Preparation and Performance of Regenerated Al2O3-Coated Cathode Material LiNi0.8Co0.15Al0.05O2 from Spent Power Lithium-Ion Batteries
Abstract
1. Introduction
2. Results and Discussion
2.1. Characterization and Analyses
2.1.1. TG Analyses
2.1.2. XRD Analyses
2.1.3. SEM and EDS Analyses
2.1.4. TEM Analysis
2.1.5. XPS Analyses
2.1.6. IR Analyses
2.2. Electrochemical Tests
2.2.1. Initial Charge and Discharge Tests
2.2.2. Electrochemical Impedance Spectroscopy Tests
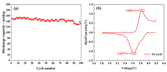
2.2.3. Electrochemical Performance Analysis
3. Experimental
3.1. Recycling of Cathode Materials
3.2. Characterization
3.3. Electrochemical Tests
4. Conclusions
Author Contributions
Funding
Institutional Review Board Statement
Informed Consent Statement
Data Availability Statement
Conflicts of Interest
Sample Availability
References
- Sun, S.Q.; Jin, C.X.; He, W.Z.; Li, G.M.; Huang, J.W. Management status of waste lithium-ion batteries in China and a complete closed-circuit recycling process. Sci. Total Environ. 2021, 776, 145913. [Google Scholar] [CrossRef] [PubMed]
- Wang, Y.X.; Tang, B.J.; Shen, M.; Wu, Y.Z.; Qu, S.; Hu, Y.J.; Feng, Y. Environmental impact assessment of second life and recycling for LiFePO4 power batteries in China. J. Environ. 2022, 314, 115083. [Google Scholar] [CrossRef] [PubMed]
- Ma, X.S.; Ge, P.; Wang, L.S.; Sun, W.; Bu, Y.J.; Sun, M.M.; Yang, Y. The Recycling of Spent Lithium-Ion Batteries: Crucial Flotation for the Separation of Cathode and Anode Materials. Molecules 2023, 28, 4081. [Google Scholar] [CrossRef]
- Fujita, T.; Chen, H.; Wang, K.T.; He, C.L.; Wang, Y.B.; Dodbiba, G.; Wei, Y.Z. Reduction, reuse and recycle of spent Li-ion batteries for automobiles: A review. Int. J. Miner. Metall. Mater. 2021, 28, 179–192. [Google Scholar] [CrossRef]
- Yu, W.; Guo, Y.; Shang, Z.; Zhang, Y.C.; Xu, S.M. A review on comprehensive recycling of spent power lithium-ion battery in China. eTransportation 2022, 11, 100155. [Google Scholar] [CrossRef]
- Chandran, V.; Ghosh, A.; Patil, C.K.; Mohanavel, V.; Priya, A.; Rahim, R.; Madavan, R.; Muthuraman, U.; Karthick, A. Comprehensive review on recycling of spent lithium-ion batteries. Mater. Proc. 2021, 47, 167–180. [Google Scholar] [CrossRef]
- Shangguan, E.B.; Qin, W.; Wu, C.K.; Wu, S.Q.; Ji, M.T.; Li, J.; Chang, Z.R.; Li, Q.M. Novel Application of Repaired LiFePO4 as a Candidate Anode Material for Advanced Alkaline Rechargeable Batteries. ACS Sustain. Chem. Eng. 2018, 6, 13312–13323. [Google Scholar] [CrossRef]
- Xin, B.P.; Zhang, D.; Xian, Z.; Xia, Y.T.; Wu, F.; Chen, S.; Li, L. Bioleaching mechanism of Co and Li from spent lithium-ion battery by the mixed culture of acidophilic sulfur-oxidizing and iron-oxidizing bacteria. Bioresour. Technol. 2009, 100, 6163–6169. [Google Scholar] [CrossRef]
- Fan, M.C.; Zhao, Y.; Kang, Y.Q.; Wozny, J.; Liang, Z.; Wang, J.X.; Zhou, G.M.; Li, B.H.; Tavajohi, N.; Kang, F.Y. Room-temperature extraction of individual elements from charged spent LiFePO4 batteries. Rare Met. 2022, 41, 1595–1604. [Google Scholar] [CrossRef]
- Yi, A.F.; Zhu, Z.W.; Liu, Y.H.; Zhang, J.; Su, H.; Qi, T. Using highly concentrated chloride solutions to leach valuable metals from cathode-active materials in spent lithium-ion batteries. Rare Met. 2021, 40, 1971–1978. [Google Scholar] [CrossRef]
