.35 × 104 (at 1064 nm) | Absorption coefficient of the buffer layer | This work |
| P | 0.32 | Surface electron escape probability | [38] |
| R | 0.3 | Reflectivity of the photocathode | [30] |
| Ld (μm) | 1.7 | Diffusion length | [30] |
| Tb (μm) | 0.2 | Thickness of the buffer layer | [25] |
Disclaimer/Publisher’s Note: The statements, opinions and data contained in all publications are solely those of the individual author(s) and contributor(s) and not of MDPI and/or the editor(s). MDPI and/or the editor(s) disclaim responsibility for any injury to people or property resulting from any ideas, methods, instructions or products referred to in the content. |
© 2023 by the authors. Licensee MDPI, Basel, Switzerland. This article is an open access article distributed under the terms and conditions of the Creative Commons Attribution (CC BY) license (https://creativecommons.org/licenses/by/4.0/).
Share and Cite
Wang, H.; Linghu, J.; Zou, P.; Wang, X.; Shen, H.; Hai, B. Theoretical Study on the Photoemission Performance of a Transmission Mode In0.15Ga0.85As Photocathode in the Near-Infrared Region. Molecules 2023, 28, 5262. https://doi.org/10.3390/molecules28135262
Wang H, Linghu J, Zou P, Wang X, Shen H, Hai B. Theoretical Study on the Photoemission Performance of a Transmission Mode In0.15Ga0.85As Photocathode in the Near-Infrared Region. Molecules. 2023; 28(13):5262. https://doi.org/10.3390/molecules28135262
Chicago/Turabian StyleWang, Huan, Jiajun Linghu, Pengfei Zou, Xuezhi Wang, Hao Shen, and Bingru Hai. 2023. "Theoretical Study on the Photoemission Performance of a Transmission Mode In0.15Ga0.85As Photocathode in the Near-Infrared Region" Molecules 28, no. 13: 5262. https://doi.org/10.3390/molecules28135262
APA StyleWang, H., Linghu, J., Zou, P., Wang, X., Shen, H., & Hai, B. (2023). Theoretical Study on the Photoemission Performance of a Transmission Mode In0.15Ga0.85As Photocathode in the Near-Infrared Region. Molecules, 28(13), 5262. https://doi.org/10.3390/molecules28135262