- Tian, G.; Yuan, G.; Aleksandrov, A.; Zhang, T.; Li, Z.; Fathollahi-Fard, A.M.; Ivanov, M. Recycling of spent Lithium-ion Batteries: A comprehensive review for identification of main challenges and future research trends. Sustain. Energy Technol. Assess. 2022, 53, 102447. [Google Scholar] [CrossRef]
- Wu, D.Y.; Wang, D.Y.; Liu, Z.Q.; Shuai, R.; Zhang, K.F. Selective recovery of lithium from spent lithium iron phosphate batteries using oxidation pressure sulfuric acid leaching system. Trans. Nonferrous Met. Soc. China 2022, 32, 2071. [Google Scholar] [CrossRef]
- Chen, W.L.; Chen, C.; Xiao, H.; Chen, C.W.; Sun, D. Recovery of Li2CO3 from Spent LiFePO4 by Using a Novel Impurity Elimination Process. Molecules 2023, 28, 3902. [Google Scholar] [CrossRef] [PubMed]
- Horeh, N.B.; Mousavi, S.; Shojaosadati, S. Bioleaching of valuable metals from spent lithium-ion mobile phone batteries using Aspergillus niger. J. Power Sources 2016, 320, 257–266. [Google Scholar] [CrossRef]
- Biswal, B.K.; Jadhav, U.U.; Madhaiyan, M.; Ji, L.; Yang, E.H.; Cao, B. Biological leaching and chemical precipitation methods for recovery of Co and Li from spent lithium-ion batteries. ACS Sustain. Chem. Eng. 2018, 6, 12343–12352. [Google Scholar] [CrossRef]
- Haga, Y.; Saito, K.; Hatano, K. Waste Lithium-ion battery recycling in JX nippon mining & metals corporation. In TMS Annual Meeting & Exhibition; Springer: Cham, Switzerland, 2018; pp. 143–147. [Google Scholar] [CrossRef]
- Chang, D.; Li, N.; Chang, Z.; Wang, B.; Zhan, Y.; Wu, X.; Liu, W.; Ali, S.; Li, H.; Guo, J. Lithium leaching via calcium chloride roasting from simulated pyrometallurgical slag of spent lithium-ion battery. Sep. Purif. Technol. 2020, 233, 116025. [Google Scholar] [CrossRef]
- Wang, H.; Chen, G.; Mo, L.; Wu, G.; Deng, X.; Cui, R. Recovery of Li and Co in Waste Lithium Cobalt Oxide-Based Battery Using H1.6Mn1. 6O4. Molecules 2023, 28, 3737. [Google Scholar] [CrossRef]
- Heelan, J.; Gratz, E.; Zheng, Z.; Wang, Q.; Chen, M.; Apelian, D.; Wang, Y. Current and prospective Li-ion battery recycling and recovery processes. JOM 2016, 68, 2632–2638. [Google Scholar] [CrossRef]
- Kang, J.G.; Senanayake, G.; Sohn, J.; Shin, S.M. Recovery of cobalt sulfate from spent lithium-ion batteries by reductive leaching and solvent extraction with Cyanex272. Hydrometallurgy 2010, 100, 168–171. [Google Scholar] [CrossRef]
- Broussely, M.; Pistoia, G. Industrial Applications of Batteries: From Cars to Aerospace and Energy Storage; Elsevier: Amsterdam, The Netherlands, 2007; pp. 1–52. [Google Scholar]
- Guo, J.L.; Deng, Z.Y.; Yan, S.P.; Lang, Y.Q.; Liang, G.C. Preparation and electrochemical performance of LiNi0.5 Mn1.5O4 spinels with different particle sizes and surface orientations as cathode materials for lithium-ion battery. J. Mater. Sci. Technol. 2020, 55, 13157–13176. [Google Scholar] [CrossRef]
- Chen, Y.X.; Li, P.L.; Li, Y.J.; Su, Y.; Xue, L.L.; Han, Q.; Cao, G.L.; Li, J.G. Enhancing the high-voltage electrochemical performance of the LiNi0.5Co0.2Mn0.3O2 cathode materials via hydrothermal lithiation. J. Mater. Sci. Technol. 2018, 53, 2115–2126. [Google Scholar] [CrossRef]
- Tang, X.D.; Guo, Q.K.; Zhou, M.M.; Zhong, S.W. Direct regeneration of LiNi0.5Co0.2Mn0.3O2 cathode material from spent lithium-ion batteries. Chin. J. Chem. Eng. 2021, 40, 278–286. [Google Scholar] [CrossRef]
- Liu, P.W.; Zhang, Y.N.; Dong, P.; Zhang, Y.J.; Meng, Q.; Zhou, S.Y.; Yang, X.; Zhang, M.Y.; Yang, X. Direct regeneration of spent LiFePO4 cathode materials with pre-oxidation and V-doping. J. Alloys Compd. 2020, 860, 157909. [Google Scholar] [CrossRef]
- Ye, L.; Wang, W.; Zhang, B.; Li, D.M.; Xiao, H.G.; Xiao, Z.M.; Ming, L.; Ou, X. Regeneration of well-performed anode material for sodium ion battery from waste lithium cobalt oxide via a facile sulfuration process. Mater. Today Energy 2022, 25, 100957. [Google Scholar] [CrossRef]
- Fan, C.X.; Tan, C.L.; Li, Y.; Chen, Z.Q.; Li, Y.H.; Huang, Y.G.; Pan, C.Q.; Zheng, F.H.; Wang, H.Q.; Li, Q.Y. A green, efficient, closed-loop direct regeneration technology for reconstructing of the LiNi0.5Co0.2Mn0.3O2 cathode material from spent lithium-ion batteries. J. Hazard. Mater. 2020, 410, 124610. [Google Scholar] [CrossRef]
- Tang, X.; Wang, R.; Ren, Y.F.; Duan, J.D.; Li, J.; Li, P.Y. Effective regeneration of scrapped LiFePO4 material from spent lithium-ion batteries. J. Mater. Sci. 2020, 55, 13036–13048. [Google Scholar] [CrossRef]
- Wang, Y.H.; Ma, L.W.; Xi, X.L.; Nie, Z.R.; Zhang, Y.H.; Wen, X. Regeneration and characterization of LiNi0.8Co0.15Al0.05O2 cathode material from spent power lithium-ion batteries. Waste Manag. 2019, 95, 192–200. [Google Scholar] [CrossRef]
- Wang, H.Q.; Lai, F.Y.; Zhang, X.H.; Li, Q.Y.; Huang, Y.G.; Wu, Q. Electrochemical Performance of 2D Nano Al2O3-coated LiMn2O4 Cathode Materials for Lithium-ion Batteries. Min Metall Eng. 2015, 35, 123–126. [Google Scholar] [CrossRef]
- Li, X.; Xie, Z.; Liu, W.; Ge, W.; Wang, H.; Qu, M. Effects of fluorine doping on structure, surface chemistry, and electrochemical performance of LiNi0.8Co0.15Al0.05O2. Electrochim. Acta 2015, 174, 1122–1130. [Google Scholar] [CrossRef]
- Liu, W.; Hu, G.; Du, K.; Peng, Z.; Cao, Y. Enhanced storage property of LiNi0. 8Co0. 15Al0. 05O2 coated with LiCoO2. J. Power Sources 2013, 230, 201–206. [Google Scholar] [CrossRef]
- Liu, W.M.; Qin, M.L.; Xu, L.; Yi, S.; Deng, J.Y.; Huang, Z.H. Washing effect on properties of LiNi0.8Co0.15Al0.05O2 cathode material by ethanol solvent. Trans. Nonferrous Met. Soc. China 2018, 28, 1626. [Google Scholar] [CrossRef]
- Chen, X.; Cao, L.; Kang, D.; Li, J.; Zhou, T.; Ma, H.R. Recovery of valuable metals from mixed types of spent lithium-ion batteries. Part II: Selective extraction of lithium. Waste Manag. 2018, 80, 198–210. [Google Scholar] [CrossRef]
- Kaliyappan, K.; Liu, J.; Xiao, B.; Lushington, A.; Li, R.; Sham, T.; Sun, X. Enhanced Performance of P2-Na0. 66 (Mn0. 54Co0. 13Ni0. 13) O2 cathode for sodium-ion batteries by ultrathin metal oxide coatings via atomic layer deposition. Adv. Funct. Mater. 2017, 27, 1701870. [Google Scholar] [CrossRef]
- Zhao, J.; Wang, Z.; Wang, J.; Guo, H.; Li, X.; Yan, G.; Gui, W.; Chen, N. The role of a MnO2 functional layer on the surface of Ni-rich cathode materials: Towards enhanced chemical stability on exposure to air. Ceram. Int. 2018, 44, 13341–13348. [Google Scholar] [CrossRef]
- Yoon, C.; Choi, M.; Jun, D.; Zhang, Q.; Kaghazchi, P.; Kim, K.; Sun, Y. Cation ordering of Zr-doped LiNiO2 cathode for Lithium-Ion Batteries. Chem. Mater. 2018, 30, 1808–1814. [Google Scholar] [CrossRef]
- Bai, W.; Gao, J.; Li, K.; Wang, G.; Zhou, T.; Li, P.; Qin, S.; Zhang, G.; Guo, Z.; Xiao, C.; et al. Natural Soft/Rigid Superlattices as Anodes for High-Performance Lithium-Ion Batteries. Angew. Chem. Int. Ed. 2020, 132, 17647–17651. [Google Scholar] [CrossRef]
- Hui, X.; Wang, H.; Xiao, W.; Lu, L.; Lai, M. Properties of LiNi1/3Co1/3Mn1/3O2 cathode material synthesized by a modified Pechini method for high-power lithium-ion batteries. J. Alloys Compd. 2009, 480, 696–701. [Google Scholar] [CrossRef]
- Lan, Z.W.; Zhang, J.R.; Li, Y.Y.; Xi, R.H.; Yuan, Y.X.; Zhao, L.; Hou, X.Y.; Wang, J.T.; Zhang, C.H. LiFePO4 and LiMn2O4 nanocomposite coating of LiNi0. 815Co0.15Al0.035O2 cathode material for high-performance lithium-ion battery. Rare Met. 2022, 41, 2560–2566. [Google Scholar] [CrossRef]











| Craftsmanship | Battery Type | Other Products |
|---|---|---|
| Hydrometallurgy and electrochemistry | LiOH | Co2O3, Al, Cu etc. |
| Spent batteries Restoration | LiCoO3 | Electrode materials Cu, Al |
| Low-temperature ball milling | Li2CO3 | Co, Ni |
| Hydrometallurgy | Li2CO3 or Li3PO4 | Cu |
| Pyrometallurgy | —— | CoCl2, Cu |
| Peak (003) Intensity | Peak (104) Intensity | Added Amount of Al(OH)3 (%) | Intensity Ratio I(003)/I(104) |
|---|---|---|---|
| 10,631 | 12,706 | 0 | 0.836 |
| 12,035 | 13,686 | 1 | 0.879 |
| 16,688 | 15,930 | 2 | 1.047 |
| 19,327 | 13,013 | 3 | 1.485 |
| 10,837 | 11,355 | 4 | 0.954 |
Disclaimer/Publisher’s Note: The statements, opinions and data contained in all publications are solely those of the individual author(s) and contributor(s) and not of MDPI and/or the editor(s). MDPI and/or the editor(s) disclaim responsibility for any injury to people or property resulting from any ideas, methods, instructions or products referred to in the content. |
© 2023 by the authors. Licensee MDPI, Basel, Switzerland. This article is an open access article distributed under the terms and conditions of the Creative Commons Attribution (CC BY) license (https://creativecommons.org/licenses/by/4.0/).
Share and Cite
Ma, L.; Liu, G.; Wang, Y.; Xi, X. Preparation and Performance of Regenerated Al2O3-Coated Cathode Material LiNi0.8Co0.15Al0.05O2 from Spent Power Lithium-Ion Batteries. Molecules 2023, 28, 5165. https://doi.org/10.3390/molecules28135165
Ma L, Liu G, Wang Y, Xi X. Preparation and Performance of Regenerated Al2O3-Coated Cathode Material LiNi0.8Co0.15Al0.05O2 from Spent Power Lithium-Ion Batteries. Molecules. 2023; 28(13):5165. https://doi.org/10.3390/molecules28135165
Chicago/Turabian StyleMa, Liwen, Guangyun Liu, Yuehua Wang, and Xiaoli Xi. 2023. "Preparation and Performance of Regenerated Al2O3-Coated Cathode Material LiNi0.8Co0.15Al0.05O2 from Spent Power Lithium-Ion Batteries" Molecules 28, no. 13: 5165. https://doi.org/10.3390/molecules28135165
APA StyleMa, L., Liu, G., Wang, Y., & Xi, X. (2023). Preparation and Performance of Regenerated Al2O3-Coated Cathode Material LiNi0.8Co0.15Al0.05O2 from Spent Power Lithium-Ion Batteries. Molecules, 28(13), 5165. https://doi.org/10.3390/molecules28135165
